|
|
(21), (22) Заявка: 2007117137/28, 06.10.2005
(24) Дата начала отсчета срока действия патента:
06.10.2005
(30) Конвенционный приоритет:
08.10.2004 FR 0410659
(43) Дата публикации заявки: 20.11.2008
(46) Опубликовано: 10.02.2010
(56) Список документов, цитированных в отчете о поиске:
FR 2825463 A1, 06.12.2002. US 4708479 A, 24.11.1987. RU 2160885 C1, 20.12.2000. US 5960022 A, 28.09.1999. SU 1758433 A, 30.08.1992. US 5241555 A, 31.08.1993.
(85) Дата перевода заявки PCT на национальную фазу:
08.05.2007
(86) Заявка PCT:
EP 2005/055035 20051006
(87) Публикация PCT:
WO 2006/037795 20060413
Адрес для переписки:
129090, Москва, ул.Б.Спасская, 25, стр.3, ООО “Юридическая фирма Городисский и Партнеры”, пат.пов. Е.И.Емельянову, рег. 174
|
(72) Автор(ы):
ФЕНЬЕ Жилль (FR), ШВАРЦ Сильвэн (FR), ПОШОЛЛЬ Жан-Поль (FR), ЛАРА Кристиан (FR), ГЮТТИ Франсуа (FR)
(73) Патентообладатель(и):
ТАЛЬ (FR)
|
(54) ТВЕРДОТЕЛЬНЫЙ ЛАЗЕРНЫЙ ГИРОСКОП СО СТАБИЛИЗИРОВАННЫМ МАСШТАБИРУЮЩИМ ФАКТОРОМ
(57) Реферат:
Изобретение относится к области твердотельных лазерных гироскопов, используемых для измерения скоростей вращения или угловых положений, в частности, в аэронавтике. Предлагается оптическая архитектура лазерной полости, основанная на общем сохранении масштабирующего фактора, температурная стабильность которого составляет 4A/ L, где L и А – соответственно оптическая длина и площадь полости лазера, а – средняя длина волны лазера в эффекте Саньяка, при этом каждый параметр может изменяться с изменением температуры. 2 н. и 3 з.п. ф-лы, 1 ил.
Настоящее изобретение относится к твердотельным лазерным гироскопам для измерения скорости вращения или угловых положений. Этот тип оборудования используется в аэронавтике. Лазерный гироскоп, известный уже три десятка лет, выпускается в продажу и используется и в настоящее время. Принцип его работы основан на эффекте Саньяка, согласно которому определяют разность частот между двумя оптическими модами излучения, направленного в противоположные стороны, то-есть противонаправленными и образующими замкнутую полость внутри двунаправленного потока лазерных лучей, возбуждаемого вращением. Классически разность частот определяется выражением:
=S· ,
где S=4A/ ·L
и S является масштабирующим фактором лазерного гироскопа. L и А являются соответственно оптической длиной и площадью полости; – средняя длина волны лазерного излучения при эффекте Саньяка, а является угловой скоростью вращения лазерного гироскопа.
Измерение , получаемое спектральным анализом биения двух излучаемых потоков, позволяет определить величину скорости с высокой точностью.
Электронным подсчетом полос биений, чередующихся при изменении углового положения, определяют также относительную величину углового положения устройства.
Одним из факторов, определяющих преимущества лазерного гироскопа, является температурная стабильность масштабирующего фактора S.
В гелий-неоновых газовых лазерах, содержащих лазерную полость и усилительную среду, образованную смесью газов гелия и неона, температурная стабильность масштабирующего фактора зависит от соответствующей стабильности длины волны, оптической длины и площади полости. Стабильность площади полости обеспечивается использованием держателей полости, выполненных из материала с малым коэффициентом объемного расширения, такого как церодур. Стабильность длины волны лазера зависит от длины волны атомного излучения. Оптическая длина полости зависит от изменений длины и показателя преломления полости в зависимости от температуры. Ее стабильность обеспечивается системой автоматического регулирования длины полости на используемой атомной линии. Система автоматического регулирования выполнена в виде пьезоэлектрического клина, при этом сигнал ошибки зависит от интенсивности лазерного излучения.
Газовый характер усилительной среды является источником технических сложностей при изготовлении лазерного гироскопа, в частности из-за необходимости высокой чистоты используемых газов. С другой стороны, он вызывает преждевременный износ лазера, вызванный утечками газа, разрушением электродов, высокими напряжениями, используемыми для установления инверсии населенности.
В настоящее время возможно изготовление твердотельного гироскопического лазера, работающего в видимой или близкой к инфракрасной областях, с использованием усилительной среды на базе ИАГ кристаллов (иттриево-алюминиевый гранат), легированных неодимом, вместо газовой смеси гелия и неона, при этом оптическая накачка обеспечивается лазерными диодами, работающими в области, близкой к инфракрасной. В качестве усилительной среды можно также использовать полупроводниковый материал, кристаллическую матрицу или стекло, легированное ионами редкоземельных металлов (эрбий, иттербий ). Таким образом, фактически все проблемы проистекают из газовой природы усилительной среды.
Однако в лазерах, где усилительной средой является не газ, а твердое тело, стабильность масштабирующего фактора не может быть обеспечена методами, используемыми для газовых лазеров.
Действительно, частота максимума кривой усиления среды подвержена значительным колебаниям при изменении температуры. Например, для лазера типа неодим/ИАГ изменение частоты составляет -1,3 ГГц/градус при длине волны 1,06 микрон в диапазоне температур от -50 до +100°С.
Известно, что свободный спектральный интервал лазерной полости соответствует спектральному интервалу, разделяющему две частоты, способных совершать колебания в полости. Он составляет с/L, где с – скорость света в вакууме. Таким образом, для полостей классического размера, то есть для оптических длин L, составляющих несколько десятков сантиметров, и для твердотельных лазеров спектральная ширина кривой усиления среды больше свободного спектрального интервала. Обычно спектральная ширина кривой усиления среды составляет многие десятки свободных спектральных интервалов. В этих условиях невозможно сконструировать систему автоматического регулирования длины полости, приняв в качестве сигнала ошибки вариации кривой усиления при изменяемой длине L, которые в этом случае не являются показательными.
Кроме того, температурные изменения оптической длины гораздо более значительны в твердых телах, чем в газе. Действительно, к изменениям геометрической длины, вызванным температурой, добавляются изменения показателя преломления, которые гораздо более значительны в плотной среде. Следовательно, их труднее компенсировать с помощью стандартного пьезоэлектрического клина.
Для того чтобы избежать использования термической компенсации масштабирующего фактора, можно было бы использовать термические датчики, размещенные на лазерной полости, для определения температуры, затем с помощью математической модели уменьшить изменения масштабирующего фактора, соответствующего измеренной температуре. Можно было бы также ввести это изменение в расчет скорости углового вращения. Однако опыт показывает, что модели не являются достаточными для получения желаемой точности.
В области твердотельных лазеров в патенте США 6614818 предлагается оптическая архитектура, позволяющая сохранить моду излучения без ее перепадов с помощью системы общей компенсации термических колебаний. Эта архитектура основана на сохранении номера моды n, данной выражением: n~ ·L/c, где – частота максимума кривой усиления среды, используемой в лазере, и L – оптическая длина полости.
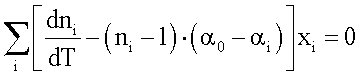
Для сохранения этого номера моды достаточно, чтобы ее изменение в функции от температуры было нулевым, что описывается следующим математическим выражением:

Это выражение не могло бы быть применено на практике для компенсации изменений масштабирующего фактора, что является проблемой, отличной от сохранения частоты моды излучения.
Настоящее изобретение предлагает оптическую архитектуру, основанную на общем сохранении масштабирующего фактора, причем каждый параметр изменяется с температурой.
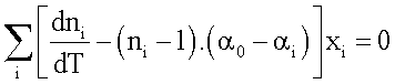
Объектом изобретения является лазерный гироскоп, содержащий по меньшей мере одну кольцевую полость с оптической длиной L и площадью А, твердотельную усилительную среду, выполненную таким образом, что две оптические волны со средней длиной волны могут распространяться в полости в противоположном направлении, причем масштабирующий фактор S лазерного гироскопа равен 4·А/ ·L, при этом изменения средней длины волны , площади поверхности А и оптической длины L полости в функции от температуры таковы, что масштабирующий фактор S остается практически постоянным при изменении температуры Т. Полость, имеющая геометрический периметр Lo, содержит, по меньшей мере, один оптический элемент i, где i – индекс, выраженный целым числом между 1 и общим числом оптических элементов, оптический элемент i имеет длину Li, показатель преломления ni, равный отношению Li/Lo, dni/dT является коэффициентом изменения в функции от температуры Т показателя преломления ni оптического элемента i, i является коэффициентом линейного расширения оптического элемента i, 0 является коэффициентом линейного расширения материала держателей полости, является центральной частотой эмиссии усилительной среды, а d /dT является коэффициентом изменения указанной частоты в функции от температуры Т, при этом оптические элементы и усилительная среда соединены таким образом, что соблюдается следующее соотношение:

Предпочтительно, чтобы для исключения скачков оптических мод оптические элементы и усилительная среда выполнялись при одновременном и точном соблюдении следующих соотношений:

и

Наконец, полость может быть выполнена из материала, коэффициент изменения показателя преломления в зависимости от температуры Т которого является отрицательным. Кроме того, полость может содержать один или несколько термодатчиков, и лазерный гироскоп может содержать блок электронной обработки, связанный с указанными термодатчиками и позволяющий рассчитать существующие изменения в функции от температуры масштабирующего фактора.
Изобретение касается также системы углового измерения или угловой скорости, содержащей описанный выше лазерный гироскоп.
Система может также содержать три лазерных гироскопа, полости которых ориентированы таким образом, чтобы производить измерения в трех независимых направлениях.
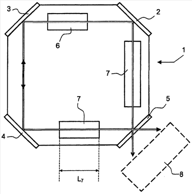
Изобретение иллюстрируется чертежом, на котором представлена принципиальная схема лазерного гироскопа в соответствии с изобретением. Он содержит:
– полость 1, выполненную в первом материале и содержащую отражающие зеркала 2, 3 и 4 и полупрозрачное зеркало 5;
– усилительную среду 6;
– по меньшей мере один оптический элемент 7 с длиной L7;
– конструкция выполнена таким образом, чтобы две оптических волны могли распространяться в двух противоположных направлениях внутри полости. Эти две волны показаны двойной линией на чертеже.
Эти волны пересекают различные оптические элементы, размещенные в полости;
– устройство оптоэлектронного измерения 8, показанное штриховой линией, позволяющее вычислять измеренные угловые параметры по интерференционной картине двух противонаправленных волн на полупрозрачном зеркале 5.
Как было указано ранее, масштабирующий фактор S лазерного гироскопа уточняется в тех же обозначениях: S=4A/ L.
Возможно заменить длину волны соответствующей частотой .
В этом случае получают новое выражение для масштабирующего фактора S: S=4A· /c·L.
Фактором формы называют коэффициент Н, который равен:

где Lo является геометрическим периметром полости.
Н является безразмерным параметром, практически не зависящим от температуры. Это проявляется, в частности, когда внешние условия, воздействующие на полость, не нарушают ее симметрии. Затем заменяют А на HLo 2 в выражении S. Получают:

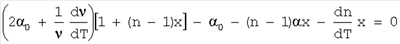
Полость содержит n оптических элементов с индексом i, где i является индексом между 1 и общим числом n оптических элементов, при этом каждый оптический элемент i имеет длину Li и показатель преломления ni. Следовательно, имеем выражение:

Далее записываем новое выражение для масштабирующего фактора S:

Условие стабильности масштабирующего фактора в зависимости от температуры записывается, как dS/dT=0, или иначе:

что дает после деления на ·L0 3.

Подставляя xi=Li/Lo, получаем:

Коэффициенты расширения различных оптических элементов составляют: .
Подставляя их в предыдущие выражения, получаем:

Это выражение представлено в формуле изобретения и называется соотношением 1.
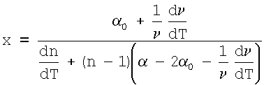
В случае, если полость содержит только один оптический элемент, являющийся усилительной средой и имеющий показатель преломления n, общую длину L и коэффициент расширения , выражение записывается следующим образом:

В этом случае х находят из выражения:

Пример: если усилительной средой является неодим-ИАГ, работающий на длине волны 1,06 микрон, тогда
– показатель преломления n равен 1,82;
– коэффициент линейного расширения равен 7,6 ppm, где ppm составляет одну миллионную часть;
– коэффициент изменения показателя преломления в функции от температуры равен 7,3 ppm на градус;
– коэффициент изменения частоты 1/ ·d /dT равен -4,6 ppm на градус;
– и х представляет процентное соотношение усилительной среды в полости.
В этом случае х равен:

х должен находиться между 0 и 1. Следовательно, достаточно, чтобы коэффициент расширения материала 0 составлял:
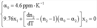
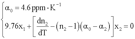
4,6 ppm·K-1< 0<8,3 ppm·K-1 для того, чтобы было возможным найти адаптированную длину неодим-ИАГ, позволяющую сделать масштабирующий фактор практически независимым от температуры.
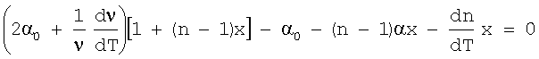
Ранее упомянутое соотношение 1 позволяет сохранить масштабирующий фактор постоянным. В некоторых случаях требуется исключить нарушения в работе лазерного гироскопа, вызванные перепадами моды, и сохранить номер излучаемой моды независимым от температуры, что описывается следующим математическим выражением:

С использованием тех же обозначений это выражение записывается следующим образом:
 
После деления на L0 получаем:

Это выражение называем соотношением 2.
Условиями, при которых проверяются соотношения 1 и 2, являются:

Эти условия называются соотношениями 3 и 4.
Если полость содержит только один оптический элемент, нет необходимости выполнять соотношения 3 и 4. Если полость содержит по меньшей мере два оптических элемента, следует удовлетворить эти оба соотношения. Действительно, с двумя оптическими элементами соотношения 3 и 4 записываются следующим образом:

Например, если материалом усилительной среды является неодим-ИАГ, соотношения 3 и 4 выглядят так:

Возможно найти материал, отвечающий соотношению 3. Действительно, коэффициент расширения типичен для боросиликатного стекла.
x1 и x2 являются положительными, и соотношение 4 требует, чтобы

Это условие может быть выполнено для некоторых стекол. В качестве примера можно привести характеристики стекла РК51А фирмы SCHOTT:
2=12,7 ppm·K-1
dn2/dT=-7 ppm·K-1
n2=1,5
И, следовательно,

при этом это выражение уточняет предыдущие условия.
Со стеклом РК51А соотношение 4 выглядит следующим образом:
9,76×1-3·x2=0,
или еще x1/x2=0,3
Например, если активный элемент ИАГ обеспечивает усиление при длине 5 см, то активный элемент из РК51А длиной 16 сантиметров позволяет обеспечить термическую компенсацию, при этом полость выполнена из материала с коэффициентом расширения, равным 4,6 ppm·K-1, что типично для стекла.
Таким образом, разумный выбор материалов позволяет максимально скомпенсировать термические отклонения, воздействующие на масштабирующий фактор и в равной степени на оптические моды.
Само собой разумеется, что в случае, когда коэффициенты расширения и коэффициенты изменения показателя преломления в функции от температуры не идеально линейны, а также в случае, когда температура неравномерно распространяется в полости, можно уточнить измерение масштабирующего фактора лазерного гироскопа с помощью математической модели, определяющей малые изменения масштабирующего фактора в зависимости от изменений температуры. В этом случае в полости располагают датчики температуры.
Гироскопический лазер по изобретению может применяться в любой системе для угловых измерений или измерений угловой скорости. Система, кроме того, может содержать три лазерных гироскопа, полости которых ориентированы для осуществления измерений в трех различных направлениях, позволяющих также узнать три угловых компонента положения или скорости.
Формула изобретения
1. Лазерный гироскоп, содержащий по меньшей мере одну кольцевую полость с оптической длиной L, геометрическим периметром L0 и площадью А, твердотельную усилительную среду, выполненную таким образом, что две оптические волны со средней длиной волны распространяются в противоположных направлениях внутри полости, при этом масштабирующий фактор S лазерного гироскопа равен 4.A/ .L, причем указанная полость содержит по меньшей мере один оптический элемент, через который проходят оптические волны, при этом оптический элемент i имеет полный индекс, изменяющийся между 1 и общим числом оптических элементов, причем оптический элемент i имеет длину Li, показатель преломления ni, хi, равный отношению Li/L0, причем dni/dT является коэффициентом изменения в функции от температуры показателя преломления ni, i является коэффициентом линейного расширения оптического элемента i, 0 является коэффициентом линейного расширения материала полости, является центральной частотой эмиссии усилительной среды, a d /dT является коэффициентом изменения частоты в функции от температуры Т, отличающийся тем, что оптические элементы и усилительная среда связаны таким образом, чтобы одновременно и точно выполнять следующие соотношения:
 и

2. Лазерный гироскоп по п.1, отличающийся тем, что полость содержит материал, коэффициент изменения показателя преломления в функции от температуры Т является отрицательным.
3. Лазерный гироскоп по п.1, отличающийся тем, что полость содержит по меньшей мере один датчик температуры, а лазерный гироскоп содержит встроенный блок электронной обработки, связанный с датчиком температуры и рассчитывающий изменения масштабирующего фактора в функции от температуры масштабирующего фактора.
4. Система углового измерения или угловой скорости, отличающаяся тем, что она содержит по меньшей мере один лазерный гироскоп по п.1.
5. Система по п.4, отличающаяся тем, что она содержит три лазерных гироскопа, полости которых ориентированы для осуществления измерений в трех различных направлениях.
РИСУНКИ
|
|