Патент на изобретение №2381359
|
||||||||||||||||||||||||||
(54) СПОСОБ ОПРЕДЕЛЕНИЯ ОБЪЕМА ОТЛОЖЕНИЙ В КОЛОННЕ ЛИФТОВЫХ ТРУБ ДОБЫВАЮЩЕЙ СКВАЖИНЫ
(57) Реферат:
Изобретение может быть использовано при разработке месторождений нефти с большим содержанием асфальтенов, смол и парафинов. Техническим результатом является диагностирование лифтовых труб на степень заполнения отложениями и своевременное принятие решений по удалению АСПО из труб путем их промывки соответствующим растворителем. Для определения объема отложений в лифтовых трубах скважин, оборудованных штанговыми глубинными насосами, пространство между лифтовыми трубами и колонной штанг последовательно заполняют жидкостями со значительно отличающимися плотностями. После каждого заполнения определяют величину нагрузки на полированный шток установки, а объем отложений определяют с помощью математической зависимости.
Предлагаемое изобретение относится к скважинной добыче асфальтосмолопарафиновых нефтей с помощью штанговой глубинной насосной установки (ШГНУ). Эксплуатация месторождений нефти со значительным содержанием асфальтенов, смол и парафинов осложнена тем, что со временем кольцевое пространство между лифтовыми трубами и штангами заполняется отложениями, состоящими, как правило, из парафинов, смол, асфальтенов с незначительной долей механических примесей, солей и воды. Отложения увеличивают трение между поверхностями труб и штанг, сужают кольцевое пространство между ними, тем самым повышают механические нагрузки на плунжер насоса и колонну штанг. В конечном счете эти два фактора ведут к снижению производительности скважины и обрыву колонны штанг. Для продления безаварийной и эффективной эксплуатации таких скважин необходимо периодически диагностировать лифтовые трубы на содержание отложений. По результатам таких исследований лифтовые трубы со значительным объемом АСПО необходимо промывать растворителем через межтрубное пространство. Объем отложений в лифтовых трубах можно определить шаблонированием внутренней поверхности лифтовых труб без их подъема на поверхность (Б.А.Мазепа. Парфинизация нефтесборных систем и промыслового оборудования. – М.: Недра, 1966. – с.30-31). Способ требует разгерметизации скважины, проведения многочисленных спуско-подъемных операций с шаблонами и пробоотборниками различных форм. Известен способ диагностики состояния межтрубного пространства добывающей скважины (патент РФ В наземных трубопроводах систем сбора, подготовки и транспортировки нефти, газа и воды объем отложений определяется как разница между внутренним объемом чистого трубопровода и трубопровода с отложениями. Последний параметр находится путем заполнения полости трубопровода фиксированным объемом жидкости повышенной плотности с использованием разделителя жидкостей для трубопровода по патенту РФ Такой подход невозможно применить к скважине из-за того, что конец колонны лифтовых труб находится на глубине нескольких сот метров и гидравлически сообщен с продуктивным пластом, поэтому не способен контролироваться исследователем по объему закаченной жидкости в лифтовые трубы. Целью заявляемого изобретения является разработка технологии определения объема отложений, находящихся в адгезионной форме, на внутренние поверхности лифтовых труб скважин с ШГНУ, без подъема лифтовых труб. Поставленная цель достигается тем, что кольцевое пространство между лифтовыми трубами и колонной штанг последовательно заполняют жидкостями со значительно отличающимися плотностями
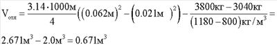
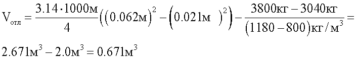
Нагрузки P1 и Р2 состоят из веса колонны штанг Мшт, сил трения между колонной штанг, лифтовыми трубами и АСПО Fтр и массы жидкости в лифтовых трубах: Свободный объем пространства между лифтовыми трубами и штангами, не занятый отложениями, определим из разницы (1) и (2): Объем отложений в лифтовых трубах Vотл определяем по формуле (4) где: l – длина лифтовых труб от устья скважины до насоса; D- внутренний диаметр лифтовых труб; d – осредненный диаметр штанг; Р1, Р2 – нагрузка на полированный шток при ходе плунжера вверх соответственно при заполнении лифтовых труб жидкостями с различной плотностью Предложенный способ реализуется следующим образом: 1. Действующая скважина с ШГНУ останавливается, в межтрубном пространстве (зона между обсадной колонной и лифтовыми трубами) замеряется давление и уровень жидкости. К угловому вентилю (задвижке) межтрубного пространства присоединяют насосный агрегат типа ЦА-320 и закачивают минерализованную воду повышенной плотности ( 2. Глубинный штанговый насос включают в работу на короткий период времени (10-12 качаний) для определения нагрузки P1 на полированный шток колонны штанг. 3. Лифтовые трубы заполняют сравнительно легкой жидкостью, например нефтью с 4. Скважину повторно пускают в работу и через 10-12 ходов станка-качалки динамографом определяют нагрузку на полированный шток Р2. С этими данными по формуле (4) определяется объем отложений в лифтовых трубах, принимается решение о продолжении эксплуатации ШГНУ или необходимости предупредительной промывки колонны лифтовых труб растворителем отложений. Рассмотрим реализацию способа на практических данных. Нефть с большим содержанием асфальтенов, парафинов и смол добывается из скважины штанговым насосом на глубине 1000 м. Внутренний диаметр лифтовых труб D=62 мм, а осредненный диаметр колонны штанг d=21 мм. Лифтовые трубы последовательно заполнили жидкостями с плотностями:
Получены следующие нагрузки на полированный шток: P1=3800 кг и P2=3040 кг По формуле (4) находим объем отложений в лифтовых трубах: Расчеты показывают, что на внутренней поверхности лифтовых труб отложилось 0,671 м3 АСПО. Для его удаления рекомендуется промыть лифтовые трубы эффективным органическим растворителем в объеме 4-5 м3. На наш взгляд, предложенный способ позволяет продлить время эффективной и безаварийной работы осложненной скважины, исключить такие трудоемкие и дорогостоящие операции, как поднятие лифтовых труб на поверхность и их термообработка горячим паром для удаления отложений.
Формула изобретения
Способ определения объема отложений в колонне лифтовых труб добывающей скважины, заключающийся в заполнении полости колонны труб жидкостью повышенной плотности, отличающийся тем, что для скважины, оборудованной штанговой глубинной насосной установкой, кольцевое пространство между лифтовыми трубами и колонной штанг последовательно заполняют жидкостями со значительно отличающимися плотностями и не имеющими способности к растворению отложений, после каждого заполнения определяют величину нагрузки на полированный шток в момент закрытия нагнетательного клапана плунжера при его ходе вверх путем динамографирования глубинного насоса, а объем отложений Vотл определяют по формуле:
|
||||||||||||||||||||||||||

2199005, опубл. 20.02.2003 г.), по которому с помощью акустического сигнала, его отражения и дальнейшей интерпретации можно судить о распределении нефтяных фракций и парафиновых пробок по стволу скважины. Реализация способа требует специальной техники и аппаратуры. К тому же по этому способу невозможно оценить объем АСПО в лифтовых трубах скважины.
1 и 




– геометрическая постоянная;