Патент на изобретение №2381213
|
||||||||||||||||||||||||||||||||||||||||||||||||||||||||||||||||||||||||
(54) ЗАМЕЩЕННЫЕ N-АРИЛБЕНЗАМИДЫ И РОДСТВЕННЫЕ СОЕДИНЕНИЯ ДЛЯ ЛЕЧЕНИЯ АМИЛОИДНЫХ ЗАБОЛЕВАНИЙ И СИНУКЛЕИНОПАТИИ
(57) Реферат:
Изобретение относится к новым замещенным диарильным соединениям формул, представленных ниже, в которых М представляет собой S(O)2, Rx означает алкил, R1, R2, R3 и R4 каждый независимо выбран из ОН и -NR7S(O)2R8, R5 и R7 каждый независимо означает водород или алкил, R8 означает алкил, и их фармацевтически приемлемым производным, а также к содержащим их фармацевтическим композициям и их применению для получения лекарственного средства, обладающего ингибирующей активностью в отношении А
РОДСТВЕННЫЕ ЗАЯВКИ В рассматриваемой заявке заявлен приоритет в соответствии с п.35 U.S.C. § 119(e) на основании предварительной заявки США 60/570669, озаглавленной “Substituted N-Aryl Benzamides and Related Compounds for Treatment of Amyloid Diseases and Synucleinopathies” Snow et al., поданной 12 мая 2004 г., и 60/629525, озаглавленной “Substituted N-Aryl Benzamides and Related Compounds for Treatment of Amyloid Diseases and Synucleinopathies” Snow et al., поданной 18 ноября 2004 г. Содержание этих предварительных заявок включено сюда для ссылки. ОБЛАСТЬ ИЗОБРЕТЕНИЯ Настоящее изобретение относится к замещенным N-арилбензамидам и родственным соединениям, фармацевтическим композициям и способам лечения амилоидных заболеваний, включая бета-амилоидный белок (A ИЗВЕСТНЫЙ УРОВЕНЬ ТЕХНИКИ Болезнь Альцгеймера характеризуется накоплением пептида из 39-43 аминокислот, оканчивающегося Болезнь Паркинсона представляет собой другое нарушение у человека, характеризующееся образованием, отложением, накоплением и/или персистентностью ненормальных отложений фибриллярного белка, что демонстрируют многие из характеристик амилоида. Считают, что при болезни Паркинсона накопление цитоплазмических телец Леви, состоящих из нитей Множество других заболеваний человека также демонстрируют амилоидные отложения и обычно включают системные органы (т.е. органы или ткани, расположенные вне центральной нервной системы), причем накопление амилоидов приводит к дисфункции органов или к их гибели. Такие амилоидные заболевания (обсуждающиеся далее), приводящие к заметным накоплениям амилоидов в ряде различных органов и тканей, известны как системные амилоидозы. При других амилоидных заболеваниях могут быть поражены отдельные органы, такие как поджелудочная железа у 90% пациентов с диабетом 2 типа. Считают, что при этом типе амилоидного заболевания бета-клетки в островках Лангерхенса в поджелудочной железе разрушаются за счет накопления фибриллярных амилоидных отложений, состоящих, главным образом, из белка, известного как островковый амилоидный полипептид (IAPP). Ингибирование или уменьшение образования, отложения, накопления и персистентности таких IAPP амилоидных фибрилл, как считают, обеспечивает новые эффективные способы лечения диабета 2 типа. При болезни Альцгеймера, Паркинсона и “системных” амилоидных заболеваниях в настоящее время не существует лечения или эффективной терапии, и обычно пациент умирает в течение от 3 до 10 лет после заболевания. Амилоидные заболевания (амилоидоз) классифицируют в соответствии с типом присутствующего амилоидного белка, также как и лежащего в основе заболевания. Амилоидные заболевания обладают рядом общих характеристик, включая каждый амилоид, состоящий из уникального типа амилоидного белка. Амилоидные заболевания включают, но не ограничиваются перечисленным, амилоид, связанный с болезнью Альцгеймера, синдромом Дауна, наследственной церебральной геморрагией с амилоидозом Голландского типа, деменцией pugilistica, миозит с включениями телец (Askanas et al., Ann. Neurol. 43:521-560, 1993) и умеренную потерю познавательных способностей (где специфический амилоид называют бета-амилоидным белком или A Системные амилоидозы, которые включают амилоид, связанный с хроническим воспалением, с различными формами злокачественной лихорадки или семейной средиземноморской лихорадки (т.е. AA амилоидный или связанный с воспалением амилоидоз) (Benson и Cohen, Arth. Rheum. 22:36-42, 1979; Kamei et al. Acta Path. Jpn. 32:123-133, 1982; McAdam et al., Lancet 2:572-573, 1975; Metaxas, Kidney Int. 20:676-685, 1981), и амилоид, связанный с множественной миеломой и другими B-клеточными дискразиями (т.е. AL амилоид) (Harada et al., J. Histochem. Cytochem. 19:1-15, 1971); например, как известно, включают амилоидные отложения во множестве различных органов и тканей, которые обычно расположены вне центральной нервной системы. Амилоидные отложения при указанных заболеваниях могут находиться, например, в печени, сердце, селезенке, желудочно-кишечном тракте, почках, коже и/или легких (Johnson et al., N. Engl. J. Med. 321:513-518, 1989). Для большинства из этих амилоидозов не существует подходящего или эффективного лечения, и, следовательно, амилоидные отложения могут оказаться вредными для пациента. Например, амилоидные отложения в почках могут привести к почечной недостаточности, тогда как амилоидные отложения в сердце могут привести к сердечной недостаточности. Для таких пациентов, амилоидные накопления в системных органах приводят к возможной смерти обычно в течение 3-5 лет. Другие амилоидозы могут повреждать отдельный орган или ткань, например, как наблюдают при A Болезнь Альцгеймера, кроме того, налагает тяжелое экономическое бремя на общество. Последние исследования оценивают стоимость лечения пациентов с болезнью Альцгеймера с тяжелыми нарушениями познавательных функций дома или в доме инвалидов более чем в $47000 в год (A Guide to Understanding Alzheimer’s Disease and Related Disorders). Для заболевания, которое может длиться от 2 до 20 лет, полная стоимость лечения болезни Альцгеймера для семьи и общества ошеломляюща. Ежегодная экономическая стоимость лечения болезни Альцгеймера в Соединенных Штатах с точки зрения ухода за больными дорожает, и денежные потери как пациентов, так и тех, кто за ними ухаживает, оцениваются как $80-$100 биллионов (2003 Progress Report on Alzheimer’s Disease). Амилоид как терапевтическая мишень при болезни Альцгеймера Болезнь Альцгеймера характеризуется отложением и накоплением пептида из 39-43 аминокислот, оканчивающегося бета-амилоидным белком, A Небольшой A В течение многих лет происходят непрекращающиеся дебаты относительно важности “амилоида” при болезни Альцгеймера и того, является ли наличие “бляшек” и “клубков”, характеризующих это заболевание, причиной или они просто являются следствием этого заболевания. Проведенные в последние несколько лет исследования показывают, что амилоид действительно является причинным фактором болезни Альцгеймера, и его не следует рассматривать как просто доброкачественный побочный агент. Было показано, что A Вероятно, наиболее убедительное свидетельство того, что A Во всех этих исследованиях предполагают, что введение лекарства для уменьшения, исключения или предотвращения образования фибриллярных A Болезнь Паркинсона и синуклеинопатии Болезнь Паркинсона является нейродегенеративным нарушением, которое патологически характеризуется присутствием интрацитоплазмических телец Леви (Lewy in Handbuch der Neurologie, M. Lewandowski, ed., Springer, Berlin, pp.920-933, 1912; Pollanen et al., J. Neuropath. Exp.Neurol. 52:183-191, 1993), основными компонентами которых являются нити, состоящие из 276:2045-2047, 1997; Kruger et al., Nature Genet. 18:106-108, 1998). Недавно in vitro исследования продемонстрировали, что рекомбинантный Nature Med. 4:1318-1320, 1998; Hashimoto et al., Brain Res. 799:301-306, 1998; Nahri et al., J. Biol. Chem. 274:9843-9846, 1999). Самое важное, что связанные с болезнью Паркинсона мутации Синуклеины представляют собой семейство небольших пресинаптических нейрональных белков, состоящих из
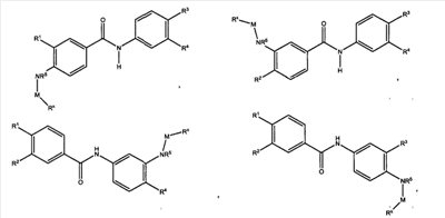
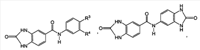
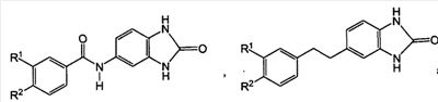
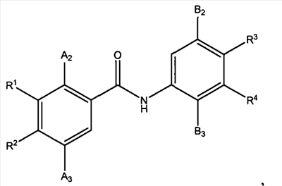
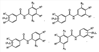
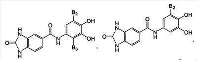
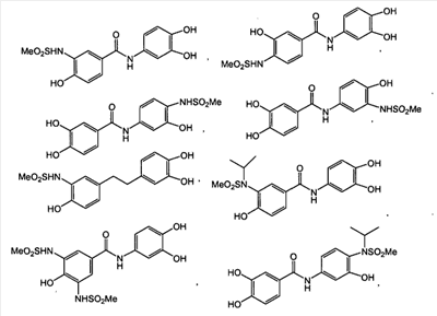
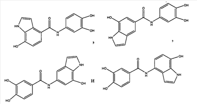
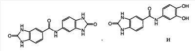
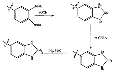
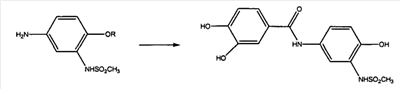
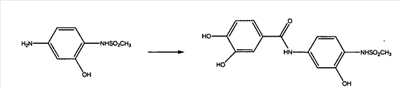
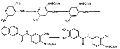
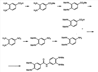
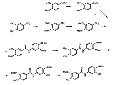
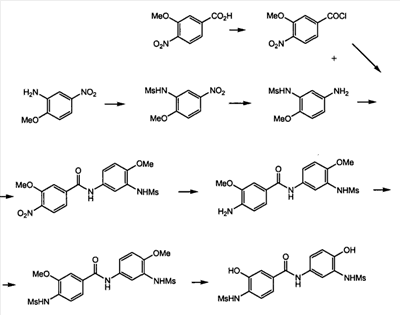
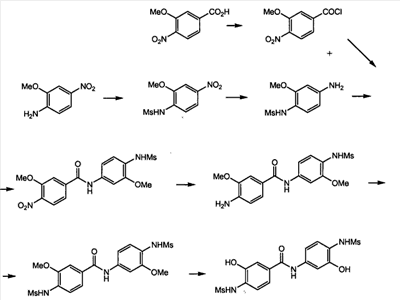
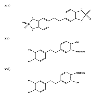
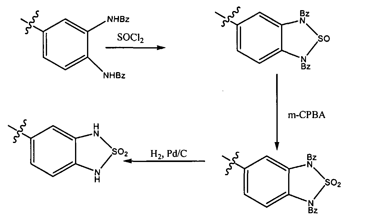
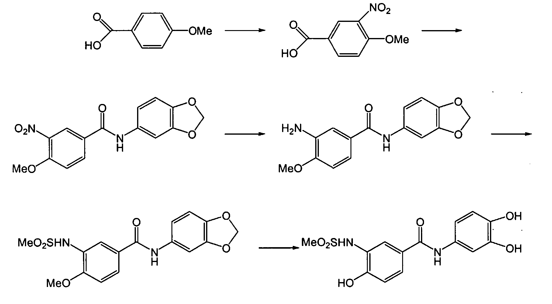
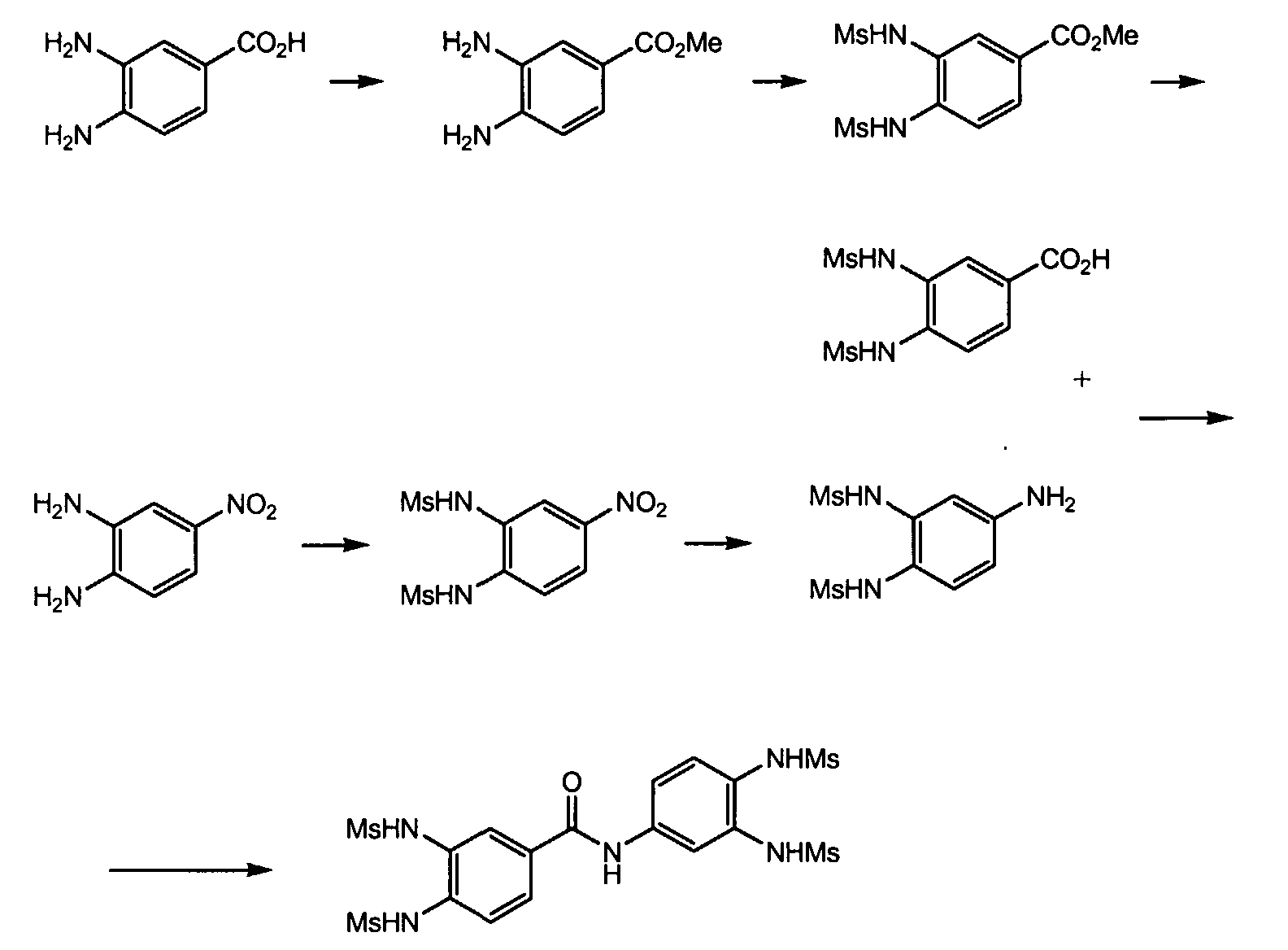
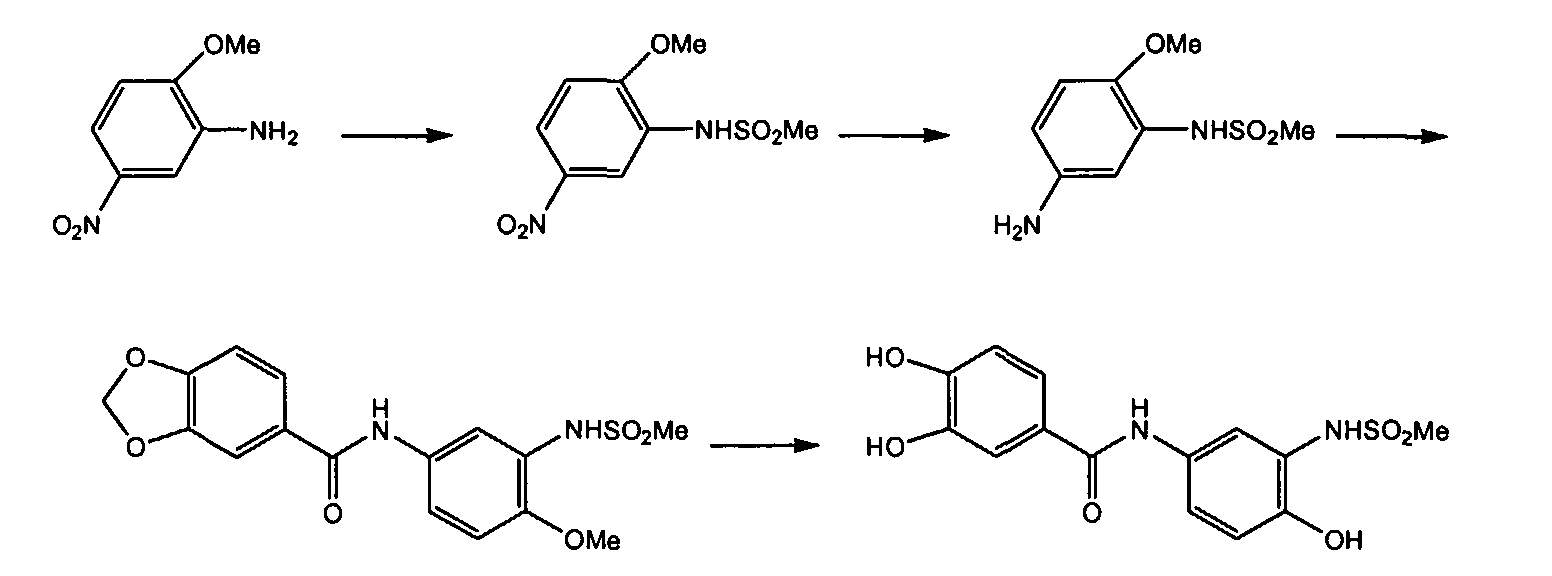
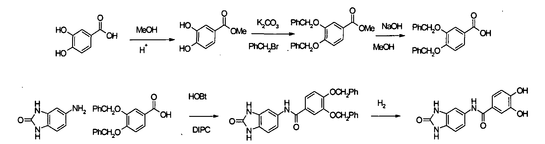
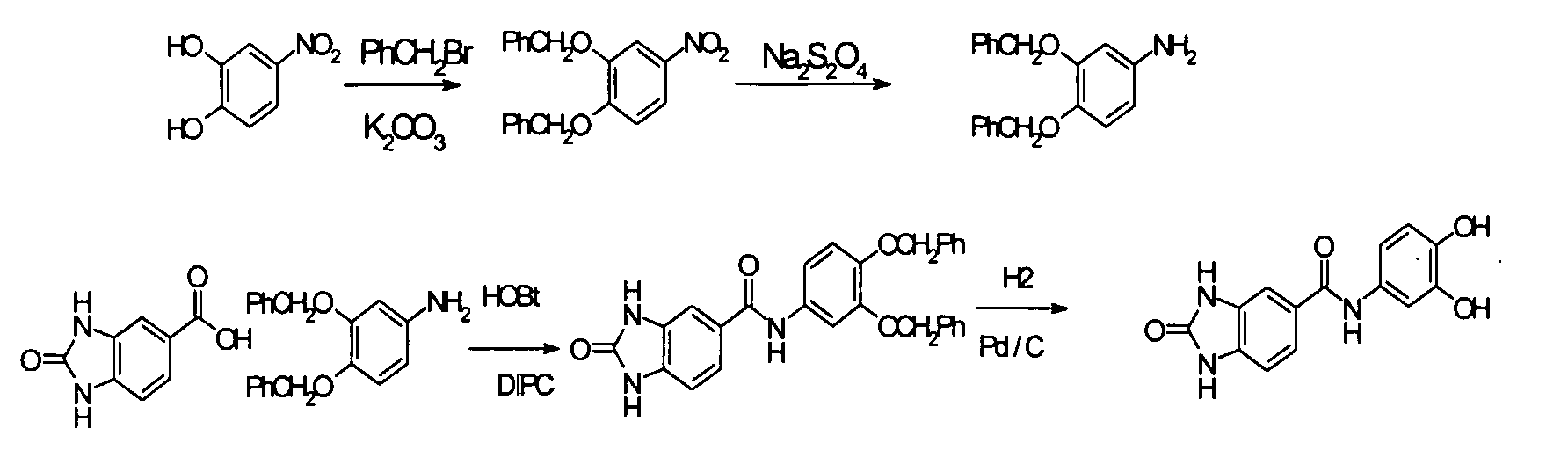
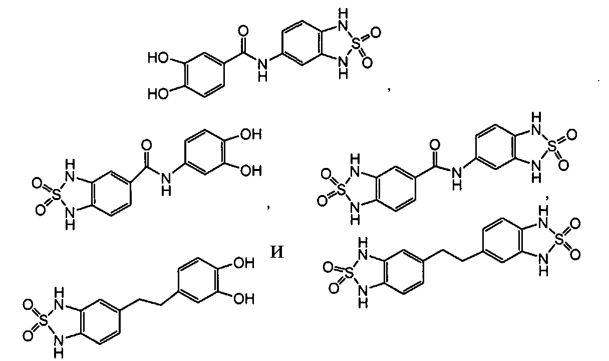
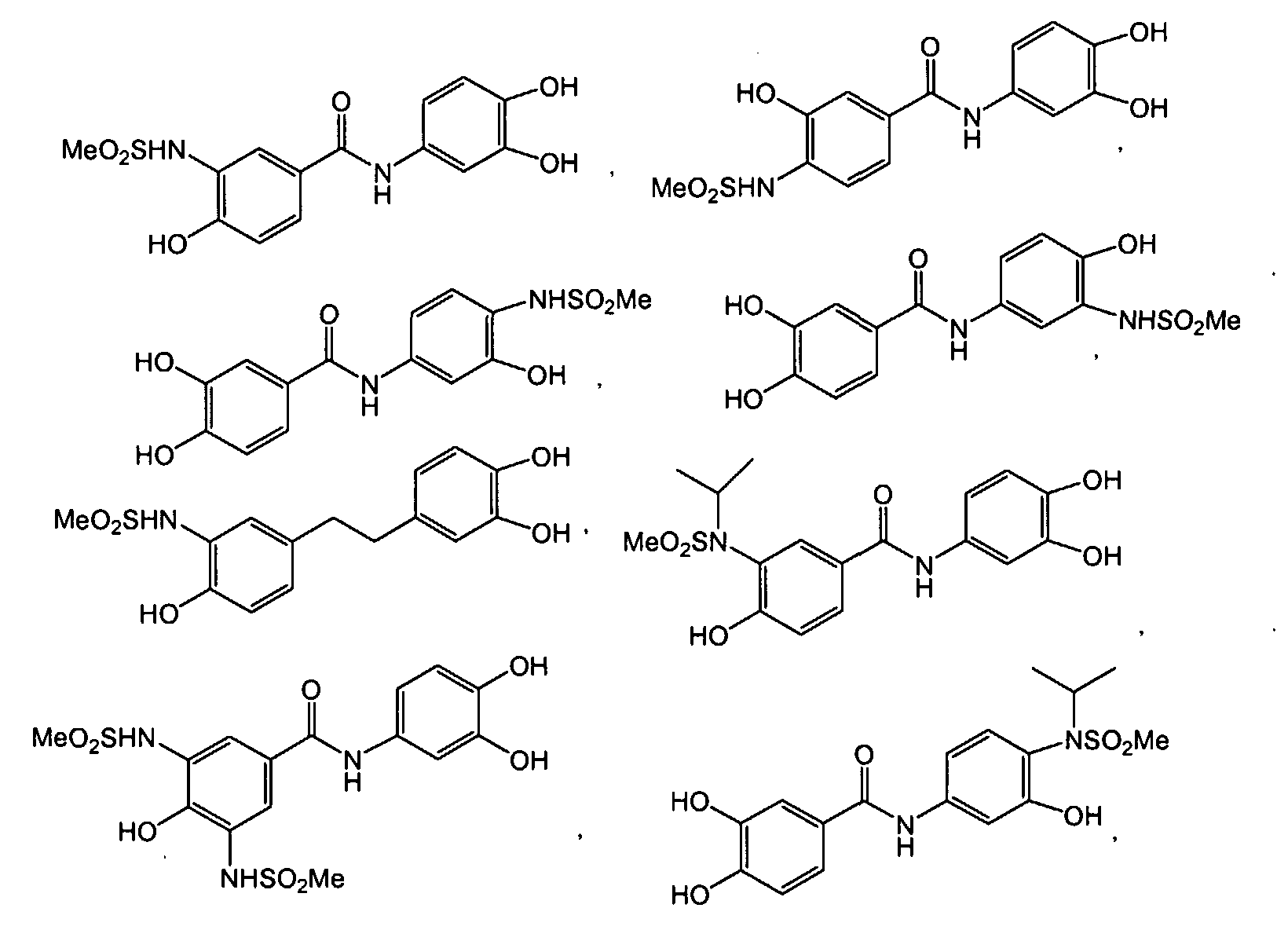
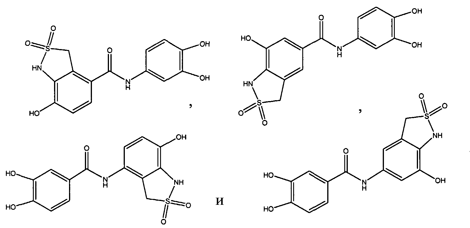
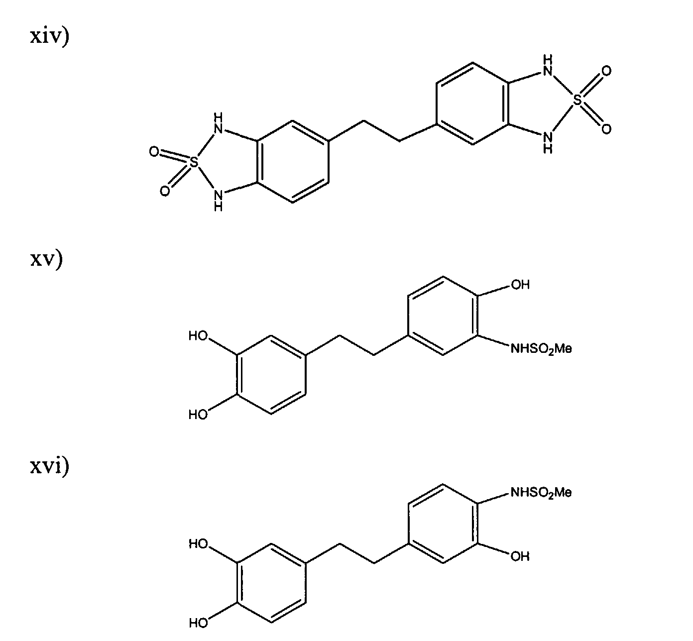
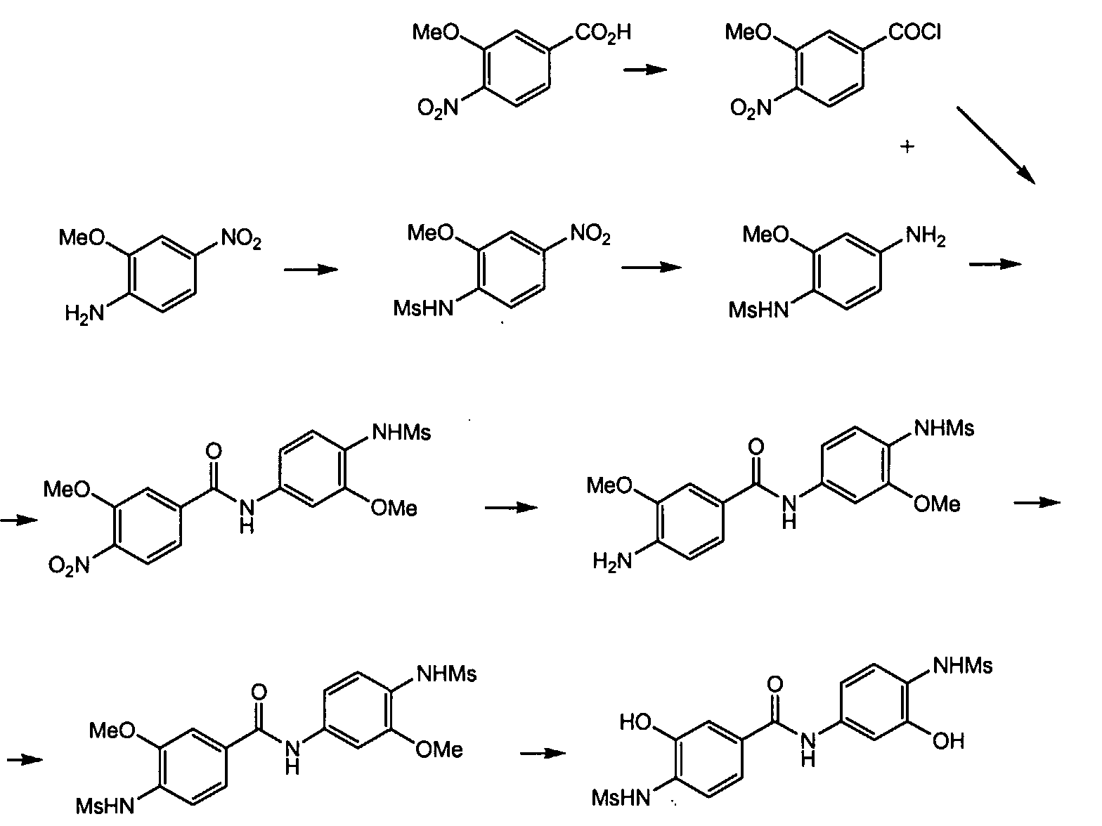
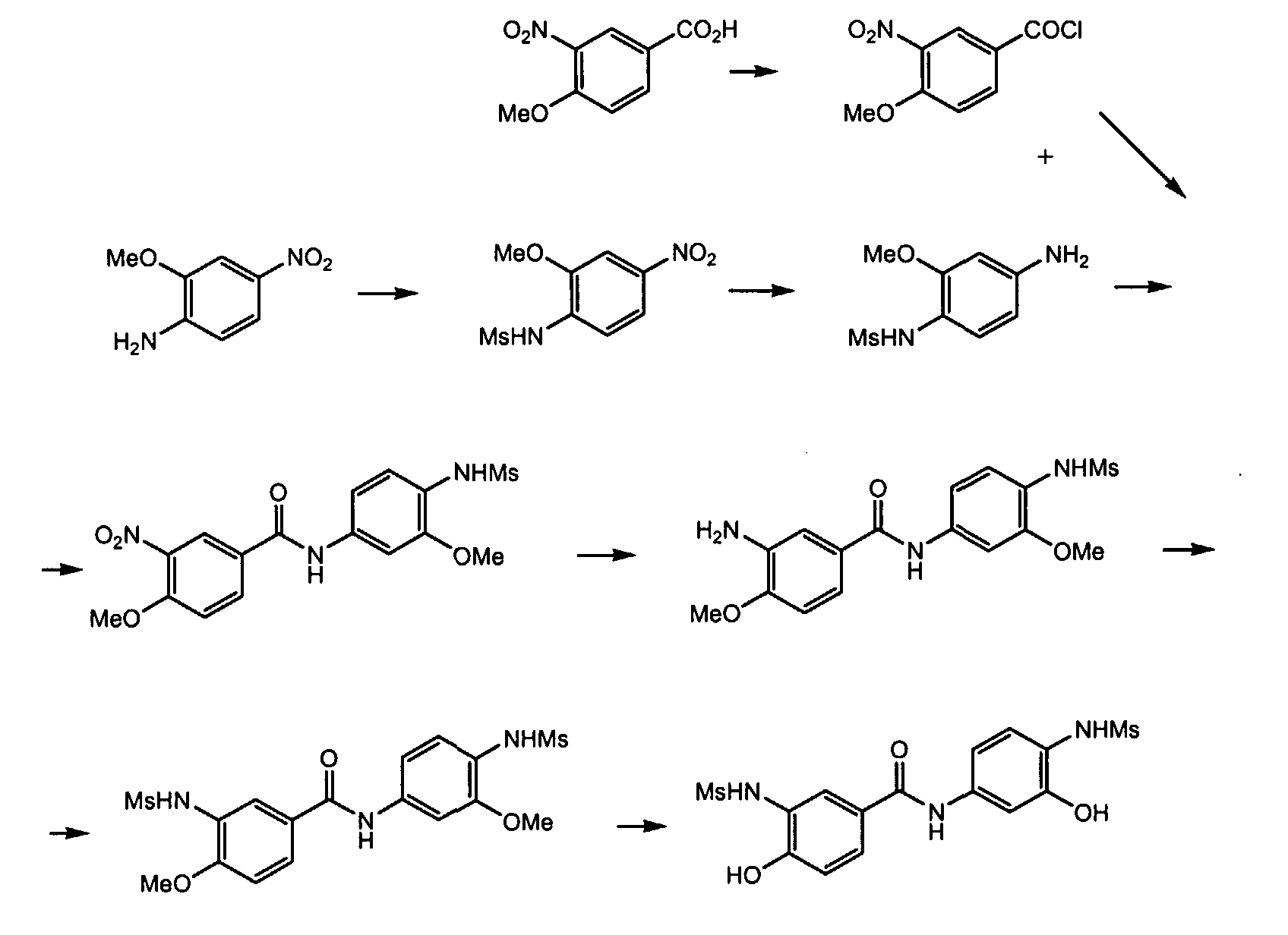
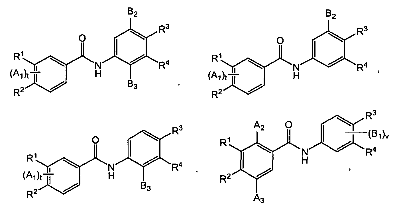
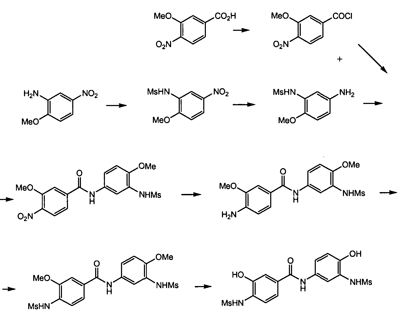
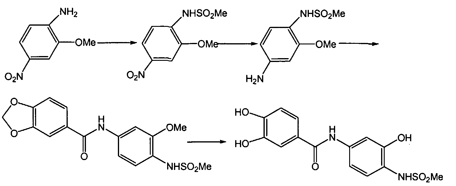
Существует настоятельная необходимость в обнаружении и идентификации новых соединений или агентов в качестве потенциальных лекарств для прекращения амилоидных образований, отложений, накопления и/или персистентности, которые наблюдаются при болезни Альцгеймера, болезни Паркинсона, диабете 2 типа и других амилоидозах. СУЩНОСТЬ ИЗОБЕТЕНИЯ Настоящее изобретение представляет собой соединения и фармацевтические композиции, содержащие соединения формул: или их фармацевтически приемлемые производные, где R выбирают из 1) CONR’ и 2) C1-С10алкиленовой группы, в которой: (a) если число атомов углерода составляет, по меньшей мере, 2, присутствуют необязательно 1 или 2 двойные связи; (b) 1-3 несмежные метиленовые группы необязательно заменены NR’, O или S; (c) 1 или 2 метиленовые группы необязательно заменены карбонильной или гидроксиметиленовой группой; и (d) 1 или 2 метиленовые группы необязательно заменены циклоалкильной или гетероциклильной группой, которая необязательно замещена одним или более заместителей, выбранных из низшего алкила, NR’, O или S; R1 представляет H, алкил или ацил; R1, R2, R3 и R4 независимо выбирают следующим образом: i) R1, R2, R3 и R4 независимо выбирают из ОН, -NR5C(=O)R6 и -NR7S(O2)R8, где R5 и R7 каждый независимо представляет водород, замещенный или незамещенный алкил, замещенный или незамещенный арил, замещенный или незамещенный аралкил, замещенный или незамещенный гетероарил, замещенный или незамещенный гетероаралкил, замещенный или незамещенный гетероциклил или замещенный или незамещенный гетероциклилалкил; и R6 и R8 каждый независимо представляет замещенный или незамещенный алкокси, замещенный или незамещенный аралкокси, замещенный или незамещенный алкил, замещенный или незамещенный гетероарил, замещенный или незамещенный гетероциклил, замещенный или незамещенный арил или -NR9R10, где R9 и R10 каждый независимо представляет водород, алкил, аралкил, арил, гетероарил, гетероаралкил или гетероциклил при условии, что, по меньшей мере, один из R1, R2, R3 и R4 не представляет OH; ii) R1 и R2 и/или R3 и R4 вместе представляют -NH-C(=O)-NH-, -NH-S(O2)-NH-, -CH2-C(=O)-NH- или -CH2-S(O2)-NH и вместе с атомами углерода, к которым они присоединены, образуют 5-членное гетероциклическое кольцо, и другие из R1, R2, R3 и R4 независимо выбирают как в i); или iii) по меньшей мере, один из R1, R2, R3 и R4 представляет -NH-CRa=CRb– или -NH-S(O2)CRcRd– и вместе с двумя смежными атомами углерода фенильного кольца образует замещенное или незамещенное гетероциклическое или замещенное или незамещенное гетероароматическое кольцо, и другие из R1, R2, R3 и R4 независимо выбирают как в i) или ii); и где кольца A и B замещены одним или более заместителей, выбранных из электроноакцепторной группы, включая, но не ограничиваясь перечисленным, галоген, псевдогалоген, нитро,+NH3, SO3H, карбокси и галогеноалкил. В одном из вариантов R1-R10, Ra, Rb, Rc и Rd соответствующим образом выбирают так, чтобы оптимизировать физико-химические и/или биологические характеристики, такие как биодоступность, фармакокинетика, проницаемость гематоэнцефалического барьера, оптимизированный метаболизм и повышенная эффективность при лечении амилоидных заболеваний и синуклеинопатий. Также предложены любые фармацевтически приемлемые производные, включая соли, сложные эфиры, енольные простые эфиры или сложные эфиры, ацетали, кетали, сложные ортоэфиры, гемиацетали, гемикетали, сольваты, гидраты или пролекарственные формы соединений. Фармацевтически приемлемые соли включают, но не ограничиваются перечисленным, соли аминов, такие как, но не ограничиваясь перечисленным, N,N’-дибензилэтилендиамин, хлорпрокаин, холин, аммиак, диэтаноламин и другие гидроксиалкиламины, этилендиамин, N-метилглюкамин, прокаин, N-бензилфенэтиламин, 1-пара-хлорбензил-2-пирролидин-1′-илметилбензимидазол, диэтиламин и другие алкиламины, пиперазин, трис(гидроксиметил)аминометан, соли щелочных металлов, такие как, но не ограничиваясь перечисленным, соли лития, калия и натрия, и соли щелочноземельных металлов, такие как, но не ограничиваясь перечисленным, соли бария, кальция и магния, соли переходных металлов, такие как, но не ограничиваясь перечисленным, соли цинка и других металлов, такие как, но не ограничиваясь перечисленным, гидрофосфат натрия и динатрий фосфат, и также включая, но не ограничиваясь перечисленным, соли минеральных кислот, такие как, но не ограничиваясь перечисленным, гидрохлориды и сульфаты, соли органических кислот, такие как, но не ограничиваясь перечисленным, ацетаты, лактаты, малаты, тартраты, цитраты, аскорбаты, сукцинаты, бутираты, валераты и фумараты. Предложены также фармацевтические препараты для введения соответствующим способом и средства, содержащие эффективные концентрации одного или более из представленных здесь соединений или фармацевтически приемлемых производных, таких как соли, сложные эфиры, енольные простые эфиры или сложные эфиры, ацетали, кетали, сложные ортоэфиры, гемиацетали, гемикетали, сольваты, гидраты или пролекарственные формы, соединений которые обеспечивают количества, эффективные для лечения амилоидных заболеваний. Препараты должны быть композициями, подходящими для введения любым необходимым способом, и они включают растворы, суспензии, эмульсии, таблетки, диспергируемые таблетки, пилюли, капсулы, порошки, сухие порошки для ингаляции, композиции с замедленным выделением, аэрозоли для введения в нос и дыхательные пути, пластыри для трансдермального введения и любые другие подходящие формы. Композиции должны быть пригодны для перорального введения, парентерального введения путем инъекций, включая подкожные, внутримышечные или внутривенные, в виде водных или масляных растворов или эмульсий, трансдермального введения и других выбираемых способов. Предложены способы использования таких соединений и композиций для разрушения, дезагрегации и способствующие удалению, уменьшению или выведению амилоида или синуклеиновых фибрилл, тем самым предоставляя новые способы лечения амилоидных заболеваний и синуклеинопатий. Предложены также способы лечения, предотвращения или улучшения состояния одного или более из симптомов амилоидных заболеваний или амилоидозов, включая, но не ограничиваясь перечисленным, заболевания, связанные с образованием, отложениями, накоплением или персистентностью амилоидных фибрилл, например фибрилл амилоидного белка, выбранных из A Способы лечения амилоидных заболеваний, включают, но не ограничиваются перечисленным, болезнь Альцгеймера, синдром Дауна, боксерскую деменцию, множественную системную атрофию, миозит с включениями телец, наследственную церебральную геморрагию с амилоидозом голландского типа, болезнь Неймана-Пика типа C, церебральную Предложены также способы лечения, предотвращения или улучшения состояния одного или более из симптомов синуклеинового заболевания или синуклеинопатии. В одном из вариантов указанные способы ингибируют или предотвращают образование ПОДРОБНОЕ ОПИСАНИЕ A. Определения Если нет других указаний, все использованные здесь технические и научные термины имеют те же значения, которые обычно подразумевают специалисты, имеющие отношение к рассматриваемому изобретению. Все патенты, заявки, опубликованные заявки и другие публикации включены сюда для ссылки во всей полноте. В том случае, если существует многозначность определений для используемых здесь терминов, те, что приведены в этом разделе, имеют преимущество перед другими. В том смысле, как здесь использован, термин “амилоидные заболевания” или “амилоидозы” представляет заболевания, связанные с образованием, отложением, накоплением или персистентностью амилоидных фибрилл, включая, но не ограничиваясь перечисленным, фибриллы амилоидного белка, выбранные из A В том смысле, как здесь использован, термин “синуклеиновые заболевания” или “синуклеинопатии” обозначает заболевания, связанные с образованием, отложением, накоплением или персистентностью синуклеиновых фибрилл, включая, но не ограничиваясь перечисленным, Термин “фибриллогенез” относится к образованию, отложению, накоплению и/или персистентности амилоидных фибрилл, нитей, включений, отложений, также как синуклеиновых (обычно включающих Термин “ингибирование фибриллогенеза” относится к ингибированию образования, отложения, накопления и/или персистентности указанных амилоидных фибрилл или синуклеиновых фибриллоподобных отложений. “Разрушение фибрилл или фибриллогенеза” относится к разрушению образованных ранее амилоидных или синуклеиновых фибрилл, которые обычно существуют преимущественно в Термин “млекопитающее” включает как людей, так и других млекопитающих, таких как домашние животные (кошки, собаки и т.п.), лабораторные животные (такие как мыши, крысы, морские свинки и т.п.) и хозяйственные животные (рогатый скот, лошади, овцы, козы, свиньи и т.п.). Термин “фармацевтически приемлемый эксципиент” означает эксципиент, который обычно используют при получении фармацевтических композиций, которые обычно безопасны, нетоксичны и желательны, и включает эксципиенты, которые приемлемы для использования в ветеринарии или для фармацевтического использования у людей. Указанные эксципиенты могут быть твердыми, жидкими, полутвердыми или, в случае аэрозольной композиции, газообразными. Термин “терапевтически эффективное количество” означает количество, которого при введении субъекту или животному для лечения заболевания достаточно для достижения желательной степени лечения, предотвращения или симптомов улучшения состояния при заболевании. “Терапевтически эффективное количество” или “терапевтически эффективная доза” в некоторых вариантах ингибирует, уменьшает, разрушает, демонтирует образование, отложение, накопление и/или персистентность амилоидных или синуклеиновых фибрилл или лечит, осуществляет профилактику или облегчает один или более из симптомов заболевания, связанного с указанными состояниями, такими как амилоидное заболевание или синуклеинопатия, в измеряемом количестве в одном из вариантов, по меньшей мере, на 20%, в другом варианте, по меньшей мере, на 40%, в другом варианте, по меньшей мере, на 60% и в еще одном варианте, по меньшей мере, на 80% по сравнению с не подвергавшимся обработке субъектом. Эффективные количества представленных здесь соединений или их композиций для лечения млекопитающих составляют от около 0,1 до около 1000 мг/кг веса тела субъекта/день, например от около 1 до около 100 мг/кг/день, в другом варианте от около 10 до около 100 мг/кг/день. Считают, что широкий интервал доз раскрытых композиций является и безопасным и эффективным. Термин “компонент с замедленным выделением” определяется здесь как соединение или соединения, включая, но не ограничиваясь перечисленным, полимеры, полимерные матрицы, гели, проницаемые мембраны, липосомы, микросферы или т.п., или их комбинации, которые облегчают замедленное выделение активного ингредиента. Если комплекс растворим в воде, его можно приготовить в подходящем буфере, например в забуференном фосфатом солевом растворе или в других физиологически совместимых растворах. В другом варианте, если полученный комплекс плохо растворяется в водных растворителях, тогда его можно приготовить с неионным поверхностно-активным агентом, таким как Tween или полиэтиленгликоль. Так, соединения и их физиологические растворители можно приготовить, например, для введения путем ингаляции или вдувания (или через рот, или через нос) или для перорального, буккального, парентерального или ректального введения. В том смысле, как здесь использованы, фармацевтически приемлемые производные соединения включают соли, сложные эфиры, енольные простые эфиры, енольные сложные эфиры, ацетали, кетали, сложные ортоэфиры, гемиацетали, гемикетали, сольваты, гидраты или их пролекарственные формы. Такие производные могут легко получить специалисты, используя известные способы для получения таких производных. Полученные соединения можно вводить животным или людям без значительных токсических эффектов независимо от того, являются ли они фармацевтически активными или являются пролекарственными формами. Фармацевтически приемлемые соли включают, но не ограничиваются перечисленным, соли аминов, такие как, но не ограничиваясь перечисленным, N,N’-дибензилэтилендиамин, хлорпрокаин, холин, аммиак, диэтаноламин и другие гидроксиалкиламины, этилендиамин, N-метилглюкамин, прокаин, N-бензилфенэтиламин, 1-пара-хлорбензил-2-пирролидин-1′-илметилбензимидазол, диэтиламин и другие алкиламины, пиперазин и трис(гидроксиметил)аминометан; соли щелочных металлов, таких как, но не ограничиваясь перечисленным, литий, калий и натрий; соли щелочноземельных металлов, таких как, но не ограничиваясь перечисленным, барий, кальций и магний; соли переходных металлов, таких как, но не ограничиваясь перечисленным, цинк; и соли других металлов, такие как, но не ограничиваясь перечисленным, гидрофосфат натрия и динатрийфосфат; и также включая, но не ограничиваясь перечисленным, соли минеральных кислот, такие как, но не ограничиваясь перечисленным, гидрохлориды и сульфаты; и соли органических кислот, такие как, но не ограничиваясь перечисленным, ацетаты, лактаты, малаты, тартраты, цитраты, аскорбаты, сукцинаты, бутираты, валераты и фумараты. Фармацевтически приемлемые сложные эфиры включают, но не ограничиваются перечисленным, алкильные, алкенильные, алкинильные, арильные, гетероарильные, аралкильные, гетероаралкильные, циклоалкильные и гетероциклильные сложные эфиры кислотных групп, включая, но не ограничиваясь перечисленным, карбоновые кислоты, фосфорные кислоты, фосфиновые кислоты, сульфоновые кислоты, сульфиновые кислоты и бороновые кислоты. Фармацевтически приемлемые енольные эфиры включают, но не ограничиваются перечисленным, производные формулы C=C(OR), где R представляет водород, алкил, алкенил, алкинил, арил, гетероарил, аралкил, гетероаралкил, циклоалкил или гетероциклил. Фармацевтически приемлемые енольные сложные эфиры включают, но не ограничиваются перечисленным, производные формулы C=C(OC(O)R), где R представляет водород, алкил, алкенил, алкинил, арил, гетероарил, аралкил, гетероаралкил, циклоалкил или гетероциклил. Фармацевтически приемлемые сольваты и гидраты представляют собой комплексы соединения с одной или более молекул растворителя или воды, или от 1 до около 100, или от 1 до около 10, или от одной до около 2, 3 или 4 молекул растворителя или воды. В том смысле, как здесь использован, термин «лечение» означает любой способ, благодаря которому один или более симптомов заболевания или нарушения ослабляется или изменяется в благоприятную сторону. Лечение заболевания включает также предотвращение заболевания в отношении субъекта, который может быть предрасположен к указанному заболеванию, но еще не испытывает или не проявляет симптомов заболевания (профилактическая обработка), ингибирование заболевания (замедление или прекращение его развития), обеспечение облегчения симптомов или побочных эффектов заболевания (включая паллиативное лечение) и ослабление заболевания (вызывающее регрессию заболевания), например, путем разрушения образовавшихся ранее амилоидных или синуклеиновых фибрилл. Одним из способов такого предотвращения заболевания может быть использование предложенных соединений для умеренного ослабления познавательных способностей (MCI). В том смысле, как здесь использовано, выражение «ослабление симптомов конкретного заболевания путем введения конкретного соединения или фармацевтической композиции» относится к любому ослаблению независимо от того, является ли оно постоянным или временным, длительным или кратковременным, которое может быть приписано или связано с введением указанной композиции. В том смысле, как здесь использован, термин “NAC” (не-A В том смысле, как здесь использован, термин «пролекарственная форма» относится к соединению, которое после введения in vivo претерпевает метаболизм на одной или более из стадий процесса или каким-либо другим способом превращается в биологически, фармацевтически или терапевтически активную форму соединения. Для получения пролекарственной формы фармацевтически активное соединение модифицируют таким образом, чтобы активное соединение могло восстановиться в результате метаболических процессов. Пролекарственные формы могут быть сконструированы таким образом, чтобы изменить метаболическую способность или транспортные характеристики лекарства, чтобы замаскировать побочные эффекты или токсичность, чтобы улучшить вкус лекарства или изменить другие характеристики или свойства лекарства. Если известно фармацевтически активное соединение, на основании знаний фармакодинамических процессов и метаболизма лекарств in vivo специалисты в данной области могут создать пролекарственные формы указанного соединения (см., например, Nogrady (1985) Medicinal Chemistry A Biochemical Approach, Oxford University Press, New York, pages 388-392). Следует понимать, что представленные здесь соединения могут содержать хиральные центры. Указанные хиральные центры могут иметь или (R) или (S) конфигурацию или могут иметь их смесь. Таким образом, представленные здесь соединения могут быть энантиомерно чистыми или представлять стереоизомерные или диастереоизомерные смеси. В случае аминокислотных остатков указанные остатки могут быть или в L- или в D-форме. Конфигурация природных аминокислотных остатков обычно соответствует L-форме. Если нет конкретных указаний, имеется в виду L-форма. В том смысле, как здесь использован, термин “аминокислота” относится к В том смысле, как здесь использован, термин «практически чистый» означает достаточно гомогенный, по-видимому не содержащий легко определяемых примесей при исследовании стандартными аналитическими методами, такими как тонкослойная хроматография (TLC), электрофорез в геле, высокоэффективная жидкостная хроматография (ВЭЖХ) и масс-спектрометрия (MS), которые используют специалисты для оценки такой степени чистоты, или достаточно чистый, так что дополнительная очистка заметно не изменит физические и химические свойства, такие как ферментную и биологическую активность вещества. Способы очистки соединений для получения практически химически чистых соединений известны специалистам. Практически химически чистые соединение могут, однако, представлять собой смесь стереоизомеров. В таких случаях дальнейшая очистка может повысить специфическую активность соединения. В том смысле, как здесь использованы, термины «алкильная», «алкенильная» и «алкинильная углеродные цепочки», если нет конкретных указаний, относятся к цепочкам, которые содержат от 1 до 20 атомов углерода или от 1 или 2 до 16 атомов углерода и могут быть неразветвленными или разветвленными. Алкенильные углеродные цепочки, состоящие из 2-20 атомов углерода, в некоторых вариантах содержат 1-8 двойных связей, и алкенильные углеродные цепочки, состоящие из 2-16 атомов углерода, в некоторых вариантах содержат 1-5 двойных связей. Алкинильные углеродные цепочки, состоящие из 2-20 атомов углерода, в некоторых вариантах содержат 1-8 тройных связей, и алкинильные углеродные цепочки, состоящие из 2-16 атомов углерода, в некоторых вариантах содержат 1-5 тройных связей. Примеры алкильных, алкенильных и алкинильных групп здесь включают, но не ограничиваются перечисленным, метил, этил, пропил, изопропил, изобутил, н-бутил, втор-бутил, трет-бутил, изопентил, неопентил, трет-пентил, изогексил, аллил (пропенил) и пропаргил (пропинил). В том смысле, как здесь использованы, термины «низший алкил», «низший алкенил» и «низший алкинил» относятся к углеродным цепочкам, содержащим от около 1 или от около 2 атомов углерода вплоть до около 6 атомов углерода. В том смысле, как здесь использован, термин «алк(ен)(ил)ил» относится к алкильной группе, содержащей, по меньшей мере, одну двойную связь и, по меньшей мере, одну тройную связь. В том смысле, как здесь использован, термин “циклоалкил” относится к насыщенной моно- или полициклической кольцевой системе, содержащей в некоторых вариантах от 3 до 10 атомов углерода, в других вариантах от 3 до 6 атомов углерода; циклоалкенил и циклоалкинил относится к моно- или полициклическим кольцевым системам, которые соответственно включают, по меньшей мере, одну двойную связь и, по меньшей мере, одну тройную связь. Циклоалкенильная и циклоалкинильная группы могут, в некоторых вариантах, содержать от 3 до 10 атомов углерода, а циклоалкенильные группы, в других вариантах, содержат от 4 до 7 атомов углерода, и циклоалкинильные группы, в других вариантах, содержат от 8 до 10 атомов углерода. Кольцевые системы циклоалкильной, циклоалкенильной и циклоалкинильной групп могут состоять из одного кольца или двух или более колец, которые могут быть соединены вместе как конденсированные, мостиковые или спиросистемы. Термин В том смысле, как здесь использован, термин “арил” относится к ароматической моноциклической или полициклической группе, содержащей от 6 до 19 атомов углерода. Арильные группы включают, но не ограничиваются перечисленным, такие группы, как незамещенный или замещенный флуоренил, незамещенный или замещенный фенил и незамещенный или замещенный нафтил. В том смысле, как здесь использован, термин “гетероарил” относится к моноциклической или полициклической ароматической кольцевой системе, содержащей, в некоторых вариантах, от около 5 до около 15 членов, где один или более, в одном из вариантов 1-3, из атомов в кольцевой системе является гетероатомом, то есть элементом, отличающимся от углерода, включая, но не ограничиваясь перечисленным, азот, кислород или серу. Гетероарильная группа может быть необязательно конденсирована с бензольным кольцом. Гетероарильные группы включают, но не ограничиваются перечисленным, фурил, имидазолил, пиримидинил, тетразолил, тиенил, пиридил, пирролил, тиазолил, изотиазолил, оксазолил, изоксазолил, триазолил, хинолинил и изохинолинил. В том смысле, как здесь использован, термин “гетероциклил” относится к моноциклической или полициклической ароматической кольцевой системе, в одном из вариантов состоящей из 3-10 членов, в другом варианте из 4-7 членов и еще в одном варианте из 5-6 членов, где один или более, в некоторых вариантах 1-3, из атомов кольцевой системы являются гетероатомом, то есть элементом, отличающимся от углерода, включая, но не ограничиваясь перечисленным, азот, кислород или серу. В тех вариантах, где гетероатом (гетероатомы) представляет азот, указанный азот необязательно замещен алкилом, алкенилом, алкинилом, арилом, гетероарилом, аралкилом, гетероаралкилом, циклоалкилом, гетероциклилом, циклоалкилалкилом, гетероциклилалкилом, ацилом, гуанидино, или указанный азот может быть кватернизован с образованием группы аммония, где заместители выбирают, как указано выше. В том смысле, как здесь использован, термин “аралкил” относится к алкильной группе, в которой один из атомов водорода алкила заменен арильной группой. В том смысле, как здесь использован, термин “гетероаралкил” относится к алкильной группе, в которой один из атомов водорода алкила заменен гетероарильной группой. В том смысле, как здесь использованы, термины “гало”, “галоген” или “галид” относятся к F, Cl, Br или I. В том смысле, как здесь использован, термин «псевдогалогениды или псевдогалогенидные группы» представляет группы, которые ведут себя практически так же, как галогениды. Такие соединения можно использовать таким же способом и обрабатывать таким же способом, как галогениды. Псевдогалогениды включают, но не ограничиваются перечисленным, цианид, цианат, тиоцианат, селеноцианат, трифторметокси и азид. В том смысле, как здесь использован, термин “галогеноалкил” относится к алкильной группе, в которой один или более атомов водорода заменен галогеном. Такие группы включают, но не ограничиваются перечисленным, хлорметил, трифторметил и 1-хлор-2-фторэтил. В том смысле, как здесь использован, термин “галогеналкокси” относится к группе RO-, в которой R представляет галогеноалкильную группу. В том смысле, как здесь использованы, термины “сульфинил” или “тионил” относятся к -S(O)-. В том смысле, как здесь использованы, термины “сульфонил” или “тионил” относятся к -S(O)2-. В том смысле, как здесь использован, термин “сульфо” относится к -S(O)2O-. В том смысле, как здесь использован, термин “карбокси” относится к двухвалентному радикалу, -C(O)O-. В том смысле, как здесь использован, термин “аминокарбонил” относится к -C(O)NH2. В том смысле, как здесь использован, термин “алкиламинокарбонил” относится к группе -C(O)NHR, в которой R представляет алкил, включая низший алкил. В том смысле, как здесь использован, термин “диалкиламинокарбонил В том смысле, как здесь использован, термин “арилалкиламинокарбонил” относится к группе -C(O)NRR’, в которой один из R и R’ представляет арил, включая низший арил, такой как фенил, и другой из R и R’ представляет алкил, включая низший алкил. В том смысле, как здесь использован, термин “ариламинокарбонил В том смысле, как здесь использован, термин “гидроксикарбонил” относится к -COOH. В том смысле, как здесь использован, термин “алкоксикарбонил” относится к группе -C(O)OR, в которой R представляет алкил, включая низший алкил. В том смысле, как здесь использован, термин “арилоксикарбонил” относится к группе -C(O)OR, в которой R представляет арил, включая низший арил, такой как фенил. В том смысле, как здесь использованы, термины “алкокси” и “алкилтио” относятся к группам RO- и RS-, в которых R представляет алкил, включая низший алкил. В том смысле, как здесь использованы, термины “арилокси” и “арилтио” относятся к группам RO- и RS-, в которых R представляет арил, включая низший арил, такой как фенил. В том смысле, как здесь использован, термин “алкилен” относится к неразветвленной, разветвленной или циклической, в некоторых вариантах неразветвленной или разветвленной, двухвалентной алифатической углеводородной группе, в одном из вариантов состоящей из от 1 до около 20 атомов углерода, в другом варианте состоящей из 1-12 атомов углерода. В еще одном варианте алкилен включает низший алкилен. В алкиленовую группу могут быть необязательно вставлены один или более атомов кислорода, серы, включая S(=O) и S(=O)2 группы, или замещенные или незамещенные атомы азота, включая -NR- и -N+RR- группы, где заместителем (заместителями) азота являются алкил, арил, аралкил, гетероарил, гетероаралкил или COR’, где R’ представляет алкил, арил, аралкил, гетероарил, гетероаралкил, -OY или -NYY, где Y представляет водород, алкил, арил, гетероарил, циклоалкил или гетероциклил. Алкиленовые группы включают, но не ограничиваются перечисленным, метилен (-CH2-), этилен (-CH2CH2-), пропилен (-(CH2)3-), метилендиокси (-O-CH2-O-) и этилендиокси (-O-(CH2)2-O-). Термин “низший алкилен” относится к алкиленовой группе, содержащей 1-6 атомов углерода. В некоторых вариантах алкиленовой группой является низший алкилен, включая алкилен, состоящий из 1-3 атомов углерода. В том смысле, как здесь использован, термин “азаалкилен” относится к группе -(CRR)n-NR-(CRR)m-, где n и m каждый независимо представляет целое число от 0 до 4. В том смысле, как здесь использован, термин “оксаалкилен” относится к группе -(CRR)n-O-(CRR)m-, где n и m каждый независимо представляет целое число от 0 до 4. В том смысле, как здесь использован, термин “тиаалкилен” относится к группам -(CRR)n-S-(CRR)m-, -(CRR)n-S(=O)-(CRR)m– и -(CRR)n-S(=O)2-(CRR)m-, где n и m каждый независимо представляет целое число от 0 до 4. В том смысле, как здесь использован, термин “алкенилен” относится к неразветвленной, разветвленной или циклической, в одном из вариантов неразветвленной или разветвленной, двухвалентной алифатической углеводородной группе, в некоторых вариантах содержащей от 2 до около 20 атомов углерода и, по меньшей мере, одну двойную связь, в других вариантах 1-12 атомов углерода. В других вариантах алкениленовые группы включают низший алкенилен. В алкениленовую группу могут быть необязательно вставлены один или более атомов кислорода, серы или замещенные или незамещенные атомы азота, где заместителем азота является алкил. Алкениленовые группы включают, но не ограничиваются перечисленным, -CH=CH-CH=CH- и -CH=CH-CH2-. Термин “низший алкенилен” относится к алкениленовым группам, содержащим 2-6 атомов углерода. В некоторых вариантах алкениленовыми группами являются низшие алкениленовые группы, включая алкенилен, содержащий от 3 до 4 атомов углерода. В том смысле, как здесь использован, термин “алкинилен” относится к неразветвленной, разветвленной или циклической, в некоторых вариантах неразветвленной или разветвленной, двухвалентной алифатической углеводородной группе, в одном из вариантов содержащей от 2 до около 20 атомов углерода и, по меньшей мере, одну тройную связь, в другом варианте 1-12 атомов углерода. В другом варианте алкинилен включает низший алкинилен. В алкиниленовую группу могут быть необязательно вставлены один или более атомов кислорода, серы или замещенные или незамещенные атомы азота, где заместителем азота является алкил. Алкиниленовые группы включают, но не ограничиваются перечисленным, -C В том смысле, как здесь использован, термин “алк(ен)(ин)илен” относится к неразветвленной, разветвленной или циклической, в некоторых вариантах неразветвленной или разветвленной, двухвалентной алифатической углеводородной группе, в одном из вариантов содержащей от 2 до около 20 атомов углерода, и, по меньшей мере, одну тройную связь, и, по меньшей мере одну двойную связь, в другом варианте 1-12 атомов углерода. В другом варианте алк(ен)(ин)илен включает низший алк(ен)(ин)илен. В алкиниленовую группу могут быть необязательно вставлены один или более атомов кислорода, серы или замещенные или незамещенные атомы азота, где заместителем азота является алкил. Алк(ен)(ин)иленовые группы включают, но не ограничиваются перечисленным, -C=C-(CH2)n-C В том смысле, как здесь использован, термин “циклоалкилен” относится к двухвалентной насыщенной моно- или полициклической кольцевой системе, в некоторых вариантах состоящей из 3-10 атомов углерода, в других вариантах 3-6 атомов углерода; циклоалкенилен и циклоалкинилен относятся к двухвалентным моно- или полициклическим кольцевым системам, которые соответственно включают, по меньшей мере, одну двойную связь и, по меньшей мере, одну тройную связь. Циклоалкениленовая и циклоалкиниленовая группы могут, в некоторых вариантах, содержать от 3 до 10 атомов углерода, причем циклоалкениленовые группы в некоторых вариантах содержат от 4 до 7 атомов углерода, и циклоалкиниленовые группы в некоторых вариантах содержат от 8 до 10 атомов углерода. Кольцевые системы циклоалкиленовой, циклоалкениленовой и циклоалкиниленовой групп могут состоять из одного кольца или двух или более колец, которые могут быть соединены вместе как конденсированные, мостиковые или спироструктуры. Термин “циклоалк(ен)(ин)илен” относится к циклоалкиленовой группе, содержащей, по меньшей мере, одну двойную связь и, по меньшей мере, одну тройную связь. В том смысле, как здесь использован, термин “арилен” относится к моноциклической или полициклической, в некоторых вариантах моноциклической, двухвалентной ароматической группе, в одном из вариантов содержащей от 5 до около 20 атомов углерода и, по меньшей мере, одно ароматическое кольцо, в другом варианте содержащей от 5 до 12 атомов углерода. В других вариантах арилен включает низший арилен. Ариленовые группы включают, но не ограничиваются перечисленным, 1,2-, 1,3- и 1,4-фенилен. Термин “низший арилен” относится к ариленовым группам, содержащим 6 атомов углерода. В том смысле, как здесь использован, термин “гетероарилен” относится к двухвалентной моноциклической или полициклической ароматической кольцевой системе, в одном из вариантов содержащей от около 5 до около 15 атомов в кольце (кольцах), где один или более, в некоторых вариантах от 1 до 3, атомов в кольцевой системе являются гетероатомами, то есть элементами, которые отличаются от углерода, включая, но не ограничиваясь перечисленным, азот, кислород или серу. Термин “низший гетероарилен” относится к гетероариленовым группам, содержащим 5 или 6 атомов в кольце. В том смысле, как здесь использован, термин “гетероциклилен” относится к двухвалентной моноциклической или полициклической неароматической кольцевой системе, в некоторых вариантах состоящей из 3-10 членов, в одном из вариантов из 4-7 членов, в другом варианте из 5-6 членов, где один или более, включая 1-3, из атомов в кольцевой системе, являются гетероатомами, то есть элементами, которые отличаются от углерода, включая, но не ограничиваясь перечисленным, азот, кислород или серу. В том смысле, как здесь использованы, термины “замещенный алкил”,”замещенный алкенил”, “замещенный алкинил”, “замещенный циклоалкил”, “замещенный циклоалкенил”, “замещенный циклоалкинил”, “замещенный арил”, “замещенный гетероарил”, “замещенный гетероциклил”, “замещенный алкилен”, “замещенный алкенилен”, “замещенный алкинилен”, “замещенный циклоалкилен”, “замещенный циклоалкенилен”, “замещенный циклоалкинилен”, “замещенный арилен”, “замещенный гетероарилен” и “замещенный гетероциклилен” относятся к алкильной, алкенильной, алкинильной, циклоалкильной, циклоалкенильной, циклоалкинильной, арильной, гетероарильной, гетероциклильной, алкиленовой, алкениленовой, алкиниленовой, циклоалкиленовой, циклоалкениленовой, циклоалкиниленовой, ариленовой, гетероариленовой и гетероциклиленовой группам, соответственно, которые замещены одним или более заместителей, в некоторых вариантах одним, двумя, тремя или четырьмя заместителями, где заместители имеют указанные здесь значения, в одном из вариантов заместители выбраны из Q’. В том смысле, как здесь использован, термин “алкилиден” относится к двухвалентной группе, такой как=CR’R”, которая присоединена к одному атому другой группы, образуя двойную связь. Алкилиденовые группы включают, но не ограничиваются перечисленным, метилиден (=CH2) и этилиден (=CHCH3). В том смысле, как здесь использован, термин “арилалкилиден” относится к алкилиденовой группе, в которой или R’, или R” представляет арильную группу. “Циклоалкилиденовыми” группами являются те группы, в которых R’ и R” связаны с образованием карбоциклического кольца. “Гетероциклилиденовыми” группами являются такие группы, где, по меньшей мере, один из R’ и R” содержит гетероатом в цепи и R’ и R” связаны с образованием гетероциклического кольца. В том смысле, как здесь использован, термин “амидо” относится к двухвалентной группе -C(O)NH-. “Тиоамидо” относится к двухвалентной группе -C(S)NH-. “Оксиамидо” относится к двухвалентной группе -OC(O)NH-. “Тиаамидо” относится к двухвалентной группе -SC(O)NH-. “Дитиаамидо” относится к двухвалентной группе -SC(S)NH-. “Уреидо” относится к двухвалентной группе -HNC(O)NH-. “Тиоуреидо” относится к двухвалентной группе -HNC(S)NH-. В том смысле, как здесь использован, термин “семикарбазид” относится к -NHC(O)NHNH-. “Карбазат” относится к двухвалентной группе -OC(О)NHNH-. “Изотиокарбазат” относится к двухвалентной группе -SC(O)NHNH-. “Тиокарбазат” относится к двухвалентной группе -OC(S)NHNH-. “Сульфонилгидразид” относится к двухвалентной группе -SO2NHNH-. “Гидразид” относится к двухвалентной группе -C(О)NHNH-. “Азо” относится к двухвалентной группе -N=N-. “Гидразинил” относится к двухвалентной группе -NH-NH-. Если не указано число любых представленных заместителей (например, галогеноалкил), присутствовать могут один или более заместителей. Например, “галогеноалкилы” могут включать один или более из одинаковых или различных галогенов. В качестве другого примера пример “С1-3алкоксифенил” может включать один или более из одинаковых или различных алкоксигрупп, содержащих один, два или три атома углерода. В том смысле, как здесь использованы, сокращения для любых защитных групп, аминокислот и других соединений соответствуют, если нет других указаний, их обычному употреблению, известным сокращениям или информации в IUPAC-IUB Commission on Biochemical Nomenclature (см.(1972) Biochem. 77:942-944). В. Соединения В настоящем изобретении предложены соединения и фармацевтические композиции, содержащие соединения формул: или фармацевтически приемлемые производные, где R выбирают следующим образом: 1) R представляет CONR’ или 2) R представляет C1-C10 алкиленовую группу, в которой: (a) если число атомов углерода составляет, по меньшей мере, 2, необязательно присутствуют 1 или 2 двойные связи; (b) 1-3 несмежные метиленовые группы необязательно заменены NR’, О или S; (c) 1 или 2 метиленовые группы необязательно заменены карбонильной или гидроксиметиленовой группой; и (d) 1 или 2 метиленовые группы необязательно заменены циклоалкильной или гетероциклильной группой, которая необязательно замещена одним или более заместителей, выбранных из низшего алкила, NR’, O или S; R’ представляет H, алкил или ацил; A1 и B1 каждый независимо выбирают из галогена, псевдогалогена, нитро,+NH3, SO3H, карбокси и галогеноалкила; t и v каждый независимо представляет 0-3; R1, R2, R3 и R4 каждый независимо выбирают следующим образом: i) R1, R2, R3 и R4 каждый независимо выбирают из OH, -NR5C(=O)R6 и -NR7S(O2)R8, где R5 и R7 каждый независимо представляет водород, замещенный или незамещенный алкил, замещенный или незамещенный арил, замещенный или незамещенный аралкил, замещенный или незамещенный гетероарил, замещенный или незамещенный гетероаралкил, замещенный или незамещенный гетероциклил или замещенный или незамещенный гетероциклилалкил; и R6 и R8 каждый независимо представляет замещенный или незамещенный алкокси, замещенный или незамещенный аралкокси, замещенный или незамещенный алкил, замещенный или незамещенный гетероарил, замещенный или незамещенный гетероциклил, замещенный или незамещенный арил или -NR9R10, где R9 и R10 каждый независимо представляет водород, алкил, аралкил, арил, гетероарил, гетероаралкил или гетероциклил при условии, что, по меньшей мере, один из R1, R2, R3 и R4 не представляет OH; ii) R1 и R2 и/или R3 и R4 вместе представляют -NH-C(=O)-NH-, -NH-S(O2)-NH-, -CH2-C(=O)-NH- или -CH2-S(O2)-NH и вместе с атомами углерода, к которым они присоединены, образуют 5-членное гетероциклическое кольцо, и другие из R1, R2, R3 и R4 каждый независимо выбирают как в i); или iii) по меньшей мере, один из R1, R2, R3 и R4 представляет -NH-CRa=CRb– или -NH-S(O2)CRcRd– и вместе с двумя смежными атомами углерода фенильного кольца образует замещенное или незамещенное гетероциклическое или замещенное или незамещенное гетероароматическое кольцо, и другие из R1, R2, R3 и R4 каждый независимо выбирают как в i) или ii); где Ra, Rb, Rc и Rd каждый независимо представляет водород или замещенный или незамещенный алкил, где заместители, если они присутствуют, выбраны из одного или более заместителей, в одном из вариантов одного-трех или четырех заместителей, каждый из которых независимо выбран из Q1, где Ql представляет галоген, псевдогалоген, гидрокси, оксо, тиа, нитрил, нитро, формил, меркапто, гидроксикарбонил, гидроксикарбонилалкил, алкил, галогеноалкил, полигалогеноалкил, аминоалкил, диаминоалкил, алкенил, содержащий 1-2 двойные связи, алкинил, содержащий 1-2 тройные связи, циклоалкил, циклоалкилалкил, гетероциклил, гетероциклилалкил, арил, гетероарил, аралкил, аралкенил, аралкинил, гетероарилалкил, триалкилсилил, диалкиларилсилил, алкилдиарилсилил, триарилсилил, алкилиден, арилалкилиден, алкилкарбонил, арилкарбонил, гетероарилкарбонил, алкоксикарбонил, алкоксикарбонилалкил, арилоксикарбонил, арилоксикарбонилалкил, аралкоксикарбонил, аралкоксикарбонилалкил, арилкарбонилалкил, аминокарбонил, алкиламинокарбонил, диалкиламинокарбонил, ариламинокарбонил, диариламинокарбонил, арилалкиламинокарбонил, алкокси, арилокси, гетероарилокси, гетероаралкокси, гетероциклилокси, циклоалкокси, перфторалкокси, алкенилокси, алкинилокси, аралкокси, алкилкарбонилокси, арилкарбонилокси, аралкилкарбонилокси, алкоксикарбонилокси, арилоксикарбонилокси, аралкоксикарбонилокси, аминокарбонилокси, алкиламинокарбонилокси, диалкиламинокарбонилокси, алкилариламинокарбонилокси, диариламинокарбонилокси, гуанидино, изотиоуреидо, уреидо, N-алкилуреидо, N-арилуреидо, N’-алкилуреидо, N’,N’-диалкилуреидо, N’-алкил-N’-арилуреидо, N’,N’-диарилуреидо, N’-арилуреидо, N,N’-диалкилуреидо, N-алкил-N’-арилуреидо, N-арил-N’-алкилуреидо, N,N’-диарилуреидо, N,N’,N’-триалкилуреидо, N,N’-диалкил-N’-арилуреидо, N-алкил-N’,N’-диарилуреидо, N-арил-N’,N’-диалкилуреидо, N,N’-диарил-N’-алкилуреидо, N,N’,N’-триарилуреидо, амидино, алкиламидино, ариламидино, имино, гидроксиимино, алкоксиимино, арилоксиимино, аралкоксиимино, алкилазо, арилазо, аралкилазо, аминотиокарбонил, алкиламинотиокарбонил, ариламинотиокарбонил, амино, аминоалкил, алкиламиноалкил, диалкиламиноалкил, ариламиноалкил, диариламиноалкил, алкилариламинолкил, алкиламино, диалкиламино, галогеноалкиламино, ариламино, диариламино, алкилариламино, алкилкарбониламино, алкоксикарбониламино, аралкоксикарбониламино, арилкарбониламино, арилкарбониламиноалкила, арилоксикарбониламиноалкила, арилоксиарилкарбониламино, арилоксикарбониламино, алкилсульфониламино, арилсульфониламино, гетероарилсульфониламино, гетероциклилсульфониламино, гетероарилтио, азидо, -N+R51R52R53, P(R50)2, OP(=O)(R50)2, P(=O)(R50)2, -NR60C(=O)R63, диалкилфосфонил, алкиларилфосфонил, диарилфосфонил, гидроксифосфонил, алкилтио, арилтио, перфторалкилтио, гидроксикарбонилалкилтио, тиоциано, изотиоциано, алкилсульфинилокси, алкилсульфонилокси, арилсульфинилокси, арилсульфонилокси, гидроксисульфонилокси, алкоксисульфонилокси, аминосульфонилокси, алкиламиносульфонилокси, диалкиламиносульфонилокси, ариламиносульфонилокси, диариламиносульфонилокси, алкилариламиносульфонилокси, алкилсульфинил, алкилсульфонил, арилсульфинил, арилсульфонил, гидроксисульфонил, алкоксисульфонил, аминосульфонил, алкиламиносульфонил, диалкиламиносульфонил, ариламиносульфонил, диариламиносульфонил или алкилариламиносульфонил; или две Q1 группы, которые замещают атомы в 1,2- или 1,3-положениях, вместе образуют алкилендиокси (т.е. -O-(CH2)y-O-), тиоалкиленокси (т.е. -S-(CH2)y-O-) или алкилендитиокси (т.е. -S-(CH2)y-S-), где y представляет 1 или 2; или две Q1 группы, которые являются заместителями у одного и того же атома, вместе образуют алкилен; где R50 представляет гидрокси, алкокси, аралкокси, алкил, гетероарил, гетероциклил, арил или -NR70R71, где R70 и R71 каждый независимо представляет водород, алкил, аралкил, арил, гетероарил, гетероаралкил или гетероциклил, или R70 и R71 вместе образуют алкилен, азаалкилен, оксаалкилен или тиаалкилен; R51, R52 и R53 каждый независимо представляет водород, алкил, арил, аралкил, гетероарил, гетероаралкил, гетероциклил или гетероциклилалкил; R60 представляет водород, алкил, арил, аралкил, гетероарил, гетероаралкил, гетероциклил или гетероциклилалкил; и R63 представляет алкокси, аралкокси, алкил, гетероарил, гетероциклил, арил или -NR70R71. В некоторых вариантах представленные здесь соединения имеют формулу: или их фармацевтически приемлемые производные, где R выбирают из C1-C10 алкиленовой группы, в которой, (a) если число атомов углерода составляет, по меньшей мере, 2, необязательно присутствуют 1 или 2 двойные связи; (b) 1-3 несмежные метиленовые группы необязательно заменены NR’ (где R’ представляет H, алкил или ацил), O или S; (c) 1 или 2 метиленовые группы необязательно заменены карбонильной или гидроксиметиленовой группой; и (d) 1 или 2 метиленовые группы необязательно заменены циклоалкильной или гетероциклильной группой, которая необязательно замещена одним или более заместителей, выбранных из низшего алкила, NR’ (где R1 представляет H, алкил или ацил), O или S, R1, R2, R3 и R4 независимо выбирают следующим образом: i) R1, R2, R3 и R4 независимо выбирают из OH, -NR5C(=O)R6 и -NR7S(O2)R8, где R5 и R7 каждый независимо представляет водород, замещенный или незамещенный алкил, замещенный или незамещенный арил, замещенный или незамещенный аралкил, замещенный или незамещенный гетероарил, замещенный или незамещенный гетероаралкил, замещенный или незамещенный гетероциклил или замещенный или незамещенный гетероциклилалкил; и R6 и R8 каждый независимо представляет замещенный или незамещенный алкокси, замещенный или незамещенный аралкокси, замещенный или незамещенный алкил, замещенный или незамещенный гетероарил, замещенный или незамещенный гетероциклил, замещенный или незамещенный арил или -NR9R10, где R9 и R10 каждый независимо представляет водород, алкил, аралкил, арил, гетероарил, гетероаралкил или гетероциклил при условии, что, по меньшей мере, один из R1, R2, R3 и R4 не представляют OH; ii) R1 и R2 и/или R3 и R4 вместе представляют -NH-C(=O)-NH-, -NH-S(O2)-NH-, -CH2-C(=O)-NH- или -CH2-S(O2)-NH и вместе с атомами углерода, к которым они присоединены, образуют 5-членное гетероциклическое кольцо, и другие из R1, R2, R3 и R4 независимо выбирают как в i); или iii) по меньшей мере, один из R1, R2, R3 и R4 представляет -NH-CRa=CRb– или -NH-S(O2)CRcRd– и вместе с двумя смежными атомами углерода фенильного кольца образует замещенное или незамещенное гетероциклическое или замещенное или незамещенное гетероароматическое кольцо, и другие из R1, R2, R3 и R4 независимо выбирают как в i) или ii); где Ra, Rb, Rc и Rd каждый независимо представляет водород или замещенный или незамещенный алкил, где заместители, если они присутствуют, выбраны из одного или более заместителей, в одном из вариантов из одного-трех или четырех заместителей, каждый из которых независимо выбран из Q1, где Q1 представляет галоген, псевдогалоген, гидрокси, оксо, тиа, нитрил, нитро, формил, меркапто, гидроксикарбонил, гидроксикарбонилалкил, алкил, галогеноалкил, полигалогеноалкил, аминоалкил, диаминоалкил, алкенил, содержащий от 1 до 2 двойных связей, алкинил, содержащий от 1 до 2 тройных связей, циклоалкил, циклоалкилалкил, гетероциклил, гетероциклилалкил, арил, гетероарил, аралкил, аралкенил, аралкинил, гетероарилалкил, триалкилсилил, диалкиларилсилил, алкилдиарилсилил, триарилсилил, алкилиден, арилалкилиден, алкилкарбонил, арилкарбонил, гетероарилкарбонил, алкоксикарбонил, алкоксикарбонилалкил, арилоксикарбонил, арилоксикарбонилалкил, аралкоксикарбонил, аралкоксикарбонилалкил, арилкарбонилалкил, аминокарбонил, алкиламинокарбонил, диалкиламинокарбонил, ариламинокарбонил, диариламинокарбонил, арилалкиламинокарбонил, алкокси, арилокси, гетероарилокси, гетероаралкокси, гетероциклилокси, циклоалкокси, перфторалкокси, алкенилокси, алкинилокси, аралкокси, алкилкарбонилокси, арилкарбонилокси, аралкилкарбонилокси, алкоксикарбонилокси, арилоксикарбонилокси, аралкоксикарбонилокси, аминокарбонилокси, алкиламинокарбонилокси, диалкиламинокарбонилокси, алкилариламинокарбонилокси, диариламинокарбонилокси, гуанидино, изотиоуреидо, уреидо, N-алкилуреидо, N-арилуреидо, N’-алкилуреидо, N’,N’-диалкилуреидо, N’-алкил-N’-арилуреидо, N’,N’-диарилуреидо, N’-арилуреидо, N,N’-диалкилуреидо, N-алкил-N’-арилуреидо, N-арил-N’-алкилуреидо, N,N’-диарилуреидо, N,N’,N’-триалкилуреидо, N,N’-диалкил-N’-арилуреидо, N-алкил-N’,N’-диарилуреидо, N-арил-N’,N’-диалкилуреидо, N,N’-диарил-N’-алкилуреидо, N,N’,N’-триарилуреидо, амидино, алкиламидино, ариламидино, имино, гидроксиимино, алкоксиимино, арилоксиимино, аралкоксиимино, алкилазо, арилазо, аралкилазо, аминотиокарбонил, алкиламинотиокарбонил, ариламинотиокарбонил, амино, аминоалкил, алкиламиноалкил, диалкиламиноалкил, ариламиноалкил, диариламиноалкил, алкилариламиноалкил, алкиламино, диалкиламино, галогеноалкиламино, ариламино, диариламино, алкилариламино, алкилкарбониламино, алкоксикарбониламино, аралкоксикарбониламино, арилкарбониламино, арилкарбониламиноалкил, арилоксикарбониламиноалкил, арилоксиарилкарбониламино, арилоксикарбониламино, алкилсульфониламино, арилсульфониламино, гетероарилсульфониламино, гетероциклилсульфониламино, гетероарилтио, азидо, -N+R51R52R53, P(R50)2, P(=O)(R50)2, OP(=O)(R50)2, -NR60C(=O)R63, диалкилфосфонил, алкиларилфосфонил, диарилфосфонил, гидроксифосфонил, алкилтио, арилтио, перфторалкилтио, гидроксикарбонилалкилтио, тиоциано, изотиоциано, алкилсульфинилокси, алкилсульфонилокси, арилсульфинилокси, арилсульфонилокси, гидроксисульфонилокси, алкоксисульфонилокси, аминосульфонилокси, алкиламиносульфонилокси, диалкиламиносульфонилокси, ариламиносульфонилокси, диариламиносульфонилокси, алкилариламиносульфонилокси, алкилсульфинил, алкилсульфонил, арилсульфинил, арилсульфонил, гидроксисульфонил, алкоксисульфонил, аминосульфонил, алкиламиносульфонил, диалкиламиносульфонил, ариламиносульфонил, диариламиносульфонил или алкилариламиносульфонил; или две Q1 группы, которые замещают атомы в 1,2- или 1,3-положениях, вместе образуют алкилендиокси (т.е. -O-(CH2)y-O-), тиоалкиленокси (т.е. -S-(CH2)y-O-) или алкилендитиокси (т.е. -S-(CH2)y-S-), где y представляет 1 или 2; или две Q1 группы, которые являются заместителями у одного и того же атома, вместе образуют алкилен; где R50 представляет гидрокси, алкокси, аралкокси, алкил, гетероарил, гетероциклил, арил или -NR70R71, где R70 и R71 каждый независимо представляет водород, алкил, аралкил, арил, гетероарил, гетероаралкил или гетероциклил, или R70 и R71 вместе образуют алкилен, азаалкилен, оксаалкилен или тиаалкилен; R51, R52 и R53 каждый независимо представляет водород, алкил, арил, аралкил, гетероарил, гетероаралкил, гетероциклил или гетероциклилалкил; R60 представляет водород, алкил, арил, аралкил, гетероарил, гетероаралкил, гетероциклил или гетероциклилалкил; и R63 представляет алкокси, аралкокси, алкил, гетероарил, гетероциклил, арил или -NR70R71. В некоторых вариантах Q1 представляет оксо, алкил, галогеноалкил, полигалогеноалкил, аминоалкил, диаминоалкил, алкенил, содержащий 1-2 двойные связи, алкинил, содержащий 1-2 тройные связи, циклоалкил, циклоалкилалкил, гетероциклил, гетероциклилалкил, арил, гетероарил, аралкил, аралкенил, аралкинил или гетероарилалкил. В некоторых вариантах Q1 представляет оксо или алкил. В некоторых вариантах Q1 представляет оксо. В некоторых вариантах Q1 представляет алкил. В некоторых вариантах Q1 представляет низший алкил. В некоторых вариантах Q1 представляет метил. В некоторых вариантах R’ представляет H или алкил. В других вариантах R’ представляет H. В некоторых вариантах t представляет 0, 1 или 2. В некоторых вариантах t представляет 0 или 1. В некоторых вариантах t представляет 1. В некоторых вариантах v представляет 0, 1 или 2. В некоторых вариантах v представляет 0 или 1. В некоторых вариантах v представляет 1. В одном из вариантов R представляет -(CH2)mC(O)(CH2)sNH(CH2)r-, -(CH2)P– или -(CH2)sY(CH2)r-, где Y представляет циклоалкильную или гетероциклильную группу, которая необязательно замещена одним или более заместителей, выбранных из алкила, NR’, O или S; p представляет 1-10; и m, s и r каждый независимо представляет 0-6. В одном из вариантов R представляет -C(O)NH, CH2CH2– или -(CH2)Y(CH2)-. В одном из вариантов R представляет -C(O)NH-. В одном из вариантов R представляет -CH2CH2-. В одном из вариантов R представляет -(CH2)Y(CH2)-. В одном из вариантов Y представляет гетероциклил, необязательно замещенный одним или более заместителей, выбранных из алкила и оксо. В одном из вариантов Y представляет мостиковый гетероциклил, необязательно замещенный одним или более заместителей, выбранных из алкила и оксо. В одном из вариантов Y представляет бициклогетероциклил, замещенный метилом и оксо. В одном из вариантов Y представляет бициклогетероциклил, где гетероатом представляет N. В другом варианте Y представляет где Q2 представляет алкил. В некоторых вариантах Y представляет В некоторых вариантах R замещен алкилом, алкенилом, алкинилом, циклоалкилом, циклоалкилалкилом, гетероциклилом, гетероциклилалкилом, арилом, гетероарилом, аралкилом или гетероаралкилом. В некоторых вариантах R замещен алкилом. В других вариантах R замещен низшим алкилом. В некоторых вариантах R замещен метилом. В другом варианте соединения для использования в предложенных здесь композициях и способах представлены формулой: В другом варианте соединения для использования в предложенных здесь композициях и способах представлены формулой: В некоторых вариантах R1, R2, R3 и R4 независимо выбирают из i) OH, формиламида, алкиламида, алкилариламида, аралкиламида, ариламида, N-алкил-N-алкилсульфонамида, алкилсульфонамида, алкиларилсульфонамида, арилсульфонамида или аралкилсульфонамида при условии, что, по меньшей мере, один из R1, R2, R3 и R4 не представляет OH; ii) R1 и R2 и/или R3 и R4 вместе представляют -NH-C(=O)-NH-, -NH-S(O2)-NH-, -CH2-C(=O)-NH- или -CH2-S(O2)-NH и вместе с атомами углерода, к которым они присоединены, образуют 5-членное гетероциклическое кольцо, и другие из R1, R2, R3 и R4 независимо выбирают как в i); или iii) по меньшей мере, один из R1, R2, R3 и R4 представляет -NH-CRa=CRb– или -NH-S(O2)CRcRd– и вместе с двумя смежными атомами углерода фенильного кольца образует замещенное или незамещенное гетероциклическое или замещенное или незамещенное гетероароматическое кольцо, и другие из R1, R2, R3 и R4 независимо выбирают как в i) или ii); где Ra, Rb, Rc и Rd каждый независимо представляет водород или алкил. В одном из вариантов R1, R2, R3 и R4 каждый независимо представляет OH, формиламид, алкиламид, алкилариламид, аралкиламид, ариламид, алкилсульфонамид, N-алкил-N-алкилсульфонамид, алкиларилсульфонамид, арилсульфонамид или аралкилсульфонамид при условии, что, по меньшей мере, один из R1, R2, R3 и R4 не представляет OH. В другом варианте R1, R2, R3 и R4 каждый независимо представляет OH, формиламид или алкилсульфонамид при условии, что, по меньшей мере, один из R1, R2, R3 и R4 не представляет OH. В другом варианте R1, R2, R3 и R4 каждый независимо представляет OH, формиламид или метилсульфонамид при условии, что, по меньшей мере, один из R1, R2, R3 и R4 не представляет OH. В другом варианте R1 и R2 и/или R3 и R4 вместе представляют -NH-C(=O)-NH- и другие из R1, R2, R3 и R4 каждый независимо представляет OH, формиламид, алкилсульфонамид. В другом варианте R1 и R2 вместе представляют -NH-C(=O)-NH-, и R3 и R4 каждый независимо представляет OH, формиламид или метилсульфонамид. В другом варианте R3 и R4 вместе представляют -NH-C(=O)-NH- и R1 и R2 каждый независимо представляет OH, формиламид или метилсульфонамид. В другом варианте, по меньшей мере, один из R1, R2, R3 или R4 представляет -NH-CRa=CRb– или -NH-S(O2)CRcRd– и вместе с двумя смежными атомами углерода фенильного кольца образует замещенное или незамещенное гетероциклическое или замещенное или незамещенное гетероароматическое кольцо, и другие из R1, R2, R3 и R4 независимо выбирают как в i) или ii); где Ra, Rb, Rc и Rd каждый независимо представляет водород или алкил, и другие из R1, R2, R3 и R4 каждый независимо выбирают из OH, формиламида, алкиламида, алкилариламида, аралкиламида, ариламида, алкилсульфонамида, алкиларилсульфонамида, арилсульфонамида и аралкилсульфонамида. В другом варианте, по меньшей мере, один из R1, R2, R3 или R4 представляет -NH-CH=CH- и вместе с двумя смежными атомами углерода фенильного кольца образует индольное кольцо, и другие из R1, R2, R3 и R4 независимо выбирают из OH, формиламида, алкиламида, алкилариламида, аралкиламида, ариламида, алкилсульфонамида, алкиларилсульфонамида, арилсульфонамида и аралкилсульфонамида. В другом варианте, по меньшей мере, один из R1, R2, R3 или R4 представляет -NH-CH=CH- и вместе с двумя смежными атомами углерода фенильного кольца образует индольное кольцо, и другие из R1, R2, R3 и R4 каждый независимо выбирают из OH, формиламида и метилсульфонамида. В другом варианте, по меньшей мере, один из R1, R2, R3 или R4 представляет -NH-S(O2)CH2– и вместе с двумя смежными атомами углерода фенильного кольца образует бензизотиазол-1,1-диоксид, и другие из R1, R2, R3 и R4 каждый независимо выбирают из OH, формиламида и метилсульфонамида. В некоторых вариантах соединения имеют формулы, выбранные из: где i) если M представляет C(O), Rx представляет водород или алкил, и ii) если M представляет S(O)2, Rx представляет алкил. В одном из вариантов M представляет C(O) и Rx представляет алкил. В одном из вариантов M представляет C(O) и R5 представляет изопропил. В одном из вариантов M представляет S(O)2 и Rx представляет метил. В некоторых вариантах соединения имеют формулы, выбранные из: В некоторых вариантах соединения имеют формулы, выбранные из: В других вариантах соединения выбирают из соединений следующих формул: В некоторых вариантах соединения имеют формулу: где A2, A3, B2 и B3 независимо выбирают из галогена, цианида, цианата, тиоцианата, селеноцианата, трифторметокси, азида, нитро и трифторметила; R1, R2, R3 и R4 выбирают следующим образом: i) R1 и R2 представляют OH, и R3 и R4 каждый независимо выбирают, как здесь указано, или ii) R3 и R4 представляют ОН, и R1 и R2 каждый независимо выбирают, как здесь указано, и другие переменные имеют указанные здесь значения. В некоторых вариантах соединение имеет формулу: где A2, A3, B2 и B3 независимо выбирают из галогена, псевдогалогена, нитро,+NH3, SO3H, карбокси и галогеноалкила; и другие переменные имеют указанные здесь значения. В некоторых вариантах соединение имеет формулу: где переменные имеют указанные здесь значения. В некоторых вариантах соединение имеет формулу: где переменные имеют указанные здесь значения. В одном варианте соединение выбирают из 2-оксо-N-(2-оксо-2,3-дигидро-1Н-бензо[d]имидазол-5-ил)-2,3-дигидро-1Н-бензо[d]имидазол-5-карбоксамида; N-(3,4-дигидроксифенил)-2-оксо-2,3-дигидро-1Н-бензо[d]имидазол-5-карбоксамида; и 3,4-дигидрокси-N-(2-оксо-2,3-дигидро-1Н-бензо[d]имидазол-5-ил)бензамида. В еще одном из вариантов соединение выбирают из 3,4,3′,4′-тетрагидроксибензоина; 3,4,3′,4′-тетрагидроксидезоксибензоина; 3,4,3′,4′-тетрагидроксидифенилметана; 1,2-бис(3,4-дигидроксифенил)этана; 1,3-бис(3,4-дигидроксифенил)пропана; 3,4,3′,4′-тетрагидроксихалькона; 3,5-бис(3,4-дигидроксифенил)-1-метил-2-пиразолина; 4,6-бис(3,4-дигидроксифенил)-3-циано-2-метилпиридина; 1,4-бис(3,4-дигидроксибензил)пиперазина; N,N’-бис(3,4-дигидроксибензил)-N,N’-диметилэтилендиамина; 2,5-бис(3,4-дигидроксибензил)-2,5-диаза[2.2.1]бициклогептана; N,N’-бис(3,4-дигидроксибензил)-транс-1,2-диаминоциклогексана; N,N’-бис(3,4-дигидроксибензил)-транс-1,4-диаминоциклогексана; N,N’-бис(3,4-дигидроксибензил)-цис-1,3-бис(аминометил)циклогексана; N-(3,4-дигидроксибензил)пролин-3,4-дигидроксибензиламида; 3,4-дигидроксифенэтиламида 2-(3,4-дигидроксибензил)изохинолин-3-карбоновой кислоты; 2,6-бис(3,4-дигидроксибензил)циклогексанона; 3,5-бис(3,4-дигидроксибензил)-1-метил-4-пиперидинона; 2,4-бис(3,4-дигидроксибензил)-3-тропинона; трис(3,4-дигидроксибензил)метана; 3,4-дигидроксибензиламида 1-(3,4-дигидроксифенил)-3-(3,4-дигидроксибензил)мочевины; 1-(3,4-дигидроксифенил)-3-(3,4-дигидроксифенэтил)мочевины; 3-дезокси-3-(3,4-дигидроксибензил)аминоэпикатехина; 3-дезокси-3-(3,4-дигидроксифенэтил)аминоэпикатехина; 2,3,6,7-тетрагидрокси-9,10-эпокси-9,10-дигидроакридина; 10-аминоантрацен-1,2,7,8-тетраола; акридин-1,2,6,7-тетраола; феноксазин-2,3,7,8,10-пентаола; дибензо[c,f][2,7]нафтиридин-2,3,10,11-тетраола; и 6-метил-5,6,6a,7-тетрагидро-4H-дибензо[de,g]хинолин-2,10,11-триола, где, по меньшей мере, одна из фенольных гидроксигрупп соединения заменена на: i) -NR5C(=O)R6, -NR7S(O2)R8, где R5 и R7 каждый независимо представляет водород, замещенный или незамещенный алкил, замещенный или незамещенный арил, замещенный или незамещенный аралкил, замещенный или незамещенный гетероарил, замещенный или незамещенный гетероаралкил, замещенный или незамещенный гетероциклил или замещенный или незамещенный гетероциклилалкил; и R6 и R8 каждый независимо представляет замещенный или незамещенный алкокси, замещенный или незамещенный аралкокси, замещенный или незамещенный алкил, замещенный или незамещенный гетероарил, замещенный или незамещенный гетероциклил, замещенный или незамещенный арил или -NR9R10, где R9 и R10 каждый независимо представляет водород, алкил, аралкил, арил, гетероарил, гетероаралкил или гетероциклил; ii) R1 и R2 и/или R3 и R4 вместе образуют бензимидазолинон, бензотиадиазолидин-S,S-диоксид или бензоксазолинон; или iii) по меньшей мере, один из R1, R2, R3 и R4 вместе c соседним атомом углерода образует замещенное или незамещенное гетероциклическое или замещенное или незамещенное гетероароматическое кольцо; где заместители, если они присутствуют, выбраны из одного или более заместителей, каждый из которых независимо выбран из Q1, где Ql представляет галоген, псевдогалоген, гидрокси, оксо, тиа, нитрил, нитро, формил, меркапто, гидроксикарбонил, гидроксикарбонилалкил, алкил, галогеналкил, полигалогеналкил, аминоалкил, диаминоалкил, алкенил, содержащий 1-2 двойные связи, алкинил, содержащий 1-2 тройные связи, циклоалкил, циклоалкилалкил, гетероциклил, гетероциклилалкил, арил, гетероарил, аралкил, аралкенил, аралкинил, гетероарилалкил, триалкилсилил, диалкиларилсилил, алкилдиарилсилил, триарилсилил, алкилиден, арилалкилидена, алкилкарбонил, арилкарбонил, гетероарилкарбонил, алкоксикарбонил, алкоксикарбонилалкил, арилоксикарбонил, арилоксикарбонилалкил, аралкоксикарбонил, аралкоксикарбонилалкил, арилкарбонилалкил, аминокарбонил, алкиламинокарбонил, диалкиламинокарбонил, ариламинокарбонил, диариламинокарбонил, арилалкиламинокарбонил, алкокси, арилокси, гетероарилокси, гетероаралкокси, гетероциклилокси, циклоалкокси, перфторалкокси, алкенилокси, алкинилокси, аралкокси, алкилкарбонилокси, арилкарбонилокси, аралкилкарбонилокси, алкоксикарбонилокси, арилоксикарбонилокси, аралкоксикарбонилокси, аминокарбонилокси, алкиламинокарбонилокси, диалкиламинокарбонилокси, алкилариламинокарбонилокси, диариламинокарбонилокси, гуанидино, изотиоуреидо, уреидо, N-алкилуреидо, N-арилуреидо, N’-алкилуреидо, N’,N’-диалкилуреидо, N’-алкил-N’-арилуреидо, N’,N’-диарилуреидо, N’-арилуреидо, N,N’-диалкилуреидо, N-алкил-N’-арилуреидо, N-арил-N’-алкилуреидо, N,N’-диарилуреидо, N,N’,N’-триалкилуреидо, N,N’-диалкил-N’-арилуреидо, N-алкил-N’,N’-диарилуреидо, N-арил-N’,N’-диалкилуреидо, N,N’-диарил-N’-алкилуреидо, N,N’,N’-триарилуреидо, амидино, алкиламидино, ариламидино, имино, гидроксиимино, алкоксиимино, арилоксиимино, аралкоксиимино, алкилазо, арилазо, аралкилазо, аминотиокарбонил, алкиламинотиокарбонил, ариламинотиокарбонил, амино, аминоалкил, алкиламиноалкил, диалкиламиноалкил, ариламиноалкил, диариламиноалкил, алкилариламинолкил, алкиламино, диалкиламино, галогеналкиламино, ариламино, диариламино, алкилариламино, алкилкарбониламино, алкоксикарбониламино, аралкоксикарбониламино, арилкарбониламино, арилкарбониламиноалкил, арилоксикарбониламиноалкил, арилоксиарилкарбониламино, арилоксикарбониламино, алкилсульфониламино, арилсульфониламино, гетероарилсульфониламино, гетероциклилсульфониламино, гетероарилтио, азидо, -N+R51R52R53, P(R50)2, P(=O)(R50)2, OP(=O)(R50)2, -NR60C(=O)R63, диалкилфосфонил, алкиларилфосфонил, диарилфосфонил, гидроксифосфонил, алкилтио, арилтио, перфторалкилтио, гидроксикарбонилалкилтио, тиоциано, изотиоциано, алкилсульфинилокси, алкилсульфонилокси, арилсульфинилокси, арилсульфонилокси, гидроксисульфонилокси, алкоксисульфонилокси, аминосульфонилокси, алкиламиносульфонилокси, диалкиламиносульфонилокси, ариламиносульфонилокси, диариламиносульфонилокси, алкилариламиносульфонилокси, алкилсульфинил, алкилсульфонил, арилсульфинил, арилсульфонил, гидроксисульфонил, алкоксисульфонил, аминосульфонил, алкиламиносульфонил, диалкиламиносульфонил, ариламиносульфонил, диариламиносульфонил или алкилариламиносульфонил; или две Q1 группы, которые замещают атомы в 1,2- или 1,3-положениях, вместе образуют алкилендиокси (т.е. -O-(CH2)y-O-), тиоалкиленокси (т.е. -S-(CH2)y-O-) или алкилендитиокси (т.е. -S-(CH2)y-S-), где y представляет 1 или 2; или две Q1 группы, которые являются заместителями у одного и того же атома, вместе образуют алкилен; где R50 представляет гидрокси, алкокси, аралкокси, алкил, гетероарил, гетероциклил, арил или -NR70R71, где R70 и R71 каждый независимо представляет водород, алкил, аралкил, арил, гетероарил, гетероаралкил или гетероциклил, или R70 и R71 вместе образуют алкилен, азаалкилен, оксаалкилен или тиаалкилен; R51, R52 и R53 каждый независимо представляет водород, алкил, арил, аралкил, гетероарил, гетероаралкил, гетероциклил или гетероциклилалкил; R60 представляет водород, алкил, арил, аралкил, гетероарил, гетероаралкил, гетероциклил или гетероциклилалкил; и R63 представляет алкокси, аралкокси, алкил, гетероарил, гетероциклил, арил или -NR70R71. В некоторых вариантах соединение выбирают из В других вариантах соединение выбирают из В других вариантах соединение выбирают из В некоторых вариантах соединение выбирают из В некоторых вариантах соединение выбирают из В некоторых вариантах соединение является В других вариантах соединение выбирают из В других вариантах соединение выбирают из В некоторых вариантах соединение выбирают из
В некоторых вариантах предложенные здесь соединения имеют формулу: где A1 и B1 независимо выбирают из галогена, псевдогалогена, нитро,+NH3, SO3H, карбокси и галогеноалкила; и t1 и v1 каждый независимо представляет 1-3; и другие переменные имеют указанные здесь значения. В некоторых вариантах t1 и v1 каждый независимо представляет 1 или 2. В некоторых вариантах t1 представляет 1. В некоторых вариантах v1 представляет 1. В некоторых вариантах соединение выбирают из где переменные имеют указанные здесь значения. В некоторых вариантах соединение выбирают из где A2, A3, B2 и B3 независимо выбирают из Cl, F, цианида, цианата, тиоцианата, селеноцианата, трифторметокси, азида, нитро и трифторметила. C. Получение соединений Представленные здесь соединения можно получить, используя известные специалистам стандартные способы синтеза, и они представлены на приведенных здесь общих схемах. В представленных далее примерах раскрыты примерные варианты, и они никоим образом не ограничивают объем заявленного объекта изобретения. Предполагается, что представленное описание вместе со следующими примерами следует рассматривать только в качестве примера, тогда как объем и сущность заявленного объекта изобретения определены в формуле изобретения, которая следует за этими примерами. Другие варианты, соответствующие объему формулы изобретения, должны быть очевидны специалистам в данной области при рассмотрении представленного здесь описания. Исходные материалы и реагенты, которые используют при получении указанных соединений, можно либо получить от коммерческих поставщиков, таких как Aldrich Chemical Company (Milwaukee, WI), Bachem (Torrance, CA), Sigma (St. Louis, MO) или Lancaster Synthesis Inc. (Windham, NH), либо их получают известными специалистам способами в соответствии с процедурами, которые раскрыты в таких ссылках, как Fieser and Fieser’s Reagents for Organic Synthesis, vols. 1-17, John Wiley and Sons, New York, NY, 1991; Rodd’s Chemistry of Carbon Compounds, vols. 1-5 and supps., Elsevier Science Publishers, 1989; Organic Reactions, vols. 1-40, John Wiley and Sons, New York, NY, 1991; March J.: Advanced Organic Chemistry, 4th ed., John Wiley and Sons, New York, NY; и Larock: Comprehensive Organic Transformations, VCH Publishers, New York, 1989. В большинстве случаев защитные группы для гидроксигрупп сначала вводят и в конце удаляют. Подходящие защитные группы раскрыты у Greene et al., Protective Groups in Organic Synthesis, Second Edition, John Wiley and Sons, New York, 1991. Другие исходные материалы или ранние промежуточные соединения можно получить, обрабатывая перечисленные выше материалы, например используя способы, хорошо известные специалистам в данной области. Исходные материалы, промежуточные соединения и представленные здесь соединения можно выделить и очистить, используя стандартные методики, включая осаждение, фильтрование, перегонку, кристаллизацию, хроматографию и т.п. Соединения настоящего изобретения можно охарактеризовать, используя обычные способы, включая физические константы и результаты спектроскопических исследований. Далее представлены общие схемы реакций для получения примерных соединений. i) Achesom et al. J.Med. Chem. (1981) 24, 1300-1304, раскрывают использование тионилхлорида для получения S,S-диоксида бензотиадиазолидина следующим образом: ii) Получение S,S-диоксида нитробензотиадиазолидина раскрытвают Burke et al. в JCS Perkin Transactions (1984) 11, 1851-4, следующим образом: Кроме того, представленные здесь соединения можно получить, используя описанные в литературе реакции, следующим образом: См. Roberts et al., J.O.Chem. (1997) 62, 568-577. См. Hughes et al., J. Med.Chem. (1957) 18, 1077-1088. D. Фармацевтические композиции и способы их введения Представленные здесь соединения можно использовать как они есть, можно вводить в форме фармацевтически приемлемых солей, полученных с неорганическими или органическими кислотами, или использовать в комбинации с одним или более из фармацевтически приемлемых эксципиентов. Выражение “фармацевтически приемлемые соли” означает такие соли, которые с точки зрения врачей-специалистов пригодны для использования в контакте с тканями, не обладают нежелательной токсичностью, и не вызывают раздражения, аллергических реакций и т.п., и отличаются разумным соотношением преимущество/риск. Фармацевтически приемлемые соли хорошо известны специалистам. Указанные соли можно получить либо in situ на окончательной стадии выделения и очистки представленных здесь соединений, либо отдельно, осуществляя взаимодействие кислотного или щелочного лекарственного вещества с подходящим основанием или кислотой соответственно. Типичные соли, полученные с органическими или неорганическими кислотами, включают, но не ограничиваются перечисленным, гидрохлорид, гидробромид, гидройодид, ацетат, адипат, альгинат, цитрат, аспартат, бензоат, бисульфат, глюконат, фумарат, гидроиодид, лактат, малеат, оксалат, пальмитоат, пектинат, сукцинат, тартрат, фосфат, глутамат и бикарбонат. Типичные соли, полученные с органическими или неорганическими основаниями, включают, но не ограничиваются перечисленным, соли лития, натрия, калия, кальция, магния, аммония, моноалкиламмония, такие как меглумин, диалкиламмоний, триалкиламмоний и тетраалкиламмоний. В некоторых вариантах композиции содержат представленное здесь соединение, которое является, по меньшей мере, практически чистым. Обычно термин “чистый” означает степень чистоты выше 95%, и термин “практически чистый” означает, что полученное соединение, подходящее для включения в терапевтическую дозу, содержит только те примеси, которые трудно или не имеет смысла удалять обычными способами очистки. Способ введения фармацевтических композиций может быть пероральным, ректальным, внутривенным, внутримышечным, интрацистернальным, интравагинальным, внутрибрюшинным, букальным, подкожным, интрастернальным, назальным или наружным. Композиции можно также вводить в нужный участок с помощью катетера, внутрикоронарного стента (трубчатое устройство, состоящее из тонкой проволочной сетки), биоразлагаемого полимера или биологических носителей, включая, но не ограничиваясь перечисленным, антитела, биотин-авидиновые комплексы и т.п. Дозированные формы для наружного применения представленных здесь соединений включают порошки, спреи, мази и агенты для ингаляций. Активное соединение смешивают в стерильных условиях с фармацевтически приемлемым носителем и любыми необходимыми консервантами, буферными агентами или пропеллантами. Здесь также представлены офтальмические композиции, глазные мази, порошки и растворы. Реальные уровни содержания доз активных ингредиентов и способы введения представленных здесь фармацевтических композиций можно изменять таким образом, чтобы достичь эффективной терапевтической реакции конкретного пациента. Фраза “терапевтически эффективное количество” представленного здесь соединения означает такое количество соединения, которого достаточно для лечения нарушения при разумном соотношении пользы/риска, применимом к любому медицинскому лечению. Однако следует понимать, что величину предполагаемой используемой полной ежедневной дозы соединений и композиций будет устанавливать лечащий врач в соответствии с объемом медицинских знаний. Полная ежедневная доза представленных здесь соединений может быть в интервале от около 0,0001 до около 1000 мг/кг/день. При пероральном введении дозы могут составлять от около 0,001 до около 5 мг/кг/день. При желании эффективную ежедневную дозу можно разделить для введения на несколько доз; соответственно, композиции единичной дозы могут содержать такие количества или их малые части, которые составят ежедневную дозу. Конкретный уровень терапевтически эффективной дозы для любого пациента будет зависеть от различных факторов, включая подлежащее лечению нарушение и тяжесть этого нарушения; историю болезни указанного пациента, активность конкретно используемого соединения; конкретно используемую композицию, возраст, вес, общее состояние здоровья, пол и режим питания пациента, время введения, способ введения, длительность лечения, скорость экскреции конкретного используемого соединения, лекарств, используемых в комбинации или параллельно с конкретно используемым соединением; и т.п. Представленные соединения могут быть приготовлены вместе с одним или более из нетоксичных фармацевтически приемлемых разбавителей, носителей, адъювантов и противобактериальных и противогрибковых агентов, таких как парабены, хлорбутанол, фенол, сорбиновая кислота и т.п. Соответствующую текучесть можно обеспечить, например, используя кроющие материалы, такие как лецитин, обепечивая необходимый размер частиц в случае дисперсий и используя поверхностно-активные агенты. В некоторых случаях для продления действия лекарства бывает необходимо уменьшить скорость абсорбции лекарства после подкожной или внутримышечной инъекции. Этого можно достичь, суспендируя кристаллическое или аморфное лекарственное вещество в носителе с низкой растворимостью в воде, таком как масло. Тогда скорость абсорбции лекарства будет зависеть от скорости его диссоциации, которая, в свою очередь, может зависеть от размеров кристаллов или кристаллической формы. Пролонгированную абсорбцию инъектируемых фармацевтических форм можно обеспечить, используя замедляющие абсорбцию агенты, такие как алюминиймоностеарат или желатин. Представленные здесь соединения можно вводить энтерально или парентерально в твердой или жидкой форме. Композиции, подходящие для парентральных инъекций, могут включать физиологически приемлемые изотоничные стерильные водные или не водные растворы, дисперсии, суспензии или эмульсии и стерильные порошки для воссоздания стерильных растворов или дисперсий для инъекций. Примеры подходящих водных и не водных носителей, разбавителей, растворителей или переносчиков включают воду, этанол, полиоли (пропиленгликоль, полиэтиленгликоль, глицерин и т.п.), растительные масла (такие как оливковое масло), органические сложные эфиры для инъекций, такие как этилолеат, и подходящие их смеси. Указанные композиции могут также содержать вспомогательные вещества, такие как консерванты, смачивающие, эмульгирующие и диспергирующие агенты. Суспензии помимо активного соединения могут содержать суспендирующие агенты, такие как этоксилированные изостеариловые спирты, полиоксиэтиленсорбит и сорбитановые сложные эфиры, микрокристаллическую целлюлозу, метагидроксид алюминия, бентонит, агар-агар и трагакант, или смеси указанных веществ. Представленные здесь соединения можно также вводить путем инъекций или вливаний, или подкожно, или внутривенно, или внутримышечно, или интрастернально, или интраназально, или путем вливаний в форме стерильных водных или масляных суспензий. Указанные суспензии можно приготовить известными специалистам способами, используя подходящие диспергирующие или смачивающие агенты, которые были перечислены выше. Стерильные препараты для инъекций также могут быть стерильными растворами или суспензиями для инъекций в нетоксичном парентерально приемлемом разбавителе или растворителе, например, таком как раствор в 1,3-бутандиоле. Среди приемлемых носителей и растворителей, которые можно использовать, следует указать воду, раствор Рингера и изотонический раствор хлорида натрия. Кроме того, в качестве растворителя или суспендирующей среды обычно используют стерильные, нелетучие масла. Для этой цели обычно можно использовать любые смеси нелетучих масел, включая синтетические моно- или диглицериды. Кроме того, для получения препаратов для инъекций можно использовать жирные кислоты, такие как олеиновая кислота. Режимы дозирования можно подобрать таким образом, чтобы обеспечить оптимальную терапевтическую реакцию. Например, несколько разделенных доз можно вводить ежедневно или дозу можно пропорционально уменьшить в случаях крайней необходимости в сложных терапевтических ситуациях. Формы депо для инъекций получают, создавая микроинкапсулированные матрицы лекарства в биоразлагаемых полимерах, таких как полилактид-полигликолид. В зависимости от отношения количества лекарства к количеству полимера и природы конкретного используемого полимера можно регулировать скорость выделения лекарства. Примеры других биоразлагаемых полимеров включают поли(сложные ортоэфиры) и поли(ангидриды). Композиции депо для инъекций получают также, включая лекарство в липосомы или микроэмульсии, которые совместимы с тканями организма. Композиции для инъекций можно стерилизовать, например, используя фильтрование через удерживающий бактерии фильтр или включая стерилизующие агенты в формы стерильных твердых композиций, которые можно растворять или диспергировать в стерильной воде или другой стерильной среде для инъекций непосредственно перед использованием. Твердые дозированные формы для перорального введения включают капсулы, таблетки, пилюли, порошки и гранулы. В таких твердых дозированных формах активное соединение может быть в смеси с, по меньшей мере, одним инертным, фармацевтически приемлемым эксципиентом или носителем, таким как цитрат натрия или дикальцийфосфат и/или: (a) наполнителями или увеличивающими объем агентами, такими как крахмалы, лактоза, сахароза, глюкоза, маннит и кремниевая кислота; (b) связующими, такими как карбоксиметилцеллюлоза, альгинаты, желатин, поливинилпирролидон, сахароза и смола акации; (c) увлажнителями, такими как глицерин; (d) разрыхляющими агентами, такими как агар-агар, карбонат кальция, картофельный крахмал или крахмал тапиоки, альгиновая кислота, некоторые силикаты и карбонат натрия; (e) замедляющие растворение агенты, такие как парафин; (f) агенты, ускоряющие абсорбцию, такие как соединения четвертичного аммония; (g) смачивающие агенты, такие как цетиловый спирт и глицеринмоностеарат; (h) абсорбенты, такие как каолин и бентонитовая глина и (i) смазывающие агенты, такие как тальк, стеарат кальция, стеарат магния, твердые полиэтиленгликоли, натрийлаурилсульфат и их смеси. В случае капсул, таблеток и пилюль дозированные формы могут также включать буферирующие агенты. Твердые композиции аналогичного типа можно также использовать в качестве заполнителей мягких и твердых желатиновых капсул, используя такие эксципиенты, как лактоза или молочный сахар, также как высокомолекулярные полиэтиленгликоли и т.п. Твердые дозированные формы в виде таблеток, драже, капсул, пилюль и гранул можно получить с покрытиями и в оболочках, таких как желудочные покрытия и другие покрытия, хорошо известные в области получения фармацевтических форм. Они могут необязательно содержать экранирующие агенты и могут также представлять собой композиции, которые выделяют только активный ингредиент (ингредиенты) или, преимущественно, в определенной части желудочно-кишечного тракта, необязательно, с некоторой задержкой. Примеры композиций с включением, которые можно использовать, включают полимерные вещества и воски. Таблетки содержат соединение в смеси с нетоксичными фармацевтически приемлемыми эксципиентами, которые пригодны для приготовления таблеток. Указанные эксципиенты могут быть, например, инертными разбавителями, такими как карбонат кальция, карбонат натрия, лактоза, фосфат кальция или фосфат натрия; гранулирующими и разрыхляющими агентами, например кукурузным крахмалом или альгиновой кислотой; связующими агентами, например кукурузным крахмалом, желатином или смолой акации, и смазывающими агентами, например стеаратом магния или стеариновой кислотой или тальком. Таблетки могут быть без покрытия, или они могут быть покрыты известными способами, чтобы замедлить разрушение и абсорбцию в желудочно-кишечном тракте и, тем самым, обеспечить замедленное пролонгированное действие. Например, можно использовать задерживающий выделение материал, такой как глицеринмоностеарат или глицериндистеарат. Композиции для перорального введения могут также быть представлены в виде твердых желатиновых капсул, где соединение смешивают с инертным твердым разбавителем, например карбонатом кальция, фосфатом кальция или каолином, или в виде мягких желатиновых капсул, где активный ингредиент смешивают с водой или масляной средой, например арахисовым маслом, жидким парафином или оливковым маслом. Жидкие дозированные формы для перорального введения включают фармацевтически приемлемые эмульсии, растворы, суспензии, сиропы и эликсиры. Кроме того, помимо активного соединения жидкие дозированные формы могут содержать инертные разбавители, которые обычно используют специалисты, такие как, например, вода или другие растворители, солюбилизирующие агенты и эмульгаторы, такие как этиловый спирт, изопропиловый спирт, этилкарбонат, этилацетат, бензиловый спирт, бензилбензоат, пропиленгликоль, 1,3-бутиленгликоль, диметилформамид, масла (в частности, хлопковое масло, арахисовое масло, кукурузное масло, масло зародышей, оливковое, касторовое и кунжутное масла), глицерин, тетрагидрофурфуриловый спирт, полиэтиленгликоли и сложные эфиры жирных кислот сорбитана и их смеси. Помимо инертных разбавителей композиции для перорального введения могут также включать адъюванты, такие как смачивающие агенты, эмульгирующие и суспендирующие агенты, подсластители, вкусовые агенты и ароматизаторы. Водные суспензии содержат соединение в смеси с эксципиентами, пригодными для приготовления водных суспензий. Такими эксципиентами являются суспендирующие агенты, например натрийкарбоксиметилцеллюлоза, метилцеллюлоза, гидроксипропилметилцеллюлоза, альгинат натрия, поливинилпирролидон, смола трагаканта и смола акации; диспергирующие или смачивающие агенты могут быть природными фосфатидами, например лецитином, или продуктами конденсации алкиленоксида с жирными кислотами, например полиоксиэтиленстеаратом, или продуктами конденсации этиленоксида с длинноцепочечными алифатическими спиртами, например гептадекаэтиленоксицетанолом, или продуктами конденсации этиленоксида с частичными сложными эфирами, полученными из жирных кислот, такими как гекситол, такими как полиоксиэтиленсорбитолмоноолеат, или продуктами конденсации этиленоксида с частичными сложными эфирами жирных кислот и ангидридами гекситола, например полиэтиленсорбитанмоноолеатом. Водные суспензии могут также содержать один или более из консервантов, например этил или н-пропил п-гидроксибензоат, один или более из красителей, один или более из вкусовых агентов или один или более из подсластителей, таких как сахароза или сахарин. Масляные суспензии могут быть получены в результате суспендирования соединения в растительном масле, например арахисовом масле, оливковом масле, кунжутном масле или кокосовом масле, или в минеральном масле, таком как жидкий парафин. Масляные суспензии могут содержать загущающий агент, например пчелиный воск, твердый парафин или цетиловый спирт. Могут быть добавлены подсластители, такие как указаны далее, и вкусовые агенты, чтобы обеспечить получение препаратов для перорального приема с приятным вкусом. Указанные композиции могут быть законсервированы за счет добавления антиоксиданта, такого как аскорбиновая кислота. Диспергируемые порошки и гранулы, подходящие для получения водной суспензии за счет добавления воды, содержат активный ингредиент в смеси с диспергирующим или смачивающим агентом, суспендирующим агентом и одним или более из консервантов. Подходящие диспергирующие или смачивающие агенты и суспендирующие агенты представлены теми, которые уже раскрыты выше. Могут также присутствовать дополнительные эксципиенты, например подсластители, вкусовые агенты. Представленные здесь соединения могут быть также в форме эмульсий типа масло-в-воде. Масляная фаза может быть растительным маслом, например оливковым маслом или арахисовым маслом, или минеральным маслом, например жидким парафином, или их смесями. Подходящие эмульгирующие агенты могут быть природными смолами, например смолой акации или смолой трагаканта, природными фофатидами, например соевыми бобами, лецитином и сложными эфирами или частичными сложными эфирами, полученными из жирных кислот и ангидридов гекситола, например сорбитанмоноолеатом и продуктами конденсации указанных частичных сложных эфиров с этиленоксидом, например полиоксиэтиленсорбитанмоноолеатом. Эмульсия может также содержать подсластители и вкусовые агенты. Сиропы и эликсиры могут быть приготовлены с подсластителями, например глицерином, сорбитом или сахарозой. Такие композиции могут также содержать умягчитель, консервант и вкусовой агент, и краситель. В одном из вариантов соединения приготавливают в единичной дозированной форме для простоты введения и однородности доз. Единичная дозированная форма, в том смысле, как здесь использован, термин относится к физически дискретной единице, пригодной в качестве единичной дозированной формы для подлежащего лечению субъекта; каждая из которых содержит терапевтически эффективное количество соединения и, по меньшей мере, один фармацевтический эксципиент. Лекарственный продукт будет включать единичную дозированную форму внутри контейнера, который имеет метку или сопровождается этикеткой, на которой указан предполагаемый способ лечения, такой как лечение амилоидного заболевания, например амилоидоза, такого как при болезни Альцгеймера, или заболевания, связанного с образованием Представленные здесь соединения можно также водить в форме липосом. Способы получения липосом известны специалистам (Prescott Ed. Methods in Cell Biology. 1976, Volume XIV, Academic Press, New York, N.Y.) Как известно специалистам, липосомы обычно получают из фосфолипидов или других липидных веществ. Липосомы образуются из моно- или полиламеллярных гидратированных жидких кристаллов, которые диспергированы в водной среде. Можно использовать любые нетоксичные, физиологически приемлемые и метаболизируемые липиды, способные к образованию липосом. Рассматриваемые композиции в липосомной форме могут содержать кроме представленного здесь соединения стабилизаторы, консерванты, эксципиенты и т.п. Предпочтительные липиды являются природными и синтетическими фосфолипидами и фосфатидилхолинами (лецитины). Представленные здесь соединения можно также вводить в форме Представленные здесь соединения или их фармацевтически приемлемые производные можно также приготовить таким образом, чтобы они были направлены на конкретную ткань, рецептор или другие участки тела подлежащего лечению субъекта. Все такие способы нацеливания рассматриваются здесь для использования в рассматриваемых композициях. Для нелимитирующих примеров способов нацеливания см., например, патенты США В одном из вариантов липосомальные суспензии, включая направленные на ткани липосомы, такие как направленные на опухоли липосомы, могут также оказаться подходящими в качестве фармацевтически приемлемых носителей. Такие суспензии можно получить в соответствии с известными специалистам в этой области способами. Например, липосомные композиции можно получить, как раскрыто в патенте США Изделие Соединения или фармацевтически приемлемые производные могут быть упакованы в виде изделия, содержащего упаковочный материал, соединение или представленные здесь его фармацевтически приемлемые производные, которые эффективны для лечения, предотвращения или улучшения состояния одного или более из симптомов амилоидоза и синуклеинового заболевания, внутри упаковочного материала и этикетку, указывающую, что указанное соединение или композиция или его фармацевтически приемлемое производное используют для лечения, предотвращения или улучшения состояния одного или более из симптомов амилоидоза и синуклеинового заболевания. Представленные здесь изделия содержат упаковочные материалы. Упаковочные материалы, которые используют для упаковки фармацевтических продуктов, хорошо известны специалистам в данной области. См., например, патенты США Составы с замедленным высвобождением Предложены также составы с замедленным высвобождением для доставки соединения к нужной цели (т.е. в мозг или системные органы) с высокими циркулирующими уровнями (между 10-9 до 10-4 M). В некоторых вариантах для лечения болезни Альцгеймера или болезни Паркинсона циркулирующие уровни содержания соединений поддерживают вплоть до 10-7 M. Такие уровни содержания либо циркулируют в организме пациента системно, либо в одном из вариантов присутствуют в тканях мозга, а в других вариантах локализованы в отложениях амилоидных или Следует учитывать, что уровни содержания соединения поддерживаются в течение некоторого необходимого промежутка времени, и его легко может определить специалист в данной области. В одном из вариантов введение композиции с замедленным выделением осуществляют таким образом, чтобы поддерживать постоянный уровнень содержания терапевтического соединениия от 10-8 до 10-6 М в течение промежутка времени от 48 до 96 часов. Такие составы с замедленным высвобождением и/или с высвобождением по времени можно получить с помощью устройств для доставки, обеспечивающих замедленное выделение, которые хорошо известны специалистам в данной области, таких как те, что раскрыты в патентах США В одном из вариантов состав с замедленным высвобождением содержит активное соединение и один или более эксципиентов, таких как, не ограничиваясь перечисленным, микрокристаллическая целлюлоза, мальтодекстрин, этилцеллюлоза и стеарат магния. Как раскрыто выше, можно использовать все известные способы инкапсулирования, которые совместимы со свойствами раскрытых соединений. Составы с замедленным высвобождением инкапсулируют, покрывая частицы или гранулы представленных здесь фармацевтических композиций различной толщины медленно растворяющимися полимерами или используя микроинкапсулирование. В одном из вариантов состав с замедленным высвобождением инкапсулируют, используя покрывающие материалы различной толщины (например, от около 1 микрона до 200 микрон), что обеспечивает растворение фармацевтической композиции в течение от около 48 часов до около 72 часов после введения млекопитающему. В другом варианте кроющим материалом является разрешенная к использованию пищевая добавка. В другом варианте состав с замедленным высвобождением представляет собой матричное растворяющееся устройство, которое получают, прессуя лекарство вместе с медленно растворяющимся полимерным носителем в виде таблетки. В одном из вариантов частицы с нанесенным покрытием имеют размеры в интервале от около 0,1 до около 300 микрон, как раскрыто в патентах США Составы с замедленным высвобождением, такие как раскрыты в патенте США Представленные здесь соединения могут быть в форме состава с замедленным высвобождением и/или с высвобождением по времени. Все фармацевтические продукты с замедленным высвобождением преследуют общую цель улучшения лекарственной терапии по сравнению с той, которая достигается при использовании обычных композиций без замедленного выделения. В идеале использование оптимально подобранного замедленного выделения, достигаемое при терапевтической обработке, характеризуется минимумом лекарственного вещества, которое используют для лечения или для контроля за состоянием. Преимущества составов с замедленным высвобождением могут включать: 1) пролонгированную активность композиции, 2) снижение частоты введения доз и 3) повышение удобства для пациента. Кроме того, составы с замедленным высвобождением можно использовать, чтобы влиять на время наступления действия и другие характеристики, такие как уровни содержания композиции в крови, и, тем самым, влиять на возникновение побочных эффектов. Представленные здесь составы с замедленным высвобождением созданы для начального выделения некоторого количества терапевтической композиции, которое сразу вызывает нужный терапевтический эффект, и постепенного и непрерывного выделения других количеств состава для поддержания достигнутого уровня терапевтического эффекта в течение пролонгированного промежутка времени. Для того чтобы поддерживать этот постоянный уровень в организме, терапевтическая композиция должна выделяться из дозированной формы со скоростью, которая будет компенсировать количество композиции, которое метаболизируется и выделяется из организма. Замедленное высвобождение активного ингредиента можно стимулировать различными способами, например величиной pH, температурой, ферментами, водой или другими физиологическими условиями или соединениями. Препараты для перорального введения можно сформулировать соответствующим образом, чтобы обеспечить контролируемое высвобождение активного соединения. В одном из вариантов соединения приготавливают в виде порошков с контролируемым высвобождением, состоящих из дискретных микрочастиц, которые легко получить в жидкой форме. Порошок с замедленным высвобождением включает частицы, содержащие активный ингредиент и необязательно эксципиент с, по меньшей мере, одним нетоксичным полимером. Порошок можно диспергировать или суспендировать в жидком носителе, и он будет сохранять свои характеристики замедленного высвобождения в течение достаточного промежутка времени. Такие дисперсии или суспензии обладают как химической стабильностью, так и стабильностью с точки зрения скорости растворения. Порошок может содержать эксципиент, включающий полимер, который может быть растворимым, нерастворимым, проницаемым, непроницаемым или биоразлагаемым. Такие полимеры могут быть полимерами или сополимерами. Полимеры могут быть природными или синтетическими полимерами. Природные полимеры включают полипептиды (например, зеин), полисахариды (например, целлюлозу) и альгиновую кислоту. Представители синтетических полимеров включают раскрытые, но не ограничиваются перечисленным, в колонке 3 на строках 33-45 патента США Представленные здесь композиции с замедленным высвобождением могут быть созданы для парентерального введения, например для внутримышечных инъекций, или в виде имплантатов для подкожных тканей и различных полостей тела и для трасдермальных устройств. В одном из вариантов препараты для внутримышечных инъекций приготовлены в виде водных или масляных суспензий. В случае водных суспензий эффект замедленного высвобождения отчасти связан с уменьшением растворимости активного соединения в результате комплексообразования или связан со снижением скорости растворения. Аналогичный подход справедлив для масляных суспензий и растворов, где скорость выделения активного соединения определяется выделением активного соединения из масла в окружающую водную среду. Пригодны только те активные соединения, которые растворимы в масле и обладают необходимыми характеристиками выделения из масла. Масла, которые можно использовать для внутримышечных инъекций, включают, но не ограничиваются перечисленным, кунжутное, оливковое, арахисовое, кукурузное, миндальное, соевое, хлопковое и касторовое масла. Прекрасно разработанным способом доставки лекарств, который отличается замедленным высвобождением в течение промежутков времени от нескольких дней до нескольких лет, является имплантирование содержащих лекарство полимерных устройств подкожно или в различные полости тела. Полимерные материалы, используемые для имплантатов, которые должны быть биосовместимыми и нетоксичными, включают, но не ограничиваются перечисленным, гидрогели, силиконы, полиэтилены, сополимеры этилена и винилацетата или биоразлагаемые полимеры. E. Оценка активности соединений Биологическую активность представленных здесь соединений в качестве разрушителей/ингибиторов В анализе связывания Конго красного способность конкретного тестируемого соединения изменять амилоид (A F. Комбинированная терапия В другом варианте соединения можно вводить в комбинации, или последовательно с другим терапевтическим агентом. Такие другие терапевтические агенты включают такие, которые известны для лечения, предотвращения или улучшения состояния одного или более из симптомов амилоидоза и синуклеинового заболевания. Такие терапевтические агенты включают, но не ограничиваются перечисленным, донепезил гидрохлорид (Aracept), ривастигмин тартрат (Exelon), такрингидрохлорид (Cognex) и галантамин гидробромид (Reminyl). G. Способы применения соединений и композиций Представленные здесь соединения и композиции можно использовать в способах лечения, предотвращения или для улучшения состояния одного или более из симптомов амилоидных заболеваний или нарушений, включая, но не ограничиваясь перечисленным, заболевания, связанные с образованием, отложением, накоплением или персистентностью амилоидных фибрилл. В одном из вариантов фибриллы амилоидного белка выбраны из группы A Также предложены способы ингибирования или предотвращения образования В некоторых вариантах синуклеиновые заболевания или синуклеинопатии, которые лечат, предотвращают профилактически или симптомы которых ослабляют представленными здесь соединениями и композициями, включают, но не ограничиваются перечисленным, заболевания, связанные с образованием, отложением, накоплением или персистентностью синуклеиновых фибрилл, включая фибриллы Следующие не лимитирующие примеры представлены только лишь с целью иллюстрации и не рассматриваются как ограничивающие объект изобретения, многие из очевидных вариантов которого можно осуществить, не выходя за рамки его сути и объема. ПРИМЕРЫ Общие экспериментальные процедуры Все растворители перегоняют перед использованием и удаляют, используя роторный испаритель при температурах вплоть до 35°. Для флэш-хроматогрфии на силикагеле используют силикагель Merck 60, 200-400 мешей, 40-63 мкм. ТСХ осуществляют, используя Merck DC Условия ВЭЖХ Оборудование для аналитической ВЭЖХ состоит из автоматического пробоотборника Waters 717, 600 насоса и регулятора, и 2487 УФ-детектора, управляемого программным обеспечением Omega для способа 2, и автоматического пробоотборника Waters 717, 600 насоса и регулятора, и 490 УФ-детектора, управляемого программным обеспечением Millennium для способа 1. Образцы анализируют, используя RP-18 полупрепаративную колонку (Phenomenex Prodigy 5 мм C18 100A, 250×4,6 мм) (Phonomenex SecurityGuard картридж, содержащий C18 ODS 4×3 мм, 5 мм колонку), набитую при 30°C. Образцы (5 мл) анализируют, используя скорость потока подвижной фазы 5,0 мл/мин, с УФ-детектированием на длине волны 280 нм. Растворитель A – CH3CN Растворитель B – H2O, содержащая 0,1% TFA Способ 1
ВЭЖХ (способ 2) (для соединений DC-0051-B1 – DC-0051-B4) Способ 2 осуществляют, используя C18 колонку с размерами 2,1×50 мм. Время прогона устанавливают 7 минут. Подвижная фаза содержит (A) ацетонитрил с 0,05% TFA и (B) дистиллированную воду с 0,05% TFA. Во всех прогонах способа 2 используют градиентное элюирование от 10% до 90% растворителя A. Пример 1 Синтез 3,4-дигидроксианилида 3-метансульфониламино-4-гидроксибензойной кислоты (DC-0051-S1; именуемого также как DC-0051-CB) Образование метансульфониламинового производного амида DC-0051 осуществляют, получая вначале известную 3-нитро-4-метоксибензойную кислоту, затем получая анилид, используя 3,4-метилендиоксианилин, получая в результате 3-нитро-4-метоксиамид. В результате каталитического восстановления с последующим немедленным мезилированием получают мезиламин, который деметилируют, просто осуществляя взаимодействие с трехбромистым бором, получая в результате 3,4-дигидроксианилид 3-метансульфониламино-4-гидроксибензойной кислоты (DC-0051-S1; именуемый также DC-0051-CB)). A) 3-нитро-4-метоксибензойная кислота. К суспензии п-анисовой кислоты (3 г) в уксусном ангидриде (20 мл) при 0°C по каплям добавляют концентрированную азотную кислоту (6 мл). Полученный прозрачный раствор оставляют нагреваться до комнатной температуры, затем выстаивают в течение 30 минут. Полученную смесь выливают на лед (100 мл) и образовавшееся твердое вещество белого цвета отфильтровывают, затем промывают большим количеством ледяной воды, получая в результате продукт (2,8 г, 72%). 1H ЯМР ((CD3)2CO) 8,44 (1H, д, J=2 Гц), 8,29 (1H, дд, J=2, 8 Гц), 7,51 (1H, д, J=8 Гц) и 4,11 (3H, с). B) 3,4-метилендиоксианилид 3-нитро-4-метоксибензойной кислоты. Суспензию 3-нитро-4-метоксибензойной кислоты (1,4 г) в тионилхлориде (10 мл) кипятят с обратным холодильником в течение 1 часа. Растворители удаляют в вакууме, получая хлорангидрид в виде твердого вещества белого цвета, который снова растворяют в сухом дихлорметане (20 мл) и по каплям добавляют смесь пиридина (1 мл) и 3,4-метилендиоксианилина (1 г) в дихлорметане (5 мл). Полученную смесь оставляют при комнатной температуре в течение 24 часов, затем добавляют еще дихлорметан (50 мл) и хлористоводородную кислоту (1 M, 50 мл) и осадок отфильтровывают и промывают водой, получая в результате 3,4-метилендиоксианилид 3-нитро-4-метоксибензойной кислоты (1,72 г, 72%). 1H ЯМР ((CD3)2CO) 9,79 (1H, шир.с, NH), 8,58 (1H, д, J=2 Гц), 8,41 (1H, дд, J=2, 8 Гц), 7,63 (1H, д, J=2 Гц), 7,62 (1H, д, J=8 Гц), 7,35 (1H, дд, J=2, 8 Гц), 6,96 (1H, д, J=8 Гц), 6,15 (2H, с) и 4,22 (3H, с). C) 3,4-метилендиоксианилид 3-метансульфониламино-4-метоксибензойной кислоты. Суспензию 3,4-метилендиоксианилида 3-нитро-4-метоксибензойной кислоты (0,44 г) в метаноле (20 мл) с муравьиной кислотой (1 мл) перемешивают в атмосфере водорода с гидроксидом палладия-на-угле (10%, 200 мг) в течение 5 часов. Полученную смесь фильтруют через хлопковую вату и растворители удаляют в вакууме. В результате очистки на хроматографической колонке с силикагелем, осуществляя градиентное элюирование 20-100% этилацетата в дихлорметане, получают чистый амин (270 мг, 68%). Его немедленно растворяют в пиридине (5 мл) и по каплям добавляют метансульфонилхлорид (0,2 мл), затем полученную смесь оставляют при комнатной температуре на ночь. Добавляют хлористоводородную кислоту (1 M, 100 мл) и этилацетат (100 мл), затем органический слой сушат и выпаривают в вакууме, получая в результате сырой продукт. В результате кристаллизации из дихлорметана получают 3,4-метилендиоксианилид 3-метансульфониламино-4-метоксибензойной кислоты в виде кристаллов белого цвета (155 мг, 47%). 1H ЯМР ((CD3)2CO) 9,62 (1H, шир.с, NH), 8,07 (1H, д, J=2 Гц), 7,97 (1H, шир.с, NH), 7,87 (1H, дд, J=2, 8 Гц), 7,55 (1H, д, J=2 Гц), 7,22 (1H, дд, J=2, 8 Гц), 7,21 (1H, д, J=8 Гц), 6,83 (1H, д, J=8 Гц), 6,13 (2H, с), 4,14 (3H, с) и 3,16 (3H, с). D) 3,4-дигидроксианилид 3-метансульфониламино-4-гидроксибензойной кислоты (DC0051-S1), см. J. van Alphen. Rec. trav. Chim. 1929, 48, 1112-23. К перемешиваемой суспензии 3,4-метилендиоксианилида 3-метансульфониламино-4-метоксибензойной кислоты (100 мг) в сухом CH2Cl2 (20 мл) в атмосфере азота добавляют трехбромистый бор (0,2 мл), затем перемешивание продолжают в течение еще 20 часов. Осторожно добавляют метанол (50 мл), затем растворитель выпаривают в вакууме до объема 1 мл, это повторяют еще 2 раза. В результате очистки с помощью кристаллизации из метанола получают 3,4-дигидроксианилид 3-метансульфаниламино-4-гидроксибензойной кислоты (DC0051-A1) (45 мг, 47%) в виде кристаллов бледно-коричневого цвета. 1H ЯМР ((CD3)2CO) 9,68 (1H, шир.с, NH), 927 (1H, шир.с, NH), 8,03 (1H, д, J=2 Гц), 8,02 (1H, шир.с, OH), 7,91 (1H, шир.с, OH), 7,76 (1H, дд, J=2, 8 Гц), 7,75 (1H, шир.с, OH), 7,49 (1H, д, J=2 Гц), 7,10 (1H, дд, J=2, 8 Гц), 7,09 (1H, д, J=8 Гц), 6,79 (1H, д, J=8 Гц) и 3,05 (3H, с). M/z 337 ((M-H), 100%). ВЭЖХ (способ 1) 21,1 мин. Пример 2 3-гидрокси-4-метансульфониламино-N-(3,4-дигидроксифенил)бензамид (DC0051-S8; именуемый также DC-0051-DB). Образование анилида 3-метокси-4-нитробензойной кислоты с 3,4-метилендиоксианилином приводит к получению 3-нитро-4-метоксиамида. В результате восстановления каталитическим гидрированием с последующим немедленным мезилированием получают мезиламин. Его деметилируют, осуществляя взаимодействие с трехбромистым бором, получая в результате 3-гидрокси-4-метансульфониламино-N-(3,4-дигидроксифенил)бензамид (DC-0051-S8; именуемый также DC0051-BD). A) 3-метокси-4-нитро-N-(3,4-метилендиоксифенил)бензамид. Суспензию 3-метокси-4-нитробензойной кислоты (0,5 г) в тионилхлориде (10 мл) кипятят с обратным холодильником в течение одного часа. Растворители удаляют в вакууме, получая в результате хлорангидрид в виде твердого вещества белого цвета. Полученный хлорангидрид растворяют в сухом дихлорметане (10 мл) и по каплям добавляют смесь пиридина (0,5 мл) и 3,4-метилендиоксианилина (0,4 г) в дихлорметане (5 мл). Полученную смесь оставляют при комнатной температуре в течение 24 часов, затем добавляют дихлорметан (50 мл) и хлористоводородную кислоту (1 M, 50 мл), осадок отфильтровывают и промывают водой, получая в результате 3-метокси-4-нитро-N-(3,4-метилендиоксифенил)бензамид (0,43 г, 54%). 1H ЯМР ((CD3)2CO) 9,79 (1H, шир.с, NH), 8,03 (1H, д, J=8 Гц), 7,98 (1H, д, J=2 Гц), 7,78 (1H, дд, J=2, 8 Гц), 7,63 (1H, д, J=2 Гц), 7,32 (1H, дд, J=2, 8Гц), 6,93 (1H, д, J=8 Гц), 6,11 (2H, с) и 4,17 (3H, с). B) 3-метокси-4-метансульфониламино-N-(3,4-метилендиоксифенил)бензамид. Суспензию 3-метокси-4-нитро-N-(3,4-метилендиоксифенил)бензамида (100 мг) в метаноле (20 мл) перемешивают в атмосфере водорода с палладием-на-угле (10%, 50 мг) в течение 18 часов. Растворители удаляют в вакууме, получая в результате смолу коричневого цвета. Остаток растворяют в пиридине (0,5 мл) и охлаждают до 0°C, после чего добавляют метансульфонилхлорид (0,1 мл), полученную смесь выдерживают при 0°C еще в течение 30 минут, затем доводят до комнатной температуры в течение 1 часа. Добавляют разбавленную хлористоводородную кислоту (10 мл, 1 M) и дихлорметан, органический слой выделяют, сушат и выпаривают в вакууме, получая в результате продукт в виде смолы коричневого цвета. В результате очистки на хроматографической колонке с силикагелем, осуществляя градиентное элюирование (0-100%) этилацетата в дихлорметане, получают 3-метокси-4-метансульфониламино-N-(3,4-метилендиоксифенил)бензамид (65 мг, 55%) в виде твердого вещества белого цвета. 1H ЯМР ((CD3)2CO) 9,52 (1H, шир.с, NH), 8,13 (1H, шир.с, NH), 7,74 (1H, д, J=2 Гц), 7,72 (1H, дд, J=2, 8 Гц), 7,64 (1H, д, J=8 Гц), 7,62 (1H, д, J=2 Гц), 7,26 (1H, дд, J=2,8 Гц), 6,91 (1H, д, J=8 Гц), 6,09 (2H, с), 4,07 (3H, с) и 3,16 (3H, с). C) 3-гидрокси-4-метансульфониламино-N-(3,4-дигидроксифенил)бензамид (DC0051-S8). К перемешиваемой суспензии 3-метокси-4-метансульфониламино-N-(3,4-метилендиоксифенил)бензамида (200 мг) в сухом CH2Cl2 (20 мл) в атмосфере азота добавляют трехбромистый бор (0,3 мл), затем перемешивание продолжают в течение еще 20 часов. Осторожно добавляют метанол (50 мл), затем растворитель выпаривают в вакууме до объема 1 мл, это повторяют еще 2 раза. В результате очистки на хроматографической колонке с силикагелем, осуществляя градиентное элюирование 10-20% метанола в хлороформе, получают 3-гидрокси-4-метансульфониламино-N-(3,4-дигидроксифенил)бензамид (DC51-DB) (65 мг, 34%) в виде кристаллов бледно-коричневого цвета. 1H ЯМР (CD3OD) 7,45 (1H, д, J=8 Гц), 7,40 (1H, д, J=2 Гц), 7,36 (1H, дд, J=2, 8 Гц), 7,20 (1H, д, J=2 Гц), 6,88 (1H, дд, J=2, 8 Гц), 6,73 (1H, д, J=8 Гц) и 2,98 (3H, с). M/z 337((M-H)–; 100%) ВЭЖХ (способ 1) 29,2 мин. Пример 3 N-(3-метансульфониламино-4-гидроксифенил)-3,4-дигидроксибензамид (DC0051-S6; именуемый также DC-0051-AE) В результате обработки коммерческого 2-метокси-5-нитроанилина метансульфонилхлоридом получают мезиламин. Затем в результате каталитического восстановления нитрогруппы получают требуемый анилин, который при взаимодействии с 3,4-метилендиоксибензоилхлоридом образует анилид. Затем после удаления метокси и метилендиокси групп с помощью трехбромистого бора получают N-(3-метансульфониламино-4-гидроксифенил)-3,4-дигидроксибензамид (DC0051-S6; именуемый также DC0051-AE). A) 2-метокси-5-нитрометансульфониламинобензол. К раствору 2-метокси-5-нитроанилина (5 г) в пиридине (25 мл) при 0°C по каплям добавляют метансульфонилхлорид (3,5 мл), затем добавляют пиридин (0,5 мл). Полученную смесь оставляют при 0°C в течение 1 часа, затем доводят до комнатной температуры в течение 2 часов. Полученную смесь выливают на лед (100 г) и разбавленную хлористоводородную кислоту (3M, 100 мл), образовавшийся твердый продукт отфильтровывают, затем промывают водой, получая в результате 2-метокси-5-нитрометансульфониламинобензол (5,2 9,71%) в виде кристаллического твердого вещества не совсем белого цвета. 1H ЯМР (CDCl3) 8,39 (1H, д, J=2 Гц), 8,05 (1H, дд, J=2, 8 Гц), 6,99 (1H, д, J=8 Гц) и 6,98 (1H, шир.с, NH). B) 2-метокси-5-аминометансульфониламинобензол. Раствор 2-метокси-5-нитрометансульфониламинобензола (1 г) в метаноле (20 мл), содержащем палладий-на-угле (10%, 100 мг), перемешивают при комнатной температуре в течение 48 часов в атмосфере водорода. Полученную смесь фильтруют через целит, затем выпаривают, получая в результате 2-метокси-5-аминометансульфониламинобензол в виде смолы коричневого цвета. Указанную смолу используют в следующей реакции без дополнительной очистки. C) N-(3-метансульфониламино-4-метоксифенил)-3,4-метилендиоксибензамид. Суспензию 3,4-метилендиоксибензойной кислоты (300 мг) в тионилхлориде (10 мл) кипятят с обратным холодильником в течение одного часа. Растворители удаляют в вакууме, получая в результате хлорангидрид в виде твердого вещества белого цвета. 2-метокси-5-аминометансульфониламинобензол (из предыдущей реакции) растворяют в пиридине (20 мл) и добавляют по каплям к хлорангидриду. Полученную смесь оставляют при комнатной температуре в течение 24 часов, затем выливают на лед (50 г) и хлористоводородную кислоту (3M, 100 мл) и осадок отфильтровывают и промывают водой, получая в результате N-(3-метансульфониламино-4-метоксифенил)-3,4-метилендиоксибензамид (1,37 г, 93%). 1H ЯМР ((CD3)2CO) 9,52 (1H, шир.с, NH), 7,88 (1H, дд, J=2, 8 Гц), 7,87 (1H, д, J=2 Гц), 7,71 (1H, дд, J=2, 8 Гц), 7,59 (1H, д, J=2 Гц), 7,14 (1H, д, J=8 Гц), 7,04 (1H, д, J=8 Гц), 6,20 (2H, с), 4,00 (3H, с) и 3,10 (3H, с). D) N-(3-метансульфониламино-4-гидроксифенил)-3,4-дигидроксибензамид. К перемешиваемой суспензии N-(3-метансульфониламино-4-метоксифенил)-3,4-метилендиоксибензамида (200 мг) в сухом CH2Cl2 (20 мл) в атмосфере азота добавляют трехбромистый бор (0,3 мл), затем перемешивание продолжают в течение еще 20 часов. Осторожно добавляют метанол (50 мл), затем растворитель выпаривают в вакууме до объема 1 мл, это повторяют еще 2 раза. В результате очистки на хроматографической колонке с силикагелем, осуществляя градиентное элюирование (10-20%) метанола в хлороформе, получают N-(3-метансульфониламино-4-гидроксифенил)-3,4-дигидроксибензамид (62 мг, 33%) в виде кристаллов бледно-коричневого цвета. 1H ЯМР ((CD3)2CO) 7,87 (1H, д, J=2 Гц), 7,70 (1H, дд, J=2, 8 Гц), 7,65 (1H, д, J=2 Гц), 7,05 (1H, д, J=8 Гц), 7,00 (1H, д, J=8 Гц) и 3,12 (3H, с). M/z 337((M-H)–, 100%) ВЭЖХ (способ 1) 22,1 мин. Пример 4 N-(3-гидрокси-4-метансульфониламинофенил)-3,4-дигидроксибензамид (DC-0051-S7; именуемый также DC-0051-AF) В результате обработки коммерческого 2-метокси-4-нитроанилина метансульфонилхлоридом получают мезиламин. Затем восстановление нитрогруппы с помощью каталитического гидрирования приводит к получению нужного анилина, который после конденсирования с 3,4-метилендиоксибензоил хлорангидридом дает в результате анилид. Удаление метокси и метилендиокси групп с помощью трехбромистого бора приводит к получению N-(3-гидрокси-4-метансульфониламинофенил)-3,4-дигидроксибензамида (DC-0051-S7; именуемый также DC-0051-AF). A) 2-метокси-4-нитрометансульфониламинобензол. К раствору 2-метокси-4-нитроанилина (5 г) в пиридине (25 мл) при 0°C по каплям добавляют метансульфонилхлорид (3,5 мл), затем пиридин (0,5 мл). Полученную смесь оставляют при 0°C в течение 1 часа, затем доводят до комнатной температуры в течение 2 часов. Полученную смесь выливают на лед (100 г) и разбавленную хлористоводородную кислоту (3M, 100 мл), образующийся твердый продукт отфильтровывают, затем промывают водой, получая в результате 2-метокси-4-нитрометансульфониламинобензол (7,32 г, 98%) в виде кристаллического твердого вещества не совсем белого цвета. 1H ЯМР (CDCl3) 7,92 (1H, дд, J=2, 8 Гц), 7,78 (1H, д, J=2 Гц), 7,64 (1H, д, J=8 Гц) и 7,23 (1H, шир.с, NH). B) 2-метокси-4-аминометансульфониламинобензол. Раствор 2-метокси-4-нитрометансульфониламинобензола (1 г) в метаноле (20 мл), содержащем палладий-на-угле (10%, 100 мг), перемешивают при комнатной температуре в атмосфере водорода в течение 48 часов. Полученную смесь фильтруют через целит, затем выпаривают, получая в результате 2-метокси-4-аминометансульфониламинобензол в виде смолы коричневого цвета. Ее используют без дополнительной очистки в следующей реакции. C) N-(3-метокси-4-метансульфониламинофенил)-3,4-метилендиоксибензамид. Суспензию 3,4-метилендиоксибензойной кислоты (300 мг) в тионилхлориде (10 мл) кипятят с обратным холодильником в течение одного часа. Растворители удаляют в вакууме, получая хлорангидрид в виде твердого вещества белого цвета. 2-метокси-4-аминометансульфониламинобензол (с предыдущей стадии) растворяют в пиридине (20 мл) и добавляют по каплям к хлорангидриду. Полученную смесь оставляют при комнатной температуре в течение 24 часов, затем выливают на лед (50 г) и хлористоводородную кислоту (3M, 100 мл), осадок отфильтровывают и промывают водой, получая N-(3-метокси-4-метансульфониламинофенил)-3,4-метилендиоксибензамид (1,37 г, 93%). 1H ЯМР (CDCl3) 7,81 (1H, д, J=2 Гц), 7,70 (1H, шир.с, NH), 7,47 (1H, д, J=8 Гц), 7,38 (1H дд, J=2, 8 Гц), 7,34 (1H, д, J=2 Гц), 6,88 (1H, д, J=8 Гц), 6,79 (1H, дд, J=2, 8 Гц), 6,63 (1H, шир.с, NH), 6,06 (2H, с) 3,92 (3H, с) и 2,91 (3H, с). D) N-(3-гидрокси-4-метансульфониламинофенил)-3,4-дигидроксибензамид. К перемешиваемой суспензии N-(3-метокси-4-метансульфониламинофенил)-3,4-метилендиоксибензамида (200 мг) в сухом CH3Cl2 (20 мл) в атмосфере азота добавляют трехбромистый бор (0,3 мл), затем перемешивание продолжают в течение еще 20 часов. Осторожно добавляют метанол (50 мл), затем растворитель выпаривают в вакууме до объема 1 мл и это повторяют дважды. В результате очистки на хроматографической колонке с силикагелем, осуществляя градиентное элюирование метанолом (10-20%) в хлороформе, получают N-(3-гидрокси-4-метансульфониламинофенил)-3,4-дигидроксибензамид (62 мг, 33%) в виде кристаллов бледно-коричневого цвета. 1H ЯМР ((CD3)2CO) 7,86 (1H, д, J=2 Гц), 7,60 (1H, д, J=2 Гц), 7,51 (1H, дд, J=2, 8 Гц), 7,40 (1H, д, J=8 Гц), 7,30 (1H, дд, J=2, 8 Гц), 7,00 (1H, д, J=8 Гц) и 3,06 (3H, с). M/z 337((M-H)– ВЭЖХ (способ 1) 29,5 мин. Пример 5 3,4-диметансульфониламино-N-(3,4-диметансульфониламинофенил)бензамид (именуемый также DC0051-GH) Катализируемое кислотой образование метилового эфира 3,4-диаминобензойной кислоты с последующим мезилированием дает димезиламинобензоат. Затем в результате щелочного гидролиза получают нужную 3,4-диметансульфониламинобензойную кислоту. Мезилирование 4-нитро-1,2-фенилендиамина приводит к получению димезиламино продукта, который после каталитического гидрирования дает нужный анилин. Затем в результате конденсации кислоты с амином в присутствии DCC получают тетрамезиламиноамид. A) метил-3,4-диаминобензоат. В сухой метанол (20 мл) осторожно добавляют тионилхлорид (1 мл) по каплям при перемешивании. Добавляют порциями при комнатной температуре 3,4-диаминобензойную кислоту (1 г) при перемешивании, затем полученную смесь кипятят с обратным холодильником в течение 3 часов. Добавляют насыщенный раствор бикарбоната натрия до тех пор, пока полученная смесь не становится щелочной, затем полученную смесь экстрагируют хлороформом, содержащим 25% метанола. Полученный экстракт сушат и выпаривают в вакууме, получая в результате продукт (0,88 г, 81%) в виде кристаллического твердого вещества коричневого цвета. 1H ЯМР (CDCl3) 7,46 (1H, дд, J=2, 8 Гц), 7,40(1H, д, J=2 Гц), 6,67 (1H, д, J=8 Гц) и 3,84 (3H, с). B) Метил-3,4-диметансульфониламинобензоат. Раствор диамина (0,88 г) в пиридине (10 мл) при 0°C обрабатывают метансульфонилхлоридом (2 мл). Полученную смесь оставляют при комнатной температуре в течение 12 часов, затем выливают на лед и хлористоводородную кислоту (3M, 50 мл) и полученную смесь фильтруют, получая в результате продукт в виде кристаллического твердого вещества белого цвета (0,54 г, 32%). 1H ЯМР ((CD3)2CO) 9,39 (2H, шир.с), 8,11 (1H, д, J=2 Гц), 7,95(1H, дд, J=2, 8 Гц), 7,75 (1H, д, J=8 Гц), 3,97 (3H, с), 3,28 (3H, с) и 3,17 (3H, с). C) 3,4-диметансульфониламинобензойная кислота. Суспензию сложного эфира (0,5 г) в ацетоне (25 мл) обрабатывают раствором гидроксида натрия (3 M, 5 мл) и полученный раствор оранжевого цвета оставляют при комнатной температуре в течение 2 часов. Водную хлористоводородную кислоту (3M) добавляют до тех пор, пока раствор не становится кислым, затем экстрагируют этилацетатом, содержащим 25% метанола, получая кислоту в виде твердого вещества коричневого цвета (0,36 г, 75%). 1H ЯМР ((CD3)2CO) 9,30 (2H, шир.с), 8,10 (1H, д, J=2 Гц), 7,93 (1H, дд, J=2, 8 Гц), 7,72 (1H, д, J=8 Гц), 3,27 (3H, с) и 3,17 (3H, с). D) 3,4-диметансульфониламинонитробензол. Раствор диамина (2 г) в пиридине (10 мл) при 0°C обрабатывают метансульфонилхлоридом (3 мл). Полученную смесь оставляют при комнатной температуре в течение 12 часов, затем выливают на лед и хлористоводородную кислоту (3M, 50 мл) и полученную смесь фильтруют, получая в результате продукт в виде кристаллического твердого вещества белого цвета (1,21 г, 30%). 1H ЯМР ((CD3)2CO) 8,37 (1H, д, J=2 Гц), 8,24 (1H, дд, J=2, 8 Гц), 7,86 (1H, д, J=8 Гц), 3,34 (3H, с) и 3,24 (3H, с). E) 3,4-диметансульфониламиноанилин. Суспензию 3,4-диметансульфониламинонитробензола (1,2 г) в метаноле (50 мл) и этилацетате (50 мл) перемешивают в атмосфере водорода в присутствии палладия-на-угле (10%, 10 мг) в течение 18 часов. Катализатор удаляют фильтрованием через целит и растворитель удаляют в вакууме, получая в результате амин (1,0 г) в виде смолы коричневого цвета. Ее используют без дополнительной очистки. F) N-(3,4-диметансульфониламинофенил)-3,4-диметансульфониламинобензамид (именуемый DC0051-GH). Суспензию кислоты (1,5 г) и амина (1,5 г) с DCC (1,5 г) в сухом ТГФ (100 мл) перемешивают вместе в течение 12 часов, затем растворитель удаляют в вакууме. Метанол (50 мл) добавляют к остатку и отфильтровывают твердое вещество белого цвета. Суспендирование остатка в дополнительном количестве метанола (50 мл) с последующим фильтрованием дает в остатке сырой продукт в виде твердого вещества не совсем белого цвета. Это вещество суспендируют в ацетоне (4×50 мл), фильтруют и растворитель удаляют в вакууме, получая чистый продукт в фильтрате в виде твердого вещества белого цвета. 1H ЯМР ((CD3)2CO) 10,03 (1H, шир.с), 8,45 (2H, шир.с), 8,28 (1H, д, J=2 Гц), 8,12 (1H, д, J=2 Гц), 8,09 (1H, дд, J=2, 8 Гц), 7,93 (1H, дд, J=2, 8 Гц), 7,85 (1H, д, J=8 Гц), 7,63 (1H, д, J=8 Гц), 3,24 (3H, с), 3,23 (3H, с), 3,19 (3H, с) и 3,17 (3H, с). ВЭЖХ 30,3 мин. Пример 6 4-гидрокси-3-метансульфониламино-N-(3-гидрокси-4-метансульфониламинофенил)бензамид (именуемый как DC0051-CF) В результате обработки коммерческого 2-метокси-4-нитроанилина метансульфонилхлоридом получают мезиламин. Затем в результате каталитического восстановления нитрогруппы получают требуемый анилин, который конденсируют с 4-метокси-3-нитробензоилхлоридом, получая в результате анилид. Восстановление с помощью каталитического гидрирования с последующим немедленным мезилированием дает мезиламин. Его деметилируют, осуществляя взаимодействие с трехбромистым бором, получая в результате 4-гидрокси-3-метансульфониламино-N-(3-гидрокси-4-метансульфониламинофенил)бензамид (DC0051-CF). A) 2-метокси-4-нитрометансульфониламинобензол. К раствору 2-метокси-4-нитроанилина (5 г) в пиридине (25 мл) при 0°C добавляют по каплям метансульфонилхлорид (3,5 мл). Полученную смесь оставляют при 0°C в течение 1 часа, затем доводят до комнатной температуры в течение 2 часов. Полученную смесь выливают на лед (100 г) и разбавленную хлористоводородную кислоту (3 M, 100 мл), образовавшийся твердый продукт отфильтровывают, затем промывают водой и сушат, получая в результате 2-метокси-4-нитрометансульфониламинобензол (7,32 г, 98%) в виде твердого кристаллического вещества не совсем белого цвета. 1H ЯМР (CDCl3) 7,93 (1H, дд, J=2, 8 Гц), 7,78 (1H, д, J=2 Гц), 7,65 (1H, д, J=8 Гц), 7,23 (1H, шир.с), 4,00 (3H, с) и 3,09 (3H, с). B) 2-метокси-4-аминометансульфониламинобензол. Раствор 2-метокси-4-нитрометансульфониламинобензола (1 г) в метаноле (20 мл), содержащем палладий-на-угле (10%, 100 мг), перемешивают при комнатной температуре в течение 48 часов в атмосфере водорода. Полученную смесь фильтруют через целит, затем выпаривают, получая в результате 2-метокси-4-аминометансульфониламинобензол в виде смолы коричневого цвета. Ее используют без очистки в следующей реакции. C) 4-метокси-3-нитро-N-(4-метансульфониламино-3-метоксифенил)бензамид. Суспензию 4-метокси-3-нитробензойной кислоты (1 г) в тионилхлориде (20 мл) кипятят с обратным холодильником в течение двух часов. Избыток тионилхлорида удаляют в вакууме, получая в результате хлорангидрид в виде твердого вещества белого цвета. Указанный хлорангидрид растворяют в сухом дихлорметане (25 мл) и по каплям добавляют к смеси пиридина (1 мл) и 2-метокси-4-аминометансульфониламинобензола (0,4 г) в дихлорметане (5 мл). Полученную смесь оставляют при комнатной температуре в течение 24 часов, затем добавляют дихлорметан (50 мл) и хлористоводородную кислоту (1 M, 50 мл), осадок отфильтровывают и промывают водой, получая в результате 4-метокси-3-нитро-N-(4-метансульфониламино-3-метоксифенил)бензамид (0,43 г, 54%). 1H ЯМР ((CD3)2CO) 8,57 (1H, д, J=2 Гц), 8,41 (1H, дд, J=2, 8 Гц), 7,89 (1H, д, J=2 Гц), 7,61 (1H, д, J=8 Гц), 7,47 (1H, д, J=8 Гц), 7,40 (1H, дд, J=2, 8 Гц), 4,18 (3H, с), 4,02 (3H, с) и 3,03 (3H, с). D) 4-метокси-3-метансульфониламино-N-(3-метокси-4-метансульфониламинофенил)бензамид. Суспензию 4-метокси-3-нитро-N-(4-метансульфониламино-3-метоксифенил)бензамида (100 мг) в метаноле (20 мл) перемешивают в атмосфере водорода в присутствии палладия-на-угле (10%, 50 мг) в течение 18 часов. Растворители удаляют в вакууме, получая в результате смолу коричневого цвета. Остаток растворяют в пиридине (0,5 мл) и охлаждают до 0°C, после чего добавляют метансульфонилхлорид (0,1 мл), полученную смесь выдерживают при 0°C еще в течение 30 минут, затем доводят до комнатной температуры в течение 1 часа. Добавляют разбавленную хлористоводородную кислоту (10 мл, 1 M) и дихлорметан, органический слой выделяют, сушат и выпаривают в вакууме, получая в результате продукт в виде смолы коричневого цвета. В результате очистки на хроматографической колонке с силикагелем, осуществляя градиентное элюирование дихлорметаном, содержащим (0-100%) этилацетата, получают 3-метансульфониламино-4-метокси-N-(3-метансульфониламино-4-метоксифенил)бензамид (65 мг, 56%) в виде твердого вещества белого цвета. 1H ЯМР ((CD3)2CO) 9,61 (1H, шир.с, NH), 8,11 (1H, д, J=2 Гц), 7,96 (1H, шир.с, NH), 7,90 (1H, дд, J=2, 8 Гц), 7,85 (1H, д, J=2 Гц), 7,67 (1H, шир.с, NH), 7,39 (1H, д, J=8 Гц), 7,34 (1H, дд, J=2, 8 Гц), 7,23 (1H, д, J=8 Гц), 4,02 (3H, с), 3,94 (3H, с), 3,04 (3H, с) и 2,95 (3H, с). E) 4-гидрокси-3-метансульфониламино-N- (3-гидрокси-4-метансульфониламинофенил)бензамид. К перемешиваемой суспензии 3-метансульфониламино-4-метокси-N-(3-метансульфониламино-4-метоксифенил)бензамида (200 мг) в сухом CH2Cl2 (20 мл) в атмосфере азота добавляют трехбромистый бор (0,3 мл), затем перемешивание продолжают в течение еще 20 часов. Осторожно добавляют метанол (50 мл), затем растворитель выпаривают в вакууме до объема 1 мл, это повторяют еще 2 раза. В результате очистки на хроматографической колонке с силикагелем, осуществляя градиентное элюирование хлороформом, содержащим метанол (10-20%), получают 4-гидрокси-3-метансульфониламино-N-(3-гидрокси-4-метансульфониламинофенил)бензамид (62 мг, 33%) в виде кристаллов бледно-коричневого цвета. 1H ЯМР (CD3OD) 7,92 (1H, д, J=2 Гц), 7,68 (1H, дд, J=2, 8 Гц), 7,51 (1H, д, J=2 Гц), 7,26 (1H, д, J=8 Гц), 6,99 (1H, дд, J=2, 8 Гц), 6,98 (1H, д, J=8 Гц), 2,99 (3H, с) и 2,92 (3H, с). ВЭЖХ (способ 1) 29,0 мин. Пример 7 3-гидрокси-4-метансульфониламино-N-(4-гидрокси-3-метансульфониламинофенил)бензамид (именуемый DC0051-DE) В результате обработки коммерческого 2-метокси-5-нитроанилина метансульфонилхлоридом получают мезиламин. Затем в результате каталитического восстановления нитрогруппы получают требуемый анилин, который конденсируют с 3-метокси-4-нитробензоилхлоридом, получая в результате анилид. В результате восстановления с помощью каталитического гидрирования с последующим немедленным мезилированием получают мезиламин. Его деметилируют, осуществляя взаимодействие с трехбромистым бором, получая в результате с низким выходом 3-гидрокси-4-метансульфониламино-N-(4-гидрокси-3-метансульфониламинофенил)бензамид (DC0051-DE), вместе с большим количеством стабильного боратного комплекса. A) 2-метокси-5-нитрометансульфониламинобензол. К раствору 2-метокси-5-нитроанилина (5 г) в пиридине (25 мл) при 0°C по каплям добавляют метансульфонилхлорид (3,5 мл), затем пиридин (0,5 мл). Полученную смесь оставляют при 0°C в течение 1 часа, затем доводят до комнатной температуры в течение 2 часов. Полученную смесь выливают на лед (100 г) и разбавленную хлористоводородную кислоту (3 M, 100 мл), образовавшийся твердый продукт отфильтровывают, затем промывают водой, получая в результате 2-метокси-5-нитрометансульфониламинобензол (5,2 г, 71%) в виде кристаллического твердого вещества не совсем белого цвета. 1H ЯМР (DCl3) 8,39 (1H, д, J=2 Гц), 8,05 (1H, дд, J=2, 8 Гц), 6,99 (1H, д, J=8 Гц), 6,97 (1H, шир.с, NH), 4,01 (3H, с) и 3,07 (3H, с). B) 2-метокси-5-аминометансульфониламинобензол. Раствор 2-метокси-5-нитрометансульфониламинобензола (1 г) в метаноле (20 мл), содержащем палладий-на-угле (10%, 100 мг), перемешивают при комнатной температуре в течение 48 часов в атмосфере водорода. Полученную смесь фильтруют через целит, затем выпаривают, получая в результате 2-метокси-5-аминометансульфониламинобензол в виде смолы коричневого цвета. Указанную смолу используют без очистки в следующей реакции. C) 3-метокси-4-нитро-N-(3-метансульфониламино-4-метоксифенил)бензамид. Суспензию 3-метокси-4-нитробензойной кислоты (1,5 г) в тионилхлориде (25 мл) кипятят с обратным холодильником в течение двух часов. Избыток тионилхлорида удаляют в вакууме, получая хлорангидрид в виде твердого вещества белого цвета. Указанный хлорангидрид растворяют в сухом дихлорметане (50 мл), затем по каплям добавляют к смеси пиридина (1,5 мл) и 4-метокси-3-метансульфониламиноанилина (1,8 г) в дихлорметане (50 мл). Полученную смесь оставляют при комнатной температуре в течение 24 часов, затем добавляют дихлорметан (100 мл) и хлористоводородную кислоту (1 M, 100 мл), осадок отфильтровывают и промывают водой, получая в результате 3-метокси-4-нитро-N-(3-метансульфониламино-4-метоксифенил)бензамид (2,41 г, 80%). 1H ЯМР ((CD3)2CO) 9,88 (1H, шир.с, NH), 8,03 (1H, д, J=8 Гц), 7,99 (1H, д, J=2 Гц), 7,87 (1H, дд, J=2, 8 Гц), 7,86 (1H, д, J=2 Гц), 7,81 (1H, дд, J=2, 8 Гц), 7,19 (1H, д, J=8 Гц), 4,17 (3H, с), 4,02 (3H, с) и 3,11 (3H, с). D) 3-метокси-4-метансульфониламино-N- (3-метансульфониламино-4-метоксифенил)бензамид. Суспензию 3-метокси-4-нитро-N-(3-метансульфониламино-4-метоксифенил)бензамида (1,4 г) в метаноле (20 мл) перемешивают в атмосфере водорода в присутствии палладия-на-угле (10%, 50 мг) в течение 18 часов. Растворители удаляют в вакууме, получая в результате смолу коричневого цвета. Остаток растворяют в пиридине (5 мл) и охлаждают до 0°C, после чего добавляют метансульфонилхлорид (0,5 мл), полученную смесь выдерживают при 0°C в течение еще 2 часов, затем доводят до комнатной температуры в течение 1 часа. Полученную смесь выливают на лед (50 г) и хлористоводородную кислоту (3 M, 50 г), полученное твердое вещество коричневого цвета отфильтровывают и промывают водой, получая в результате 4-метансульфониламино-3-метокси-N-(3-метансульфониламино-4-метоксифенил)бензамид (1,26 г, 86%) в виде твердого вещества коричневого цвета. 1H ЯМР ((CD3)2CO) 9,66 (1H, шир.с, NH), 8,11 (1H, шир.с, NH), 7,88 (1H, дд, J=2, 8 Гц), 7,87 (1H, д, J=2 Гц), 7,84 (1H, шир.с, NH), 7,79 (1H, д, J=2 Гц), 7,76 (1H, дд, J=2, 8 Гц), 7,65 (1H, д, J=8 Гц), 7,17 (1H, д, J=8 Гц), 4,08 (3H, с), 4,01 (3H, с), 3,16 (3H, с) и 3,11 (3H, с). E) 3-гидрокси-4-метансульфониламино- N-(3-метансульфониламино-4-гидроксифенил)бензамид. К перемешиваемой суспензии 4-метансульфониламино-3-метокси-N-(3-метансульфониламино-4-метоксифенил)бензамида (1,25 г) в сухом CH2Cl2 (50 мл) в атмосфере азота добавляют трехбромистый бор (1,5 мл), затем перемешивание продолжают в течение еще 20 часов. Осторожно добавляют метанол (50 мл), затем растворитель выпаривают в вакууме до объема 1 мл, это повторяют еще 2 раза. В результате очистки на хроматографической колонке с силикагелем, осуществляя градиентное элюирование хлороформом, содержащим метанол (10-20%), получают 3-гидрокси-4-метансульфониламино-N-(3-метансульфониламино-4-гидроксифенил)бензамид (143 мг, 15%) в виде твердого вещества не совсем белого цвета. 1H ЯМР ((CD3)2CO) 9,55 (1H, шир.с), 8,82 (1H, шир.с), 7,87 (1H, д, J=2 Гц), 7,73 (1H, дд, J=2, 8 Гц), 7,69 (1H, д, J=2 Гц), 7,64 (1H, дд, J=2, 8 Гц), 7,59 (1H, д, J=8 Гц), 7,04 (1H, д, J=8 Гц), 3,16 (3H, с) и 3,12 (3H, с). ВЭЖХ (способ 1) 29,5 мин. Пример 8 3-гидрокси-4-метансульфониламино-N-(3-гидрокси-4-метансульфониламинофенил)бензамид (именуемый DC0051-DF) В результате обработки коммерческого 2-метокси-4-нитроанилина метансульфонилхлоридом получают мезиламин. Затем в результате каталитического восстановления нитрогруппы получают требуемый анилин, который конденсируют с 3-метокси-4-нитробензоилхлоридом, получая в результате анилид. В результате восстановления с помощью каталитического гидрирования с последующим немедленным мезилированием получают мезиламин. Его деметилируют, осуществляя взаимодействие с трехбромистым бором, получая в результате 3-гидрокси-4-метансульфониламино-N-(3-гидрокси-4-метансульфониламинофенил)бензамид (DC0051-DF). A) 2-метокси-4-нитрометансульфониламинобензол. К раствору 2-метокси-4-нитроанилина (5 г) в пиридине (25 мл) при 0°C по каплям добавляют метансульфонилхлорид (3,5 мл). Полученную смесь оставляют при 0°C в течение 1 часа, затем доводят до комнатной температуры в течение двух часов. Полученную смесь выливают на лед (100 г) и разбавленную хлористоводородную кислоту (3 M, 100 мл), образовавшийся твердый продукт отфильтровывают, затем промывают водой и сушат, получая в результате 2-метокси-4-нитрометансульфониламинобензол (7,32 г, 98%) в виде твердого кристаллического вещества не совсем белого цвета. 1H ЯМР (CDCl3) 7,93 (1H, дд, J=2, 8 Гц), 7,78 (1H, д, J=2 Гц), 7,65 (1H, д, J=8 Гц), 7,23 (1H, шир.с), 4,00 (3H, с) и 3,09 (3H, с). B) 2-метокси-4-аминометансульфониламинобензол. Раствор 2-метокси-4-нитрометансульфониламинобензола (1 г) в метаноле (20 мл), содержащем палладий-на-угле (10%, 100 мг), перемешивают при комнатной температуре в течение 48 часов в атмосфере водорода. Полученную смесь фильтруют через целит, затем выпаривают, получая в результате 2-метокси-4-амино-метансульфониламинобензол в виде смолы коричневого цвета. Ее используют без очистки в следующей реакции. C) 3-метокси-4-нитро-N-(4-метансульфониламино-3-метоксифенил)бензамид. Суспензию 3-метокси-4-нитробензойной кислоты (1,5 г) в тионилхлориде (20 мл) кипятят с обратным холодильником в течение двух часов. Избыток тионилхлорида удаляют в вакууме, получая в результате хлорангидрид в виде твердого вещества белого цвета. Раствор полученного хлорангидрида (1,64 г) в дихлорметане (50 мл) добавляют к суспензии 4-мезиламино-3-метоксианилина (1,75 г) в дихлорметане (50 мл) и затем добавляют пиридин (1,5 мл). Полученную смесь кипятят с обратным холодильником в течение 2 часов, затем оставляют при комнатной температуре в течение ночи. Полученную смесь добавляют к дихлорметану (100 мл) и хлористоводородной кислоте (3 M, 50 мл), полученный осадок отфильтровывают, промывают водой (100 мл), затем сушат, получая в результате 3-метокси-4-нитро-N-(4-метансульфониламино-3-метоксифенил)бензамид (2,03 г, 67%). 1H ЯМР ((CD3)2CO) 9,91 (1H, шир.с, NH), 8,05 (1H, д, J=8 Гц), 7,98 (1H, д, J=2 Гц), 7,90 (1H, д, J=2 Гц), 7,81 (1H, шир.с, NH), 7,80 (1H, дд, J=2, 8 Гц), 7,50 (1H, д, J=8 Гц), 7,39 (1H, дд, J=2, 8 Гц), 4,18 (3H, с), 4,02 (3H, с) и 3,04 (3H, с). D) 4-метансульфониламино-3-метокси-N- (4-метансульфониламино-3-метоксифенил)бензамид. Суспензию 3-метокси-4-нитро-N-(4-метансульфониламино-3-метоксифенил)бензамида (2,03 г) в метаноле (50 мл) и этилацетате (50 мл) перемешивают в атмосфере водорода в присутствии палладия-на-угле (10%, 50 мг) в течение 18 часов. Растворители удаляют в вакууме, получая в результате смолу коричневого цвета. Остаток растворяют в пиридине (5 мл) и охлаждают до 0°C, после чего добавляют метансульфонилхлорид (1 мл), полученную смесь выдерживают при 0°C в течение еще 2 часов, затем доводят до комнатной температуры в течение 1 часа. Полученную смесь выливают на лед (50 г) и хлористоводородную кислоту (3 M, 50 г), полученный твердый коричневый продукт отфильтровывают и промывают водой, получая в результате 4-метансульфониламино-3-метокси-N-(4-метансульфониламино-3-метоксифенил)бензамид (2,1 г, 100%) в виде твердого вещества бледно-коричневого цвета. 1H ЯМР ((CD3)2CO) 9,69 (1H, шир.с, NH), 8,15 (1H, шир.с, NH), 7,93 (1H, д, J=2 Гц), 7,78 (1H, д, J=2 Гц), 7,76 (1H, шир.с, NH), 7,74 (1H, дд, J=2, 8 Гц), 7,66 (1H, д, J=8 Гц), 7,47 (1H, д, J=8 Гц), 7,40 (1H, дд, J=2, 8 Гц), 4,09 (3H, с), 4,02 (3H, с), 3,17 (3H, с) и 3,03 (3H, с). E) 4-метансульфониламино-3-гидрокси-N- (4-метансульфониламино-3-гидроксифенил)бензамид. К перемешиваемой суспензии 4-метансульфониламино-3-метокси-N-(3-метансульфониламино-4-метоксифенил)бензамида (2 г) в сухом CH2Cl2 (50 мл) в атмосфере азота добавляют трехбромистый бор (2 мл) и полученную суспензию оранжевого цвета оставляют на 3 часа. Осторожно добавляют метанол (50 мл) и раствор выстаивают в течение ночи. Растворитель выпаривают в вакууме до объема 1 мл, затем добавляют метанол (50 мл), это повторяют еще 2 раза. В результате очистки на хроматографической колонке с силикагелем, осуществляя градиентное элюирование хлороформом, содержащим метанол (10-20%), получают 4-метансульфониламино-3-гидрокси-N-(4-метансульфониламино-3-гидроксифенил)бензамид (DC0051-DF) (0,74 г, 40%) в виде смолы коричневого цвета. 1H ЯМР ((CD3)2SO) 10,37 (1H, шир.с, NH), 10,21 (1H, шир.с, NH), 10,01 (1H, шир.с, NH), 9,05 (1H, шир.с, OH), 8,76 (1H, шир.с, OH), 7,68 (1H, шир.с), 7,53 (1H, шир.с), 7,51 (1H, дд, J=2, 8 Гц), 7,45 (1H, д, J=8 Гц), 7,21 (2H, шир.с), 3,14 (3H, с) и 3,03 (3H, с). ВЭЖХ (способ 1) 29,4 мин Пример 9 2-оксо-N-(2-оксо-2,3-дигидро-1H-бензо[d]имидазол-5-ил)-2,3-дигидро-1H-бензо[d]имидазол-5-карбоксамид (именуемый DC-0051-B1) Амид синтезируют, осуществляя взаимодействие 2-оксо-2,3-дигидро-1H-бензоимидазолил-5-карбоновой кислоты с 5-амино-2,3-дигидро-1H-бензоимидазол-5-оном в присутствии 1,3-N,N-диизопропилкарбодиимида и 1-гидроксибензотриазола. 1,3-N,N-диизопропилкарбодиимид (0,504 г, 4 ммоль) добавляют к раствору 2-оксо-2,3-дигидро-1H-бензоимидазол-5-карбоновой кислоты (0,448 г, 2,5 ммоль), 5-амино-2-оксо-2,3-дигидро-1H-бензоимидазола и 1-гидроксибензотриазола (0,34 г, 2,5 ммоль) в безводном N,N-диметилформамиде (10 мл). Реакционную смесь перемешивают при 40°C в течение 12 часов. Выпавший в осадок продукт выделяют фильтрованием реакционной смеси с последующей дополнительной трехкратной промывкой N,N-диметилформамидом (3 мл). Продукт растворяют в диметилсульфоксиде (5 мл) и осаждают, разбавляя раствор ацетонитрилом (60 мл). После фильтрования и сушки в вакууме получают 2-оксо-N-(2-оксо-2,3-дигидро-1H-бензо[d]имидазол-5-ил)-2,3-дигидро-1H-бензо[d]имидазол-5-карбоксамид (именуемый также DC-0051-B1) (0,22 г, 28%). 1H ЯМР ((CD3)2SO 10,62 (1H, с, NH), 10,53 (1H, с, NH), 9,98 (1H, с, NH), 7,65 (1H, д, J=8 Гц), 7,55 (2H, шир.с), 7,23 (1H, д, J=8 Гц), 7,05 (1H, д, J=8 Гц), 7,85 (1H, д, J=8 Гц). Пример 10 N-(3,4-дигидроксифенил)-2-оксо-2,3-дигидро-1H-бензо[d]имидазол-5-карбоксамид (именуемый DC-0051-B2). 3,4-дигидрокси-1-нитробензол бензилируют, используя кипячение с обратным холодильником с бензилбромидом с карбонатом калия в качестве основания, в ацетоне, что после восстановления дитионатом натрия приводит к получению 3,4-дибензилоксианилина. Его присоединяют к 2-оксо-2,3-дигидро-1H-бензоимидазол-5-карбоновой кислоте, используя N,N-1,3-диизопропилкарбодиимид в присутствии 1-гидроксибензотриазола, до получения амида. Затем полученный амид дебензилируют, гидрируя в присутствии палладия-на-угле. A) 3,4-дибензилокси-1-нитробензол. Карбонат калия (4,14 г; 30 ммоль) добавляют к раствору 3,4-дигидрокси-1-нитробензола (1,55 г; 10 ммоль) и бензилбромида (3,42 г; 20 ммоль) в ацетоне (100 мл). Реакционную смесь кипятят с обратным холодильником в течение 12 часов. После удаления растворителя при пониженном давлении остаток разделяют между этилацетатом (150 мл) и водой (50 мл). Этилацетатный слой промывают водой (100 мл) и сушат над безводным сульфатом магния. После удаления растворителя при пониженном давлении получают 2,37 г 3,4-дибензилокси-1-нитробензола. (Выход=70%.) 1H ЯМР (CDCl3) 7,85 (1H, д, J=8 Гц), 7,8 (1H, с), 7,28-7,50 (м, 10H), 6,95 (1H, д, J=8 Гц), 5,24 (с,2H), 5,21 (с,2H). B) 3,4-дибензилоксианилин. Дитионит натрия (2 г) добавляют к раствору 3,4-дибензилокси-1-нитробензола (2,37 г) в смеси метанол (30 мл)/водный аммиак (5 мл). После перемешивания в течение 12 часов при комнатной температуре растворитель удаляют при пониженном давлении. Остаток разделяют между этилацетатом (75 мл) и водой (75 мл). Этилацетатный слой промывают водой (25 мл), солевым раствором (25 мл), сушат над безводным сульфатом магния и концентрируют при пониженном давлении. В результате очистки с помощью флэш-хроматографии на колонке с силикагелем, осуществляя элюирование смесью этилацетат/гексан (1:1), получают 1,0 г 1-бензилокси-2-метокси-5-аминобензола. (Выход=47%.) 1H ЯМР (CDCl3) 7,27-7,47 (10H, м), 6,8 (1H, д, J=8 Гц), 6,37 (1H, с), 6,22 (1H, д, J=8 Гц), 5,13 (2H, с), 5,06 (2H, с), 3,49 (2H, шир.с, NH2). C) 2-оксо-2,3-дигидро-1H-бензоимидазолил-5-карбоксил(1-N-3,4-дибензилоксифенил)амид 1,3-N,N-диизопропилкарбодиимид (0,412 г, 3,27 ммоль) добавляют к раствору 2-оксо-2,3-дигидро-1H-бензоимидазол-5-карбоновой кислоты (0,584 г, 3,27 ммоль), 3,4-дибензилоксианилина (1,0 г, 3,27 ммоль) и 1-гидроксибензотриазола (0,442 г, 3,27 ммоль) в безводном N,N-диметилформамиде (15 мл). После перемешивания в течение 16 часов при комнатной температуре реакционную смесь выливают в воду (150 мл). pH полученной смеси доводят до 2, используя 1 н хлористоводородную кислоту, и перемешивают в течение 30 минут. После фильтрования и промывки продукта этилацетатом (3×10 мл) получают 1,12 грамма 2-оксо-2,3-дигидро-1H-бензоимидазолил-5-карбоксил(1-N-3,4-дибензилоксифенил)амида. Выход=73,6%. 1H ЯМР (CD3)2SO 10,5 (1H, с, NH), 7,65 (1H, д, J=8 Гц), 7,6 (1H, с), 7,2-7,6 (м, 12H), 7,0 (2H, д, J=8 Гц), 5,15 (4H, с). D) N-(3,4-дигидроксифенил)-2-оксо-2,3-дигидро-1H-бензо[d]имидазол-5-карбоксамид Раствор 2-оксо-2,3-дигидро-1H-бензоимидазолил-5-карбоксил(1-N-3,4-дибензилоксифенил)амида (1,10 г) в смеси уксусной кислоты (100 мл) и N,N-диметилформамида (25 мл) гидрируют при 40 пси в присутствии 10% палладия-на-угле в течение 12 часов при комнатной температуре. После удаления катализатора фильтрованием растворитель удаляют при пониженном давлении. Остаток растворяют в N,N-диметилформамиде (15 мл) и продукт осаждают, разбавляя смесью гексан/этилацетат (1:1) (100 мл). После фильтрования получают 0,550 г N-(3,4-дигидроксифенил)-2-оксо-2,3-дигидро-1H-бензо[d]имидазол-5-карбоксамида. Выход 81%. 1H ЯМР (CD3)2SO 10,94 (1H, шир.с), 9,86 (1H, с), 8,85 (1H, шир.с), 7,61 (1H, д J=8 Гц), 7,59 (1H, с), 7,3 (1H, с), 7,0 (1H, д, J=8 Гц), 6,96 (1H, д, J=8 Гц), 6,66 (1H, д, J=8 Гц). ВЭЖХ (способ 2) 3,256 мин. Пример 11 3,4-дигидрокси-N-(2-оксо-2,3-дигидро-1H-бензо[d]имидазол-5-ил)бензамид (именуемый DC-0051-B3). 3,4-дигидроксибензойную кислоту превращают в ее метиловый эфир путем кипячения с обратным холодильником в присутствии кислоты. Дигидрокси группу защищают в виде ее бензилового эфира, обрабатывая бензилбромидом и карбонатом калия. В результате гидролиза сложного эфира гидроксидом натрия получают кислоту, которую присоединяют к 5-амино-2,3-дигидро-1H-бензоимидазол-5-ону, используя N,N-1,3-диизопропилкарбодиимид в присутствии 1-гидроксибензотриазола до получения амида. Указанный амид дебензилируют, осуществляя гидрирование в присутствии палладия-на-угле. A) Метиловый эфир 3,4-дигидроксибензойной кислоты. Раствор 3,4-дигидроксибензойной кислоты (2,8 г) в метаноле (150 мл) кипятят с обратным холодильником в присутствии концентрированной хлористоводородной кислоты (0,5 мл) в течение 12 часов. После концентрирования при пониженном давлении остаток растворяют в этилацетате (150 мл) и промывают водой (50 мл), 10% раствором бикарбоната натрия (50 мл), солевым раствором (50 мл) и сушат над безводным сульфатом магния. Удаляя растворитель при пониженном давлении, получают 2,64 г метилового эфира 3,4-дигидроксибензойной кислоты. (Выход=86,5%.) 1H ЯМР (CDCl3) 7,7 (1H, с), 7,63 (1H, д, J=8 Гц), 6,92 (1H, д, J=8 Гц), 5,7(2H, шир.с), 3,92 (3H, с). B) Метиловый эфир 3,4-дибензилоксибензойной кислоты. Карбонат калия (6,5 г; 47 ммоль) добавляют к раствору метилового эфира 3,4-дигидроксибензойной кислоты (2,6 г; 15,7 ммоль) и бензилбромида (5,37 г; 31,4 ммоль) в ацетоне (100 мл). Реакционную смесь кипятят с обратным холодильником в течение 12 часов. После удаления растворителя при пониженном давлении остаток разделяют между этилацетатом (150 мл) и водой (50 мл). Этилацетатный слой промывают водой (50 мл) и сушат над безводным сульфатом магния. В результате удаления растворителя при пониженном давлении получают 3,36 г метилового эфира 3,4-дибензилоксибензойной кислоты. (Выход=86,6%.) 1H ЯМР (CDCl3) 7,67 (1H, с), 7,65 (1H, д, J=8 Гц), 7,28-7,50 (м, 10H), 6,95 (1H, д, J=8 Гц), 5,24 (с, 2H), 5,21 (с, 2H), 3,89 (с, 3H). C) 3,4-дибензилоксибензойная кислота. Раствор гидроксида натрия (1,2 г) в метаноле (100 мл) добавляют к раствору метилового эфира 3,4-дибензилоксибензойной кислоты (4,64 г) в метаноле (50 мл) и кипятят с обратным холодильником в течение 4 часов. После удаления метанола при пониженном давлении остаток растворяют в воде (100 мл) и промывают этилацетатом (2×50 мл). Водный слой подкисляют 2 н хлористоводородной кислотой до pH 2. Выпавший в осадок продукт собирают фильтрованием и после сушки в вакууме получают 2,4 г 3,4-бензилоксибензойной кислоты. (Выход=74%.) 1H ЯМР CDCl3 7,7 (2H, шир., с), 7,27-7,5 (10H, м), 6,98 (1H, д, J=8 Гц), 5,26 (2H, с), 5,22 (2H, с). D) 3,4-дибензилокси-(5-N-2-оксо-2,3-дигидро-1H-бензоимидазолил)бензамид. 1,3-N,N-диизопропилкарбодиимид (0,945 г, 7,5 ммоль) добавляют к раствору 3,4-дибензилоксибензойной кислоты (1,67 г, 5 ммоль), 5-амино-2,3-дигидро-1H-бензоимидазол-5-она (0,745 г, 5 ммоль) и 1-гидроксибензотриазола (0,675 г, 5 ммоль) в безводном N,N-диметилформамиде (20 мл). После перемешивания в течение 16 часов при комнатной температуре реакционную смесь выливают в воду (100 мл). pH смеси доводят до 2, используя 1 н хлористоводородную кислоту, и перемешивают в течение 30 минут. После фильтрования и промывки продукта этилацетатом (3×10 мл) получают 1,06 грамма 3,4-дибензилокси-(5-N-2-оксо-2,3-дигидро-1H-бензоимидазолил)бензамида. (Выход=45,7%.) 1H ЯМР (CD3)2SO 9,94 (1H, с), 7,65-7,2 (14H, м), 7,09 (2H, д, J=8 Гц), 5,1 (4H, с). E) 3,4-дигидрокси-N-(2-оксо-2,3-дигидро-1H-бензо[d]имидазол-5-ил)бензамид. Раствор 3,4-дибензилокси-(5-N-2-оксо-2,3-дигидро-1H-бензоимидазолил)бензамида (1,06 г; 2,28 ммоль) в уксусной кислоте (120 мл) гидрируют при 40 пси в присутствии 10% палладия-на-угле в течение 12 часов при комнатной температуре. После удаления катализатора фильтрованием растворитель удаляют при пониженном давлении. Остаток растворяют в N,N-диметилформамиде (15 мл) и продукт осаждают, разбавляя смесью гексан/этилацетат (1:1) (100 мл). После фильтрования получают 0,334 г 3,4-дигидрокси-N-(2-оксо-2,3-дигидро-1H-бензо[d]имидазол-5-ил)бензамида. Выход=50%. 1H ЯМР (CD3)2SO 10,54 (1H, шир.с), 9,78 (1H, с), 9,41 (1H, шир.с), 7,54 (1H, с), 7,37 (1H, с), 7,32 (1H, д, J=8 Гц), 7,23 (1H, д, J=8 Гц), 6,85 (1H, д, J=8 Гц), 6,80 (1H, д, J=8 Гц). ВЭЖХ (способ 2) 2,34 мин. Пример 12 3-гидрокси-N-(3-гидрокси-4-метоксифенил)-4-метоксибензамид (именуемый DC-0051-B4). 3-гидрокси-4-метокси-1-нитробензол бензилируют кипячением с обратным холодильником с бензилбромидом, с карбонатом калия в качестве основания, в ацетоне, что после восстановления дитионитом натрия дает 3-бензилокси-4-метоксианилин. 4-гидрокси-3-метоксибензойную кислоту превращают в ее метиловый эфир в результате кипячения с обратным холодильником в метаноле в присутствии кислоты. Полученный гидроксил бензилируют, используя бензилбромид и карбонат калия. Полученный сложный эфир гидролизуют, используя гидроксид натрия и получая кислоту. Осуществляют реакцию присоединения анилина и кислоты, используя N,N-1,3-диизопропилкарбодиимид в присутствии 1-гидроксибензотриазола и получая амид. И наконец, бензильную группу удаляют, используя гидрирование в присутствии палладия-на-угле. A) 1-бензилокси-2-метокси-5-нитробензол. Карбонат калия (1,65 г; 12 ммоль) добавляют к раствору 2-метокси-5-нитрофенола (1,69 г; 10 ммоль) и бензилбромида (1,71 г; 10 ммоль) в ацетоне (60 мл). Реакционную смесь кипятят с обратным холодильником в течение 12 часов. Растворитель удаляют при пониженном давлении и остаток разделяют между этилацетатом (150 мл) и водой (50 мл). Этилацетатный слой выделяют, промывают водой (2×50 мл), сушат над безводным сульфатом магния. После удаления растворителя при пониженном давлении получают 2,5 г 1-бензилокси-2-метокси-5-нитробензола. (Выход=96,5%.) 1H ЯМР (CDCl3) 7,95 (1H, д, J=8 Гц), 7,81 (1H, с), 7,3-7,5 (5H, м), 6,92 (1H, д, J=8 Гц), 5,15 (2H,с), 3,95 (3H, с). B) 1-Бензилокси-2-метокси-5-аминобензол. Дитионит натрия (1,5 г) добавляют к раствору 1-бензилокси-2-метокси-5-нитробензола (2,5 г) в смеси метанол (20 мл)/водный аммиак (4 мл). После перемешивания в течение 12 часов при комнатной температуре растворитель удаляют при пониженном давлении. Остаток разделяют между этилацетатом (75 мл) и водой (50 мл). Этилацетатный слой промывают водой (25 мл), солевым раствором (25 мл), сушат над безводным сульфатом магния и концентрируют при пониженном давлении. После очистки с помощью флэш-хроматографии на колонке с силикагелем, элюируя смесью этилацетат/гексан (1:1), получают 0,771 г 1-бензилокси-2-метокси-5-аминобензола. (Выход=35%.) 1H ЯМР (CDCl3) 7,25-7,5 (5H, м), 6,78 (1H, д, J=8 Гц), 6,35 (1H, с), 6,28 (1H, д, J=8 Гц), 5,1 (2H, с), 3,8 (3H, с). C) Метиловый эфир 4-гидрокси-3-метоксибензойной кислоты. Раствор 4-гидрокси-3-метоксибензойной кислоты (7,2 г) в метаноле (150 мл) кипятят с обратным холодильником в присутствии концентрированной хлористоводородной кислоты (0,5 мл) в течение 12 часов. После концентрирования при пониженном давлении остаток растворяют в этилацетате (200 мл) и промывают водой (50 мл), 10% раствором бикарбоната натрия (2×50 мл), водой (50 мл) и сушат над безводным сульфатом магния. После удаления растворителя при пониженном давлении получают 7,25 г метилового эфира 4-гидрокси-3-метоксибензойной кислоты. (Выход=91,5%.) 1H ЯМР (CDCl3) 7,65 (1H, д, J=8 Гц), 7,55 (1H, с), 6,95 (1H, д, J=8 Гц), 6,15 (1H, шир.с, -OH), 3,95 (3H, с), 3,9 (3H, с). D) Метиловый эфир 4-бензилокси-3-метоксибензойной кислоты. Карбонат калия (3,45 г; 25 ммоль) добавляют к раствору метилового эфира 4-гидрокси-3-метоксибензойной кислоты (3,6 г; 20 ммоль) и бензилбромида (3,42 г; 20 ммоль) в ацетоне (100 мл). Реакционную смесь кипятят с обратным холодильником в течение 12 часов. После удаления растворителя при пониженном давлении остаток разделяют между этилацетатом (150 мл) и водой (50 мл). Этилацетатный слой промывают водой (50 мл) и сушат над безводным сульфатом магния. После удаления растворителя при пониженном давлении получают 4,64 г метилового эфира 4-бензилокси-3-метоксибензойной кислоты. (Выход=86,6%.) E) 4-бензилокси-3-метоксибензойная кислота. Раствор гидроксида натрия (2,0 г) в метаноле (50 мл) добавляют к раствору метилового эфира 4-бензилокси-3-метоксибензойной кислоты (4,64 г) в метаноле (50 мл) и кипятят с обратным холодильником в течение 4 часов. После удаления метанола при пониженном давлении остаток растворяют в воде (150 мл) и промывают этилацетатом (2×50 мл). Водный слой подкисляют, используя 2 н. хлористоводородную кислоту, до pH 2. Выпавший в осадок продукт собирают фильтрованием и после сушки его в вакууме получают 4,17 г 4-бензилокси-3-метоксибензойной кислоты. (Выход=74%.) 1H ЯМР (CDCl3) 7,7 (1H, д, J=8 Гц), 7,63 (1H, с), 7,3-7,5 (5H, м), 6,92 (1H, д, J=8 Гц), 5,25 (2H, с), 3,98 (3H, с). F) 4-бензилокси-3-метокси-N-(3-бензилокси-4-метоксифенил)бензамид. N N-1,3-диизопропилкарбодиимид (0,40 г, 3,36 ммоль) добавляют к раствору 1-бензилокси-2-метокси-5-аминобензола (0,771 г, 3,36 ммоль), 4-бензилокси-3-метоксибензойной кислоты (0,87 г, 3,36 ммоль) и 1-гидроксибензотриазола (0,454 г, 3,36 ммоль) в N,N-диметилформамиде (15 мл) и перемешивают в течение 12 часов. Продукт осаждают, разбавляя смесью этилацетат/гексан (1:1) (120 мл). В результате фильтрования реакционной смеси получают 1,12 г 4-бензилокси-3-метокси-N-(3-бензилокси-4-метоксифенил)бензамида. Выход=69%. 1H ЯМР (CD3)2SO 9,93 (1H, с), 7,29-7,59 (14H, м), 7,16 (1H, д, J=8 Гц), 6,96 (1H, д, J=8 Гц), 5,18 (2H, с), 5,06 (2H, с), 3,85 (3H, с), 3,76 (3H, с). G) 3-гидрокси-N-(3-гидрокси-4-метоксифенил)-4-метоксибензамид. Раствор 4-бензилокси-3-метокси-N-(3-бензилокси-4-метоксифенил)бензамида (1,05 г) в смеси N,N-диметилформамид/метанол (1:5, 120 мл) гидрируют в присутствии 10% палладия-на-угле при 40 пси при комнатной температуре в течение 12 часов. После удаления катализатора фильтрованием и очистки с помощью флэш-хроматографии на колонке с силикагелем, элюируя смесью 65% этилацетат/гексан, получают 0,26 г 3-гидрокси-N-(3-гидрокси-4-метоксифенил)-4-метоксибензамида. Выход=41,6%. 1H ЯМР (CD3)2SO 9,73 (1H, с), 9,62 (1H, шир.с), 8,99 (1H, шир.с), 7,5 (1H, с), 7,45 (1H, д, J=8 Гц), 7,29 (1H, с), 7,09 (1H, д, J=8 Гц), 6,85 (1H, д, J=8 Гц), 3,84 (3H, с), 3,74 (3H, с). M/z (290 (M+H+), 312 (M+Na+), 100%). ВЭЖХ (способ 2) 3,86 мин. Пример 13 Следующие соединения получают, используя способы, аналогичные изложенным здесь: i) DC-0051-A2, именуемый также DC-0051-S2 ii) DC-0051-A3, именуемый также DC-0051-S3 iii) DC-0051-A4, именуемый также DC-0051-S4 iv) DC-0051-A5, именуемый также DC-0051-S5
Пример 14 Боратный комплекс 4-гидрокси-3-метансульфониламино-N-(4-гидрокси-3-метансульфониламинофенил)бензамида (именуемый боратным комплексом DC0051-CE). В результате обработки коммерческого 2-метокси-5-нитроанилина метансульфонилхлоридом получают мезиламин. Затем в результате каталитического восстановления нитрогруппы получают требуемый анилин, который конденсируют с 4-метокси-3-нитробензоилхлоридом, получая в результате анилид. После восстановления, осуществляемого каталитическим гидрированием, с последующим немедленным мезилированием получают мезиламин. В результате деметилирования в обычных условиях получают стабильную форму боратного комплекса нужного продукта. Пример 15 Представленные здесь соединения являются эффективными разрушителями фибрилл Альцгеймера A Было обнаружено, что полученные в предшествовавших примерах соединения являются эффективными разрушителями/ингибиторами A Часть A – Результаты флуориметрии Тиофлавина T В одном из исследований флуориметрию тиофлавина T используют для определения эффектов соединений и EDTA (в качестве негативного контроля). В этом анализе тиофлавин T специфически связывается с фибриллярным амилоидом, и указанное связывание вызывает усиление флуоресценции на длине волны 485 нм, которое прямо пропорционально количеству образующихся амилоидных фибрилл. Чем интенсивнее флуоресценция, тем большее количество амилоидных фибрилл образуется (Naki et al., Lab. Invest. 65:104-110, 1991; Levine III, Protein Sci. 2:404-410, 1993; Amyloid:Int. J. Exp.Clin. Invest. 2:1-6, 1995). В этом исследовании 25 мкм предварительно фибриллизованного A 1:1, 1:0,1, 1:0,01 или 1:0,001). После 3 дней совместного инкубирования 50 мкл каждой из инкубируемых смесей переносят в 96-луночный микротитровальный планшет, содержащий 150 мкл дистиллированной воды и 50 мкл раствора тиофлавина T (т.е. 500 мМ тиофлавина T в 250 мМ фосфатном буфере, pH 6,8). Значения флуоресценции считывают на длине волны 485 нм (444 нм длина волны возбуждения), используя ELISA планшетный флуориметр после вычитания значений для одного буфера или одного соединения в качестве контроля. Результаты, полученные после 3-дневного инкубирования, представлены далее. Например, тогда как EDTA не вызывает заметного ингибирования/разрушения A 56,0+/-11,32% ингибирование, если его используют при вес./вес. отношении A
Часть B: Результаты SDS-PAGE/вестерн-блоттинга Разрушение A Часть C: Результаты связывания Конго красного В анализе связывания Конго красного количественно определяют способность тестируемого соединения изменять амилоид (в данном случае A В одном из исследований определяют способность А
Пример 16 Представленные здесь дополнительные соединения являются эффективными разрушителями A Было обнаружено, что полученные в предшествовавших примерах соединения являются эффективными разрушителями/ингибиторами A Результаты, полученные при флуориметрии тиофлавина T В одном из исследований флуориметрию тиофлавина T используют для определения эффекта соединений и EDTA (в качестве негативного контроля). В этом анализе тиофлавин T связывается специфически с фибриллярным амилоидом, и указанное связывание вызывает усиление флуоресценции на длине волны 485 нм, которое прямо пропорционально количеству образующихся амилоидных фибрилл. Чем интенсивнее флуоресценция, тем большее количество амилоидных фибрилл образуется (Naki et al., Lab. Invest. 65:104-110, 1991; Levine III, Protein Sci. 2:404-410,1993; Amyloid: Int. J. Exp.Clin. Invest. 2:1-6, 1995). В этом исследовании 25 мкМ предварительно фибрилизированных A Результаты, полученные после 3-дневного инкубирования, представлены далее. Например, если EDTA не вызывает заметного ингибирования/разрушения A
Пример 17 Представленные здесь соединения являются эффективными разрушителями IAPP фибрилл диабета 2 типа. Полученные в предшествующих примерах соединения, как было обнаружено, являются также эффектиными разрушителями/ингибиторами IAPP фибрилл диабета 2 типа. В группе исследований анализировали эффективность некоторых из представленных здесь соединений по демонтажу/разрушению ранее сформированных амилоидных фибрилл диабета 2 типа (т.е. состоящих из IAPP фибрилл). Часть A – Результаты флуориметрии тиофлавина T В одном из исследований флуориметрию тиофлавина T используют для определения эффективности соединений и EDTA (в качестве негативного контроля). В этом анализе тиофлавин T связывается специфически с фибриллярным амилоидом, и указанное связывание вызывает усиление флуоресценции на длине волны 485 нм, которое прямо пропорционально количеству образующихся амилоидных фибрилл. Чем интенсивнее флуоресценция, тем большее количество амилоидных фибрилл образуется (Naki et al., Lab. Invest. 65:104-110, 1991; Levine III, Protein Sci. 2:404-410, 1993; Amyloid: Int. J. Exp.Clin. Invest. 2:1-6, 1995). В этом исследовании 25 мкМ IAPP (Bachem Inc) инкубируют при 37°C в течение 3 дней либо отдельно, либо в присутствии одного из соединений или EDTA (при вес./вес. отношениях A Результаты, полученные после 3 дней инкубирования, представлены далее. Например, если EDTA не вызывает значительного ингибирования/разрушения IAPP фибрилл при всех тестированных концентрациях, соединения (DC-0051, DC-0051-S1, S3, S4, S5, S6, S7, S8 и S9) все вызывают дозозависимое разрушение/демонтаж сформированных ранее A
Часть В: Результаты связывания Конго красного В анализе связывания Конго красного количественно определяют способность тестируемого соединения изменять амилоидное (в данном случае IAPP) связывание с Конго красным. В этом анализе IAPP и тестируемые соединения инкубируют в течение 3 дней и затем осуществляют вакуумное фильтрование через 0,2 мкм фильтр. Содержание IAPP, оставшееся на фильтре, определяли путем окрашивания Конго красным. После соответствующей промывки фильтра любое ослабление цвета Конго красного на фильтре в присутствии тестируемого соединения (по сравнению с окрашиванием Конго красным амилоидного белка в отсутствии тестируемого соединения) является показателем способности соединений уменьшать/изменять количество агрегированных и конгофильных IAPP. Этот конкретный анализ, по-видимому, является более точным по характеру, чем флуориметрия тиофлавина T, и более трудно удалить Конго красный, связанный с IAPP фибриллами, нежели оценивать с помощью других анализов, так что наблюдаемый % ингибирования даже с эффективными соединениями обычно ниже, чем % ингибирования, наблюдаемый при определении с помощью других анализов, таких как флуориметрия для тиофлавина T. В одном из исследований определяют способность IAPP связываться с Конго красным в отсутствии или в присутствии возрастающих количеств соединений или EDTA (при вес./вес. отношениях IAPP:тестируемое соединение 1:0,001, 1:0,01, 1:0,1 и 1:1). Результаты, полученные после 3 дней инкубирования, представлены далее в Таблице 5. Если EDTA не вызывает заметного ингибирования связывания IAPP фибрилл с Конго красным, соединения (DC-0051, DC-0051-S1, S3, S4, S5, S6, S7, S8 и S9) вызывают дозозависимое ингибирование IAPP связывания с Конго красным (Таблица 5). Например, соединение DC-0051-S8 вызывает заметное 41,0+/-4,15% ингибирование связывания Конго красного с IAPP фибриллами, если его используют при вес./вес. отношении IAPP:тестируемое соединение 1:1, и 26,7+/-0,82% ингибирования, если его используют при вес./вес. отношении IAPP:тестируемое соединение 1:0,1 (Таблица 5). Другими хорошими ингибиторами при сравнении с вес./вес. отношениями IAPP:тестируемое соединение 1:0,1, по-видимому, являются DC-0051 (51+/-0,63% ингибирования), DC-0051-S1 (24,1+/-1,99% ингибирования), DC-0051-S4 (22,0+/-0,26% ингибирования) и DC-0051-S9 (21,2+/-2,70% ингибирования).
Пример 18 Представленные здесь соединения являются эффективными разрушителями альфа-синуклеиновых фибрилл. Полученные в предшествующих примерах соединения, как было обнаружено, являются также эффектиными разрушителями/ингибиторами альфа-синуклеиновых фибрилл. В группе исследований анализировали эффективность некоторых из представленных здесь соединений по демонтажу/разрушению ранее сформированных амилоидоподобных фибрилл болезни Паркинсона (т.е. состоящих из альфа-синуклеиновых фибрилл). Результаты флуориметрии тиофлавина T В одном из исследований флуориметрию тиофлавина T используют для определения эффективности соединений и EDTA (в качестве негативного контроля). В этом анализе тиофлавин T связывается специфически с фибриллярным амилоидом, и указанное связывание вызывает усиление флуоресценции на длине волны 485 нм, которое прямо пропорционально количеству образующихся амилоидных фибрилл. Чем интенсивнее флуоресценция, тем большее количество амилоидных фибрилл образуется (Naki et al., Lab. Invest. 65:104-110, 1991; Levine III, Protein Sci. 2:404-410, 1993; Amyloid: Int. J. Exp.Clin. Invest. 2:1-6, 1995). В этом исследовании 25 мкМ альфа-синуклеина (рекомбинантный пептид) вначале инкубируют при 55°C в течение 2 дней с гепарином (Sigma), чтобы вызвать агрегацию альфа-синуклеина и образование фибрилл. Гепарин является сильно сульфатированным глюкозаминогликаном, который, как известно, вызывает агрегацию амилоидных белков. После начальной фибриллизации альфа-синуклеина, альфа-синуклеин+гепарин инкубировали при 37°C в течение 3 дней либо отдельно, либо в присутствии одного из соединений или EDTA (при вес./вес. отношениях A Результаты, полученные после 3 дней инкубирования, представлены далее. Соединения (DC-0051, DC-0051-S1, S3, S4, S5, S6, S7, S8 и S9) все вызывают дозозависимое разрушение/демонтаж сформированных ранее альфа-синуклеиновых фибрилл до некоторой степени (Таблица 6). Например, соединение DC-0051-S1 вызывает значительное (p<0,01) 94,5+/-2,11% ингибирование, если его используют при вес./вес. отношении A
Пример 19 Композиции представленных здесь соединений Представленные здесь соединения, как было указано выше, желательно вводить в форме фармацевтических композиций. Подходящие фармацевтические композиции и способы их приготовления хорошо известны специалистам в данной области и раскрыты в таких трактатах, как Remington: The Science and Practice of Pharmacy, A. Gennaro, ed., 20th edition, Lippincott, Williams & Wilkins, Philadelphia, PA. Представительные композиции приводятся далее: Составы для перорального введения Составы таблеток для перорального введения соединений настоящего изобретения приготавливают следующим образом:
Указанные ингредиенты смешивают до гомогенности, затем гранулируют с помощью воды и полученные гранулы сушат. Затем полученные гранулы прессуют до размера таблеток, получая соответствующую дозу соединения. Эти таблетки необязательно покрывают суспензией пленкообразующего агента (например, гидроксипропилметилцеллюлозой), пигмента (например, двуокиси титана) и пластификатора (например, диэтилфталата) и сушат пленку, выпаривая растворитель. Пленочное покрытие может составлять, например, 2-6% от веса таблетки. Составы капсул для перорального введения Гранулы из предыдущего раздела указанного примера заполняют в твердые желатиновые капсулы, размер которых соответствует необходимой дозе. При желании капсулы окольцовывают для герметичности. Мягкий гелевый состав Мягкий гелевый состав приготавливают следующим образом:
Соединение растворяют или диспергируют в полиэтиленгликоле и при необходимости добавляют загущающий агент. Затем в мягкий гель добавляют такое количество композиции, которого достаточно для получения требуемой дозы соединения. Состав для парентерального введения Состав для парентерального введения приготавливают следующим образом:
Соединение растворяют в солевом растворе и полученный раствор стерилизуют и заполняют им пробирки, ампулы и заполняемые заранее шприцы. Состав с контролируемым высвобождением для перорального введения Состав с замедленным высвобождением можно получить, используя способ патента США На 1 кг представленных здесь соединений наносят покрытие из этилцеллюлозы Dow Type 10 в модфицированном Uni-Glatt порошковом устройстве для нанесения покрытия. Раствор спрея состоит из 8% раствора этилцеллюлозы в 90% ацетона и до 10% этанола. В качестве пластификатора добавляют касторовое масло в количестве, равном 20% от присутствующей этилцеллюлозы. Условия нанесения спрея следующие: 1) скорость, 1 литр/час; 2) flap, 10-15%; 3) температура на входе 50°C, 4) температура на выходе 30°C, 5) процент покрытия, 17%. Кроющее соединение просеивают до размера частиц от 74 до 210 микрон. Особое внимание обращают на то, чтобы обеспечить хорошее перемешивание частиц с различными размерами внутри указанного интервала. Четыреста мг частиц с нанесенным покрытием смешивают со 100 мг крахмала и полученную смесь прессуют в ручном прессе, создающем давление 1,5 тонны, получая 500 мг таблетку с контролируемым выделением. Объем заявленного объекта изобретения не ограничен раскрытыми здесь конкретными вариантами. Действительно, различные модификации специфических вариантов в дополнение к раскрытым здесь будут очевидны специалистам в данной области из предшествующих описаний. Такие модификации попадают в объем прилагаемой формулы изобретения. В описании цитированы различные публикации, раскрытия которых включены сюда для ссылки во всей полноте.
Формула изобретения
1. Соединение, выбранное из 2. Соединение по п.1, где R5 представляет изопропил. 3. Соединение по п.1, где Rx представляет метил. 4. Соединение по п.1, выбранное из
5. Соединение по любому из пп.1-4, проявляющее ингибирующую активность в отношении А 6. Соединение по п.5, где синуклеиновыми фибриллами являются 7. Фармацевтическая композиция, обладающая ингибирующей активностью в отношении А 8. Изделие, включающее упаковочный материал, соединение по любому из пп.1-4 или его фармацевтически приемлемую соль, или фармацевтическую композицию по п.7, обладающую ингибирующей активностью в отношении А 9. Способ ингибирования активности А 10. Способ по п.9, где синуклеиновыми фибриллами являются 11. Применение соединения по любому из пп.1-4 для приготовления лекарственного средства, обладающего ингибирующей активностью в отношении А
|
||||||||||||||||||||||||||||||||||||||||||||||||||||||||||||||||||||||||

, IAPP амилоидных фибрилл или синуклеиновых фибрилл. 5 н. и 6 з.п. ф-лы, 6 табл.
, 

.
-синуклеин/NAC (не-A
-синуклеинов, причем из них только 

циклоалк(ен)(ин)ил
относится к циклоалкильной группе, содержащей, по меньшей мере, одну двойную связь и, по меньшей мере, одну тройную связь.
C-C

















































6316652, 6274552, 6271359, 6253872, 6139865, 6131570, 6120751, 6071495, 6060082, 6048736, 6039975, 6004534, 5985307, 5972366, 5900252, 5840674, 5759542 и 5709874.
plastikfoiien Kieselgel 60 F254, сначала визуализируя с помощью УФ-лампы, а затем погружая в раствор ванилина (1% ванилина, 1% H2SO4 в EtOH) и нагревая. Масс-спектры записывают на приборе Kratos MS-80. ЯМР-спектры регистрируют при 25°, на частоте 500 или 300 МГц для 1H и 125 или 75 МГц для 13C на спектрофотометрах Varian INOVA-500 или VXR-300. Химические сдвиги выражены в частях на миллион шкалы (относительно значений пиков сравнительных соединений CHCl3 на 7,25 и CDCl3 на 77,0 ч/млн, или (CH3)2CO на 2,15 и (CD3)2CO на 30,5 ч/млн, или CH3OD на 3,30 и CD3OD на 39,0 ч/млн.

























, 

,
,
,
,
,
,
,
,
,