|
|
(21), (22) Заявка: 2005117380/09, 10.01.2004
(24) Дата начала отсчета срока действия патента:
10.01.2004
(30) Конвенционный приоритет:
23.06.2003 KR 10-2003-0040902 06.01.2004 KR 10-2004-0000800
(43) Дата публикации заявки: 20.01.2006
(46) Опубликовано: 27.01.2010
(56) Список документов, цитированных в отчете о поиске:
: US 6038696 А, 14.03.2000. KR 2003-0014872 A, 20.02.2003. KR 2003-0027233 A, 07.04.2003. RU 30228 U1, 20.06.2003. US 6507619 A, 14.01.2003. US 2002/0131515 A1, 19.09.2002. EP 11024634 A1, 02.08.2000.
(85) Дата перевода заявки PCT на национальную фазу:
06.06.2005
(86) Заявка PCT:
KR 2004/000032 20040110
(87) Публикация PCT:
WO 2004/114616 20041229
Адрес для переписки:
129090, Москва, ул. Б.Спасская, 25, стр.3, ООО “Юридическая фирма Городисский и Партнеры”, пат.пов. Ю.Д.Кузнецову, рег. 595
|
(72) Автор(ы):
КИМ Тае-Хоон (KR), СЕО Хонг-Сеок (KR)
(73) Патентообладатель(и):
СЕО Хонг-Сеок (KR)
|
(54) СПОСОБ И УСТРОЙСТВО ДЕМОДУЛЯЦИИ С ИСПОЛЬЗОВАНИЕМ МЯГКОГО РЕШЕНИЯ ДЛЯ КВАДРАТУРНОЙ АМПЛИТУДНОЙ МОДУЛЯЦИИ
(57) Реферат:
Изобретение относится к области радиосвязи и может быть использовано для демодуляции с использованием мягкого решения для квадратурной амплитудной модуляции (КАМ). Способ мягкого решения для демодуляции принятого сигнала +i прямоугольной квадратурной амплитудной модуляции (КАМ) заключается в получении множества значений вектора условной вероятности, причем каждое представляет собой значение мягкого решения, соответствующее положению бита жесткого решения, с использованием функции, включающей в себя операцию условного определения из квадратурной фазовой составляющей и синфазной составляющей принятого сигнала, причем способ решения вектора условной вероятности для демодуляции первой половины полного числа битов является идентичным способу решения для демодуляции оставшейся половины битов, и определяется заменой друг на друга значения квадратурной фазовой составляющей и значения синфазной составляющей. Технический результат – повышение скорости обработки принятого сигнала. 5 н. и 24 з.п. ф-лы. 15 ил.
Область техники
Настоящее изобретение относится к демодуляции с мягким решением сигнала квадратурной амплитудной модуляции (КАМ), и в частности к способу демодуляции с мягким решением, обеспечивающему увеличение скорости обработки мягкого решения с использованием предопределенной функции и шаблона при демодуляции принимаемого сигнала.
Предшествующий уровень техники
Схема КАМ может передавать нагрузку двух или более битов для символа заданного колебания, которое может быть математически выражено двумя действительными числами и мнимыми числами, которые не создают помех друг другу. Т.е. в комплексном числе + i изменение значения не оказывает влияние на значение . Вследствие этой причины квадратурная составляющая сигнала может соответствовать , и синфазная составляющая сигнала может соответствовать . В общем случае, квадратурная составляющая сигнала упоминается как квадратурный канал, а синфазная составляющая сигнала упоминается как синфазный канал.
Констелляционная диаграмма КАМ обеспечивает связывание амплитуд таких двух форм волны друг с другом для получения ряда комбинаций, позиционирования этих комбинаций на плоскости комплексных чисел с одинаковой условной вероятностью и прогнозирования такого позиционирования. На фиг.2 представлена диаграмма, изображающая пример такой констелляционной диаграммы, размер которой составляет 16 комбинаций. Также, каждая точка, показанная на фиг.2, упоминается как точка констелляции. Также, комбинации двоичных чисел, записанных под каждой точкой констелляции, представляют собой символы, установленные для каждой точки, т.е. группу битов.
В принципе, демодулятор КАМ служит для преобразования сигналов, поступающих на синфазный (I) канал и квадратурный (Q) канал, т.е. принимаемого сигнала, определенного + i, в исходную группу битов согласно прогнозируемому положению, упомянутому выше, т.е. констелляционной диаграмме комбинаций. В данном случае, однако, принимаемые сигналы в большинстве случаев не позиционированы в местоположениях, назначенных ранее, вследствие влияния шумовой помехи, и, следовательно, демодулятор должен восстанавливать сигналы, преобразованные вследствие шума, в исходные сигналы. Однако, так как часто имеет место некоторая избыточность для обеспечения надежности связи, демодулятор выполняет функцию компенсации помех, так что можно реализовать более эффективную и надежную систему связи за счет передачи этой функции на следующий этап канального декодера. Однако, так как существует потеря информации в процессе квантования битов, выполняемом детектором двоичных битов, как при жестком решении посредством того, что сигнал демодуляции, имеющий непрерывное значение, принимает значение дискретных сигналов 2 уровней, чтобы выполнить такой процесс, степень сходства в отношении расстояния между принимаемым сигналом и ожидаемой точкой констелляции изменяется с расстояния Хемминга на евклидово расстояние без использования детектора двоичных битов, так что может быть получен дополнительный выигрыш.
Как показано на фиг.1, чтобы модулировать и передать сигнал, кодированный канальным кодером, и демодулировать сигнал в канальном демодуляторе при помощи процесса кодирования с жестким решением, демодулятор должен иметь схему для генерирования значений жесткого решения, соответствующих каждому выходному биту канального кодера, из принимаемого сигнала, состоящего из синфазной составляющей сигнала и квадратурной (по фазе) составляющей сигнала. Такая схема, в основном, включает в себя две процедуры, т.е. процедуру простой метрики, предложенную компанией Nokia, и процедуру двойной минимальной метрики, предложенную компанией Motorola, причем обе процедуры вычисляют логарифмическое отношение правдоподобия (ЛОП) в отношении каждого выходного бита и используют его в качестве входного значения мягкого решения канального демодулятора.
Процедура простой метрики представляет собой событийный алгоритм, который преобразует сложное уравнение вычисления ЛОП в простую форму приближенного уравнения, которому свойственно ухудшение характеристик из-за искажения ЛОП, вызванного использованием приближенного уравнения, хотя оно упрощает вычисление ЛОП. С другой стороны, процедура двойной минимальной метрики представляет собой событийный алгоритм, который использует ЛОП, вычисленное с использованием более точного приближенного уравнения в качестве входного сигнала канального демодулятора, и достоинство которого заключается в значительном снижении ухудшения характеристик, имевшего место при использовании процедуры простой метрики, однако ожидаемой проблемой является больший объем вычислений по сравнению с процедурой простой метрики и увеличение сложности аппаратной реализации.
Раскрытие изобретения
Поэтому целью настоящего изобретения является решение проблем, вызванных известным уровнем техники, и создание схемы мягкого решения для демодуляции принимаемого сигнала с квадратурной амплитудной модуляцией (КАМ), состоящего из синфазной составляющей сигнала и квадратурной составляющей сигнала, где значение вектора условной вероятности, представляющее собой каждое значение мягкого решения, соответствующее положению бита жесткого решения, может быть получено с использованием функции, включающей в себя вычисление условного определения из значения квадратурной составляющей и значения синфазной составляющей принимаемого сигнала, и поэтому ожидается, что скорость обработки может быть увеличена и реальные затраты на производство аппаратных средств могут быть снижены. Чтобы выполнить такую процедуру, ниже описывается известная форма комбинационной констелляционной диаграммы КАМ и ее характеристическая схема демодуляции. Комбинационная констелляционная диаграмма КАМ может быть, в основном, разделена на 3 формы согласно конфигурации группы битов, установленной в точке констелляции. Первая из них представляет собой форму, сгруппированную, как показано на фиг.2-4, вторая представляет собой форму, сгруппированную, как показано на фиг.5-7, и третья представляет собой форму, не включенную в настоящую заявку.
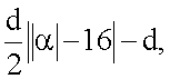
Характеристика формы, показанной на фиг.2, может быть кратко представлена следующим образом. В случае, когда величина КАМ равна 22n, число битов в каждой точке, становится равным 2n, где значения вектора условной вероятности, соответствующие первой половине числа, т.е. от первого до n-го бита, демодулируются посредством одного из принимаемых сигналов и , и значения вектора условной вероятности, соответствующие второй половине числа, т.е. с (n+1)-го по 2n-ый бит, демодулируются посредством другого из принимаемых сигналов. Также, уравнение, которое применяется к обеим демодуляциям, имеет идентичную процедуру при демодуляции первой половины и второй половины. Т.е. когда значение принимаемого сигнала, соответствующего второй половине, подставляется в способ демодуляции первой половины, может быть получен результат второй половины. (Ниже такая форма упоминается как «первая форма».)
Характеристика формы, показанной на фиг.5, может быть кратко представлена следующим образом. В случае, когда величина КАМ равна 22n, число битов, установленных в каждой из точек, становится равным 2n, и способ демодуляции вектора условной вероятности, соответствующего биту нечетного порядка, идентичен способу вычисления вектора условной вероятности, соответствующего следующему биту четного порядка. Однако значение принимаемого сигнала, используемое для вычисления вектора условной вероятности, соответствующего биту нечетного порядка, использует один из сигналов и согласно диаграмме констелляции данной комбинации, и значение принимаемого сигнала для бита четного порядка используется для другого из них. Другими словами, в случае вычислений первого и второго вектора условной вероятности они используют идентичный способ демодуляции, но значения принимаемых сигналов различны. (Ниже такая форма упоминается как «вторая форма».)
Краткое описание чертежей
Вышеупомянутые цели, другие отличительные признаки и преимущества настоящего изобретения поясняются в описании его предпочтительного варианта выполнения с ссылкой на чертежи, на которых представлено следующее:
фиг.1 – блок-схема для объяснения общей цифровой системы связи;
фиг.2 – вид, изображающий точку констелляции комбинации для объяснения способа демодуляции с мягким решением в соответствии с первым вариантом выполнения настоящего изобретения;
фиг.3 и 4 – виды для объяснения битовой констелляции на диаграмме констелляции комбинаций, показанной на фиг.2;
фиг.5 – вид, изображающий диаграмму констелляции комбинаций для объяснения способа демодуляции с мягким решением согласно второму варианту выполнения настоящего изобретения;
фиг.6 и 7 – виды для объяснения битовой констелляции на диаграмме констелляции комбинаций, показанной на фиг.5;
фиг.8 – вид, изображающий процедуру принятия решения для вектора условной вероятности согласно настоящему изобретению в качестве функционального блока;
фиг.9 – выходная диаграмма для каждого вектора условной вероятности первой формы 1024-КАМ;
фиг.10 – выходная диаграмма для каждого вектора условной вероятности второй формы 1024-КАМ;
фиг.11 – вид, изображающий функцию, применяемую к первому вектору вероятности третьего варианта выполнения настоящего изобретения;
фиг.12 – вид, изображающий функцию, применяемую ко второму вектору вероятности третьего варианта выполнения настоящего изобретения;
фиг.13 – вид, изображающий функцию, применяемую к первому вектору вероятности четвертого варианта выполнения настоящего изобретения;
фиг.14 – вид, изображающий функцию, применяемую ко второму вектору вероятности четвертого варианта выполнения настоящего изобретения; и
фиг.15 – вид, изображающий конфигурацию аппаратных средств для мягкого решения первой формы 64-КАМ согласно настоящему изобретению.
Лучший вариант осуществления изобретения
Ниже подробно описан предпочтительный вариант выполнения настоящего изобретения, примеры которого иллюстрируются на прилагаемых чертежах.
Настоящее изобретение значительно повышает скорость обработки посредством применения уравнения вектора условной вероятности вместо способа логарифмического отношения правдоподобия, которым является способ демодуляции с мягким решением сигнала прямоугольной КАМ, который обычно используется в промышленности.
Вновь разработанный способ демодуляции сигнала прямоугольной КАМ делится на 2 формы, причем первый и третий варианты выполнения используются для первой формы, а второй и четвертый варианты выполнения используются для второй формы. Также, выходной результат окончательного значения вектора условной вероятности охватывает область между действительным числом «а» и другим действительным числом «-а».
Сначала, объясняя несколько основных условий перед началом описания, величина КАМ может характеризоваться математическим выражением 1 и, следовательно, число битов в каждой точке диаграммы констелляции, может характеризоваться математическим выражением 2.
Математическое выражение (1):
22n-КАМ. n=2, 3, 4 
Математическое выражение (2):
число битов в каждой точке=2n
Следовательно, число значений вектора условной вероятности, которые являются окончательными выходными значениями, также становится 2n.
Ниже объясняется первый из способов демодуляции сигналов прямоугольной КАМ согласно настоящему изобретению.
Сначала объясняется способ мягкого решения в случае приема сигнала прямоугольной КАМ, соответствующего первой форме. В случае первой формы, хотя было упомянуто, что одно из значений квадратурной составляющей (действительной части числа или ) или синфазной составляющей сигнала (мнимой части числа или ) используется для вычисления вектора условной вероятности, соответствующего комбинации битов первой половины при объяснении характеристики первой формы, ради удобства в нижеследующем описании принять, что демодуляция первой половины и второй половины использует значения и значения , соответственно, и выходная область согласно демодуляции устанавливается как значение между 1 и -1. Также k используется в качестве параметра, указывающего порядок каждого бита.
Способ вычисления вектора условной вероятности, соответствующего случаю, когда первый бит, т.е. k равен 1 в первой форме, может быть выражен в виде математического выражения (3), и фиг.5 является его визуальным представлением.
Математическое выражение (3):
В случае первого вектора условной вероятности (k=1) выходное значение определяется как Однако значение n определяется величиной КАМ, используя математическое выражение (1).
Способ вычисления вектора условной вероятности, соответствующего второму биту (k=2) в первой форме, может быть выражен математическим выражением (4), и фиг.6 является его визуальным представлением.
Математическое выражение (4):
В случае второго вектора условной вероятности (k=2) выходное значение безусловно определяется как 
В данном случае, n представляет собой параметр величины КАМ в математическом выражении (1), и с представляет собой постоянную.
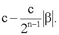
Способ вычисления вектора условной вероятности, соответствующего с третьего по n-ый бит (k=3, 4, n-1, n) в первой форме, может быть выражен в виде математического выражения (5). В данном случае, как видно на фиг.9, так как вектор условной вероятности, соответствующий третьему или последующему биту, указывает определенную форму итерации (v-образную форму), отмечается, что выражение применяется повторно с использованием такого свойства.
Математическое выражение (5):
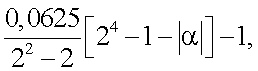
Сначала, деля выходную диаграмму на основную v-образную форму, вектор условной вероятности, соответствующий каждому биту, делится на (2k-3+1) области.
2) Основное выражение согласно основной форме определяется как 
3) При нахождении области принадлежности в виде данного и замене значения | |-m, т.е. вычитается среднее значение m из каждой области (например, так как повторяемая область равна единице, когда k=4, область становится 2n-2 | |<3·2n-2, и среднее значение становится равным m=2n-1), в основное выражение в качестве нового , может быть определено выходное значение.
4) Наконец, в левой и правой внешних областях из разделенных областей, т.е. (2k-2-1)2n-k+2<| |, выходное значение может быть определено посредством подстановки среднего значения m=2n и значения (| |-m) для нового в основное выражение.
В данном случае d представляет собой постоянную, которая изменяется в соответствии со значением k.
Способ вычисления вектора условной вероятности, соответствующего битам второй половины первой формы, т.е. номеру битов с n+1 по 2n, может быть получен посредством замены на в способе получения вектора условной вероятности в первой половине согласно характеристике первой формы. Другими словами, условие, что все в математическом выражении (3) заменяются на , становится выражением для вычисления первого вектора условной вероятности второй половины, т.е. вектора условной вероятности, соответствующего (n+1)-ому биту. Вектор условной вероятности, соответствующий (n+2)-ому биту второго вектора условной вероятности второй половины, может быть определен посредством замены на в математическом выражении (4), т.е. условие для вычисления второго вектора условной вероятности первой половины, и вектор условной вероятности, соответствующий номеру бита с n+3 по 2n, который является следующим случаем, может быть определен посредством преобразования математического выражения в приведенном выше описании.
Ниже объясняется способ выполнения мягкого решения о принимаемом сигнале прямоугольной КАМ, соответствующем второй форме. Выполняется демодуляция для определения вектора условной вероятности, соответствующего битам нечетного порядка, используя значение , и для определения вектора условной вероятности, соответствующего битам четного порядка, используя значение , и, следовательно, выходная область действия определяется между 1 и -1, как и в первой форме, для удобства.
Во второй форме способ вычисления вектора условной вероятности, соответствующего первому биту (k=1), может быть выражен как математическое выражение (6), и фиг.6 является его визуальным представлением.
Математическое выражение (6):
(а) В случае первого бита (k=1) выходное значение определяется как 
Однако значение n определяется математическим выражением (1) в соответствии с величиной КАМ.
Во второй форме вектор условной вероятности, соответствующий второму биту (k=2), может быть получен заменой на в математическом выражении (6) для вычисления первого вектора условной вероятности в соответствии с характеристикой второй формы.
Во второй форме способ вычисления вектора условной вероятности, соответствующего третьему биту (k=3), может быть выражен как математическое выражение (7).
Математическое выражение (7):
Если · 0,
(а) В случае третьего бита (k=3) выходное значение определяется как 
Если · <0, выражение для вычисления определяется как выражение, в котором все заменяются на в выражении для вычисления в случае · 0.
В данном случае n представляет собой параметр величины КАМ в математическом выражении (1), и с представляет собой постоянную.
По существу, может иметь место еще одна характеристика КАМ второй формы, что вектор условной вероятности получается в случаях · 0 и · <0 отдельно. Такая характеристика применяется тогда, когда вектор условной вероятности, соответствующий третьему или последующему биту второй формы, и включает в себя характеристику взаимно обратной подстановки, подобно замене на .
Выражение для получения вектора условной вероятности, соответствующего четвертому биту (k=4) второй формы, может быть получено заменой на и на в математическом выражении (7), используемом для получения третьего вектора условной вероятности в соответствии со второй формой.
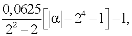
Выражение, используемое для получения вектора условной вероятности, соответствующего пятому биту (k=5) второй формы, может быть получено посредством применения математического выражения (8). В данном случае, как можно видеть на фиг.10, так как вектор условной вероятности, соответствующий пятому или последующему биту, указывает определенную форму итерации (v-образную форму), следует заметить, что выражение применяется повторно с использованием такого свойства. Однако, когда вычисляется вектор условной вероятности, соответствующий пятому или последующему биту, значения определения четного порядка используют выражение, которое использовалось для вычисления перед значением определения нечетного порядка в соответствии со свойством второй формы, которое применяется, только когда величина КАМ меньше 64. И, когда величина больше 256, остальная часть может быть разделена на две части, и вычисление может выполняться в части первой половины и затем в части второй половины, как и в первой форме.
Математическое выражение (8):
Если · 0,
(а) Сначала, при делении выходной диаграммы на основную V-образную форму, вектор условной вероятности, соответствующий каждому биту, может быть разделен на (2k-5+1) областей.
(b) Основное выражение согласно основной форме определяется как 
(с) При нахождении области принадлежности в виде данного и замене значения | |-m, в котором вычитается среднее значение m из каждой области (например, так как повторяемая область равна единице, когда k=6, область определяется,
как 2n-2 | |<3·2n-2, и среднее значение становится m=2n-1), в основном выражении на новое , может быть определено выходное значение.
(d) Наконец, в левой и правой внешних областях из разделенных областей, т.е. (2k-2-1)2n-k+2<| |, выходное значение может быть определено посредством замены среднего значения m=2n и значения (| |-m) новым в основном выражении.
В случае · <0 выходное значение может быть получено посредством замены на в выражениях (а), (b), (c) и (d).
Вычисление вектора условной вероятности, соответствующего шестому биту второй формы, может обеспечиваться посредством замены на и на в математическом выражении (8), используемом для получения пятого вектора условной вероятности при помощи свойства второй формы в случае, когда величина КАМ равна 64-КАМ. Однако в случае, когда величина КАМ больше 256-КАМ, первая половина получается посредством деления итоговых оставшихся векторов на 2, и вторая половина получается посредством замены принимаемого значения ( или ) в выражении первой половины. Измененное значение в выражении первой половины представляет собой только принимаемое значение, и значение (k) номера бита не меняется, но заменяется номером первой половины.
Следовательно, в случае, когда величина КАМ более 256, вычисление вектора условной вероятности, соответствующего битам с пятого по (n+2)-ой бит второй половины, определяется посредством математического выражения (8).
Вычисление вектора условной вероятности, соответствующего битам с (n+3)-го по последний, 2n-ый бит второй формы, определяется посредством замены параметра на в математическом выражении, как упомянуто выше.
Демодуляция с мягким решением прямоугольной КАМ может быть выполнена с использованием принимаемого сигнала, т.е. + i, при помощи описанной выше процедуры. Однако, хотя описанный выше способ, для удобства понимания, произвольно определил порядок при выборе принимаемого сигнала и подстановке его в выражение для определения, способ применим в реальном использовании более обобщенно, так что символ или , входящий в математические выражения, может быть свободно заменен на другой в соответствии с формой констелляции комбинации КАМ, и область действия выходных значений может быть несимметричной, как значения между а и b, а также значения между а и -а. Можно сказать, что такой факт расширяет универсальность настоящего изобретения и повышает его важность. Также, хотя описанные выше математические выражения кажутся очень сложными, они обобщаются для общих применений, так что понятно, что они оказываются простыми в реально применяемых вариантах выполнения.
Первый вариант выполнения
Первым вариантом выполнения настоящего изобретения является случай, соответствующий первой форме, и применяется свойство первой формы. Первый вариант выполнения включает в себя пример 1024-КАМ, где величина КАМ равна 1024. Выбор порядка принимаемого сигнала, как предполагается, применяет в первой половине и – во второй половине.
По существу, КАМ в двух вариантах выполнения настоящего изобретения может быть определена в виде следующего выражения. Математическое выражение (1) определяет величину КАМ, и математическое выражение (2) показывает число битов в каждой точке диаграммы констелляции комбинаций согласно величине КАМ.
Математическое выражение (1):
22n-КАМ, n=2, 3, 4 
Математическое выражение (2):
число битов в каждой точке=2n
По существу, величина КАМ в первом варианте выполнения настоящего изобретения определяется в виде следующего выражения, и, следовательно, значением вектора условной вероятности конечного выходного значения становится 2n.
Случай, когда 22·5-КАМ равно 1024-КАМ согласно математическому выражению (1), и число битов в каждой точке констелляции, равно 2·5=10 битам согласно математическому выражению (2), объясняется с использованием математических выражений (1) и (2). Сначала, перед применением выражений для вычисления, отмечается, что если выражение для вычисления 5 битов первой половины из числа 10 битов известно посредством свойства первой формы, то непосредственно известно выражение для вычисления оставшихся 5 битов второй половины.
Выражение первого вектора условной вероятности представляет собой случай k=1, и его выходное значение безусловно определяется как 
Выходное значение второго (т.е. k=2) вектора условной вероятности составляет В данном случае с представляет собой постоянную.
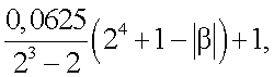
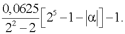
Выражение для вычисления третьего (k=3) вектора условной вероятности задается следующим образом, где основное выражение согласно основной форме определяется как 
Вычисление делится на 2 области, и выходное значение определяется как если | |<24, и выходное значение определяется как для других случаев.
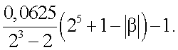
Выражение для вычисления четвертого (k=4) вектора условной вероятности приводится в следующем виде, где основное выражение согласно основной форме определяется как и делится на 3 области.
В данном случае выходное значение определяется как если | |<23, выходное значение определяется как если 23 | |<3·23, и выходное значение определяется как для других случаев.
Затем выражение для вычисления пятого (k=5) вектора условной вероятности приводится в следующем виде, где основное выражение определяется как и делится на 5 областей. В данном случае выходное значение определяется как если | |<22.
Выходное значение определяется как если 22 | |<3·22, выходное значение определяется как если 3·22 | |<5·22, выходное значение определяется как если 5·22 | |<7·22, и выходное значение определяется как для других случаев.
Затем реализуется выражение для вычисления с 6-го по 10-ый вектор условной вероятности посредством замены + на + с первого по пятый вектор условной вероятности согласно свойству первой формы.
Второй вариант выполнения
Вторым вариантом выполнения настоящего изобретения является случай, соответствующий второй форме, и применяется свойство второй формы. Второй вариант выполнения включает в себя пример 1024-КАМ, где величина КАМ равна 1024. Выбор порядка принимаемого сигнала, как предполагается, применяет сначала .
Как и в первом варианте выполнения, математическое выражение (1) определяет величину КАМ, и математическое выражение (2) указывает число битов в каждой точке диаграммы констелляции комбинаций согласно величине КАМ.
Математическое выражение (1):
22n-КАМ, n=2, 3, 4 
Математическое выражение (2):
число битов в каждой точке=2n
По существу, величина КАМ во втором варианте выполнения настоящего изобретения определяется в виде вышеупомянутого выражения, и, следовательно, значением вектора условной вероятности конечного выходного значения становится 2n.
Случай, когда n равно 5, т.е. 22·5-КАМ равно 1024-КАМ согласно математическому выражению (1), и число битов в каждой точке констелляции, равно 2·5=10 битам согласно математическому выражению (2), объясняется, когда n равно 5, с использованием таких математических выражений (1) и (2).
Вычисление первого вектора условной вероятности представляет собой случай k=1, где выходное значение безусловно определяется как 
Выражение для вычисления второго (k=2) вектора условной вероятности представляет собой случай, где заменено первое выражение для вычисления, где выходное значение определяется как 
Для выражения для вычисления третьего (k=3) вектора условной вероятности, где   0, приводится следующее, где выходное значение безусловно определяется как при этом с является постоянной.
Если  <0, то данное выражение для вычисления получается посредством замены на в выражении, используемом для способа определения выходного значения третьего вектора условной вероятности, объясненного только что выше (  0).
Для вычисления четвертого (k=4) вектора условной вероятности,
(1) когда   0, задается следующее, где выходное значение безусловно определяется как 
(2) Когда  <0, данное выражение для вычисления получается заменой на в выражении, используемом для способа определения выходного значения четвертого вектора условной вероятности, объясненного выше (  0).
Для выражения для вычисления пятого (т.е. k=5) вектора условной вероятности,
когда   0, задается следующее, где основное выражение согласно основной форме определяется, как 
В данном случае выражение делится на 2 области, где, если | |<24, выходное значение определяется как и выходное значение определяется как для других случаев.
(2) Когда  <0, данное выражение для вычисления получается посредством замены на в выражении, используемом для способа определения выходного значения пятого вектора условной вероятности, объясненного выше (  0).
Для шестого вектора (т.е. k=6) условной вероятности,
когда   0, основное выражение согласно основной форме определяется как и, в данном случае, выражение делится на 3 области, где, если | |<23, выходное значение определяется как выходное значение определяется как и выходное значение определяется как для других случаев.
Когда  <0, данное выражение для вычисления получается посредством замены на в выражении, используемом для способа определения выходного значения шестого вектора условной вероятности, объясненного выше (  0).
Для выражения для вычисления седьмого (k=7) вектора условной вероятности,
когда   0, основное выражение согласно основной форме определяется как и, в данном случае, выражение делится на 5 областей,
где, если | |<22, выходное значение определяется как 
если 22<| |<3·22, выходное значение определяется как 
если 3·22<| |<5·22, выходное значение определяется как 
если 5·22<| |<7·22, выходное значение определяется как и
выходное значение определяется как для других случаев.
Когда  <0,
данное выражение для вычисления получается посредством замены на в выражении, используемом для способа определения выходного значения седьмого вектора условной вероятности, объясненного выше (  0).
Способ получения с восьмого по десятый вектор условной вероятности получается посредством замены на и на в выражении для получения с пятого по седьмой вектор условной вероятности.
Ниже объясняется второй способ демодуляции сигнала прямоугольной КАМ.
Сначала объясняется способ мягкого решения прямоугольной КАМ, соответствующей первой форме. В случае первой формы, хотя любая из действительной части числа и мнимой части числа у принимаемого сигнала используется для вычисления вектора условной вероятности, соответствующего битовой комбинации первой половины, первая половина демодулируется с использованием значения , и вторая половина демодулируется с использованием значения , и ее выходная область действия определяется между 1 и -1 ради удобства в нижеследующем описании.
Способ вычисления вектора условной вероятности, соответствующего первому биту в первой форме, может быть выражен в виде математического выражения (13), и фиг.3 и 11 являются его визуальным представлением.
Математическое выражение (13):
Если | | 2n-1, выходное значение определяется как sign( ).
(2) если | | 1, выходное значение определяется как 0,9375·sign( ).
(3) если 1<| | 2n-1, выходное значение определяется как 
sign( ) означает знак знака значения.
В первой форме способ вычисления вектора условной вероятности, соответствующего второму биту, может быть выражен в виде математического выражения (14), и фиг.4 и 12 являются его визуальным представлением.
Математическое выражение (14):
(1) Если 2n-2n(2-m) | | 2n-2n(2-m)+1, выходное значение определяется как (-1)m+1;
(2) если 2n-1-1 | | 2n-1+1, выходное значение определяется как 0,9375(2n-1-| |);
(3) если 2n-1-2(n-1)(2-m)+m | | 2n-2(n-1)(2-m)+m-2, выходное значение определяется как 
В данном случае m=1 или m=2.
В первой форме способ вычисления вектора условной вероятности, соответствующего битам с третьего по (n-1)-ый бит, может быть выражен в виде математического выражения (15).
Математическое выражение (15):
(1) если m·2n-k+2-1 | | m·2n-k+2+1, выходное значение определяется как (-1)m+1;
(2) если (2l-1)·2n-k+1-1<| | (2l-1)·2n-k+1+1, выходное значение определяется как (-1)l+10,9375{| |-(2l-1)·2n-k+1};
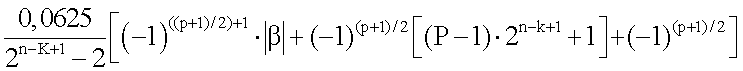
(3) если (P-1)·2n-k+1+1<| | P·2n-k+1-1, выходное значение зависит от значения Р, где, если Р представляет собой нечетное число, выходное значение определяется как

Однако, если значение Р представляет собой четное число, выходное значение определяется как

В данном случае m=0, 1 2k-2 и l=1, 2, 2k-2, также Р=1, 2, 2k-1.
В данном случае k представляет собой номер бита, который представляет собой целое число больше 3.
В первой форме способ вычисления вектора условной вероятности, соответствующего n-ому биту, являющемуся последним битом в первой половине, может быть выражен в виде математического выражения (16). Это конкретный случай математического выражения (16), в котором k=n и применяются только условные выражения (1) и (“).
Математическое выражение (16):
(1) Если m·22-1 | | m·22+1, выходное значение определяется как (-1)m+1.
(2) если (2l-1)·21-1<| |<(2l-1)·21+1,
выходное значение определяется как 0,9375{| |-(2l-1)·21}.
В данном случае m=0, 1, 2n-2 и l=1, 2 2n-2.
Способ вычисления вектора условной вероятности, соответствующего битам второй половины первой формы, т.е. номеру битов с n+1 по 2n, может выполняться посредством замены на в способе получения вектора условной вероятности первой половины согласно свойству первой формы. Т.е. условие, где все в математическом выражении (13) заменяются на , становится первым вектором условной вероятности второй половины, т.е. выражением для вычисления вектора условной вероятности, соответствующего (n+1)-ому биту. Также, вектор условной вероятности, соответствующий (n+2)-ому биту, т.е. второму вектору условной вероятности второй половины, может определяться посредством замены на в математическом выражении (14), которое представляет собой условие, где вычисляется второй вектор условной вероятности первой половины, и вектор условной вероятности, соответствующий номеру бита с n+3 по 2n, т.е. следующие случаи могут быть определены посредством преобразования математических выражений (15) и (16), как описано выше.
Ниже объясняется способ мягкого решения для принимаемого сигнала прямоугольной КАМ, соответствующей второй форме. Также, для удобства понимания, значение используется для определения вектора условной вероятности, соответствующего биту нечетного порядка, и значение используется для определения бита четного порядка.
Во второй форме способ вычисления вектора условной вероятности, соответствующего первому биту, может быть выражен в виде математического выражения (17), и фиг.13 является его визуальным представлением.
Математическое выражение (17):
(а) если | | 2n-1, выходное значение определяется как -sign( );
(b) если | | 1, выходное значение определяется как 0,9375·sign( );
(с) если 1<| | 2n-1, выходное значение определяется как при этом sign( ) означает знак значения .
Во второй форме способ вычисления вектора условной вероятности, соответствующего второму биту, может быть получен посредством замены всех на в математическом выражении (17), используемом для вычисления первого вектора условной вероятности согласно свойству второй формы.
Во второй форме способ вычисления вектора условной вероятности, соответствующего третьему биту, может быть выражен в виде математического выражения (18).
Математическое выражение (18):
Когда · 0,
(а) если 2n-2n(2-m) | | 2n-2n(2-m)+1, выходное значение определяется как (-1)m;
(b) если 2n-1-1 | | 2n-1+1, выходное значение определяется как 0,9375(| |-2n-1);
(с) если 2n-1-2(n-1)(2-m)+m | | 2n-2(n-1)(2-m)+m-2, выходное значение определяется как 
Если · <0, выражение для вычисления определяется как выражение, где все заменяются на в выражении для вычисления в случае · 0.
По существу, способ получения вектора условной вероятности в каждом случае · 0 и ·<0, представляет собой другое свойство. Такое свойство всегда применяется при получении вектора условной вероятности, соответствующего третьему или последующему биту второй формы, и свойство взаимной замены, такое как замена на , также включается в это свойство.
Выражение для получения вектора условной вероятности, соответствующего четвертому биту второй формы, получается посредством замены на и на в математическом выражении (18), используемом для получения третьего вектора условной вероятности при помощи свойства второй формы в случае, когда величина КАМ меньше 64-КАМ. Однако случай, когда величина КАМ больше 256-КАМ, выражается как математическое выражение (19).
Математическое выражение (19):
(а) если m·2n-k+3-1 | | m·2n-k+3+1, выходное значение определяется как (-1)m+1;
(b) если (2l-1)·2n-k+2-1<| |<(2l-1)·2n-k+2+1,
выходное значение определяется как (-1)l+1{0,9375| |-0,9375(2l-1)·2n-k+2};
(с) если (P-1)·2n-k+2+1<| | P·2n-k+2-1,
выходное значение определяется в соответствии со значением Р, где, если Р представляет собой нечетное число, выходное значение определяется как

если Р представляет собой четное число, выходное значение определяется как

В данном случае k представляет собой номер бита, и m=0, 1 2k-3, l=1, 2, 2k-3, p=1, 2, 2k-2.
Выражение для получения вектора условной вероятности, соответствующего пятому биту второй формы, может быть выражено в виде математического выражения (20) в случае, когда величина КАМ равна 64-КАМ, и может быть применено математическое выражение (19) в случае, когда величина КАМ больше 256-КАМ.
Математическое выражение (20):
Когда · 0,
(а) если m·22-1<| | m·22+1, выходное значение определяется как (-1)m+1;
(b) если (2l-1)·22-1<| | (2l-1)·22+1,
выходное значение определяется как 0,9375(-1)l+1{| |-(2l-1)*22}.
В данном случае m=0, 1, 2 и l=1, 2.
Если · <0, выходное значение получается посредством замены на в выражении (а) и (b) в соответствии со свойством второй формы.
Вычисление вектора условной вероятности, соответствующего шестому биту второй формы, достигается посредством замены на и на в математическом выражении (20), которое представляет собой выражение, используемое для получения пятого вектора условной вероятности в соответствии со свойством второй формы в случае, когда величина КАМ равна 64-КАМ. Однако случай, когда величина КАМ больше 256-КАМ, выражается в виде математического выражения (19).
Вычисление вектора условной вероятности, соответствующего битам с седьмого по n-ый бит второй формы, определяется в виде математического выражения (19).
Вычисление вектора условной вероятности, соответствующего (n+1)-ому биту второй формы, выражается в виде математического выражения (21), которое представляет собой конкретный случай математического выражения (19).
Математическое выражение (21):
(а) если m·22-1 | | m·22+1, выходное значение определяется как (-1)m+1;
(b) если (2l-1)·21-1<| | (2l-1)·21+1,
выходное значение определяется как (-1)l+1{0,9375| |-0,9375(2l-1)·21}.
В данном случае m=0, 1, 2n-2 и l=1, 2 2n-2.
Вычисление вектора условной вероятности, соответствующего (n+2)-ому биту второй формы, достигается посредством замены на и на в математическом выражении (18).
Вычисление вектора условной вероятности, соответствующего битам с (n+3)-ого по (2n-1)-ый бит второй формы, реализуется посредством замены на в математическом выражении (19). Однако номер бита значения k, которое используется в данном случае, равен с 4 по n, что последовательно подставляется в выражения с n+3 по 2n-1.
Демодуляция с мягким решением прямоугольной КАМ может осуществляться с использованием принимаемого сигнала, т.е. значения + i, по всему такому процессу. Однако, хотя в описанном выше способе произвольно принято решение о порядке при выборе принимаемого сигнала и подстановке его в выражение для определения для удобства понимания, способ в его реальном применении является более обобщенным, так что символ или , выраженный в выражении, может быть свободно заменен согласно форме констелляции комбинации КАМ, и область действия выходного значения может быть асимметричной, такой как значение между «а» и «b», а также значение «а» или «-а». Это расширяет универсальность настоящего изобретения и повышает его важность. Также, хотя описанные выше математические выражения кажутся очень сложными, они обобщаются для обобщенных применений, так что они упрощаются при рассмотрении в реально применяемых вариантах выполнения.
Третий вариант выполнения
Третьим вариантом выполнения настоящего изобретения является случай, соответствующий первой форме, и применяется свойство первой формы. Третий вариант выполнения включает в себя пример 1024-КАМ, где величина КАМ равна 1024. Выбор порядка принимаемого сигнала подразумевает применение в первой половине и – во второй половине (см. фиг.11 и 12).
По существу КАМ в двух вариантах выполнения настоящего изобретения может быть определена в виде следующего выражения. Математическое выражение (1) определяет величину КАМ, и математическое выражение (2) отражает число битов в каждой точке диаграммы констелляции комбинаций согласно величине КАМ.
Математическое выражение (1):
22n-КАМ, n=2, 3, 4 
Математическое выражение (2):
число битов в каждой точке=2n
По существу, величина КАМ в третьем варианте выполнения настоящего изобретения определяется в виде следующего выражения, и, следовательно, числом значения вектора условной вероятности конечного выходного значения становится 2n.
Случай, когда 22·5-КАМ равно 1024-КАМ согласно математическому выражению 1, и число битов в каждой точке концелляции, равно 2·5=10 битам согласно математическому выражению (2), объясняется, когда n равно 5, с использованием математических выражений (1) и (2). Перед применением выражений для вычисления следует отметить, что выражение для вычисления 5 битов первой половины из числа 10 битов известно при помощи свойства первой формы, выражение для вычисления остальных 5 битов второй половины также точно известно.
Для выражения для вычисления первого вектора условной вероятности,
если | |>25-1, выходное значение определяется как sign( ).
(2) если | | 1, выходное значение определяется как 0,9375·sign( );
(3) если 1<| | 25-1, выходное значение определяется как

Для второго (т.е. k=2, m=1, 2) вектора условной вероятности,
если 0 | | 1, выходное значение определяется как 1.
Если 25-1 | | 25, выходное значение определяется как -1;
если 24-1 | | 24+1, выходное значение определяется как 0,9375(24-| |);
если 1 | | 24-1, выходное значение определяется как и
если 24+1 | | 25-1, выходное значение определяется как 
Для выражения для вычисления третьего (т.е. k=3, m=0, 1, 2, l=1, 2, p=1, 2, 3, 4) вектора условной вероятности,
(1) если m·24-1 | | m·24+1, выходное значение определяется как (-1)m+1.
При подстановке m=0, 1, 2,
если -1<| | 1, выходное значение определяется как 1;
если 24-1<| | 24+1, выходное значение определяется как 1;
если 25-1<| | 25+1, выходное значение определяется как -1;
(2) если (2l-1)·23-1<| | (2l-1)·23+1, выходное значение определяется при помощи подстановки l=1, 2 в (-1)l+10,9375{| |-(2l-1)·23}. Если 23-1<| | 23+1, выходное значение определяется как 0,9375(| |-23), и, если 3·23-1<| | 3·23+1, выходное значение определяется как -0,9375(| |-3·23).
(3) Когда (P-1)·23+1<| | P·23-1 и при подстановке P=1, 2, 3 и 4 в соответствии с тем, является ли Р нечетным числом или четным числом,
1<| | 23-1, выходное значение определяется как 
если 23+1<| | 24-1, выходное значение определяется как 
если 24+1<| | 3·23-1, выходное значение определяется как 
если 3*23+1<| | 25-1, выходное значение определяется как 
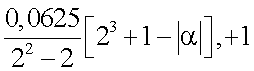
Для выражения для вычисления четвертого (т.е. k=4, m=0, 1, 2, 3 и 4, l=1, 2, 3 и 4, p=1, 2, 3, 4, 5, 6, 7 и 8) вектора условной вероятности,
если -1<| | 1, выходное значение определяется как -1,
если 23-1<| | 23+1, выходное значение определяется как 1,
если 24-1<| | 24+1, выходное значение определяется как -1,
если 3*23-1<| | 3·23+1, выходное значение определяется как 1,
если 25-1<| | 25+1, выходное значение определяется как -1,
если 22-1<| | 22+1, выходное значение определяется как 0,9375{| |-22},
если 3·22-1<| | 3·22+1, выходное значение определяется как -0,9375{| |-3·22},
если 5·22-1<| | 5·22+1, выходное значение определяется как 0,9375{| |-5·22},
если 7·22-1<| | 7·22+1, выходное значение определяется как -0,9375{| |-7·22}, если 1<| | 22-1, выходное значение определяется как 
если 22+1<| | 23-1, выходное значение определяется как 
если 23+1<| | 3·22-1, выходное значение определяется как 
если 6·22+1<| | 7·22-1, выходное значение определяется как 
если 7·22+1<| | 25-1, выходное значение определяется как 
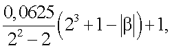
Для выражения для вычисления пятого (т.е. k=5, m=0, 1, 2, 7, 8, l=1, 2, 3, 7, 8) вектора условной вероятности,
если -1<| | 1, выходное значение определяется как -1,
если 22-1<| | 22+1, выходное значение определяется как 1,
если 3·22-1<| | 3·22+1, выходное значение определяется как -1.


если 7·22-1<| | 7·22+1, выходное значение определяется как 1,
если 25-1<| | 25+1, выходное значение определяется как -1,
если 1<| | 3, выходное значение определяется как 0,9375(| |-2),
если 5<| | 7, выходное значение определяется как -0,9375(| |-6),
если 9<| | 11, выходное значение определяется как 0,9375(| |-10),


если 25<| | 27, выходное значение определяется как 0,9375(| |-26),
если 29<| | 31, выходное значение определяется как -0,9375(| |-30).
Выражения для вычисления с шестого по десятый вектор условной вероятности могут быть получены посредством замены на в с первого по пятый вектор условной вероятности в соответствии со свойством первой формы.
Четвертый вариант выполнения
Четвертым вариантом выполнения настоящего изобретения является случай, соответствующий второй форме, и применяется свойство второй формы. Четвертый вариант выполнения включает в себя пример 1024-КАМ, где величина КАМ равна 1024. Выбор порядка принимаемого сигнала предполагает применение сначала .
Математическое выражение (1) определяет величину КАМ, и математическое выражение (2) показывает число битов в каждой точке диаграммы констелляции комбинаций согласно величине КАМ, как и в третьем варианте выполнения.
Математическое выражение (1):
22n-КАМ, n=2, 3, 4 
Математическое выражение (2):
число битов в каждой точке=2n
По существу, величина КАМ в четвертом варианте выполнения настоящего изобретения определяется в виде вышеупомянутого выражения, и, следовательно, числом значения вектора условной вероятности конечного выходного значения становится 2n.
Случай, когда 22·5-КАМ равно 1024-КАМ согласно математическому выражению (1), и число битов в каждой точке констелляции, равно 2·5=10 битам согласно математическому выражению (2), объясняется, когда n равно 5, с использованием математических выражений (1) и (2) (см. фиг.13 и 14).
Для вычисления первого вектора условной вероятности:
если | |>25-1, выходное значение определяется как -sign( ),
если | | 1, выходное значение определяется как -0,9375sign( ),
если 1<| | 25-1, выходное значение определяется как

Выражение для вычисления второго вектора условной вероятности представляет собой форму замены первого выражения для вычисления следующим образом.
(а) Если | |>25-1, выходное значение определяется как -sign( ).
(b) Если | | 1, выходное значение определяется как -0,9375sign( ).
(с) Если 1<| | 25-1, выходное значение определяется как

Для выражения для вычисления третьего вектора условной вероятности,
когда   0,
(а) если 25-25(2-m) | |<25-25(2-m)+1, выходное значение определяется как (-1)m.
В данном случае, так как m равно 1 и 2 при подстановке,
если 0 | | 1, выходное значение определяется как -1.
Если 25-1 | |<25, выходное значение определяется как 1,
(b) если 24-1 | |<24+1, выходное значение определяется как 0,9375(| |-24),
(c) если 24-24(2-m)+m | | 25-24(2-m)+m-2, выходное значение определяется как 
В данном случае при подстановке m=1, 2,
если 1 | |<24-1, выходное значение определяется как 
если 24+1 | |<25-1, выходное значение определяется как 
Когда  <0,
в данном случае выражение для вычисления получается посредством замены на в выражениях (а), (b), (с) способа определения выходного значения третьего вектора условной вероятности, описанного выше.
Для вычисления четвертого (т.е. k=4, m=0, 1, 2, l=1, 2, p=1, 2, 3, 4) вектора условной вероятности,
когда   0,
(а) если m·24-1 | |4+1, выходное значение определяется как (-1)m+1.·2
В данном случае при подстановке m=0, 1, 2, если -1<| | 1, выходное значение определяется как -1,
если 24-1 | |<24+1, выходное значение определяется как 1,
если 25-1 | |<25+1, выходное значение определяется как -1;
(b) если (2l-1)·23-1 | |<(2l-1)·23+1, выходное значение определяется подстановкой l=1, 2 в (-1)l+1{0,9375| |-0,9375(2l-1)·23},
в данном случае, если 23-1 | |<23+1, выходное значение определяется как 0,9375(| |-23),
если 3·23-1 | | 3·23+1, выходное значение определяется как -0,9375(| |-3·23);
(с) если (P-1)·23+1 | | P·23-1 и Р представляет собой нечетное число, выходное значение определяется как

Однако, если Р представляет собой четное число, выходное значение определяется как

В данном случае при подстановке р=1, 2, 3, 4,
если 1<| | 23-1, выходное значение определяется как 
если 23+1<| | 24-1, выходное значение определяется как 
если 24+1<| | 3·23-1, выходное значение определяется как 
если 3·23+1<| | 25-1, выходное значение определяется как 
Когда  <0,
в данном случае выражение для вычисления получается посредством замены на в выражениях (а), (b), (с) способа определения выходного значения четвертого вектора условной вероятности, описанного выше.
Затем для пятого (т.е. k=5, m=0, 1, 2, 3, 4, l=1, 2, 3, 4) вектора условной вероятности,
(1) когда   0,
(а) если m·23-1<| | m·23+1, выходное значение определяется как (-1)m+1.
В данном случае при подстановке m=0, 1, 2, 3, 4,
если -1<| | 1, выходное значение определяется как -1,
если 23-1<| | 23+1, выходное значение определяется как 1,
если 24-1<| | 24+1, выходное значение определяется как -1,
если 3·23-1<| | 3·23+1, выходное значение определяется как 1,
если 25-1<| | 25+1, выходное значение определяется как -1;
(b) если (2l-1)·22-1<| | (2l-1)·22+1, выходное значение определяется подстановкой l=1, 2, 3, 4 в
(-1)l+10,9375{| |-0,9375(2l-1)·22},
в данном случае, если 22-1<| | 22+1, выходное значение определяется как 0,9375(| |-22),
если 3·23-1<| | 3·23+1, выходное значение определяется как -0,9375(| |-3·22),
если 5·22-1<| | 5·22+1, выходное значение определяется как 0,9375(| |-5·22),
если 7·22-1<| | 7·22+1, выходное значение определяется как -0,9375(| |-7·22);
(c) когда (P-1)·22+1<| | P·22-1 и при подстановке p=1, 2, 3, 7, 8 в соответствии с тем, является ли Р нечетным числом или четным числом,
если 1<| | 22-1, выходное значение определяется как 
если 22+1<| | 23-1, выходное значение определяется как 
если 23+1<| | 3·22-1, выходное значение определяется как 
если 3·22+1<| | 24-1, выходное значение определяется как 
если 24+1<| | 5·22-1, выходное значение определяется как 
если 5·22+1<| | 6·22-1, выходное значение определяется как 
если 6·22+1<| | 7·22-1, выходное значение определяется как 
если 7·22+1<| | 25-1, выходное значение определяется как 
Когда  <0,
в данном случае выражение для вычисления получается посредством замены на в выражениях (а), (b), (с) способа определения пятого вектора условной вероятности ( <0), описанного только что выше.
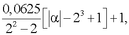
Затем для шестого (т.е. k=6, m=0, 1, 2, 7, 8, l=1, 2, 3, 7, 8) вектора условной вероятности,
(1) когда   0,
(а) если m·22-1<| | m·22+1, выходное значение определяется как (-1)m+1.
В данном случае выходное значение получается в результате применения m=0, 1, 2, 7, 8.
Т.е., если -1<| | 1, выходное значение определяется как -1,
если 22-1<| | 22+1, выходное значение определяется как 1,
если 3·22-1<| | 3·22+1, выходное значение определяется как -1.


если 722-1<| | 7·22+1, выходное значение определяется как 1,
если 25-1<| | 25+1, выходное значение определяется как -1;
(b) если (2l-1)·2-1<| | (2l-1)·2+1,
выходное значение определяется подстановкой l=1, 2, 3, 7, 8 в
(-1)l+1{0,9375| |-0,9375(2l-1)·2}.
в данном случае, если 1<| | 3, выходное значение определяется как 0,9375(| |-2).
если 5<| | 7, выходное значение определяется как -0,9375(| |-6).
если 9<| | 11, выходное значение определяется как 0,9375(| |-10).


если 25<| | 27, выходное значение определяется как 0,9375(| |-26).
если 29<| | 31, выходное значение определяется как -0,9375(| |-30).
(2) Когда  <0,
в данном случае выражение для вычисления получается посредством замены на в выражениях (а), (b) способа определения выходного значения пятого вектора условной вероятности (  0), описанного выше.
Затем выражения для вычисления с седьмого по десятый вектор условной вероятности получаются посредством замены на и на в выражениях для вычисления с третьего по шестой вектор условной вероятности.
На фиг.11 представлен вид, изображающий функциональный блок для процесса принятия решения о векторе условной вероятности согласно настоящему изобретению.
На фиг.12 представлен вид, изображающий пример конфигурации аппаратных средств для вектора условной вероятности первой формы 64-КАМ согласно настоящему изобретению. Специалист в данной области техники сможет сконфигурировать аппаратные средства посредством выполнения модификации без отступления от объема настоящего изобретения.
Хотя настоящее изобретение описано на примере предпочтительных вариантов выполнения, оно не ограничивается вышеприведенным описанием, но охватывает изменения, модификации и варианты согласно сущности и объему прилагаемой формулы изобретения.
Промышленная применимость
Согласно настоящему изобретению ожидается значительное повышение скорости обработки и экономия затрат на производство при реализации аппаратных средств посредством применения линейного уравнения вектора условной вероятности вместо способа логарифмического отношения правдоподобия, которым является способ демодуляции с мягким решением сигнала прямоугольной КАМ, который обычно используется в данной области техники.
Формула изобретения
1. Способ мягкого решения для демодуляции принятого сигнала +i прямоугольной квадратурной амплитудной модуляции (КАМ), состоящего из синфазной составляющей сигнала и квадратурной фазовой составляющей сигнала, способ содержит этапы, на которых: принимают сигнал +i в устройстве радиосвязи; получают множество значений вектора условной вероятности, каждое представляющее собой значение мягкого решения, соответствующее положению бита жесткого решения, с использованием функции, включающей в себя операцию условного определения из квадратурной фазовой составляющей и синфазной составляющей принятого сигнала, причем способ решения вектора условной вероятности для демодуляции первой половины полного числа битов является идентичным способу решения для демодуляции оставшейся половины битов, и определяется заменой друг на друга значения квадратурной фазовой составляющей и значения синфазной составляющей, и причем способ демодуляции вектора условной вероятности, соответствующего биту нечетного порядка, идентичен способу вычисления вектора условной вероятности, соответствующего следующему биту четного порядка, при этом значение принятого сигнала, используемое для вычисления вектора условной вероятности, соответствующего биту нечетного порядка, использует одну из и в соответствии с данным созвездием комбинаций, а значение принятого сигнала для бита четного порядка использует одну оставшуюся из и .
2. Способ мягкого решения для демодуляции принятого сигнала a+i прямоугольной квадратурной амплитудной модуляции (КАМ), состоящего из синфазной составляющей сигнала и квадратурной фазовой составляющей сигнала, способ содержит этапы, на которых: принимают сигнал +i в устройстве радиосвязи; получают множество значений вектора условной вероятности, каждое представляющее собой значение мягкого решения, соответствующее положению бита жесткого решения, с использованием функции, включающей в себя операцию условного определения из квадратурной фазовой составляющей и синфазной составляющей принятого сигнала, причем способ решения первого вектора условной вероятности для демодуляции первой половины полного числа битов является идентичным способу решения второго вектора условной вероятности для демодуляции второй половины битов, и определяется заменой друг на друга значения квадратурной фазовой составляющей и значения синфазной составляющей, причем сигнал демодуляции имеет 2n битов, причем значения вектора условной вероятности, соответствующие битам с первого по n-й бит из первой половины, демодулируются посредством одной из составляющих и принятого сигнала, и значения вектора условной вероятности, соответствующие битам с (n+1)-го по 2n-й бит из второй половины, демодулируются посредством оставшейся одной из составляющих и принятого сигнала, при этом уравнение, применяемое для обеих демодуляций, является идентичным для первой половины и второй половины, и причем первый вектор условной вероятности определяется посредством выбора одной из составляющих принятого сигнала и в соответствии с созвездием комбинаций и применения следующего математического выражения, в котором (1) выходное значение безусловно определяется как , где представляет собой выбранное принятое значение, которым является одно из и , и а представляет собой произвольное действительное число, установленное в соответствии с требуемой выходной областью.
3. Способ мягкого решения для демодуляции принятого сигнала +i прямоугольной квадратурной амплитудной модуляции (КАМ), состоящего из синфазной составляющей сигнала и квадратурной фазовой составляющей сигнала, способ содержит этапы, на которых: принимают сигнал +i в устройстве радиосвязи; получают множество значений вектора условной вероятности, каждое представляющее собой значение мягкого решения, соответствующее положению бита жесткого решения, с использованием функции, включающей в себя операцию условного определения из квадратурной фазовой составляющей и синфазной составляющей принятого сигнала, причем способ решения вектора условной вероятности для демодуляции первой половины полного числа битов является идентичным способу решения для демодуляции оставшейся половины битов, и определяется заменой друг на друга значения квадратурной фазовой составляющей и значения синфазной составляющей, причем сигнал демодуляции имеет 2n битов, причем значения вектора условной вероятности, соответствующие битам с первого по n-й бит из первой половины, демодулируются посредством одной из составляющих и принятого сигнала, и значения вектора условной вероятности, соответствующие битам с (n+1)-го по 2n-й бит из второй половины, демодулируются посредством оставшейся одной из составляющих и сигнала, при этом уравнение, применяемое для обеих демодуляций, является идентичным для первой половины и второй половины, и причем второй вектор условной вероятности определяется посредством принятого значения, выбранного при определении первого вектора условной вероятности, и посредством применения следующего математического выражения, в котором: (1) выходное значение безусловно определяется как , где представляет собой выбранное и принятое значение, n представляет собой величину КАМ, т.е. параметр, используемый для определения 22n, а представляет собой произвольное действительное число, установленное в соответствии с требуемой выходной областью, и с представляет собой произвольную постоянную.
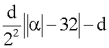
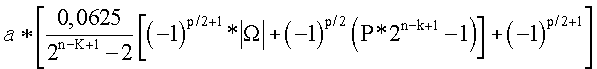
4. Способ мягкого решения для демодуляции принятого сигнала +i прямоугольной квадратурной амплитудной модуляции (КАМ), состоящего из синфазной составляющей сигнала и квадратурной фазовой составляющей сигнала, способ содержит этапы, на которых: принимают сигнал +i в устройстве радиосвязи; получают множество значений вектора условной вероятности, каждое представляющее собой значение мягкого решения, соответствующее положению бита жесткого решения, с использованием функции, включающей в себя операцию условного определения из квадратурной фазовой составляющей и синфазной составляющей принятого сигнала, причем способ решения вектора условной вероятности для демодуляции первой половины полного числа битов является идентичным способу решения для демодуляции оставшейся половины битов, и определяется заменой друг на друга значения квадратурной фазовой составляющей и значения синфазной составляющей, причем сигнал демодуляции имеет 2n битов, причем значения вектора условной вероятности, соответствующие битам с первого по n-й бит из первой половины, демодулируются посредством одной из составляющих и принятого сигнала, и значения вектора условной вероятности, соответствующие битам с (n+1)-го по 2n-й бит из второй половины, демодулируются посредством оставшейся одной из составляющих и сигнала, при этом уравнение, применяемое для обеих демодуляций, является идентичным для первой половины и второй половины, и при этом векторы условной вероятности с третьего по n-й определяются посредством принятого значения, установленного при определении первого вектора условной вероятности, и применения следующего математического выражения (А), в котором математическом выражении (А): сначала разделяют выходную диаграмму по форме основной V-образной формы, при этом вектор условной вероятности, соответствующий каждому биту, делится на (2k-3+1) области, определяют основное выражение согласно , определяют выходное значение посредством нахождения задействованной области с использованием данного и подстановки значения (| |-m), так, что среднее значение вычитается из каждой области в основное выражение в качестве нового , и представляют среднее значение в виде m=2n и подставляют значение (| |-m) в основное выражение в качестве нового в область, которая находится на самой внешней левой и правой сторонах из числа разделенных областей, т.е. (2k-2-1)2n-k+2<| |, где представляет собой выбранное и принятое значение, n представляет собой величину КАМ, т.е. параметр, используемый для определения 22n, k представляет собой номер (k=3, 4, n) вектора условной вероятности, d представляет собой постоянную, которая изменяется в соответствии со значением k, и а представляет собой постоянную, определяющую выходную область.
5. Способ по п.4, в котором последовательно получают вектора условной вероятности с (n+1)-го по 2n-й с использованием одного из принятых значений и , которое не выбрано при определении первого вектора условной вероятности, и математических выражений, описанных выше, за исключение того, что номер k вектора условной вероятности, включенный в математическое выражение (А), последовательно заменяется с 3 по n на с n+1 по 2n.
6. Способ по п.1, в котором получают первый вектор условной вероятности посредством выбора любого одного из составляющих и принятого сигнала в соответствии с формой созвездия комбинаций и затем в соответствии со следующим математическим выражением: выходное значение безусловно определяется как , где представляет собой выбранное и принятое значение, которое является одной из и , n представляет собой величину КАМ, т.е. параметр, используемый для определения 22n, и а представляет собой произвольное действительное число, устанавливаемое в соответствии с требуемой выходной областью.
7. Способ по п.6, в котором определяют второй вектор условной вероятности посредством замены выбранного принятого значения на принятое значение, которое не выбрано в способе для получения первого вектора условной вероятности.
8. Способ по п.1, в котором определяют третий вектор условной вероятности посредством выбора одного из принятых значений и в соответствии с формой созвездия комбинаций с использованием следующего математического выражения (В) в случае   0, и замены принятого значения, выбранного в математическом выражении (В), на принятое значение, которое не выбирается в выражении в случае  <0, где в математическом выражении (В) выходное значение определяется как , где представляет собой выбранное и принятое значение, n представляет собой величину КАМ, т.е. параметр, используемый для определения 22n, а представляет собой произвольное действительное число, устанавливаемое в соответствии с требуемой выходной областью, и с представляет собой произвольную постоянную.
9. Способ по п.8, в котором вычисляют четвертый вектор условной вероятности посредством замены каждого использованного принятого значения на каждое принятое значение, не использованное в способе для получения третьего вектора условной вероятности в случаях   0 и  <0.
10. Способ по п.1, в котором определяют пятый вектор условной вероятности посредством выбора одного из принятых значений и в соответствии с формой созвездия комбинаций с использованием следующего математического выражения (С) в случае   0, и определяют посредством замены принятого значения, выбранного в математическом выражении (С), на принятое значение, которое не выбирается в выражении в случае  <0, где в математическом выражении (С): (1) сначала делят выходную диаграмму по форме основной V-образной формы, и вектор условной вероятности, соответствующий каждому биту, делится на 2 области, (2) основное выражение согласно основной форме определяется как , (3) выходное значение определяется посредством нахождения задействованной области с использованием данного и подстановкой значения (| |-m), так, что среднее значение вычитается из каждой области, в основное выражение в качестве нового , (4) представляют среднее значение в виде m=2n и подставляют значение | |-m в основное выражение в качестве нового в области, которая находится на самой внешней левой и правой сторонах из числа разделенных областей, т.е. 7·2n-3<| |, где представляет собой выбранное принятое значение, n представляет собой величину КАМ, т.е. параметр, используемый для определения 22n, d представляет собой постоянную, и а представляет собой постоянную, определяющую выходную область.
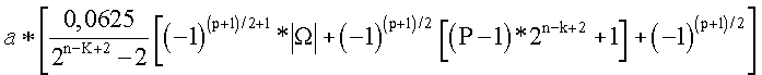
11. Способ по п.10, в котором, когда величина КАМ равна 64-КАМ, получают шестой вектор условной вероятности посредством замены каждого использованного принятого значения на каждое принятое значение, не использованное в способе для получения пятого вектора условной вероятности в случаях   0 и  <0.
12. Способ по п.1, в котором, когда величина КАМ больше 256-КАМ, определяют векторы условной вероятности с пятого по (n+2)-й посредством выбора одного из принятых значений и в соответствии с формой созвездия комбинаций с использованием следующего математического выражения (D) в случае   0, и замены принятого значения, выбранного в математическом выражении (D), на принятое значение, которое не выбирается в случае  <0, где в математическом выражении (D): (1) сначала делят выходную диаграмму по форме основной V-образной формы, и вектор условной вероятности, соответствующий каждому биту, делится на (2k-5+1) области, (2) основное выражение согласно основной форме определяется как , (3) выходное значение определяется посредством нахождения задействованной области с использованием данного и подстановки значения | |-m, так, что среднее значение m (например, в случае k=6, так как повторяемая область равна 1, эта область представляет собой 2n-2 | |<3·2n-2, и среднее значение равно m=2n-1) вычитается из каждой области в основное выражение в качестве нового , (4) представляют среднее значение в виде m=2n и подставляют значение | |-m в основное выражение в качестве нового в область, которая находится на самой внешней левой и правой сторонах из числа разделенных областей, т.е. (2k-2-1)2n-k+2<| |, где k представляет собой номер (5, 6, n) вектора условной вероятности, представляет собой выбранное и принятое значение, n представляет собой величину КАМ, т.е. параметр, используемый для определения 22n, а представляет собой постоянную, определяющую выходную область, и d представляет собой постоянную, которая изменяется в соответствии со значением k.
13. Способ по п.12, в котором, когда величина КАМ больше 256-КАМ, выбираются векторы условной вероятности с (n+3)-го по (2n)-й посредством математического выражения (D) с использованием принятого значения, которое не выбирается при получении векторов условной вероятности с пятого по (n+2)-й в случае   0, и получают посредством замены принятого значения, выбранного в математическом выражении (D), на принятое значение, которое не выбирается в выражении в случае  <0.
14. Способ по п.1, в котором получают первый вектор условной вероятности посредством выбора любого одного из принятых значений и в соответствии с формой созвездия комбинаций, и затем в соответствии со следующим математическим выражением (Е), где в математическом выражении (Е): (1) если | | 2n-1, выходное значение определяется как a*sign( ), (2) если | | 1, выходное значение определяется как a*0,9375*sign( ), (3) если 1<| | 2n-1, выходное значение определяется как , где представляет собой любое одно из принятых значений и , sign( ) указывает знак выбранного и принятого значения, а представляет собой произвольное действительное число, устанавливаемое в соответствии с требуемой выходной областью, представляет собой принятое значение синфазного канала I (действительное число), и представляет собой принятое значение квадратурного канала Q (мнимое число).
15. Способ по п.1, в котором определяют второй вектор условной вероятности посредством принятого значения, выбранного при определении первого вектора условной вероятности, и следующего математического выражения (F), где в математическом выражении (F): (1) если 2n-2n(2-m) | | 2n-2n(2-m)+1, выходное значение определяется как a*(-1)m+1, (2) если 2n-1-1 | | 2n-1+1, выходное значение определяется как a*0,9375(2n-1-| |), (3) если 2n-1-2(n-1)(2-m)+m | | 2n-2(n-1)(2-m)+m-2, выходное значение определяется как , где представляет собой выбранное и принятое значение, n представляет собой величину КАМ, т.е. параметр, используемый для определения 22n, а представляет собой произвольное действительное число, устанавливаемое в соответствии с требуемой выходной областью, и m=1, 2.
16. Способ по п.15, в котором определяют векторы условной вероятности с третьего по (n-1)-й посредством принятого значения, выбранного при получении первого вектора условной вероятности, и математического выражения (G), где в математическом выражении (G): (1) если m*2n-k+2-1<| | m*2n-k+2+1, выходное значение определяется как a*(-1)m+1, (2) если (2l-1)*2n-k+1-1<| | (2l-1)*2n-k+1+1,, выходное значение определяется как a*(-1)l+10,9375{| |-(2l-1)*2n-k+1}, (3) если (P-1)*2n-k+1+1<| | P*2n-k+1-1, когда Р представляет собой нечетное число, выходное значение определяется как
 когда Р представляет собой четное число, выходное значение определяется как
 где m в математическом выражении (G) равно 0, 1 2k-2, и 1 равно 1, 2, 3k-2, k представляет собой номер (k=3, n-1) вектора условной вероятности.
17. Способ по п.16, в котором определяют n-й вектор условной вероятности посредством принятого значения, выбранного при получении первого вектора условной вероятности, и следующего математического выражения (Н), где в математическом выражении (Н): (1) если m*22-1 | | m*2n2+1, выходное значение определяется как a*(-1)m+1, (2) если (2l-1)*21-1<| | (2l-1)*21+1, выходное значение определяется как a*(-1)l+10,9375{(| |-(2l-1)*21), где m в математическом выражении (Н) равно 0, 1 2n+2, и 1=1, 2, 3n-2.
18. Способ по п.17, в котором последовательно получают векторы условной вероятности с (n+1)-го по 2n-й с использованием принятого значения, которое не выбрано при получении первого вектора условной вероятности, и математических выражений (F)-(H) соответственно, за исключение того, что номер k вектора условной вероятности, включенный в математическое выражение (G), последовательно используется в качестве с 3 по n-1 вместо с n+3 по 2n-1.
19. Способ по п.1, в котором определяют первый вектор условной вероятности посредством выбора любого одного из принятых значений и в соответствии с формой созвездия комбинаций и далее, в соответствии с математическим выражением (I), где в математическом выражении (I): (1) если | | 2n-1, выходное значение определяется как -a*sign( ), (2) если | | 1, выходное значение определяется как a*0,9375*sign( ), (3) если 1<| | 2n-1, выходное значение определяется как
 где sign( ) указывает знак выбранного и принятого значения.
20. Способ по п.1, в котором вычисляют второй вектор условной вероятности посредством замены принятого значения, выбранного в способе для получения первого вектора условной вероятности, на принятое значение, которое не выбирается в способе.
21. Способ по п.1, в котором определяют третий вектор условной вероятности посредством выбора любого одного из принимаемых значений и в соответствии с созвездием комбинаций, с использованием следующего математического выражения (J) в случае * 0, и замены выбранного и принятого значения в математическом выражении (J) на принятое значение, которое не выбирается в математическом выражении (J) в случае * <0, где в математическом выражении (J): (1) если 2n-2n(2-m) | | 2n-2n(2-m)+1, выходное значение определяется как a*(-1)m, (2) если 2n-1-1 | | 2n-1+1, выходное значение определяется как a*0,9375(| |-2n-1), (3) если 2n-1-2(n-1)(2-m)+m | | 2n-2(n-1)(2-m)+m-2, выходное значение определяется как
, где представляет собой выбранное и принятое значение, а представляет собой произвольное действительное число, устанавливаемое в соответствии с требуемой выходной областью, представляет собой принятое значение синфазного канала I (действительное число), представляет собой принятое значение квадратурного канала Q (мнимое число), и m=1, 2.
22. Способ по п.1, в котором, когда величина КАМ меньше 64-КАМ, вычисляют четвертый вектор условной вероятности посредством замены каждого используемого принятого значения на каждое принятое значение, не используемое в способе для получения третьего вектора условной вероятности в случаях * 0 и * <0.
23. Способ по п.1, в котором, когда величина КАМ равна 64-КАМ, определяют пятый вектор условной вероятности посредством выбора одного из принятых значений и в соответствии с формой созвездия комбинаций, и использования следующего математического выражения (К) в случае * 0, и замены принятого значения, выбираемого в математическом выражении (К), на принятое значение, которое не выбирается в выражении в случае * 0, где в математическом выражении (К): (1) если m*2n-1-1 | | m*2n-1+1, выходное значение определяется как a*(-1)m+1, (2) если (2l-1)*2n-1-1<| | (2l-1)*2n-1+1, выходное значение определяется как a*(-1)l+1{0,9375| |-0,9375(2l-1)*2n-1}, где представляет собой выбранное и принятое значение, а представляет собой произвольное действительное число, устанавливаемое в соответствии с требуемой выходной областью, представляет собой принятое значение синфазного канала I (действительное число), представляет собой принятое значение квадратурного канала Q (мнимое число), m=0, 1, 2 и 1=1, 2.
24. Способ по п.1, в котором, когда величина КАМ равна 64-КАМ, вычисляют шестой вектор условной вероятности посредством замены каждого использованного принятого значения на каждое принятое значение, не использованное в способе для получения пятого вектора условной вероятности в случаях * 0 и * <0.
25. Способ по п.1, в котором, когда величина КАМ больше 256-КАМ, определяют векторы условной вероятности с четвертого по n-ый посредством выбора одного из принятых значений и в соответствии с формой созвездия комбинаций, использования следующего математического выражения (L) в случае * 0, и замены принятого значения, выбираемого в математическом выражении (L), на принятое значение, которое не выбирается в выражении в случае * <0, где в математическом выражении (L): (a) если m*2n-k+3-1<| | m*2n-k+3+1, выходное значение определяется как a*(-1)m+1, (b) если (2l-1)*2n-k+2-1<| | (2l-1)*2n-k+2+1, выходное значение определяется как a*(-1)l+1{0,9375(| |-0,9375(2l-1)*2n-k+2), (c) если (P-1)*2n-k+2+1<| | P*2n-k+2-1, когда Р представляет собой нечетное число, выходное значение определяется как
 когда Р представляет собой четное число, выходное значение определяется как
 где k представляет собой номера (4, 5, n) вектора условной вероятности, представляет собой выбранное и принятое значение, а представляет собой произвольное действительное число, устанавливаемое в соответствии с требуемой выходной областью, представляет собой принятое значение синфазного канала I (действительное число), представляет собой принятое значение квадратурного канала Q (мнимое число), m=0, 1, 2k-3, 1 равно 1, 2, 3k-3, и р=1, 2, 2.
26. Способ по п.1, в котором, когда величина КАМ больше 256-КАМ, определяют (n+1)-е векторы условной вероятности, используя следующее математическое выражение (М) в случае * 0, и заменой принятого значения, выбираемого в математическом выражении (М), на принятое значение, которое не выбирается в выражении в случае * <0, где в математическом выражении (М): (a) если m*22-1 | | m*22+1, выходное значение определяется как a*(-1)m+1, (b) если (2l-1)*21-1<| | (2l-1)*21+1, выходное значение определяется как a*(-1)l+1{0,9375{| |-0,9375(2l-1)*21}, где представляет собой выбранное и принятое значение, а представляет собой произвольное действительное число, устанавливаемое в соответствии с требуемой выходной областью, представляет собой принятое значение синфазного канала I (действительное число), представляет собой принятое значение квадратурного канала Q (мнимое число), m=0, 1, 2k-2, и 1 равно 1, 2, 3k-2.
27. Способ по п.25, в котором, когда величина КАМ больше 256-КАМ, получают (n+2)-й вектор условной вероятности способом, идентичным способу получения четвертого вектора условной вероятности в том случае, когда величина КАМ меньше 256-КАМ.
28. Способ по п.25, в котором, когда величина КАМ больше 256-КАМ, вычисляют векторы условной вероятности с (n+3)-го по (2n-1)-й посредством замены каждого использованного принятого значения на каждое принятое значение, которое не используется при определении векторов условной вероятности с четвертого по n-й в случаях * 0 и * <0, когда величина КАМ больше 256-КАМ.
29. Способ по п.25, в котором, когда величина КАМ больше 256-КАМ, вычисляют 2n-й вектор условной вероятности посредством замены каждого использованного принятого значения на каждое принятое значение, которое не используется при определении векторов условной вероятности с четвертого по (n+1)-й в случаях * 0 и * <0, когда величина КАМ больше 256-КАМ.
РИСУНКИ
|
|