|
(21), (22) Заявка: 2007139961/09, 29.10.2007
(24) Дата начала отсчета срока действия патента:
29.10.2007
(43) Дата публикации заявки: 10.05.2009
(46) Опубликовано: 27.01.2010
(56) Список документов, цитированных в отчете о поиске:
СКЛЯР Б. Цифровая связь. Теоретические основы и практическое применение. 2-е изд.: Пер. с англ. – М.: Издательский дом «Вильямс», 2003, с.91, 107-112, 843-845. RU 2257556 С2, 27.07.2005. US 5490233 А, 06.02.1996. WO 2005086903 А2, 22.09.2005.
Адрес для переписки:
634045, г.Томск, ул. Вершинина, 47, ЗАО “НПФ “Микран”
|
(72) Автор(ы):
Долгих Дмитрий Анатольевич (RU), Чигринец Владислав Александрович (RU)
(73) Патентообладатель(и):
Закрытое акционерное общество “Научно-производственная фирма “Микран” (RU)
|
(54) СПОСОБ КВАНТОВАНИЯ СИГНАЛА С МНОЖЕСТВОМ НЕСУЩИХ
(57) Реферат:
Изобретение относится к радиотехнике и может быть использовано в радиотехнических системах, работающих с сигналами с множеством несущих. Технический результат заключается в снижении пик-фактора сигнала и увеличении отношения сигнал/шум при его формировании при заданном количестве уровней квантования. Для этого способ включает расчет отсчетов сигнала во времени, после чего отсчеты одного блока сигнала анализируют, выделяя максимальный по модулю отсчет блока сигнала, определяют шаг квантования, который запоминают и все последующие отсчеты анализируемого блока сигнала квантуют с новым шагом квантования или определяют коэффициент масштабирования при фиксированном шаге квантования и умножают анализируемый блок сигнала на этот коэффициент, полученные отсчеты сигнала подают на цифроаналоговый преобразователь с равномерным шагом квантования, при этом шаг квантования определяют по формуле , а коэффициент масштабирования по формуле

где M – максимальный по модулю отсчет блока сигнала; L – количество уровней квантования, при этом L<2N; N – разрядность отсчетов сигнала до обработки. 1 табл., 1 ил.
Изобретение относится к радиотехнике и может быть использовано в радиотехнических системах, работающих с сигналами с множеством несущих.
Широко используется способ формирования сигнала (Б.Скляр. Цифровая связь. Теоретические основы и практическое применение. 2-е издание.: Пер. с англ. – М.: Издательский дом «Вильямс», 2003 – 1104 с.: ил. – Парал. тит. англ. стр.107-110), при котором производится расчет цифровых отсчетов сигнала во времени, и затем полученные отсчеты подаются непосредственно на цифроаналоговый преобразователь с равномерным шагом квантования, где преобразуются в аналоговую форму.
Недостатком этого способа является то, что не полностью используется динамический диапазон цифроаналогового преобразователя, который является квантователем в формирователе сигнала.
Известен также способ (S.P.Lloyd. “Least Squares Quantization in PCM.” IEEE Transactions on Information Theory. Vol IT-28, March 1982, 129-137), в котором для получения максимального отношения сигнал/шум при заданном количестве уровней квантования используют изменение шага квантования сигнала к оптимальному с точки зрения отношения сигнал/шум значению или при фиксированном шаге квантования производят масштабирование сигнала к оптимальному значению (что по сути одно и тоже). Для каждого вида сигнала оптимальный шаг квантования выбирается индивидуально.
Поскольку сигнал с множеством несущих имеет плотность распределения амплитуды, близкую к нормальной, дисперсия сигнала может быть рассчитана, то для данного сигнала применим оптимальный квантователь Ллойда-Макса.
Этот способ квантования не изменяет свойств сигнала и, как следствие, в системе существует вероятность ограничения сигнала, что может как вызвать нелинейные искажения сигнала и ухудшить помехоустойчивость приема, так и привести к разрушению блока данных, что и является недостатками квантователя Ллойда-Макса.
Основным техническим результатом является снижение пик-фактора сигнала и увеличение отношения сигнал/шум при его формировании при заданном количестве уровней квантования за счет специфических свойств сигнала с множеством несущих.
Основной технический результат достигается тем, что в способе квантования сигнала с множеством несущих, заключающемся в том, что при заданном количестве уровней квантования используют изменение шага квантования сигнала или производят масштабирование сигнала при фиксированном шаге квантования, отличающийся тем, что производят расчет отсчетов сигнала во времени, после чего отсчеты одного блока сигнала анализируют, выделяя максимальный по модулю отсчет блока сигнала, определяют шаг квантования, который запоминают, и все последующие отсчеты анализируемого блока сигнала квантуют с новым шагом квантования или определяют коэффициент масштабирования при фиксированном шаге квантования и умножают анализируемый блок сигнала на этот коэффициент, полученные отсчеты сигнала подают на цифроаналоговый преобразователь с равномерным шагом квантования, при этом шаг квантования определяют по формуле

а коэффициент масштабирования по формуле

где М – максимальный по модулю отсчет блока сигнала;
L – количество уровней квантования, при этом L<2N;
N – разрядность отсчетов сигнала до обработки.
Под сигналом с множеством несущих понимается такой сигнал, где для передачи информации используются две или более несущих частот. Информация на каждой из несущих частот независима. Изменение передаваемой информации на каждой из несущих частот происходит синхронно. Под блоком сигнала понимается интервал времени, в пределах которого амплитуда и фаза на каждой из несущих остается постоянной.
На чертеже представлена функция плотности вероятности сигнала, содержащего 256 независимых несущих, обработанного различными способами при фиксированном шаге квантования.
Алгоритм действий по обработке сигнала следующий.
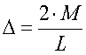
Сначала формируется сигнал в цифровом виде с разрядностью N, затем отсчеты одного блока сигнала подаются на анализирующее устройство, которое находит и запоминает максимальный по модулю отсчет данного блока. Затем вычисляется шаг квантования по формуле

где – шаг квантования,
М – максимальный по модулю отсчет блока сигнала,
L – количество уровней квантования при этом (L<2N).
После нахождения шага квантования данный шаг запоминается и все следующие отсчеты анализируемого блока сигнала квантуются с новым шагом, и затем обработанные отсчеты подаются на цифроаналоговый преобразователь.
Результатом такой обработки сигнала является уменьшение искажений, вносимых квантователем в сигнал.
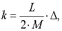
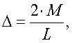
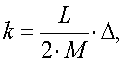
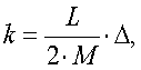
При фиксированном шаге квантования масштабируют сигнал таким образом, чтобы максимальный отсчет блока данных был равен максимальному квантуемому уровню, для этого вычисляют коэффициент масштабирования сигнала по формуле

где k – коэффициент масштабирования сигнала,
М – максимальный по модулю отсчет блока сигнала,
L – количество уровней квантования при этом L<2N,
– шаг квантования.
После нахождения коэффициента k все отсчеты обрабатываемого блока сигнала умножаются на данный коэффициент, после чего подаются на цифроаналоговый преобразователь.
В таблице приведены сравнительные характеристики предлагаемого способа обработки сигнала с известными. В качестве сигнала взят сигнал, содержащий 256 независимых несущих, разрядность цифроаналогового преобразователя равна 10, цифроаналоговый преобразователь является квантователем с фиксированным шагом квантования.
| Таблица |
| Сигнал |
Отношение сигнал/шум |
| исходный |
48,1 дБ |
обработанный согласно алгоритму Ллойда-Маска |
51,7 дБ |
обработанный предлагаемым способом |
54 дБ |
На чертеже представлена функция плотности вероятности сигнала, содержащего 256 независимых несущих, обработанного различными способами при фиксированном шаге квантования.
Предлагаемый способ обработки сигнала не нарушает его линейности в пределах одного блока и позволяет производить обработку данного сигнала в приемнике без построения дополнительных сложных схем. В результате такой обработки сигнала изменяется функция распределения плотности вероятности амплитуд сигнала. При этом увеличивается отношение сигнал/шум и уменьшается пик-фактор сигнала. Кроме того, исчезает вероятность наступления ограничения сигнала.
Формула изобретения
Способ квантования сигнала с множеством несущих, заключающийся в том, что при заданном количестве уровней квантования используют изменение шага квантования сигнала или производят масштабирование сигнала при фиксированном шаге квантования, отличающийся тем, что производят расчет отсчетов сигнала во времени, после чего отсчеты одного блока сигнала анализируют, выделяя максимальный по модулю отсчет блока сигнала, определяют шаг квантования, который запоминают и все последующие отсчеты анализируемого блока сигнала квантуют с новым шагом квантования или определяют коэффициент масштабирования при фиксированном шаге квантования и умножают анализируемый блок сигнала на этот коэффициент, полученные отсчеты сигнала подают на цифроаналоговый преобразователь с равномерным шагом квантования, при этом шаг квантования определяют по формуле
 а коэффициент масштабирования по формуле
 где М – максимальный по модулю отсчет блока сигнала; L – количество уровней квантования, при этом L<2N; N – разрядность отсчетов сигнала до обработки.
РИСУНКИ
|