|
|
(21), (22) Заявка: 2007142177/09, 07.04.2006
(24) Дата начала отсчета срока действия патента:
07.04.2006
(30) Конвенционный приоритет:
15.04.2005 US 60/671,581 11.10.2005 US 11/247,555
(43) Дата публикации заявки: 27.05.2009
(46) Опубликовано: 27.01.2010
(56) Список документов, цитированных в отчете о поиске:
US 6021386 A, 01.02.2000. RU 2129336 С1, 20.04.1999. ЕР 1376538 А1, 02.01.2004. WO 03/069954 А2, 21.08.2003. US 2002067834 А1, 06.06.2002.
(85) Дата перевода заявки PCT на национальную фазу:
15.11.2007
(86) Заявка PCT:
EP 2006/003200 20060407
(87) Публикация PCT:
WO 2006/108573 20061019
Адрес для переписки:
129090, Москва, ул. Б.Спасская, 25, стр.3, ООО “Юридическая фирма Городисский и Партнеры”, пат.пов. Ю.Д.Кузнецову, рег. 595
|
(72) Автор(ы):
ВИЛЛЕМОЕС Ларс (SE), МИБУРГ Франсуа Филиппус (NL)
(73) Патентообладатель(и):
КОУДИНГ ТЕКНОЛОДЖИЗ АБ (SE), КОНИНКЛЕЙКЕ ФИЛИПС ЭЛЕКТРОНИКС Н.В. (NL)
|
(54) АДАПТИВНОЕ ОСТАТОЧНОЕ АУДИОКОДИРОВАНИЕ
(57) Реферат:
Изобретение относится к кодированию и декодированию аудиосигналов и, в частности, к эффективному высококачественному кодированию пары аудиоканалов. Аудиосигнал, имеющий, по меньшей мере, два канала, может быть эффективно микширован с уменьшением числа каналов в сигнал понижающего микширования и остаточный сигнал, когда используемое правило понижающего микширования зависит от пространственного параметра, который получен из аудиосигнала и который подвергнут постобработке ограничителем, чтобы наложить ограничение на полученный пространственный параметр. При наличии правила понижающего микширования, которое динамически зависит от параметров, описывающих взаимосвязь между каналами аудио, можно гарантировать, что энергия в остаточном сигнале понижающего микширования является настолько минимальной, насколько возможно для эффективности кодирования. Посредством постобработки пространственного параметра с помощью ограничителя перед использованием его в понижающем микшировании можно избежать неустойчивости при повышающем микшировании или понижающем микшировании, которое иначе может приводить к искажению пространственного восприятия закодированного или декодированного аудиосигнала. Технический результат – обеспечение высококачественного кодирования аудиосигналов для выдачи сжатого представления аудиосигнала, одновременно более эффективно избегая артефактов, вносимых кодированием или декодированием. 17 н. и 28 з.п. ф-лы, 14 ил.
Область техники
Настоящее изобретение относится к кодированию и декодированию аудиосигналов и, в частности, к эффективному высококачественному кодированию пары аудиоканалов.
Предшествующий уровень техники
В последнее время эффективное высококачественное кодирование аудиосигналов становится все более важным, поскольку широко используется цифровое распространение сжатого аудио- и видеоконтента, например, посредством спутника или наземного цифрового аудио- или видеовещания. Известная MP3 методика, например, предусматривает удобную передачу аудиотитров по Интернету или другим каналам передачи, имеющим ограниченную полосу частот.
В дополнение к MP3 несколько других схем кодирования аудио стремятся максимизировать качество аудио для заданного коэффициента сжатия или скорости передачи данных. В “Efficient and scalable Parametric Stereo Coding for Low Bit rate Audio Coding Applications”, PCT/SE02/01372, показано, что возможно восстановить стереосигнал, который очень похож на лежащий в основе первоначальный “стереообраз” из моносигнала, когда дополнительно используется очень компактное представление стереосигнала, обычно называемого “пространственный сигнал”. Этот раскрытый принцип заключается в разделении входного стереосигнала на диапазоны частот и оценке параметров, называемых межканальными разностями в интенсивности (IID) и межканальной когерентностью (ICC) отдельно для каждого из диапазонов частот. Первый параметр описывает меру распределения мощности между этими двумя каналами в конкретном диапазоне частот, а второй параметр описывает оценку корреляции между этими двумя каналами. Более полное описание пространственных параметров может быть найдено в “High-quality parametric spatial audio coding at low bit rates” J. Breebaart, S. van de Par, A. Kohlrausch and E. Schuijers, Proc. 116th AES Convention, Berlin (Germany), May 8-11, 2004. На основании этих пространственных сигналов входной стереосигнал адаптивно комбинируют в моносигнал. И пространственные сигналы и моносигнал кодируют и кодированное представление мультиплексируют в битовый поток, который передают к декодеру. На стороне декодера стереообраз воссоздают из моносигнала посредством распределения энергии моносигнала между двумя выходными каналами в соответствии с данными IID и посредством добавления декоррелированного сигнала, чтобы сохранить канальную корреляцию первоначальных стереоканалов, как она описана параметрами IIC.
Когда доступна большая полоса частот передачи, может быть достигнуто более высокое качество аудио посредством замены декоррелированного моносигнала в декодере переданным остаточным сигналом. То есть требуется передача дополнительного остаточного сигнала к декодеру. Имеет место также случай с срединным кодированием (MS), где кодируются сумма и разность каналов стереосигнала вместо непосредственно левого и правого каналов. Описание методики MS может быть найдено в “Sum-difference stereo transform coding”, Proc. Int. Conf. Acoust. Speech Signal Process. (ICASSP), San Francisco, USA, 1992, стр.II 569 – 572. MS кодирование основано на обнаружении того факта, что левый и правый канал стереосигнала являются достаточно аналогичными с высокой вероятностью. Поэтому разность левого и правого канала дает сигнал, имеющий сравнительно низкий уровень большую часть времени, то есть амплитуда разностного сигнала будет довольно малой. Следовательно, можно сохранить значительную величину скорости передачи в битах, кодируя разностный сигнал, так как параметры, описывающие разностный сигнал, могут быть грубо квантованы. Для суммарного сигнала очевидно необходима приблизительно та же самая полоса частот, что и при кодировании одиночного левого или правого канала. Поэтому можно экономить существенную величину полосы частот в целом при использовании схемы MS кодирования. Когда имеется большая разность в уровне между левым и правым каналом, способ MS имеет свои пределы, так как также разность каналов будет содержать существенное количество энергии и поэтому нуждается в более высокой полосе частот. Следует отметить, однако, что в обычных реализациях стереокодирования MS кодирование не будет применяться в этом случае из-за высоких затрат на кодирование. В этих случаях выгодно иметь возможность переключаться между обычным стереокодированием и кодированием MS, в зависимости от уровня (интенсивности), присущего первоначальным аудиоканалам, которые должны быть закодированы.
Заменяя статическую концепцию построения суммы и разности двух стереоканалов, которые должны быть закодированы, посредством предложения матрицы поворота декодера с элементами матрицы, которые описывают композицию двух промежуточных каналов, которые являются комбинацией двух стереоканалов, можно преодолеть вышеупомянутую проблему. Элементы матрицы являются зависимыми от параметров параметрического стерео (ПС), которые извлекают из левого и правого каналов стереосигнала. Адаптивное остаточное кодирование является таким образом способным динамически адаптировать правило комбинирования для генерирования промежуточных каналов к свойствам текущего сигнала, достигая существенного выигрыша в эффективности перед MS кодированием.
При выборе подходящей зависимости элементов матрицы так называемой матрицы поворота от параметров параметрического стерео можно достичь того, что энергия в разностном канале остается настолько минимальной, насколько это возможно, как уже показано в невыложенной заявке на Европейский патент EP 04103168.3. Когда вводят матрицу поворота, чтобы преобразовать (смешение с уменьшением числа каналов (понижающее микширование) или смешение с увеличением числа каналов (повышающее микширование)) стереосигнал в сигналы m и s (промежуточные сигналы, то есть сигнал m понижающего микширования и остаточный сигнал s), критичным для работы способа является то, что матрицы поворота (матрица поворота декодера и матрица поворота кодера) являются ограниченными. Это означает, что элементы матрицы в этих матрицах не отклоняются до бесконечности во всем диапазоне возможных параметров кодирования параметрического стерео. Другими словами, обе матрицы поворота должны быть ограничены в том смысле, что число обусловленности матрицы должно быть достаточно малым, чтобы разрешить свободное от проблем инвертирование матрицы для всего диапазона параметров кодирования параметрического стерео, что не имеет места для реализаций согласно способам предшествующего уровня техники.
Сущность изобретения
Задачей настоящего изобретения является обеспечение концепции для высококачественного кодирования аудио, для выдачи сильно сжатого представления аудиосигнала, одновременно более эффективно избегая артефактов, вносимых кодированием или декодированием.
Согласно первому аспекту настоящего изобретения эта задача достигается аудиокодером для кодирования аудиосигнала, имеющего по меньшей мере два канала, содержащим: блок извлечения параметров для получения пространственного параметра из аудиосигнала, при этом пространственный параметр описывает взаимосвязь между по меньшей мере двумя каналами; ограничитель для ограничения упомянутого пространственного параметра, используя правило ограничения, чтобы получить ограниченный пространственный параметр, причем правило ограничения зависит от взаимосвязи между по меньшей мере двумя каналами; и блок понижающего микширования для получения сигнала понижающего микширования и остаточного сигнала из аудиосигнала, используя правило понижающего микширования, зависящее от ограниченного пространственного параметра.
Согласно второму аспекту настоящего изобретения эта задача достигается аудиодекодером для декодирования кодированного аудиосигнала, представляющего первоначальный аудиосигнал, имеющий по меньшей мере два канала, причем кодированный аудиосигнал имеет сигнал понижающего микширования, остаточный сигнал и пространственный параметр, описывающий взаимосвязь между по меньшей мере двумя каналами, содержащим: ограничитель для ограничения пространственного параметра, чтобы получить ограниченный пространственный параметр, используя правило ограничения, при этом правило ограничения зависит от взаимосвязи между по меньшей мере двумя каналами; и блок повышающего микширования для получения реконструкции первоначального аудиосигнала из сигнала понижающего микширования и остаточного сигнала, используя правило смешения, зависящее от ограниченного пространственного параметра.
Согласно третьему аспекту настоящего изобретения эта задача достигается способом кодирования аудиосигнала, имеющего по меньшей мере два канала, при этом способ содержит этапы: получение пространственного параметра из аудиосигнала, в котором пространственный параметр описывает взаимосвязь между по меньшей мере двумя каналами; ограничение пространственного параметра, используя правило ограничения, чтобы получить ограниченный пространственный параметр, при этом правило ограничения зависит от взаимосвязи между по меньшей мере двумя каналами; и получение сигнала понижающего микширования и остаточного сигнала из аудиосигнала, используя правило понижающего микширования, зависящее от ограниченного пространственного параметра.
Согласно четвертому аспекту настоящего изобретения эта задача достигается способом для декодирования закодированного аудиосигнала, представляющего первоначальный аудиосигнал, имеющий по меньшей мере два канала, при этом закодированный аудиосигнал имеет сигнал понижающего микширования, остаточный сигнал и пространственный параметр, описывающий взаимосвязь между по меньшей мере двумя каналами, при этом способ содержит этапы: ограничение пространственного параметра, чтобы получить ограниченный пространственный параметр, используя правило ограничения, при этом правило ограничения зависит от взаимосвязи между по меньшей мере двумя каналами; и получение реконструкции первоначального аудиосигнала из сигнала понижающего микширования и остаточного сигнала, используя правило смешения, зависящее от ограниченного пространственного параметра.
Согласно пятому аспекту настоящего изобретения эта задача достигается передатчиком или блоком записи аудио, имеющим аудиокодер для кодирования аудиосигнала, имеющего по меньшей мере два канала, содержащим: блок извлечения параметров для получения пространственного параметра из аудиосигнала, при этом пространственный параметр описывает взаимосвязь между по меньшей мере двумя каналами; ограничитель для ограничения пространственного параметра, используя правило ограничения, чтобы получить ограниченный пространственный параметр, при этом правило ограничения зависит от взаимосвязи между по меньшей мере двумя каналами; и блок понижающего микширования для получения сигнала понижающего микширования и остаточного сигнала из аудиосигнала, используя правило понижающего микширования, зависящее от ограниченного пространственного параметра.
Согласно шестому аспекту настоящего изобретения эта задача достигается приемником или блоком воспроизведения аудио, имеющим аудиодекодер для декодирования закодированного аудиосигнала, представляющего первоначальный аудиосигнал, имеющий по меньшей мере два канала, причем закодированный аудиосигнал имеет сигнал понижающего микширования, остаточный сигнал и пространственный параметр, описывающий взаимосвязь между по меньшей мере двумя каналами, содержащим: ограничитель для ограничения пространственного параметра, чтобы получить ограниченный пространственный параметр, используя правило ограничения, при этом правило ограничения зависит от взаимосвязи между по меньшей мере двумя каналами; и блок повышающего микширования для получения реконструкции первоначального аудиосигнала из сигнала понижающего микширования и остаточного сигнала, используя правило повышающего микширования, зависящее от ограниченного пространственного параметра.
Согласно седьмому аспекту настоящего изобретения эта задача достигается способом передачи или записи аудио, при этом способ содержит способ формирования кодированного сигнала, упомянутый способ содержит способ для кодирования аудиосигнала, имеющего по меньшей мере два канала, при этом упомянутый способ содержит этапы: получение пространственного параметра из аудиосигнала, в котором пространственный параметр описывает взаимосвязь между по меньшей мере двумя каналами; ограничение пространственного параметра, используя правило ограничения, чтобы получить ограниченный пространственный параметр, при этом правило ограничения зависит от взаимосвязи между по меньшей мере двумя каналами; получение сигнала понижающего микширования и остаточного сигнала из аудиосигнала, используя правило понижающего микширования, зависящее от ограниченного пространственного параметра.
Согласно восьмому аспекту настоящего изобретения эта задача достигается способом приема или воспроизведения аудио, причем упомянутый способ имеет способ для декодирования закодированного аудиосигнала, упомянутый способ содержит способ для декодирования закодированного аудиосигнала, представляющего первоначальный аудиосигнал, имеющий по меньшей мере два канала, при этом закодированный аудиосигнал имеет сигнал понижающего микширования, остаточный сигнал и пространственный параметр, описывающий взаимосвязь между по меньшей мере двумя каналами, при этом способ содержит этапы: ограничение пространственного параметра, чтобы получить ограниченный пространственный параметр, используя правило ограничения, в котором правило ограничения зависит от взаимосвязи между по меньшей мере двумя каналами; и получение реконструкции первоначального аудиосигнала из сигнала понижающего микширования и остаточного сигнала, используя правило повышающего микширования, зависящее от ограниченного пространственного параметра.
Согласно девятому аспекту настоящего изобретения эта задача достигается системой передачи, имеющей передатчик и приемник, причем передатчик имеет аудиокодер для кодирования аудиосигнала, имеющего по меньшей мере два канала, содержащий: блок извлечения параметров для получения пространственного параметра из аудиосигнала, причем пространственный параметр описывает взаимосвязь между по меньшей мере двумя каналами; ограничитель для ограничения пространственного параметра, используя правило ограничения, чтобы получить ограниченный пространственный параметр, при этом правило ограничения зависит от взаимосвязи между по меньшей мере двумя каналами; и блок понижающего микширования для получения сигнала понижающего микширования и остаточного сигнала из аудиосигнала, используя правило понижающего микширования, зависящее от ограниченного пространственного параметра; и приемник, имеющий аудиодекодер для декодирования закодированного аудиосигнала, представляющего первоначальный аудиосигнал, имеющий по меньшей мере два канала, причем закодированный аудиосигнал имеет сигнал понижающего микширования, остаточный сигнал и пространственный параметр, описывающий взаимосвязь между по меньшей мере двумя каналами, содержащий: ограничитель для ограничения пространственного параметра, чтобы получить ограниченный пространственный параметр, используя правило ограничения, причем правило ограничения зависит от взаимосвязи между по меньшей мере двумя каналами; и блок повышающего микширования для получения реконструкции первоначального аудиосигнала из сигнала понижающего микширования и остаточного сигнала, используя правило повышающего микширования, зависящее от ограниченного пространственного параметра.
Согласно десятому аспекту настоящего изобретения эта задача достигается способом передачи и приема, причем способ включает в себя способ передачи, имеющий способ формирования кодированного сигнала аудиосигнала, имеющего по меньшей мере два канала, при этом упомянутый способ содержит этапы: получение пространственного параметра из аудиосигнала, при этом пространственный параметр описывает взаимосвязь между по меньшей мере двумя каналами; ограничение пространственного параметра, используя правило ограничения, чтобы получить ограниченный пространственный параметр, причем правило ограничения зависит от взаимосвязи между по меньшей мере двумя каналами; и получение сигнала понижающего микширования и остаточного сигнала из аудиосигнала, используя правило понижающего микширования, зависящее от ограниченного пространственного параметра; и способ приема, имеющий способ для декодирования закодированного аудиосигнала, при этом упомянутый способ содержит этапы: ограничение пространственного параметра, чтобы получить ограниченный пространственный параметр, используя правило ограничения, при этом правило ограничения зависит от взаимосвязи между по меньшей мере двумя каналами; и получение реконструкции первоначального аудиосигнала из сигнала понижающего микширования и остаточного сигнала, используя правило повышающего микширования, зависящее от ограниченного пространственного параметра.
Согласно одиннадцатому аспекту настоящего изобретения эта задача достигается закодированным аудиосигналом, являющимся представлением аудиосигнала, имеющего по меньшей мере два канала, причем закодированный аудиосигнал имеет пространственный параметр, описывающий взаимосвязь между по меньшей мере двумя каналами, сигнал понижающего микширования и остаточный сигнал, при этом сигнал понижающего микширования и остаточный сигнал получены из аудиосигнала, используя правило понижающего микширования, зависящее от ограниченного пространственного параметра, полученного с использованием правила ограничения, зависящего от взаимосвязи по меньшей мере между двумя каналами.
Настоящее изобретение основано на обнаружении того факта, что аудиосигнал, имеющий по меньшей мере два канала, может быть эффективно подвергнут понижающему микшированию для получения сигнала понижающего микширования и остаточного сигнала, когда используемое правило понижающего микширования зависит от пространственного параметра, который получен из аудиосигнала и который подвергается постобработке ограничителем, чтобы применить некоторое ограничение к полученному пространственному параметру с целью ухода от неустойчивостей в течение процесса повышающего микширования или понижающего микширования. Имея правило понижающего микширования, которое динамически зависит от параметров, описывающих взаимосвязь между аудиоканалами, можно гарантировать, что энергия в остаточном сигнале понижающего микширования является настолько минимальной, насколько это возможно, что является выгодным ввиду эффективности кодирования. Посредством постобработки пространственного параметра ограничителем перед его использованием в понижающем микшировании, можно избегать неустойчивостей в процессе понижающего микширования или повышающего микширования, что иначе может приводить к возмущению пространственного восприятия кодированного или декодированного аудиосигнала.
В одном варианте осуществления настоящего изобретения первоначальный стереосигнал, имеющий левый и правый канал, подается на блок понижающего микширования и блок извлечения параметров. Блок извлечения параметров выводит (получает) широко известные пространственные параметры ICC (межканальную корреляцию) и IID (межканальную разность в интенсивности). Блок понижающего микширования способен выполнять понижающее микширование левого и правого каналов в сигнал понижающего микширования и остаточный сигнал, причем правило понижающего микширования является таким, что результирующий остаточный сигнал несет минимальную достижимую энергию. Поэтому последующее сжатие результирующего остаточного сигнала стандартным аудиокодером приведет к чрезвычайно компактному коду. Это может быть достигнуто посредством формулирования правила понижающего микширования, зависящего от пространственных параметров ICC и IID, так как оба эти параметра описывают отношения интенсивности или амплитуды первоначальных стереоканалов. Общая проблема во время кодирования заключается в сохранении энергии. Необходимо, чтобы и исходный сигнал и кодированный сигнал содержали одну и ту же энергию, так как нарушение сохранения энергии может привести к различному восприятию громкости кодированных сигналов или даже к не поддающимся контролю скачкам в громкости кодированного сигнала. Поэтому в вышеупомянутой схеме кодирования сигнал понижающего микширования и остаточный сигнал должны быть масштабированы масштабным коэффициентом, который гарантирует правило сохранения энергии.
Если первоначальный аудиосигнал, который должен быть закодирован, имеет специальные свойства, этот масштабный коэффициент может отличаться, в частности, когда левый и правый первоначальный канал совершенно антикоррелированы, то есть когда они имеют одни и те же амплитуды и фазовый сдвиг точно 180°. Этой неустойчивости избегают в пределах предлагаемой концепции, применяя функцию ограничения к параметру ICC, при этом функция ограничения зависит от максимального приемлемого масштабного коэффициента и параметра IID. Чтобы избежать возможного расхождения, правило, которое описывает понижающее микширование, изменяется непосредственно, в то время как в уровне техники масштабный коэффициент просто ограничивался посредством установки порога, и где масштабный коэффициент заменялся пороговым значением при превышении порога.
Большим преимуществом предлагаемой концепции является то, что сигнал и в канале понижающего микширования и в остаточном канале изменяется посредством изменения параметров, которые лежат в основе процесса понижающего микширования. Согласно предшествующему уровню техники только на сигнал в канале понижающего микширования можно повлиять при применении порога, таким образом лучшее сохранение взаимосвязи между исходным, левым и правым каналом может быть достигнуто при следовании предлагаемой концепции.
Другим преимуществом концепции, описанной выше, является то, что используемые пространственные параметры обычно выводятся в течение процесса кодирования. Поэтому можно осуществлять необходимую логику ограничения без необходимости вводить новые параметры.
В другом варианте осуществления настоящего изобретения ограничитель применяется на стороне декодера, имея то же самое правило ограничения, что и ограничитель на стороне кодера. Это означает, что на стороне декодера принимают сигнал понижающего микширования и остаточный сигнал, а также пространственные параметры IID и ICC, и принятые пространственные параметры ограничивают, используя то же самое правило ограничения, что и используемое в течение процесса кодирования. Тогда повышающее микширование зависит от ограниченных пространственных параметров, гарантируя, что расхождение в процессе повышающего микширования не будет иметь места. Преимущество наличия одних и тех же правил ограничения при кодировании и декодировании очевидно, так как необходимо один раз разработать аппаратные схемы или однократно выполнить программный алгоритм. Аппаратное или программное обеспечение, имеющее функциональные возможности как кодирования, так и декодирования, могут быть разработаны с более низкими затратами, так как возможно многократно использовать одно и то же аппаратное или программное обеспечение для функциональных возможностей ограничения.
В следующем варианте осуществления настоящего изобретения сигналы понижающего микширования и пространственные параметры сжимают после их формирования, получая два битовых потока аудио для сигналов понижающего микширования и битовый поток параметров, имеющий сжатые пространственные параметры. Это уменьшает размер закодированного представления, подлежащего передаче, дополнительно экономя полосу частот, при этом кодирование может быть с потерями или без потерь, так как само правило кодирования является независимым от предлагаемой концепции. Предлагаемый декодер согласно предлагаемой концепции также содержит каскад декомпрессии, где сжатые представления декомпрессируют в пространственные параметры, канал понижающего микширования и остаточный канал перед повышающим микшированием.
В другом варианте осуществления настоящего изобретения уже сжатые битовые потоки аудио и битовый поток параметров объединяют в объединенный битовый поток, например, посредством мультиплексирования, предусматривая подходящее сохранение сформированного файла на носителе данных. Это также предусматривает приложения потоковой передачи данных, например передачу закодированного контента в виде потока через Интернет, так как вся релевантная информация содержится в одном единственном файле или битовом потоке, обеспечивая более удобную обработку, чем в случае, когда могут быть переданы три отдельных битовых потока. Соответствующий предлагаемый декодер также имеет каскад декомбинирования, которым может быть, например, демультиплексор, чтобы декомбинировать битовый поток на три отдельных битовых потока, а именно два битовых потока аудио и битовый поток параметров.
Должно быть отмечено, что предлагаемая концепция обеспечивает превосходную обратную совместимость с известным остаточным кодированием, где пространственные параметры не ограничены, и даже с известным кодированием параметрического стерео, где декодер не использует остаточный сигнал. Это, конечно, является главным преимуществом, так как предлагаемые закодированные данные аудио могут быть воспроизведены с максимальным возможным качеством предлагаемыми декодерами, в то время как они могут быть также воспроизведены уже существующими декодерами согласно предшествующему уровню техники.
В следующем варианте осуществления настоящего изобретения три предлагаемых кодера объединены для кодирования многоканального аудиосигнала, содержащего шесть индивидуальных каналов, при этом каждый из трех предлагаемых кодеров кодирует пару каналов, получая пространственные параметры, сигнал понижающего микширования и остаточный сигнал для каждой из пар канала. Предлагаемая концепция может, таким образом, также использоваться, чтобы кодировать многоканальные аудиосигналы, где эффективность кодирования и компактность результирующего представления имеет даже более высокий приоритет, так как общая сумма данных, которые должны быть закодированы и переданы, намного выше, чем для стереосигнала. В принципе, произвольное количество предлагаемых аудиокодеров может быть объединено, чтобы одновременно кодировать многоканальный аудиосигнал, имеющий в основном любое количество одиночных аудиоканалов. В следующем варианте осуществления многоканального аудиокодера отдельные сигналы понижающего микширования и остаточные сигналы, так же как и отдельные битовые потоки параметров объединяются с помощью блока понижающего микширования 3-в-2, чтобы принять обычный левый сигнал, обычный правый сигнал, обычный остаточный сигнал и объединенный битовый поток параметров, дополнительно сокращая величину требуемой полосы частот. Соответствующие декодеры далее непосредственно содержат блок повышающего микширования 2-в-3.
В другом варианте осуществления настоящего изобретения передатчик или блок записи аудио содержит предлагаемый согласно настоящему изобретению кодер, обеспечивающий компактную, высококачественную запись или передачу аудио, в котором размер переданного или сохраненного аудиоконтента может быть значительно уменьшен. Такой аудиоконтент может быть сохранен на носителе данных заданной емкости, или меньшая величина полосы частот используется в течение передачи аудиосигнала.
В другом варианте осуществления приемник или блок воспроизведения аудио имеет предлагаемый декодер, предусматривая потоковые приложения в средах с ограниченной полосой частот, такие как мобильные телефоны, или предусматривая конструкцию маленьких портативных устройств воспроизведения, использующих носители данных ограниченной емкости.
Комбинация предлагаемого в настоящем изобретении передатчика и приемника дает систему передачи, позволяющую удобно передавать аудиоконтент через проводные или беспроводные интерфейсы связи, такие как беспроводная локальная сеть, Bluetooth, проводная локальная сеть, технологии линии питания, передача радиосигналов или любой другой тип передачи данных.
Краткое описание чертежей
Предпочтительные варианты осуществления настоящего изобретения описаны ниже со ссылками на прилагаемые чертежи, на которых:
Фиг.1 иллюстрирует блок-схему предлагаемого в настоящем изобретении кодера;
Фиг.2 иллюстрирует блок-схему предлагаемого в настоящем изобретении принципа кодирования;
Фиг.3 иллюстрирует другой вариант осуществления предлагаемого в настоящем изобретении кодера;
Фиг.4 иллюстрирует обратную совместимость предлагаемой схемы кодирования с декодерами согласно уровню техники;
Фиг.5 иллюстрирует предлагаемый многоканальный аудиокодер;
Фиг.6 иллюстрирует блок-схему предлагаемого в настоящем изобретении аудиодекодера;
Фиг.7 иллюстрирует блок-схему предлагаемой концепции декодирования;
Фиг.8 иллюстрирует другой вариант осуществления предлагаемого в настоящем изобретении декодера;
Фиг.9 иллюстрирует вариант осуществления предлагаемого в настоящем изобретении многоканального аудиодекодера;
Фиг.10 иллюстрирует альтернативный вариант осуществления предлагаемого в настоящем изобретении аудиокодера;
Фиг.11 иллюстрирует альтернативный вариант осуществления предлагаемого в настоящем изобретении аудиодекодера;
Фиг.12 иллюстрирует предлагаемый согласно изобретению передатчик/блок записи аудио;
Фиг.13 иллюстрирует предлагаемый согласно изобретению приемник/блок воспроизведения аудио;
Фиг.14 иллюстрирует предлагаемую согласно изобретению систему передачи.
Подробное описание предпочтительных вариантов осуществления
Фиг.1 иллюстрирует блок-схему предлагаемого в настоящем изобретении аудиокодера 10, содержащего блок 12 понижающего микширования (уменьшения числа каналов), ограничитель 14 и блок 16 извлечения параметра.
Стереосигнал 18, имеющий левый и правый канал, одновременно подают в блок 12 понижающего микширования и в блок 16 извлечения параметров. Блок 16 извлечения параметров извлекает пространственные параметры 19, описывающие взаимосвязь между левым и правым каналом стереосигнала 18. Эти параметры, с одной стороны, являются доступными для передачи и, с другой стороны, подают в ограничитель 14. Ограничитель 14 применяет правило ограничения к этим параметрам. Подробности соответствующего правила ограничения раскрыты в следующих абзацах.
Ограничитель выводит (получает) ограниченные пространственные параметры, и они подаются в блок 12 понижающего микширования, причем блок 12 понижающего микширования применяет правило понижающего микширования к левому и правому каналам стереосигнала 18, чтобы получить сигнал 20 понижающего микширования и остаточный сигнал 22 из левого и правого каналов стереосигнала. Правило понижающего микширования является дополнительно зависимым от ограниченного пространственного параметра.
При выборе соответствующего правила ограничения для ограничителя на блок 12 понижающего микширования подают только ограниченные параметры, которые ограничены способом, при котором правило понижающего микширования не дает расхождения или не формирует выходной результат, который ухудшает пространственную взаимосвязь левого и правого канал из-за понижающего микширования.
В результате стереосигнал 18 представлен сигналом 20 понижающего микширования, остаточным сигналом 22 и пространственными параметрами 19 после процесса кодирования, выполненного аудиокодером 10.
Чтобы понять, как правило понижающего микширования и правило ограничения должны взаимодействовать, чтобы обеспечить результирующий остаточный сигнал 22, содержащий минимальную возможную энергию при одновременном ограничении пространственного параметра, так что правило понижающего микширования не вызывает каких-либо расхождений, основная концепция, лежащая в основе настоящего изобретения, описана более подробно в следующих нескольких абзацах.
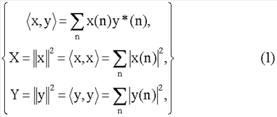
Параметры, извлеченные блоком 16 извлечения параметра, обычно получают из одного временного и частотного интервала выборок в поддиапазоне на основе анализа комплексно модулированных дискретных временных сигналов посредством набора фильтров. Это означает, что аудиосигнал левого и правого канала стереосигнала 18 сначала разделяют на временные кадры заданной длины и в пределах одного временного кадра частотный спектр подразделяют на ряд выборок поддиапазона. Для каждого одного поддиапазона блок 16 извлечения параметра затем получает пространственный параметр посредством сравнения левого и правого каналов стереосигнала в пределах поддиапазона, представляющего интерес. Поэтому левый и правый каналы стереосигнала 18, сигнал m понижающего микширования и остаточный сигнал s согласно фиг.1 должны пониматься как векторы дискретной и конечной длины, описывающие лежащие в основе сигналы в дискретном временном интервале. Как упомянуто выше, во время понижающего микширования должно быть обеспечено сохранение энергии. Для дискретных комплексных векторов x, y, комплексное внутреннее произведение и квадратичная норма (сопоставимая энергии) определяется как

Следуя обычному соглашению, “*” обозначает комплексное сопряжение. Отсюда, буквы верхнего регистра описывают возведенную в квадрат сумму или энергию соответствующих комплексных векторов конечной длины, обозначенных буквами нижнего регистра.
Согласно настоящему изобретению, канал m понижающего микширования, полученный из адаптивного понижающего микширования, является взвешенной суммой энергий исходного левого и правого каналов, и, таким образом, определенный как
m=g·(l+r) (2)
где g – вещественный и положительный коэффициент усиления, настроенный так, что энергия понижающего микширования (M) равняется сумме энергий векторов сигналов левого (L) и правого (R) каналов (М=L+R).
Поскольку этот коэффициент усиления отклоняется к бесконечности, когда l и r не совпадают по фазе и имеют сопоставимую энергию (то есть l+r=0 в уравнении 2), необходимо ограничить этот коэффициент максимальным коэффициентом усиления g0, который обычно находится в интервале [1,2]. Блок 16 извлечения параметров, как показано на фиг.1, извлекает пространственные аудиопараметры IID (межканальная разность интенсивностей) и ICC (межканальная когерентность), которые представлены здесь как

здесь c обозначает IID-параметр, и обозначает ICC-параметр. Коэффициент усиления g может быть выражен зависящим от параметров ICC и IID, и такое требуемое ограничение коэффициента усиления может быть записано следующим образом:

Обычно, так как | | 1, мы имеем 2pc c2+1, так что 
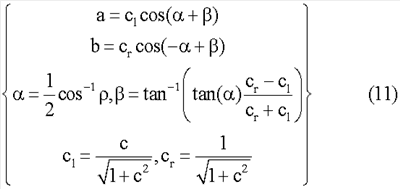
Чтобы достигать максимальной эффективности кодирования, желательно, чтобы энергия в остаточном сигнале 22 была минимальна. Следующий вывод решает более общую проблему оптимизации, заключающуюся в дополнительном остаточном сигнале t, который затем оказывается лишним из-за (9). Рассматривая проблему со стороны декодера, необходимо определить усиление a, b, так чтобы остаточные сигналы s, t при повышающем микшировании

имели минимальную энергию. Решение задается посредством

где

Та же самая проблема с дополнительным ограничением, таким что коэффициенты a, b являются вещественными, дает решение, заданное взятием вещественной части (7) и подстановкой ее в (6). В этом случае p может быть выражено в терминах PS параметров c, p, следующим образом:

Подставляя (6) в (5) и суммируя эти два уравнения в (5), из этого следует, что:
t=-s (9)
Описывая процесс повышающего микширования в обычной матричной нотации, повышающее микширование может быть представлено матрицей H поворота следующим образом:

В случае когда g не ограничен посредством g0 в (4), различное представление оптимальных коэффициентов a, b задается посредством:

Первый столбец матрицы H поворота идентичен повороту амплитуды, используемому в параметрическом стерео, что например получено в WO 03/090206 A1.
Понижающее микширование должно быть совместимо с повышающим микшированием в том смысле, что прекрасную реконструкцию получают, когда все этапы кодирования с потерями опущены. Как следствие, матрица D понижающего микширования

должна быть обратной повороту H повышающего микширования. Элементарные вычисления дают

где первая строка является совместимой с (2).
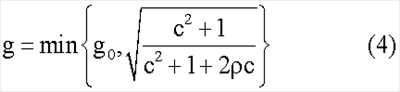
Имеется проблема стабильности с двумя оптимальными поворотами, заданными (10) и (13). Когда (c, ) достигает (1,-1), значение p, заданное (8), расходится. Поэтому, необходимо отклоняться от оптимальных поворотов в окрестностях этой точки области PS-параметра. Решение, даваемое настоящим изобретением, состоит в том, чтобы модифицировать PS-параметры ограничителем неустойчивости как в кодере, так и в декодере. В своей общей форме такой ограничитель будет изменять значения пары (c, ) в окрестности (1,-1), чтобы достичь ограниченного диапазона для p. Особенно привлекательное решение основано на том наблюдении, что знаменатель (8) является тем же самым, что и знаменатель в (4). Предлагаемое решение сохраняет c неизменным и модифицирует p точно, когда адаптивный коэффициент g понижающего микширования ограничен посредством g0 в (4). Это происходит когда

Предпочтительная модификация , выполненная ограничителем 14 неустойчивости, затем является следующей:

Соответствующее значение , заданное подстановкой вместо в (8), имеет свойство, что

В предыдущих абзацах был подробно описан анализ проблемы, ведущий к определению ограничителя 14. Хотя нотация основана на сигналах стерео, ясно, что тот же самый способ может применяться к любой паре аудиосигналов, таких как пара каналов, выбранных из или сформированных частичным понижающим микшированием многоканального аудиосигнала. Особенно выгодно то, что одно и то же правило ограничения может использоваться для ограничения параметров в матрице повышающего и понижающего микширования.
Фиг.2 описывает предлагаемую процедуру кодирования аудио, используя блок-схему, показывающую как кодирование аудио выполняется при следовании предлагаемой концепции. На первом этапе 30 извлечения параметров получают параметры ICC и IID.
Эти параметры затем направляют на выход 23 и передают, чтобы они служили в качестве входных данных для этапа 32 ограничения, где выполняется сравнение параметра ICC с вычисленным минимальным ICC-параметром ICCmin, в котором ICCmin зависит от IID. В первом случае, когда параметр ICC превышает минимальный ICC-параметр ICCmin(IID), параметр ICC непосредственно направляется на этап 34 понижающего микширования.
Если параметр ICC не превышает ICCmin (IID), выполняется дополнительный этап 36 замены, где значение параметра ICC заменяется значением минимального ICC-параметра ICCmin (IID). После этапа 36 замены параметр ICC, имеющий новое значение, затем передается на этап 34 понижающего микширования.
На этапе 34 понижающего микширования сигнал 20 понижающего микширования и остаточный сигнал 22 получают из каналов l и r в зависимости от параметров ICC и IID.
Наконец, параметры 23 (ICC и IID), сигнал 20 понижающего микширования и остаточный сигнал 22 становятся доступными в качестве выходных сигналов процедуры кодирования.
Фиг.3 иллюстрирует другой вариант осуществления предлагаемого в настоящем изобретении устройства 50 кодирования аудио, которое содержит аудиокодер 10, модуль 51 обработки сигналов, имеющий первый компрессор 52 аудио, второй компрессор 54 аудио и компрессор 56 параметров и выходной интерфейс 58.
Компоненты аудио кодера 10 уже были описаны в предыдущих абзацах. Поэтому только те части устройства 50 кодирования аудио, которые расширяют аудиокодер 10, будут описаны в последующих абзацах.
Общее назначение модуля 51 обработки сигналов заключается в том, чтобы сжать сигнал 20 понижающего микширования, остаточный сигнал 22 и параметры 23. Поэтому сигнал 20 понижающего микширования подают на вход в первый компрессор 52 аудио, остаточный сигнал 22 подают на вход во второй компрессор 54 аудио и пространственные параметры 23 подают на вход в компрессор 56 параметров. Первый компрессор 52 аудио выдает первый битовый поток 60 аудио, второй компрессор 54 аудио выдает второй битовый поток 62 аудио, и компрессор 56 параметров выдает битовый поток 64 параметров. Первый и второй битовые потоки (60, 62) аудио и битовый поток 64 параметров затем используются в качестве входных данных для выходного интерфейса, который объединяет три битовых потока (60, 62, 64), чтобы получить объединенный битовый поток 66, который является выходным результатом предлагаемого в настоящем изобретении устройства 50 кодирования.
Объединение, выполненное выходным интерфейсом 58, может быть, например, простым мультиплексированием трех входящих битовых потоков. Кроме того, возможен любой вид комбинирования, который приводит к единственному выходному битовому потоку 66. Иметь дело с одиночным битовым потоком намного более удобно в обработке, такой как потоковая передача через Интернет или другие линии передачи данных.
Другими словами, Фиг.3 иллюстрирует кодер, который принимает двухканальный аудиосигнал, содержащий каналы l, r в качестве входных данных и формирует битовый поток, который допускает декодирование посредством декодера параметрического стерео. Блок адаптивного понижающего микширования принимает двухканальный аудиосигнал l, r и формирует моносигнал m понижающего микширования и остаточный сигнал s. Эти сигналы могут быть затем закодированы воспринимающими аудиокодерами, чтобы сформировать компактные битовые потоки аудио. Блок оценки параметра параметрического стерео (PS) принимает двухканальный аудиосигнал, содержащий каналы l, r в качестве входных, и формирует набор параметров PS. Ограничитель неустойчивости модифицирует параметры PS, которые управляют адаптивным понижающим микшированием. Блок кодирования формирует дополнительную информацию параметрического стерео (PS sideinfo) из немодифицированного выходного сигнала оценки параметра PS. Мультиплексор объединяет все кодированные данные, чтобы сформировать объединенный битовый поток.
Одно из главных преимуществ предлагаемой концепции кодирования – что она является полностью обратно совместимой с декодерами параметрического стерео предшествующего уровня техники. Чтобы проиллюстрировать это, фиг.4 иллюстрирует декодер параметрического стерео предшествующего уровня техники.
Декодер 70 параметрического стерео содержит входной интерфейс 72, аудиодекодер 74, декодер 76 параметров и блок 78 повышающего микширования.
Входной интерфейс 72 принимает объединенный битовый поток 80, который сформирован предлагаемым аудиокодером 50. Входной интерфейс 72 декодера 70 параметрического стерео предшествующего уровня техники не распознает остаточный сигнал 22 и поэтому только извлекает сигнал 60 понижающего микширования (первый битовый поток 60 аудио согласно фиг.3) и битовый поток 64 параметров из входного битового потока 80. Аудиодекодер 74 является комплементарным устройством к первому компрессору 52 аудио, и декодер 76 параметра является комплементарным устройством к компрессору 56 параметров. Поэтому битовый поток 60 аудио декодируется в сигнал 20 понижающего микширования, а битовый поток 64 параметров декодируется в пространственные параметры 23. Так как пространственные параметры 23 были переданы непосредственно и дополнительно не обработаны предлагаемым кодером 10 или 50, блок 78 повышающего микширования согласно уровню техники может восстанавливать (реконструировать) левый и правый каналы, создавая выходной сигнал 80 из сигнала 20 понижающего микширования с использованием пространственных параметров 23.
Другими словами, Фиг.4 иллюстрирует декодер параметрического стерео, который принимает совместимый битовый поток, который сформирован предлагаемым устройством 50 кодирования, в качестве входного и формирует стереосигнал аудио, содержащий каналы l и r, без использования или без обращения к части битового потока, которая описывает остаточный сигнал. Сначала демультиплексор принимает совместимый битовый поток в качестве входного и формирует его декомпозицию в один битовый поток аудио и дополнительную информацию PS sideinfo. Воспринимающий аудиодекодер формирует моносигнал m, и дополнительная информация PS sideinfo декодируется в параметры PS. Блок PS синтеза преобразовывает моносигнал в левый и правый сигналы l и r в соответствии с PS-параметрами, в частности, посредством суммирования декоррелированного сигнала, чтобы сохранить канальную корреляцию первоначальных стереоканалов.
Фиг.5 иллюстрирует предлагаемый согласно изобретению кодер 100 многоканального аудио, который кодирует аудиосигнал с 6 каналами в стереосигнал понижающего микширования и множество наборов параметров.
Кодер 100 многоканального аудио содержит первый адаптивный кодер 102, второй адаптивный кодер 104, модуль 106 оценки, блок 108 извлечения параметров и блок 110 понижающего микширования 3-в-2.
Первый адаптивный кодер 102 и второй адаптивный кодер 104 являются вариантами осуществления предлагаемого в настоящем изобретении кодера 10. 6-канальный входной сигнал имеет левый передний канал 112a, левый задний канал 112b, правый передний канал 114a, правый задний канал 114b, центральный канал 116a и низкочастотный канал 116b расширения. Левый передний канал 112a и левый задний канал 112b поступают на вход в первый адаптивный кодер 102, который выводит (получает) первый сигнал 118a понижающего микширования, соответствующий остаточный сигнал 118b и пространственные параметры 118c. Правый передний канал 114a и правый задний канал 114b поступают на вход на второй адаптивный кодер 104, который выводит (получает) второй сигнал 120a понижающего микширования, соответствующий остаточный сигнал 120b и лежащие в основе пространственные параметры 120c. Центральный канал 116a и низкочастотный канал 116b расширения поступают на вход модуля 106 суммирования, который суммирует сигналы, чтобы создать моносигнал 122a и соответствующие пространственные параметры 122b.
Блок 110 понижающего микширования 3-в-2 принимает сигналы 118a, 120a и 122a понижающего микширования, чтобы выполнить их понижающее микширование (уменьшение числа каналов) в выходной стереосигнал 124, имеющий левый и правый каналы. Блок 110 понижающего микширования 3-в-2 дополнительно получает (выводит) остаточный сигнал 126 из входных каналов 118a, 120a и 122a. Кроме того, блок 110 понижающего микширования выводит набор 128 параметров из наборов параметров 118b, 120b и 122b.
Кратко суммируя, фиг.5 иллюстрирует часть кодера пространственного аудио, который принимает в качестве входного многоканальный аудиосигнал в формате 5.1, содержащий каналы Lf (левый передний), Lr (левый окружающего звука), Rf (правый передний), Rr (правый окружающего звука), C (центральный) и LFE (низкочастотный эффективный) и который создает стереосигнал понижающего микширования, содержащий L0 и R0, и множество наборов параметров. На этом чертеже не показаны преобразование времени в частоту, кодирование сигналов понижающего микширования и параметров и мультиплексирование кодированной информации в битовый поток, который может быть декодирован соответствующим пространственным декодером аудио. Блок адаптивного понижающего микширования принимает в качестве входных сигналы Lf и Lr и формирует моносигнал L и остаточный сигнал L. Блок оценки параметров параметрического стерео (PS) принимает двухканальный сигнал Lf и Lr в качестве входного и формирует набор параметров PS. Ограничитель неустойчивости модифицирует параметры PS, которые управляют адаптивным понижающим микшированием. Аналогично, блок адаптивного понижающего микширования принимает в качестве входных сигналы Rf и Rr и формирует моносигнал R и остаточный сигнал R. Блок оценки параметров параметрического стерео (PS) принимает двухканальный сигнал Rf и Rr в качестве входного и формирует набор параметров PS. Ограничитель неустойчивости модифицирует параметры PS, которые управляют адаптивным понижающим микшированием. Модуль суммирования суммирует сигналы C и LFE, чтобы создать моносигнал C. Блок оценки параметров параметрического стерео (PS) принимает двухканальный сигнал C и LFE в качестве входного и формирует набор параметров IID, поднабор параметров PS. Моносигналы L, R и C смешиваются в стереосигнал (Lо и Rо) и остаточный сигнал Eo модулем 3-в-2. Модуль 3-в-2 также выводит набор параметров (Lо и Rо).
Фиг.6 описывает предлагаемый аудиодекодер 140, содержащий блок 142 повышающего микширования (восстановления после понижающего микширования) и ограничитель 144.
Предлагаемый декодер 140 принимает сигнал 146 понижающего микширования, остаточный сигнал 148 и пространственные параметры 150. Сигнал 146 понижающего микширования и остаточный сигнал 148 подают на вход в блок 142 повышающего микширования, в то время как пространственные параметры 150 подают на вход в ограничитель 144. Ограничитель 144 ограничивает пространственные параметры 150, чтобы получить ограниченные пространственные параметры 152.
Важно обратить внимание на то, что ограничитель использует то же самое правило ограничения, чтобы получить ограниченные параметры, что и соответствующий кодер в течение процесса кодирования. Ограниченные параметры используются для управления процессом микширования в блоке 142 повышающего микширования, который выводит стереосигнал 154, имеющий левый и правый канал, из сигнала понижающего микширования 146 и остаточного сигнала 148.
Фиг.7 иллюстрирует блок-схему, иллюстрирующую принцип предлагаемого в настоящем изобретении декодера. На первом этапе 160 ограничения принятые пространственные параметры ICC и IID ограничивают, то есть проверяют, превышает ли принятый параметр ICC минимальный ICC параметр ICCmin (IID). Если да, то пространственные параметры 150 (ICC и IID), принятый сигнал 146 понижающего микширования и принятый остаточный сигнал 148 передают на этап 162 повышающего микширования. Если параметр ICC не превышает минимальный ICC параметр ICCmin (IID), дополнительно выполняется этап 164 ограничения, где значение параметра ICC изменяют на значение параметра ICCmin (IID), имея тот эффект, что значение ICCmin (IID) передают на этап 162 повышающего микширования.
На этапе 162 повышающего микширования (восстановления после понижающего микширования) стереосигнал 154, имеющий левый и правый канал, получают из сигнала 146 понижающего микширования и остаточного сигнала 148, используя пространственные параметры ICC и IID.
Фиг.8 иллюстрирует другой вариант осуществления предлагаемого в настоящем изобретении декодера 180, который содержит декодер 140, модуль 182 обработки сигналов, имеющий первый декодер 184 аудио, второй декодер 186 аудио и декодер 188 параметров. Декодер 180 дополнительно содержит входной интерфейс 190 для приема объединенного битового потока 192, который формирован предлагаемым устройством 50 кодирования.
Над объединенным битовым потоком 192 выполняют декомпозицию посредством входного интерфейса 190 на первый битовый поток 194a аудио, второй битовый поток 194b аудио и битовый поток 196 параметров.
Первый битовый поток 194a аудио подают на вход в первый декодер 185 аудио, второй битовый поток 194b аудио подают на вход во второй декодер 186 аудио и битовый поток 196 параметров подают на вход в декодер 188 параметров. Декомпрессированный сигнал 198 (m) понижающего микширования и остаточный сигнал 200 (s) подают на вход в блок 142 повышающего микширования декодера 140. Пространственные параметры 202, выведенные декодером 188 параметров, подают на вход в ограничитель 144 декодера 140 аудио. Ограничение пространственных параметров и повышающее микширование уже было описано при описании декодера 140 аудио. Подробное описание может быть получено на основе соответствующих абзацев описания со ссылками на фиг.6.
Предлагаемый декодер 180 в конечном счете выдает стереосигнал 204, имеющий левый и правый канал.
Другими словами, фиг.8 иллюстрирует декодер параметрического стерео, который принимает совместимый битовый поток в качестве входного и формирует стереосигнал аудио, содержащий каналы l и r. Сначала демультиплексор принимает совместимый битовый поток в качестве входного и выполняет его декомпозицию на два битовых потока аудио и дополнительную информацию PS. Воспринимающие аудиодекодеры формируют моносигнал m и остаточный сигнал s соответственно, и дополнительная информация PS декодируется в параметры PS декодером параметров. Ограничитель неустойчивости модифицирует параметры PS. Блок повышающего микширования преобразует моно- и остаточные сигналы в левый и правый сигналы l и r посредством матрицы поворота, определенной из параметров PS, модифицированных ограничителем неустойчивости.
Фиг.9 иллюстрирует предлагаемый согласно изобретению многоканальный аудиодекодер 210, содержащий первый двухканальный декодер 212, второй двухканальный декодер 214, модуль 216 синтеза и модуль 218 2-в-3.
Фиг.9 иллюстрирует часть пространственного аудиодекодера, который принимает в качестве входного стереоаудиосигнал (содержащий Lо и Ro), остаточный сигнал Eo и набор параметров {Lо, Ro}. Модуль 218 2-в-3 формирует три аудиоканала L, R и C из вышеупомянутых входных сигналов. Моноканал L и остаточный канал L преобразуются первым двухканальным декодером 211 в Lf и Lr выходные сигналы. Ограничитель неустойчивости модифицирует набор L параметров PS. Точно так же, моноканал R и остаточный канал R преобразуются вторым двухканальным декодером 214 в Rf и Rr выходные сигналы. Ограничитель неустойчивости является тем же самым, что используется при формировании моноканала R и модифицирует набор R параметров PS. Модуль 216 синтеза PS принимает моноканал C и набор параметров C и формирует выходные каналы C и LFE.
Фиг.10 и 11 иллюстрируют альтернативное решение для кодера и декодера, избегающих проблемы неустойчивости. Альтернатива основана на использовании ограниченных пространственных параметров в качестве параметров, которые должны быть закодированы и переданы. Это можно видеть в предлагаемом кодере согласно фиг.10, который основан на предлагаемом устройстве кодирования согласно фиг.3.
Фиг.10 иллюстрирует модификацию предлагаемого в настоящем изобретении кодера, уже показанного на фиг.3, с той разницей, что параметры, подаваемые в кодер 56 параметров, принимаются в момент 300, то есть после процесса ограничения. То есть ограниченные параметры кодируют и передают вместо первоначальных параметров.
На стороне декодера, как показано на фиг.11, модификация заключается в том, что ограничитель может быть опущен по сравнению с декодером 180. Поэтому декодированный пространственный параметр 310 подают непосредственно в блок 142 повышающего микширования, чтобы получить стереосигнал 204.
Недостатками этого решения, по сравнению с размещением ограничителей неустойчивости, как раскрыто выше и показано на предыдущих чертежах, являются два. Первое, квантование ограниченных параметров может смещать вращение еще дальше от оптимального, чем необходимо. Размер остаточных данных поэтому в общем случае будет больше, ведя к потере в выигрыше кодирования для способа остаточного кодирования. Второе, обратная совместимость с декодированием параметрического стерео может быть потеряна. В критических случаях, когда корреляция канала первоначального канала отрицательна, декодер не будет способен воспроизвести эту корреляцию без доступа к остаточному сигналу.
Фиг.12 иллюстрирует предлагаемый передатчик или блок записи 330 аудио, который имеет кодер 50 аудио, входной интерфейс 332 и выходной интерфейс 334.
Аудиосигнал может быть подан на входной интерфейс 332 из передатчика/блока записи 330. Аудиосигнал кодируют предлагаемым кодером 50 в передатчике/блоке записи, и закодированное представление выводится на выходной интерфейс 334 из передатчика/блока записи 330. Закодированное представление может затем быть передано или сохранено на носителе данных.
Фиг.13 иллюстрирует предлагаемый приемник или блок воспроизведения 340 аудио, имеющий предлагаемый декодер 180 аудио, вход 342 битового потока и выход 344 аудио.
Битовый поток может быть подан на вход 342 предлагаемого в настоящем изобретении приемника/блока воспроизведения 340 аудио. Битовый поток затем декодируют декодером 180, и декодированный сигнал выводится или воспроизводится на выходе 344 предлагаемого в настоящем изобретении приемника/блока воспроизведения 340 аудио.
Фиг.14 иллюстрирует систему передачи, содержащую предлагаемый в настоящем изобретении передатчик 330 и предлагаемый в настоящем изобретении приемник 340.
Аудиосигнал, поданный на вход входного интерфейса 332 передатчика 330, кодируют и передают с выхода 334 передатчика 330 на вход 342 приемника 340. Приемник декодирует аудиосигнал и воспроизводит или выводит аудиосигнал на своем выходе 344.
Вышеупомянутые и описанные варианты осуществления настоящего изобретения являются просто иллюстративными вариантами принципов настоящего изобретения для усовершенствования адаптивного остаточного кодирования. Понимается, что модификации и вариации описанных конструкций и подробностей будут объектом действий для специалистов в данной области техники. Оно, поэтому, должно быть ограничено только объемом прилагаемой формулы изобретения, а не конкретными подробностями вариантов осуществления, представленными здесь посредством описания и объяснения.
Хотя варианты осуществления настоящего изобретения описаны выше на примере чертежей, используя главным образом условные обозначения, используемые для сигналов стерео, очевидно, что настоящее изобретение не ограничено стереосигналами, но может быть применено к любому другому виду комбинации двух аудиосигналов, как это сделано в примере многоканальных аудиокодеров и декодеров, показанных на фиг.5 и фиг.9.
Используя предлагаемую систему передачи, имеющую передатчик и приемник, передача между передатчиком и приемником может быть достигнута различными средствами. Это может быть, например, “живая” потоковая передача по Интернет или другим сетевым носителям, сохранение файла на считываемых компьютером носителях и передающая среда, непосредственное соединение передатчика и приемника кабелем или беспроводным образом, например, посредством беспроводной локальной сети или Bluetooth и любое другое вообразимое соединение для передачи данных.
Хотя было описано подробно, что только параметр ICC должен быть изменен, чтобы гарантировать неотклонение матрицы повышающего и понижающего микширования, также возможно ограничить оба параметры IID и IIC так, что никакого расхождения не произойдет. В более общем случае, применяя предлагаемую концепцию, можно также получить другие пространственные параметры и применить правило ограничения к этим параметрам, гарантируя неотклонение повышающего и понижающего микширования.
Выходной и входной интерфейсы в предлагаемых кодерах и декодерах не ограничены только простыми мультиплексорами или демультиплексорами. В более сложном варианте выходной интерфейс может объединять битовые потоки, не только мультиплексируя их, но и посредством любых других средств, возможно даже применяя некоторое последующее статистическое кодирование, чтобы уменьшить размер битового потока.
В зависимости от некоторых требований реализации предлагаемых способов предлагаемые способы могут быть осуществлены в аппаратном или в программном обеспечении. Реализация может быть выполнена, используя цифровой носитель данных, в частности диск, DVD или CD, имеющий электронным образом считываемые сигналы управления, записанные на них, которые взаимодействуют с программируемой компьютерной системой так, что предлагаемые способы выполняются. В общем случае настоящее изобретение, поэтому, является компьютерным программным продуктом с кодом программы, сохраненным на машинно-считываемом носителе, причем код программы предназначен для выполнения предлагаемых способов, когда компьютерный программный продукт выполняется на компьютере. Другими словами, предлагаемые способы являются поэтому компьютерной программой, имеющей программный код для выполнения по меньшей мере одного из предлагаемых способов, когда компьютерная программа выполняется на компьютере.
В то время как вышеописанное конкретно проиллюстрировано и описано со ссылками на конкретные варианты его осуществления, специалистам понятно, что различные другие изменения в форме и подробностях могут быть сделаны без отрыва от его объема и формы. Должно быть понятно, что различные изменения могут быть сделаны для приспособления к различным вариантам осуществления без отрыва от более широких концепций, раскрытых здесь, и раскрытых посредством формулы изобретения, которая следует ниже.
Формула изобретения
1. Аудиокодер для кодирования аудиосигнала, имеющего, по меньшей мере, два канала, содержащий: блок извлечения параметров для получения пространственного параметра из аудиосигнала, причем этот пространственный параметр описывает взаимосвязь между упомянутыми, по меньшей мере, двумя каналами; ограничитель для ограничения пространственного параметра, используя правило ограничения для получения ограниченного пространственного параметра, причем правило ограничения зависит от взаимосвязи между, по меньшей мере, двумя каналами; и блок понижающего микширования для получения сигнала понижающего микширования и остаточного сигнала из аудиосигнала, используя правило понижающего микширования, зависящее от ограниченного пространственного параметра.
2. Аудиокодер по п.1, в котором блок извлечения параметров выполнен с возможностью выводить множество пространственных параметров для заданной временной части аудиосигнала, причем каждый пространственный параметр описывает взаимосвязь упомянутых, по меньшей мере, двух каналов для заранее определенного частотного интервала.
3. Аудиокодер по п.1, в котором блок извлечения параметров выполнен с возможностью выводить параметр межканальной когерентности (ICC), описывающий когерентность между первым и вторым каналами упомянутых, по меньшей мере, двух каналов, и параметр межканальной разности в интенсивности (IID), описывающий разность уровней между первым и вторым каналами.
4. Аудиокодер по п.1, в котором ограничитель выполнен с возможностью ограничить пространственный параметр так, что коэффициент усиления, описывающий соотношение интенсивностей между сигналом понижающего микширования и, по меньшей мере, упомянутыми двумя каналами, не превышает заранее определенный предел.
5. Аудиокодер по п.3, в котором ограничитель выполнен с возможностью ограничивать параметр ICC так, что коэффициент усиления, описывающий соотношение интенсивностей между сигналом понижающего микширования и, по меньшей мере, двумя каналами, не превышает заранее определенный предел, при этом предел для параметра ICC зависит от параметра IID.
6. Аудиокодер по п.5, в котором правило ограничения является таким, что более низкий предел для параметра ICC, зависящий от заранее определенного коэффициента усиления g0 и параметра IID, может быть описан следующим выражением:

7. Аудиокодер по п.6, в котором заранее определенный коэффициент усиления g0 выбирают из интервала [1, 2].
8. Аудиокодер по п.1, в котором блок понижающего микширования выполнен с возможностью использовать правило понижающего микширования так, что сигнал понижающего микширования и остаточный сигнал получают, формируя линейную комбинацию каналов из упомянутых, по меньшей мере, двух каналов, при этом коэффициенты линейной комбинации зависят от ограниченного пространственного параметра.
9. Аудиокодер по п.8, в котором блок извлечения параметров выполнен с возможностью выводить параметр ICC, описывающий когерентность между первым и вторым каналами упомянутых, по меньшей мере, двух каналов, и параметр IID, описывающий разность уровней между первым и вторым каналами; и в котором правило понижающего микширования является таким, что выведение сигнала понижающего микширования m и остаточного сигнала s может быть описано следующим уравнением, в зависимости от параметров IID и ICC:


10. Аудиокодер по п.1, дополнительно содержащий модуль обработки сигналов для обработки или передачи сигнала понижающего микширования, остаточного сигнала и пространственного параметра, чтобы получить обработанный сигнал понижающего микширования, обработанный остаточный сигнал и обработанный параметр.
11. Аудиокодер по п.10, в котором модуль обработки сигналов выполнен с возможностью выводить обработанный сигнал понижающего микширования, обработанный остаточный сигнал и обработанный параметр так, что упомянутое выведение включает в себя сжатие сигнала понижающего микширования, остаточного сигнала и пространственного параметра.
12. Аудиокодер по п.10, дополнительно содержащий выходной интерфейс для выдачи информации обработанного сигнала понижающего микширования, обработанного остаточного сигнала и обработанного пространственного параметра.
13. Аудиокодер по п.12, в котором выходной интерфейс выполнен с возможностью объединять обработанный сигнал понижающего микширования, обработанный остаточный сигнал и обработанный пространственный параметр, чтобы получить выходной битовый поток, имеющий информацию обработанного сигнала понижающего микширования, обработанного остаточного сигнала и обработанного параметра.
14. Аудиокодер по п.13, в котором выходной интерфейс выполнен с возможностью мультиплексировать обработанный сигнал понижающего микширования, обработанный остаточный сигнал и обработанный пространственный параметр, чтобы получить выходной битовый поток.
15. Аудиокодер по п.1, в котором множество пар каналов являются кодированными, причем для каждой пары каналов получают пространственный параметр, сигнал понижающего микширования и остаточный сигнал.
16. Аудиокодер по п.15, в котором множество пар каналов содержит левый передний, левый задний, правый передний, правый задний, низкочастотного расширения и центральный каналы.
17. Аудиодекодер для декодирования закодированного аудиосигнала, представляющего первоначальный аудиосигнал, имеющий, по меньшей мере, два канала, причем кодированный аудиосигнал имеет сигнал понижающего микширования, остаточный сигнал и пространственный параметр, описывающий взаимосвязь между, по меньшей мере, двумя каналами, содержащий: ограничитель для ограничения пространственного параметра, чтобы получить ограниченный пространственный параметр, используя правило ограничения, при этом правило ограничения зависит от взаимосвязи между, по меньшей мере, двумя каналами; и блок повышающего микширования для получения реконструкции первоначального аудиосигнала из сигнала понижающего микширования и остаточного сигнала, используя правило повышающего микширования, зависящее от ограниченного пространственного параметра.
18. Аудиодекодер по п.17, в котором ограничитель выполнен с возможностью ограничивать множество пространственных параметров для заданной временной части закодированного аудиосигнала, соответствующего временному кадру первоначального аудиосигнала, при этом каждый пространственный параметр описывает взаимосвязь между, по меньшей мер, двумя каналами для заранее определенного частотного интервала во временном кадре.
19. Аудиодекодер по п.17, в котором ограничитель выполнен с возможностью ограничивать параметр ICC, описывающий когерентность между первым и вторым каналами упомянутых, по меньшей мере, двух каналов, и параметр IID, описывающий разность уровней между первым и вторым каналами.
20. Аудиодекодер по п.17, в котором ограничитель выполнен с возможностью ограничивать пространственный параметр так, что коэффициент усиления, описывающий отношение интенсивностей между сигналом понижающего микширования и, по меньшей мере, двумя каналами первоначального аудиосигнала, не превышает заранее определенный предел.
21. Аудиодекодер по п.19, в котором ограничитель выполнен с возможностью ограничивать параметр ICC так, что коэффициент усиления, описывающий отношение интенсивностей между сигналом понижающего микширования и, по меньшей мере, двумя каналами первоначального аудиосигнала, не превышают заранее определенный предел.
22. Аудиодекодер по п.21, в котором правило ограничения является таким, что нижний предел для параметра ICC, зависящий от заранее определенного коэффициента усиления g0 и параметра IID, может быть описан следующим выражением:

23. Аудиодекодер по п.22, в котором заранее определенный коэффициент усиления g0 выбран из интервала [1, 2].
24. Аудиодекодер по п.17, в котором блок повышающего микширования выполнен с возможностью использовать правило повышающего микширования так, что первый восстановленный канал и второй восстановленный канал упомянутых, по меньшей мере, двух каналов получают, формируя линейную комбинацию сигнала понижающего микширования и остаточного сигнала, при этом коэффициенты линейной комбинации зависят от ограниченного пространственного параметра.
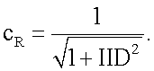
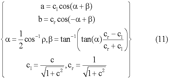
25. Аудиодекодер по п.24, в котором ограничитель выполнен с возможностью ограничивать параметр ICC, описывающий когерентность между первым и вторым каналами упомянутых, по меньшей мер, двух каналов, и параметр IID, описывающий разность уровней между первым и вторым каналами; и в котором правило повышающего микширования является таким, что получение первого восстановленного канала 1 и восстановленного канала r из сигнала m понижающего микширования и остаточного сигнала s может быть описано следующими уравнениями: l=cL·cos( + )·m+s; r=cR·cos(- + )·m-s, где  
 
26. Аудиодекодер по п.17, дополнительно содержащий модуль обработки сигналов для передачи или обработки обработанного остаточного сигнала, обработанного сигнала понижающего микширования и обработанного пространственного параметра, чтобы получить остаточный сигнал, сигнал понижающего микширования и пространственный параметр.
27. Аудиодекодер по п.26, в котором модуль обработки сигналов выполнен с возможностью получать остаточный сигнал, сигнал понижающего микширования и пространственный параметр так, что получение остаточного сигнала, сигнала понижающего микширования и пространственного параметра включает в себя декомпрессию обработанного остаточного сигнала, обработанного сигнала понижающего микширования и обработанного пространственного параметра.
28. Аудиодекодер по п.26, дополнительно содержащий входной интерфейс для подачи обработанного остаточного сигнала, обработанного сигнала понижающего микширования и обработанного пространственного параметра.
29. Аудиодекодер по п.28, в котором входной интерфейс выполнен с возможностью выполнять декомпозицию единого входного битового потока, чтобы получить обработанный остаточный сигнал, обработанный сигнал понижающего микширования и обработанный пространственный параметр.
30. Аудиодекодер по п.29, в котором входной интерфейс выполнен с возможностью выполнять декомпозицию единого входного битового потока так, что выведение обработанного остаточного сигнала, обработанного сигнала понижающего микширования и обработанного параметра включает в себя демультиплексирование входного битового потока.
31. Способ кодирования аудиосигнала, имеющего, по меньшей мере, два канала, при этом способ содержит этапы: выведение пространственного параметра из аудиосигнала, причем пространственный параметр описывает взаимосвязь между упомянутыми, по меньшей мере, двумя каналами; ограничение пространственного параметра, используя правило ограничения, чтобы получить ограниченный пространственный параметр, при этом правило ограничения зависит от взаимосвязи между упомянутыми по меньшей мере, двумя каналами; и выведение сигнала понижающего микширования и остаточного сигнала из аудиосигнала, используя правило понижающего микширования, зависящее от ограниченного пространственного параметра.
32. Способ декодирования закодированного аудиосигнала, представляющего первоначальный аудиосигнал, имеющий, по меньшей мере, два канала, при этом закодированный аудиосигнал имеет сигнал понижающего микширования, остаточный сигнал и пространственный параметр, описывающий взаимосвязь между упомянутыми, по меньшей мере, двумя каналами, при этом способ содержит этапы: ограничение пространственного параметра, чтобы получить ограниченный пространственный параметр, используя правило ограничения, при этом правило ограничения зависит от взаимосвязи между упомянутыми, по меньшей мере, двумя каналами; и получение реконструкции первоначального аудиосигнала из сигнала понижающего микширования и остаточного сигнала, используя правило повышающего микширования, зависящего от ограниченного пространственного параметра.
33. Закодированный аудиосигнал, являющийся представлением аудиосигнала, имеющего по меньшей мере два канала, при этом закодированный аудиосигнал имеет пространственный параметр, описывающий взаимосвязь между упомянутыми, по меньшей мере, двумя каналами, сигнал понижающего микширования и остаточный сигнал, причем сигнал понижающего микширования и остаточный сигнал выведены из аудиосигнала, используя правило понижающего микширования, зависящее от ограниченного пространственного параметра, выведенного с использованием правила ограничения, зависящего от взаимосвязи, по меньшей мере, двух каналов.
34. Передатчик, имеющий аудиокодер для кодирования аудиосигнала, имеющего, по меньшей мере, два канала, содержащий: блок извлечения параметров для выведения пространственного параметра из аудиосигнала, причем пространственный параметр описывает взаимосвязь между упомянутыми, по меньшей мере, двумя каналами; ограничитель для ограничения пространственного параметра, используя правило ограничения, чтобы получить ограниченный пространственный параметр, причем правило ограничения зависит от взаимосвязи между упомянутыми, по меньшей мере, двумя каналами; и блок понижающего микширования для получения сигнала понижающего микширования и остаточного сигнала из упомянутого аудиосигнала, используя правило понижающего микширования, зависящее от ограниченного пространственного параметра.
35. Блок записи аудио, имеющий аудиокодер для кодирования аудиосигнала, имеющего, по меньшей мере, два канала, содержащий: блок извлечения параметров для выведения пространственного параметра из аудиосигнала, причем пространственный параметр описывает взаимосвязь между упомянутыми, по меньшей мере, двумя каналами; ограничитель для ограничения пространственного параметра, используя правило ограничения, чтобы получить ограниченный пространственный параметр, причем правило ограничения зависит от взаимосвязи между упомянутыми, по меньшей мере, двумя каналами; и блок понижающего микширования для получения сигнала понижающего микширования и остаточного сигнала из упомянутого аудиосигнала, используя правило понижающего микширования, зависящее от ограниченного пространственного параметра.
36. Приемник, имеющий аудиодекодер для декодирования закодированного аудиосигнала, представляющего первоначальный аудиосигнал, имеющий, по меньшей мере, два канала, причем закодированный аудиосигнал имеет сигнал понижающего микширования, остаточный сигнал и пространственный параметр, описывающий взаимосвязь между упомянутыми, по меньшей мере, двумя каналами, содержащий: ограничитель для ограничения пространственного параметра, чтобы получить ограниченный пространственный параметр, используя правило ограничения, причем правило ограничения зависит от взаимосвязи между упомянутыми, по меньшей мере, двумя каналами; и блок повышающего микширования для получения реконструкции первоначального аудиосигнала из сигнала понижающего микширования и остаточного сигнала, используя правило повышающего микширования, зависящее от ограниченного пространственного параметра.
37. Блок воспроизведения аудио, имеющий аудиодекодер для декодирования закодированного аудиосигнала, представляющего первоначальный аудиосигнал, имеющий, по меньшей мере, два канала, причем закодированный аудиосигнал имеет сигнал понижающего микширования, остаточный сигнал и пространственный параметр, описывающий взаимосвязь между упомянутыми, по меньшей мере, двумя каналами, содержащий: ограничитель для ограничения пространственного параметра, чтобы получить ограниченный пространственный параметр, используя правило ограничения, причем правило ограничения зависит от взаимосвязи между упомянутыми, по меньшей мере, двумя каналами; и блок повышающего микширования для получения реконструкции первоначального аудиосигнала из сигнала понижающего микширования и остаточного сигнала, используя правило повышающего микширования, зависящее от ограниченного пространственного параметра.
38. Способ передачи аудио, причем способ содержит способ генерирования кодированного сигнала, упомянутый способ содержит способ кодирования аудиосигнала, имеющего, по меньшей мере, два канала, при этом упомянутый способ содержит этапы: выведение пространственного параметра из аудиосигнала, причем пространственный параметр описывает взаимосвязь между упомянутыми, по меньшей мере, двумя каналами; ограничение пространственного параметра, используя правило ограничения, чтобы получить ограниченный пространственный параметр, при этом правило ограничения зависит от взаимосвязи между упомянутыми, по меньшей мере, двумя каналами; и выведение сигнала понижающего микширования и остаточного сигнала из аудиосигнала, используя правило понижающего микширования, зависящее от ограниченного пространственного параметра.
39. Способ записи аудио, причем способ содержит способ генерирования кодированного сигнала, упомянутый способ содержит способ кодирования аудиосигнала, имеющего, по меньшей мере, два канала, при этом упомянутый способ содержит этапы: выведение пространственного параметра из аудиосигнала, причем пространственный параметр описывает взаимосвязь между упомянутыми, по меньшей мере, двумя каналами; ограничение пространственного параметра, используя правило ограничения, чтобы получить ограниченный пространственный параметр, при этом правило ограничения зависит от взаимосвязи между упомянутыми, по меньшей мере, двумя каналами; и выведение сигнала понижающего микширования и остаточного сигнала из аудиосигнала, используя правило понижающего микширования, зависящее от ограниченного пространственного параметра.
40. Способ приема аудио, при этом способ содержит способ декодирования закодированного аудиосигнала, упомянутый способ содержит способ декодирования закодированного аудиосигнала, представляющего первоначальный аудиосигнал, имеющий, по меньшей мере, два канала, причем закодированный аудиосигнал имеет сигнал понижающего микширования, остаточный сигнал и пространственный параметр, описывающий взаимосвязь между упомянутыми, по меньшей мере, двумя каналами, при этом способ содержит этапы: ограничение пространственного параметра, чтобы получить ограниченный пространственный параметр, используя правило ограничения, при этом правило ограничения зависит от взаимосвязи между упомянутыми, по меньшей мере, двумя каналами; и выведение реконструкции первоначального аудиосигнала из сигнала понижающего микширования и остаточного сигнала, используя правило повышающего микширования, зависящее от ограниченного пространственного параметра.
41. Способ воспроизведения аудио, при этом способ содержит способ декодирования закодированного аудиосигнала, упомянутый способ содержит способ декодирования закодированного аудиосигнала, представляющего первоначальный аудиосигнал, имеющий, по меньшей мере, два канала, причем закодированный аудиосигнал имеет сигнал понижающего микширования, остаточный сигнал и пространственный параметр, описывающий взаимосвязь между упомянутыми, по меньшей мере, двумя каналами, при этом способ содержит этапы: ограничение пространственного параметра, чтобы получить ограниченный пространственный параметр, используя правило ограничения, при этом правило ограничения зависит от взаимосвязи между упомянутыми, по меньшей мере, двумя каналами; и выведение реконструкции первоначального аудиосигнала из сигнала понижающего микширования и остаточного сигнала, используя правило повышающего микширования, зависящее от ограниченного пространственного параметра.
42. Система передачи и приема аудиосигнала, имеющая передатчик и приемник, причем передатчик имеет аудиокодер для кодирования аудиосигнала, имеющего, по меньшей мере, два канала, содержащий: блок извлечения параметров для получения пространственного параметра из аудиосигнала, в котором пространственный параметр описывает взаимосвязь между упомянутыми, по меньшей мере, двумя каналами; ограничитель для ограничения пространственного параметра, используя правило ограничения, чтобы получить ограниченный пространственный параметр, в котором правило ограничения зависит от взаимосвязи между упомянутыми, по меньшей мере, двумя каналами; и блок понижающего микширования для выведения сигнала понижающего микширования и остаточного сигнала из аудиосигнала, используя правило понижающего микширования, зависящее от ограниченного пространственного параметра; и приемник, имеющий аудиодекодер для декодирования закодированного аудиосигнала, представляющего первоначальный аудиосигнал, имеющий, по меньшей мере, два канала, при этом закодированный аудиосигнал имеет сигнал понижающего микширования, остаточный сигнал и пространственный параметр, описывающий взаимосвязь между упомянутыми, по меньшей мере, двумя каналами, содержащий: ограничитель для ограничения пространственного параметра, чтобы получить ограниченный пространственный параметр, используя правило ограничения, причем правило ограничения зависит от взаимосвязи между упомянутыми, по меньшей мере, двумя каналами; и блок повышающего микширования для получения реконструкции первоначального аудиосигнала из сигнала понижающего микширования и остаточного сигнала, используя правило повышающего микширования, зависящее от ограниченного пространственного параметра.
43. Способ передачи и приема аудиосигналов, причем способ содержит: способ передачи, имеющий способ формирования кодированного сигнала аудиосигнала, имеющего, по меньшей мере, два канала, при этом способ содержит этапы: выведение пространственного параметра из аудиосигнала, при этом пространственный параметр описывает взаимосвязь между упомянутыми, по меньшей мере, двумя каналами; ограничение пространственного параметра, используя правило ограничения, чтобы получить ограниченный пространственный параметр, при этом правило ограничения зависит от взаимосвязи между упомянутыми, по меньшей мере, двумя каналами; и выведение сигнала понижающего микширования и остаточного сигнала из аудиосигнала, используя правило понижающего микширования, зависящее от ограниченного пространственного параметра; и способ приема, имеющий способ декодирования закодированного аудиосигнала, при этом способ содержит этапы: ограничение пространственного параметра, чтобы получить ограниченный пространственный параметр, используя правило ограничения, причем правило ограничения зависит от взаимосвязи между упомянутыми, по меньшей мере, двумя каналами; и выведение реконструкции первоначального аудиосигнала из сигнала понижающего микширования и остаточного сигнала, используя правило повышающего микширования, зависящее от ограниченного пространственного параметра.
44. Машиносчитываемый носитель данных, хранящий на нем компьютерную программу для реализации при выполнении на компьютере способа в соответствии с п.31.
45. Машиносчитываемый носитель данных, хранящий на нем компьютерную программу для реализации при выполнении на компьютере способа в соответствии с п.32.
РИСУНКИ
|
|