|
|
(21), (22) Заявка: 2008106388/09, 21.02.2008
(24) Дата начала отсчета срока действия патента:
21.02.2008
(43) Дата публикации заявки: 27.08.2009
(46) Опубликовано: 27.01.2010
(56) Список документов, цитированных в отчете о поиске:
RU 2190236 C2, 27.09.2002. RU 2258941 C1, 20.08.2005. RU 2150122 C1, 27.05.2000. RU 2286583 C1, 27.10.2006. WO 2006114426 А1, 02.11.2006. US 2004203917 А1, 14.10.2004. US 5502450 А, 26.03.1996.
Адрес для переписки:
105005, Москва, ул. 2-я Бауманская, 5, МГТУ им. Н.Э. Баумана, Центр защиты интеллектуальной собственности, Директору
|
(72) Автор(ы):
Грешилов Анатолий Антонович (RU), Плохута Павел Анатольевич (RU)
(73) Патентообладатель(и):
Государственное образовательное учреждение высшего профессионального образования “Московский государственный технический университет имени Н.Э. Баумана” (ГОУ ВПО “МГТУ им. Н.Э. Баумана”) (RU)
|
(54) СПОСОБ ОПРЕДЕЛЕНИЯ АЗИМУТАЛЬНЫХ И УГЛОМЕСТНЫХ ПЕЛЕНГОВ ИСТОЧНИКОВ РАДИОИЗЛУЧЕНИЯ С ПОВЫШЕННЫМ БЫСТРОДЕЙСТВИЕМ
(57) Реферат:
Изобретение относятся к радиотехнике, в частности к радиопеленгации, и может быть использовано в системах определения направления на источники радиоизлучения (ИРИ), работающих на одной частоте. Достигаемым техническим результатом является повышение скорости определения пеленгов. Указанный результат достигается за счет существенного снижения вычислительной сложности определения азимутальных и угломестных пеленгов ИРИ, а также уменьшения необходимого количества элементов антенной системы (АС). Способ характеризуется разделением нелинейной АС на две логические части таким образом, чтобы линии отсчета азимутальных пеленгов каждой из частей не были параллельны друг другу, выбором опорного элемента в каждой из выделенных частей АС, восстановлением вектора комплексных амплитуд сигналов, полученных с выхода каждого элемента АС, с последующим его разделением, соответствующим логическому разделению АС, вычислением азимутального и угломестного пеленгов для каждого ИРИ в системах координат, связанных с первой и со второй логическими частями АС, для определения азимутальных k и угломестных k пеленгов ИРИ использованием процедуры поиска максимумов квадрата модуля одномерного углового спектра в совокупности с соответствующими вычислительными выражениями.
Область техники
Изобретение относится к радиотехнике, в частности к радиопеленгации, и может быть использовано в системах определения направления на источники радиоизлучения, работающие на одной частоте.
Уровень техники
Пеленгация источников радиоизлучения (ИРИ) имеет место в процессе мониторинга радиоэлектронной обстановки. При этом необходимо определять не только азимутальные, но и угломестные пеленги ИРИ, что серьезно увеличивает вычислительную сложность соответствующих методов.
Известен способ [1], согласно которому азимутальные и угломестные пеленги определяют посредством поиска максимумов квадрата модуля углового спектра, полученного при помощи двухмерного преобразования Фурье от свертки комплексных сигналов, полученных с m-го элемента антенной системы (АС), где m=1; 2; ; M, M – количество элементов АС, и комплексного сигнала с опорного элемента АС.
Недостатком этого способа является высокая вычислительная сложность, обусловленная необходимостью вычисления двухмерного преобразования Фурье, и необходимость наличия в АС достаточно большого количества элементов для получения приемлемых результатов.
Раскрытие изобретения
Достигаемый технический результат – существенное повышение быстродействия (скорости) определения азимутальных и угломестных пеленгов при приеме радиосигналов нескольких ИРИ, работающих на одной частоте, с использованием нелинейных (в том числе кольцевых) АС, состоящих из слабонаправленных элементов (вибраторов). Повышение скорости определения пеленгов достигается за счет существенного снижения вычислительной сложности определения азимутальных и угломестных пеленгов ИРИ, а также уменьшения необходимого количества элементов АС.
Способ определения азимутальных и угломестных пеленгов источников радиоизлучения с повышенным быстродействием характеризуется разделением нелинейной АС на две логические части таким образом, чтобы линии отсчета азимутальных пеленгов каждой из частей не были параллельны друг другу, выбором опорного элемента в каждой из выделенных частей АС, восстановлением вектора комплексных амплитуд сигналов, полученных с выхода каждого элемента АС, с последующим его разделением, соответствующим логическому разделению АС, вычислением азимутального и угломестного пеленгов для каждого ИРИ в системах координат, связанных с первой и со второй логическими частями АС, для определения азимутальных k и угломестных k пеленгов ИРИ использованием процедуры поиска максимумов квадрата модуля одномерного углового спектра в совокупности с формулами:

где P1=cos kcos k; P2=cos( k– )cos k, и величины P1 и P2 соответственно уже получены по первой и по второй логическим частям АС; – угол между соответствующими линиями отсчета пеленгов, связанными соответственно с первой и второй логической частями АС; k – номер ИРИ, k = 1; 2; ; K, где K – общее количество обнаруженных ИРИ.
Осуществление изобретения
Способ осуществляют в следующим образом.
1. Нелинейную АС логически разделяют на две части таким образом, чтобы линии отсчета азимутальных пеленгов каждой из частей не были параллельны друг другу (системы координат, связанные с каждой из частей, были развернуты друг относительно друга). В каждой из частей выбирают опорный элемент (элемент, относительно которого производится измерение набегов фаз на остальных элементах части АС). Одни и те же элементы АС могут входить в обе выделенные части одновременно.
2. Восстанавливают вектор комплексных амплитуд сигналов y=[y1 y2 yM]T, полученных с выхода каждого элемента АС. Вектор у восстанавливают единожды для всей АС (производится одно физическое измерение). Затем происходит его разделение на две логические части, соответствующие частям АС, выделенным в пункте 1.
3. Любым способом, например, при помощи поиска максимумов квадрата модуля одномерного углового спектра вычисляют произведение косинусов азимутального и угломестного пеленгов для каждого ИРИ в системах координат, связанных с первой и со второй логическими частями АС (в аналитическое выражение комплексной амплитуды сигнала на m-м элементе АС азимутальные и угломестные пеленги входят в качестве произведения их косинусов), причем вычисления производят на основе набегов фаз на элементах АС относительно соответствующих опорных вибраторов (выбранных в пункте 1).
4. Азимутальные пеленги k всех ИРИ, измеренные в системах координат, связанных с различными логическими частями АС, отличаются на величину угла между соответствующими линиями отсчета пеленгов. Обозначим величину произведения косинусов азимутальных k и угломестных k пеленгов k-го ИРИ, k=1; 2; ; K, где K – количество ИРИ, полученного в системе координат, связанной с первой логической частью АС, P1. Величину аналогичного произведения, полученного в системе координат, связанной со второй логической частью АС, обозначим P2. Тогда имеем:

Выполнив необходимые тригонометрические преобразования, получают следующие формулы для вычисления азимутального k и угломестного k пеленгов k-го ИРИ:


Следует отметить, что операции, имеющие место в формулах (2) и (3), не представляют большой вычислительной сложности и соответственно требуют малых временных затрат, а именно временные затраты на осуществление вычислений по формулам (2) и (3) в совокупности с процедурой поиска максимумов квадрата модуля одномерного углового спектра требуют серьезно меньших затрат времени, чем процедура поиска максимумов квадрата модуля одномерного углового спектра, так как размерность сетки пеленгов, по которой осуществляется поиск, в двухмерном случае больше размерности сетки в одномерном случае в H раз, где H – количество элементов сетки по угломестным пеленгам. Если сетка по угломестному пеленгу задана с шагом хотя бы в 1°, то размерность сетки в двухмерном случае увеличивается в 90 раз по отношению к размерности сетки в одномерном случае (считаем, что угломестный пеленг может принимать значения в интервале [0°; 90°]).
Предлагаемый способ может применяться в совокупности с любым способом пеленгации для уменьшения вычислительных (а соответственно и временных) затрат на вычисление азимутальных и угломестных пеленгов ИРИ, так как вычисление произведения косинусов азимутального и угломестного пеленгов гораздо менее сложная операция, чем вычисление упомянутых пеленгов по отдельности. Полученные пеленги можно визуально отобразить на картографическом фоне.
Приведем модельный пример. Рассмотрим пеленгацию двух ИРИ, работающих на частоте 20 МГц. Азимутальные пеленги =[30° 50°]T, угломестные пеленги =[45° 35°]T и амплитуды u=[10 мВ 1 мВ]T. Помеху вводить не будем. Пеленгацию будем осуществлять в диапазоне азимутальных пеленгов [0°; 180°] и угломестных пеленгов [0°; 90°] посредством линейной двухплоскостной АС, состоящей из 16 вибраторов. Угол между плоскостями =45°.
Найдем величины произведений cos 1cos 1 и cos 2 cos 2 на основе данных, полученных с первой плоскости АС:
cos 1cos 1=0,6124,
cos 2cos 2=0,5265.
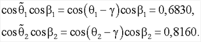
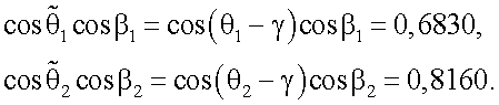
Далее аналогично найдем величины тех же произведений на основе данных, полученных со второй плоскости АС. При этом учтем, что вторая плоскость АС развернута относительно первой на угол .

По формулам (2) и (3) получаем для каждого ИРИ искомые значения величин (30° и 50°) и (45° и 35°).
Источники информации
1. Патент РФ 2190236, МПК G01S 5/04, 2005 г.
Формула изобретения
Способ определения азимутальных и угломестных пеленгов источников радиоизлучения, включающий разделение нелинейной антенной системы на две логические части таким образом, чтобы линии отсчета азимутальных пеленгов каждой из частей не были параллельны друг другу; выбор опорного элемента в каждой из выделенных частей антенной системы; восстановление вектора комплексных амплитуд сигналов, полученных с выхода каждого элемента антенной системы, с последующим его разделением, соответствующим логическому разделению антенной системы; использование для определения азимутальных k и угломестных k пеленгов для каждого источника радиоизлучения в системах координат, связанных с первой и со второй логическими частями антенной системы, отличающийся тем, что при помощи процедуры поиска максимумов квадрата модуля одномерного углового спектра определяют произведение косинусов азимутального и угломестного пеленгов для каждого источника радиоизлучения с использованием измеренных набегов фаз на элементах антенной системы относительно выбранного опорного элемента и с учетом того, что в аналитическое выражение комплексной амплитуды сигнала на соответствующем элементе антенной системы азимутальные и угломестные пеленги входят в качестве произведения их косинусов, обозначают величину произведения косинусов азимутальных k и угломестных k пеленгов как P1=cos kcos k – в системе координат, связанной с первой логической частью антенной системы, и Р2=cos( k– )cos k – в системе координат, связанной со второй логической частью антенной системы, где k=1, 2, , К, k – номер источников радиоизлучения, К – количество источников радиоизлучения, полученное в системах координат, связанных с первой и второй частями антенной системы, – угол между соответствующими линиями отсчета пеленгов, связанными соответственно с первой и второй логическими частями антенной системы, и вычисляют азимутальный и угломестный пеленги для k-го источника радиоизлучения в соответствии с формулами

|
|