|
(21), (22) Заявка: 2008106386/09, 21.02.2008
(24) Дата начала отсчета срока действия патента:
21.02.2008
(43) Дата публикации заявки: 27.08.2009
(46) Опубликовано: 27.01.2010
(56) Список документов, цитированных в отчете о поиске:
RU 2289146 С2, 10.12.2006. RU 2288481 С2, 20.07.2006. RU 2589941 C1, 20.08.2005. RU 2190236 С2, 27.09.2002. ЕР 0834748 А1, 08.04.1998. US 5361073 А, 01.11.1994. WO 2006114426 А1, 02.11.2006.
Адрес для переписки:
105005, Москва, ул. 2-я Бауманская, 5, МГТУ им. Н.Э. Баумана, Центр защиты интеллектуальной собственности, Директору
|
(72) Автор(ы):
Грешилов Анатолий Антонович (RU)
(73) Патентообладатель(и):
Государственное образовательное учреждение высшего профессионального образования “Московский государственный технический университет имени Н.Э. Баумана” (ГОУ ВПО “МГТУ им. Н.Э. Баумана”) (RU)
|
(54) СПОСОБ ПЕЛЕНГАЦИИ ИСТОЧНИКОВ РАДИОИЗЛУЧЕНИЯ НА ОДНОЙ ЧАСТОТЕ
(57) Реферат:
Изобретение относится к радиотехнике, в частности к радиопеленгации. Достигаемый технический результат – повышение быстродействия обработки сигналов при пеленгации радиосигналов нескольких источников радиоизлучения, работающих на одной частоте, с использованием антенных систем, состоящих из слабонаправленных элементов (вибраторов), а также получение интервальных оценок пеленгов. Повышение быстродействия достигают за счет использования эффективного способа определения параметров радиосигналов, представленных в виде экспоненциальных функций, содержащих функции пеленгов. При этом в предлагаемом способе исключаются математические операции, требующие больших вычислительных затрат, таких как преобразование Фурье. Дополнительно для надежности пеленгации определяют интервальные оценки пеленгов источников радиоизлучения и амплитуд сигналов на основе соответствующих дисперсий. 1 з.п. ф-лы.
Область техники
Изобретение относится к радиотехнике, в частности к радиопеленгации, и может быть использовано в системах определения направления на источники радиоизлучения, работающие на одной частоте.
Уровень техники
Пеленгация нескольких источников радиоизлучения (ИРИ) имеет место в процессе мониторинга радиоэлектронной обстановки при многолучевом распространении радиоволн, воздействии преднамеренных и непреднамеренных помех, отражениях сигнала от различных объектов и слоев атмосферы.
Задача радиопеленгации в общем случае является некорректной в математическом плане. Большинство известных способов многосигнальной пеленгации на одной частоте опираются на статистические методы проверки гипотез, на метод максимума правдоподобия, на сверхразрешающие методы (например, MUSIC – multiple signal classification) и др. Однако задача пеленгации ИРИ, как некоректная задача, не может быть решена надежно ни статистическими методами, достоверность результата которых определяется точностью полученных оценок параметров сигналов; ни методом наименьших квадратов (МНК) в силу нелинейности и плохой обусловленности решаемой системы уравнений; ни сверхразрешающими методами, которые дают приемлемые результаты лишь при высоких соотношениях сигнал/шум и не обеспечивают разрешение ИРИ, имеющих близкие по значениям пеленги.
Известен способ пеленгации [1], принятый за прототип, который осуществляют следующим образом.
1. Радиосигналы источников принимают посредством антенной системы (АС), состоящей из М вибраторов.
2. Получают комплексные амплитуды сигналов на выходах антенн (вектор амплитудно-фазового распределения (АФР)). m-й элемент вектора АФР имеет вид

где K – количество источников радиосигнала (ИРИ), uk – амплитуда сигнала k-го ИРИ, m( k, k) – фаза сигнала k-го ИРИ на m-м вибраторе, зависящая от азимутального и угломестного пеленгов k-го ИРИ k и k соответственно, nm – шум, имеющий место на m-м вибраторе, включающий в себя шум мирового фона и аппаратуры.
3. Получают среднюю по совокупности антенн мощность принятых радиосигналов и угловой спектр первого порядка соответственно:

,
где * – обозначение операции комплексного сопряжения. Значение мощности Р и каждое значение углового спектра первого порядка (для каждого азимутального угломестного пеленга с дискретностью 1°) получают за один цикл считывания, включающий М тактов. Полная совокупность значений углового спектра первого порядка образуется после выполнения 360·90 циклов.
4. Получают квадрат модуля углового спектра первого порядка, по совокупности значений которого определяют координаты и значение его максимума, которое нормируют на значение мощности.


5. При наличии энергетических и пространственных условий разрешения координаты максимума и , соответствуют азимутальному и угломестному пеленгам ИРИ с максимальной амплитудой сигнала. При отсутствии радиосигналов это положение случайно. На данной операции завершается первый этап обработки сигнала.
6. Второй этап при диапазонах углов 0 360° и 0 90° и дискретности сетки в 1° выполняется в течение 360·90 циклов и состоит в следующем. Определяют значения нормированной диаграммы направленности АС в направлении координат и максимума углового спектра первого порядка

7. Определяют угловой спектр второго порядка по формуле

8. Далее определяют

9. Координаты точек максимума и соответствуют азимутальному и угломестному пеленгам ИРИ с меньшей амплитудой радиосигнала. В отсутствие радиосигналов это положение случайно.
10. Окончательное решение о наличии радиосигналов принимается по значениям максимумов квадратов модулей угловых спектров. Для этого значения максимумов L1 и L2 суммируют и сравнивают с первым порогом С1. Если порог не превышен, принимают решение об отсутствии радиосигналов, иначе определяют и сравнивают со вторым порогом С2 отношение вида

При превышении значения второго порога принимают решение о наличии радиосигнала одного источника с азимутальным и угломестным пеленгами и . Значения порогов устанавливают по критерию Неймана-Пирсона исходя из заданной вероятности ложной тревоги, взаимного расположения антенн, длины волны излучения и заданной погрешности пеленгования.
Указанный способ обладает следующими недостатками.
1. Основной недостаток вытекает из фундаментальных основ способа, который основан на вероятностных понятиях и соотношениях. Известно, что вероятностные законы выполняются лишь при обработке массовых событий, причем тем точнее, чем больше количество событий. Пеленгация имеет дело с единичными событиями (операции определения пеленга). Таким образом, результаты, получаемые указанным способом, достаточно недостоверны и, следовательно, практически малоприменимы.
2. Для получения результата необходимо выполнение большого количества сложных математических операций, таких как вычисление средней мощности радиосигналов, угловых спектров первого и второго порядков и их максимумов, величин порогов и т.п.
3. Несмотря на вероятностные основы построения, способ не дает интервальных оценок полученных результатов, что в принципе некорректно, так как известно, что нельзя однозначно характеризовать случайную величину точечной оценкой.
Эти недостатки, по-видимому, не позволят применять указанный способ в реальных условиях.
Раскрытие изобретения
Предлагаемый способ свободен от указанных недостатков и является параметрическим методом многосигнального пеленгования на одной частоте.
Достигаемый технический результат – существенное повышение быстродействия (скорости) обработки сигналов при пеленгации радиосигналов нескольких источников радиоизлучения, работающих на одной частоте, с использованием антенных систем (АС), состоящих из слабонаправленных элементов (вибраторов), а также получение интервальных оценок пеленгов. Повышение быстродействия достигают за счет использования эффективного метода определения параметров радиосигналов, представленных в виде сумм экспоненциальных функций. При этом в предлагаемом способе отсутствуют математические операции, требующие больших вычислительных затрат, таких как, например, преобразование Фурье.
Способ многосигнальной пеленгации источников радиоизлучения на одной частоте включает в себя прием многолучевого сигнала посредством многоэлементной антенной системы, синхронное преобразование ансамбля принятых сигналов, зависящих от времени и номера элемента антенной системы, в цифровые сигналы, преобразование цифровых сигналов в сигнал амплитудно-фазового распределения, описывающий распределение амплитуд и фаз на элементах антенной системы, и отличается тем, что получение пеленгов осуществляют посредством определения параметров экспоненциальных функций, содержащих функции пеленгов.
Дополнительно для надежности пеленгации определяют интервальные оценки пеленгов источников радиоизлучения и амплитуд сигналов на основе соответствующих дисперсий, полученных как дисперсии значений скалярной функции случайного аргумента (для пеленгов [3. С.388]) и дисперсии элементов вектора решения системы линейных алгебраических уравнений, полученного методом наименьших квадратов (для амплитуд (мощностей) [3. С.374]).
Осуществление изобретения
В качестве многоэлементной АС рассматриваем линейную систему, состоящую из нескольких слабонаправленных элементов (вибраторов). В качестве фазового центра (точки, относительно которой происходит измерение фаз сигналов, приходящих на элементы антенной системы) выбираем один из вибраторов.
Необходимо определение следующих параметров ИРИ, присутствующих в эфире:
– амплитуды (мощности) излучаемых сигналов;
– азимутальных и угломестных пеленгов.
В качестве практически оправданного допущения для предлагаемого способа сигналы рассматривают как детерминированные, подверженные аддитивной помехе, оценки параметров которых подлежат определению.
Поскольку на результаты измерений неизбежно накладывается помеха, а также имеют место ошибки измерений, обусловленные используемой аппаратурой, необходимо получить не только точечные оценки искомых параметров, но и их ковариационные матрицы или, по крайней мере, дисперсии.
Полагаем, что в эфире присутствует K штук ИРИ с азимутальными пеленгами угломестными пеленгами и амплитудами (мощностями) излучаемых сигналов  – сигнал комплексного амплитудно-фазового распределения, описывающий амплитуды и фазы сигналов, принятых элементами АС, где М – количество элементов АС. Используемый вид модуляции (амплитудная, частотная, фазовая и др.) не имеет принципиального значения.
В общем случае задача имеет вид системы нелинейных уравнений относительно неизвестных , и u:

где матрицу А( , ,t) формируют с учетом вида сигналов пеленгуемых ИРИ и пространственной конфигурации AC, n(t) – вектор аддитивной помехи с нулевым математическим ожиданием и ковариационной матрицей вида 2I, I – единичная матрица, – среднеквадратическое отклонение (СКО).
Для линейной АС с фазовым центром, расположенным на крайнем вибраторе, элементы матрицы А( , ,t) имеют вид

m=1, 2, M; k=1, 2, ,K,
где:
j – мнимая единица 
f0 – частота сигналов, излучаемых пеленгуемыми ИРИ,
k – начальная фаза k-го сигнала,
R – радиус окружности, вдоль которой расположены элементы антенной системы,
– длина волны сигналов ИРИ,
d – расстояние между соседними элементами антенной системы,
i, i=1; 2; ;
М – угол между линией отсчета пеленгов и линией, проведенной через центр окружности и i-й элемент антенной системы (для круговой АС),
М – количество элементов в антенной системе.
В нелинейной системе (1) требуется определить для каждого из одновременно поступивших на АС сигналов амплитуду (мощность) uk, азимутальный пеленг k и угломестный пеленг k.
Для существенного упрощения решения задачи сведем определение пеленгов к определению показателей сумм экспоненциальных функций. Данный способ приводит к оценке пеленгов посредством решения алгебраических уравнений (квадратных, кубических, четвертой степени и т.д.) путем введения новых переменных i, i=1; 2; ; K. Если шаг задания этих переменных будет равномерным (что предпочтительнее), то получим полное алгебраическое уравнение (линейная AC), a если шаг для i будет неравномерным, то получим неполное алгебраическое уравнение или уравнение с дробными показателями (нелинейная АС). Корни полученного алгебраического уравнения – есть значения i.
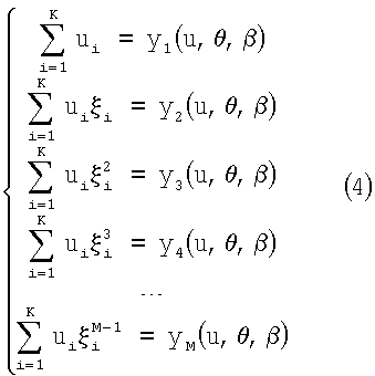
Рассмотрим случай, когда в эфире имеют место K штук ИРИ. Выход m-го элемента линейной АС имеет вид

где ui – амплитуда i-го сигнала на m-м вибраторе.
Введем обозначение экспоненциальной функции i=1; 2; ; K. Тогда можно записать следующую систему уравнений

Введем полином экспоненциальных функций

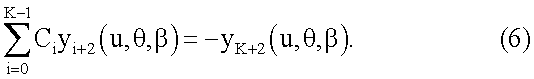
Для определения коэффициентов Ci, i=0; 1; ; K-1 построим систему линейных алгебраических уравнений (СЛАУ) с K неизвестными. Умножим первые K+1 уравнений системы (4) на C0, C1, , CK-1 и 1 соответственно и сложим их

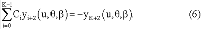
При следующем сдвиге умножим K+1 уравнений на С0, C1, , CK-1 и 1 соответственно, начиная со 2-го уравнения. В результате получим:

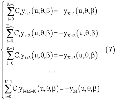
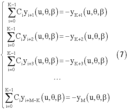
Продолжая данный процесс, получаем СЛАУ относительно коэффициентов полинома C0, C1, C2, , CK-1.

Обратим внимание на построение системы (7). Элементы матрицы ее левой части получаются путем сдвига значений измеренных амплитуд (матрица Теплица). Такой вид матрицы системы позволяет быстро получить решение (для обращения матриц Теплица разработаны эффективные методы, например, в [2]). При этом величины yi(u, , ), i=1; 2; ; М известны (это вектор АФР, полученный на основе измерений напряжений на выходах элементов АС).
В общем случае, система (7) – плохо обусловлена. Величина числа обусловленности N зависит от разности значений i, i=1; 2; ; K и интенсивности помехи.
Данная система может быть переопределена, если зарегистрированы значения yi, i>M, желательно до i=kM, k=2; 3; . Для задачи пеленгации каждое уравнение системы (4) – это запись сигнала с одного вибратора.
Увеличить число уравнений в системе можно путем учета значений вектора АФР, полученного в различные моменты времени.
Определив из системы (7) С0, С1, , СK-1, получаем полином экспоненциальных функций P( ) в явном виде. Далее находим корни полинома (параметры) экспоненциальных функций i, i=1; 2; ; K.
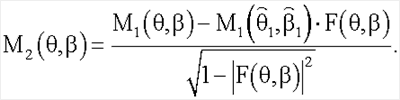
Элементы матрицы СЛАУ (7) получены в результате измерений, т.е. включают в себя некоторую погрешность (являются случайными величинами). Точные формулы для вычисления ковариационной матрицы оценок решений достаточно громоздки. Приведем здесь упрощенную формулу. Пусть среднее квадратическое отклонение (СКО) элементов матрицы системы (7) АC равно y. Воспользуемся свойствами оператора дисперсии для ее переноса из левой части СЛАУ (7) в правую. Таким образом, формула для вычисления ковариационной матрицы решения с учетом погрешности элементов матрицы системы имеет вид

Где – СКО элементов вектора комплексной огибающей выходов элементов линейной АС,
– матрица СЛАУ (7),
C=[C0 CK-1]T.
Данный метод вычисления ковариационной матрицы оценок решения справедлив лишь в том случае, если решение СЛАУ (7) осуществляют методом наименьших квадратов (МНК). Если решать СЛАУ (7), например, одним из методов регуляризации, то ковариационную матрицу решения можно вычислить как матрицу, обратную матрице вторых производных от функции правдоподобия, которую в данном случае строят для заданного регуляризирующего функционала.
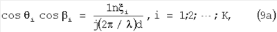
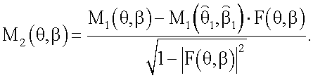
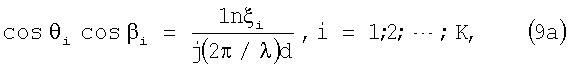
Корни i полученного полинома экспоненциальных функций можно записать как функции от случайных величин Ci, i=0;1; ;K-1, и вычислить дисперсии значений корней как для функций случайных аргументов. Зная i, найдем величину произведения cos i cos i,i=1;2; ; K по формуле

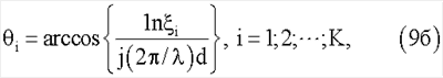
Если i=0, то значение i, можно вычислить по формуле

где

В случае когда  0, для вычисления азимутальных и угломестных пеленгов можно использовать простые тригонометрические формулы.
Амплитуды для каждого сигнала находим, подставив найденные значения i в систему (4) и решив ее. Относительно неизвестных амплитуд система (4) также является СЛАУ. Зная аналитические выражения для пеленгов и амплитуд, определить их дисперсии не составляет труда.
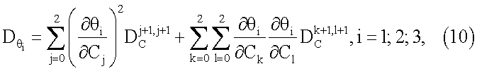
Исходя из формулы (9), можно утверждать, что i= i(C0,C1,C2), i=1;2;3. Для нахождения дисперсии пеленгов i воспользуемся следующей формулой [3, с.388]:

где – элемент
матрицы Dc с индексом (i,j).
Если решать систему (4) относительно амплитуд методом наименьших квадратов, то ковариационную матрицу решения Du можно найти по формуле, аналогичной (8)

где – СКО элементов матрицы А ,
u=[u1 uK]T,
– матрица СЛАУ (4).
На основе полученных дисперсий строят соответствующие доверительные интервалы.
Для определения количества сигналов, принимаемых АС, сформулируем следующий критерий. Количество сигналов, принимаемых АС, равно количеству «больших» собственных чисел матрицы . В идеальном случае (помеха отсутствует) количество сигналов равно количеству ненулевых собственных чисел. Под «большими» понимаются числа, превышающие по величине некоторую заранее заданную на этапе калибровки пеленгатора величину (порог), значение которой зависит от соотношения сигнал/шум.
Повышение быстродействия достигается за счет отсутствия в предлагаемом способе математических операций, требующих больших вычислительных затрат, таких как, например, преобразование Фурье.
Решение СЛАУ (7) осуществляется методом наименьших квадратов. Следовательно, вектор решения определяется по формуле

Где Ас – матрица системы (7),
ус – вектор правой части системы (7).
В современных вычислительных системах операции перемножения и обращения матриц выполняются за доли секунды. К тому же, как уже упоминалось выше, что матрица Ас является матрицей Теплица, а для решения задачи метода наименьших квадратов для СЛАУ с матрицами Теплица разработаны эффективные методы [2], позволяющие еще в несколько раз снизить вычислительные затраты.
В практическом плане способ осуществляют следующим образом.
1. Радиосигналы источников принимают посредством антенной системы (АС), состоящей из М вибраторов.
2. Получают комплексные амплитуды сигналов на выходах антенн (вектор амплитудно-фазового распределения (АФР)). m-й элемент вектора АФР имеет вид 
где K – количество источников радиосигнала (ИРИ), uk – амплитуда сигнала k-го ИРИ, – фаза сигнала k-го ИРИ на m-м вибраторе, зависящая от азимутального и угломестного пеленгов k-го ИРИ k и k соответственно, nm – шум, имеющий место на m-м вибраторе, включающий в себя шум мирового фона и аппаратуры.
3. Формируют и решают систему (7), запоминают полученный вектор коэффициентов полинома С.
4. Находят корни (параметры) экспоненциальных функций i, i=1;2; ;K полинома экспоненциальных функций запоминают их.
5. По формуле (9б) находят азимутальные пеленги источников радиоизлучения (если угломестные пеленги равны нулю) или (если угломестные пеленги не равны нулю) по формуле (9а) находят величины произведений косинусов азимутальных и угломестных пеленгов, а затем по простым тригонометрическим формулам находят значения азимутальных и угломестных пеленгов, запоминают значения пеленгов.
6. Решают систему (4) относительно амплитуд сигналов и находят их значения.
7. Находят дисперсии коэффициентов полинома С по формуле (8).
8. Находят дисперсии пеленгов по формуле (10).
9. Находят дисперсии амплитуд по формуле (11).
10. На основе дисперсий, полученных в п.8 и 9, строят соответствующие доверительные интервалы [3, с 388].
11. Производят визуализацию результатов.
Приведем модельный пример реализации способа. Рассмотрим пеленгацию двух ИРИ, работающих на частоте 20 МГц. Пеленги
, углы места и амплитуды u=[10 мВ 1 мВ]T. Помеха имеет математическое ожидание, равное нулю, и СКО =0,1 мВ. Пеленгацию будем осуществлять в диапазоне пеленгов [0°; 180°], посредством линейной АС, состоящей из 16 вибраторов, отстоящих друг от друга на расстояние, равное половине длины волны сигнала (7,5 м).
Точечные оценки параметров ИРИ:


СКО оценок, полученные по формулам (10), (11):
(

СКО оценок, полученные методом статистических испытаний в 1000 экспериментах:
(

На компьютере с процессором с тактовой частотой 2 ГГц время, затраченное на вычисление точечных оценок, – 0,015 с. Время, затраченное на вычисление СКО оценок по формулам (10), (11), – 0,31 с. Для сравнения в практических приложениях необходимо обеспечить время получения оценок пеленгов в пределах 1 с. Вычисления осуществлялись в среде Matlab 7.0, которая не является оптимизированной по быстродействию.
Таким образом, из приведенного примера наглядно видны преимущества предлагаемого способа в плане повышения быстродействия и получения надежных интервальных оценок результатов.
Источники информации
1. Патент РФ 2289146, МПК G01S 3/00, G01S 5/04, 2006 г.
2. G.Rodriguez, D.Theis Least squares solution of large Toeplitz linear systems.VI Congresso SIMAI – Societa Italiana di Matematica Applicata e Industriale, Chia Laguna (Cagliari), Italy, May 27-31,2002.
3. A.A.Грешилов. Математические методы принятия решений: Учеб. пособие для вузов. – М.: Изд-во МГТУ им. Н.Э. Баумана, 2006. – 584 с.
Формула изобретения
1. Способ многосигнальной пеленгации источников радиоизлучения на одной частоте, включающий в себя прием многолучевого сигнала посредством многоэлементной антенной системы, синхронное преобразование ансамбля принятых сигналов, зависящих от времени и номера элемента антенной системы, в цифровые сигналы, преобразование цифровых сигналов в сигнал амплитудно-фазового распределения, описывающий распределение амплитуд и фаз на элементах антенной системы, отличающийся тем, что из амплитуд комплексных сигналов амплитудно-фазового распределения формируют систему линейных алгебраических уравнений y1 yм, описывающих амплитуды сигналов, принятых элементами антенной системы, где М – количество элементов антенной системы, каждая строка системы алгебраических уравнений представляет собой сумму произведений коэффициентов полинома экспоненциальных функций Сi, где i=1, 2, , К, К – количество источников радиоизлучений, и амплитуд сигналов yi, где i=1, 2, , М, при этом каждое последующее уравнение в системе сформированных линейных алгебраических уравнений является сдвигом вправо на одну позицию по отношению к предыдущему уравнению, а экспоненциальная функция представляет собой i=ехр(j(2 / )dcos iсоs i), где i=1, 2, , К, j – мнимая единица, – длина волны сигналов источников радиоизлучений, d – расстояние между соседними элементами антенной решетки, i – азимутальный пеленг источника радиоизлучений, i – угломестный пеленг источника радиоизлучений, затем определяют корни полинома экспоненциальных функций, представляющие собой параметры экспоненциальных функций, посредством параметров экспоненциальных функций с помощью операций логарифмирования и арккосинуса определяют пеленги источников радиоизлучений.
2. Способ по п.1, отличающийся тем, что при известных значениях пеленгов и амплитуд определяют интервальные оценки данных параметров источников сигналов на основе дисперсий, полученных как дисперсии значений скалярных функций от сигналов i, i=1, 2, , К, для пеленгов и как дисперсии элементов вектора сигналов у, полученные путем минимизации квадрата разности произведения матрицы, составленной из сигналов i на амплитуду u искомого сигнала и сигнала у, записанного с выходов элементов антенной системы для амплитуд.
|