|
(21), (22) Заявка: 2008151858/28, 25.12.2008
(24) Дата начала отсчета срока действия патента:
25.12.2008
(46) Опубликовано: 27.01.2010
(56) Список документов, цитированных в отчете о поиске:
Антонов В.Я., Малков Л., Гамаюнов Н.И. Технология полевой сушки торфа. 2-е изд., перераб. и доп. – М.: Недра, 1981, с.38-39. RU 2024755 С1, 15.12.1994. RU 2340854 С1, 10.12.2008. SU 1695177 А1, 30.11.1991.
Адрес для переписки:
170026, г.Тверь, наб. А. Никитина, 22, ТГТУ, патентный отдел, Е.Н. Ратовой
|
(72) Автор(ы):
Афанасьев Алексей Егорович (RU), Ефремов Алексей Сергеевич (RU)
(73) Патентообладатель(и):
Государственное образовательное учреждение высшего профессионального образования “Тверской государственный технический университет” (RU)
|
(54) СПОСОБ ОПРЕДЕЛЕНИЯ СРЕДНЕЙ ПЛОТНОСТИ СВЯЗАННОЙ ЖИДКОСТИ КОЛЛОИДНЫХ И КАПИЛЛЯРНО-ПОРИСТЫХ ТЕЛ
(57) Реферат:
Изобретение относится к области управления качеством продукции, получаемой при сушке и переработке коллоидных и капиллярно-пористых тел. Согласно изобретению влажный торф многократно перерабатывают в шнековом устройстве с последующим доведением его до начального влагосодержания WH=(4,6÷5,3) кг/кг. После чего формуют образцы, определяют объем каждого образца и сушат их при температурах не выше 343-348К до равновесного влагосодержания. При этом в процессе сушки определяют прочность на сжатие средней части образцов через интервал влагосодержания от 0,2 до 0,5 кг/кг. Далее рассчитывают плотность сухого вещества по формуле где V – объем образца; mс – масса сухого вещества. Затем строят графические зависимости логарифма прочности Ri; в функции обратной плотности сухого вещества торфа и логарифма прочности Ri в функции влагосодержания W с соответствующими угловыми коэффициентами линейных участков графической зависимости периодов структурообразования ci и i (i=1,2), где ci – угловой коэффициент зависимости соответствующего участка прямой (i=1,2), где i – угловой коэффициент зависимости lnRi=f(W) соответствующего участка прямой (i=1,2). По результатам графических зависимостей определяют значение средней плотности связанной жидкости, которое равно отношению коэффициентов Техническим результатом изобретения является возможность определения плотности жидкости в коллоидных и капиллярно-пористых телах с учетом изменения температуры влажных материалов для различных условий структурообразования при их сушке. 3 з.п. ф-лы, 3 ил., 1 табл.
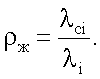
Изобретение относится к области определения и управления качеством продукции, получаемой на основе сорбционно-фильтрационного процесса, происходящего при сушке и переработке коллоидных и капиллярно-пористых тел.
В настоящее время отсутствуют методы измерения средней плотности связанной жидкости коллоидных и капиллярно-пористых тел из-за сложности учета особенностей взаимодействия дискретных молекул с твердой фазой влажных твердых тел. Кроме того, сорбированная жидкость образует единый комплекс с твердой фазой с измененной физической структурой и повышенной энергией связи от 40-400 кДж/моль (химически связанная вода) до 1,0 кДж/моль (вода механического удерживания), которая растет с понижением влагосодержания тел (Антонов В.Я. Технология полевой сушки торфа. / В.Я.Антонов, Л.Малков, Н.И.Гамаюнов. 2-е изд. перераб. и доп. М.: Недра, 1981, с.38-39]. В свою очередь, среднюю плотность связанной жидкости ж необходимо знать для повышения точности оценки физико-технических характеристик коллоидных и капиллярно-пористых тел, где обычно используют плотность о свободной воды.
В основу настоящего изобретения положена задача получения и обработки экспериментальных данных, описывающих процесс изменения прочности коллоидных и капиллярно-пористых тел от влагосодержания.
Техническим результатом изобретения является возможность определения плотности жидкости в коллоидных и капиллярно-пористых телах с учетом изменения температуры влажных материалов для различных условий структурообразования при их сушке.
Поставленная задача и указанный технический результат достигаются тем, что в способе определения средней плотности связанной жидкости коллоидных и капиллярно-пористых тел, согласно изобретению влажный торф многократно перерабатывают в шнековом устройстве с последующим доведением его до начального влагосодержания Wн=(4,6÷5,3) кг/кг, после чего формуют образцы, определяют объем каждого образца и сушат их при температурах не выше 343-348К до равновесного влагосодержания, при этом в процессе сушки, определяют прочность на сжатие средней части образцов через интервал влагосодержания от 0,2 до 0,5 кг/кг, далее рассчитывают плотность сухого вещества по формуле ,
где V – объем образца,
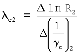
mc – масса сухого вещества, после чего строят графические зависимости логарифма прочности Ri в функции обратной плотности сухого вещества торфа и логарифм прочности Ri в функции влагосодержания W с соответствующими угловыми коэффициентами линейных участков графической зависимости периодов структурообразования ci и i (i=1,2), где
ci – угловой коэффициент зависимости соответствующего участка прямой (i=1,2),
i – угловой коэффициент зависимости соответствующего участка прямой (i=1,2).
По результатам графических зависимостей определяют значение средней плотности связанной жидкости, которое равно отношению коэффициентов .
При этом образцы формуют преимущественно цилиндрической формы с начальным диаметром 40÷60 мм и длиной 1,5÷2,0 от начального диаметра. В процессе сушки прочность на сжатие образцов целесообразно определять 6÷8 раз. Прочность на сжатие средней части образцов определяют путем деления разрушающей нагрузки на площадь сечения образца через интервал влагосодержания, равный 0,2÷0,5 кг/кг.
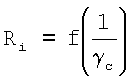
Значение начального влагосодержания определяют условиями формования. При Wiн торф не формуется из-за отсутствия связности между частицами, а при Wi>Wн торфяной кусок не сохраняет форму, растекается. Значение Wн можно уменьшить, если увеличить дисперсность или повысить температуру формования (Афанасьев А.Е. Структурообразование коллоидных и капиллярно-пористых тел при сушке: МОНОГРАФИЯ / А.Е.Афанасьев. Тверь: ТГТУ, 2003. С.120 (рис.8.11), С.123 (рис.8.12); Лиштван И.И. Физико-химические основы технологии торфяного производства / И.И.Лиштван, А.А.Терентьев, Е.Т.Базин, А.А.Головач. Мн.: Наука и техника, 1983, с.193-200, рис.7.23, 7.25, 7.26, 7.27).
Количество образцов выбирают таким образом, чтобы в каждом периоде структурообразования (i=1,2) было не менее 3-4, а всего 6-8 точек (значений характеристик), которые позволяют с допустимой погрешностью ~10% получить значения угловых коэффициентов ci, I при коэффициентах корреляции R2=0,68-0,98 для зависимости (фиг.1) и R2=0.59-0.97 для зависимости (фиг.2). Это обстоятельство и определяет интервал влагосодержания .
Графики строят для уточнения периодов структурообразования, т.е. определения их границ (точка Wc, фиг.1 и , фиг.2.2), что соответствует требованиям С.С.Корчунова, впервые установившего периоды структурообразования (Корчунов С.С Исследование физико-механических свойств торфа / С.С.Корчунов: сб. статей. М.-Л.: ГЭИ. Труды, ВНИИТП, вып.12, 1953, с.65. рис.16, 17; С.68, рис.23), и подтвержденных в широком интервале температур, в работе (Афанасьев А.Е. Оптимизация процессов сушки и структурообразования в технологии торфяного производства / А.Е.Афанасьев, Н.В.Чураев. М.: Недра, 1992, С.98, рис.3.1, С.134, рис.4.3; С. 288, рис.5.9).
Обработка экспериментальных данных, представленных на чертежах позволила получить уравнения, описывающие процесс изменения прочности от влагосодержания с угловыми коэффициентами I и обратной плотностью сухого вещества торфа с угловыми коэффициентами ci(i=1,2). Отношение этих коэффициентов и дает значение плотности жидкости в коллоидных и капиллярно-пористых телах, подверженных процессам структурообразования при различной температуре, дисперсности и пористости материала, из которого получена продукция. Поэтому учесть влияние изменяющейся структуры тел на плотность сорбированной влаги пористых тел другим путем в настоящее время не представляется возможным.
Выбор образцов цилиндрической формы обусловлен наименьшим контактом их с подстилающей влажной торфяной залежью, на которой производится сушка торфа, по сравнению с омегообразной и призматической формой и надежностью в определении прочности кусков на сжатие. Прочность на сжатие определяется 6÷8 раз, по 3÷4 раза в каждом из периодов структурообразования, что обеспечивает достаточную точность расчета угловых коэффициентов ci и i, при соответствующем представительном интервале влагосодержания образца.
Таким образом, за счет оценки операций структурообразования в трехфазном материале акцентируется жидкая фаза, взаимодействующая с твердой дисперсной фазой (подложкой) и газом, изменяющих сорбционные и фильтрационные свойства при различной температуре материала, обеспечивающих определение плотности жидкости.
Способ определения средней плотности связанной жидкости коллоидных и капиллярно-пористых тел поясняется следующими иллюстрациями, где:
на фиг.1 представлена зависимость изменения логарифма прочности Ri в зависимости от влагосодержания при различной температуре Т(К) сушки (1 – при Т=293К, 2 – при Т=303К, 3 – при Т=323К, 4 – при Т=343К в первом (i=1) и в 2-м (i=2) периодах структурообразования;
на фиг.2 – то же, что и на фиг.1, но в зависимости от обратной плотности сухого вещества торфа;
– на фиг.3 – зависимость плотности жидкости ж от температуры Т (для тех же образцов торфа и той же температуры (фиг.1 и 2) для первого (графики 3.3) и второго (график 4) периодов структурообразования в сравнении с плотностью о свободной воды.
Способ определения средней плотности связанной жидкости коллоидных и капиллярно-пористых тел осуществляется следующим образом.
Берут любой влажный торф, стандартным методом доводят до первоначального влагосодержания, формуют образцы цилиндрической формы. Далее торф взвешивают, определяют объем Vi каждого из образцов и сушат, при различной температуре не выше 343-348°К до равновесного влагосодержания. В процессе сушки многократно определяют прочность Ri на сжатие средней части образцов делением разрушающей нагрузки F на сечение S образца через определенный интервал влагосодержания и рассчитывают плотность сухого вещества. Затем строят графические зависимости логарифма прочности Ri в функции обратной плотности сухого вещества торфа и логарифм прочности в функции влагосодержания с соответствующими угловыми коэффициентами линейных участков периодов структурообразования: ci и i (i=1,2). Отношение коэффициентов дает среднее значение плотности ж связанной жидкости при определенной температуре. Строят зависимость плотности жидкости от температуры материала и определяют среднюю плотность связанной жидкости.
В качестве коллоидного капиллярно-пористого тела брали пушициево-сфагновый торф со степенью разложения RT=20 25%, переработанный один раз в шнековом устройстве. Формовали методом экструзии цилиндрические куски с начальным диаметром dн=40 мм и длиной l=50 мм, взвешивали на лабораторных весах с погрешностью до 0,1 г, определяли объем V каждого из кусков и сушили по 8 образцов. Сушка велась в сушильном термостате от начального до равновесного влагосодержания при температуре 1-Т=243К 42-Т=303,3-Т=333,4-Т=343К кг при относительной влажности воздуха =(50 60)%. В процессе сушки на лабораторном прессе определяли прочность на сжатие средней части образцов длиной l=(1.0 1.5)·di, (i – означает текущее значение параметра) делением разрушающей нагрузки F=f·k на сечение S образца через интервал влагосодержания по формуле

где – постоянная прибора (соответствует жесткости пружины тензопресса),
k – показания часового индикатора тензопресса, дел,
S – площадь поперечного сечения, м2.
Далее рассчитывают плотность c вещества, ;

где mc – масса сухого вещества во влажном торфе, определяют по формуле

где mн, Wн – соответственно начальные значения массы и влагосодержания образца,
Vi – текущее значение объема образца, м3.
Находили обратные значения плотности сухого вещества и строили графические зависимости логарифма прочности Ri в функции обратной плотности сухого вещества торфа, 
и логарифм прочности Ri в функции влагосодержания W, (фиг.1 и 2). Получали ломаную прямую с точкой перегиба линейных участков и Wc, разделяющих процесс структурообразования (сушки) на два периода (i=1,2):i=1 – первый период: от начального влагосодержания  i=2 – второй период: от до равновесного влагосодержания 
Далее определяли угловые коэффициенты линейных участков первого (i=1)

и второго (i=2)

периодов структурообразования, где
lnR1, lnR2 – перепады логарифма прочности соответственно, в первом и втором периодах структурообразования,
Wi – перепады обратной плотности сухого вещества и влагосодержания в первом (i=1) и втором (i=2) периодах структурообразования.
Находили отношение этих коэффициентов, определяющих соответственно среднюю плотность жi связанной жидкости в первом (i=1)

и, втором (i=2)

периодах структурообразования при соответствующей температуре Т сушки торфа. Для других значений Т опыт повторяли аналогично.
Строили графики зависимости плотности жидкости жi от температуры Т для каждого из периодов структурообразования (фиг.3).
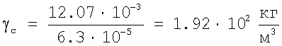
1. Оказалось, что средняя плотность жидкости имеет максимум, причем в первом периоде (i=1) ж1=1.16·103, а во втором (i=2) ж2=1.32·103 , при Tм=308-313K, которые отличаются от максимальной плотности свободной воды при Tc=277.14К (Горная энциклопедия/Гл. ред. Е.А.Козловский. М.: Сов. Энциклопедия. T.1, 1984. С.396-399). Причем, при T 343 348К, обе зависимости м=f(T) (фиг.3, графики 3, 4) сливаются в один (график 3 ), из-за исключения водородных H связей в процессе структурообразования.
2. Для других материалов, например, глин значения ж колеблются от 0.9·103 до Причем для прочносвязанной воды , что соответствует данным для торфяных систем при i=2 с физико-химической прочносвязанной формой связи влаги (Российская угольная энциклопедия. В.3 т. T.1 (А-И). М.-СПб.: Изд-во СПб картографической фабрики ВСЕГЕИ, 2004. С.249-250).
Процессы структурообразования при сушке коллоидных каппилярно-пористых тел, являются единой термодинамической системой и находятся во взаимодействии на различных стадиях процесса сушки. Поэтому оценка прочности Ri тел в зависимости от влагосодержания W и позволила разработать способ и установить изменение средней плотности жидкости ж=(T), которая ранее была неизвестна для торфяных и других материалов с подобной структурой.
Способ может быть использован в технологических процессах управления качеством продукции при сушке и переработке коллоидных и капиллярно-пористых тел с позиции изменения их сорбционно-фильтрационных свойств.
Пример 1.
В качестве коллоидного капиллярно-пористого тела брали пушицево-сфагновый торф, степенью разложения RT=20 25%, один раз перерабатывали его в шнековом устройстве, затем формовали образцы цилиндрической формы.
Замеряли начальный диаметр в 3x направлениях: d1=40.1; d2=40.0; d3=40.1 мм. После чего находили средний диаметр:

Далее замеряли длину образца по 2-м направлениям:
l1=50.5, l2=49.7 мм и определяли среднюю длину: с погрешностью ±0.1 мм. Находили объем V образца: 
Взвешивали образец (с погрешностью 0,1 г), mH=67.0 г=67·10-3кг.
Определяли влагосодержание WH образца стандартным методом (сушкой торфа в сушильном шкафу при температуре 105÷110°С) и рассчитывали по формуле , где
mв=m1-m2 – масса образца до (m1) и после (m2) сушки, кг (в);
mc – масса сухого вещества торфа, кг (сух.);
.
Находили массу сухого вещества по формуле (3)
.
Рассчитывали плотность сухого вещества по формуле (2)
.
Данные операции повторяли для других 7 образцов.
По мере высушивания образцов определяли их текущее влагосодержание по формуле , где mi – текущее значение массы i-го образца, например,
mi=40·10-3 кг, mci – масса сухой части каждого образца, измеряется один раз до сушки по формуле (3).
Определяли прочность на сжатие Ri каждого из 8-ми образцов по мере их подсыхания по формуле (1). Так при  , , показания индикатора часового типа k составили k=28 делений, тогда

Находили логарифм прочности образца от ,
lnRi=5.4.
Те же операции проводили и с другими образцами при различном влагосодержании. После чего строили график зависимости lnRi=f(Wi) при Т=293К (фиг.1, график 1). Затем проводили сушку образцов при других температурах: 303, 333, 343К (фиг.1, графики 2, 3, 4). Выделяли периоды структурообразования на графиках: 1, 2, 3, т.е. находили точку перегиба Wc. К первому периоду относится процесс структурообразования при изменении влагосодержания от Wн до Wc (i=1), ко второму – при изменении влагосодержания от Wc до равновесного Wравн (i=2).
T 343K образуется один период структурообразования (i=1, график 4) в связи с исчезновением водородных связей при Т=343К.
Находили угловые коэффициенты i линейных участков для Т=293К (фиг.1, график 1) для первого структурообразования, которые получаются как коэффициенты, стоящие перед параметром x (компьютерная обработка данных по программе Microsoft Excel) в уравнениях: y1=-0.9546х+7.449, y2=-2.7304х+8.8434, при коэффициентах корреляции , соответственно, угловые коэффициенты составили: 1=0.95, знак «минус» опускается.
Данные операции определения i повторяли для других Т=303, 323, 343К. Данные заносили в таблицу 1, N п/п 1, 2.
Для определения коэффициентов c1 c2 в формулах (6) и (7) строили зависимость логарифма прочности ln Ri от обратной плотности сухого вещества. при Т=293К.
Пример 2.
Использовали тот же пушицево-сфагновый торф с теми же характеристиками образцов.
Находили объем образца влагосодержанием :

Определяли плотность образца при mi=40·10-3 кг;

Находили плотность c сухой части образца, по формуле

и его обратную плотность, составляющую:

Принимали значение логарифма прочности из приведенного выше значения 
lnRi=5.4; рассчитывали остальные значения и брали с фиг.1 соответствующие величины lnRi.
Строили график зависимости при Т=293К (фиг.2, график 1).
Данные операции повторяли для других температур: 303, 333, 343К. Выделяли периоды структурообразования (находили точку перегиба ), от  нач до с (i=1) и от с до равн. (i=2).
При Т=343К образуется один период структурообразования (i=1, график 4, фиг.2).
Находили угловые коэффициенты ci линейных участков для Т=293К (фиг.2, график 1) для первого и второго периодов структурообразования, которые получаются как коэффициенты, стоящие перед параметром x (компьютерная обработка данных по программе Excel) в уравнениях:
y1=(-1.0254x+8.5236)·103, y2=(-3.17002х+12.31)·103 при коэффициентах корреляции и соответственно угловые коэффициенты составили:

Повторяли эти операции для других значений температуры. Коэффициенты корреляции уравнений возрастают до R2=0.98.
Данные заносили в таблицу 1, п/п 3, 4.
Определяли плотность жидкости по формулам (6) и (7) при различных температурах: Т=293К,  затем получали плотность жидкости при других температурах. Полученные значения заносили в таблицу 1, п/п 5, 6.
Для других материалов с подобной структурой, например, глин расчет средней плотности жидкости проводили по обозначенной схеме.
Следовательно, для коллоидных капиллярно-пористых тел максимальная плотность жидкости для торфа меняется от 1.16·103 (i=1) до 1.32·103 (i=2), а для глин от 1.2·103 до . Причем для первого (i=1) периода структурообразования эти значения ниже, чем для второго, которые отличаются от максимальной плотности свободной воды при Тc=277.14К.
В настоящее время способ определения средней плотности связанной жидкости коллоидных и капиллярно-пористых тел находится на стадии опытно-лабораторных испытаний.
Формула изобретения
1. Способ определения средней плотности связанной жидкости коллоидных и капиллярно-пористых тел, характеризующийся тем, что влажный торф перерабатывают в шнековом устройстве с последующим доведением его до начального влагосодержания WH=(4,6÷5,3)кг/кг, после чего формуют образцы из торфа, определяют объем каждого образца и сушат их при температуре не выше 343-348К до равновесного влагосодержания, при этом в процессе сушки определяют прочность на сжатие средней части образцов через интервал влагосодержания от 0,2 до 0,5 кг/кг, далее рассчитывают массу сухого вещества по формуле
, где mc – масса сухого вещества, mH – начальное значение массы торфа, WH – начальные значения влагосодержания торфа и плотность сухого вещества, после чего строят графические зависимости логарифма прочности Ri в функции обратной плотности сухого вещества торфа и логарифм прочности Ri в функции влагосодержания W с соответствующими угловыми коэффициентами линейных участков графической зависимости периодов структурообразования ci и i (i=1,2), где ci – угловой коэффициент зависимости соответствующего участка прямой (i=1,2),
i – угловой коэффициент зависимости InRi=f(W) соответствующего участка прямой (i=1,2), по результатам графических зависимостей определяют значение средней плотности связанной жидкости, которое равно отношению коэффициентов .
2. Способ по п.1, отличающийся тем, что образцы формуют цилиндрической формы с начальным диаметром 40÷60 мм и длиной 1,5÷2,0 начальных диаметра.
3. Способ по п.1, отличающийся тем, что в процессе сушки прочность на сжатие образцов определяют 6÷8 раз.
4. Способ по п.1, отличающийся тем, что прочность на сжатие средней части образцов определяют путем деления разрушающей нагрузки на площадь сечения образца через интервал влагосодержания, равный 0,2÷0,5 кг/кг.
РИСУНКИ
|