|
(21), (22) Заявка: 2008151483/28, 25.12.2008
(24) Дата начала отсчета срока действия патента:
25.12.2008
(46) Опубликовано: 27.01.2010
(56) Список документов, цитированных в отчете о поиске:
ГОСТ Р 8.595-2004 «Государственная система обеспечения единства измерений. Масса нефти и нефтепродуктов. Общие требования к методикам выполнения измерений». RU 2299405 С1, 20.05.2007. RU 2215676 С1, 10.11.2003. RU 2033597 С1, 20.04.1995. ЕР 0939306 А1, 01.09.1999. US 4798092 A2, 17.01.1989.
Адрес для переписки:
141070, Московская обл., г. Королев-центр, а/я 47, ЗАО “НТФ НОВИНТЕХ”
|
(72) Автор(ы):
Галкин Александр Сергеевич (RU), Лакеев Андрей Иванович (RU), Цветков Игорь Вениаминович (RU)
(73) Патентообладатель(и):
Закрытое акционерное общество “НТФ НОВИНТЕХ” (RU)
|
(54) СПОСОБ ДЛЯ ИЗМЕРЕНИЯ МАССЫ ЖИДКОГО ПРОДУКТА В РЕЗЕРВУАРЕ
(57) Реферат:
Изобретение относится к измерительной технике и может быть использовано в системах измерения массы нефтепродуктов и других жидкостей, в том числе взрывоопасных, при их отпуске, приеме и хранении. Сущность: способ измерения массы жидкого продукта в резервуаре, позволяющий производить товарные операции приема, отпуска и хранения продукта с нормированной погрешностью, заключается в том, что рассчитывают рекомендуемую минимальную величину массы приема или отпуска продукта, а при хранении минимально допустимую массу и уровень продукта в резервуаре, уменьшение которого приведет к недопустимой величине погрешности, с последующим проведением товарной операции приема/отпуска продукта и контролем полученного результата во время проведения товарной операции и после ее выполнения. Технический результат: оперативный динамический контроль погрешности измерений массы продукта. 1 ил.
Изобретение относится к области измерительной техники и может быть использовано в системах измерения массы нефтепродуктов и других жидкостей, в том числе взрывоопасных, при их отпуске, приеме и хранении.
Все измерительные устройства и системы работают с определенными погрешностями.
В связи с этим действующими государственными стандартами оговариваются пределы допустимой погрешности измерений массы, обеспечивающие достоверность измерений и позволяющие осуществлять учет продукта при хранении, приеме и отпуске с требуемой точностью.
Известно множество устройств, использующих различные способы измерений, позволяющие измерять массу жидкого продукта в резервуаре. Хороший обзор средств измерений для нефтяной промышленности представлен в книге «Ресурсосберегающий сервис нефтепродуктообеспечения», авторы Е.И.Зоря, В.И.Зенин, Щ.В.Никитин, А.Д.Прохоров, изд. «Нефть и газ», Москва, 2004 г. Но все упоминаемые устройства не позволяют в процессе хранения, приема и отпуска продукта контролировать соблюдение требований по величине погрешности измерений.
Известен способ учета топлива на автозаправочной станции и устройство для его осуществления по патенту RU 2299405, G01F 9/00, от 24.05.2006 г. Указанный патент может быть использован для учета топлива, поставляемого на автозаправочную станцию. Описанный способ и устройство предназначено для массового расхода топлива из резервуара через раздаточные колонки и производит учет принятого и отпущенного топлива. Следует отметить, что исходные данные для правильной работы указанного способа, а именно плотность топлива, уровень и его масса в резервуаре при сравнении после ряда отпусков берется из измерительной системы резервуара, например «СТРУНА», как отмечается в описании указанного способа. Если прием или отпуск из резервуара осуществляется без учета возможных погрешностей измерений, то на этапе учета при сравнении результатов данной операции с результатами отпуска через раздаточные колонки возможно существенное расхождение, т.е. данный способ и устройство на его основе не совершенны, т.к. не учитывают величины погрешности измерений.
Методика измерений массы и погрешностей измерений хорошо изложена в книге «Автоматизированный учет нефти и нефтепродуктов при добыче, транспорте и переработке», авторы А.Ш.Фатхутдинов, М.А.Слепян, и др. Москва, Недра, 2007 г. и книге «Контроль количества и качества нефтепродуктов» под ред. профессора Новоселова, Москва, Недра, 1995 г. В этих источниках изложены методики измерений массы и определения погрешности измерений, но нет описания способов для контроля соблюдения требований по величине погрешности измерений.
Очень хорошо изложены методики по учету нефтепродуктов в книге «Коммерческий учет товарных потоков нефтепродуктов автоматизированными системами», авторы А.Г.Годнев, Е.И.Зоря, Д.А.Несговоров, Н.В.Давыдов, «МАКС Пресс», Москва, 2008 г. В этой книге дана краткая характеристика современных представлений метрологии, понятие о средствах измерений, кратко изложена теория погрешностей, приведены основные методы измерений количества нефтепродуктов при приемосдаточных операциях.
Как отмечается в данной книге (на стр.125), «Учет потребляемых энергетических ресурсов осуществляется в соответствии с установленными государственными стандартами и нормами точности измерений.
Вопрос о точности учета решен однозначно основополагающим документом (ГОСТ Р.8.595).
На практике нерешенной методической проблемой остается также отсутствие во взаимоотношениях Поставщиков и Потребителей и при проведении инвентаризации на нефтебазах единообразных правил учета погрешностей измерений».
Наиболее полно методы измерений и определение величины погрешности измерений, как отмечалось выше, изложены в Государственном стандарте ГОСТ Р 8.595-2004 «Государственная система обеспечения единства измерений. Масса нефти и нефтепродуктов. Общие требования к методикам выполнения измерений», который рассматривается в качестве прототипа на предлагаемый способ измерений.
Методы расчета, изложенные в ГОСТ Р 8.595-2004, позволяют определить величину погрешности, но этот процесс очень трудоемкий и не позволяет получить минимального уровня и массы продукта при хранении и минимальных изменений массы при приеме и отпуске продукта, которые обеспечивают соблюдение заданной погрешности измерений.
Задачей, на решение которой направлено изобретение, является создание способа, который позволяет в процессе работы при выполнении товарных операций хранения, приема и отпуска продукта осуществлять оперативный динамический контроль погрешности измерений массы продукта и выдавать рекомендации по величине минимального допустимого уровня и массы при хранении продукта и величины минимального изменения массы при приеме и отпуске продукта, позволяющие обеспечивать необходимую точность проведения товарной операций.
Предметом изобретения является способ измерения массы жидкого продукта в резервуаре, позволяющий производить товарные операции приема, отпуска и хранения продукта с нормированной погрешностью, заключающийся в том, что для обеспечения заданной величины погрешности измерения массы при приеме и отпуске рассчитывают рекомендуемую минимальную величину массы при приеме или отпуске продукта, а при хранении минимально допустимое значение уровня и массы продукта в резервуаре, с последующим контролем полученного результата во время и после выполнения операции, для чего с помощью датчиков уровня, плотности и температуры измерительной системы резервуара с учетом градуировочных таблиц резервуара и его физических параметров определяют массу продукта в резервуаре и погрешность измерения массы, далее производят компьютерное моделирование приема или отпуска продукта, а также его хранения, с расчетом погрешности измерений через 1 мм высоты изменения уровня продукта, при достижении значения погрешности измерения ниже заданной величины расчет прекращают и фиксируют рекомендуемое значение минимальной массы приема или отпуска, а также минимальное значение уровня и массы продукта в резервуаре в режиме хранения, уменьшение которых приведет к недопустимой величине погрешности, указанные параметры выводят на монитор оператора, далее производят товарную операцию приема или отпуска продукта не менее рекомендованной величины и с соблюдением рекомендации по последующему хранению, во время выполнения товарной операции осуществляют измерение уровня, плотности и температуры продукта в резервуаре, циклически рассчитывают его массу и погрешность измерений массы продукта, сравнивают ее с заданной величиной, а полученные результаты измерений и расчета выводят на монитор оператора, по завершении товарной операции приема или отпуска продукта осуществляют измерение уровня, плотности и температуры продукта в резервуаре, рассчитывают его массу и производят расчет реальной погрешности измерений, сравнивают ее с заданной величиной, результаты измерений и расчета выводят на монитор оператора и передают в систему коммерческого учета.
Следует отметить, что величина шага итерации при моделировании 1 мм обусловлена точностью измерения уровня используемой измерительной системы (измерительная система «СТРУНА», которая на сегодняшний день является одной из наиболее точных стационарных измерительных систем).
Техническим результатом является получение в процессе проведения товарных операций приема, отпуска, а также при хранении продукта величины погрешности измерений массы продукта, не превышающей заданную величину, рекомендуемых значений минимального допустимого уровня при хранении продукта и минимального изменения массы при приеме и отпуске продукта, при выполнении которых обеспечивается соблюдение требований по величине погрешности измерений как в процессе приема или отпуска, так по его завершении, а результаты выводятся на устройство отображения для удобства работы оператора и передаются в систему коммерческого учета.
На чертеже схематично представлен алгоритм способа для измерения массы жидкого продукта в резервуаре.
Как видно из чертежа, последовательность действий при осуществлении способа измерений массы продукта в резервуаре следующая:
– после начала работы производят считывание градуировочных таблиц резервуара, считывание из используемой измерительной системы параметров уровня, плотности и температуры продукта;
– производят компьютерное моделирование приема или отпуска продукта, а также его последующего хранения с расчетом погрешности измерений через 1 мм высоты изменения уровня продукта;
– при достижении величины погрешности измерений менее допустимой расчет останавливают, фиксируют полученный результат и выдают оператору рекомендуемое значение минимальной дозы приема или отпуска, а также минимально допустимое значение количества продукта в резервуаре в режиме хранения;
– далее выполняется товарная операция по приему или отпуску продукта в соответствии с рекомендациями, т.е. производится прием или отпуск продукта не менее рекомендованной величины;
– в процессе товарной операции приема или отпуска производят циклический расчет и вывод на визуальный интерфейс значений массы продукта и величины погрешности измерений (цикличность означает повторные измерения во времени как до операции приема/отпуска, во время процесса приема/отпуска, так и после нее, что отражено в примере реализации, периодичность повторения устанавливается оператором в зависимости от условий эксплуатации резервуара);
– по завершении товарной операции приема или отпуска производится измерение массы принятого или отпущенного продукта и величины реальной погрешности, передача информации на монитор оператора и в систему коммерческого учета. Это позволит системе коммерческого учета внести соответствующие поправки в систему отчетности, если по каким-либо причинам товарную операцию выполнить с заданной погрешностью не удалось (например, недостаточное количество продукта при приеме или отпуске).
В процессе расчета используют настроечные параметры, включающие в себя значение допускаемой относительной погрешности измерений массы, заданное оператором, но не превышающее установленное государственными стандартами, необходимые технологические константы (параметры) продукта, резервуара и измерительной системы, а также погрешности градуировки резервуара и измерительных каналов системы.
Соблюдение рекомендуемых значений позволяет избежать ошибок при хранении, приеме и отпуске продукта в части превышения допустимых значений погрешности измерений.
Наличие контроля в процессе проведения товарной операции позволяет оператору в случае необходимости изменить количество принимаемого или отпускаемого продукта с учетом погрешности измерений массы как для обеспечения необходимой погрешности измерений, так и при возникновении нештатных ситуаций.
Следует отметить, что в систему коммерческого учета поступают реальные данные, которые могут отличаться от значений, смоделированных компьютером. Это связано с тем, что вновь поступающий продукт может отличаться по плотности от ранее находящегося в резервуаре и по другим причинам. На эти предполагаемые отклонения вводятся поправки, и рекомендуемые минимальные значения массы продукта при приеме/отпуске даются с некоторым запасом для гарантирования конечного результата.
Способ для измерения массы жидкого продукта в резервуаре может быть реализован с использованием измерительного устройства или системы, измеряющей уровень, плотность и температуру продукта в резервуаре, устройства динамического контроля погрешности измерений, выполненного на микропроцессоре, и устройства отображения, которое может быть как самостоятельным конструктивным элементом, так и объединяться с дисплеем измерительной системы или выводиться на дисплей ПЭВМ (ПЭВМ – персональная электронно-вычислительная машина (компьютер)) (в случае его использования).
Пример реализации способа для измерения массы жидкого продукта в резервуаре представлен в виде расчета и сравнения полученных результатов с величиной заданной погрешности для нефтепродуктов (НП) в стальном резервуаре при использовании системы измерительной «СТРУНА» (СИ) с подключенным к ней устройством динамического контроля погрешности измерений, изготовленного на базе предлагаемого способа измерений массы жидкого продукта в резервуаре. В основу расчета приняты методики ГОСТ 8.595-2004, адаптированные для указанной выше СИ.
Параметры уровня, плотности и температуры от датчиков СИ, расположенных в резервуаре, поступают из измерительной системы в устройство расчета массы и динамического контроля погрешности измерений, где производят их обработку.
1. Объем НП рассчитывают по формуле:

где V20i – объем НП в резервуаре на измеряемом уровне Нi, определяемый по градуировочной таблице резервуара, составленной при температуре 20°С, м3;
ст – температурный коэффициент линейного расширения материала стенки резервуара (из паспорта на резервуар), для стали ст=12,5·10-6 1/°С;
Тст – температура стенки резервуара, принимаемая равной температуре НП в резервуаре tср.i, °С.
2. Массу НП в режиме хранения рассчитывают по формуле:

где ср.i – средняя плотность НП, измеренная ИС;
Vi – объем НП, определенный по формуле (1).
Примечание: при снижении уровня НП ниже точки расположения нижнего плотномера срi определяется путем пересчета по МИ 2632-2001 (МИ 2632-2001 Государственная система обеспечения единства измерений. Плотность нефти и нефтепродуктов и коэффициенты объемного расширения и сжимаемости. Методы и программа расчета) введенных значений плотности и температуры пробы пр.i и tпр.i к температуре tср.i.
3. Массу отпущенных (или принятых) НП рассчитывают по формуле:

где mi – масса НП в начале операции приема (отпуска) НП, кг;
mi+1 – масса НП в конце операции приема (отпуска) НП, кг.
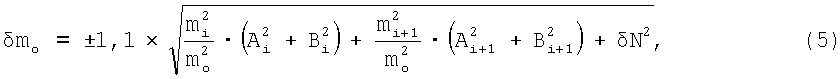
4. Погрешность измерений массы вычисляют по формулам:
а) для режима хранения НП

б) для режима приема/отпуска НП

где 



где К – относительная погрешность составления градуировочной таблицы для резервуара, %;
Тр – абсолютная погрешность измерений температуры НП при измерении плотности ареометром или переносным автоматическим плотномером, °С;
N – относительная погрешность вычислений, %;
– коэффициент объемного расширения продукта (определяется по МИ 2632-2001), 1/°С;
 – относительная погрешность измерений плотности НП, %,
вычисляется по формуле:

где  – абсолютная погрешность измерений плотности НП:
ср – средняя плотность НП в резервуаре, кг/м3;
H – относительная погрешность измерений уровня НП в резервуаре, %

где Н- уровень НП в резервуаре, мм;
Н – погрешность измерений уровня НП в резервуаре, мм,
вычисляется по формуле:

где НИС – абсолютная погрешность ИС при измерении уровня, мм;
L0 – абсолютная погрешность рулетки или метроштока при введении поправки, мм;
LM – абсолютная погрешность метода измерений уровня принимается равной 1,5 мм.
G – коэффициент, вычисляется по формуле:

где – коэффициент объемного расширения НП (определяется по МИ 2632 -2001), 1/°С;
Tv – температура НП в резервуаре равна tCpi, °C;
ТР – температура НП при измерениях плотности, °С.
Кф – коэффициент, учитывающий геометрическую форму меры вместимости, вычисляют по формуле:

где V20 – объем НП, приходящийся на 1 мм высоты наполнения резервуара на измеряемом уровне наполнения Н, м3/мм;
V20 – объем НП в резервуаре на измеряемом уровне Н.
При расчете погрешности измерений массы НП принимают следующие значения:
 =1,0 (1,5) кг/м3 – плотности ИС (из паспорта);
 =0,5 кг/м3 – для ареометра;
 =0,5 (1,0) кг/м3 – для автоматического переносного плотномера (из паспорта);
K – из градуировочной таблицы резервуара;
N=±0,01%;
ТР=±0,5 (1,0)°С – для канала измерений температуры ИС (из паспорта).
5. Расчет минимального уровня НП для обеспечения пределов заданной относительной погрешности измерений массы НП при хранении (Hmin) производят следующим образом. В формулу (4) последовательно подставляют значения уровня Нi (с шагом 1 мм и вычисляют значение mi для каждого значения уровня Hi. Как только mi станет меньше заданной величины погрешности измерений, расчет заканчивают.
6. Расчет допустимого значения уровня НП для обеспечения пределов относительной погрешности измерений массы НП после завершения товарной операции отпуска (приема) НП (Hi+1) осуществляется следующим образом. Значение Hi увеличивается (при приеме) или уменьшается (при отпуске) с шагом 1 мм и рассчитывается mi+1 по формуле (2), m0 по формуле (3) и по формуле (5). Как только m0 станет меньше значения заданной погрешности, расчет заканчивают.
Полученные результаты вычислений в виде массы продукта, величины погрешности измерений массы и рекомендуемых значений минимального допустимого уровня и массы при хранении продукта и минимального изменения уровня и массы при приеме и отпуске продукта, обеспечивающие соблюдение требований по величине погрешности измерений, выводят на устройство отображения.
На предприятии-заявителе был изготовлен макет, который подключался к системе измерительной «СТРУНА». В качестве устройства отображения использовался дисплей ПЭВМ. Результаты испытаний полностью подтвердили правильность предлагаемого решения. В процессе испытаний отмечено удобство работы оператора при хранении, приеме и отпуске продукта.
Формула изобретения
Способ измерения массы жидкого продукта в резервуаре, позволяющий производить товарные операции приема, отпуска и хранения продукта с нормированной погрешностью, заключающийся в том, что для обеспечения заданной величины погрешности измерения массы при приеме и отпуске рассчитывают рекомендуемую минимальную величину массы при приеме или отпуске продукта, а при хранении минимально допустимое значение уровня и массы продукта в резервуаре, с последующим контролем полученного результата во время и после выполнения операции, для чего с помощью датчиков уровня, плотности и температуры измерительной системы резервуара с учетом градуировочных таблиц резервуара и его физических параметров определяют массу продукта в резервуаре и погрешность измерения массы, далее производят компьютерное моделирование приема или отпуска продукта, а также его хранения, с расчетом погрешности измерений через 1 мм высоты изменения уровня продукта, при достижении значения погрешности измерения ниже заданной величины расчет прекращают и фиксируют рекомендуемое значение минимальной массы приема или отпуска, а также минимальное значение уровня и массы продукта в резервуаре в режиме хранения, уменьшение которых приведет к недопустимой величине погрешности, указанные параметры выводят на монитор оператора, далее производят товарную операцию приема или отпуска продукта не менее рекомендованной величины и с соблюдением рекомендации по последующему хранению, во время выполнения товарной операции осуществляют измерение уровня, плотности и температуры продукта в резервуаре, циклически рассчитывают его массу и погрешность измерений массы продукта, сравнивают ее с заданной величиной, а полученные результаты измерений и расчета выводят на монитор оператора, по завершении товарной операции приема или отпуска продукта осуществляют измерение уровня, плотности и температуры продукта в резервуаре, рассчитывают его массу и производят расчет реальной погрешности измерений, сравнивают ее с заданной величиной, результаты измерений и расчета выводят на монитор оператора и передают в систему коммерческого учета.
РИСУНКИ
RH4A – Выдача дубликата патента Российской Федерации на изобретение
Дата выдачи дубликата: 05.05.2010
Наименование лица, которому выдан дубликат:
ЗАО “НТФ НОВИНТЕХ” (RU)
Извещение опубликовано: 20.06.2010 БИ: 17/2010
|