|
(21), (22) Заявка: 2008130464/28, 22.07.2008
(24) Дата начала отсчета срока действия патента:
22.07.2008
(46) Опубликовано: 27.01.2010
(56) Список документов, цитированных в отчете о поиске:
SU 62790 A1, 31.05.1943. SU 365572 A, 08.05.1973. JP 55 – 89715 A (TSURUMI PRECISION INSTR.), 07.07.1980. RU 2251080 С1, 27.04.2005. ЛОБАЧЕВ П.В. и др. Водомеры для водопроводов и канализаций. – М.: Изд.-во литературы по строительству, 1964, с.269-276, рис.180, 185.
Адрес для переписки:
400059, г.Волгоград, 59, ул. Изоляторная, 2, кв.89, А.М. Салдаеву
|
(72) Автор(ы):
Кизяев Борис Михайлович (RU), Салдаев Александр Макарович (RU), Конторович Игорь Иосифович (RU), Колобанова Нина Александровна (RU), Пахомов Александр Алексеевич (RU), Бородычев Виктор Владимирович (RU), Лытов Михаил Николаевич (RU), Салдаев Геннадий Александрович (RU)
(73) Патентообладатель(и):
Государственное научное учреждение “Всероссийский ордена Трудового Красного Знамени научно-исследовательский институт гидротехники и мелиорации имени А.Н. Костякова” Российской академии сельскохозяйственных наук (RU)
|
(54) РАСХОДОМЕР ЖИДКИХ СРЕД В ОТКРЫТЫХ ВОДОЕМАХ И ВОДОТОКАХ
(57) Реферат:
Изобретение может быть использовано для измерения на участках открытых водораспределительных каналов с перепадами местности, оборудованных перегораживающими и водосборными сооружениями. Расходомер содержит блок 1 измерения уровня жидкости, блок 2 измерения средней скорости потока жидкости, электронный блок приема и обработки сигналов. Блоки 1, 2 размещены между понтоном 3 и балластом 4. Блок 2 выполнен в виде смонтированных посредством осей 5-10 и дистанционных втулок шарнирных параллелограммных механизмов, между которыми посредством штанг 17, неподвижных 18 и подвижных муфт 19 установлены гидрометрические вертушки 20. В диаметральной плоскости корпуса каждой вертушки установлены постоянные ферромагниты, а в сквозных каналах каждой неподвижной муфты размещены нормально разомкнутые и/или нормально замкнутые магнитоуправляемые контакты. Блок 1 выполнен в виде двойного линейного реохорда. Балласт 4 для погружения и фиксации в донной части водоема или водотока блока 2 выполнен в виде емкости обтекаемой формы, соединенной с концами тяг 44, 45 параллелограммных механизмов и нижним концом каната 62 механизма 62, 63 подъема балласта, смонтированного на понтоне 3. Изобретение повышает точность и надежность водоучета на оросительных системах. 21 з.п. ф-лы, 10 ил.
Изобретение относится к сельскому хозяйству, к области водоизмерения и водоучета в гидромелиоративных, преимущественно на оросительных системах, и может быть использовано для целей коммерческого и/или технологического водоизмерения и водоучета на участках открытых водораспределительных каналов на ровных участках и с перепадами местности, оборудованных перегораживающими и водосборными сооружениями.
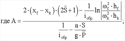
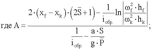
Известен способ определения расхода воды на открытом канале с призматическим руслом, включающий измерение глубины в двух створах измерительного участка канала, выполненного с обратным уклоном дна, и вычисление величины расхода по формуле:



– осредненные на рассматриваемом участке значения безразмерных величин и ;
хk и хf – расстояние между створами, в которых измеряются глубины, м;
В – ширина канала (мерного лотка) по дну, м;
– искомый расход, м3/с;
hk и hf – глубина воды в соответствующих створах k-k и f-f;
k и f – площади живого сечения в соответствующих створах k-k и f-f;
сk и cf – коэффициент Шези в створах k-k и f-f;
ioбp – обратный уклон дна канала («мерного лотка»);
а – коэффициент скорости, равный 1,1;
g – ускорение свободного падения, м/с2;
е – основание натурального логарифма;
Rk и Rf – гидравлические радиусы в створах k-k и f-f, м; первый по течению створ k-k располагают от затвора перегораживающего сооружения на расстоянии
lк-к=Hзатв,
где Нзатв – полная высота затвора, второй створ f-f располагают от перепада на расстоянии
lf-f=Нстр,
где Нстр – строительная высота измерительного участка, а измерения производят на образуемой между затвором и перепадом кривой подпора со сверхкритическим режимом течения; длину участка измерения выбирают из условия Lпр=(8÷12)·b, уклон дна из условия
0пр iкp/2,
где iкр – критический уклон при максимальном расходе,
а дно и откосы участка измерения выкладывают из материала с повышенной шероховатостью (RU, патент 2102707. С1. МПК6 G01F 1/00. Способ определения расхода воды на открытом канале с призматическим руслом / Ю.Г.Иваненко, В.Н.Щедрин, Н.Г.Иваненко, Г.Ф.Носова (RU). – Заявка 5034015/28; Заявлено 25.03.1992; Опубл. 20.01.1998).
К недостаткам описанного способа применительно к решаемой нами проблеме – снижение времени и трудозатрат на получение экспериментальных данных по установлению расхода путем получения отметок глубины водоема, водотока или канала и скорости течения жидкой среды – относятся наличие стационарного дорогостоящего гидротехнического сооружения, которое может функционировать только в одном месте. К тому же в описанном способе для получения расчетной величины требуются значения глубины канала, его ширины по дну, расстояние между створами, уклоны, величины скоростей течения в створах и др.
Известна конструкция гидрометрической вертушки модели ГР – 21 Н.Е.Жестовского, содержащая в цилиндрической полости корпуса ходовую часть вертушки, укрепленная стопорным винтом, расположенным сбоку корпуса. Ходовая часть состоит из оси с контактным механизмом, двух радиально-упорных шарикоподшипников, внутренней упорной втулки, наружной упорной втулки, осевой гайки, закрепляющей подшипник на оси гильзы с червячной втулкой, лопастного винта и зажимной муфты. Контактный механизм состоит из червячной шестерни с 20 зубцами, контактного штифта, контактной пружины, контактного винта и токопроводящего стержня, изолированного от массы и соединяющего контактную пружину с гнездом штепселя (см., например, Г.В.Железняков, Т.А.Неговская, Е.Е.Овчаров. Гидрология, гидрометрия и регулирование стока / Под. ред. Г.В.Железнякова. – М.: Колос, 1984. – 205 с., ил. – (Учебники и учеб. пособия для высш. с.-х. заведений)).
К недостаткам описанной гидрометрической вертушки модели ГР-21 относятся чрезмерное усложнение конструкции, низкая эксплуатационная надежность получаемых электрических сигналов, необходимость наличия штанги для фиксации, необходимость промера глубины канала, водоема, водотока, большое механическое сопротивление вращению лопастного винта. Это предопределяет высокий порог измерения начальной скорости – более 0,04 м/с, низкая точность измерений в диапазоне 0,1-2 м/с, а на больших скоростях течения ошибки в измерениях до 10% и более.
Известна гидрометрическая вертушка модели ГР-21 М, включающая корпус, лопастной винт, ось монтажного винта, шарикоподшипники, муфту зажимную, вертлюг, стабилизатор направления потока, винт стабилизатора, червячную пару: винт и шестерня, токопроводящий стержень, контактный штифт, контактный винт, контактную пружину, клеммы, проводники и средства крепления (см., например, В.И.Железко, В.К.Курсаков, Г.Н.Рудковская. Основы строительной климатологии и инженерной гидрологии: Лабораторный практикум. – Горки: Белорусская государственная сельскохозяйственная академия, 2007. – 108 с. – С.62-70, рис.9.1 или B.C.Алтунин, Т.М.Белавцева. Приборы и устройства в гидромелиорации: Справочник. – М.: Агропромиздат, 1989. – 303 с.: ил. – С.5-6, рис.1.1).
К недостаткам модернизированной гидрометрической вертушки модели ГР-21 М относятся низкая точность измерения скорости потока жидкости, отсутствие отметок глубины замера, необходимость в сменных лопастных винтах диаметрами 120 и 215 мм.
Известна гидрометрическая вертушка ГР-99, предназначенная для измерения скоростей течения воды как в отдельных точках, так и интеграционным способом на реках равнинного и горного типов с плавающих средств или с гидротехнических сооружений (мостик, люлька). Вертушку опускают в потоке на штанге или тросе. К штанге вертушку крепят двумя винтами, расположенными с тыльной части ее корпуса. Для работы на канатном подвесе она укомплектована вертлюгом и хвостовым оперением.
Гидрометрическая вертушка ГР-99 включает трехлопастную вертушку, корпус, ось, радиальные шарикоподшипники, изоляционные и распорные втулки, клеммы, стержень штепселя, упорную шайбу, постоянный магнит, магнитоуправляемый контакт, обойму и гильзу (B.C.Алтунин, Т.М.Белавцева. Приборы и устройства в гидромелиорации: Справочник. – М.: Агропромиздат, 1989. – 303 с.: ил. – С.6-7, рис.1.2).
К недостаткам описанной гидрометрической вертушки ГР-99 относятся низкое качество электрических сигналов, регистрирующих частоту вращения трехлопастного винта, большие габариты корпуса с шарикоподшипниковыми узлами, из-за размещения постоянного магнита с минимальным удалением от оси вращения не срабатывает магнитоуправляемый контакт.
Известен также измеритель скорости течения ИСТ-I-0,06-120/70, предназначенный для измерения средней за время наблюдения скорости водного потока. В него входят гидрометрическая вертушка ВГ-I-120/70, вычислитель ИСТ, стабилизатор и вертлюг. Вертушка ВГ-I-120/70 состоит из корпуса и сочлененных с ним ходового механизма и преобразователя и имеет два сменных двухлопастных винта. Преобразователь состоит из магнитоуправляемого контакта, помещенного в оправу сигнального провода, и двух постоянных магнитов. Магнитоуправляемый контакт соединен с вторичным прибором сигнальным проводом (см., например, B.C.Алтунин, Т.М.Белавцева. Приборы и устройства в гидромелиорации: Справочник. – М.: Агропромиздат, 1989. – 303 с.: ил. – С.7-9).
К недостаткам описанного измерителя скорости течения ИСТ-I-0,06-120/70, несмотря на наличие двух сменных двулопастных винтов с диаметрами 70 и 120 мм, двух постоянных магнитов и одного магнитоуправляемого контакта, относится низкая точность измерения скорости водяного потока.
Известен расходомер жидких сред в открытых водоемах, содержащий блок измерения уровня жидкости и блок измерения средней скорости потока жидкости, а также электронный блок приема и обработки сигналов, в котором блок измерения жидкости выполнен в виде поворотного рычага с поплавком сферической формы, погруженным в жидкость на глубину меньше величины радиуса сферы, причем чувствительный элемент измерения угла поворота поплавка изготовлен на основе микросхемы ADXL и закреплен на рычаге, при этом блок измерения скорости потока жидкости выполнен в форме поворотной лопасти, конец которой сопряжен с осью вертикального поворота, а другой конец свободно погружен в жидкость, в свою очередь, чувствительный элемент измерения угла поворота лопасти выполнен на основе второй аналогичной микросхемы типа серии ADXL и закреплен к лопасти (RU, патент 2251080. С1. МПК7 G01F 1/00. Расходомер жидких сред в открытых водоемах / С.Н.Зимин, В.Н.Кожин, А.Ф.Писарев, Н.В.Тингаев, В.В.Трофимов (RU). – Заявка 2003123875/28; Заявлено 30.07.2003; Опубл. 27.04.2005).
В описанном расходомере жидких сред в открытом водоеме, принятом нами в качестве наиближайшего аналога, заслуживает внимание то, что производится синхронная запись измерения скорости потока жидкости и уровня жидкости в водоеме. Однако описанное средство производит замеры только в верхнем слое потока воды, а не по всей высоте канала или водотока. Сущность заявленного изобретения заключается в следующем.
Задача, на решение которой направлено заявленное изобретение, – снижение времени и трудозатрат на получение экспериментальных данных по установлению глубины водоема, водотока или канала и скорости течения жидкой среды в поверхностных водоемах и водотоках.
Технический результат – повышение точности и надежности экспериментальных данных.
Указанный технический результат достигается тем, что в известном расходомере жидких сред в открытых водоемах и водотоках, содержащем блок измерения уровня жидкости, блок измерения средней скорости потока жидкости, электронный блок приема и обработки сигналов, согласно изобретению, он снабжен понтоном, балластом для погружения и фиксации в донной части водоема или водотока блока измерения средней скорости потока и механизмом подъема балласта, блок измерения уровня жидкости и блок измерения средней скорости потока жидкости размещены между понтоном и балластом, блок измерения скорости потока жидкости выполнен в виде параллельно смонтированных посредством осей и дистанционных втулок многократных шарнирных параллелограммных механизмов, ярусно установленных между парой многократных параллелограммных механизмов посредством штанг, неподвижных и подвижных муфт гидрометрических вертушек, имеющая возможность свободного вращения каждая гидрометрическая вертушка в виде корпуса с винтовыми лопастями установлена на цапфе штанги посредством шаровой опоры и подшипника скольжения, от осевого смещения корпус вертушки на цапфе штанги зафиксирован штифтом в кольцевой канавке цапфы, в диаметральной плоскости корпуса гидрометрической вертушки установлены постоянные ферромагниты, торцы которых установлены с зазором к торцевой поверхности неподвижной муфты, в сквозных каналах корпуса неподвижной муфты параллельно к ее торцевой плоскости размещены нормально замкнутые и/или нормально разомкнутые магнитоуправляемые контакты, а блок измерения уровня жидкости выполнен в виде двойного линейного реохорда, установленного подвижной частью и корпусом на концевых участках осей, соединяющих пары тяг и верхние плечи перекрещивающихся рычагов верхнего шарнирного параллелограмма, при этом общая глубина измерения водоема или водотока устанавливается расчетом по выражению:
Н=k·m·hi,
где Н – глубина водоема, м;
k – коэффициент пропорциональности;
m – количество шарнирных параллелограммов в многократном шарнирном параллелограммном механизме;
hi – средняя высота отметок на осциллограмме, мм;
каждая штанга выполнена из цапфы и полого профиля, соединенных штифтами в месте их сопряжения; цапфа штанги выполнена из коррозионно-стойкого материала, например из нержавеющей стали; неподвижная муфта размещена на резьбовом участке цапфы и зафиксирована гайками; корпус гидрометрической вертушки снабжен радиальным каналом с пресс-масленкой для подачи консистентной смазки в полость шаровой опоры и подшипника скольжения; каждая подвижная муфта имеет корпус с полостью и радиально ориентированные цапфы; каждая подвижная муфта имеет корпус с подшипником скольжения и радиально ориентированные цапфы; задний конец каждой штанги снабжен подвижным упором для ограничения перемещения подвижной муфты; балласт для погружения и фиксации в донной части водоема или водотока блока измерения средней скорости выполнен в виде имеющей обтекаемую форму емкости, средняя часть емкости снабжена кронштейном для соединения посредством цапф с нижними концами тяг многократного шарнирного параллелограммного механизма и нижним концом каната механизма подъема балласта; балласт имеет клапан для впуска и выпуска жидкости и воздуха в полость емкости, при этом клапан имеет снабженный возможностью вертикального перемещения подпружиненный шток, верхний и нижний фланцы с упругими прокладками, при этом упругие прокладки сопряжены с впускной и выпускной горловинами емкости; емкость балласта снабжена технологическим окном; в полости емкости балласта смонтированы направляющие штока; установленный в полости балласта упругий элемент размещен между верхней направляющей и диском, зафиксированным на резьбовом участке штанги; верхний конец штанги балласта гибкой связью соединен с кронштейном понтона; кронштейн балласта установлен с охватом емкости балласта; понтон выполнен в виде двух параллельно установленных полых емкостей обтекаемой формы с плоскими днищами, взаимно сопряженных балками жесткости, на которых посредством кронштейнов, оси подвеса и дистанционной втулки смонтирован блок измерения скорости потока жидкости; понтон имеет шарнирно установленный киль, рычаг управления которого зафиксирован на балке жесткости; на боковых поверхностях понтона нанесены ватерлинии, соответствующие положению верхней оси многократных шарнирных параллелограммных механизмов; механизм подъема балласта выполнены в виде лебедки, имеющий барабан с канатом и червячный редуктор с ручным приводом, при этом механизм подъема балласта смонтирован на понтоне, а свободный конец каната закреплен в кронштейне балласта; рабочий участок каната лебедки механизма подъема имеет U – образную форму и охватывает ярусно установленные штанги блока измерения; каждый многократный шарнирный параллелограммный механизм выполнен в виде пары перекрещивающихся двуплечих рычагов, имеющих общую ось, свободные концы перекрещивающихся рычагов шарнирами соединены с другой парой перекрещивающихся рычагов, а крайние концы перекрещивающихся рычагов соединены тягами, имеющими половину длины двуплечего рычага; многократные шарнирные параллелограммные механизмы взаимно сопряжены радиально ориентированными цапфами неподвижных и подвижных муфт с дистанционными втулками на них в точках сопряжении концов перекрещивающихся двуплечих рычагов, а в точках их пересечений – посредством общих осей и дистанционных втулок.
Изобретение поясняется чертежами.
На фиг.1 схематично изображен расходомер жидких сред в открытых водоемах и водотоках в рабочем положении, вид сбоку.
На фиг.2 – то же, вид спереди.
На фиг.3 – сечение А-А на фиг.2, диаметральный разрез гидрометрической вертушки, штанги и неподвижной муфты.
На фиг.4 – сечение Б-Б на фиг.3, поперечный разрез неподвижной муфты в плоскости размещения магнитоуправляемых контактов.
На фиг.5 – сечение В-В на фиг.1, поперечно-вертикальный разрез общих осей и дистанционных втулок соединения пар перекрещивающихся двуплечих рычагов многократных шарнирных параллелограммных механизмов.
На фиг.6 – сечение Г-Г на фиг.1, поперечный разрез подвижной муфты, ее радиально ориентированных цапф, дистанционных втулок и концов двуплечих перекрещивающихся рычагов блока измерения средней скорости потока жидкости.
На фиг.7 – сечение Д-Д на фиг.6, продольный разрез подвижной муфты, штанги и подвижного упора на свободном конце штанги.
На фиг.8 – сечение Е-Е на фиг.1, поперечное сечение емкости балласта в месте размещения клапана для впуска воды и выпуска воздуха из полости емкости.
На фиг.9 – сечение Ж-Ж на фиг.1, поперечное сечение емкости балласта в месте размещения кронштейна для связи с нижними тягами многократного шарнирного параллелограммного механизма.
На фиг.10 – сечение З-З на фиг.1, место размещения линейного реохорда блока измерения уровня жидкости на осях многократного шарнирного параллелограммного механизма.
Сведения, подтверждающие возможность реализации заявленного изобретения, заключаются в следующем.
Расходомер жидких сред в открытых водоемах и водотоках содержит блок 1 измерения уровня жидкости, блок 2 измерения средней скорости потока жидкости, электронный блок приема и обработки сигналов (см. фиг.1 и 2). В силу известности электронный блок приема и обработки сигналов и электрические цепи на представленных чертежах не показаны.
Расходомер жидких сред снабжен понтоном 3, балластом 4 для погружения и фиксации в донной части водоема или водотока блока измерения средней скорости потока и механизмом подъема балласта 4. Блок 1 измерения уровня жидкости и блок 2 измерения средней скорости потока жидкости размещены между понтоном 3 и балластом 4.
Блок 2 измерения скорости потока жидкости выполнен в виде пары параллельно смонтированных посредством осей 5, 6, 7, 8, 9 и 10 и дистанционных втулок 11, 12, 13 и 14 многократных шарнирных параллелограммных механизмов 15 и 16, ярусно установленных между парой многократных шарнирных параллелограммных механизмов 15 и 16 посредством штанг 17, неподвижных муфт 18 и подвижных муфт 19 гидрометрических вертушек 20.
Имеющая возможность свободного вращения каждая гидрометрическая вертушка 20 блока 2 измерения средней скорости потока жидкости в виде корпуса 21 из магнитонепроводящего материала с винтовыми лопастями 22 установлена на цапфе 23 штанги 17 посредством шаровой опоры 24 и подшипника скольжения 25 (см. фиг.3). От осевого смещения корпус 21 вертушки 20 на цапфе 23 штанги 17 зафиксирован штифтом 26 в кольцевой канавке 27 цапфы 23. В диаметральной плоскости корпуса 21 гидрометрической вертушки 20 блока 2 установлены ферромагниты 28. Корпус 21 гидрометрической вертушки 20 снабжен радиальным каналом с пресс-масленкой для подачи консистентной смазки в полость шаровой опоры 24 и подшипника скольжения 25.
Каждая штанга 17 выполнена из цапфы 23 и полого профиля 29. Цапфа 23 и профиль 29 в местах их сопряжения соединены штифтами 30. Цапфа 23 штанги 17 выполнена из коррозионно-стойкого материала, например из нержавеющей стали.
Каждая неподвижная муфта 18 (см. фиг.1-4) имеет корпус с полостью и радиально ориентированные цапфы 31 и 32. Неподвижная муфта 18 размещена на резьбовом участке 33 цапфы 23 и штанги 17 и зафиксирована гайками 34. Выступающие торцы ферромагнитов 28 установлены с зазором к торцевой поверхности неподвижной муфты 18 (см. фиг.3). Неподвижная муфта 18 установлена на цапфе 23 штанги 17 с возможностью фиксированного осевого смещения благодаря гайкам 34 на резьбовом участке 33. В сквозных каналах 35 (см. фиг.3 и 4) корпуса неподвижной муфты 18 параллельно к ее торцевой плоскости размещены нормально разомкнутые и/или нормально замкнутые магнитоуправляемые контакты 36. Последние электрически соединены с электронным блоком приема и обработки сигналов.
Каждая подвижная муфта 19 имеет корпус с подшипником 37 скольжения и радиально ориентированные цапфы 38 и 39 (см. фиг.1, 2, 5, 6, 7 и 9).
Задний конец каждой штанги 17 (см. фиг.1, 5 и 7) снабжен подвижным упором 40 со стопорным винтом 41 для ограничения перемещения подвижной муфты 19.
Каждый многократный шарнирный параллелограммный механизм 15 (16) выполнен в виде пары перекрещивающихся двуплечих рычагов 42 и 43, имеющих общую ось 6 (7, 8, 9). Свободные концы перекрещивающихся рычагов 42 и 43 шарнирами – цапфами 31 и 32 неподвижных муфт 18 и цапфами 38 и 39 подвижных муфт 19 – соединены с другой парой перекрещивающихся рычагов 42 и 43 тягами 44 и 45, имеющими половину длины двуплечего рычага 42 (43).
Многократные шарнирные параллелограммные механизмы 15 и 16 взаимно сопряжены радиально ориентированными цапфами 31, 32 и 38, 39 неподвижных муфт 18 и подвижных муфт 19, дистанционными втулками 46 на цапфах 31, 32 (см. фиг.3 и 7) неподвижных муфтах 18 и дистанционными втулками 47 и 48 на цапфах 38, 39 подвижной муфты 19 (см. фиг.5, 6, 7 и 9) в точках сопряжении концов перекрещивающихся двуплечих рычагов 42 и 43. В точках пересечения концов верхних и нижних двуплечих рычагов 42 и 43 пара механизмов 15 и 16 соединена осями 6, 7, 8 и 9 и дистанционными втулками 12, 13 и 14. Нижние концы тяг 44 и 45 с верхними концами двуплечих рычагов 42 и 43 соединены цапфами 31, 32 и 38, 39 соответственно муфт 18 и 19.
Верхние концы тяг 44 и 45 механизмов 15 и 16 размещены на оси подвеса 5 и зафиксированы на ней дистанционной втулкой 11, шайбами 49 и шплинтами 50 (см. фиг.10).
Нижние концы тяг 44 и 45 размещены на геометрической оси 10 и зафиксированы на ней шайбами 49 и шплинтами 50 (см. фиг.9).
Блок 1 измерения уровня жидкости выполнен в виде двойного линейного реохорда, установленного в герметичной емкости и электрически соединенного с электронным блоком приема и обработки сигналов. Блок 1 установлен подвижной частью – штоком 51 на оси подвеса 5. Шток 51 блока 1 установлен между левым кронштейном 53, шайбой 49, распорной втулкой 54, шайбой 49 и от осевого смещения зафиксирован шплинтом 50 на левом конце оси подвеса 5 (см. фиг.10). Основанием блок 1 смонтирован на оси 6 между парами перекрещивающихся рычагов 42 и 43 механизма 16, распорной втулкой 55, шайбой 49 и шплинтом 50 на конечном участке оси 6.
Ось 6 соединяет перекрещивающиеся рычаги 42 и 43 верхнего шарнирного параллелограмма. Общая глубина измерения водоема или водотока устанавливается расчетом по выражению:
Н=k·m·hi,
где Н – глубина водоема, м;
k – коэффициент пропорциональности;
m – количество шарнирных параллелограммов в многократном шарнирном параллелограммном механизме;
hi – средняя высота отметок на осциллограмме, мм.
Понтон 3 (см. фиг.1 и 2) выполнен в виде двух параллельно установленных полых емкостей с плоскими днищами и горловинами 55 для заполнения балластом, которые имеют обтекаемые формы, взаимно сопряжены балками 56 и 57 жесткости. На передней балке 56 жесткости посредством левого и правого кронштейнов 53, оси подвеса 5, дистанционной втулки 11 (см. фиг.10) смонтирован блок 2 измерения средней скорости потока жидкости.
Понтон 3 имеет шарнирно установленный киль 58 (см. фиг.1 и 2). Рычаг 59 управления киля 58 зафиксирован на задней балке 57 жесткости. На боковых поверхностях понтона 3 нанесены ватерлинии 60, соответствующие положению верхней оси 5 подвеса многократных шарнирных параллелограммных механизмов 15 и 16.
На понтоне 3 смонтирован механизм подъема балласта 4. Механизм подъема балласта 4 выполнен в виде лебедки, имеющей барабан 61 с канатом 62 и червячный редуктор 63 с ручным приводом (см. фиг.1 и 2). Свободный конец каната 62 закреплен в кронштейне 64 балласта 4 (см. фиг.1, 2 и 9).
Рабочий участок каната 62 (см. фиг.9), свисающий с барабана 61 лебедки, механизма подъема балласта 4 имеет U-образную форму и огибает ярусно установленные штанги 17 блока 2 измерения средней скорости потока жидкости в водоеме или водотоке.
Балласт 4 (см. фиг.1, 2, 8 и 9) для погружения и фиксации в донной части водоема или водотока блока 1 и блока 2 выполнен в виде имеющей обтекаемую форму продолговатой емкости. Средняя часть емкости балласта 4 снабжена кронштейном 64 для соединения посредством цапф 65 и 66 с нижними концами тяг 44 и 45 многократных шарнирных параллелограммных механизмов 15 и 16 блока 2 и нижним концом каната 62 механизма 5 подъема емкости балласта 4. Цапфы 65 и 66 образуют геометрическую ось 10 для шарнирного соединения пар тяг 44 и 45.
Кронштейн 64 установлен с охватом емкости балласта и размещен в центре ее масс. Геометрическая ось 10 блока 1 может быть расположена в кронштейне 64 на уровне донной части водоема или так, как показано на фиг.1, 2 и 9. В этом случае погружение емкости балласта 4 в донный ил водоема не препятствует выполнению поставленных экспериментов. Верхняя часть кронштейна 64 имеет скобы 67 с отверстиями для пропуска ветви каната 62. Между скобами 67 размещена распорная втулка 68, которой взаимно сопряжены средствами крепления 69 скобы 67.
Емкость балласта 4 (см. фиг.1 и 8) имеет клапан 70 для впуска и выпуска жидкости и воздуха в полость емкости или из нее. Клапан 70 имеет снабженный возможностью вертикального перемещения подпружиненный шток 71, верхний фланец 72 и нижний фланец 73 с упругими прокладками 74. Упругие прокладки 74 средствами крепления 75 зафиксированы между фланцами 72 и 73 и дисками 76. В исходном положении упругие прокладки 74 клапана 70 сопряжены с впускной горловиной 77 и выпускной горловиной 78 (см. фиг.8).
Емкость балласта 4 снабжена технологическим окном 79, обеспечивающим доступ к штоку 71. В полости емкости балласта смонтированы направляющие 80 на кронштейнах 81 (см. фиг.8). На штоке 71 в полости емкости балласта 4 размещен упругий элемент 82. Он смонтирован между верхней направляющей 80 и диском 83. Диск 83 зафиксирован гайками 84 на резьбовом участке 85 штанги 71.
Верхний конец штока 71 клапана 70 балласта 4 гибкой связью 86 соединен с кронштейном 87 понтона 3 (см. фиг.1). Гибкой связью 86 обеспечивается управление клапаном 70 балласта 4.
Расходомер жидких сред в открытых водоемах и водотоках функционирует следующим образом.
Сначала определяют створ водоема. Створ определяют гибкой нитью или канатом, растянутым на вешках по берегам канала или водоема. Затем понтон 3 с помощью весел подводят к линии створа. Понтон 3 фиксируют на поверхности водоема одним из известных средств. После установки понтона 3 в месте проведения необходимых замеров приступают к подготовке расходомера к работе.
Механизмом подъема балласта 4, вращая за ручку червяк самотормозящего червячного редуктора 63, разматывая с барабана 61 канат 6, блок 2 опускают в донную часть канала за счет кинематической связи с балластом 4. Для ускорения процесса погружения балласта 4 оператор, обслуживающий понтон 3, гибкой связью 86 перемещает вверх верхний конец штока 7 и открывает клапан 70.
Одновременно с этим оператор, манипулируя рычагом 59, килем 58 понтон 3 устанавливает по направлению потока жидкой среды в канале. В этом случае каждая штанга 17 с гидравлической вертушкой 20 блока 2 строго будет ориентирована по течению воды в канале или водотоке.
При поднятом штоке 71 клапана 70, преодолевая сопротивление упругого элемента 82, упругие прокладки 74 вместе с фланцами 73 и дисками 76 приподнимаются над выпускной горловиной 78 и впускной горловиной 77. Через впускную горловину 77 в полость балласта 4 поступает вода из водоема, а из полости балласта 4 удаляется через выпускную горловину 78 воздух. За счет увеличения массы балласта 4 канат 62 натягивается. При ослаблении каната 62 кронштейны 64 вместе с балластом 4 опускаются в донную часть водоема. Расстояние между осями 5 и 10 увеличивается. Это увеличение расстояний между осями 5 и 10 приводит к тому, что нижними тягами 44 и 45 увлекаются вниз нижняя штанга 17, а вместе с ней неподвижная муфта 18 и подвижная муфта 19. Это приводит к тому, что подвижная муфта 19 перемещается вдоль штанги 17 в сторону неподвижной муфты 18. Одновременно с этим перемещением нижние концы перекрещивающихся двуплечих рычагов 44 и 45 механизмов 15 и 16 синхронно поворачиваются на оси 9, а через другие пары перекрещивающихся рычагов 44 и 45 на осях 8, 7 и 6 подвижные муфты 19 сдвигаются вдоль штанги 17 в сторону неподвижных муфт 18. Таким образом, каждая гидрометрическая вертушка 20 блока 2 посредством механизмов 15 и 16 с равным взаимным удалением опускается в сторону дна канала от оси подвеса 5. При освобождении от воздуха балласта 4, последний укладывается на дно водоема. Ось 10 на кронштейне 64 позволяет балласту 4 копировать рельеф дна водоема и установиться на дне с учетом реального уклона. Далее ослабляют гибкую связь 86. Под воздействием упругого элемента 82 шток 71 с упругими прокладками 74 перекрывают торцевые срезы впускной горловины 77 и выпускной горловины 78. Полость балласта 4 заполнена водой и служит якорем для блока 2.
При освобожденных (ослабленных, ненатянутых) канате 62 и гибкой связи 86 при изменении уровня (глубины) воды в канале понтон 3 приподнимается (всплывает) над дном канала или опускается.
Для достижения высокой точности измерения глубины водоема или водотока оператор проверяет положение ватерлиний 60 относительно зеркала водной поверхности. При этом условии ось 5 подвеса блоков 1 и 2 размещается на уровне поверхности водоема. При несоответствии положения ватерлинии 60 через горловины 55 полости понтона 3 заполняют жидким балластом или откачивают его.
Далее приводят в рабочее состояние блок приема и обработки сигналов.
Исключительной особенностью описанного выше расходомера жидких сред в открытых водоемах и водотоках является то, что калибровку блока 1 измерения уровня жидкости проводят как на стационаре, так и в полевых условиях изменением расстояния между осями 5 и 6. Это изменение Н межосевого расстояния соответствует прямой зависимости электрического тока в двойном линейном реохорде блока 1 перемещению луча гальванометра при записи на осциллограмме светолучевого осциллографа или величины импульса для записи на накопитель отметок глубины.
При калибровке гидрометрических вертушек 20 поступают аналогичным образом. Каждую вертушку 20 приводят во вращение эталонным электродвигателем, снабженным частотным преобразовательным и контрольным тахометром. Для диаметров 70, 80 и 120 мм вертушек 20 с различным количеством лопастей и шагов строят калибровочные графики скоростей потоков воды.
Местные скорости потоков воды в канале на вертикалях измеряют в 6, 5, 3, 2 или 1 точке в зависимости от величины рабочей глубины на скоростной вертикали, состояния водотока и размеров лопастного винта вертушки 20. При глубине водотока более 1 м скорость течения одновременно измеряется в пяти точках: на поверхности, 0,2 Н; 0,4 Н; 0,6 Н; 0,8 Н (считая от поверхности воды) и на дне водотока. Продолжительность измерения скорости потока должна быть не менее 100 с.При скорости протяжки ленты (осциллографической бумаги) 40 мм/с на осциллограмме при работающем отметчике время 0,1 с будет более 1000 ординат и синхронной записи 6 параметров: 1 – глубина канала, м; 2 – 6 – скоростей потоков воды, м/с. Шаг между вертикалями отметок времени на осциллограмме – 4 мм.
Блок 1 измерения уровня жидкости работает следующим образом. При изменении уровня воды в водотоке понтон 3 всплывает или опускается над дном канала. Это приводит к изменению расстояния как между осями 5 и 10, так в пятикратном размере меньше между осями 5 и 6 механизмов 15 и 16. При установке блока 1 между осями 5-6 есть и другие варианты его размещения, изменение физической величины – глубины канала Н – за счет линейного реохорда превращается в электрический сигнал. Величины тока в линейном реохорде достаточно, чтобы управлять положением светоотражающего зеркала в гальванометре и вести запись на светочувствительной осциллографической бумаге. На осциллограмме от базовой линии выполняется плавная непрерывная линия, соответствующая глубине канала
Н=k·m·hi,
где Н – глубина водоема, м;
k – коэффициент пропорциональности;
m – количество шарнирных параллелограммов в многократном шарнирном параллелограммном механизме;
hi – средняя высота отметок на осциллограмме, мм.
Блок 2 измерения средней скорости потока жидкости в открытом водоеме или водотоке работает следующим образом. Работу блока 2 рассмотрим на гидрометрической вертушке 20, установленной на верхней штанге 17 в слое воды 0,2 Н. За счет лобового сопротивления потоку воды каждой из трех винтовых лопастей 22 корпуса 21 (см. фиг.3) гидрометрической вертушки 20 шаровая опора 24 прижимается в торцевое углубление цапфы 23 на передней части штанги 17. Между штифтом 26 и кольцевой канавкой 27 образуется гарантированный зазор. Подшипник скольжения 25 лишь поддерживает вращение корпуса 21 гидрометрической вертушки 20. Описанная конструкция гидрометрической вертушки 20 обеспечивает его вращение на скорости потока воды менее 0,01 м/с. При вращении корпуса 21 каждый ферромагнит 28 последовательно подходит к верхнему и нижнему магнитоуправляемым контактам 36, установленным в каналах 35 корпуса неподвижной муфты 18. При подходе ферромагнита 28 электрические контакты в герметичной прозрачной ампуле размыкаются. Разрыв электрической цепи приводит к тому, что ток не выше 25 мА не поступает в гальванометр и рамка со светоотражающим зеркалом возвращается в исходное положение. Получается запись на осциллограмме в виде пунктирной линии. Частота вращения корпуса 21 гидрометрической вертушки 20 устанавливается расчетом:

где n1 – частота вращения корпуса гидрометрической вертушки, с-1;
а – количество ферромагнитов в корпусе гидрометрической вертушки;
b – количество магнитоуправляемых контактов в корпусе неподвижной муфты;
m – количество отметок на осциллограмме;
t – время импульса между смежными вертикальными отметками времени, t=0,1 с.
Скорость потока Vi устанавливают расчетом по формуле:
Vi= niD· , м/с,
где ni – частота вращения корпуса гидрометрической вертушки;
D – диаметр по концам лопастей гидрометрической вертушки;
– поправочный коэффициент, учитывающий шаг навивки лопастей гидрометрической вертушки.
Таким образом, на осциллографическую бумагу или накопитель сигналов в течение 100 секунд производится непрерывная запись семи сигналов: глубины канала в створе и скоростей потоков по глубинам 0,2 Н; 0,4 Н; 0,6 Н; 0,8 Н и в донной части канала.
Полученные экспериментальные данные обрабатывают по соответствующей методике и программе. Описанная конструкция расходомера жидких сред в открытых водоемах и водотоках обеспечивает достижение указанного выше технического результата.
Формула изобретения
1. Расходомер жидких сред в открытых водоемах и водотоках, содержащий блок измерения уровня жидкости, блок измерения средней скорости потока жидкости, электронный блок приема и обработки сигналов, отличающийся тем, что он снабжен понтоном, балластом для погружения и фиксации в донной части водоема или водотока блока измерения средней скорости потока и механизмом подъема балласта, блок измерения уровня жидкости и блок измерения средней скорости потока жидкости размещены между понтоном и балластом, блок измерения средней скорости потока жидкости выполнен в виде пары параллельно смонтированных посредством осей и дистанционных втулок многократных шарнирных параллелограммных механизмов, ярусно установленных между парой многократных шарнирных параллелограмных механизмов посредством штанг, неподвижных и подвижных муфт гидрометрических вертушек, имеющая возможность свободного вращения каждая вертушка в виде корпуса с винтовыми лопастями установлена на цапфе штанги посредством шаровой опоры и подшипника скольжения, от осевого смещения корпус вертушки на цапфе штанги зафиксирован штифтом в кольцевой канавке цапфы, в диаметральной плоскости корпуса гидрометрической вертушки установлены постоянные ферромагниты, торцы которых установлены с зазором к торцевой поверхности неподвижной муфты, в сквозных каналах корпуса неподвижной муфты параллельно к ее торцевой плоскости размещены нормально разомкнутые и/или нормально замкнутые магнитоуправляемые контакты, а блок измерения уровня жидкости выполнен в виде двойного линейного реохорда, установленного подвижной частью и корпусом на концевых участках осей, соединяющих пары тяг и верхние плечи перекрещивающихся рычагов верхнего шарнирного параллелограмма, при этом общая глубина измерения водоема или водотока устанавливается по выражению: H=k·m·hi, где Н – глубина водоема, м; k – коэффициент пропорциональности; m – количество шарнирных параллелограммов в многократном шарнирном параллелограммном механизме; hi – средняя высота отметок на осциллограмме, мм.
2. Расходомер по п.1, отличающийся тем, что каждая штанга выполнена из цапфы и полого профиля, соединенных штифтами в месте их сопряжения.
3. Расходомер по п.1, отличающийся тем, что цапфа штанги выполнена из коррозионно-стойкого материала, например из нержавеющей стали.
4. Расходомер по п.1, отличающийся тем, что неподвижная муфта размещена на резьбовом участке цапфы и зафиксирована гайками.
5. Расходомер по п.1, отличающийся тем, что корпус гидрометрической вертушки снабжен радиальным каналом с прессмасленкой для подачи смазки в полость шаровой опоры и подшипника скольжения.
6. Расходомер по п.1, отличающийся тем, что каждая неподвижная муфта имеет корпус с полостью и радиально ориентированные цапфы.
7. Расходомер по п.1, отличающийся тем, что каждая подвижная муфта имеет корпус с подшипником скольжения и радиально ориентированные цапфы.
8. Расходомер по п.1, отличающийся тем, что задний конец каждой штанги снабжен подвижным упором для ограничения перемещения подвижной муфты.
9. Расходомер по п.1, отличающийся тем, что балласт для погружения и фиксации в донной части водоема или водотока блока измерения средней скорости потока выполнен в виде имеющей обтекаемую форму емкости, средняя часть емкости снабжена кронштейном для соединения посредством цапф с нижними концами тяг многократных шарнирных параллелограммных механизмов и нижним концом каната механизма подъема балласта.
10. Расходомер по п.1, отличающийся тем, что емкость балласта имеет клапан для впуска и выпуска жидкости и воздуха в полость емкости, при этом клапан имеет снабженный возможностью вертикального перемещения подпружиненный шток, верхний и нижний фланцы с упругими прокладками, при этом упругие прокладки сопряжены с впускным и выпускным горловинами емкости.
11. Расходомер по п.1, отличающийся тем, что емкость балласта снабжена технологическим окном.
12. Расходомер по п.1, отличающийся тем, что в полости емкости балласта смонтированы направляющие штока.
13. Расходомер по п.1, отличающийся тем, что установленный в полости балласта упругий элемент размещен между верхней направляющей и диском, зафиксированным на резьбовом участке штанги.
14. Расходомер по п.1, отличающийся тем, что верхний конец штанги клапана балласта гибкой связью соединен с кронштейном понтона.
15. Расходомер по п.9, отличающийся тем, что кронштейн установлен с охватом емкости балласта.
16. Расходомер по п.1, отличающийся тем, что понтон выполнен в виде двух параллельно установленных полых емкостей обтекаемой формы с плоскими днищами, взаимно сопряженных балками жесткости, на которых посредством кронштейнов, оси и дистанционной втулки смонтированы блок измерения средней скорости потока жидкости и блок измерения уровня жидкости.
17. Расходомер по п.1, отличающийся тем, что понтон имеет шарнирно установленный киль, рычаг управления которого зафиксирован на балке жесткости.
18. Расходомер по п.1, отличающийся тем, что на боковых поверхностях понтона нанесены ватерлинии, соответствующие положению верхней оси подвеса многократных шарнирных параллелограммных механизмов.
19. Расходомер по п.1, отличающийся тем, что механизм подъема балласта выполнен в виде лебедки, имеющей барабан с канатом и червячный редуктор с ручным приводом, при этом механизм подъема балласта смонтирован на понтоне, а свободный конец каната закреплен в кронштейне балласта.
20. Расходомер по п.1, отличающийся тем, что рабочий участок каната лебедки механизма подъема балласта имеет U-образную форму и огибает ярусно установленные штанги блока измерения средней скорости потока.
21. Расходомер по п.1, отличающийся тем, что каждый многократный шарнирный параллелограммный механизм выполнен в виде пары перекрещивающихся двуплечих рычагов, имеющие общую ось, свободные концы перекрещивающихся рычагов шарнирами соединены с другой парой перекрещивающихся рычагов, а крайние концы перекрещивающихся рычагов соединены тягами, имеющими половину длины двуплечего рычага.
22. Расходомер по п.1, отличающийся тем, что многократные шарнирные параллелограммные механизмы взаимно сопряжены радиально ориентированными цапфами неподвижных и подвижных муфт с дистанционными втулками на них в точках сопряжений концов пересекающихся двуплечих рычагов, а в точках их пересечений с концами тяг посредством общих осей и дистанционных втулок.
РИСУНКИ
|