|
|
(21), (22) Заявка: 2008114166/02, 15.04.2008
(24) Дата начала отсчета срока действия патента:
15.04.2008
(43) Дата публикации заявки: 20.10.2009
(46) Опубликовано: 27.01.2010
(56) Список документов, цитированных в отчете о поиске:
RU 229924 С1, 27.05.2007. RU 2298591 С1, 10.05.2007. GB 191516359 А, 15.06.1916. СА 2352333 А1, 29.06.2000.
Адрес для переписки:
119454, Москва, проспект Вернадского, 24, кв. 12, С.Н.Белоусько
|
(72) Автор(ы):
Анисимов Олег Владимирович (RU), Костиков Валерий Иванович (RU), Штанкин Юрий Валерьевич (RU)
(73) Патентообладатель(и):
Анисимов Олег Владимирович (RU)
|
(54) СПОСОБ ПОЛУЧЕНИЯ КОНСТРУКЦИОННОГО МАТЕРИАЛА ИЗ СПЛАВА НА ОСНОВЕ АЛЮМИНИЯ С СОДЕРЖАНИЕМ МАГНИЯ
(57) Реферат:
Изобретение относится к литейному и прокатному производству. Получают конструкционный материал из сплава на основе алюминия, содержащий компоненты при следующих соотношениях, вес.%: магний 10,50-15,50, марганец 0,05-0,10, цирконий 0,01-0,15, титан 0,09-0,15, кремний и железо не более 0,08, алюминий остальное. Кристаллизацию расплава проводят во вращающемся кристаллизаторе при коэффициенте гравитации, равном 180-250, при времени жизни расплава, равном 12-15 с/кг, и скорости охлаждения не выше 5°С/с. Слиток подвергают термообработке и прокатке. Сначала его нагревают в течение 2-4 часов при температуре 340-380°С, затем при этой температуре проводят его горячую прокатку до толщины 4-8 мм со степенью деформации в каждом цикле до 30% и окончательной температурой подката в пределах 310-330°С. Затем производят холодную прокатку подката со степенью деформации в каждом цикле до 50% с промежуточными отжигами в течение 0,5-2,0 часов при температуре 310-390°С до требуемой толщины 0,5-2,0 мм и осуществляют окончательный отжиг проката в течение 5-40 минут при температуре 400-450°С. Повышается прочность, пластичность и технологичность проката. 1 з.п. ф-лы. 2 ил.
Изобретение относится к литейному и прокатному производству. Существующие способы получения конструкционных материалов для транспортной промышленности базируются в целом на использовании традиционного метода получения слитков из сплавов на основе алюминия с магнием, литием, цинком и т.д. и их проката.
Основные требования к конструкционным материалам для автомобилестроения состоят в необходимости иметь предел прочности 300-400 МПа, относительное удлинение 30-40% и плотность не выше 2,65 г/см3, хорошую свариваемость, коррозионную стойкость.
В настоящее время нет сплавов, одновременно удовлетворяющих этим требованиям. Существующие литиевые сплавы, подходящие по плотности, не пригодны по прочностным, пластическим свойствам и из-за невозможности свариваться, остальные сплавы не применимы по аналогичным мотивам. Прокат из магниевых сплавов достаточно прочен, однако удовлетворение требованиям по плотности возможно лишь при содержании магния более 9%.
Прокат из АМГ5 находит широкое применение в авиационной, судостроительной промышленности и производится по традиционной технологии, подробно описанной в работе «Производство фольги». Черняк С.Н., Карасевич В.И., Коваленко П.А., изд-во «Металлургия», М., 1968 г. Получение слитков из АМГ5 производится полунепрерывным способом. Исходя из этого существует естественный предел растворимости магния в матрице слитка. Избыток магния образует вокруг зерна блокирующую его хрупкую эвтектику, которая и определяет конечные пластические свойства слитка, сплава. Кроме этого наличие параболических фронтов кристаллизации приводит при поликристаллическом строении к отсутствию единой кристаллографической ориентации, то есть к различной пластичности по сечениям слитка как на макро-, так и на микроуровне. В целом, уровень пластичности по этой причине снижается, как минимум, вдвое. Следствием этого является низкая технологичность при прокате, что связано еще и с нестабильностью твердого раствора, с наличием крупных интерметаллидных фаз. Пластичность сплава характеризуется относительным удлинением до 4-6%, что явно не удовлетворяет требованиям автомобильной промышленности.
В настоящее время известен сплав на основе алюминия и способ его использования. Сплав при этом имеет следующий химический состав (вес.%):
| Магний |
9,0-11,0 |
| Цирконий |
0,15-0,2 |
| Кобальт |
0,01-0,001 |
| Бериллий |
0,001-0,02 |
| Бор |
0,005-0,007 |
| Алюминий |
Остальное |
Однако данный сплав может быть улучшен по своим прочностным качествам и пластичности в части повышения удельной прочности при увеличении содержания магния до 15,5%.
В основу данного изобретения положена задача создания способа производства конструкционного материала из сплава на основе алюминия с содержанием магния до 15,5%, включающего получение слитка, термообработку, прокат, который обеспечил бы повышение прочности, пластичности проката и повысил бы технологичность получения листового материала.
Достигаемый при этом технический результат заключается в повышении физических характеристик материала на основе алюминия с содержанием магния около 15% за счет перевода литейного сплава в конструкционный и получение материала с прочностью выше, чем у материала с содержанием магния до 10%.
Указанный технический результат достигается тем, что в способе получения конструкционного материала из сплава с содержанием магния, включающем кристаллизацию расплава для получения слитка, его термообработку и прокатку, для получения конструкционного материала из сплава с содержанием ингредиентов при следующих весовых соотношениях, %:
Кристаллизацию слабоперегретого расплава производят во вращающемся кристаллизаторе при коэффициенте гравитации, равном 180-250, времени жизни расплава, равном 12-15 с/кг, и скорости охлаждения не выше 5°С/с. Величина перегрева расплава вместе со скоростью охлаждения должна обеспечить завершение процессов кристаллизации в силовом поле центрифуги до начала кристаллизации расплава в обычных условиях.
Для лучшего понимания изобретения приведены иллюстрации, на которых:
на фиг.1 схематично показаны нормированные зависимости Таммана;
на фиг.2 приведена зависимость относительного переохлаждения от коэффициента гравитации Kg.
Поставленная задача решена созданием способа получения конструкционного материала из сплава на основе алюминия с содержанием магния до 15%, включающего получение слитка, термообработку, прокат, в котором с целью повышения уровня механических свойств сплав содержит дополнительно цирконий, марганец, титан, и в виде примесей кремний и железо при следующих весовых соотношениях ингредиентов (%):
Кристаллизацию производят во вращающемся кристаллизаторе при коэффициенте гравитации, равном 180-250, времени жизни расплава, равном 12-15 с/кг, скорости охлаждения не выше 5°С/с.
Термообработку и прокат производят по следующему алгоритму:
а) слиток, в зависимости от его размеров, нагревают для горячей прокатки в течение 2-4 часов при температуре 340-380°С;
б) при начальной температуре слитка 340-380°С производят его горячую прокатку до толщины 4-8 мм со степенью деформации в каждом цикле до 30%. Окончательная температура подката должна находиться в пределах 310-330°С;
в) далее производят холодную прокатку подката со степенью деформации в каждом цикле до 50% с промежуточными отжигами в течение 0,5-2,0 часов при температуре 310-390°С до требуемых толщин 0,5-2,0 мм;
г) производят окончательный отжиг проката в течение 5-40 минут при температуре 400-450°С.
Предлагаемый способ основан на использовании новых физических явлений, сопровождающих кристаллизацию расплавов в мощных гравитационных полях центрифуг. В целом, воздействие таких полей сводится к следующему:
а) утрируются диффузионные процессы в любых многокомпонентных расплавах, что приводит к получению твердых растворов типа внедрения-замещения с минимальным выделением эвтектики. Причем, все-таки сформировавшаяся эвтектика минимизируется по объему и коагулируется в разобщенные образования, не блокирующие зерно матрицы;
б) отливка, слиток даже при поликристаллическом строении имеет доминирующую кристаллографическую ориентацию в заданном направлении, составляющую не менее 80-85% от всех возможных ориентировок.
Таким образом, предлагаемый способ позволяет решить поставленную задачу по созданию конструкционного материала на алюминиевой основе с содержанием магния в пределах 10,5-15,5% и проката из него.
Предлагаемый, согласно изобретению, способ получения конструкционного материала из сплава на основе алюминия с содержанием магния до 15% на стадии получения слитка реализуется во вращающемся кристаллизаторе, конструкция которого зависит от требуемой формы слитка и его массы. При этом теплофизические условия кристаллизации определяются определенным образом выполненной конструкцией футеровки и кристаллизатора.
Заявляемый согласно изобретению способ осуществим во вращающемся кристаллизаторе, обеспечивающем следующие условия:
для получения монокристаллической структуры и сопутствующего рафинирования кристаллизацию расплава проводят в силовом поле центрифуг с коэффициентом гравитации, обеспечивающим создание адекватного переохлаждения в расплаве и равным разнице оптимального значения переохлаждения, соответствующего максимуму линейной скорости роста кристалла с интервалом метастабильности роста, которая определяется выражением:

где

А, В, L, M – технические параметры (коэффициенты), из которых числовое значение В определяется, исходя из термодинамических характеристик кристаллизатора, определяющих скорость протекания теплопроцессов, а числовые значения А, L, М определяются физико-химическими характеристиками металлов;
Kg – коэффициент гравитации;
Т – температура кристаллизации;
– переохлаждения расплава, полученные опытным путем.
При выращивании монокристаллов и рафинировании расплава, последний объемно охлаждают со скоростью 0,02-0,08°С/с.
Для объяснения сути предлагаемого способа рассмотрим кривые Таммана (фиг.1).
Первая кривая V( Т) описывает изменение линейной скорости роста кристаллов в зависимости от создаваемых в расплаве переохлаждений Т.
Вторая кривая V( Т) описывает изменение скорости зародышеобразования в зависимости от Т.
Различному уровню Z обеих зависимостей соответствуют переохлаждения и , называемые интервалами метастабильности роста и зародышеобразования.
Координатами максимумов являются оптимальные значения переохлаждений и .
Естественно предположить, что максимально эффективен тот способ получения моноструктур, который обеспечивает создание в расплаве переохлаждений, равных во все время роста. С помощью любым способом организованных неравномерных тепловых полей эта задача в принципе не может быть реализована из-за выделения скрытой теплоты кристаллизации, из-за непрерывного изменения величины теплового сопротивления растущего монокристалла, из-за невозможности точно знать координаты фронта кристаллизации (далее – ФК).
В этой связи авторы в ходе проведенных аналитических и экспериментальных исследований определили детерминированную зависимость Т от Kg:

где

А, В, L, М – технические параметры (коэффициенты), из которых числовое значение В определяется, исходя из термодинамических характеристик кристаллизатора, определяющих скорость протекания теплопроцессов, а числовые значения А, L, М определяются физико-химическими характеристиками металлов;
Kg – коэффициент гравитации;
Т – температура кристаллизации;
– переохлаждения расплава, полученные опытным путем.
Числовые значения технических параметров-коэффициентов А, L, М для разных металлов следующие:
 |
алюминий |
медь |
никель |
| А |
81×10 |
192×10 |
644×10 |
| L |
2,997×10 |
9,879×10 |
9,879×10 |
| М |
2,997×10 |
9,879×10 |
9,879×10 |
Вывод последних выражений опускается.
Имея в виду выражение (1), координата Т в зависимостях Таммана может быть заменена на Kg (фиг.1). Отсюда следует, что создав значения Kg, равные Kopt, будет выращена моно- или квазимоноструктура из расплава с произвольным начальным количеством зародышей, кластеров с теоретически возможной скоростью. Так, в некоторых экспериментах авторы имели дело при выращивании монокристалла арсенида галлия со скоростью 10-15 см/с.
Геометрически зависимость (1) представляет собой для всех металлов возрастающую гиперболу с увеличением Kg.
Для наглядности (фиг.2) рассмотрим два графика, полученные расчетным путем и являющиеся зависимостями относительного переохлаждения от Kg при разных значениях Т0. Кривые рассчитаны по формуле:

где Т определено выражением (1):
T0,5 – естественное переохлаждение расплава, равное 0,5°С.
Из графиков видно, что независимо от начального переохлаждения максимальный эффект применения способа наблюдается при значении Kg=300.
Следует отметить следующее.
Экспериментальные исследования кристаллизующихся моделей металлов типа «салол» показывают, что значение производной V( Т) /Т не могут быть меньше
10-102. Это обстоятельство, как будет доказано далее, имеет огромное значение.
Положим, расплав, находящийся в центрифуге при определенном значении медленно охлаждается до создания естественного переохлаждения
T0= Тµ, то есть в расплаве создаются условия, достаточные для начала линейного роста кристалла от любой подложки.
Учитывая, что коэффициент гравитации адекватен переохлаждению , можно определить степень увеличения скорости линейного роста монокристалла при данных обстоятельствах:

Допуская даже такое обстоятельство, что в центрифуге создается неравномерным силовым полем адекватное переохлаждение в 1°С, из (4) очевидно, что абсолютное значение увеличения линейной скорости роста монокристалла равно V 10 мм/с.
Таким образом, используя приведенный физический механизм влияния силового поля на кристаллизующийся расплав, можно выращивать монокристаллы с необычно высокими скоростями. Следует отметить три обстоятельства:
во-первых, коэффициент гравитации идентичен в любых точках расплава, равноудаленных от оси вращения, что обеспечивает абсолютно плоские ФК;
во-вторых, воздействие повышенной гравитации приводит к резкому уменьшению двухфазной зоны, что обеспечивает гораздо более эффективную очистку (рафинирование) расплава;
в-третьих, наличие повышенной гравитации приводит к резкому уменьшению интервала метастабильности роста и оптимального значения величины переохлаждения , соответствующего максимальному значению линейной скорости роста монокристаллов.
В основе изобретения стоит аналитически рассчитанный и экспериментально подтвержденный эффект влияния гравитационных полей на кристаллизирующийся расплав с точки зрения ориентации кристаллографических осей решетки.
Рассмотрим подробнее данное физическое явление.
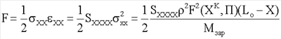
Для анализа складывающейся кристаллографической ориентации затвердевающего расплава в любых силовых полях проникающего типа (гравитационные, ультразвуковые и т.д.), ее необходимо рассмотреть в динамике усилия, действующего на зародыш, а затем и на кристаллит (зерно) в расплаве при наличии внешнего поля неравномерно-распределенной силы F(xк, n).
Рассмотрим кристаллит, находящийся у какой-либо опоры (фронт кристаллизации, подложка) и деформирующийся под действием этой силы F(xк, n).
Положим, данный кристаллит имеет с одного торца жесткую опору. Уравнение равновесия в данном случае имеет вид:



где ik – тензор напряжения;
х, у, z – координаты;
– плотность;
Мзар – масса зародыша.
При выводе приняты следующие граничные условия:
– тензоры напряжений на боковых поверхностях ik равны нулю, кроме xx.
– на свободном торце кристаллита длиной x=L имеем
xz= yz= zz=0
Свободная энергия может быть представлена в виде:

где ik – тензор деформации, равный 
SikLm – константы упругой податливости;

ik – символ Кронекера.
Отсюда поверхностная энергия всего кристаллита равна

Для дальнейшего вывода положим:
Е Sxxxx
Так как модуль Юнга, соответствующий направлению Х (вдоль продольной оси кристаллита), равен

то

Положим, кристаллографическая плоскость hkL перпендикулярна оси ОХ, тогда имеем:

где

Для всех металлов, кроме молибдена, для которого S11-S12-S44/2<0, величина 1/Ех имеет минимум для плоскости (III).
Таким образом, направление (III) при его совпадении с вектором действия силы F(xк, П) должно быть предпочтительнее всех остальных. Этот вывод позволяет однозначно признать тот факт, что заторможенный в расплаве кристаллит ориентируется в направлении действия F(xк, П) независимо от типа расплава и исходных предпосылок к росту осями (III).
Заторможенный кристаллит – это выросший, искаженный из сферической формы зародыш в почти эллипсоид, присоединенный к ячеистому фронту кристаллизации.
В принципе, ориентация кристаллографических осей в растущем зародыше, кроме действия силы F(xк, П), происходит задолго до его присоединения к фронту кристаллизации в ходе его сепарирования в расплаве с переменной вязкостью в направлении действия силы F(xк, П).
Направление абсолютного минимума упругой энергии решетки – это максимально удобная ситуация для последующей деформации твердого тела с минимумом внешних усилий со стороны, например, прокатного стана. Это особенно важно в данном случае с пересыщенным твердым раствором магния в алюминии, так как данный сплав обладает повышенной прочностью.
Данный способ был многократно проверен, и согласно его рекомендациям было изготовлено несколько сотен килограмм проката толщиной 2 мм, 1 мм, 0,5 мм, 0,1 мм. Полученный прокат был исследован в лабораторных условиях. Установлено, что при соблюдении заявляемых параметров предлагаемого способа и при использовании сплава с содержанием магния около 15% обеспечивается наилучшее сочетание прочности и пластичности, примерно совпадающие с аналогичными параметрами сплава с содержанием магния до 11%, но при этом в сплаве с содержанием магния до 15% существенно выше удельная прочность, то есть отношение прочности на разрыв к плотности сплава. Полученный сплав с содержанием магния около 15% легче сплава по прототипу, что позволяет существенно влиять на массовые характеристики объектов, изготовляемых из нового материала. Получение большей удельной прочности примерно на 10% по отношению к сплаву прототипа обеспечивается за счет увеличения содержания магния, а пластичность обеспечивается величиной зерна, единообразно упорядоченной в кристаллографической ориентации при гравитационной обработке. Применение скорости охлаждения не выше 5°С/с позволяет структурировать зерно по величине и обеспечить однородность сплава.
Настоящее изобретение промышленно применимо, так как может быть реализовано с использованием вращающегося кристаллизатора, представляющего собой известное устройство, а результат достигается изменением условий получения сплава. Настоящее изобретение может быть использовано для получения из сплава АМГ15 конструкционных материалов практически любой толщины. Наиболее эффективно изобретение может быть использовано при производстве проката для кузовов автомобилей и его силовых фрагментов.
Формула изобретения
1. Способ получения конструкционного материала из сплава на основе алюминия, содержащего следующие ингредиенты, вес.%: магний 10,5-15,50, марганец 0,05-0,10, цирконий 0,01-0,15, титан 0,09-0,15, кремний и железо не более 0,08, алюминий – остальное, включающий получение слитка путем кристаллизации расплава во вращающемся кристаллизаторе при коэффициенте гравитации, равном 180-250, времени жизни расплава, равном 12-15 с/кг, и скорости охлаждения не выше 5°С/с, его термообработку и прокатку.
2. Способ по п.1, в котором при термообработке и прокатке слитка вначале нагревают слиток в течение 2-4 ч при температуре 340-380°С, затем при этой температуре проводят его горячую прокатку до толщины 4-8 мм со степенью деформации в каждом цикле до 30% и окончательной температурой подката в пределах 310-330°С, затем производят холодную прокатку подката со степенью деформации в каждом цикле до 50% с промежуточными отжигами в течение 0,5-2,0 ч при температуре 310-390°С до требуемой толщины 0,5-2,0 мм и осуществляют окончательный отжиг проката в течение 5-40 мин при температуре 400-450°С.
РИСУНКИ
|
|