|
|
(21), (22) Заявка: 2007137488/09, 10.03.2006
(24) Дата начала отсчета срока действия патента:
10.03.2006
(30) Конвенционный приоритет:
10.03.2005 US 60/660,720
(43) Дата публикации заявки: 20.04.2009
(46) Опубликовано: 20.01.2010
(56) Список документов, цитированных в отчете о поиске:
US 6256508 B1, 03.07.2001. RU 2241312 C2, 27.11.2004. EP 1244234 A2, 25.09.2002. US 2003/045314 A1, 06.03.2003. US 6005605 A1, 21.12.1999. US 6747948 В1, 08.06.2004. EP 0656702 A1, 07.06.1995. US 6317470 B1, 13.11.2001.
(85) Дата перевода заявки PCT на национальную фазу:
10.10.2007
(86) Заявка PCT:
US 2006/008762 20060310
(87) Публикация PCT:
WO 2006/099222 20060921
Адрес для переписки:
129090, Москва, ул. Б.Спасская, 25, стр.3, ООО “Юридическая фирма Городисский и Партнеры”, пат.пов. Ю.Д.Кузнецову, рег. 595
|
(72) Автор(ы):
ВРСЕЛ Боян (US), МАНТРАДАВИ Ашок (US), ЛИН Фуюнь (US), МУККАВИЛЛИ Кришна Киран (US), КРИШНАМУРТХИ Рагхураман (US), ВАН Майкл Мао (US)
(73) Патентообладатель(и):
КВЭЛКОММ ИНКОРПОРЕЙТЕД (US)
|
(54) СИНХРОНИЗАЦИЯ ХРОНИРОВАНИЯ И ОЦЕНКА КАНАЛА ПРИ ПЕРЕХОДЕ МЕЖДУ ЛОКАЛЬНЫМИ И ГЛОБАЛЬНЫМИ ФОРМАМИ СИГНАЛА С ИСПОЛЬЗОВАНИЕМ НАЗНАЧЕННОГО ПИЛОТ-СИГНАЛА TDM
(57) Реферат:
Изобретение относится к системам связи, предусматривающим расширенную синхронизацию по времени и оценку канала в соответствии с беспроводными сетями. Технический результат – повышение точности синхронизации хронирования и оценки канала в беспроводной сети. Способ синхронизации по времени в беспроводном приемнике включает в себя этапы, на которых декодируют, по меньшей мере, один символ пилот-сигнала TDM, находящийся на переходе между глобальной и локальной формами сигнала, и обрабатывают символ пилот-сигнала TDM для осуществления синхронизации по времени для беспроводного приемника. Способ оценки канала в беспроводном приемнике включает в себя этапы, на которых декодируют, по меньшей мере, один символ пилот-сигнала TDM и принимают символ пилот-сигнала TDM из вещания в режиме OFDM для облегчения оценки канала для беспроводного приемника. 8 н. и 14 з.п. ф-лы, 12 ил., 1 табл.
Область техники, к которой относится изобретение
Рассматриваемая технология относится, в целом, к системам и способам связи и, в частности, к системам и способам, предусматривающим расширенную синхронизацию по времени и оценку канала в соответствии с беспроводными сетями.
Уровень техники
Ортогональное мультиплексирование с частотным разделением (OFDM) – это способ цифровой модуляции, согласно которому сигнал делится на несколько узкополосных каналов, имеющих разные частоты. Эти каналы иногда называют поддиапазонами или поднесущими. Эта технология появилась в результате исследований, проведенных с целью минимизации помехи между каналами, близкими друг другу по частоте. В некоторых отношениях технология OFDM подобна традиционному мультиплексированию с частотным разделением (FDM). Различие заключается в методе модуляции и демодуляции сигналов. В целом, приоритет отдается минимизации помехи, или перекрестной помехи, между каналами и символами, содержащими поток данных. Качество отдельных каналов не столь важно.
В одной области OFDM также использовалось в европейских услугах цифрового аудиовещания. Технология применяется к цифровому телевидению и рассматривается как способ получения высокоскоростной цифровой передачи данных по традиционным телефонным линиям. Она также используется в беспроводных локальных сетях. Ортогональное мультиплексирование с частотным разделением можно рассматривать как метод модуляции FDM для передачи больших объемов цифровых данных по радиоканалу, причем OFDM делит радиосигнал на множественные более мелкие подсигналы или поднесущие, которые затем одновременно передаются на разных частотах в приемник. Одно преимущество технологии OFDM состоит в том, что она снижает величину перекрестной помехи в передачах сигнала, где современные спецификации, например, 802.11a WLAN, 802.16 и технологии WiMAX используют различные аспекты OFDM.
В некоторых системах, действующих на основе технологии OFDM, передачи предназначаются одновременно для многих пользователей. Одним примером такой системы является широковещательная или многоадресная система. Кроме того, если разные пользователи могут выбирать между разными участками одной и той же передачи, данные в каждой передаче обычно мультиплексируются с временным разделением (TDM). Часто бывает так, что данные, предназначенные для передачи, организуются в фиксированные структуры, например кадры или суперкадры. Затем разные пользователи могут по выбору принимать разные участки суперкадра в любое данное время. Чтобы помочь большому количеству пользователей в синхронизации с хронированием и частотой широковещательного сигнала, символы пилот-сигнала, мультиплексированные с временным разделением (TDM), иногда вставляются в начало каждого суперкадра. В одном таком случае каждый суперкадр начинается с заголовка, содержащего, помимо прочего, два пилот-сигнала TDM, именуемые пилот-сигналом TDM 1 и пилот-сигналом TDM 2. Эти символы используются системой для достижения начальной синхронизации кадров, также именуемой начальным захватом.
Для дополнительной помощи в синхронизации по времени и/или частоте в течение суперкадра, также именуемой временным или частотным отслеживанием, можно использовать дополнительные символы пилот-сигнала. Временного и частотного отслеживания можно добиться с использованием пилот-сигналов, мультиплексированных с частотным разделением (FDM), которые можно внедрять в каждый передаваемый символ данных OFDM. Например, если каждый символ OFDM состоит из N поднесущих, N-P из них можно использовать для передачи данных и P из них можно назначить пилот-сигналам FDM. Эти P пилот-сигналов FDM иногда равномерно распределяются по N поднесущим, благодаря чему каждые два пилот-сигнала разделены N/P-1 поднесущими данных. Такие однородные подмножества поднесущих в символе OFDM называются чередованиями.
Канальные оценки во временной области используются для временного отслеживания на протяжении суперкадра. Канальные оценки во временной области получаются из пилот-сигналов FDM, внедренных в символы данных OFDM. Пилот-сигналы FDM можно всегда располагать на одном и том же чередовании, или они могут занимать разные чередования в разных символах OFDM. Подмножество поднесущих с индексами i + 8k иногда называется i-м чередованием. В этом примере, N/P=8. В одном случае пилот-сигналы FDM можно расположить на чередовании 2 на протяжении одного символа OFDM, на чередовании 6 на протяжении следующего символа, затем опять на чередовании 2 и т.д. Это называется шаблоном разнесения (2, 6). В других примерах шаблон разнесения пилот-сигнала может быть более сложным, в котором занятые чередования описываются шаблоном (0, 3, 6, 1, 4, 7, 2, 5). Это иногда называется шаблоном разнесения (0, 3, 6). Разные шаблоны разнесения позволяют приемнику получать канальные оценки, более длинные, чем P ответвлений во временной области. Например, шаблон разнесения (2, 6) можно использовать в приемнике для получения канальных оценок длиной 2P, тогда как шаблон разнесения (0, 3, 6) может давать канальные оценки длиной 3P. Это достигается путем объединения канальных измерений длиной P из последовательных символов OFDM в более длинную канальную оценку в блоке, именуемом блоком временной фильтрации. Более длинные канальные оценки в общем случае могут обеспечивать более живучие алгоритмы синхронизации хронирования.
Некоторые широковещательные системы позволяют одновременно осуществлять разные типы передачи. Например, некоторые широковещательные данные могут предназначаться для любого потенциального пользователя в глобальной сети, и такие данные называются глобальным контентом. Другие символы данных, передаваемые по сети, могут предназначаться только для пользователей, которые в данный момент находятся в конкретном локальном участке сети. Такие данные называются локальным контентом. Символы данных OFDM, принадлежащие разным контентам, могут мультиплексироваться с временным разделением в каждом кадре в суперкадре. Например, некоторые участки каждого кадра в суперкадре можно резервировать для глобального контента, а другие участки – для локального контента. В таких случаях данные и пилот-сигналы, предназначенные для разных контентов, можно скремблировать разными способами. Кроме того, множество передатчиков, одновременно вещающих глобальный и локальный контент в суперкадре, может быть другим. Поэтому очевидно, что канальные оценки во временной области, а также канальные измерения, связанные с глобальным контентом и связанные с локальным контентом, могут быть совершенно разными.
В вышеописанных сценариях должна применяться особая стратегия для оценки канала символами OFDM, сгруппированными вблизи границы между глобальными и локальными формами сигнала. Дело в том, что канальные измерения из глобальных символов нельзя гладко комбинировать с канальными измерениями из локальных символов. Аналогичная концепция предусматривает временное отслеживание символов OFDM, находящихся на небольшом расстоянии после границы формы сигнала. Если временное отслеживание осуществляется на основании канальных оценок во временной области и если измерения из трех последовательных символов OFDM необходимы для одной канальной оценки, временное отслеживание нельзя осуществлять в течение первых нескольких символов OFDM после границы формы сигнала. Поэтому могут понадобиться альтернативные методы оценки канала и синхронизации хронирования.
Сущность изобретения
Ниже представлена упрощенная сводка различных вариантов осуществления для обеспечения понимания основных моментов некоторых аспектов вариантов осуществления. Эта сводка не является обширным обзором. Она не призвана идентифицировать ключевые/критические элементы или очерчивать объем раскрытых здесь вариантов осуществления. Ее единственной целью является представление некоторых концепций в упрощенной форме в качестве прелюдии к более подробному описанию, представленному ниже.
Предусмотрены компоненты и способы обработки приемника для беспроводной сети. По меньшей мере, один символ пилот-сигнала, мультиплексированный во временной области (TDM), помимо пилот-сигналов TDM 1 и 2, обрабатывают беспроводным приемником совместно с символами и параметрами суперкадра, причем такие аспекты, как синхронизацию по времени и оценку канала, осуществляют на основании дополнительного символа пилот-сигнала, который можно называть TDM3 или пилот-сигналом TDM 3, в одном примере. Согласно варианту осуществления предусмотрены компоненты приемника, которые учитывают ранее нерассмотренные аспекты хронирования и оценки канала отчасти вследствие того факта, что символы пилот-сигнала и соответствующие данные могут не скремблироваться аналогичным образом от одной границы формы сигнала до другой (например, от локальной границы до глобальной). Для данной природы и структуры добавленного символа пилот-сигнала оценки канала можно осуществлять на стороне границы локальной либо глобальной формы сигнала, появляющейся в кадре данных.
Согласно другому варианту осуществления и отмеченному выше, по меньшей мере, один дополнительный символ пилот-сигнала TDM добавляют к традиционному множеству символов вещания (например, множеству, включающему в себя TDM1 и TDM2) с регулярными или определенными интервалами в вещании суперкадра. В этом случае TDM3, TDM4 и т.д. символы пилот-сигнала можно добавлять к существующему множеству пилот-сигналов для сглаживания проблем хронирования и оценки канала в сети ортогонального мультиплексирования с частотным разделением (OFDM) для переноса мультимедийных данных, организованных в суперкадры, причем разные участки суперкадра предназначены для доставки разных форм сигнала. Например, некоторое количество символов TDM3 можно обрабатывать из множества символов на каждой границе, которые могут располагаться на границах форм сигнала в суперкадре для облегчения синхронизации и оценки канала. По аналогии с пилот-сигналом TDM 2 пилот-сигнал TDM 3 (или подмножество символов) может предназначаться для обеспечения синхронизации хронирования и оценки канала за исключением того, что пилот-сигнал TDM 2 ограничивается глобальным каналом, а пилот-сигнал TDM 3 можно использовать для глобального либо локального канала в зависимости от позиции в суперкадре. Структура пилот-сигнала TDM 3 может зависеть от структуры пилот-сигнала TDM 2. Если пилот-сигнал TDM 3 (или другие дополнительные пилот-сигналы) находится между переходом от глобальной формы сигнала к локальной форме сигнала в суперкадре, его можно использовать для глобальной оценки канала или локальной оценки канала и хронирования. Если пилот-сигнал TDM 3 находится на переходе от локального к глобальному, его можно использовать для локальной оценки канала или глобального хронирования и оценки канала.
Для решения вышеуказанных и других задач некоторые иллюстративные варианты осуществления описаны здесь в связи с нижеследующим описанием и прилагаемыми чертежами. Эти аспекты относятся к различным способам практического осуществления вариантов осуществления, которые все подлежат охвату.
Краткое описание чертежей
Фиг. 1 – упрощенная блок-схема сети беспроводной связи, в которой используется расширенная структура суперкадра, и компонентов обработки приемника.
Фиг. 2 – иллюстративная структура суперкадра, в которой используются дополнительные символы пилот-сигнала.
Фиг. 3 – иллюстративный шаблон дополнительных символов пилот-сигнала.
Фиг. 4 – альтернативный вариант осуществления, где множественные символы пилот-сигнала 3 TDM используются между локальными и глобальными границами.
Фиг. 5 – иллюстративные шаблоны для дополнительного хронирования символов пилот-сигнала.
Фиг. 6 – иллюстративная структура принятого символа пилот-сигнал TDM 3.
Фиг. 7 – концепция контейнеров каналов и пример канальной оценки, используемой для синхронизации хронирования.
Фиг. 8 – иллюстративная блок-схема алгоритма синхронизации хронирования на локальных/глобальных границах данных.
Фиг. 9 – иллюстративная обработка символа пилот-сигнала для беспроводной системы.
Фиг. 10 – иллюстративная схема пользовательского устройства для беспроводной системы.
Фиг. 11 – иллюстративная схема базовой станции для беспроводной системы.
Фиг. 12 – иллюстративная схема приемопередатчика для беспроводной системы.
Подробное описание
Предусмотрены системы и способы для оценки канала и синхронизации хронирования в беспроводной сети. Согласно одному варианту осуществления предусмотрен способ синхронизации по времени в беспроводном приемнике. Способ включает в себя декодирование, по меньшей мере, одного нового символа пилот-сигнала TDM помимо TDM1 и TDM2 и обработку нового символа пилот-сигнала TDM от границы канала вещания в режиме OFDM для осуществления синхронизации по времени для беспроводного приемника. Предусмотрены также способы оценки канала в беспроводном приемнике. Они включают в себя декодирование, по меньшей мере, одного нового символа пилот-сигнала TDM и прием нового символа пилот-сигнала TDM из вещания в режиме OFDM для облегчения оценки канала для беспроводного приемника.
Согласно другому варианту осуществления предусмотрен способ оценки канала, синхронизации по времени и самонастройки АРУ для символов данных, находящихся вблизи границы между разными типами трафика в беспроводной системе множественной адресации с использованием символов пилот-сигнала, мультиплексированных с временным разделением (TDM). Способ включает в себя определение, по меньшей мере, одного нового символа пилот-сигнала TDM помимо символа TDM1 и символа TDM2. Он также включает в себя вставку, по меньшей мере, одного нового символа пилот-сигнала TDM между двумя символами OFDM, принадлежащими разным формам сигнала вещания для облегчения декодирования блока передачи OFDM непосредственно до или непосредственно после границы. Новый символ или символы пилот-сигнала TDM можно использовать, помимо других аспектов, для оценки канала, синхронизации по времени и для самонастройки автоматической регулировки усиления (АРУ).
В данной заявке используются различные термины, относящиеся к беспроводной связи. Для беспроводной передачи структура передаваемого пакета может включать в себя символ ортогонального мультиплексирования с частотным разделением (OFDM), который состоит из 4642 выборок низкочастотного диапазона во временной области, именуемых чипами OFDM. Среди этих чипов OFDM существует 4096 чипов данных и пилот-сигнала, происходящих из 4096 поднесущих данных и пилот-сигнала в частотной области. Эти чипы расположены циклически, причем 529 чипов предшествуют полезному участку и 17 следует за полезным участком. Для снижения внедиапазонной энергии сигнала OFDM первые 17 чипов и последние 17 чипов в символе OFDM имеют огибающую в виде восходящей ветви косинусоиды. Первые 17 чипов символа OFDM перекрываются с последними 17 чипа символа OFDM, которые предшествуют им. В результате продолжительность времени каждого символа OFDM составляет 4625 чипов.
В одном примере пакета данных передачи данные могут быть, в целом, организованы в суперкадры, причем каждый суперкадр имеет длительность одна вторая. Суперкадр состоит из 1200 символов, которые модулированы в режиме OFDM 4096 поднесущими. В отношении поднесущих чередованием называется подмножество поднесущих, разнесенных на определенную величину (например, разнесение 8). Например, 4096 поднесущих могут делиться на 8 чередований, где поднесущие в i-м чередовании – это поднесущие с индексами 8k+i. Среди 1200 символов OFDM в суперкадре существует: два символа пилот-сигнала TDM (TDM1, TDM2); символы одного глобального и одного локального канала идентификации (WIC и LIC); четырнадцать символов канала в виде символов служебной информации (OIS); переменное количество символов из двух, шести, 10 или 14 символов позиционирования пилот-сигнал (PPC) для помощи при определении позиции; некоторое количество символов переходного канала пилот-сигнала (пилот-канала) (TPC) или пилот-сигналов TDM 3, которые находятся на каждой границе между данными глобального и локального контента; и остальные символы используются для вещания глобальной или локальной формы сигнала. Каждый суперкадр состоит из четырех кадров данных, а также служебных символов.
Символ мультиплексирования с временным разделением пилот-сигнала (TDM) 1 (TDM1) является первым символом OFDM каждого суперкадра, где TDM1 является периодическим и имеет 128 периодов чипа OFDM. Приемник использует TDM1 для синхронизации кадров и начального времени (грубое хронирование) и захвата частоты. После TDM1 следуют два символа, несущие глобальный и локальный ID соответственно. Приемник использует эту информацию для правильного осуществления операций дескремблирования соответствующего контента с применением соответствующих ПШ последовательностей. Символ мультиплексирования с временным разделением пилот-сигнала 2 (TDM2) следует за символами глобального и локального ID, причем TDM2 является периодическим, имея 2048 периодов чипа OFDM, и содержит два и дробь периодов. Приемник использует TDM2 при определении точного хронирования для демодуляции канала OIS.
После TDM2 следуют: один глобальный символ TPC (WTPC); пять глобальных символов OIS; пять глобальных FDM символов пилот-сигнала; еще один WTPC; один локальный символ TPC (LTPC); пять локальных символов OIS; пять локальных символов FDM пилот-сигнала; еще один LTPC; и четыре кадра данных следуют за первыми 18 символами OFDM, описанными выше. Кадр данных делится на участок глобальных данных и участок локальных данных. Глобальная форма сигнала предварительно обработана и присоединена к глобальному TPC, по одному на каждом конце. Эта структура также используется для участка локальных данных. Согласно этому варианту осуществления существует всего 10 символов WTPC и 10 символов LTPC на суперкадр.
Согласно другому варианту осуществления каждый переход между глобальной и локальной формами сигнала связан с одним символом пилот-сигнала TPC. Структура уникального пилот-сигнала TPC отличается от структуры символов WTPC или LTPC, поскольку один символ пилот-сигнала призван соответствовать как глобальной и локальной оценкам канала, так и требованиям синхронизации. Согласно этому варианту осуществления всего существует 11 пилот-сигналов TPC (или символов пилот-сигнала TDM 3) на суперкадр.
Используемые в этой заявке термины “компонент”, “сеть”, “система”, “модуль” и пр. относятся к компьютерному объекту (к компьютерной сущности), реализованному посредством оборудования, сочетания оборудования и программного обеспечения, программного обеспечения или выполняющегося программного обеспечения. Например, компонент может представлять собой, но без ограничения, процесс, выполняющийся на процессоре, процессор, объект, исполнимую команду, поток выполнения, программу и/или компьютер. В порядке иллюстрации компонентом может быть как приложение, выполняющееся на устройстве связи, так и устройство. Один или несколько компонентов могут входить в состав процесса и/или потока выполнения, и компонент может размещаться на одном компьютере и/или распределяться между двумя или более компьютерами. Кроме того, эти компоненты могут выполняться с различных компьютерно-считываемых носителей информации, на которых хранятся различные структуры данных. Компоненты могут осуществлять связь посредством локальных и/или удаленных процессов, например, в соответствии с сигналом, имеющим один или более пакетов данных (например, данных из одного компонента, взаимодействующего с другим компонентом в локальной системе, распределенной системе, и/или по проводной или беспроводной сети, например интернету).
На фиг. 1 показана система 100 беспроводной сети. Система 100 включает в себя один или несколько передатчиков 110, которые осуществляют связь по беспроводной сети с одним или несколькими приемниками 120. Приемники 120 могут включать в себя устройство связи, по существу, любого типа, например сотовый телефон, компьютер, КПК, карманные или портативные устройства и т.д. В системе 100 используется совокупность компонентов 130 расширенного суперкадра для облегчения различных определений в системе 100. Заметим, что, хотя передатчики 110 могут использовать одну и ту же структуру суперкадра 130, данные разных приложений передаются с соответствующих передатчиков в соответствующих структурах, связанных с каждым передатчиком. Согласно одному варианту осуществления, по меньшей мере, один дополнительный символ пилот-сигнала, мультиплексированный во временной области (TDM), добавляется к множеству символов вещания с регулярными или определенными интервалами в суперкадре вещания, обозначенном 130. Таким образом, TDM3, TDM4 (или более) символов пилот-сигнала можно добавлять к существующему множеству пилот-сигналов в 130 для сглаживания проблем хронирования и оценки канала в сети ортогонального мультиплексирования с частотным разделением (OFDM) на границах между глобальными и локальными формами сигнала данных.
Согласно нижеприведенному более подробному описанию дополнительные символы обрабатываются как подмножество символов в приемнике 120, причем подмножество может включать в себя один или несколько дополнительных символов TDM3, которые облегчают символьное декодирование символов данных, находящихся вблизи границы между локальными и глобальными формами сигнала данных. В одном примере приемник 120 может принимать и обрабатывать подмножество символов из двух TDM3, причем подмножество появляется между локальными и глобальными граничными положениями в компоненте 130 суперкадра. Таким образом, можно обеспечивать различные варианты осуществления. Согласно одному варианту осуществления один символ пилот-сигнала TDM 3 можно обрабатывать на каждой границе в суперкадре 130, тогда как структура и обработка такого пилот-сигнала в приемнике 120 может быть сложна. В других вариантах осуществления два (или более) символа пилот-сигнала TDM 3 можно использовать (с более простой структурой и обработкой в приемнике) на большинстве границ, за исключением непосредственно следующих за пилот-сигналом TDM 2 и непосредственно предшествующих символам PPC, которые более подробно описаны со ссылкой на фиг. 2.
Один или несколько компонентов 140 обработки приемника предусмотрены для декодирования суперкадра 140 и применяют добавленный символ пилот-сигнала TDM для таких аспектов, как синхронизация хронирования и оценка канала, причем компоненты 140 показаны в целом и применительно к данному приемнику 120. Синхронизация хронирования на основании пилот-сигнала TDM 3 может, например, отчасти опираться на принципы, аналогичные синхронизации на основании пилот-сигнал TDM 2, используемой при начальном захвате. Кроме того, алгоритм синхронизации хронирования на основании символов пилот-сигнала TPC будет зависеть от того, одно- или двухсимвольный TPC размещен на границах форм сигнала. Однако компоненты 140 в целом более сложны для реализации, особенно при наличии одного пилот-сигнала TPC, поскольку шаблоны чередования пилот-сигнала, используемые в случае одного символа TPS, в целом, не фиксируются от одной границы до другой. Таким образом, соответствующий шаблон можно определить как функцию индекса символа и на основании этой информации и гипотезы о положении канала компоненты 140 в приемнике 120 могут выбирать соответствующее множество коэффициентов объединения. На основании анализа можно предположить, что синхронизация хронирования, которая опирается на пилот-сигнал TDM 3, размещенный на границах форм сигнала, будет осуществлять, по меньшей мере, также алгоритмы временного отслеживания, развернутые на символах данных в глобальных и локальных блоках трафика. Помимо синхронизации хронирования, структура пилот-сигнала TDM 3 (или другие добавленные символы пилот-сигнала) позволяет оценивать канал для символов, находящихся по обе стороны границы между глобальными и локальными формами сигнала данных.
Дополнительно система 100 может включать в себя протокол символов пилот-сигнала для беспроводного приемника. Он может включать в себя средство декодирования, по меньшей мере, одного дополнительного символа пилот-сигнала для суперкадра, причем дополнительный символ пилот-сигнала является дополнением к TDM1 и TDM2 (например, позиция 120, описанный ниже демодулятор). Кроме того, протокол включает в себя средство приема суперкадра в беспроводной сети (например, позиция 120) и средство обработки суперкадра для осуществления, по меньшей мере, одного из оценки канала и синхронизации хронирования (например, позиция 140).
На фиг. 2 показана иллюстративная структура суперкадра 200. Хотя в иллюстративном суперкадре 200 показан только один дополнительный символ пилот-сигнала – TDM3, очевидно, что можно использовать более чем один дополнительный символ пилот-сигнала. Структура суперкадра 200 предусматривает новые символы OFDM для облегчения вещания множественных глобальных каналов и множественных локальных каналов в беспроводной сети. Первый символ OFDM суперкадра является, в целом, пилот-сигналом TDM 1, обозначенный 210, а второй символ OFDM пилот-сигнал TDM 2 обозначен как 220. За этой последовательностью следует пилот-сигнал TDM 3, обозначенный 230, за которым следуют глобальные OIS (символы служебной информации), обозначенные 240. В целом, новый, локальный, символ пилот-сигнала 3 TDM 230 можно вставлять до локальных символов OIS. Этот шаблон в целом повторяется во всех соединениях между глобальными и локальными каналами, например, обозначенных 250. Однако заметим, что аналогичная обработка может происходить, если подмножество символов, имеющее, по меньшей мере, два символа, располагается на границах между глобальными и локальными, например 250. По аналогии с пилот-сигналом TDM 2 220 пилот-сигнал TDM 3 230 и т.д. может иметь четыре пустых нечетных чередования (1, 3, 5, 7), причем четные чередования (0, 2, 4, 6) заняты пилот-сигналами. В отличие от пилот-сигнала TDM 2 220 пилот-сигнал TDM 3 230 может использовать три или четыре четных чередований для локальных пилот-сигналов и одно для глобального, если находится на переходе от глобального к локальному, или три для глобальных пилот-сигналов и один для локального, если пилот-сигнал TDM 3 находится на переходе от локального к глобальному. Это обеспечивается, согласно одному варианту осуществления, когда один пилот-сигнал TPC размещен на каждой границе. Согласно другому варианту осуществления, предусматривающему два символа TPC на границу, все чередования символов локального переходного пилот-канала (LTPC) заняты локальными пилот-сигналами FDM, а чередования символов глобального TPC (WTPC) – глобальными пилот-сигналами FDM. Очевидно, возможны и другие конфигурации суперкадра 200.
В качестве основы можно использовать двести девяносто символов данных на кадр 200. Два новых символа OFDM, глобальный 260 и локальный 270 каналы идентификации (WIC и LIC) вводятся между TDM 1 и TDM 2 в начале суперкадра 200. В оставшейся части суперкадра 200 вводится, например, двадцать символов пилот-сигнала TDM 3 250. Согласно другому варианту осуществления вводится одиннадцать символов пилот-сигнала TDM 3. В общем случае, согласно варианту осуществления с двумя пилот-сигналами TDM 3 существует два специализированных символа OFDM на каждом переходе между глобальными и локальными каналами. Однако возможны исключения. Существует только один символ TDM 3 до первого глобального символа OIS (WOIS) и один в конце последнего кадра до символов PPC, что указано с использованием более короткого слоя для TDM 3, обозначенного 230 и 280 на фиг. 2.
Новый канал пилот-сигнала позиционирования (PPC) может быть добавлен в 290, и он включает в себя P символов OFDM в конце суперкадра. Пилот-сигналы позиционирования помогают определить местоположение приемника методом триангуляции.
Положения символов TDM 3 показаны в вышеприведенной таблице согласно варианту осуществления, предусматривающему как глобальные, так и локальные символы пилот-сигнала TDM 3. Количество полезных символов данных OFDM на кадр обозначено F, из которых W используется для глобальных каналов и F – W для локальных каналов, причем W принимает значения от 0 до F. Как отмечено выше, базовое значение для F может равняться 290, что соответствует базовому значению шести пилот-сигналов позиционирования, P=6. Однако, если пилот-сигналы позиционирования не используются, по меньшей мере, 2 символа следует зарезервировать при современных нумерологических ограничениях. При P=2 количество символов на кадр может увеличиться с 290 до 291. Одно соотношение между F и P выглядит следующим образом:

Заметим, что из вышеприведенного описания положения символа пилот-сигнала TDM 3 символы пилот-сигнала TDM 3 также можно интерпретировать как часть кадра. В частности, кадр 200 может начинаться с глобального символа TDM3 в начале и заканчиваться локальным символом TDM3 в конце и может включать в себя два символа TDM3 на переходе от глобального к локальному в кадре. При таком подсчете количество символов на кадр будет F+4, что также является коэффициентом, который появляется в вышеприведенной таблице. Аналогично, символы TDM3 вокруг OIS могут быть включены в OIS, что дает 7 глобальных символов OIS и 7 локальных символов OIS, причем фаза каждого OIS начинается и заканчивается символом TDM3. Рассматривать ли символы TDM3 как часть кадра и OIS, является вопросом соглашения, но также может определяться исходя из требований оборудования. Согласно варианту осуществления с одним символом TPS такие простые аналогии невозможны, поскольку, в общем случае, существует F+2 символов на кадр, кроме одного кадра (первого или последнего), который содержит F+3 символа.
На фиг. 3 показан иллюстративный шаблон 300 чередования для одного символа TPS, имеющего место на границе формы сигнала. Как отмечено выше, символ, именуемый пилот-сигналом TDM 3, располагается на каждой границе локальной/глобальной и глобальной/локальной. Структура этого символа показана на фиг.3. Чередования 0, 2 и 6 (в этом примере), обозначенные 310, 312, и 314 соответственно, заняты глобальными пилот-сигналами. Чередование 4, обозначенное 320, используется локальными пилот-сигналами. Аббревиатура “ctpn” соответствует оценке канала и хронированию глобального пилот-сигнала TPC. Другими словами, это чередование может использоваться блоком оценки канала в глобальном режиме как чередование “предыдущего символа” пилот-сигнала FDM для демодуляции первого глобального символа и также используется для синхронизации хронирования. Аналогично, “cpl” обозначает чередование пилот-сигнала, используемое локальным блоком оценки канала при получении измерения канала для “будущего символа”. Это измерение используется для демодуляции последнего локального символа трафика. Чередования пилот-сигнала, обозначенные “tp”, используются для синхронизации хронирования символов данных в области будущего. Эти чередования 310-320 разделены пустыми чередованиями, в которых не передается никакой энергии. Для поддержания постоянной полной передаваемой энергии по всем символам OFDM (включая символы, где все чередования заняты) ненулевые чередования в пилот-сигналах TPC масштабируются с коэффициентом . Локальный и глобальный блоки оценки канала должны учитывать это при использовании пилот-сигналов, обозначенных “cpl” и “cpn” (в частности, это подразумевает, что приемник знает, где находятся эти границы).
Пилот-сигналы оценки канала следуют шаблону занятия рядом с соответствующим трафиком. Иными словами, в примере 300 предполагается применение шаблона разнесения (0, 3, 6) и что последний локальный символ резервирует чередование 1 для пилот-сигналов; аналогично, пилот-сигналы должны располагаться на чередовании 3 первого символа в области глобального трафика. При использовании шаблона разнесения пилот-сигнала (0, 3, 6) можно накладывать ограничения, как на глобальный, так и на локальный блоки, чтобы каждый из них состоял из нечетного количества символов. Таким образом, можно гарантировать, что пилот-сигналы TDM 3 следуют одному и тому же шаблону, где нечетные чередования обнулены. Согласно вариантам осуществления, в которых предусмотрен шаблон разнесения (2, 6), такие ограничения не требуются, поскольку пилот-сигналы TDM3 всегда содержат пилот-сигналы FDM только на четных чередованиях. Однако положение чередования “cpl” может в этом случае изменяться от одной границы формы сигнала к следующей. Требование, связанное с поддержанием занятия только четных чередований в пилот-сигналах TDM3, обеспечивает определенные преимущества в синхронизации хронирования. Конкретно, если ненулевыми являются нечетные чередования, вместо четных, результирующий сигнал во временной области перестает быть периодичным (второй период равен первому периоду с обратным знаком). Это может немного усложнить процедуру демодуляции, но служебная нагрузка оказывается незначительной, и такие реализации можно рассматривать.
На фиг. 4 представлен альтернативный вариант осуществления, где используются множественные символы пилот-сигнала TDM 3. Согласно этому варианту осуществления два дополнительных символа пилот-сигнала используются на границах между локальными и глобальными формами сигнала данных. Это показано в 410 и 420, где символы локального переходного пилот-канала (LTPC) и глобального переходного пилот-канала (WTPC) изображены как подмножество символов. Как показано в 420, такие группировки LTPC и WTPC могут иметь место между локальными и глобальными формами сигнала, которые появляются в передаче OFDM. В общем случае LTPC используется для декодирования последнего пакета локальной структуры данных, где последний локальный символ можно обозначить как локальный символ L. Таким образом, соответствующий приемник обрабатывает трехсимвольный пакет, который включает в себя локальный символ L, локальный символ L-1 и соответствующий LTPC для определения канальной оценки, соответствующей последнему локальному символу L. При декодировании первого глобального символа N, трехсимвольный пакет для обработки приемника состоит из WTPC, первого глобального символа N и следующего глобального символа N+1. Очевидно, что можно также использовать более двух символов TDM3 между границами локальных и глобальных данных.
Структура символа для TDM3, которая используется для LTPC и WTPC, аналогична структуре нормального символа данных. Она включает в себя восемь канальных интервалов, которые заняты, и соответствующие символы данных все равны ‘0’ до скремблирования, где чередования представляют собой подмножество несущих, и канальные интервалы отображаются в чередования для рандомизации заполнения чередований. Порождающие полиномы и маски скремблирования, отображение канальных интервалов в чередования и энергии символов модуляции, примерно такие же, как для символов данных. В частности, глобальные символы TDM3 – WTPC скремблируются с использованием глобального ID в порождающем полиноме, и локальные символы TDM3 – LTPC скремблируются с использованием как глобальных, так и локальных ID в порождающем полиноме. В общем случае приемнику не требуется определять положения TDM3 в одном примере модемной реализации, поскольку он использует пилот-сигналы FDM в соответствующих символах LTPC или WTPC, как будто они являются обычными символами данных. Тем не менее, для передачи информации, касающейся положений TDM3, требуется очень малая служебная нагрузка, и она может быть полезной в качестве пути обновления для активизации временного отслеживания и синхронизации хронирования на основании TDM 3, где символ TPC, соответствующий следующему контенту данных, также используется для синхронизации хронирования.
Согласно варианту осуществления с одним символом TPS на границах и с шаблоном разнесения пилот-сигнала (0, 3, 6) на фиг. 5 показаны возможные шаблоны 500 хронирования пилот-сигнала. Ниже будет описана обработка, необходимая в этом конкретном варианте осуществления, хотя аналогичные способы можно использовать для других вариантов осуществления. В шаблонах 500 белые прямоугольники обозначают чередования (в общем случае, чередования, соответствующие следующему контенту данных), которые используются для синхронизации хронирования. Шаблон белых и черных пилот-сигналов на ненулевых чередованиях пилот-сигнала TDM 3 можно поддерживать фиксированным (например, как на фиг. 3), если количества символов в глобальной и локальной областях заданы в виде 8n-1. Поскольку это не обязательно, может существовать четыре разных шаблона 500, опять же для примера перехода от локального к глобальному. В соответствии с каждым из четырех разных шаблонов 500 метод демодуляции, используемый при синхронизации хронирования, может немного различаться.
Рассмотрим синхронизацию хронирования на переходе от локальной к глобальной форме сигнала в вышеупомянутом варианте осуществления с разнесением пилот-сигнала (0, 3, 6) и одним символом TPS. (Это более проблематичная ситуация для синхронизации хронирования, поскольку глобальный оцененный канал часто является супермножеством локального оцененного канала.) Синхронизация хронирования в некоторых беспроводных сетях, в целом, основана на оценке канала. Поскольку локальные пилот-сигналы, обозначенные “cpl” на фиг. 3, подвергаются свертке с соответствующим локальным каналом, их присутствие в принятом сигнале не может давать дополнительной информации о глобальном канале. Таким образом, для синхронизации хронирования можно использовать три чередования пилот-сигнала. Это дает глобальные канальные оценки длиной 1536. Заметим, что локальные пилот-сигналы вещаются только с локальных передатчиков и установленное скремблирование также специфично для этой локальной области. Таким образом, все, что приемник может извлечь из таких локальных пилот-сигналов, это информация о локальном канале.
Для простоты рассмотрим шаблон 2 в 510 на фиг. 5, который согласуется с фиг. 3. Благодаря линейности можно предположить, что передаются два отдельных символа – один с глобальными чередованиями и другой только с локальным чередованием – и что они принимаются после прохождения по разным каналам – глобальному и локальному соответственно. Это отражено на фиг. 5 и будет более подробно описано ниже. Поскольку интерес представляет оценка глобального канала hn(k), контент четвертого принятого чередования (обозначенный “x“) в целом не имеет значения. Фактически, в этом чередовании принимается линейная комбинация , где обозначает четвертое чередование i-го локального канала.
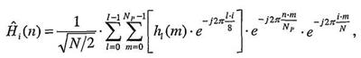
На фиг. 6 показана иллюстративная структура 600 принятого символа пилот-сигнала TDM 3. Заметим, что на фиг. 6 рассматриваются ненулевые чередования, а именно принятый символ OFDM является периодическим с двумя периодами длиной 2048, которые задаются ненулевыми чередованиями. За счет дискретизации одного периода ненулевые чередования захватываются из фиг. 3. После соответствующей дискретизации, 2K-БПФ и дескремблирования (глобальных пилот-сигналов) осуществляется ОБПФ. В целом, соответствующий этап состоит в осуществлении 2K-ОБПФ, которое реализуется в виде каскада из четырех 512-ОБПФ, после которых следуют линейные изменения фазы и 4-точечный объединитель ОБПФ. Рассмотрим выходной сигнал 512-ОБПФ и линейного изменения фазы, действующего на чередовании i. Если оценка канала основана на I чередованиях пилот-сигнала, то можно оценить каналы длиной I·NP, где NP=512 – это количество пилот-сигналов на чередование.
Согласно фиг. 6 I=3, и это соответствует канальным оценкам длиной 1536. Реальный канал, представляющий интерес, имеет длину 4096 (равную длине полезного участка символа OFDM). Однако в действительности большинство ненулевых отводов канала сосредоточено в узкой области. Согласно одному варианту осуществления можно предположить, что полное расширение задержки (область, занятая ненулевыми отводами канала) составляет самое большее 768 чипов. Этот ненулевой реальный канал может находиться где-либо между отводами 0 и 4095. Оценки длиной 1536 представляют эквивалентную версию реального канала длиной 4096. Полную характеристику канала, представляющего интерес (длиной 4096), можно разделить на восемь контейнеров: 0-7, где контейнер k состоит из отводов от 512·k до 512·(k+1)-1.
В общем случае контент реального ненулевого канала может находиться в контейнерах k, k+1 и k+2, по модулю 8, тогда как оцененный канал длиной 1536 охватывает только первые три контейнера. В зависимости от положения контейнера ненулевого канала, k, канал отображается в три оцененные контейнера с разными коэффициентами отображения. Синхронизация хронирования согласно одному варианту осуществления основана на определении положения контент ненулевого канала в 4096-отводных каналах и связывании этой информации с применяемым в данный момент символьным хронированием. Поскольку можно видеть только 1536 последовательных отводов и внутренность канала может выглядеть отображаемой по-разному в зависимости от положения его границ, необходимо некоторое начальное предположение относительно общего положения канала (для контейнеров k, k+1 и k+2). Если предположить, что некоторая начальная синхронизация хронирования уже имела место, наиболее вероятно, что ненулевые отводы присутствуют в контейнерах (6, 7, 0) или (7, 0, 1). Это показано в 710 на фиг. 7. В зависимости от используемого алгоритма хронирования занятие можно ограничить (7, 0, 1), как показано на фиг. 7 в 720; в противном случае имеет место дополнительная обработка до временного отслеживания (также именуемая DMTT или временное отслеживание режима передачи данных) для определения шаблона занятия.
Согласно еще одному варианту осуществления приемник может использовать только два из трех чередований пилот-сигнала в пилот-сигнале TDM 3, предназначенном для временного отслеживания, и оценивать канал длиной 1024. Такую канальную оценку во временной области можно использовать для временного отслеживания, весьма аналогичного обычному временному отслеживанию, осуществляемому где-либо в кадре. Алгоритм такого временного отслеживания проще, поскольку установление эквивалентности в этом случае выглядит одинаково для всех контейнеров каналов. Преимущество использования канальной оценки длиной 1536 в том, что временное отслеживание становится более устойчивым к большим изменениям хронирования.
Ниже приведено описание процесса получения канальной оценки длиной 1536 из трех чередований пилот-сигнала с учетом того, что аналогичный процесс можно использовать для получения канальной оценки длиной 1024 с использованием двух чередований пилот-сигнала для символа TPC. Согласно фиг. 6 для 0 l I-1, обозначенный hl(m) l-й участок (длиной NP выборок) оценочной импульсной характеристики канала, где l-й участок относится к контентам из l-го контейнера, для которых можно установить эквивалентность, с учетом оценочной импульсной характеристики канала. n-й наблюдаемый тон на i-м чередовании задается в виде:
для i = 0,2,4,6. (1)
Масштабный коэффициент вытекает из неявного N/2-точечного БПФ, разбитого на два этапа: Np-точечного БПФ и последующего 4-точечного БПФ. Последние множители в (1) выражают линейное изменение фазы, а тот, который перед ними, соответствует операции NP-точечного БПФ, применяемой на l-м участке канала, с соответствующим коэффициентом отображения. Поэтому после NP-точечного ОБПФ и удаления линейного изменения фазы из (1) остается измерение во временной области, состоящее из эквивалентных отрезков импульсной характеристики канала длиной 512. Согласно (1) эквивалентные измерения, соответствующие каждому из четырех ненулевых чередований, занятых пилот-сигналом TDM 3, задаются в виде
для i = 0,2,4,6. (2)
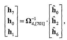
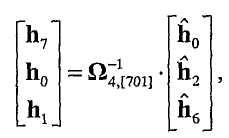
Здесь и – векторы, соответствующие измерениям чередования пилот-сигнала во временной области и в частотной области и в lk-м контейнере канала, как показано на фиг.7 позицией 710, который не пуст. Например, в 720 на фиг. 7 видно, что (l0, l1, l2)=(7, 0, 1). Масштабный коэффициент 1/2 получается как . Заметим, что (2) в общем случае обеспечивает четыре уравнения; однако в любом данном примере три из четырех возможных чередований заняты “пилот-сигналами хронирования” (см. шаблоны на фиг. 5). Поэтому последнее равенство в (2) дает три уравнения с тремя неизвестными. В этом случае, показанном на фиг. 7 позицией 720, неизвестные представляют собой (h1, h0, h7). Система решается обращением подматрицы 3×3 матрицы 4-точечного ДПФ, полученной удалением строки под номером i/2 (где i – индекс черного чередования на фиг.5) и оставлением столбцов (l0, l1, l2)mod4. Например, рассмотрим шаблон, показанный на фиг. 7 с предполагаемыми контейнерами канала (7, 0, 1). Импульсная характеристика канала длиной 1536 h(n), показанная на фиг. 7 в 720, получается из измерений, соответствующих чередованиям 0, 2 и 6, в виде:
где 
На фиг. 8 показана иллюстративная блок-схема алгоритма 800 синхронизации хронирования. Начальное время дискретизации для блока 810 2K-БПФ определяется на основании предыдущего хронирования после применения соответствующего начального смещения. Это смещение применяется, чтобы гарантировать, что выбранные данные действительно представляют один период пилот-сигнала TDM 3 и не включает в себя чипы во временной области из соседних символов OFDM. Это предумышленное начальное смещение затем компенсируется при применении коррекций хронирования. Затем осуществляется поиск хронирования на канальной оценке длиной 1536 для определения положения ненулевого канального контента длиной до 768 последовательных чипов. Согласно одному варианту осуществления этот поиск можно осуществлять, сдвигая окно накопления длиной 768 по данной канальной оценке и ища максимальный отклик такого накопления. В других примерах метрика принятия решения может быть основана на линейной комбинации накопленной энергии в окне и конечной разности, применяемой к накопленной энергии. Такая метрика часто достигает максимума на или вблизи первого ненулевого отвода со значительной энергией канала. Этот подход также известен как алгоритм определения первого пути поступления (FAP). Согласно еще одному варианту осуществления после вычисления кривой накопленной энергии для отводов канала в скользящем окне длиной 768 приемник может искать передний край и задний край плоской зоны вблизи максимальной энергии. Затем положения этих краев можно преобразовать в положения первого пути поступления и последнего пути поступления (FAP и LAP) канала. Эту информацию можно, в свою очередь, объединять с информацией о преднамеренном начальном смещении для определения надлежащего смещения хронирования, подлежащего применению при обработке последующего символа OFDM.
Некоторые ограничения, связанные с алгоритмом 800, состоят в том, что фактическое расширение задержки наблюдаемого канала не должно превышать половины длины оценки, т.е. в этом случае 768, и что занятые контейнеры канала должны быть известны заранее – см. фиг. 7. При этих допущениях производительность хронирования зависит от характеристик канала и от SNR на входе в последний блок на фиг. 8, обозначенный 820. В этой точке полезный сигнал, т.е. канальная оценка h(n), имеет такую же мощность на чип, как при использовании всех четырех чередований пилот-сигнала TDM. Что касается шума, он проходит через несколько блоков прежде, чем достигнет этой точки, и большинство из них являются унитарными (иными словами, они не меняют мощность шума). Умножение на будет изменять мощность шума, поскольку эти матрицы не являются унитарными. Можно видеть, что для каждой возможной комбинации чередований i и занятых контейнеров lk сингулярные значения соответствующей k задаются в виде [1; 1; 0,5]. Таким образом, дисперсия шума на выходе в 830 возрастает с коэффициентом (1+1+4)/3=2. Оценка канала на основании пилот-сигнала TDM 3 связана со статическими потерями 3 дБ по сравнению с полученной в ходе начального точного хронирования. Однако оценка начального точного хронирования на 3 дБ лучше, чем оценки, собранные в блоке оценки канала, и поэтому не ожидается, что блок 820 поиска точного хронирования будет работать хуже, чем соответствующий блок, используемый для временного отслеживания режима передачи данных. Другие блоки в алгоритме 800 включают в себя блок 840 БПФ, блок 850 дескремблирования, блоки 860 ОБПФ, блок 870 выбора матрицы поворота, блок выбора 880 линейного изменения фазы и блок 890 определения активного чередования.
На фиг. 9 показана обработка 900 символа пилот-сигнала для беспроводных систем. Хотя для простоты объяснения методология показана и описана в виде ряда или совокупности действий, очевидно, что описанные здесь процессы не ограничиваются порядком действий, поскольку некоторые действия могут осуществляться в другом порядке, отличном от показанного и описанного здесь, и/или одновременно с другими действиями. Например, специалистам в данной области очевидно, что методологию можно альтернативно представить в виде ряда взаимосвязанных состояний или событий, например, на диаграмме состояний. Кроме того, не все проиллюстрированные действия могут требоваться для реализации методологии в соответствии с раскрытыми здесь методологиями.
На этапе 910 производится определение одного или нескольких ограничений на суперкадр в соответствии с использованием дополнительных символов пилот-сигнала TDM. Как описано выше, они могут включать в себя положения символов, соображения относительно отображения канальных интервалов, соображения скремблирования, соображения маскирования, соображения относительно энергии, приходящейся на канальный интервал, соображения обратной совместимости и влияния на современные структуры уровня MAC. Очевидно, применительно к приемнику нужно рассматривать и учитывать модификации, внесенные в передатчик для вещания в режиме OFDM. На этапе 920 рассматриваются ограничения на дополнительный пилот-сигнал TDM. Согласно одному аспекту при этом можно определять, сколько дополнительных символов добавлять к традиционному множеству символов TDM1 и TDM2.
В целом, можно включить один дополнительный TDM3, но в суперкадр и соответствующую спецификацию можно добавлять более одного символа. Другие соображения включают в себя одно или несколько ограничений, определенных на этапе 910 для структуры суперкадра в целом. На этапе 930 в структуру суперкадра добавляется, по меньшей мере, один дополнительный символ пилот-сигнала TDM. Как отмечено выше, первый дополнительный пилот-сигнал, в целом, следует TDM2, где последующие дополнительные пилот-сигналы используются для разделения между локальными и глобальными информационными вещаниями. Очевидно, возможны и другие конфигурации. На этапе 940, после добавления дополнительных пилот-сигналов в суперкадр, можно осуществлять синхронизацию хронирования, оценку канала и/или самонастройку АРУ на соответствующем приемнике, который получает такую информацию при вещании в режиме OFDM.
На фиг. 10 показано пользовательское устройство 1000, которое используется в среде беспроводной связи, в соответствии с одним или несколькими изложенными здесь аспектами. Пользовательское устройство 1000 содержит приемник 1002, который принимает сигнал, например, от приемной антенны (не показана) и осуществляет обычные действия (например, фильтрует, усиливает, преобразует с понижением частоты и т.д.) над принятым сигналом и цифрует преобразованный сигнал для получения выборок. Демодулятор 1004 может демодулировать и выдавать принятые символы пилот-сигнала на процессор 1006 для оценки канала. Процессор 1006 может представлять собой процессор, предназначенный для анализа информации, полученной приемником 1002 и/или генерации информации для передачи посредством передатчика 1016, процессор, который управляет одним или несколькими компонентами пользовательского устройства 1000, и/или процессор, который анализирует информацию, принятую приемником 1002, генерирует информацию для передачи передатчиком 1016 и управляет одним или несколькими компонентами пользовательского устройства 1000. Пользовательское устройство 1000 может дополнительно содержать память 1008, оперативно подключенную к процессору 1006.
Очевидно, что описанный здесь компонент хранения данных (например, память) может представлять собой энергозависимую память или энергонезависимую память или может включать в себя как энергозависимую, так и энергонезависимую память. В порядке иллюстрации, но не ограничения, энергонезависимая память может включать в себя постоянную память (ПЗУ), программируемое ПЗУ (ППЗУ), электрически программируемое ПЗУ (ЭППЗУ), электрически стираемое ППЗУ (ЭСППЗУ) или флэш-память. Энергозависимая память может включать в себя оперативную память (ОЗУ), которая выступает в роли внешней кэш-памяти. В порядке иллюстрации, но не ограничения, ОЗУ существует в разных формах, например синхронное ОЗУ (СОЗУ), динамическое ОЗУ (ДОЗУ), синхронное ДОЗУ (СДОЗУ), с удвоенной скоростью обмена данными СДОЗУ (DDR CDRAM), расширенное СДОЗУ (РСДОЗУ), Synchlink ДОЗУ (SLDRAM) и direct Rambus ОЗУ (DRRAM). Память 1008 для рассматриваемых систем и способов призвана содержать, но без ограничения, эти и любые другие подходящие типы памяти.
На фиг. 11 показана иллюстративная система 1100, которая содержит базовую станцию 1102, приемник 1110 которой принимает сигнал(ы) от одного или нескольких пользовательских устройств 1104 через совокупность приемных антенн 1106 и передатчик 1124 которой передает на одно или несколько пользовательских устройств 1104 через передающую антенну 1108. Приемник 1110 может принимать информацию через приемные антенны 1106 и оперативно связан с демодулятором 1112, который демодулирует принятую информацию. Демодулированные символы анализируются процессором 1114, который аналогичен вышеописанному процессору и который подключен к памяти 1116.
На фиг. 12 показана иллюстративная система беспроводной связи 1200. Для простоты описания система беспроводной связи 1200 изображена содержащей базовую станцию и один терминал. Однако, очевидно, что система может включать в себя более одной базовой станции и/или более одного терминала, причем дополнительные базовые станции и/или терминалы могут быть, по существу, аналогичны или различны для иллюстративной базовой станции и терминала, описанных ниже.
Согласно фиг. 12 на нисходящей линии связи, в точке доступа 1205, процессор 1210 данных передачи (TX) принимает, форматирует, кодирует, перемежает и модулирует (или осуществляет символьное отображение) данные трафика и выдает символы модуляции (“символы данных”). Символьный модулятор 1215 принимает и обрабатывает символы данных и символы пилот-сигнала и выдает поток символов. Символьный модулятор 1220 мультиплексирует символы данных и пилот-сигнала и выдает их на передающий блок (TMTR) 1220. Каждый передаваемый символ может быть символом данных, символом пилот-сигнала или нулевым значением сигнала. Символы пилот-сигнала могут быть мультиплексированы с частотным разделением (FDM), ортогонально мультиплексированы с частотным разделением (OFDM), мультиплексированы с временным разделением (TDM), мультиплексированы с частотным разделением (FDM) мультиплексированы с кодовым разделением (CDM).
TMTR 1220 принимает и преобразует поток символов в один или несколько аналоговых сигналов и дополнительно преобразует (например, усиливает, фильтрует и преобразует с повышением частоты) аналоговые сигналы для генерации сигнала нисходящей линии связи, пригодного для передачи по беспроводному каналу. Затем сигнал нисходящей линии связи передается через антенну 1225 на терминалы. На терминале 1230 антенна 1235 принимает сигнал нисходящей линии связи и выдает принятый сигнал на приемный блок (RCVR) 1240. Приемный блок 1240 преобразует (например, фильтрует, усиливает и преобразует с понижением частоты) принятый сигнал и цифрует преобразованный сигнал для получения выборок. Символьный демодулятор 1245 демодулирует и выдает принятые символы пилот-сигнала на процессор 1250 для оценки канала. Символьный демодулятор 1245 дополнительно принимает оценочную частотную характеристику для нисходящей линии связи от процессора 1250, осуществляет демодуляцию данных на принятых символах данных для получения оценок символов данных (которые являются оценками переданных символов данных) и выдает оценки символов данных на процессор 1255 данных RX, который демодулирует (т.е. осуществляет обратное символьное отображение), снимает перемежение и декодирует оценки символов данных для восстановления переданных данных трафика. Обработка на символьном демодуляторе 1245 и процессоре 1255 данных RX дополнительна обработке на символьном модуляторе 1215 и процессоре 1210 данных TX, соответственно, в точке доступа 1205.
На восходящей линии связи процессор 1260 данных TX обрабатывает данные трафика и выдает символы данных. Символьный модулятор 1265 принимает и мультиплексирует символы данных с символами пилот-сигнала, осуществляет модуляцию и выдает поток символов. Затем передающий блок 1270 принимает и обрабатывает поток символов для генерации сигнала восходящей линии связи, который передается антенной 1235 в точку доступа 1205.
В точке доступа 1205 сигнал восходящей линии связи с терминала 1230 принимается антенной 1225 и обрабатывается на приемном блоке 1275 для получения выборки. Затем символьный демодулятор 1280 обрабатывает выборки и выдает принятые символы пилот-сигнала и оценки символов данных для восходящей линии связи. Процессор 1285 данных RX обрабатывает оценки символов данных для восстановления данных трафика, передаваемых терминалом 1230. Процессор 1290 осуществляет оценку канала для каждого активного терминала, передающего по восходящей линии связи. Множественные терминалы могут передавать пилот-сигнал одновременно по восходящей линии связи на соответствующих назначенных множествах поддиапазонов пилот-сигнала, причем множества поддиапазонов пилот-сигнала могут пересекаться.
Процессоры 1290 и 1250 направляют (например, контролируют, координируют, управляют и т.д.) работу точки доступа 1205 и терминала 1230 соответственно. Соответствующие процессоры 1290 и 1250 могут быть связаны с блоками памяти (не показаны), в которых хранятся программные коды и данные. Процессоры 1290 и 1250 также могут производить расчеты для вывода оценок частотной и импульсной характеристик восходящей линии связи и нисходящей линии связи соответственно.
Для системы множественного доступа (например, FDMA, OFDMA, CDMA, TDMA и т.д.) множественные терминалы могут передавать одновременно по восходящей линии связи. Для такой системы поддиапазоны пилот-сигнала могут совместно использоваться разными терминалами. Методы оценки канала можно использовать в случаях, когда поддиапазоны пилот-сигнала для каждого терминала занимают весь рабочий диапазон (возможно, за исключением краев диапазона). Такая структура поддиапазонов пилот-сигнала была бы желательная для получения частотного разнесения для каждого терминала. Описанные здесь методы можно реализовать различными средствами. Например, эти методы можно реализовать посредством оборудования, программного обеспечения или их комбинации. Для аппаратной реализации блоки обработки, используемые для оценки канала, можно реализовать в одной или нескольких специализированных интегральных схемах (СИС), цифровых сигнальных процессорах (ЦСП), устройствах цифровой обработки сигнала (УЦОС), программируемых логических устройств (ПЛУ), программируемых пользователем вентильных матрицах (FPGA), процессорах, контроллерах, микроконтроллерах, микропроцессорах, других электронных блоках, предназначенных для осуществления описанных здесь функций, или их комбинации. Программная реализация предусматривает использование модулей (например, процедур, функций и пр.), которые осуществляют описанные здесь функции. Программные коды могут храниться в блоке памяти и выполняться процессорами 1290 и 1250.
Для программной реализации описанные здесь методы можно реализовать с модулями (например, процедурами, функциями и пр.), которые осуществляют описанные здесь функции. Программные коды могут храниться в блоках памяти и выполняться процессорами. Блок памяти можно реализовать в процессоре или вне процессора, в каковом случае он может быть подключен к процессору с возможностью обмена данными различными средствами, известными в технике.
Вышеприведенное описание включает в себя иллюстративные варианты осуществления. Конечно, невозможно описать все мыслимые комбинации компонентов или методологий в целях описания вариантов осуществления, но специалисту в данной области техники очевидно, что возможны многие дополнительные комбинации и перестановки. Соответственно, эти варианты осуществления призваны охватывать все подобные изменения, модификации и вариации, отвечающие сущности и объему прилагаемой формулы изобретения. Кроме того, постольку, поскольку термин “включает в себя” используется либо в подробном описании, либо в формуле изобретения, этот термин подразумевает включение наподобие термина “содержащий”, поскольку “содержащий” интерпретируется при использовании в качестве связующего слова в формуле изобретения.
Формула изобретения
1. Способ синхронизации по времени в беспроводном приемнике, содержащий этапы, на которых принимают кадр данных, имеющий, по меньшей мере, один символ пилот-сигнала, мультиплексированного с временным разделением (TDM), обрабатывают, по меньшей мере, один символ пилот-сигнала TDM, находящийся на переходе между глобальной и локальной формами сигнала, обрабатывают, по меньшей мере, один символ пилот-сигнала TDM, причем нечетные чередования, связанные с пилот-сигналом TDM, заданы равными нулю, принимают кадр данных, который включает в себя символы, ортогонально мультиплексированные с частотным разделением (OFDM), используют, по меньшей мере, три четных чередования из четырех четных чередований для синхронизации по времени в символах OFDM после границы формы сигнала, и осуществляют синхронизацию хронирования посредством, по меньшей мере, одного быстрого преобразования Фурье (БПФ) и, по меньшей мере, одного обратного быстрого преобразования Фурье (ОБПФ).
2. Способ по п.1, дополнительно содержащий этап, на котором обеспечивают компонент дескремблирования пилот-сигнала для обработки данных от компонента БПФ.
3. Способ по п.2, дополнительно содержащий этап, на котором определяют и применяют линейное изменение фазы, действующее при чередовании i, где i – целое число.
4. Способ по п.3, дополнительно содержащий этап, на котором определяют, по меньшей мере, один вектор, соответствующий измерению чередования пилот-сигнала во временной области и в частотной области.
5. Способ по п.1, дополнительно содержащий этап, на котором используют, по меньшей мере, один символ пилот-сигнала TDM для оценки канала.
6. Способ по п.5, дополнительно содержащий этап, на котором обрабатывают одно чередование по меньшей мере одного символа пилот-сигнала TDM как чередование пилот-сигнала, мультиплексированного с частотным разделением (FDM), в соответствии с контентом данных до границы, и обрабатывают другое чередование по меньшей мере одного символа пилот-сигнала TDM как чередование пилот-сигнала FDM в соответствии с контентом данных после границы.
7. Способ по п.1, дополнительно содержащий этап, на котором обрабатывают шаблон чередования по меньшей мере одного символа пилот-сигнала TDM в соответствии с шаблоном разнесения пилот-сигнала.
8. Способ по п.1, дополнительно содержащий этап, на котором определяют параметр дескремблирования для по меньшей мере одного символа пилот-сигнала TDM на основании глобального идентификатора (WID) и локального идентификатора (LID).
9. Способ по п.1, дополнительно содержащий этап, на котором определяют данные, касающиеся положения, по меньшей мере, одного символа пилот-сигнала TDM.
10. Модуль синхронизации по времени для беспроводного приемника, содержащий компонент сбора для дискретизации, по меньшей мере, одного дополнительного символа пилот-сигнала для приемника беспроводной сети, компонент быстрого преобразования Фурье (БПФ), связанный с компонентом сбора, причем компонент сбора принимает информацию предыдущей позиции хронирования и применяет начальное смещение, по меньшей мере, один компонент декодирования, который использует, по меньшей мере, один дополнительный символ пилот-сигнала для осуществления синхронизации по времени или оценки канала при переходе между глобальной и локальной формами сигнала, компонент дескремблирования пилот-сигнала для обработки данных от компонента БПФ, блок обратного БПФ (ОБПФ) для обработки данных из компонента дескремблирования пилот-сигнала, компонент объединения измерений для обработки данных из блока ОБПФ, и блок точного хронирования для обработки данных из компонента объединения измерений и для определения и осуществления коррекции хронирования.
11. Модуль по п.10, дополнительно содержащий обработку индекса символа пилот-сигнала TDM для облегчения определения активных чередований пилот-сигнала.
12. Модуль по п.10, дополнительно содержащий применение операции поворота матрицы для облегчения процесса объединения измерений.
13. Модуль по п.12, дополнительно содержащий выбор и применение линейного изменения фазы для облегчения процесса объединения измерений.
14. Модуль по п.10, дополнительно содержащий машинно-считываемый носитель информации, на котором хранятся машинно-считываемые команды для выполнения компонента сбора или компонента декодирования.
15. Система беспроводной сети, содержащая средство декодирования, по меньшей мере, одного символа пилот-сигнала, мультиплексированного с временным разделением (TDM), для перехода между глобальной и локальной формами сигнала в суперкадре, средство приема суперкадра в беспроводной сети, и средство обработки пилот-сигнала TDM для осуществления, по меньшей мере, одного из оценки канала и синхронизации хронирования.
16. Машинно-считываемый носитель информации, на котором хранятся машинно-выполняемые команды, содержащие этапы, на которых генерируют, по меньшей мере, один символ пилот-сигнала TDM на переход между глобальной и локальной формами сигнала при вещании в режиме OFDM, передают, по меньшей мере, один символ пилот-сигнала TDM в, по меньшей мере, один приемник, декодируют, по меньшей мере, один символ пилот-сигнала TDM в приемнике, и осуществляют определение и коррекцию хронирования в приемнике отчасти на основании, по меньшей мере, одного символа пилот-сигнала TDM.
17. Машинно-считываемый носитель информации по п.16, дополнительно содержащий этап, на котором осуществляют оценку канала в приемнике.
18. Машинно-считываемый носитель информации, на котором хранится структура данных, содержащая этапы, на которых декодируют, по меньшей мере, одно поле пилот-сигнала TDM на переход между глобальной и локальной формами сигнала, разделяют, по меньшей мере, одно поле пилот-сигнала TDM на одно или более полей чередования, и обрабатывают поля чередования для определения коррекции хронирования для беспроводного приемника.
19. Машинно-считываемый носитель информации по п.18, дополнительно содержащий этап, на котором обрабатывают поля чередования для определения оценки канала в приемнике.
20. Устройство беспроводной связи для определения коррекции хронирования и оценки канала, содержащее память, которая включает в себя компонент для приема, по меньшей мере, одного символа пилот-сигнала TDM на переход между глобальной и локальной формами сигнала в суперкадре, и по меньшей мере, один процессор, связанный с приемником, который декодирует суперкадр по беспроводной сети, причем процессор использует символ пилот-сигнала TDM для определения коррекции хронирования и/или оценки канала для устройства беспроводной связи.
21. Способ оценки канала в беспроводном приемнике, содержащий этапы, на которых принимают, по меньшей мере, один символ пилот-сигнала TDM, находящийся на переходе между глобальной и локальной формами сигнала из вещания в режиме OFDM, декодируют, по меньшей мере, один символ пилот-сигнала TDM для облегчения оценки канала для беспроводного приемника, и после того, как декодируют, по меньшей мере, один символ пилот-сигнала TDM, анализируют принятую информацию и далее генерируют информацию для передачи.
22. Способ синхронизации по времени в беспроводном приемнике, содержащий этапы, на которых принимают кадр данных, имеющий, по меньшей мере, первый символ пилот-сигнала, мультиплексированного с временным разделением (TDM), связанный с границей локальной формы сигнала, и, по меньшей мере, второй символ пилот-сигнала TDM, связанный с границей глобальной формы сигнала, обрабатывают первый символ пилот-сигнала TDM и второй символ пилот-сигнала TDM на протяжении кадра данных, обрабатывают трехсимвольный пакет, который включает в себя локальный символ L, локальный символ L-1 и первый символ пилот-сигнала, мультиплексированного с временным разделением (TDM), связанный с локальной формой сигнала, для облегчения оценки канала локальных символов L или L-1, и обрабатывают трехсимвольный пакет, который включает в себя глобальный символ N, глобальный символ N-1 и второй символ пилот-сигнала, мультиплексированного с временным разделением (TDM), связанный с глобальной формой сигнала, для облегчения оценки канала для глобальных символов N или N-1.
РИСУНКИ
|
|