|
|
(21), (22) Заявка: 2008130168/09, 21.07.2008
(24) Дата начала отсчета срока действия патента:
21.07.2008
(46) Опубликовано: 20.01.2010
(56) Список документов, цитированных в отчете о поиске:
RU 2302083 С1, 2007.06.27. RU 2138126 С1, 1999.09.20. US 2008065878 А1, 2008.03.13. RU 2043659 С1, 1995.09.10. WO 9834374 А1, 1998.08.06.
Адрес для переписки:
394018, г.Воронеж, ул. Плехановская, 14, ОАО “Концерн “Созвездие”
|
(72) Автор(ы):
Козленко Николай Иванович (RU), Мокроусов Александр Николаевич (RU), Зеленин Александр Юрьевич (RU)
(73) Патентообладатель(и):
Открытое акционерное общество “Концерн “Созвездие” (RU)
|
(54) СПОСОБ ПЕРЕДАЧИ И ПРИЕМА ЦИФРОВОЙ ИНФОРМАЦИИ
(57) Реферат:
Изобретение относится к области радиотехники, а именно к передаче информации в сети связи. Техническим результатом является улучшение электромагнитной совместимости внутри системы радиосвязи, улучшение информационной скрытности передаваемых сообщений, возможность работы с радиосредствами предыдущих поколений. Технический результат достигается тем, что на передающей стороне каждый блок сообщения представляют в виде первого числа Y, которое с помощью хэш-функции и известных на приеме и передаче закрытого ключа К и начального вектора v преобразуют во второе число Z, принадлежащее значительно большему числовому интервалу, чем интервал значений Y, затем последовательность чисел Z преобразуют во вторую последовательность дискретных чисел Е, каждое из которых представляет собой ошибку предсказания, которую затем интерполируют в аналоговый сигнал E(t) и передают получателю. На приемной стороне принятый сигнал E(t) квантуют по времени во вторую последовательность дискретных чисел Е, которую с помощью предсказателя, такого же, как и на передающей стороне, переводят в последовательность вторых чисел Z, которую с помощью обратного преобразования хэш-функции преобразуют в последовательность первых чисел Y. Полученные числа Y представляют в виде последовательности блоков, в результате чего получают переданный двоичный информационный сигнал. 1 ил.
Изобретение относится к области радиотехники и может быть использовано в устройствах передачи информации для повышения информационной скрытности передаваемого цифрового сигнала в условиях сети связи специального назначения с большим числом абонентов на ограниченном пространстве.
Известен способ арифметико-логической обработки цифрового сигнала, описанный в заявке 98122209 “Способ цифроаналогового преобразования и устройство для его осуществления”, Флинн Д., 1999, в котором один или более разрядов хорды значения входного цифрового сигнала управляют тем, какие из указанных выходных каскадов формируют сигнал включения, какие из выходных каскадов формируют широтно-импульсно-модулированный (ШИМ) сигнал, и какие из выходных каскадов формируют сигнал выключения, и для данного значения входного цифрового сигнала только один из выходных каскадов является выходным каскадом, формирующим ШИМ сигнала, причем любые выходные каскады с амплитудой сигнала, меньшей, чем в выходном каскаде формирования ШИМ сигнала, формируют сигналы включения, а любые выходные каскады с амплитудой сигнала, большей, чем в выходном каскаде формирования ШИМ сигнала, формируют сигналы выключения.
Недостатком данного способа является низкая информационная скрытность передачи информации, так как исходный цифровой сигнал не подвергается преобразованиям, что позволяет приемнику радиотехнической разведки раскрыть за приемлемое время смысл сообщения.
Известен способ арифметико-логической обработки дискретного сигнала, описанный в заявке на изобретение 2006110566 “Устройство и способ обработки сигнала, имеющего последовательность дискретных значений”, Гайгер Р., Шуллер Г., Шпорер Т., 2006, в котором манипулируют последовательностью дискретных значений для получения последовательности подвергнутых манипуляции значений такой, что, по меньшей мере, одно из подвергнутых манипуляции значений является нецелочисленным, и округляют последовательность значений, подвергнутых манипуляции, для получения последовательности округленных значений, подвергнутых манипуляции, причем средство для округления выполнено с возможностью осуществления формирования спектра для генерируемой ошибки округления так, что ошибка округления со сформированным спектром имеет в первом частотном диапазоне более высокую энергию, чем во втором частотном диапазоне.
Недостатком данного способа является функциональная несовместимость с аппаратурой, реализующей аналоговые методы передачи информации.
Наиболее близким к предлагаемому способу является способ арифметико-логической обработки цифрового сигнала, описанный в патенте 2302083 “Способ передачи дискретного сообщения в системах с обратной связью”, Тупота В.И., Бурушкин А.А., Минаков В.А., 2006, предназначенный для повышения скорости передачи информации в условиях сильных помех.
В данном способе входной сигнал на передающем конце линии связи делят на блоки длиною М бит, формируют дискретное сообщение в виде последовательности блоков-символов длиною М бит, формируют копию дискретного сообщения путем кодирования каждого символа дискретного сообщения в соответствии с заданной формулой, добавляют к каждому символу дискретного сообщения и его копии по одному биту для проверки их на четность, сформированное дискретное сообщение и его копию запоминают и передают по линии связи.
На приемном конце линии связи запоминают принятое сообщение и его копию, декодируют каждый символ принятой копии дискретного сообщения в соответствии с заданной формулой, сравнивают символы принятого дискретного сообщения с декодированными символами копии дискретного сообщения, корректируют ошибочно принятые символы, при необходимости передают по каналу обратной связи информацию на повторную передачу дискретного сообщения и его копии, при этом выбирают длину блок-символа дискретного сообщения в условиях сильных коррелированных мультипликативных помех в соответствии с заданной формулой.
В способе-прототипе формирование копии дискретного сообщения путем кодирования каждого символа должно было бы приводить к тому, что результат кодирования должен принадлежать числовому интервалу, значительно большему, чем числовой интервал, которому принадлежит исходный символ. Если данное условие не будет выполнено, несанкционированный пользователь методом тотального перебора вариантов способен за приемлемое время получить необходимый результат. Однако выполнение данного условия в способе-прототипе невозможно, так как это приведет к увеличению объема полезной информации, что скажется или на уменьшении скорости передачи, или на усложнении аппаратуры приема.
Кроме того, в современных сетях связи при большом количестве абонентов, располагающихся на ограниченном пространстве, возникает необходимость использования аналоговых методов передачи. Это связано, во-первых, с решением проблемы электромагнитной совместимости (ЭМС) из-за ограниченности частотного ресурса и, во-вторых, с требованием поддерживать связь с аппаратурой “старого” аналогового парка.
Таким образом, недостатком способа-прототипа является низкая информационная скрытность, а также недостаточное обеспечение ЭМС с другими аналогичными средствами связи.
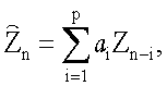
Для устранения указанных недостатков в способе передачи и приема цифровой информации, включающем на передающей стороне деление исходного цифрового сигнала на блоки длиною М бит, кодирование каждого блока сообщения в соответствии с заданной формулой, на приемной стороне – декодирование каждого блока принятого сообщения в соответствии с заданной формулой, согласно изобретению на передающей стороне кодирование каждого блока сообщения в соответствии с заданной формулой осуществляют путем перевода каждого блока длиною М бит, составляющих двоичное число D, в первое десятичное число Y [0,2M-1], которое с помощью математического алгоритма, представляющего собой криптографическую хеш-функцию на основе известных на приеме и передаче закрытого ключа К и начального вектора , и не являющуюся однонаправленной, переводят во второе десятичное число Z, принадлежащее числовому интервалу, значительно большему, чем числовой интервал, которому принадлежало первое десятичное число Y, причем полученную последовательность вторых десятичных чисел Z преобразуют во вторую последовательность дискретных чисел Е, каждое из которых представляет собой ошибку предсказания, равную , где – значение десятичного числа, предсказанное с учетом известных на приеме и передаче коэффициентов предсказания и р предыдущих значений вторых десятичных чисел Z, далее полученную вторую последовательность дискретных чисел Е интерполируют в аналоговый сигнал E(t), который передают получателю; на приемной стороне – принятый аналоговый сигнал E(t) квантуют по времени во вторую последовательность дискретных чисел Е, полученную с помощью предсказателя, аналогичного предсказателю на передающей стороне, далее полученную вторую последовательность дискретных чисел Е переводят в последовательность вторых десятичных чисел Z, которое путем преобразования каждого символа с помощью математического алгоритма, представляющего собой обратную хеш-функцию на основе закрытого ключа, не являющуюся однонаправленной, преобразуют в первое десятичное число Y, которое переводят в двоичное число D, составляющее М бит блока, далее полученную последовательность блоков длиною М бит объединяют в исходный цифровой сигнал.
Предлагаемый способ передачи и приема цифровой информации заключается в следующем.
На передающей стороне осуществляется деление двоичного информационного сигнала на блоки длиною М бит.Затем формируется дискретное сообщение в виде последовательности блоков длиною М бит каждый. Причем М бит для каждого из полученных блоков составляют свое двоичное число D, которое пересчитывается в первое десятичное число Y [0,2M-1]. Затем формируется копия дискретного сообщения путем преобразования его во второе десятичное число Z [0,2L-l], причем L>М, то есть Z должен принадлежать числовому интервалу, значительно большему, чем числовой интервал, которому принадлежит Y. Данное преобразование представляет собой вычисление криптографической хеш-функции [1] на основе известных на приеме и передаче закрытого ключа К и начального вектора . Хеш-функция является математической функцией, давно используемой в вычислительной технике, которая принимает на входе блок переменной длины и преобразует его в блок фиксированной длины [1], называемый сверткой, причем в предлагаемом способе длина свертки Z намного превышает битовую длину Y.
Алгоритм вычисления свертки Z из Y выглядит следующим образом. Десятичное число Y переводится в двоичный вид Yд, причем, если Yд не делится на N, то оно дополняется нулями. Затем вычисляется свертка [1]:
H0= ,
H1=f(Yд,H0),
Zд=H1,
причем функция f является ключевой, то есть зависит от некоторого ключа К. Окончательно двоичное число Zд переводится в десятичное число Z.
Обязательным условием применения хеш-функции является то, что она не должна быть однонаправленной, то есть должен существовать алгоритм нахождения исходного сообщения (в нашем случае Yд) из свертки (Zд).
Например, пусть f реализована как расширяющая функция вида
f(x1,x2)=(1 [g(x1) x2]) K,
где: 1 [g(x1) x2] – циклический сдвиг влево на 1 единицу;
g – это функция размножения битов: каждый j-й бит х1 определяет
(4j-3)-й, (4j-2)-й, (4j-1)-й и (4j)-й биты g(x1).
В этом случае при Y=42, Yд=101010 (М=6 бит). При К=111100001111000011110000 и =010101010101010101010101 получится следующее значение:
Zд=H1=101110111011101110111011
Полученное двоичное число Zд (L=24 бита) соответствует десятичному числу Z=1230329.
Таким образом, в результате применения данной хеш-функции первое десятичное число (Y=42) [0,63] преобразуется во второе десятичное число (Z=12303291) [0,16777215], принадлежащее значительно большему числовому интервалу. Данная хеш-функция не является однонаправленной, потому по значению Zд и известным К и на приемной стороне можно восстановить Yд.
Последовательность полученных вторых десятичных чисел Z преобразуется во вторую последовательность дискретных чисел Е, каждое из которых представляет собой ошибку предсказания, равную разности где – значение Z, предсказанное с учетом известных на приеме и передаче коэффициентов предсказания [2] и р предыдущих значений Z. Далее вторая последовательность дискретных чисел Е интерполируется в аналоговый сигнал E(t), который передается получателю.
На приемной стороне принятый аналоговый сигнал E(t) квантуется по времени во вторую последовательность дискретных чисел Е, которая с помощью предсказателя, аналогичного предсказателю на передающей стороне, переводится в последовательность вторых десятичных чисел Z, которая преобразуется в последовательность первых десятичных чисел Y, путем перевода каждого из символов Z с помощью обратного преобразования хеш-функции (то есть от свертки к начальному вектору) в соответствующий символ У. Далее каждое из полученных первых десятичных чисел Y пересчитывается в двоичное число D, которое составляет М бит блока. В результате чего образуется последовательность двоичных блоков, при объединении (депакетировании) которых получается переданный двоичный информационный сигнал.
Сообщение, передаваемое согласно предлагаемому способу по каналу радиосвязи, обладает большим числом вариантов при дешифровании, что значительно уменьшается вероятность раскрытия сигнала при условии его обнаружения, что улучшает информационную скрытность сигнала.
Предсказание текущего значения на основе предыдущих p символов не дает возможности накопления ошибок при передаче аналогового сигнала, что повышает помехоустойчивость приема и уменьшает вероятность ошибки при дальнейшем декодирования символов. Также коэффициенты предсказания могут играть роль дополнительного ключа.
Кроме того, использование данного способа в сетях связи позволяет “экономить” используемые полосы частот, что дает возможность увеличить число абонентов на ограниченной территории.
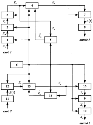
Функциональная схема устройства для осуществления предлагаемого способа представлена на чертеже, где введены следующие обозначения:
1 – пакетатор;
2 – первое арифметико-логическое устройство (АЛУ1);
3 – шифратор;
4 – вычитатель;
5 – первый предсказатель (ПР1);
6 – синхрогенератор;
7 – цифроаналоговый преобразователь (ЦАП);
8 – передающий блок (ПЕБ);
9 – второе арифметико-логическое устройство (АЛУ2);
10 – депакетатор;
11 – приемный блок (ПРБ);
12 – аналого-цифровой преобразователь (АЦП);
13 – сумматор;
14 – второй предсказатель (ПР2);
15 – дешифратор.
Устройство, с помощью которого реализуется предлагаемый способ, содержит: последовательно соединенные пакетатор 1, вход которого является первым входом устройства, АЛУ1 2, шифратор 3, вычитатель 4, ЦАП 7 и ПЕБ 8, выход которого является первым выходом устройства. Вторым входом устройства является вход ПРБ 11, выход которого через последовательно соединенные АЦП 12, сумматор 13, дешифратор 15 и АЛУ2 9 соединен с информационным входом депакетатора 10, выход которого является вторым выходом устройства. Кроме того, выход шифратора 3 соединен с первым информационным входом ПР1 5, выход которого соединен со вторым информационным входом вычитателя 4.
Выход сумматора 13 соединен, кроме того, с информационным входом ПР2 14, выход которого соединен со вторым информационным входом сумматора 13. Выход синхрогенератора 6 соединен с тактовыми входами пакетатора 1, АЛУ1 2, шифратора 3, вычитателя 4, ПР1 5, ЦАП 7, АЦП 12, сумматора 13, дешифратора 15, АЛУ2 9, ПР2 14 и депакетатора 10.
Устройство, с помощью которого реализуется предлагаемый способ, работает следующим образом.
На передающем конце двоичная информационная последовательность поступает в пакетатор 1, где происходит ее деление на двоичные блоки по М бит. С выхода пакетатора 1 полученный n-ый (n [1, ]) блок подается на вход АЛУ1 2, в котором производятся следующие преобразования: М бит данного n-ого двоичного блока составляют двоичное число Dn, которое пересчитывается в первое десятичное число Yn [0,2M-1], которое подается на информационный вход шифратора 3, где переводится во второе десятичное число Zn=f[Yn) [0,2L-1], L M, где f – хеш-функция, не являющаяся однонаправленной.
В блоке 4 из полученного значения Zn вычитается предсказанное значение полученное в ПР1 5 на основе значений р предыдущих значений:
Zn-p, , Zn-1. Полученная в блоке 4 ошибка предсказания поступает в ЦАП 7, где по получаемым значениям En(n [1, ]) формируется аналоговый сигнал E(t), который подается в ПЕБ 8, откуда передается получателю.
На приемном конце входной сигнал принимается ПРБ 11, с выхода которого аналоговый сигнал E(t) поступает в АЦП 12, где преобразуется в последовательность дискретных значений En, каждое из которых в блоке 13 суммируется со значением , поступающим с выхода ПР2 14, с целью получения Zn, которое по цепи обратной связи подается на информационный вход ПР2 14. Значение Zn, кроме того, поступает в дешифратор 15, где определяется первое десятичное число Yn=f-1(Zn), где f – обратное преобразование хеш-функции, не являющейся однонаправленной. Далее, значение Yn поступает в АЛУ2 9, где пересчитывается из десятичного вида Yn в двоичный Dn. Полученные таким образом М бит двоичного числа Dn объединяются в депакетаторе 10 в двоичную информационную последовательность, которая подается на второй выход устройства.
С выхода синхрогенератора 6 на пакетатор 1, АЛУ1 2, шифратор 3, вычитатель 4, ПР1 5, ЦАП 7, АЦП 12, сумматор 13, дешифратор 15, АЛУ2 9, ПР2 14 и депакетатор 10 подаются тактовые импульсы, определяющие начало каждой микрооперации, в результате чего обеспечивается синхронизация работы устройства в целом.
Использование современных микропроцессоров позволяет проводить преобразования передаваемого и принимаемого сигналов в данном устройстве с высоким быстродействием, что обеспечит конфиденциальность при одновременном увеличении ЭМС между абонентами сети.
Таким образом, предлагаемым изобретением достигается технический результат:
– улучшение информационной скрытности передаваемых сообщений;
– экономия используемой системой радиосвязи полосы частот, что улучшает ЭМС внутри системы радиосвязи;
– возможность работы с радиосредствами предыдущих поколений.
Предсказатель может быть реализован так, как указано в [2, стр.110, 111]. Шифратор и дешифратор могут быть выполнены, например, в виде микропрограммных контроллеров, описанных в [3, стр.299-301]. Реализация остальных блоков не вызывает затруднений, т.к. они широко описаны в научно-технической литературе.
Источники информации
1. Алферов, Черемушкин, Зубов. Основы криптографии. – М.: Радио и связь, 2000.
2. Прокис Дж. Цифровая связь. Пер. с анг. / Под ред. Д.Д.Кловского. – М.: Радио и связь, 2000.
3. Алексеенко А.Г., Шагурин И.И. Микросхемотехника. – М.: Радио и связь, 1990.
Формула изобретения
Способ передачи и приема цифровой информации, включающий на передающей стороне деление исходного цифрового сигнала на блоки длиною М бит, кодирование каждого блока сообщения в соответствии с заданной формулой, на приемной стороне – декодирование каждого блока принятого сообщения в соответствии с заданной формулой, отличающийся тем, что на передающей стороне кодирование каждого блока сообщения в соответствии с заданной формулой осуществляют путем перевода каждого блока длиною М бит, составляющих двоичное число D, в первое десятичное число Y [0,2M-1], которое с помощью математического алгоритма, представляющего собой криптографическую хеш-функцию на основе известных на приеме и передаче закрытого ключа К и начального вектора v, и не являющуюся однонаправленной, переводят во второе десятичное число Z, принадлежащее числовому интервалу значительно большему, чем числовой интервал, которому принадлежало первое десятичное число Y, причем полученную последовательность вторых десятичных чисел Z преобразуют во вторую последовательность дискретных чисел Е, каждое из которых представляет собой ошибку предсказания, равную , где – значение десятичного числа, предсказанное с учетом известных на приеме и передаче коэффициентов предсказания и р предыдущих значений вторых десятичных чисел Z, далее полученную вторую последовательность дискретных чисел Е интерполируют в аналоговый сигнал E(t), который передают получателю; на приемной стороне – принятый аналоговый сигнал E(t) квантуют по времени во вторую последовательность дискретных чисел Е, полученную с помощью предсказателя, аналогичного предсказателю на передающей стороне, далее полученную вторую последовательность дискретных чисел Е переводят в последовательность вторых десятичных чисел Z, которое путем преобразования каждого символа с помощью математического алгоритма, представляющего собой обратную хеш-функцию на основе закрытого ключа, не являющуюся однонаправленной, преобразуют в первое десятичное число Y, которое переводят в двоичное число D, составляющее М бит блока, далее полученную последовательность блоков длиною М бит объединяют в исходный цифровой сигнал.
РИСУНКИ
|
|