|
|
(21), (22) Заявка: 2008116109/09, 23.04.2008
(24) Дата начала отсчета срока действия патента:
23.04.2008
(46) Опубликовано: 20.01.2010
(56) Список документов, цитированных в отчете о поиске:
RU 2181528 С2, 20.04.2002. RU 2001533 C1, 15.10.1993. EP 0887945 A2, 30.12.1998. EP 1381163 A1, 14.01.2004. US 6510313 B1, 21.01.2003.
Адрес для переписки:
197082, Санкт-Петербург, П-082, ул. Красного курсанта, 16, ВКА им. А.Ф. Можайского
|
(72) Автор(ы):
Смирнов Дмитрий Федорович (RU), Макаров Сергей Борисович (RU), Крячко Александр Федотович (RU), Крячко Михаил Александрович (RU), Минаев Дмитрий Владимирович (RU)
(73) Патентообладатель(и):
Государственное образовательное учреждение высшего профессионального образования Военно-космическая академия им. А.Ф. Можайского (RU)
|
(54) СУПЕРГЕТЕРОДИННЫЙ ПРИЕМНИК
(57) Реферат:
Супергетеродинный приемник относится к радиотехнике и может использоваться в радиотехнических системах различного целевого назначения. Достигаемый технический результат – повышение помехоустойчивости путем обеспечения приема полезной информации на частотах основного и зеркального каналов приема. Супергетеродинный приемник содержит приемную антенну, усилитель радиочастоты, первый и второй полосовые фильтры, первый и второй измерители отношения сигнал/шум, электронный коммутатор, блок сравнения, ключ, смеситель, гетеродин, усилитель промежуточной частоты, систему АРУ, детектор, усилитель частоты модуляции и оконечное устройство. 2 ил.
Предлагаемый приемник относится к радиотехнике и может использоваться в радиотехнических системах различного целевого назначения.
Известны супергетеродинные приемники (авт. свид.  1718695, 1758883, 1785410, 1799226, 1799227; патенты РФ  1838882, 2001533, 2007046; Радиоприемные устройства. Под ред. А.Г.Зюко. – М., Связь, 1975, с.8, рис.1.2 и другие).
Из известных устройств наиболее близким к предлагаемому является «Супергетеродинный приемник» (см. Радиоприемные устройства. Под ред. А.Г.Зюко. – М., Связь, 1975, с.8, рис.1.2), который и выбран в качестве прототипа.
Указанный приемник обладает по сравнению с приемниками прямого усиления более высокими характеристиками по чувствительности и избирательности, что, безусловно, является его важнейшими достоинствами. В супергетеродинном приемнике с помощью преобразователя частоты происходит перенос спектра полезного сигнала с частоты fc основного канала приема на промежуточную частоту
fпp с сохранением закона модуляции.
Однако в любом супергетеродинном приемнике существуют побочные каналы приема. Наиболее опасным побочным каналом приема является зеркальный канал приема, частота которого fз отстоит от частоты основного канала приема fc на удвоенную промежуточную частоту (2 fпp) в сторону расположения частоты гетеродина fг, т.е. на частотной оси зеркальный и основной каналы приема симметрично расположены относительно частоты гетеродина. Это приводит к тому, что одно и тоже значение промежуточной частоты может быть получено в результате приема сигналов на двух частотах fc и fз, т.е. fпp=fc-fг и fпp=fг-f3. При этом с частоты приема основного канала fc на промежуточную частоту fпp переносится полезная информация, а все, что переносится на промежуточную частоту fпp с частоты зеркального канала приема f, играет роль помехи, что приводит к снижению качества приема полезной информации и снижению помехоустойчивости приемника. Преобразование по зеркальному каналу приема происходит с тем же коэффициентом преобразования Кпр, что и по основному каналу приема. Поскольку зеркальный канал приема по сравнению с другими побочными каналами приема наиболее существенно влияет на помехозащищенность супергетеродинного приемника, то используют различные методы ослабления влияния данного канала приема. Основными методами ослабления приема по зеркальному каналу являются улучшение избирательных свойств преселектора, т.е. избирательных свойств элементов, расположенных до первого преобразователя частоты, и увеличение значения промежуточной частоты fпp. Решение этой задачи, очевидно, упрощается при выборе более высокой промежуточной частоты. Однако последнее, в свою очередь, затрудняет формирование требуемой резонансной характеристики усилителя промежуточной частоты, особенно если полоса пропускания его должна быть достаточно узкой. Разрешение возникающего противоречия возможно путем применения двойного преобразования частоты, а иногда и многократного преобразования.
В ряде случаев, особенно в условиях сложной электромагнитной обстановки и сильных по интенсивности помех, целесообразно не ослаблять, а использовать этот нежелательный побочный канал приема для повышения помехоустойчивости супергетеродинного приемника. Известны способы и устройства повышения помехоустойчивости приема сигналов, основанные на использовании нескольких разных частот, несущих одну и туже информацию, с последующим сложением сигналов или автоматическим выбором лучшего из них. См., например, книгу «Коротковолновые магистральные радиоприемные устройства». М., Связь, 1971, с.169-179.
Задачей изобретения является повышение помехоустойчивости супергетеродинного приемника за счет обеспечения приема полезной информации на частотах основного и зеркального каналов приема.
Поставленная задача решается тем, что в супергетеродинный приемник, содержащий антенну, усилитель радиочастоты, последовательно включенные смеситель, второй вход которого соединен с выходом гетеродина, усилитель промежуточной частоты, детектор, усилитель частоты модуляции и оконечное устройство, снабжен двумя полосовыми фильтрами с одинаковыми полосами пропускания, частоты настройки которых соответствуют частотам основного и зеркального каналов приема, двумя измерителями отношения сигнал/шум, ключом, блоком сравнения, системой АРУ и электронным коммутатором, причем выход приемной антенны соединен с входом усилителя радиочастоты, выход которого через первый полосовой фильтр соединен с входом первого измерителя отношения сигнал/шум и с первым сигнальным входом электронного коммутатора, выход усилителя радиочастоты через второй полосовой фильтр соединен с входом второго измерителя отношения сигнал/шум, с вторым сигнальным входом электронного коммутатора и сигнальным входом ключа, выход первого измерителя отношения сигнал/шум соединен с первым управляющим входом электронного коммутатора и первым входом блока сравнения, а выход второго измерителя отношения сигнал/шум соединен с вторым управляющим входом электронного коммутатора и вторым входом блока сравнения, выход электронного коммутатора соединен с входом смесителя, выход блока сравнения соединен с управляющими входом ключа, выход которого соединен с входом смесителя, выход усилителя промежуточной частоты через систему АРУ соединен с вторым входом этого усилителя.
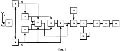
Структурная схема предлагаемого супергетеродинного приемника представлена на фиг.1. Принципиальная схема электронного коммутатора изображена на фиг.2 Супергетеродинный приемник содержит последовательно включенные приемную антенну 1, усилитель 2 радиочастоты, первый 3 полосовой фильтр настроен на частоту основного канала приема, выход которого соединен с входом первого 5 измерителя отношения сигнал/шум и с первым сигнальным входом электронного коммутатора 7, выход усилителя 2 радиочастоты через второй 4 полосовой фильтр, настроенный на частоту зеркального канала приема, соединен с входом второго 6 измерителя отношения сигнал/шум, с вторым сигнальным входом электронного коммутатора 7 и сигнальным входом ключа 9, выход первого 5 измерителя отношения сигнал/шум соединен с первым управляющим входом электронного коммутатора 7 и первым входом блока сравнения 8, а выход второго 6 измерителя отношения сигнал/шум соединен с вторым управляющим входом электронного коммутатора 7 и вторым входом блока сравнения 8. Выход электронного коммутатора 7 соединен с входом смесителя 10, к второму входу которого подключен гетеродин 11, выход блока сравнения 8 соединен с управляющим входом ключа 9, выход которого соединен с входом смесителя 10. К выходу смесителя 10 подсоединены последовательно соединенные усилитель промежуточной частоты 12, детектор 14, усилитель 15 частоты модуляции и оконечное устройство 16, причем выход усилителя промежуточной частоты 12 через систему АРУ 13 соединен с вторым входом этого усилителя.
Супергетеродинный приемник работает следующим образом. Принимаемые сигналы на частотах fc основного и зеркального fз каналов приема с выхода приемной антенны 1 через широкополосный усилитель 2, где происходит их одинаковое усиление, поступают на входы полосовых фильтров 3 и 4 с одинаковыми полосами пропускания, частоты настройки которых равны соответственно частотам основного
fc и зеркального fз каналов приема. С выходов полосовых фильтров 3 и 4 сигналы на частотах fc и fз поступают соответственно на входы первого 5 и второго 6 измерителей отношения сигнал/шум, а также на первый и второй сигнальные входы электронного коммутатора 7. Кроме того, с выхода полосового фильтра 4 сигнал подается на сигнальный вход ключа 9. На выходе измерителей 5 и 6 отношений сигнал/шум вырабатываются управляющие напряжения, пропорциональные отношениям сигнал/шум в основном и зеркальном каналах, которые подаются соответственно на первый и второй управляющие входы электронного коммутатора 7, а также на два входа блока 8 сравнения. Электронный коммутатор 7 в соответствии с управляющими напряжениями, поступающими на его первый и второй управляющие входы, обеспечивает прохождение на его выход сигналов, поступающих на сигнальные входы с основного и зеркального каналов, с большим отношением сигнал/шум. В зависимости от электромагнитной обстановки это может быть сигнал или на частоте основного fc или зеркального fз каналов приема. Сигнал на частоте fc или fз с большим отношением сигнал/шум с выхода электронного коммутатора 7 поступает на первый вход смесителя 10 и с помощью гетеродина 11 преобразуется на промежуточную частоту fпp. После усиления сигнала усилителем 12 промежуточной частоты осуществляется детектирование сигнала детектором 14 и усиление продетектированного сигнала в усилителе 15 частоты модуляции, после чего низкочастотный сигнал, содержащий полезную информацию, регистрируется оконечным устройством 16. Сигнал на промежуточной частоте с выхода усилителя 12 промежуточной частоты поступает на схему 13 АРУ, на выходе которой вырабатывается управляющее напряжение Uупp, которое подается на второй вход усилителя промежуточной частоты, обеспечивая необходимую регулировку его коэффициента усиления.
Если отношения сигнал/шум на выходе измерителей 5 и 6 будут одинаковы, то электронный коммутатор 7 в этой ситуации не работает, и, следовательно, сигнал на его выходе отсутствует. В этом случае управляющие напряжения с выходов измерителей 5 и 6 отношения сигнал/шум подаются на входы блока сравнения 8. При равенстве напряжений, поступающих на входы блока сравнения 8, на его выходе формируется напряжение, которое подается на управляющий вход ключа 9, открывая его. Сигнал с выхода ключа 9 подается на вход смесителя, обеспечивая бесперебойную работу приемника.
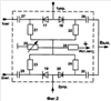
Электронный коммутатор 7 имеет два сигнальных входа 1с и 2с, на которые поступают соответственно сигналы с выходов полосовых фильтров 3 и 4 на частотах fc и fз, и два сигнальных выхода, которые подключаются к первому входу смесителя 10, а два управляющих входа 1упр и 2упр, на которые подаются управляющие напряжения соответственно с выходов измерителей 5 и 6 отношения сигнал/шум. Конденсаторы 27-30 являются разделительными. Резисторы 21-24 уменьшают влияние разброса параметров диодов 17-20 при их замене. Резисторы 25 и 26 образуют делитель для получения напряжения, прикладываемого к диодам. В исходном состоянии диоды 17-20 подзаперты положительным напряжением, которое снимается с резистора 25 и прикладывается к катодам диодов. Управляющее напряжение, поступающее на управляющие входы электронного коммутатора 7, должно быть положительной полярности.
Электронный коммутатор 7 работает следующим образом. Если отношение сигнал/шум на частоте fc больше отношения сигнал/шум на частоте fз, то управляющее напряжение Uупp.1 на входе 1упр по величине превосходит управляющее напряжение Uyпp.2 на входе 2упр. В этом случае диоды 17 и 18 открываются, а диоды 19 и 20 дополнительно подзапираются. Открытые диоды 17 и 18 пропускают сигнал на частоте fc на первый вход смесителя 10. И, наоборот, если отношение сигнал/шум на частоте fc больше отношения сигнал/шум на частоте fc, то диоды 19 и 20 открываются, а диоды 17 и 18 подзапираются. Следовательно, на первый вход смесителя 10 будет поступать сигнал на частоте fз.
Если отношение сигнал/шум на частотах fc и fз одинаковы, то диоды 17-20 остаются в закрытом состоянии. В этом случае блоком сравнения 8 формируется управляющее напряжение, которое открывает ключ 9, в результате чего сигнал на частоте fз проходит через ключ и поступает на первый вход смесителя 10.
Таким образом, предлагаемый супергетеродинный приемник по сравнению с прототипом имеет более высокую помехоустойчивость, что особенно важно в условиях сложной электромагнитной обстановки и постановки помех. Это достигается за счет обеспечения приема полезной информации, передаваемой на двух частотах, частотах основного fc и зеркального fз каналов приема. Частотный разнос между этими каналами, равный удвоенной промежуточной частоте 2fпp, обеспечивает независимость этих каналов. Анализ отношения сигнал/шум в двух независимых каналах и автоматический выбор наибольшего из них позволяет автоматически подключать к первому входу смесителя тот канал, в котором в данный момент времени будет максимальное отношение сигнал/шум. Одновременно в таком приемнике устраняется наиболее опасный побочный канал приема.
Формула изобретения
Супергетеродинный приемник, содержащий приемную антенну, усилитель радиочастоты, последовательно соединенные смеситель, второй вход которого соединен с выходом гетеродина, усилитель промежуточной частоты, детектор, усилитель частоты модуляции и оконечное устройство, отличающийся тем, что он снабжен двумя полосовыми фильтрами с одинаковыми полосами пропускания, один из которых настроен на частоту основного канала приема, а другой – на частоту зеркального канала, двумя измерителями отношений сигнал/шум, блоком сравнения, системой АРУ, ключом и электронным коммутатором, выход которого соединен с первым входом смесителя, выход антенны через усилитель радиочастоты соединен с входами обоих полосовых фильтров, причем выход первого полосового фильтра соединен с первым сигнальным входом электронного коммутатора и входом первого измерителя отношения сигнал/шум, выход которого соединен с управляющим входом электронного коммутатора и первым входом блока сравнения, выход второго полосового фильтра соединен с вторым сигнальным входом электронного коммутатора, с сигнальным входом ключа и входом второго измерителя отношения сигнал/шум, выход которого соединен с вторым управляющим входом электронного коммутатора и с вторым входом блока сравнения, выход которого подключен к управляющему входу ключа, а выход ключа соединен с первым входом смесителя, причем выход усилителя промежуточной частоты через систему АРУ соединен с вторым входом этого усилителя.
РИСУНКИ
|
|