|
|
(21), (22) Заявка: 2008116067/09, 23.04.2008
(24) Дата начала отсчета срока действия патента:
23.04.2008
(46) Опубликовано: 20.01.2010
(56) Список документов, цитированных в отчете о поиске:
RU 2181528 C2, 20.04.2002. Радиоприемные устройства / Под ред. проф. А.П.Жуковского. – М.: Высшая школа, 1989, с.9, 158-163. Белоцерковский Г.Б. Основы радиотехники и антенны. Часть 1. Основы радиотехники. – М.: Советское радио. 1979, с.137, 139, 145-146. ЕР 1381163 A1, 14.01.2004. US 6510313 B1, 21.01.2003. ЕР 1492244 A1, 29.12.2004.
Адрес для переписки:
197082, Санкт-Петербург, П-082, ул. Красного курсанта, 16, ВКА им. А.Ф. Можайского
|
(72) Автор(ы):
Смирнов Дмитрий Федорович (RU), Макаров Сергей Борисович (RU), Крячко Александр Федотович (RU), Крячко Михаил Александрович (RU), Минаев Дмитрий Владимирович (RU)
(73) Патентообладатель(и):
Государственное образовательное учреждение высшего профессионального образования Военно-космическая академия имени А.Ф. Можайского (RU)
|
(54) СУПЕРГЕТЕРОДИННЫЙ ПРИЕМНИК
(57) Реферат:
Супергетеродинный приемник относится к радиотехнике и может использоваться в радиотехнических системах различного целевого назначения. Достигаемый технический результат – повышение чувствительности и помехоустойчивости приемника путем обеспечения приема полезной информации, содержащейся в одной боковой полосе, и сужения полосы пропускания приемника. Супергетеродинный приемник содержит приемную антенну, входную цепь, усилитель радиочастоты, смеситель, гетеродин, два фильтра нижних частот, два фильтра верхних частот, два измерителя отношения сигнал/шум, электронный коммутатор, усилитель промежуточной частоты, детектор, усилитель частоты модуляции, оконечное устройство, схему АРУ. 3 ил.
Предлагаемый приемник относится к радиотехнике и может использоваться в радиотехнических системах различного целевого назначения.
Известны супергетеродинные приемники (авт. свид.  1718695, 1758883, 1785410, 1799226, 1799227; патенты РФ  1838882, 2001533, 2007046; Радиоприемные устройства. Под ред. А.Г.Зюко. – М.: Связь. 1975, с.8, рис.1.2 и другие).
Из известных устройств наиболее близким к предлагаемому является «Супергетеродинный приемник» см. (Радиоприемные устройства. Под ред. А.Г.Зюко. – М.: Связь. 1975, с.8, рис.1.2), который и выбран в качестве прототипа.
Указанный приемник обладает по сравнению с приемниками прямого усиления более высокими характеристиками по чувствительности и избирательности, что, безусловно, является его важнейшими достоинствами. Такого типа приемник может принимать сигналы с различными видами модуляции, в частности с амплитудной модуляцией. Мгновенное значение напряжения простейшего сигнала с амплитудной модуляцией можно записать в следующем виде:
u=Umc[1+mCos( t+ )]Cos ct,
где Umc – амплитуда напряжения несущего колебания;
– частота модуляции;
m – коэффициент модуляции;
– начальная фаза частоты модуляции;
с – несущая частота сигнала.
При модуляции несущей одной частотой в спектре сигнала имеются три спектральные составляющие, которые можно получить, раскрыв вышеприведенное выражение U=UmcCos ct+1/2mUmcCos[ c– )t- ]+1/2mUmcCos[ c+ )t+ ].
Ширина спектра  сп простейшего амплитудно-модулированного сигнала (АМС) равна удвоенной частоте модуляции, т.е  сп=2 .
В случае модуляции несущей сигнала сложным колебанием, имеющим в своем составе частоты модуляции от min до max, в спектре АМС существует несущая и две боковые полосы частот: нижняя боковая полоса (НБП) и верхняя боковая полоса (ВБП), содержащие одинаковую информацию. Ширина спектра АМС в этом случае определяется максимальной частотой модуляции, т.е.  сп=2 max.
Полоса пропускания в супергетеродинном приемнике  п выбирается с учетом ширины спектра принимаемого сигнала и она должна удовлетворять условию
 п  сп. Полоса пропускания приемника, которая формируется в тракте промежуточной частоты, является его важным параметром, поскольку от нее зависит такая важнейшая характеристика приемника, как его чувствительность. Чем шире полоса пропускания приемника, тем ниже его чувствительность и помехоустойчивость, поскольку в более широкую полосу приемника попадает больше шумов, затрудняющих прием полезного сигнала. Это особенно важно в условиях сложной электромагнитной обстановки и постановки помех.
Задачей изобретения является повышение чувствительности и помехоустойчивости супергетеродинного приемника при приеме АМС за счет сужения полосы пропускания тракта промежуточной частоты.
Поставленная задача решается тем, что в супергетеродинный приемник, содержащий последовательно соединенные антенну, входную цепь, усилитель радиочастоты и смеситель, второй вход которого соединен с выходом гетеродина, последовательно соединенные усилитель промежуточной частоты, детектор, усилитель частоты модуляции и оконечное устройство, снабжен двумя фильтрами нижних частот (ФНЧ), двумя фильтрами верхних частот (ФВЧ), двумя измерителями отношения сигнал/шум, электронным коммутатором и схемой АРУ, причем к выходу смесителя подключены последовательно включенные первый ФНЧ, граничная частота которого равна значению промежуточной частоты, и первый ФВЧ, граничная частота которого равна разности промежуточной частоты и максимальной частоты модуляции, выход первого ФВЧ соединен с первым сигнальным входом электронного коммутатора и с входом первого измерителя отношения сигнал/шум, выход которого соединен с первым управляющим входом электронного коммутатора, к выходу смесителя подключены также последовательно включенные второй ФНЧ, граничная частота которого равна сумме промежуточной частоты и максимальной частоте модуляции, и второй ФВЧ, граничная частота которого равна промежуточной частоте, выход второго ФВЧ соединен с вторым сигнальным входом электронного коммутатора и с входом второго измерителя отношения сигнал/шум, выход которого соединен с вторым управляющим входом электронного коммутатора, выход которого подключен к входу усилителя промежуточной частоты, выход которого через схему АРУ соединен с вторым входом этого усилителя.
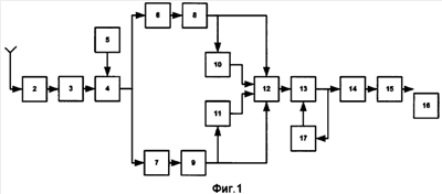
Структурная схема предлагаемого супергетеродинного приемника представлена на фиг.1. Принципиальная схема электронного коммутатора изображена на фиг.2. На фиг.3 представлены спектр АМС на входе приемника и на выходах фильтров верхних частот. Супергетеродинный приемник содержит последовательно включенные приемную антенну 1, входную цепь 2, усилитель 3 радиочастоты и смеситель 4, второй вход которого соединен с выходом гетеродина 5. К выходу смесителя 4 подключены последовательно включенные первый 6 ФНЧ, граничная частота которого равна значению промежуточной частоты, и первый 8 ФВЧ, граничная частота которого равна разности промежуточной частоты и максимальной частоты модуляции. Выход первого 8 ФВЧ соединен с первым сигнальным входом электронного коммутатора 12 и с входом первого 10 измерителя отношения сигнал/шум, выход которого соединен с первым управляющим входом электронного коммутатора 12, к выходу смесителя подключены также последовательно включенные второй 7 ФНЧ, граничная частота которого равна сумме промежуточной частоты и максимальной частоте модуляции, и второй 9 ФВЧ, граничная частота которого равна промежуточной частоте. Выход второго 9 ФВЧ соединен с вторым сигнальным входом электронного коммутатора 12 и с входом второго 11 измерителя отношения сигнал/шум, выход которого соединен с вторым управляющим входом электронного коммутатора 12, выход которого подключен к входу усилителя промежуточной частоты 13. К выходу усилителя 13 промежуточной частоты подключены последовательно соединенные детектор 14, усилитель 15 частоты модуляции и оконечное устройство 16, причем выход усилителя промежуточной частоты 13 через схему АРУ 17 соединен с вторым входом этого усилителя.
Супергетеродинный приемник работает следующим образом. Принятый сигнал с амплитудной модуляцией с выхода приемной антенны 1 через входную цепь 2 поступает на усилитель 3 радиочастоты, где происходит его усиление. Усиленный сигнал со средней частотой с с выхода усилителя 3 радиочастоты подается на вход смесителя 4, на второй вход которого с гетеродина подается напряжение с частотой г. В результате этого преобразования спектр с частоты сигнала с переносится на промежуточную частоту пр с сохранением закона модуляции (см. Фиг.3а). При нижней настройке частоты гетеродина г промежуточная частота пр равна разности частот сигнала и гетеродина, т.е. пр= c– г. С выхода смесителя сигнал подается на вход первого 6 ФНЧ, граничная частота фнч1 которого выбирается равной промежуточной частоте пр. На выход фильтра 6 пройдет промежуточная пр и все спектральные составляющие, частоты которых меньше промежуточной частоты. Далее они подаются на вход первого 8 ФВЧ, граничная частота которого фвч1 равна разности промежуточной частоты и максимальной частоты модуляции, т.е.
( )фвч1= пр– max. В результате на выходе фильтра 8 выделяется спектральная составляющая на промежуточной частоте и нижняя боковая полоса (см.Фиг 3б). Аналогично, с выхода смесителя 4 сигнал подается на вход второго 7 ФНЧ, граничная частота фнч2 которого выбирается равной сумме промежуточной частоты пр и максимальной частоте модуляции, т.е. фнч2= пр+ max. С выхода фильтра 7 отфильтрованный сигнал подается на вход второго 9 ФВЧ, граничная частота фвч2 которого выбирается равной промежуточной частоте пр. На выход фильтра 9 пройдет промежуточная пр и все спектральные составляющие, частоты которых больше промежуточной частоты. В результате на выходе фильтра 9 выделяется спектральная составляющая на промежуточной частоте и верхняя боковая полоса (см. Фиг 3в). С выходов первого 8 и второго 9 ФВЧ сигналы поступают соответственно на входы первого 10 и второго 11 измерителей отношения сигнал/шум, а также на первый и второй сигнальные входы электронного коммутатора 12. На выходе измерителей 10 и 11 отношений сигнал/шум вырабатываются управляющие напряжения, пропорциональные отношениям сигнал/шум в нижней и верхней боковых полосах АМС, которые подаются соответственно на первый и второй управляющие входы электронного коммутатора 12. Электронный коммутатор 12 в соответствии с управляющими напряжениями, поступающими на его первый и второй управляющие входы, обеспечивает прохождение на его выход сигналов нижней или верхней боковых полос, с большим отношением сигнал/шум. В зависимости от электромагнитной обстановки это может быть сигнал или нижней или верхней боковых полос, каждая из которых содержит одинаковую информацию АМС. Сигнал НБП или ВБП с выхода электронного коммутатора 12 подается на усилитель 13 промежуточной частоты, полоса пропускания которого выбирается равной только максимальной частоте модуляции max. После усиления сигнала усилителем 13 промежуточной частоты осуществляется детектирование сигнала детектором 14 и усиление низкочастотного сигнала в усилителе 15 частоты модуляции, после чего низкочастотный сигнал, содержащий полезную информацию, регистрируется оконечным устройством 16. Сигнал на промежуточной частоте с выхода усилителя 12 промежуточной частоты поступает на схему 17АРУ, на выходе которой вырабатывается управляющее напряжение Uупp, которое подается на второй вход усилителя промежуточной частоты, обеспечивая необходимую регулировку его коэффициента усиления.
Электронный коммутатор 12 имеет два сигнальных входа 1с и 2с, на которые поступают соответственно сигналы с выходов ФВЧ 8 и 9, и два сигнальных выхода, которые после объединения подключаются к входу усилится 13 промежуточной частоты, два управляющих входа 1упр и 2упр, на которые подаются управляющие напряжения соответственно с выходов измерителей 10 и 11 отношения сигнал/шум. Конденсаторы 28-31 являются разделительными. Резисторы 22-25 уменьшают влияние разброса параметров диодов 18-21 при их замене. Резисторы 26 и 27 образуют делитель для получения напряжения, прикладываемого к диодам. В исходном состоянии диоды 18-21 подзаперты положительным напряжением, которое снимается с резистора 26 и прикладывается к катодам диодов. Управляющее напряжение, поступающее на управляющие входы электронного коммутатора 12, должно быть положительной полярности.
Электронный коммутатор 12 работает следующим образом. Если отношение сигнал/шум НБП больше отношения сигнал/шум ВБП, то управляющее напряжение Uупр.1 на входе 1упр по величине превосходит управляющее напряжение Uурп.2 на входе 2упр. В этом случае диоды 18 и 19 открываются, а диоды 20 и 21 дополнительно подзапираются. Открытые диоды 18 и 19 пропускают сигнал НБП на вход усилителя 13 промежуточной частоты. И, наоборот, если отношение сигнал/шум верхней боковой полосы больше отношения сигнал/шум нижней боковой полосы, то диоды 20 и 21 открываются, а диоды 18 и 19 подзапираются. Следовательно, на вход усилителя 13 будет поступать сигнал ВВП.
Таким образом, предлагаемый супергетеродинный приемник по сравнению с прототипом имеет полосу пропускания в два раза меньшую, что повышает чувствительность приемника и обеспечивает его более высокую помехоустойчивость, что особенно важно в условиях сложной электромагнитной обстановки и постановки помех. Это достигается за счет обеспечения приема полезной информации только по одной боковой полосе. Анализ отношения сигнал/шум в двух независимых боковых полосах и автоматический выбор наибольшего из них позволяет автоматически подключать к входу усилителя промежуточной частоты ту полосу, в которой в данный момент времени будет максимальное отношение сигнал/шум.
Формула изобретения
Супергетеродинный приемник, содержащий последовательно соединенные антенну, входную цепь, усилитель радиочастоты и смеситель, второй вход которого соединен с выходом гетеродина, последовательно соединенные усилитель промежуточной частоты, детектор, усилитель частоты модуляции и оконечное устройство, снабжен двумя фильтрами нижних частот, двумя фильтрами верхних частот, двумя измерителями отношения сигнал/шум, электронным коммутатором и схемой АРУ, причем к выходу смесителя подключены последовательно включенные первый ФНЧ, граничная частота которого равна значению промежуточной частоты и первый ФВЧ, граничная частота которого равна разности промежуточной частоты и максимальной частоты модуляции, выход первого ФВЧ соединен с первым сигнальным входом электронного коммутатора и с входом первого измерителя отношения сигнал/шум, выход которого соединен с первым управляющим входом электронного коммутатора, к выходу смесителя подключены также последовательно включенные второй ФНЧ, граничная частота которого равна сумме промежуточной частоты и максимальной частоте модуляции, и второй ФВЧ, граничная частота которого равна промежуточной частоте, выход второго ФВЧ соединен с вторым сигнальным входом электронного коммутатора и с входом второго измерителя отношения сигнал/шум, выход которого соединен с вторым управляющим входом электронного коммутатора, а его выход подключен к входу усилителя промежуточной частоты, выход которого через схему АРУ соединен с вторым входом этого усилителя.
РИСУНКИ
|
|