|
(21), (22) Заявка: 2008142663/09, 27.10.2008
(24) Дата начала отсчета срока действия патента:
27.10.2008
(46) Опубликовано: 20.01.2010
(56) Список документов, цитированных в отчете о поиске:
SU 1354284 A1, 23.11.1984. RU 2078392 C1, 27.04.1997. SU 1617494 A1, 30.12.1990. JP 10270904 A, 09.10.1998.
Адрес для переписки:
630092, г.Новосибирск, пр. К. Маркса, 20, НГТУ
|
(72) Автор(ы):
Разинкин Владимир Павлович (RU), Удалов Василий Николаевич (RU), Матвеев Сергей Юрьевич (RU)
(73) Патентообладатель(и):
Государственное образовательное учреждение высшего профессионального образования “Новосибирский государственный технический университет” (RU)
|
(54) ФАЗОВЫЙ МАНИПУЛЯТОР
(57) Реферат:
Изобретение относится к радиоэлектронике и может быть использовано для управления фазой высокочастотных колебаний в радиолокации, средствах связи с цифровыми видами модуляции и в измерительной технике. Технический результат заключается в уменьшении паразитной амплитудной модуляции и ширины спектра выходного сигнала. Фазовый манипулятор содержит элементы фильтров верхних и нижних частот (1), (5), (7) и (8). Диоды (2) и (6) в процессе переключения фазы преобразуют фильтр верхних частот в фильтр нижних частот. Паразитная амплитудная модуляция уменьшена за счет дополнительного диода (4), управляемого формирователем коротких импульсов (11), и ограничителя амплитуды высокочастотного сигнала (12). Дополнительный диод (4) обеспечивает увеличение длительности фронта процесса переключения фазы, что существенно уменьшает ширину спектра выходного сигнала. 4 ил.
Изобретение относится к радиоэлектронике и может быть использовано для управления фазой высокочастотных колебаний в радиолокации, средствах связи с цифровыми видами модуляции и в измерительной технике.
Известен фазовый манипулятор, выполненный на основе переключаемых отрезков линий передачи, электрическая длина которых отличается на заданное значение фазового сдвига (см. книгу Хижа Г.С., Вендик И.Б., Серебрякова Е.А. СВЧ-фазовращатели и переключатели: Особенности создания на p-i-n- диодах в интегральном исполнении. – М.: Радио и связь, 1984, 184 с., рис.1.21, стр.30). Это устройство обладает простой конструктивной реализацией и широко применяется в СВЧ-диапазоне. Основным недостатком данного фазового манипулятора является сильная зависимость фазового сдвига от частоты. Следовательно, получение постоянного фазового сдвига в широкой полосе частот не представляется возможным.
Более широкой полосой рабочих частот обладает фазовый манипулятор, выполненный на основе квадратурного шлейфового моста, к развязанным плечам которого подключены коммутационные СВЧ-диоды (см. вышеупомянутую книгу Хижа Г.С., Вендик И.Б., Серебрякова Е.А., рис.1.18, стр.28).
Существенным недостатком этого фазового манипулятора является паразитная амплитудная модуляция, обусловленная конечным быстродействием коммутационных диодов. В процессе переключения фазового сдвига при равенстве сопротивления диодов сопротивлению нагрузки амплитуда выходного высокочастотного сигнала равна нулю. Таким образом, глубина паразитной амплитудной модуляции составляет 100%.
Известен также фазовый манипулятор (см. а.с. 1354284, кл. Н01Р 1/18, 23.11.87, БИ 43), являющийся прототипом и содержащий первый диод, включенный последовательно с первым конденсатором, крайний вывод которого соединен со входом манипулятора, второй диод, включенный параллельно второму конденсатору, один вывод которого соединен с общим корпусом, а другой вывод через первую и вторую катушки индуктивности подключен соответственно ко входу устройства и к крайнему выводу первого диода, блокировочный дроссель, один вывод которого подключен ко входу управляющего сигнала, а другой вывод подключен к общему соединению первого конденсатора и первого диода. Широкая полоса рабочих частот прототипа получена за счет использования фильтра верхних частот третьего порядка, преобразуемого при переключении фазы в фильтр нижних частот того же порядка.
Однако прототип обладает следующими недостатками: 1) глубина паразитной амплитудной модуляции близка к 100%; 2) спектр выходного сигнала имеет большую ширину. Первый недостаток обусловлен конечной скоростью переходных процессов в коммутационных диодах при изменении управляющего сигнала. Причиной второго недостатка является подключение коммутационных диодов к одному общему управляющему сигналу. Указанные недостатки являются существенными, поскольку снижают помехоустойчивость приема фазоманипулированных сигналов и ограничивают скорость передачи цифровых данных.
Задачей предлагаемого изобретения является уменьшение паразитной амплитудной модуляции и уменьшение ширины спектра выходного сигнала.
Поставленная задача достигается тем, что в известный фазовый манипулятор введены включенные последовательно третий диод и блокировочный конденсатор, второй блокировочный дроссель, формирователь коротких импульсов и ограничитель амплитуды высокочастотного сигнала, включенный между крайним выводом первого диода и выходом манипулятора, при этом крайний вывод блокировочного конденсатора соединен со входом манипулятора, а крайний вывод третьего диода соединен с крайним выводом первого диода, второй блокировочный дроссель включен между общим соединением третьего диода и блокировочного конденсатора и выходом формирователя коротких импульсов, вход которого подключен к входу управляющего сигнала.
На фиг.1 приведена функциональная схема предлагаемого фазового манипулятора. На фиг.2 приведены графики зависимости от времени проводимости первого диода 2 и второго диода 6 (сплошная кривая), и третьего диода 4 (пунктирная кривая). На фиг.3 приведены графики зависимости от времени нормированной амплитуды на входе ограничителя амплитуды высокочастотного сигнала (ОА) 12 в предлагаемом устройстве (сплошная кривая) и на выходе прототипа (пунктирная кривая). На фиг.4 приведены графики зависимости от времени фазового сдвига выходного высокочастотного сигнала в предлагаемом манипуляторе (сплошная кривая) и в прототипе (пунктирная кривая).
Предлагаемый фазовый манипулятор (фиг.1) содержит первый конденсатор 1, включенный последовательно с первым диодом 2, блокировочный конденсатор 3, включенный последовательно с третьим диодом 4. Крайние выводы первого конденсатора 1 и блокировочного конденсатора 3 подключены ко входу манипулятора, а крайние выводы первого диода 2 и третьего диода 4 соединены между собой. Второй конденсатор 5 подключен параллельно второму диоду 6, один вывод которого соединен с общим корпусом, а другой вывод соответственно через первую и вторую катушки индуктивности 7 и 8 подключен ко входу манипулятора и общему соединению первого диода 2 и третьего диода 4. Первый блокировочный дроссель 9 подключен ко входу управляющего сигнала и общему соединению первого конденсатора 1 и первого диода 2. Один вывод второго блокировочного дросселя 10 подключен к общему соединению блокировочного конденсатора 3 и третьего диода 4, а другой вывод второго блокировочного дросселя 10 подключен к выходу формирователя коротких импульсов (ФКИ) 11, вход которого соединен с входом управляющего сигнала. К общему соединению первого диода 2, третьего диода 4 и второй катушки индуктивности 8 подключен вход ограничителя амплитуды высокочастотного сигнала (ОА) 12, выход которого является выходом манипулятора. Формирователь коротких импульсов (ФКИ) 11 может быть выполнен в виде ждущего мультивибратора на логических элементах. Ограничитель амплитуды высокочастотного сигнала (ОА) 12 может быть выполнен, например, в виде встречно и параллельно включенных двух СВЧ-диодов.
Фазовый манипулятор работает следующим образом. При положительном значении управляющего сигнала полупроводниковые диоды 2 и 6 открыты. В этом случае высокочастотный сигнал со входа манипулятора через П-образный фильтр верхних частот, образованный первой катушкой индуктивности 7, первым конденсатором 1 и второй катушкой индуктивности 8 поступает на вход ограничителя амплитуды высокочастотного сигнала (ОА) 12, выход которого является выходом манипулятора. При этом выходной сигнал после прохождения через фильтр верхних частот имеет опережение по фазе. При изменении значения управляющего сигнала от положительного отпирающего значения до нулевой величины в первом диоде 2 и втором диоде 6 происходят обратные переходные процессы, а третий диод 4 кратковременно открывается за счет подачи соответствующего управляющего сигнала с формирователя коротких импульсов (ФКИ) 11. После окончания переходных процессов П-образный фильтр верхних частот (первый конденсатор 1, первая и вторая индуктивности 7, 8) преобразуется в Т-образный фильтр нижних частот (первая и вторая индуктивности 7, 8, второй конденсатор 5) и выходной сигнал манипулятора имеет запаздывание по фазе. При этом относительная разность фаз составляет 180°.
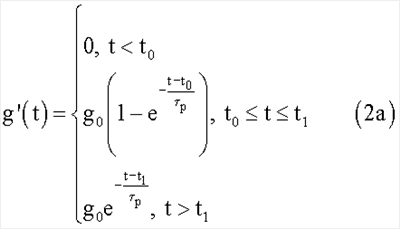
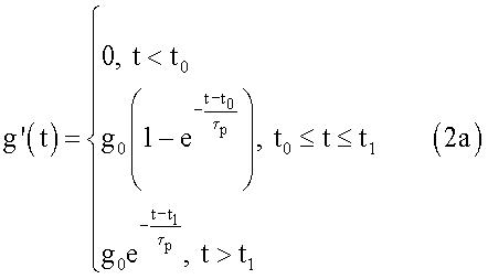
В первом приближении при обратном переходном процессе проводимость первого диода 2 и второго диода 6 для высокочастотного сигнала можно аппроксимировать следующим выражением:

где g0 – проводимость открытого диода;
р – время жизни носителей заряда в базе диода;
t0 – время начала переходного процесса.
Проводимость третьего диода 4, который открывается соответствующим выходным сигналом формирователя коротких импульсов (ФКИ) 11 только на время переходных процессов в первом диоде 2 и втором диоде 6, определяется соотношением:

где t1 – длительность выходного сигнала формирователя коротких импульсов (ФКИ) 11.
На фиг.2 показаны графики зависимости от времени проводимостей первого диода 2 и второго диода 6 (g(t) – сплошная кривая) и третьего диода 4 (g (t) – пунктирная кривая).
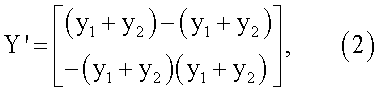
Для расчета графика зависимости нормированной амплитуды на входе ограничителя амплитуды высокочастотного сигнала (ОА) 12 (точка а на фиг.1) воспользуемся матричным методом. Для этого выделим на схеме предлагаемого фазового манипулятора два параллельно включенных четырехполюсника I и II, показанные на фиг.1 пунктирными линиями. Далее определим Y – параметры каждого четырехполюсника. В соответствии с теорией четырехполюсников для четырехполюсника I, показанного на фиг.1 сверху, матрица проводимостей имеет вид:

где 
y2=g (t);
– емкость первого конденсатора 1, равная емкости второго конденсатора 5;
=2 f0 – центральная частота рабочего диапазона;
R0 – характеристическое сопротивление фильтра, равное сопротивлению нагрузки;
=2 f – текущая частота.
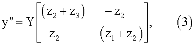
Для Т-образного четырехполюсника, показанного на фиг.1 снизу, матрица проводимостей имеет вид:

где 
z1=z3=j L;

– индуктивность первой и второй катушек индуктивности 7 и 8.
Результирующую матрицу двух параллельно включенных четырехполюсников I и II, имеющих соответственно параметры (2) и (3), представим следующим образом

По установленным в соответствии с (4) значениям Y-параметров определим нормированную амплитуду на входе ограничителя амплитуды высокочастотного сигнала (ОА) 12

Результаты расчета графика зависимости от времени нормированной амплитуды на входе ограничителя амплитуды высокочастотного сигнала (ОА) (12) на центральной частоте ( = 0) приведены на фиг.3 (сплошная кривая). Компьютерное моделирование показало, что выбор длительности выходного сигнала формирователя коротких импульсов (ФКИ) 11 должен удовлетворять условию

Выполнение условия (6) обеспечивает в точке а изменение амплитуды высокочастотного сигнала от 0,5Uвх до Uвх.. Это соответствует глубине паразитной амплитудной модуляции 30%. Отметим, что в прототипе амплитуда высокочастотного сигнала на выходе изменяется от 0 до Uвх (см. фиг.3, пунктирная кривая). Такое изменение амплитуды выходного сигнала соответствует глубине паразитной амплитудной модуляции 100%, которую нельзя уменьшить известными техническими средствами, например, с помощью ограничителя амплитуды высокочастотного сигнала. В предлагаемом манипуляторе паразитная амплитудная модуляция глубиной 30% практически уменьшается до десятых долей процента с помощью ограничителя амплитуды высокочастотного сигнала 12, при этом прямые потери фазового манипулятора составляют 6 дБ.
На фиг.4 для предлагаемого фазового манипулятора приведен рассчитанный по соотношению (5) график зависимости от времени фазы выходного высокочастотного сигнала (сплошная линия). Пунктирной линией на фиг.4 показан график зависимости от времени фазы выходного высокочастотного сигнала для прототипа. Как видно из данных графиков, длительность фронта процесса переключения фазы в предлагаемом устройстве увеличилась не менее чем в три раза по отношению к прототипу. Отметим, что слишком быстрое изменение фазы в прототипе по сравнению с длительностью переходных процессов t1 оказывается нецелесообразным, поскольку в этом случае существенно расширяется спектр выходного сигнала.
Определение ширины спектра выходного сигнала фазового манипулятора проведем следующим образом. Запишем известное соотношение для ширины спектра импульсного сигнала с линейно нарастающим фронтом:

где F – ширина спектра сигнала, определяющего изменение фазы выходного сигнала манипулятора;
– длительность фронта изменения фазового сдвига в выходном сигнале манипулятора.
С учетом (7) ширина спектра фазоманипулированного высокочастотного сигнала равна:

Как следует из соотношения (8), во сколько раз увеличивается длительность фронта изменения фазы, во столько же раз уменьшается ширина спектра выходного сигнала фазового манипулятора.
Таким образом, в предлагаемом устройстве существенно уменьшается глубина паразитной амплитудной модуляции и ширина спектра выходного сигнала примерно в три раза меньше, чем в прототипе.
Кроме того, предлагаемое устройство обеспечивает высокую помехоустойчивость радиотехнических систем и средств связи и уменьшает уровень внеполосного излучения, что положительно сказывается на электромагнитной совместимости.
Формула изобретения
Фазовый манипулятор, содержащий первый диод, включенный последовательно с первым конденсатором, крайний вывод которого соединен со входом манипулятора, второй диод, включенный параллельно второму конденсатору, один вывод которого соединен с общим корпусом, а другой вывод через первую и вторую катушки индуктивности подключен соответственно ко входу устройства и к крайнему выводу первого диода, первый блокировочный дроссель, подключенный ко входу управляющего сигнала и к общему соединению первого конденсатора и первого диода, отличающийся тем, что в него введены включенные последовательно третий диод и блокировочный конденсатор, второй блокировочный дроссель, формирователь коротких импульсов и ограничитель амплитуды высокочастотного сигнала, включенный между крайним выводом первого диода и выходом манипулятора, при этом крайний вывод блокировочного конденсатора соединен со входом манипулятора, а крайний вывод третьего диода соединен с крайним выводом первого диода, второй блокировочный дроссель включен между общим соединением третьего диода, блокировочного конденсатора и выходом формирователя коротких импульсов, вход которого подключен ко входу управляющего сигнала.
РИСУНКИ
|