|
(21), (22) Заявка: 2008135188/28, 28.08.2008
(24) Дата начала отсчета срока действия патента:
28.08.2008
(46) Опубликовано: 20.01.2010
(56) Список документов, цитированных в отчете о поиске:
Бортовые системы управления полетом. /Под ред. Ю.В.Байбородина. – М.: Транспорт, 1975, с.236. Система автоматического управления САУ-23А серия 2. Назначение, принцип действия, законы управления. Техническое описание 6А2.550.045-4ТО (в четырех частях. Часть первая). – с.20. SU 1797586 A3, 23.02.1993. АТАНС М., ФАЛБ П. Оптимальное управление. – М.: Машиностроение, 1968. с.423. SU 1072069 А1, 07.02.1984.
Адрес для переписки:
420111, г.Казань, ул. Карла Маркса, 10, ГОУ ВПО Казанский государственный технический университет им. А.Н. Туполева, отдел интеллектуальной собственности
|
(72) Автор(ы):
Гомзин Александр Владиславович (RU), Романенко Леонид Георгиевич (RU), Зайцев Сергей Валентинович (RU), Самарова Гульназ Гарифяновна (RU)
(73) Патентообладатель(и):
ГОСУДАРСТВЕННОЕ ОБРАЗОВАТЕЛЬНОЕ УЧРЕЖДЕНИЕ ВЫСШЕГО ПРОФЕССИОНАЛЬНОГО ОБРАЗОВАНИЯ КАЗАНСКИЙ ГОСУДАРСТВЕННЫЙ ТЕХНИЧЕСКИЙ УНИВЕРСИТЕТ ИМ. А.Н. ТУПОЛЕВА (RU), ОТКРЫТОЕ АКЦИОНЕРНОЕ ОБЩЕСТВО “ОПЫТНО-КОНСТРУКТОРСКОЕ БЮРО “СОКОЛ” (RU)
|
(54) СПОСОБ УПРАВЛЕНИЯ ПРОДОЛЬНЫМ ДВИЖЕНИЕМ САМОЛЕТА
(57) Реферат:
Изобретение относится к области приборостроения и может быть использовано для управления продольным движением летательных аппаратов (ЛА). Технический результат – расширение функциональных возможностей. Для достижения данного результата производят измерение текущего значения угла тангажа, угла крена, угловой скорости относительно поперечной оси ЛА, текущей высоты полета и вертикальной скорости. При этом формируют сигнал управления на основе функциональной зависимости от основных параметров оценки состояния ЛА. Сформированный сигнал управления подают на руль высоты. Измеряют истинную воздушную скорость, скоростной напор и формируют в процессе полета передаточные коэффициенты по высоте и вертикальной скорости, обеспечивающие оптимальные переходные процессы ЛА по высоте на различных режимах полета. 1 з.п. ф-лы, 2 ил.
Изобретение относится к системам автоматического регулирования полета и может быть использовано для управления продольным движением летательных аппаратов.
Известен способ управления продольным движением самолета (Система автоматического управления САУ-23А серия 2. Назначение, принцип действия, законы управления. Техническое описание 6А2.550.045-4ТО (в четырех частях. Часть первая). Редакция 1-77) – [1, с.20], по которому измеряют нормальную перегрузку nу, угловую скорость относительно поперечной оси z, угол атаки , угол тангажа , текущее значение высоты H и скоростной напор q, задают требуемое значение высоты Hз, а также
формируют сигнал управления стабилизатором вида

где ny зад=i -i +iH H;
T13, T11 – постоянные времени фильтров, – оператор Лапласа, i ,i ,iH,iny – постоянные коэффициенты пропорциональности, µz(q), µz1(q) – коэффициенты пропорциональности, изменяющиеся в зависимости от скоростного напора q, H=Н-Hз.
Недостатком данного способа является невозможность получения одинаковых показателей переходных процессов по высоте в широком диапазоне изменений скоростей и высот в зависимости от режима полета летательного аппарата в виду коррекции только лишь сигнала по угловой скорости относительно поперечной оси.
Известен способ управления продольным движением самолета (Бортовые системы управления полетом. Под ред. Ю.В.Байбородина. – М.: Транспорт, 1975) – [2], который состоит в том, что производят измерение текущего значения угла тангажа, угла крена, угловой скорости относительно поперечной оси летательного аппарата, текущей высоты полета, вертикальной скорости, формируют на основе измеренных значений сигнал управления вида

где
З – заданное значение угла тангажа

– текущее значение угла тангажа;
| | – модуль текущего значения угла крена;
z – угловая скорость относительно поперечной оси летательного аппарата;
H=H-HЗ;
H – текущее значение высоты полета;
HЗ – заданное значение высоты полета;
– текущее значение вертикальной скорости;
     – передаточные коэффициенты по тангажу, по углу крена в канале тангажа, угловой скорости относительно поперечной оси, высоте, вертикальной скорости и интегралу по высоте соответственно, и сформированный сигнал управления подают на руль высоты.
Данный способ не позволяет получить оптимальные показатели переходных процессов по высоте в широком диапазоне изменений скоростей и высот полета вследствие использования постоянных значений передаточных коэффициентов. Неизменная настройка значений передаточных коэффициентов позволяет обеспечить оптимальные показатели переходных процессов самолета лишь в узком диапазоне скоростей и высот полета, что неприемлемо для современных многорежимных летательных аппаратов.
Техническим результатом, на достижение которого направлено изобретение, является обеспечение оптимальных показателей переходных процессов самолета по высоте во всем эксплуатационном диапазоне изменений скоростей и высот полета.
Технический результат достигается тем, что по способу управления продольным движением самолета, по которому производят измерение текущего значения угла тангажа, угла крена, угловой скорости относительно поперечной оси летательного аппарата, текущей высоты полета, вертикальной скорости, формируют сигнал управления вида

где
З – заданное значение угла тангажа

– текущее значение угла тангажа;
| | – модуль текущего значения угла крена;
z – угловая скорость относительно поперечной оси летательного аппарата;
H=H-HЗ;
H – текущее значение высоты полета;
HЗ – заданное значение высоты полета;
– текущее значение вертикальной скорости;
     – передаточные коэффициенты по тангажу, крену, угловой скорости относительно поперечной оси, высоте, вертикальной скорости и интегралу по высоте соответственно,
и сформированный сигнал управления подают на руль высоты,
дополнительно измеряют истинную воздушную скорость, скоростной напор, формируют в процессе полета передаточные коэффициенты по высоте, вертикальной скорости, и интегралу по высоте, обеспечивающие оптимальные переходные процессы самолета по высоте на различных режимах полета в соответствии с минимумом интегрально-квадратичного критерия качества

где 1, 2 – весовые коэффициенты, задающие требуемый вид и длительность переходного процесса по высоте, в соответствии с алгоритмом



где

m – масса самолета;
q – значение скоростного напора;
V- значение истинной воздушной скорости;
S – площадь крыла самолета;
– производная по углу атаки от коэффициента подъемной силы;
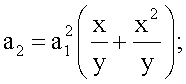
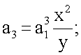
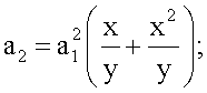
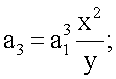
а1, а2, а3 – коэффициенты характеристического полинома передаточной функции замкнутой системы по высоте при заданном значении высоты полета Hз, минимизирующие интегрально-квадратичный критерий качества I.
Для формирования передаточных коэффициентов по высоте, вертикальной скорости и интегралу по высоте для случая переходного процесса по высоте с перерегулированием, не превышающим пяти процентов от заданного значения высоты полета Нз, коэффициенты характеристического полинома передаточной функции замкнутой системы по высоте при заданном значении высоты полета Нз, минимизирующие интегрально-квадратичный критерий качества I, вычисляются в соответствии с алгоритмом







– положительная константа, назначаемая по соображения конструктивности передаточных чисел.
tp – желаемое время регулирования самолета по высоте.
Сущность изобретения поясняется на фиг.1 – фиг.2.
Фиг.1 – блок-схема системы управления полетом самолета, реализующей предложенный способ управления полетом самолета.
Фиг.2 – блок-схема блока формирования заданного значения угла тангажа.
Система управления полетом самолета содержит:
1 – датчик угловой скорости относительно поперечной оси самолета;
2 – гировертикаль;
3 – блок вычисления модуля;
4 – первый сумматор;
5 – первый суммирующий усилитель;
6 – привод руля высоты;
7 – датчик высоты;
8 – задатчик высоты;
9 – второй сумматор;
10 – блок формирования заданного значения угла тангажа;
11 – датчик вертикальной скорости;
12 – датчик скоростного напора;
13 – датчик истинной воздушной скорости.
Приняты следующие обозначения:
z – угловая скорость относительно поперечной оси самолета;
– текущее значение угла крена;
– текущее значение угла тангажа;
H – текущее значение высоты полета;
НЗ – заданное значение высоты полета;
З – заданное значение угла тангажа;
H=H-HЗ.
– текущее значение вертикальной скорости;
q – значение скоростного напора;
V- значение истинной воздушной скорости;
B – угол отклонения руля высоты.
Система управления полетом самолета содержит датчик угловой скорости относительно поперечной оси самолета 1, выход которого соединен с первым входом первого суммирующего усилителя 5, гировертикаль 2, первый выход которой через блок вычисления модуля 3 соединен со вторым входом первого суммирующего усилителя 5, а второй выход соединен с первым входом первого сумматора 4, второй, инвертирующий, вход которого соединен с выходом блока формирования заданного значения угла тангажа 10, выход первого сумматора 4 соединен с третьим входом первого суммирующего усилителя 5, датчик высоты 7 соединен с первым входом второго сумматора 9, второй, инвертирующий, вход которого соединен с выходом задатчика высоты 8, выход которого соединен с первым входом блока формирования заданного значения угла тангажа 10, второй, третий и четвертый входы которого соединены соответственно с выходами датчика вертикальной скорости 11, датчика скоростного напора 12 и датчика истинной воздушной скорости 13, выходом системы управления полетом самолета является выход привода руля высоты 6, вход которого соединен с выходом первого суммирующего усилителя 5.
Блок формирования заданного значения угла тангажа 10 содержит:
14 – интегратор;
15 – первый блок умножения;
16 – второй блок умножения;
17 – третий сумматор;
18 – вычислитель;
19 – третий блок умножения.
Блок формирования заданного значения угла тангажа 10 содержит интегратор 14, вход которого, соединенный с первым входом первого блока умножения 15, является первым входом блока формирования заданного значения угла тангажа 10, третий блок умножения 19, второй вход которого является вторым входом блока формирования заданного значения угла тангажа 10, а выход соединен с третьим входом третьего сумматора 17, первый и второй входы которого соединены соответственно с выходами первого блока умножения 15 и второго блока умножения 16, вычислитель 18, первый и второй входы которого являются соответственно третьим и четвертым входами блока формирования заданного значения угла тангажа 10, а первой и второй выходы соединены соответственно с вторыми входами первого блока умножения 15 и второго блока умножения 16, третий выход вычислителя 18 соединен с первым входом третьего блока умножения 19, выход интегратора 14 соединен с первым входом второго блока умножения 16, выходом блока формирования заданного значения угла тангажа 10 является выход третьего сумматора 17.
С выхода датчика угловой скорости относительно поперечной оси самолета 1 сигнал z поступает на первый вход первого суммирующего усилителя 5. С первого выхода гировертикали 2 сигнал текущего значения угла крена поступает на первый вход блока вычисления модуля 3, а затем на второй вход первого суммирующего усилителя 5. Данный сигнал предупреждает потерю высоты вследствие уменьшения вертикальной составляющей подъемной силы самолета при крене самолета. Со второго выхода гировертикали 2 сигнал текущего значения угла тангажа поступает на первый вход первого сумматора 4.
С выхода датчика высоты 7 сигнал текущего значения высоты полета Н поступает на первый вход второго сумматора 9, на второй, инвертирующий, вход которого поступает сигнал заданного значения высоты полета НЗ с выхода задатчика высоты 8. На выходе второго сумматора 9 формируется сигнал разности заданного и текущего значения высоты полета H=H-HЗ, который поступает на первый вход блока формирования заданного значения угла тангажа 10. С выхода датчика вертикальной скорости 11 сигнал текущего значения вертикальной скорости поступает на второй вход блока формирования заданного значения угла тангажа 10.
С выхода датчика скоростного напора 12 значение скоростного напора q поступает на третий вход блока формирования заданного значения угла тангажа 10. С выхода датчика истинной воздушной скорости 13 значение истинной воздушной скорости V
поступает на четвертый вход блока формирования заданного значения угла тангажа 10.
Сигнал заданного значения угла тангажа З, формируемый в блоке формирования заданного значения угла тангажа 10, обеспечивает стабилизацию заданной высоты полета в соответствии с алгоритмом:

Для этого подаваемый на первый вход блока формирования заданного значения угла тангажа 10 сигнал разности заданного и текущего значения высоты полета H=Н-НЗ поступает на первый вход первого блока умножения 15, а также на вход интегратора 14, на выходе которого формируется сигнал поступающий на первый вход второго блока умножения 16. Подаваемый на второй вход блока формирования заданного значения угла тангажа 10 сигнал текущего значения вертикальной скорости поступает на второй вход третьего блока умножения 19. Сигналы скоростного напора q и истинной воздушной скорости V, поступающие на третий и четвертый входы блока формирования заданного значения угла тангажа 10, поступают на первый и второй входы вычислителя 18 соответственно.
Вычислитель 18 производит вычисление передаточных коэффициентов по высоте, вертикальной скорости и интегралу по высоте, обеспечивающих минимумом интегрально-квадратичного критерия качества

где 1, 2 – весовые коэффициенты, задающие требуемый вид и длительность переходного процесса по высоте.
Работа вычислителя 18 происходит в соответствии с алгоритмом



где
а1, а2, а3, а4 – коэффициенты характеристического полинома передаточной функции замкнутой системы по высоте при заданном значении высоты полета Hз, минимизирующие интегрально-квадратичный критерий качества

m – масса самолета;
q – значение скоростного напора;
V- значение истинной воздушной скорости;
S – площадь крыла самолета;
– производная по углу атаки от коэффициента подъемной силы.
Значения скоростного напора и истинной воздушной скорости, изменяющиеся в процессе полета самолета поступают с соответствующих датчиков. Остальные параметры, входящие в алгоритмы, являются неизменяемыми в процессе полета и заданы заранее.
Задавая весовые коэффициенты 1, 2 можно получить переходные процессы по высоте самолета разного вида и длительности. Одним из наиболее распространенных вариантов является переходные процессы с относительным коэффициентом затухания Для этого значения относительного коэффициента затухания переходной процесс самолета по высоте протекает с перерегулированием, не превышающим пяти процентов от заданного значения. Однако используемый интегрально-квадратичный критерий качества позволяет реализовать переходные процессы по высоте и с другими, неотрицательными значениями относительного коэффициента затухания в соответствии с задачами пилотирования.
Меняющиеся в процессе полета значения передаточных коэффициентов по высоте, вертикальной скорости и интегралу по высоте, доставляющие минимум интегрально-квадратичному критерию качества, позволяют обеспечить оптимальные показатели переходных процессов самолета по высоте во всем эксплуатационном диапазоне изменений скоростей и высот полета.
Для случая переходного процесса по высоте с перерегулированием, не превышающим пяти процентов от заданного значения высоты полета НЗ, коэффициенты характеристического полинома передаточной функции замкнутой системы по высоте при заданном значении высоты полета НЗ, минимизирующие интегрально-квадратичный критерий качества, вычисляются в вычислителе 18 в соответствии с алгоритмом







– положительная константа, назначаемая по соображения конструктивности передаточных чисел.
tp – желаемое время регулирования самолета по высоте.
Найденные значения передаточных коэффициентов по высоте, интегралу по высоте и вертикальной скорости с первого, второго и третьего выхода вычислителя 18 поступают соответственно на второй вход первого блока умножения 15, второй вход второго блока умножения 16 и первый вход третьего блока умножения 19, где происходит их перемножение с соответствующими сигналами. С выходов первого, второго и третьего блоков умножения сигналы поступают на усилитель 17, где происходит их суммирование и формирование сигнала заданного значения угла тангажа.
Выход блока суммирования 17 является выходом блока формирования заданного значения угла тангажа 10.
С выхода блока формирования заданного значения угла тангажа 10 сформированный сигнал поступает на второй, инвертирующий, вход первого сумматора 4, с выхода которого сигнал поступает на третий вход первого суммирующего усилителя 5. Суммирующий усилитель 5 производит суммирование поступающих на его входы сигналов с соответствующими постоянными передаточными коэффициентами по тангажу, по углу крена в канале тангажа и угловой скорости относительно поперечной оси.
Сформированный на выходе первого суммирующего усилителя 5 сигнал управления поступает на привод руля высоты 6, вызывающего непосредственное отклонение руля высоты.
Предлагаемый способ обеспечивает оптимальные показатели переходных процессов самолета по высоте во всем эксплуатационном диапазоне изменений скоростей и высот полета. Эффективность предлагаемого способа, реализованного в пилотажно-навигационном комплексе, подтверждена в ходе летных испытаний воздушной мишени, созданной в ОАО «ОКБ «СОКОЛ».
Формула изобретения
1. Способ управления продольным движением самолета, по которому производят измерение текущего значения угла тангажа, угла крена, угловой скорости относительно поперечной оси летательного аппарата, текущей высоты полета, вертикальной скорости, формируют на основе измеренных значений сигнал управления вида
, где З – заданное значение угла тангажа,
;
– текущее значение угла тангажа; | | – модуль текущего значения угла крена;
2 – угловая скорость относительно поперечной оси летательного аппарата;
Н=Н-НЗ; Н – текущее значение высоты полета; НЗ – заданное значение высоты полета;
– текущее значение вертикальной скорости;
, , , , , – передаточные коэффициенты по тангажу, по углу крена в канале тангажа, угловой скорости относительно поперечной оси, высоте, вертикальной скорости и интегралу по высоте соответственно, и сформированный сигнал управления подают на руль высоты, отличающийся тем, что дополнительно измеряют истинную воздушную скорость, скоростной напор, формируют в процессе полета передаточные коэффициенты по высоте, вертикальной скорости, и интегралу по высоте, обеспечивающие оптимальные переходные процессы самолета по высоте на различных режимах полета в соответствии с минимумом интегрально-квадратичного критерия качества , где 1, 2 – весовые коэффициенты, задающие требуемый вид и длительность переходного процесса по высоте, в соответствии с алгоритмом
;
;
, где a1, a2 и a3 – коэффициенты характеристического полинома передаточной функции замкнутой системы по высоте при заданном значении высоты полета НЗ, минимизирующие интегрально-квадратичный критерий качества I;
; m – масса самолета; q – значение скоростного напора; V – значение истинной воздушной скорости; S – площадь крыла самолета;
– производная по углу атаки от коэффициента подъемной силы.
2. Способ управления продольным движением самолета по п.1, отличающийся тем, что для формирования передаточных коэффициентов по высоте, вертикальной скорости и интегралу по высоте для случая переходного процесса по высоте с перерегулированием, не превышающим пяти процентов от заданного значения высоты полета НЗ, коэффициенты характеристического полинома передаточной функции замкнутой системы по высоте при заданном значении высоты полета НЗ, минимизирующие интегрально-квадратичный критерий качества I вычисляются в соответствии с алгоритмом

;
;
;

;
;
– положительная константа, назначаемая по соображениям конструктивности передаточных чисел. tp – желаемое время регулирования самолета по высоте.
РИСУНКИ
|