|
(21), (22) Заявка: 2008110294/09, 17.03.2008
(24) Дата начала отсчета срока действия патента:
17.03.2008
(46) Опубликовано: 20.01.2010
(56) Список документов, цитированных в отчете о поиске:
RU 2284548 C1, 27.09.2006. RU 2292060 С1, 20.01.2007. RU 2265866 C1, 10.12.2005. US 5442364 А, 15.08.1995. US 5329286 A, 12.07.1994. EP 0690315 A2, 03.01.1996. US 5896098 A, 20.04.1999.
Адрес для переписки:
390005, г.Рязань, ул. Гагарина, 59/1, РГРТА, патентная служба
|
(72) Автор(ы):
Клочко Владимир Константинович (RU)
(73) Патентообладатель(и):
Федеральное агентство по образованию Государственное образовательное учреждение высшего профессионального образования Рязанский государственный радиотехнический университет (RU)
|
(54) СПОСОБ ДВУХЭТАПНОГО ВОССТАНОВЛЕНИЯ ИЗОБРАЖЕНИЙ В МНОГОКАНАЛЬНЫХ РАДИОЛОКАЦИОННЫХ И РАДИОТЕПЛОЛОКАЦИОННЫХ СТАНЦИЯХ
(57) Реферат:
Изобретение относится к системам активной и пассивной радиолокации наблюдения за наземными и воздушными объектами на базе подвижных и неподвижных носителей станций с антенными решетками. Достигаемый технический результат заключается в повышении быстродействия восстановления радиоизображений. Способ двухэтапного восстановления изображений в многоканальных радиолокационных и радиотеплолокационных станциях заключается в том, что при наблюдении за поверхностью или воздушной обстановкой с помощью сканирующей антенной системы с матрицей приемных каналов формируют блочную матрицу измерений всех каналов, которую далее обрабатывают в матричной форме в виде двухэтапной процедуры. В результате получают матрицу амплитудного изображения зоны обзора с разрешением по угловым координатам. 4 ил.
Изобретение относится к системам активной и пассивной радиолокации наблюдения за наземными и воздушными объектами на базе подвижных и неподвижных носителей станций с антенными решетками [1].
При получении радиоизображений (РИ) наземных или воздушных объектов в системах активной локации на базе бортовых радиолокационных станций (РЛС) реального луча или пассивной локации на базе радиотеплолокационных станций (РТЛС) миллиметрового диапазона осуществляется построчное сканирование зоны обзора смещением диаграммы направленности антенны (ДНА) по азимуту и по углу места. После прохождения тракта первичной обработки принятые сигналы переводятся в двумерное яркостное (амплитудное) изображение в координатах азимут – угол места. Однако изображение получается смазанным по строкам и столбцам, и четкость такого РИ и точность определения угловых координат объектов на РИ ограничены шириной ДНА. Повышение разрешающей способности РИ можно достичь на основе их алгоритмической обработки с привлечением оптимальных методов решения задачи восстановления изображений, например [2]-[5].
Известны способы повышения разрешающей способности по угловым координатам сканирующих РЛС в режиме “реального луча” [4], [5], которые могут быть использованы также для повышения разрешающей способности сканирующих РТЛС. Однако эти способы обладают недостатками – ограниченной точностью восстановления изображений из-за малого числа измерительных каналов и ограниченным быстродействием при вычислении весовых коэффициентов и оценок амплитуд элементов РИ в реальном масштабе времени.
Наиболее близким по технической сущности является способ повышения разрешающей способности по угловым координатам [4], который заключается в восстановлении матрицы изображения в заданном диапазоне (или элементе разрешения) дальности и сводится к следующим операциям.
1. Луч антенны РЛС последовательно смещают по азимуту и углу места соответственно на величину элемента дискретизации построчно в I×J-зоне обзора. Ширина ДНА на уровне 0,5 мощности составляет 2n+1 элементов дискретизации по азимуту и 2m+1 элементов дискретизации по углу места.
2. Полученные при каждом i, j-м положении луча амплитуды отраженных сигналов в данном элементе разрешения дальности на выходе одного измерительного канала y(i, j) формируют в матрицу измерений Y с элементами y(i, j), , .
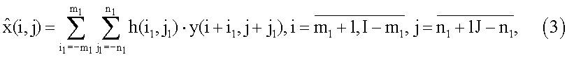
3. Обработка элементов матрицы Y осуществляется в виде двухэтапной процедуры. Вначале восстанавливается изображение вдоль каждой i-й строки матрицы РИ вычислением промежуточных оценок:

затем восстанавливается изображение вдоль каждого j-го столбца матрицы РИ вычислением искомых оценок амплитуд:

где h1(i1) и h2(j1) – вычисляемые заранее весовые коэффициенты.
4. Таким образом, при 2n1+1=2m1+1=N на основе вычисления одномерных сумм затрачивается примерно (J>>n1, I>>m1) 2IJN операций умножения. В сравнении со способом восстановления РИ [5], основанном на вычислении двумерных сумм, для одного измерительного канала:

где затрачивается примерно IJN2 операций умножения, выигрыш от применения [4] в быстродействии составляет N/2 раз. Если вычисления (2) осуществляются параллельно, то затрачивается IJN операций и выигрыш составляет N раз. Если обработка (1) ведется в процессе сканирования луча, то реально выигрыш в быстродействии может быть больше N.
Однако способ [4] проигрывает способу [5] в точности восстановления РИ, так как [5] рассчитан на применение в общем случае К измерительных каналов:

где k – номер измерительного канала.
Если каналы расположены в форме Q×K-матрицы, то в (4) используется двойная нумерация q, k-x каналов:

В форме (4), (5) не удается применить двухэтапную процедуру по типу (1), (2) и тем самым увеличить быстродействие алгоритмов восстановления РИ (4), (5).
Технический результат направлен на повышение быстродействия алгоритма восстановления РИ в многоканальной измерительной антенной системе РЛС и РТЛС.
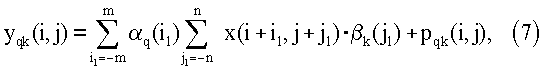
Технический результат предлагаемого технического решения достигается тем, что способ двухэтапного восстановления изображений в многоканальных РЛС и РТЛС заключается в том, что при наблюдении за поверхностью или воздушной обстановкой в I×J-зоне обзора с помощью сканирующей антенной системы в виде Q×K-матрицы приемных каналов последовательно смещают луч антенной системы по азимуту и углу места соответственно на величину (2n+1)-й и (2m+1)-й части ширины ДНА на уровне 0,5 мощности построчно в зоне обзора, измеряют при каждом i,j-м положении луча в q, k-x измерительных каналах значения амплитуд принимаемых сигналов yqk(i, j), формируют из этих амплитуд I×J-матрицы измерений Yqk с элементами yqk(i, j), , которые располагают в составе блочной матрицы Y и далее обрабатывают,
отличающийся тем, что вначале восстановление ведут вдоль строк матрицы изображения умножением матрицы измерений Y слева на вычисленную заранее матрицу весовых коэффициентов , в результате получают матрицу промежуточных оценок , затем восстановление ведут вдоль столбцов матрицы изображения умножением матрицы промежуточных оценок справа на вычисленную заранее матрицу весовых коэффициентов и получают матрицу оценок с элементами , представляющими амплитуды восстановленного изображения зоны обзора РЛС или РТЛС в i, j-x элементах дискретизации угломерного пространства.
Расчет матриц весовых коэффициентов сводится к следующему. Модель измерений амплитуд принимаемых сигналов в РЛС и РТЛС после прохождения тракта первичной обработки и выделения низкочастотной составляющей (на видеочастоте) имеет вид

где yqk(i, j) – результат измерения амплитуды сигнала в q, k-м измерительном канале при i, j-м положении антенны, сканирующей по азимуту (по j) и углу места (по i) на величину элемента дискретизации; аqk(i1, j1) – нормированные коэффициенты ДНА q, k-го канала, характеризующие интенсивность прихода сигнала с i1, j1-го углового направления относительно i, j-го положения антенны; x(i+i1, j+j1) – искомые параметры поля отражения в РЛС или поля излучения в РТЛС (искомое РИ), характеризующие интенсивность отражения или излучения в i1, j1-x элементах дискретизации; рqk(i, j) – гауссовские помехи q, k-го канала, включающие в себя ошибки формирования модели (3) и шумы первичной обработки принимаемого сигнала.
В общем случае все составляющие модели (6) – комплексные величины, имеющие амплитуду и фазу, причем задержка по фазе при приеме сигнала в q, k-м измерительном канале по отношению к фазовому центру антенной системы определяется.
Для увеличения быстродействия бортовой вычислительной системы коэффициенты ДНА аппроксимируются функцией с разделенными переменными:
aqk(i1, j1)= q(i1)· k(j1).
Тогда двойная сумма (6) записывается в виде повторной суммы

и совокупность i, j-x измерений для каждого q, k-го канала представляется в матричной форме:

где Yqk – I×J-матрица измерений yqk(i, j) q, k-го канала; Аq – I×(I+2m) – матрица одноленточного типа коэффициентов ДНА q(i1), описывающая искажение изображения по i в q-м канале; Х – (I+2m)×(J+2n) – матрица искомых параметров поля излучения x(i+i1, j+j1); Вk – (J+2n)×J – матрица одноленточного типа коэффициентов ДНА k (j1), описывающая искажение изображения по j в k-м канале; Рqk – I×J-матрица помех рqk(i, j).
Помещая матрицы Yqk, Aq, Вk, Рqk модели (8) в соответствующие блочные матрицы Y, А, В, Р, получаем матрично-блочную модель измерений:

Оптимальная МНК-оценка матрицы Х находится минимизацией следа матрицы F:

где Т – символ транспонирования, который для комплексных величин символизирует операцию сопряжения и транспонирования; матричная функция F характеризует отклонение измерений Y относительно Y =АХВ. След Tr[F] матрицы F представляет сумму квадратов отклонения измерений всех каналов от их восстановленных значений. Решение задачи (10) сводится к стандартной процедуре дифференцирования скалярной функции по матрице [1]:

и приводит к алгоритму восстановления РИ:

или в раскрытом виде:

 
который реализуется в виде следующей двухэтапной процедуры:
1. Вначале восстанавливается РИ вдоль строк матрицы изображения:

2. Затем восстанавливается РИ вдоль столбцов:

Для комплексных величин совокупность модулей элементов x (i+i1, j+j1) матрицы оценок X представляют восстановленное РИ в зоне обзора РЛС или РТЛС.
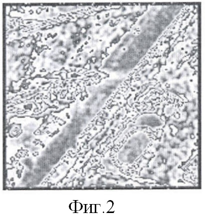
На фиг.1-3 показаны: фиг.1 – сжатое РИ по строкам и столбцам в 7 раз – имитация сканирования 7×7-ДНА зоны обзора со смещением на ширину ДНА; фиг.2 – искаженное РИ при поэлементном сканировании ДНА по строкам и столбцам; фиг.3 – восстановленное РИ при обработке изображения на фиг.2 двухэтапным алгоритмом, (10)-(11) для случая одного измерительного канала (Q=1, K=1). Размер матрицы РИ 150×150, максимальная амплитуда хmax=250, СКО помехи P=10. Коэффициенты ДНА задавались экспоненциальной функцией с квадратичным показателем степени.
На фиг.4 представлены зависимости среднеквадратического отклонения (СКО) ошибки оценивания (восстановления) от СКО помехи P, полученные для одноканальной (k=1) и для четырехканальной системы (k=2). Результаты моделирования показывают очевидное преимущество многоканальной системы.
Таким образом, предложенный способ по сравнению с прототипом имеет преимущество в быстродействии при одинаковом числе каналов за счет более эффективной организации вычислений. Способ может быть использован в бортовых сканирующих РЛС и РТЛС маловысотного полета с целью повышения их разрешающей способности по угловым координатам для навигации в сложных метеоусловиях и при отсутствии оптической видимости.
Литература
1. Монзинго Р.А., Миллер Т.У. Адаптивные антенные решетки: Введение в теорию / Пер. с англ. М.: Радио и связь, 1986. 448 с.
2. Василенко Г.И., Тараторин A.M. Восстановление изображений. М.: Радио и связь, 1986. 304 с.
3. С.14-19.
4. Патент RU 2284548 C1. Способ наблюдения за поверхностью и воздушной обстановкой на базе бортовой РЛС / В.К.Клочко. МПК: G01S 13/02. Приоритет 23.06.2005. Опубл.: 27.09. 2006. Бюл. 27.
5. Патент RU 2292060 C1. Способ наблюдения за воздушными объектами и поверхностью на базе бортовой РЛС / В.К.Клочко. МПК: G01S 13/02. Приоритет 28.06.2005. Опубл.: 20.01. 2007. Бюл. 2.
6. Радиолокационные станции с цифровым синтезированием апертуры антенны / В.Н.Антипов, В.Т.Горяинов, А.Н.Кулин, Толстов Е.Ф. и др. Под ред. В.Т.Горяинова. М.: Радио и связь, 1988. 304 с.
Формула изобретения
Способ двухэтапного восстановления изображений в многоканальных радиолокационных и радиотеплолокационных станциях (РЛС и РТЛС), заключающийся в том, что при наблюдении за поверхностью или воздушной обстановкой с I×J-зоне обзора с помощью сканирующей антенной системы в виде Q×K-матрицы приемных каналов последовательно смещают луч антенной системы по азимуту и углу места соответственно на величину (2n+1)-й и (2m+1)-й частей ширины диаграммы направленности антенны на уровне 0,5 мощности построчно в зоне обзора, измеряют при каждом i, j-м положении луча в q, k-x измерительных каналах значения амплитуд принимаемых сигналов yqk(i, j), формируют из этих амплитуд I×J-матрицы измерений Yqk с элементами yqk(i, j) которые располагают в составе блочной матрицы Y, и далее обрабатывают, отличающийся тем, что вначале восстановление ведут вдоль строк матрицы изображения умножением матрицы измерений Y слева на вычисленную заранее матрицу весовых коэффициентов в результате получают матрицу промежуточных оценок затем восстановление ведут вдоль столбцов матрицы изображения умножением матрицы промежуточных оценок справа на вычисленную заранее матрицу весовых коэффициентов и получают матрицу оценок с элементами представляющими амплитуды восстановленного изображения зоны обзора РЛС или РТЛС в i, j-x элементах дискретизации угломерного пространства.
РИСУНКИ
|