|
(21), (22) Заявка: 2008148440/28, 08.12.2008
(24) Дата начала отсчета срока действия патента:
08.12.2008
(46) Опубликовано: 20.01.2010
(56) Список документов, цитированных в отчете о поиске:
RU 2229725 C1, 27.05.2004. WO 03046586 A1, 05.06.2003. RU 2086991 C1, 10.08.1997. RU 2039359 C1, 09.07.1995. US 6389365 B1, 14.05.2002.
Адрес для переписки:
634050, г.Томск, пр-кт Ленина, 30, Томский политехнический университет, отдел интеллектуальной и промышленной собственности
|
(72) Автор(ы):
Гольдштейн Ефрем Иосифович (RU), Радаев Евгений Валерьевич (RU)
(73) Патентообладатель(и):
Государственное образовательное учреждение высшего профессионального образования “Томский политехнический университет” (RU)
|
(54) СПОСОБ СПЕКТРАЛЬНОГО АНАЛИЗА ПЕРИОДИЧЕСКИХ МНОГОЧАСТОТНЫХ СИГНАЛОВ, ПРЕДСТАВЛЕННЫХ ЦИФРОВЫМИ ОТСЧЕТАМИ
(57) Реферат:
Изобретение относится к области систем обработки информации и измерительной технике. Для исходного и опорного сигнала, представленных отсчетами мгновенных значений одних и тех же моментов времени, находят точки совместного решения при различных круговых частотах опорного сигнала. При этом опорный и исходный сигнал задают отсчетами мгновенных значений. Для исходного сигнала определяют производную. Далее для точек совместного решения производной исходного и опорного сигналов определяют площадь вольтамперной характеристики. Выявляют максимальное значение площади вольтамперной характеристики при различных фазах. Также для точек совместного решения исходного и опорного сигналов определяют площадь вольтамперной характеристики. Выявляют максимальное значение амплитуды при различных фазах. О спектральном составе сигнала судят по значениям амплитуд, круговой частоты опорного сигнала и фазы. Эти значения либо передают на ЭВМ, либо выводят на дисплей. Технический результат сводится к расширению арсенала средств аналогичного назначения. 5 ил., 3 табл.
Изобретение относится к области систем обработки информации и измерительной технике и может быть использовано для определения спектрального состава периодического многочастотного сигнала при решении разнообразных задач передачи информации на расстоянии, контроля работоспособности электротехнических и электромеханических устройств.
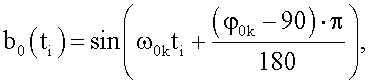
Известен способ спектрального анализа периодических многочастотных сигналов, представленных цифровыми отсчетами [Патент РФ 2229725, МПК7 G01R 23/16, опубл. 12.11.2002], выбранный в качестве прототипа, заключающийся в формировании опорного синусоидального сигнала, который многократно сдвигают по фазе один сигнал относительно другого. Для анализируемого периодического многочастотного сигнала a(ti) и опорного b0(tj)=Вmsin( 0tj+ 0) сигнала с амплитудой Вm, представленных отсчетами мгновенных значений для одних и тех же моментов времени tj=t1,t2,..,tN, где N – число разбиений на периоде Т, находят точки совместного решения а(b0) при различных круговых частотах опорного сигнала 0 и фазах опорного сигнала 0. Строят вольтамперные характеристики и определяют их площадь причем вывод о присутствии гармонической составляющей с круговой частотой k и фазой k в анализируемом сигнале a(ti) делают, исходя из условия FBAX=0. Затем определяют максимальную площадь вольтамперной характеристики при k=±90° и находят амплитуду К-й спектральной составляющей по формуле

где 
1 – основная круговая частота.
Далее по значениям k, k и судят о спектральном составе анализируемого сигнала a(ti).
Недостатком известного способа является то, что у него недостаточная чувствительность при выявлении частотных составляющих с малыми амплитудами.
Задачей изобретения является расширение арсенала средств аналогичного назначения.
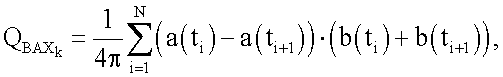
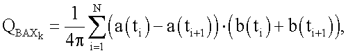
Это достигается тем, что в способе спектрального анализа многочастотных периодических сигналов, представленных цифровыми отсчетами, также как в прототипе, для исходного a(ti) и опорного b0(ti) сигнала, представленных отсчетами мгновенных значений одних и тех же моментов времени ti=t1,t2,..,tN, находят точки совместного решения а(b0) при различных круговых частотах опорного сигнала и фазах опорного сигнала определяют их площадь 
Согласно изобретению исходный a(ti) и опорный b0(ti) сигнал задают отсчетами мгновенных значений, при

где t – шаг дискретизации;
N – количество точек отсчета за время выборки сигнала tN.
Для исходного сигнала a(ti) определяют производную

Одновременно для частот (рад/с) с заданным шагом
 0 формируют опорный сигнал

при этом принимают Определяют площадь вольтамперной характеристики для точек совместного решения 

Выявляют максимальное значение площади вольтамперной характеристики при различных фазах выделяют частоты при которых

где – максимальное значение площади вольтамперных характеристикам при различных частотах k – коэффициент фильтрации в процентах. Для выделенных частот определяют опорный сигнал b0(ti) для рассматриваемой частоты 

при этом принимают После чего определяют площадь вольтамперной характеристики для точек совместного решения а(b0)

и определяют амплитуду

где – частота в Гц.
Выявляют максимальное значение амплитуды при различных фазах значения соответствующие максимальному значению амплитуды при различных фазах запоминают. О спектральном составе сигнала судят по значениям Amk, k, k и их либо передают на ЭВМ, либо выводят на дисплей.
Заявленный способ спектрального анализа многочастотных периодических сигналов, представленных цифровыми отсчетами, имеет существенные преимущества, поскольку повышает чувствительность выявления частотных составляющих с малыми амплитудами за счет того, что выявляют частоты по спектру производной исходного сигнала, так как известно, что чувствительность – способность выделить и определить параметры спектральной составляющей с малой амплитудой [Функциональный контроль и диагностика электротехнических систем и устройств по цифровым отсчетам мгновенных значений тока и напряжения/ под редакцией Е.И Гольдштейна – Томск: Изд. «Печатная мануфактура», 2003, с.89].
На фиг.1 приведена аппаратная схема устройства, реализующего рассматриваемый способ определения периода.
На фиг.2 приведена осциллограмма тестового исходного сигнала.
На фиг.3 приведена осциллограмма производной тестового исходного сигнала.
На фиг.4 приведена зависимость значения площади вольтамперной характеристики от частоты.
На фиг.5 приведена зависимость амплитуды от частоты.
В табл.1 приведены параметры тестового исходного сигнала.
В табл.2 приведены выявленные частоты и соответствующие значения площади вольтамперной характеристики.
В табл.3 приведены результаты определения параметров тестового исходного сигнала.
Заявленный способ может быть осуществлен с помощью схемы (фиг.1), содержащей датчик анализируемого сигнала 1 (ДАС), который подключен к объекту, сигнал которого исследуется. К датчику анализируемого сигнала 1 (ДАС) последовательно подключены дифференциатор 2 (Д), программатор определения площади вольтамперной характеристики 3 (ПВАХ), первый датчик опорного сигнала 4 (ДОС1). При этом к программатору определения площади вольтамперной характеристики 3 (ПВАХ) последовательно подключены первый программатор 5 (П1), второй датчик опорного сигнала 6 (ДОС2), программатор амплитудного значения по вольтамперной характеристике 7 (АВАХ), второй программатор 8 (П2), который связан с дисплеем или ЭВМ (не показано на фиг.1.). Датчик опорного сигнала 1 (ДАС) соединен с программатором амплитудного значения по вольтамперной характеристике 7 (АВАХ), а первый программатор 5 (П1) соединен со вторым программатором 8 (П2).
В качестве датчика анализируемого сигнала 1 (ДАС) может быть использован датчик тока – промышленный прибор КЭИ-0,1, или датчик напряжения – трансформатор напряжения (220/5В). Программатор площади вольтамперной характеристики 3 (ПВАХ), программатор амплитудного значения 7 (АВАХ), дифференциатор 2 (Д), первый и второй программаторы 5 (П2) и 8 (П2), первый и второй датчики опорного сигнала 4 (ДОС1) и 6 (ДОС2) могут быть выполнены на микроконтроллере серии 51 производителя atmel AT89S53. Для работы пользователя может быть предусмотрена кнопочная клавиатура FT008, имеющая 8 кнопок.
С выхода датчика анализируемого сигнала 1 (ДАС) исходный сигнал a(t,) заданный отсчетами мгновенных значений в моменты времени
tl,t2,..,ti,.., tN;
t2-t1=t3-t2=tN-tN-1= = t;

где t – шаг дискретизации;
N – количество точек отсчета за время выборки сигнала tN,
поступает на вход программатора определения амплитудного значения по вольтамперной характеристике 2 (АВАХ) и дифференциатора 2 (Д). В дифференциаторе 2 (Д) для исходного сигнала а(ti) определяют производную

и передают на программатор площади вольтамперной характеристики 3 (ПВАХ), одновременно с первого датчика анализируемого сигнала 4 (ДОС1) для частот (рад/с) с заданным шагом  0 формируют опорный сигнал

при этом принимают длина массива N и шаг дискретизации t принимают равными соответствующим параметрам исходного сигнала а(ti), затем полученный опорный сигнал b0(ti) подают на программатор площади вольтамперной характеристики 3 (ПВАХ), где определяют площадь вольтамперной характеристики для точек совместного решения 

Выявляют максимальное значение площади вольтамперной характеристики при различных фазах максимальные значение площадей вольтамперной характеристики при различных фазах и соответствующие значения частот передают на первый программатор 5 (П1). В первом программаторе 5 (П1) выделяют частоты при которых

где – максимальное значение площади вольтамперных характеристикам при различных частотах k – коэффициент фильтрации в процентах. Выделенные частоты передают на второй датчик опорного сигнала 6 (ДОС2) и на второй программатор 8 (П2). Во втором датчике опорного сигнала 6 (ДОС2) для частот определяют опорный сигнал b0(ti) для рассматриваемой частоты 

при этом принимают длину массива N и шаг дискретизации t принимают равными соответствующим параметрам исходного сигнала a(ti). Затем определяют площадь вольтамперной характеристики для точек совместного решения а(b0)

и определяют амплитуду

где – частота в Гц.
В программаторе определения амплитудного значения по вольтамперной характеристике 2 (АВАХ) выявляют максимальное значение амплитуды при различных фазах max[Amk( 0k)], максимальное значение амплитуды Аmk и соответствующее значение фазы k= 0k передают на второй программатор 8 (П2), где их запоминают вместе со значением k= 0k из первого программатора 5 (П1). После определения амплитуд Amk и фаз k для всех значений частоты 0k на выход второго программатора 8 (П2) подают сигнал о готовности результатов спектрального анализа. О спектральном составе сигнала судят по значениям Amk, k, k и их либо передают на ЭВМ, либо выводят на дисплей.
Для проверки работоспособности предложенной процедуры провели спектральный анализ тестового сигнала напряжения (параметры сигнала приведены в табл.1).
a(ti)=u(ti)=10·sin(2 ·50·ti+45)+0,1·sin(2 ·400·ti+30)+0,05·sin(2 ·800·ti-20), A.
Для этого рассчитали массив мгновенных значений для N=10000 точек исходного сигнала с шагом дискретизации t=10-4c(tN=l c) (осциллограмма тестового исходного сигнала приведена на фиг.2). В дифференциаторе 2 (Д) для исходного сигнала a(ti) определяют производную (см. фиг.3). Для частот (1,2..900)·2 (рад/с) формируют опорный сигнал и определяют максимальные площади вольтамперной характеристики (см. фиг.4). В программаторе 5 (П1) выделяют частоты например
для m=400·2 (рад/с) (QBAX(400·2 )=49709,83)
QBAX(400·2 ) 96138,8561·40%=38455,5424
где 
Выделенные частоты и значения QBAX представлены в табл.2. Во втором датчике опорного сигнала 6 (ДОС2) для частот определяют опорный сигнал b0(ti) для рассматриваемой частоты при этом принимают 
Затем определяют площадь вольтамперной характеристики и определяют максимальную амплитуду при различных фазах, например для 

Результаты спектрального анализа тестового сигнала представлены в табл.3 и фиг.5. Убедиться в увеличении чувствительности можно по полученным значениям характеристик QBAX( m) и Аm( m) (см. фиг.4, 5). Таким образом, на фиг.4 видно, что значения QBAX( m) имеют большее значение по сравнению с аналогичными значениями характеристики Аm( m), причем этот эффект проявляется все больше с ростом задаваемой частоты m.



Формула изобретения
Способ спектрального анализа многочастотных периодических сигналов, представленных цифровыми отсчетами, заключающийся в том, что для исходного a(ti) и опорного b0(ti) сигналов, представленных отсчетами мгновенных значений одних и тех же моментов времени ti=t1, t2, , tN, находят точки совместного решения а(b0) при различных круговых частотах опорного сигнала 0k и фазах опорного сигнала 0k определяют площадь их вольт-амперной характеристики QBAXk, отличающийся тем, что исходный a(ti) и опорный b0(ti) сигналы задают отсчетами мгновенных значений при
 где t – шаг дискретизации; N – количество точек отсчета за время выборки сигнала tN, для исходного сигнала a(ti) определяют производную
 одновременно для частот 01 0m 0n (Рад/с) с заданным шагом  0 формируют опорный сигнал
 при этом принимают 0m=-180..( 0m+ 0m)..180, определяют площадь вольтамперной характеристики для точек совместного решения 
 выявляют максимальное значение площади вольт-амперной характеристики при различных фазах max[QBAXm( 0m)], выделяют частоты 0k, при которых QBAX( 0m) QBAXmax·k, где QBAXmax=max[QBAXm( 0m)] – максимальное значение площади вольт-амперных характеристик при различных частотах 0m, k – коэффициент фильтрации, %, для выделенных частот 0k определяют опорный сигнал b0(ti) для рассматриваемой частоты 0k
 при этом принимают 0k=-180..( 0k+ 0)..180, после чего определяют площадь вольт-амперной характеристики для точек совместного решения a(b0)
 и определяют амплитуду
 где – частота, Гц, выявляют максимальное значение амплитуды при различных фазах max[Amk( 0k)], значения Аmk, k= 0k, k= 0k, соответствующие максимальному значению амплитуды при различных фазах max[Amk( 0k)], запоминают, о спектральном составе сигнала судят по значениям Amk, k, k и их либо передают на ЭВМ, либо выводят на дисплей.
РИСУНКИ
|