|
|
(21), (22) Заявка: 2008130265/28, 21.07.2008
(24) Дата начала отсчета срока действия патента:
21.07.2008
(46) Опубликовано: 20.01.2010
(56) Список документов, цитированных в отчете о поиске:
RU 2134428 C1, 10.08.1999. RU 2187100 C2, 10.08.2002. US 6051977 A, 18.04.2000. US 6239593 B1, 29.05.2001. RU 1751 U1, 16.02.1996.
Адрес для переписки:
603950, г.Нижний Новгород, ГСП-926, ул. Алексеевская, 26, ОАО “Гипрогазцентр”
|
(72) Автор(ы):
Пужайло Александр Федорович (RU), Кривдин Александр Юрьевич (RU), Вититнев Олег Юрьевич (RU), Спиридович Евгений Апполинарьевич (RU), Кривдин Роман Александрович (RU), Шаров Олег Борисович (RU), Коптелов Алексей Юрьевич (RU)
(73) Патентообладатель(и):
Открытое Акционерное Общество (ОАО) “Гипрогазцентр” (RU)
|
(54) УСТРОЙСТВО БЕСКОНТАКТНОГО ИЗМЕРЕНИЯ ТОКА КАТОДНОЙ ЗАЩИТЫ
(57) Реферат:
Изобретение относится к нефтяной и газовой промышленности и может быть использовано для контроля эффективности электрохимической защиты от коррозии подземного трубопровода. Устройство бесконтактного измерения тока катодной защиты содержит феррозонд с первой компенсационной обмоткой, аналоговый преобразователь, последовательно соединенные фазовый детектор и фильтр низких частот, первый преобразователь напряжение-ток, аналого-цифровой преобразователь, генератор возбуждения. В устройство бесконтактного измерения тока катодной защиты дополнительно введена вторая компенсационная обмотка. В аналоговый преобразователь дополнительно введены устройство вывода, устройство формирования временных интервалов, индикатор, клавиатура, вторые избирательный усилитель и преобразователь напряжение-ток, цифроаналоговый преобразователь и управляемый переключатель. Технический результат – постоянное измерение тока катодной защиты путем введения дополнительного канала измерения. 1 ил.
Изобретение относится к нефтяной и газовой промышленности и может быть использовано, в частности, для контроля эффективности электрохимической защиты от коррозии подземного трубопровода, например, в нефтегазовой промышленности, в условиях эксплуатации без производства вскрышных работ, и какого-либо воздействия на металл труб.
Электрохимическая защита от коррозии подземного трубопровода заключается в поляризации трубопровода катодным током с защитной разностью потенциалов «трубопровод-земля». Создание электрической разности потенциалов между трубопроводом и окружающим его грунтом осуществляется внешним источником постоянного тока (как правило, катодная станция) при подключении отрицательного полюса к трубопроводу, а положительного полюса к заземлению (анод). В местах нарушения изоляционного покрытия, где происходит соприкосновение металла трубопровода с грунтом, ток из грунта входит в трубопровод, поляризуя и защищая его от коррозии.
Таким образом, ток в трубопроводе является важнейшим диагностическим признаком, определяющим и состояние изоляционного покрытия, и эффективность электрозащиты. Для выяснения причин коррозии, а также для определения координат и размеров дефектов изоляции, имеющих катодную защиту, измерение токов, текущих вдоль трубопровода, имеет приоритетное значение.
Известны зарубежные и отечественные устройства аналогичного назначения: аппаратура картирования блуждающих (паразитных) токов
Известные устройства состоят, как правило, из следующих электронных блоков: переносных синхронных отключателей установок катодной защиты (УКЗ) типа «Sintakt», устройства сбора и обработки информации на базе портативной электронной вычислительной машины и носимых приемных устройств – бесконтактных измерителей катодного тока. Последние представляют собой магнитометры, измеряющие магнитное поле, возникающее вследствие протекания по трубопроводу катодного тока. При этом к магнитометрам предъявляются высокие технические требования: малые габаритные размеры, высокая чувствительность, широкий динамический диапазон и возможность измерения постоянных и переменных сверхнизкочастотных магнитных полей. Наиболее полно этим требованиям отвечают цифровые феррозондовые магнитометры с расширенным диапазоном измерения. Среди цифровых феррозондовых магнитометров известны отечественные устройства: мультиплексная управляющая схема с полосовым фильтром для феррозонда [патент США 4677754, кл. G01R 33/02, 1984]; цифровой феррозондовый магнитометр [А.С. СССР 842657, кл. G01R 33/02, 1979, опубликовано в Бюллетене изобретений 24, 1981 г.]. Данные магнитометры содержат феррозонд с компенсационной обмоткой, аналоговый преобразователь, пороговые устройства, аналогово-цифровой преобразователь, цифровой источник компенсирующего поля, вычислительный блок.
Наиболее близким по технической сущности к заявляемому устройству является цифровой феррозондовый магнитометр (см. свидетельство на полезную модель РФ 7512, кл. G01R 33/02, опубликовано 16.08.98). Данное устройство содержит: феррозонд с компенсационной обмоткой, аналоговый преобразователь, пороговый элемент, дискриминатор знака, источник компенсирующего поля, аналого-цифровой преобразователь и вычислительный блок.
Вышеуказанное устройство является наиболее близким к заявляемому изобретению и может быть взято в качестве прототипа. К недостаткам вышеуказанного устройства следует отнести недостаточную точность компенсации начального магнитного поля.
Решаемая техническая задача состоит в создании устройства бесконтактного измерения тока катодной защиты с повышенной точностью измерения.
Достигаемым техническим результатом является постоянное измерение тока катодной защиты путем введения дополнительного канала измерения.
Для достижения технического результата в устройстве бесконтактного измерения тока катодной защиты, содержащем феррозонд с первой компенсационной обмоткой, аналоговый преобразователь, включающий в себя измерительный усилитель, вход которого подключен к выходу феррозонда, а выход к первому избирательному усилителю, последовательно соединенные фазовый детектор и фильтр низких частот, первый преобразователь напряжение – ток, выход которого подключен к первой компенсационной обмотке, аналого-цифровой преобразователь, цифровой выход которого соединен с первым входом контроллера, а аналоговый вход соединен с выходом фильтра низких частот, генератор возбуждения, выходы которого соединены с входом феррозонда и первым входом фазового детектора соответственно, новым является то, что введена вторая компенсационная обмотка, а в аналоговый преобразователь дополнительно введены устройство вывода, устройство формирования временных интервалов, индикатор, клавиатура, вторые избирательный усилитель и преобразователь напряжение – ток, цифроаналоговый преобразователь и управляемый переключатель, первый вход которого соединен с первым выходом контроллера, второй выход которого соединен со входом устройства вывода, вход первого преобразователя напряжение – ток соединен через первые нормально-замкнутый и нормально-разомкнутые контакты управляемого переключателя с выходом фильтра низких частот и выходом цифроаналогового преобразователя соответственно, вход которого соединен с третьим выходом контроллера, четвертый и пятый выходы которого соединены соответственно со входами индикатора и клавиатуры, а второй вход контроллера соединен с выходом устройства формирования временных интервалов, вход которого соединен с выходом фильтра низких частот и через третий нормально-разомкнутый контакт управляемого переключателя со входом второго преобразователя напряжение – ток, выход которого соединен со второй компенсационной обмоткой, второй вход фазового детектора соединен через вторые нормально-замкнутый и нормально-разомкнутые контакты управляемого переключателя с выходами первого и второго избирательных усилителей соответственно, вход последнего из которых соединен с выходом измерительного усилителя.
Введение в аналоговый преобразователь дополнительного канала для начальной компенсации магнитного поля, состоящего из второй компенсационной обмотки, второго избирательного усилителя и второго преобразователя напряжение – ток, цифроаналогового преобразователя, управляемого переключателя, индикатора, клавиатуры, устройства формирования временных интервалов, облегчает процесс измерения и позволяет уменьшить время и погрешность измерения начального магнитного поля в зоне действия блуждающих токов и, таким образом, уменьшить погрешность измерения модуля катодного тока подземного трубопровода.
Новая совокупность существенных признаков позволяет повысить эффективность и точность контроля состояния металла трубопроводов.
Изобретение поясняется чертежом, на котором изображена структурная схема устройства бесконтактного измерения тока катодной защиты. Устройство бесконтактного измерения тока катодной защиты содержит феррозонд 1 с первой 11 и второй 12 компенсационными обмотками, аналоговый преобразователь, включающий в себя измерительный усилитель 2, вход которого подключен к выходу феррозонда 1, а выход к первому избирательному усилителю 4, последовательно соединенные фазовый детектор 6 и фильтр низких частот 7, первый преобразователь напряжение – ток 10, выход которого подключен к первой компенсационной обмотке 11, аналого-цифровой преобразователь 15, цифровой выход которого соединен с первым входом контроллера 8, а аналоговый вход соединен с выходом фильтра низких частот 7, генератор возбуждения 13, выходы которого соединены со входом феррозонда 1 и первым входом фазового детектора 6 соответственно, в аналоговый преобразователь введены устройство вывода 16, устройство формирования временных интервалов 17, индикатор 18, клавиатура 19, вторые избирательный усилитель 3 и преобразователь напряжение – ток 14, цифроаналоговый преобразователь 9 и управляемый переключатель 5, первый вход которого соединен с первым выходом контроллера 8, второй выход которого соединен со входом устройства вывода 16, вход первого преобразователя напряжение – ток 10 соединен через первые нормально-замкнутый 20 и нормально-разомкнутые 21 контакты управляемого переключателя 5 с выходом фильтра низких частот 7 и выходом цифроаналогового преобразователя 9 соответственно, вход которого соединен с третьим выходом контроллера 8, четвертый и пятый выходы которого соединены соответственно со входами индикатора 18 и клавиатуры 19, а второй вход контроллера 8 соединен с выходом устройства формирования временных интервалов 17, вход которого соединен с выходом фильтра низких частот 7 и через третий нормально-разомкнутый контакт 24 управляемого переключателя 5 со входом второго преобразователя напряжение – ток 14, выход которого соединен со второй компенсационной обмоткой 12, второй вход фазового детектора 6 соединен через вторые нормально-замкнутый 22 и нормально-разомкнутые 23 контакты управляемого переключателя 5 с выходами первого 4 и второго 3 избирательных усилителей соответственно, вход последнего из которых соединен с выходом измерительного усилителя 2.
Датчик катодного тока работает следующим образом. Датчик катодного тока размещается на линии, являющейся проекцией оси трубопровода на поверхности земли. При этом магнитная ось феррозонда должна быть перпендикулярна этой линии. При включении датчика катодного тока осуществляется цикл начальной компенсации измеряемого магнитного поля Bi, которое является суммой проекций магнитного поля Земли и магнитного поля трубопровода. Выходное напряжение феррозонда 1, пропорциональное измеряемому магнитному полю, содержащее полезный сигнал и сигнал помехи, подается на вход измерительного усилителя 2, в котором осуществляется выделение полезного сигнала в виде напряжения частоты второй гармоники генератора возбуждения 13. Напряжение частоты второй гармоники поступает на входы первого 3 и второго 4 избирательных усилителей.
В начальный момент времени контакты 20 и 22 управляемого переключателя 5 замкнуты, контакты 21, 23 и 24 разомкнуты. При этом обеспечивается подключение второго избирательного усилителя 4 с меньшим коэффициентом преобразования ко входу фазового детектора 6, на первый вход которого поступает напряжение частоты второй гармоники от генератора возбуждения 13. Выпрямленный полезный сигнал, пропорциональный измеряемому магнитному полю, поступает на фильтр низких частот 7, в котором происходит дополнительное подавление сигнала помехи. Далее полезный сигнал поступает на вход аналого-цифрового преобразователя 15, где он оцифровывается, начиная с первого цикла измерения, и подается на вход контроллера 8, который анализирует знак поступающего кода входного напряжения и формирует код (NИКП)i-1 подаваемый на вход цифроаналогового преобразователя 9, при этом код (NИКП)i-1 противоположен по знаку коду, принимаемому от аналого-цифрового преобразователя 15.
В следующем цикле измерения на первом выходе контроллера 8 возникает управляющее напряжение, которое переключает управляемый переключатель 5 на противоположное. При этом с выхода цифроаналогового преобразователя 9 сигнал, пропорциональный измеряемому начальному магнитному полю, поступает на первый преобразователь напряжение – ток 10 через замкнутый контакт 21 управляемого переключателя 5. Выходной ток первого преобразователя напряжение – ток 10 формирует в первой катушке компенсации магнитного поля 11 магнитное поле, противоположное измеряемому, а выходное напряжение феррозонда 1, пропорциональное измеряемому магнитному полю, уменьшается. Величина магнитного поля Bi в объеме феррозонда 1 определяется соотношением:

где Bi – измеряемое магнитное поле, – магнитное поле начальной компенсации, формируемое при первом цикле измерения.
Таким образом, завершается цикл начальной компенсации измеряемого магнитного поля.
Одновременно управляющее напряжение через замкнутые контакты 23 и 24 управляемого переключателя 5 подключает второй избирательный усилитель 3 ко второму входу фазового детектора 6 и выход фильтра низких частот 7 ко второму преобразователю напряжение – ток 14, выход которого подключен ко второй катушке компенсации магнитного поля 12. Таким образом, формируется основной канал преобразования цифрового феррозондового широкодиапазонного магнитометра. Коэффициенты преобразования основного КП и компенсационного каналов КПИКП цифрового феррозондового широкодиапазонного магнитометра подобраны таким образом, что КПИКП примерно в 250 раз меньше КП коэффициента усиления основного канала магнитометра. При этом измеряемое внешнее магнитное поле В будет определяться выражением:

где Ni – число со знаком на выходе аналого-цифрового преобразователя; NИКП – число со знаком на входе цифроаналогового преобразователя. При последующих циклах измерения код Ni+1, принимаемый контроллером 8 от аналого-цифрового преобразователя 15, сравнивается с кодом Nn, соответствующим некоторому порогу, пропорциональному границе диапазона основного канала цифрового феррозондового широкодиапазонного магнитометра. Если выполняется условие:

контроллер 8 формирует коды (NИКП), подаваемые на вход цифроаналогового преобразователя 9, определяемые по формулам:

если знак поступающего кода на выходе аналого-цифрового преобразователя 15 положительный, и

если знак поступающего кода на выходе аналого-цифрового преобразователя 15 отрицательный,
где i – номер цикла анализа сигналов; (NИКП)i-1 – код, подаваемый контроллером 8 в цифроаналоговый преобразователь 9 в предыдущем цикле анализа сигналов на входе контроллера 8.
В результате с выхода первого преобразователя напряжение – ток 10 в обмотку первой катушки компенсации 11 подается ток, который создает дополнительное компенсирующее поле в объеме феррозонда 1, действие которого приводит к тому, что сигнал на выходе фильтра низких частот 7 устанавливается в заданных пределах.
При установке переносных синхронных отключателей установок катодной защиты (УКЗ) проекция вектора магнитного поля, действующего в месте установки датчика катодного тока, в первом приближении будет определяться выражениями (6) и (7):

при включенном прерывателе, где BKTi – проекция магнитного поля, обусловленная катодным током, протекающим по трубопроводу; Bai – проекция аномального магнитного поля, обусловленная магнитным полем Земли и магнитным полем трубопровода.

при выключенном.
Алгоритм вычисления модуля и направления тока катодной защиты инициализируется с клавиатуры 19 устройства бесконтактного измерения тока катодной защиты и заключается в измерении мгновенного значения амплитуды магнитного поля Bi через время T1 после включения отключателя и измерении мгновенного значения амплитуды магнитного поля Вi через время T2 после отключения отключателя. Времена T1 и T2 устанавливаются с клавиатуры 19 устройства бесконтактного измерения тока катодной защиты и зависят от режима работы переносных синхронных отключателей установки катодной защиты (УКЗ). Расстояние от места установки феррозонда до оси трубопровода вводится в контроллер 8 с клавиатуры 19 устройства бесконтактного измерения тока катодной защиты и может быть независимо измерено приборами типа «БИТА-1» (производства ОАО «Гипрогазцентр», РФ) или РСМ (производства «Radiodetection», UK).
Для определения моментов отсчета временных интервалов T1 и T2 и определения направления тока катодной защиты в устройство бесконтактного измерения тока катодной защиты введено устройство формирования временных интервалов 17, которое содержит последовательно соединенные проходной конденсатор и компаратор. Устройство формирования временных интервалов работает следующим образом.
С выхода фильтра низких частот 7 в режиме работы с переносными синхронными отключателями установок катодной защиты (УКЗ) поступает сигнал, представляющий собой импульсы, расположенные относительно постоянной составляющей измеряемого аномального магнитного поля Bai. Амплитуда и длительность этих импульсов зависят от текущего состояния отключателей («ВКЛЮЧЕНО», «ОТКЛЮЧЕНО»), а также от направления протекающего тока катодной защиты. Через конденсатор сигнал поступает на неинвертирующий вход компаратора, инвертирующий вход которого подсоединен к «земляной» шине. На выходе компаратора могут формироваться два варианта формы импульсов: положительные импульсы с большой скважностью последовательности, соответствующие режиму «ВКЛЮЧЕНО» синхронного отключателя установки катодной защиты (УКЗ) и положительному направлению протекающего тока, и положительные импульсы с меньшей скважностью последовательности, соответствующие режиму «ОТКЛЮЧЕНО» синхронного отключателя установки катодной защиты (УКЗ) и отрицательному направлению протекающего тока, при этом знак измеряемого аномального магнитного поля Bai может быть любым. Второй вариант формы сигнала находится в противофазе по отношению к первому.
Последовательность импульсов поступает на второй вход контроллера, который измеряет скважность поступающих импульсов и сравнивает ее с некоторым порогом, зависящим от режима работы синхронного отключателя установки катодной защиты (УКЗ). Если измеренная скважность превышает порог, то на индикаторе появляется положительное направлении тока, если меньше или равно установленному порогу, то на индикаторе появляется противоположное направление тока.
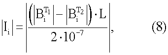
Одновременно через время t1, соответствующее моменту времени T1 после прихода фронта импульса, измеряется внешнее магнитное поле по формуле (2), через промежуток времени t2, соответствующее моменту времени Т2, производится следующее измерение внешнего магнитного поля по формуле (2). После этого контроллер 8 вычисляет модуль тока I катодной защиты по формуле:

где , – мгновенные значения магнитного поля, Тл в моменты времени t1 и t2 соответственно; L – расстояние от датчика катодного тока до оси трубопровода, м.
Измеренное значение модуля тока I выводится на индикатор 18 в амперах. Во время цикла начальной компенсации измеряемого магнитного поля и отключенных переносных синхронных отключателей, второй вход контроллера 8 блокируется и на индикатор 18 устройства бесконтактного измерения тока катодной защиты выводится измеряемое внешнее магнитное поле Bi, Тл, рассчитанное по формуле (2).
В течение каждого цикла измерения (кроме первого) контроллер 8 через устройство вывода 16 по линии типа RS-232 передает на внешние устройства данные о величине измеренного магнитного поля, модуле и направлении тока катодной защиты (в режиме работы с переносными синхронными отключателями установок катодной защиты (УКЗ) или о величине внешнего измеряемого поля, если режим с переносными синхронными отключателями установок катодной защиты (УКЗ) не используется. Внешними устройствами могут быть: персональный компьютер, аналогичный контроллер с графическим дисплеем или устройство сбора информации типа USB Flash Drive и т.д.
Изготовлен опытный образец устройства бесконтактного измерения тока катодной защиты, в котором контроллер выполнен на базе однокристальной микроЭВМ типа ATMEGA16, аналого-цифровой преобразователь – AD7864; цифроаналоговый преобразователь – AD767AD.
Изготовленный опытный образец имеет следующие основные технические характеристики: цена младшего разряда цифрового феррозондового магнитометра, входящего в состав устройства бесконтактного измерения тока катодной защиты – 5 мА/м; диапазон измерения магнитного поля – ±164 А/м; предел основной относительной погрешности измерения магнитного поля – 0,01%; предел основной относительной погрешности измерения тока катодной защиты не более 5%; диапазон рабочих температур от минус 20 до плюс 50°С.
Формула изобретения
Устройство бесконтактного измерения тока катодной защиты, содержащее феррозонд с первой компенсационной обмоткой, аналоговый преобразователь, включающий в себя измерительный усилитель, вход которого подключен к выходу феррозонда, а выход к первому избирательному усилителю, последовательно соединенные фазовый детектор и фильтр низких частот, первый преобразователь напряжение-ток, выход которого подключен к первой компенсационной обмотке, аналого-цифровой преобразователь, цифровой выход которого соединен с первым входом контроллера, а аналоговый вход соединен с выходом фильтра низких частот, генератор возбуждения, выходы которого соединены с входом феррозонда и первым входом фазового детектора соответственно, отличающееся тем, что введена вторая компенсационная обмотка, а в аналоговый преобразователь дополнительно введены устройство вывода, устройство формирования временных интервалов, индикатор, клавиатура, вторые избирательный усилитель и преобразователь напряжение-ток, цифроаналоговый преобразователь и управляемый переключатель, первый вход которого соединен с первым выходом контроллера, второй выход которого соединен со входом устройства вывода, вход первого преобразователя напряжение-ток соединен через первые нормально замкнутый и нормально разомкнутые контакты управляемого переключателя с выходом фильтра низких частот и выходом цифроаналогового преобразователя соответственно, вход которого соединен с третьим выходом контроллера, четвертый и пятый выходы которого соединены соответственно со входами индикатора и клавиатуры, а второй вход контроллера соединен с выходом устройства формирования временных интервалов, вход которого соединен с выходом фильтра низких частот и через третий нормально разомкнутый контакт управляемого переключателя с входом второго преобразователя напряжение-ток, выход которого соединен со второй компенсационной обмоткой, второй вход фазового детектора соединен через вторые нормально замкнутый и нормально разомкнутый контакты управляемого переключателя с выходами первого и второго избирательных усилителей соответственно, вход последнего из которых соединен с выходом измерительного усилителя.
РИСУНКИ
|
|