|
|
(21), (22) Заявка: 2005115954/28, 25.05.2005
(24) Дата начала отсчета срока действия патента:
25.05.2005
(30) Конвенционный приоритет:
26.05.2004 US 10/854,086
(43) Дата публикации заявки: 27.11.2006
(46) Опубликовано: 20.01.2010
(56) Список документов, цитированных в отчете о поиске:
US 5396438 А 07.03.1995. RU 2096746 С1 20.11.1997. SU 1795336 A1 15.02.1993. SU 1652865 A1 30.05.1991.
Адрес для переписки:
129090, Москва, ул. Б.Спасская, 25, стр.3, ООО “Юридическая фирма Городисский и Партнеры”, пат.пов. Ю.Д.Кузнецову, рег. 595
|
(72) Автор(ы):
ЗУ Фанг (US), ФЛАМЕН Жюльен Мэттью (US)
(73) Патентообладатель(и):
СОСЬЕТЕ ДЕ ТЕКНОЛОЖИ МИШЛЕН (FR), МИШЛЕН РЕШЕРШ Э ТЕКНИК С.А. (CH)
|
(54) СПОСОБ УЛУЧШЕНИЯ ОДНОРОДНОСТИ ШИНЫ ПУТЕМ ВЗАИМНОЙ КОМПЕНСАЦИИ РАДИАЛЬНОГО БИЕНИЯ И ВАРИАЦИИ ЖЕСТКОСТИ
(57) Реферат:
Настоящее изобретение относится к способу определения характеристик однородности шин. Способ определения характеристик сил неоднородности, действующих на ось шины, таких как вариация радиальной силы на низкой и высокой скоростях и вариация тангенциальной силы на высокой скорости, заключается в том, что измеряют радиальное биение и вариацию радиальной или тангенциальной силы на высокой и/или низкой скоростях. По результатам измерений определяют вклад заданного типа вариации жесткости в соответствующие вариации радиальной и/или тангенциальной силы. Используют статистические методы сигнатурного анализа для характеристики неоднородных сил, действующих на шину, для различных этапов и исходные физические углы процесса формирования шины. На основе характеристики неоднородных сил, действующих на шину, осуществляют дополнительные этапы классификации и/или сортировки шины, физической модификации шины и изготовления шины. Механизмы коррекции шины и/или управления обратной связью в процессе производства шины предпочтительно позволяют получить шины, имеющие радиальное биение и параметры вариации жесткости, которые находятся не в фазе для одной или больше гармоник, в результате чего возможно уменьшить силы неоднородности, такие как вариации радиальной и тангенциальной силы, действующие на ось шины. Технический результат: создание улучшенного способа определения характеристик сил неоднородности. 5 н. и 26 з.п. ф-лы, 20 ил., 1 табл.
Область техники
Настоящее изобретение относится к способу определения характеристик однородности шин, таких как вариации радиальной и тангенциальной сил, которые влияют на однородность шины, как на малой, так и на высокой скоростях. Определение характеристик и прогнозирование этих и других параметров шины можно, в свою очередь, использовать для определения класса, сорта, а также для коррекции изготовленных продуктов и/или управления аспектами их изготовления.
Предшествующий уровень техники
Одной из причин вибрации автомобиля как на высокой, так и на низкой скоростях движения является вариация сил, действующих на ось шины на соответствующих участках. Это явление обычно называют однородностью шины (однообразие уклонов в продольном и поперечном профилях шины). Однородность шины на высокой скорости (ОВС) может представлять особый интерес при определении рабочих характеристик шины, поскольку характеристики неоднородности шины могут привести к существенному повышению уровня вибрации на высоких скоростях движения по скоростным шоссе, например, превышающих 25 миль в час.
Однородности на высокой скорости (ОВС) в последнее время уделяют все большее внимание в автомобильной промышленности, и при этом на многих производителей шин оказывается давление для введения контроля ОВС. Однако измерение ОВС шины до настоящего времени было трудноосуществимым и весьма дорогостоящим, что делает внедрение промышленного контроля ОВС очень сложным.
Для прогнозирования и управления вариациями сил и получаемыми в результате нежелательными уровнями вибрации обычно идентифицируют и измеряют множество различных параметров шины. В соответствии с аспектами настоящего изобретения требуется обеспечить комбинированное измерение множества параметров шины для прогнозирования или определения однородности шины, включая вариации радиальных и тангенциальных усилий, как на низких, так и на высоких скоростях.
Одна из попыток прогнозирования ОВС шины раскрыта в патенте США 5396438, в котором описано прогнозирование ОВС на основе множества параметров на низкой скорости, таких как радиальное биение (РБ), радиус мгновенного качения (РМК) и вариация радиальной силы (ВРС), получаемых с использованием устройств для определения параметров однородности на низкой скорости. Еще один пример, относящийся к определению однородности на высокой скорости, описан в патенте США 6065331, в котором компоненты высокого порядка однородности на высокой скорости прогнозируются на основе измерений однородности на низкой скорости. Устройства для определения параметров однородности на низкой скорости достаточно хорошо разработаны и используются во всех линиях по производству шин. С учетом сделанных ранее попыток прогнозирования параметров ОВС и текущей ориентации рынка на контроль уровня ОВС требуется обеспечить улучшенную технологию для определения характеристик однородности шины как на высокой, так и на низкой скоростях.
Существует множество факторов, которые влияют на ОВС шины, причем одна из наибольших проблем при обеспечении эффективности контроля однородности шины состоит в возможности правильной идентификации влияющих факторов для контроля над соответствующими уровнями вариации силы и вибрации автомобиля. Было определено, согласно изобретению, что радиальные биения (которые возникают в результате геометрической неоднородности или неравномерного распределения массы) и вариации жесткости шины могут привести к радиальным и тангенциальным вариациям силы. При этом в соответствии с данным способом выделяют свойства, определяющие влияние вариаций радиальной и тангенциальной силы на неоднородность шины на множестве гармоник.
Хотя была разработана известная технология определения характеристик однородности шины и влияния на соответствующие аспекты производства шин, в настоящее время не существует конструктивного решения, которое охватывало бы все требуемые характеристики, как указано ниже.
Краткое изложение существа изобретения
Технической задачей настоящего изобретения является создание улучшенного способа определения характеристик сил неоднородности, действующих на ось шины, точнее способа определения характеристик вариации радиального усилия на высокой и низкой скоростях и вариации тангенциальной силы на высокой скорости, что позволит определять качество и/или сорта шин, осуществлять физическую модификацию шин и изготовление шин.
Различные свойства и аспекты способа в соответствии с настоящим изобретением, относящиеся к определению характеристик, и соответствующие аспекты изготовления шин обеспечивают ряд преимуществ. Преимуществом настоящего изобретения является обеспечение эффективной и рациональной технологии прогнозирования однородности шины, в частности однородности параметров шины на высокой скорости (ОВС), что в последнее время приобретает все большее значение. Параметры однородности шины на высокой скорости прогнозируют и контролируют на основе определения вклада радиального биения и вариации жесткости на вариации силы, действующей на ось шины.
Представленный в описании математический анализ иллюстрирует, как радиальное биение (РБ), которое может возникать в результате геометрической неоднородности или, при относительно высоких скоростях, в результате неравномерного распределения массы, генерирует силы Fx и Fz (переменные силы, действующие на ось шины соответственно в направлениях X и Z). При относительно низких скоростях функция передачи от РБ к Fx близка к нулю, из-за того что шина установлена на ободе на оси, что обеспечивает свободное вращение шины. Функция передачи повышается по мере увеличения скорости вращения шины до тех пор, пока не возникнет первый режим вращения. Поэтому при относительно высоких скоростях сила Fx потенциально может иметь достаточно большие значения. Функция передачи от РБ к Fz проявляется по-другому, поскольку движение шины в направлении Z обычно ограничено. Значение Fz пропорционально РБ на относительно низких скоростях и также может быть достаточно большим, если возбуждается первый режим вертикального резонанса при относительно высоких скоростях вращения.
Представленный математический анализ иллюстрирует, как Fx и Fz могут формироваться в результате вариации жесткости шины. По сравнению с влиянием со стороны РБ влияние вариации жесткости на Fz относительно невелико. Если скорость вращения шины достаточно высока, так что возбуждается режим вращения шины под действием определенной гармонической вариации жесткости, значение Fx на этой гармонике может быть достаточно большим. Однако, если фазовый угол вариации жесткости расположен противоположно РБ для той же гармоники, значение Fx на этой гармонике может быть существенно снижено. Значение Fz также может быть снижено, но в некоторых случаях в меньшей степени, чем потенциальное снижение силы Fx.
В одном варианте выполнения настоящего изобретения способ определения характеристик вариации радиальной силы на низкой скорости шин включает несколько этапов. На первом и втором этапах выполняют измерения радиального биения (РБ) и вариации радиальной силы (ВРС) на заданных низких скоростях (например, на уровне или меньше чем около 180 оборотов/минуту). По результатам этих измерений можно рассчитать участок ВРС на низкой скорости, которая образуется в результате вариации радиальной жесткости (ВРЖ) (или с использованием другого выбранного типа вариации жесткости), по одному или нескольким уравнениям движения шины под давлением и в условиях вращения, уравнению для радиальных сил, действующих на шину в пятне контакта, и уравнениям для радиальных сил в фиксированном представлении координаты. На основе определенных вкладов РБ и ВРЖ в ВРС шину можно классифицировать или сортировать по разным категориям. Если будет определено, что шина имеет неприемлемые уровни вариаций радиальной силы на низкой скорости, такую шину можно подвергнуть физическим модификациям, например, путем шлифовки или добавления массы резины в определенных местах на шине для создания дополнительного радиального биения этой шины. Такое дополнительное радиальное биение предпочтительно определяют так, что при суммировании векторов первоначально измеренного радиального биения и дополнительно созданного радиального биения они будут находиться не в фазе с вариацией радиальной жесткости шины на одной или больше гармониках. Другие типы вариации жесткости, для которых можно использовать приведенные выше примеры этапов компенсации радиальных биений, включают вариацию тангенциальной жесткости, вариацию жесткости на изгиб и вариацию продольной жесткости брекерного пояса шины.
В другом варианте выполнения настоящего изобретения вариации радиального усилия на низкой скорости в шине можно компенсировать путем создания дополнительной вариации жесткости вместо создания дополнительного радиального биения. В соответствии с вариантом выполнения получают характеристики радиального биения одной или нескольких построенных шин. Измерения характеристик радиального биения могут происходить при заданной скорости вращения, например меньше чем около 180 оборотов/минуту, и при относительно низком давлении, например меньше около 1,0 бар. По результатам измерений радиального биения можно определить значение вариации жесткости (например, одной или нескольких радиальной, тангенциальной вариации жесткости, жесткости на изгиб и продольной вариации жесткости), которые позволяют обеспечить минимальную вариацию радиальной силы для измеренных значений радиального биения. Затем такая определенная вариация жесткости может быть учтена, например, при последующем производстве шин, с использованием обратной связи с одним или несколькими этапами процесса построения шины.
В дополнительных вариантах выполнения способа согласно изобретению используется комбинация описанных выше способов для определения характеристик вариации радиальной силы на низкой скорости при изготовлении шин, где этапы определения характеристик применяют к каждой шине из множества наборов шин, сформированных так, что каждый набор имеет различную комбинацию исходных физических углов для различных этапов процесса формирования шины. Исходные физические углы могут соответствовать местоположению перекрытия или вариации множества соответствующих слоев шины. Характеристики РБ и ВРС на низкой скорости измеряют для каждой шины в каждом наборе, по которым можно определить соответствующие величины вклада ВРЖ. Можно применить статистический метод, например сигнатурный анализ, для оценки сигнатур РБ и ВРЖ на низкой скорости для каждого этапа процесса формирования шины, по которым можно определять, какая комбинация относительных углов множества шин на различных этапах процесса формирования шин приводит к получению сигнатур РБ и ВРЖ на низкой скорости, которые находятся не в фазе на одной или нескольких гармониках, что позволяет снизить уровень вариации радиальной силы на низкой скорости. Снова отметим, что при таком подходе можно фокусироваться на других типах вариации жесткости, помимо ВРЖ.
В других вариантах выполнения настоящего изобретения способы соответствующего определения характеристик вариации радиальной или тангенциальной силы на высокой скорости в шине включают несколько этапов. Первый и второй этапы соответствуют измерению радиального биения (РБ) и вариации радиальной силы (ВРС) или вариации тангенциальной силы (ВТС) на заданных низких скоростях (порядка или меньше чем около 180 оборотов/минуту). По этим измерениям можно рассчитать участок ВРС/ВТС на низкой скорости, который образуется в результате вариации радиальной жесткости (ВРЖ), с использованием одного или нескольких уравнений движения шины под давлением и в условиях вращения, уравнений для радиальных/тангенциальных сил, действующих на шину в пятне контакта, и уравнений для радиальных/тангенциальных сил при фиксированном представлении координаты. Радиальные биения также измеряют на заданной высокой скорости порядка, по меньшей мере, 300 оборотов/минуту. На основе определенных вкладов РБ и ВРЖ на высокой скорости в ВРС/ВТС шины можно классифицировать или сортировать по различным категориям. Если будет определено, что шина имеет неприемлемые уровни вариаций радиальной/тангенциальной силы на высокой скорости, такую шину можно физически модифицировать, например путем шлифовки или добавления массы резины в определенных местах на шине, для создания дополнительного радиального биения такой шины на высокой скорости. Такое дополнительное радиальное биение предпочтительно характеризуется так, что сумма векторов исходного радиального биения, измеренного при заданной высокой скорости, и дополнительно созданного радиального биения находится не в фазе с вариацией радиальной жесткости для одной или больше гармоник. Другие типы вариаций жесткости, для которых указанные выше примеры можно использовать для компенсации радиального биения, включают вариацию тангенциальной жесткости, вариацию жесткости на изгиб и вариацию продольной жесткости брекерного пояса шины.
В других вариантах настоящего изобретения вариации радиальной/тангенциальной силы на высокой скорости в шине могут быть компенсированы путем создания дополнительной вариации жесткости, в отличие от создания дополнительного радиального биения. В соответствии с таким вариантом выполнения получают радиальные биения одной или нескольких сформированных шин. Измерения радиального биения можно производить на заданной скорости вращения, например на скорости, превышающей около 300 оборотов/минуту, при относительно низком давлении, например ниже около 1,0 бар. По результатам измерений радиального биения можно определить величину вариаций жесткости (например, одной или нескольких вариаций радиальной, тангенциальной жесткости, жесткости на изгиб и продольной жесткости), что позволяет минимизировать вариацию радиальной/тангенциальной силы для измеренных значений радиального биения. Затем эта определенная вариация жесткости может быть учтена, например, при последующем производстве шин с использованием обратной связи с одним или несколькими этапами процесса формирования шины.
Дополнительные варианты осуществления способа в соответствии с настоящим изобретением представляют собой комбинацию аспектов приведенных выше способов для определения характеристик вариаций радиальной/тангенциальной силы на высокой скорости в способах производства шин, в которых этапы определения характеристик применяют для каждой шины из множества наборов шин, которые сформированы так, что каждый набор имеет различную комбинацию исходных физических углов для различных этапов процесса формирования шины. Исходные физические углы могут соответствовать местам перекрытия в множестве соответствующих слоев шины. Результаты измерения РБ и ВРС/ВТС на низкой и высокой скоростях получают для каждой шины в каждом построенном наборе, по которым можно определить соответствующий вклад ВРЖ. Можно применять статистический метод, такой как сигнатурный анализ, для оценки сигнатур РБ и ВРЖ на высокой скорости для каждого этапа в процессе формирования шины, по которым можно определить, какая комбинация относительных углов набора шин для различных этапов процесса формирования шины приводит к получению сигнатур РБ и ВРЖ на высокой скорости, которые находятся не в фазе на одной или нескольких гармониках, в результате чего снижаются уровни вариации радиальной/тангенциальной силы на высокой скорости. В этом случае можно фокусироваться на других типах вариации жесткости, помимо ВРЖ.
Дополнительные задачи и преимущества настоящего изобретения изложены в приведенном ниже подробном описании. Кроме того, следует понимать, что модификации и вариации конкретных свойств можно использовать в различных вариантах выполнения и вариантах использования изобретения без отхода от объема и сущности предмета изобретения. Вариации могут включать, без ограничений, замену признаков на эквивалентные, касающиеся средств, свойств или этапов, а также функциональных, рабочих или расположенных противоположно различных частей.
Различные варианты выполнения изобретения, которые являются предпочтительными в настоящее время, могут включать различные комбинации или конфигурации описанных выше свойств, этапов или элементов или их эквивалентов (включая комбинации свойств, частей или этапов или их конфигураций, не представленных явно на чертежах или не описанных подробно).
Краткое описание чертежей
В дальнейшем изобретение поясняется описанием предпочтительного варианта его выполнения со ссылками на прилагаемые чертежи, на которых:
Фиг.1 изображает схему модели шины и системы координат в соответствии с аналитическими аспектами способа согласно изобретению;
Фиг.2 – схему шины с протектором и модель пятна контакта в соответствии с аналитическими аспектами способа согласно изобретению;
Фиг.3 – пример механизма формирования вариации тангенциальной силы (Fx) согласно изобретению;
Фиг.4 – пример механизма формирования вариации радиальной силы (Fz) согласно изобретению;
Фиг.5A и 5B – диаграммы функций передачи DKx и DKz от радиального биения (РБ) к Fx и Fz в зависимости от частоты согласно изобретению;
Фиг.6 – диаграммы данных сравнительных измерений и результатов имитации согласно изобретению;
Фиг.7A и 7B – диаграммы формирования Fx и Fz на различных гармониках для вариации жесткости шины величиной 1% согласно изобретению;
Фиг.8A и 8B – диаграммы относительного улучшения вариации сил Fx и Fz на первой гармонике в условиях влияния компенсации между радиальным биением и вариацией радиальной жесткости согласно изобретению;
Фиг.8C и 8D – диаграммы относительного улучшения вариаций сил Fx и Fz на второй гармонике в условиях влияния компенсации между радиальным биением и вариациями тангенциальной жесткости согласно изобретению;
Фиг.9 – схему операций измерения параметров шины и системы анализа согласно изобретению;
Фиг.10 – схему последовательности шагов способа определения характеристик вариации радиальной силы на низкой скорости для однородной шины согласно изобретению;
Фиг.11 – схему последовательности шагов способа оптимизации процесса формирования шины на основе определения характеристик вариации радиальной силы на низкой скорости согласно изобретению;
Фиг.12 – схему последовательности шагов способа определения характеристик вариации радиальной или тангенциальной силы на высокой скорости для однородной шины согласно изобретению;
Фиг.13 – схему последовательности шагов способа оптимизации процесса формирования шины на основе определения характеристик вариации радиальной или тангенциальной силы на высокой скорости согласно изобретению;
Фиг.14 – схему последовательности шагов способа изготовления шины на основе определения характеристик вариации радиальной силы шины на низкой скорости согласно изобретению;
Фиг.15 – схему последовательности шагов способа изготовления шины на основе определения характеристик вариации радиальной или тангенциальной силы шины на высокой скорости согласно изобретения.
Подробное описание предпочтительного варианта осуществления изобретения
Изобретение относится к способу определения характеристик однородности шины на низкой и высокой скорости, в котором определяют соответствующий вклад радиального биения и вариаций жесткости (например, вариаций радиальной, тангенциальной жесткости, жесткости на изгиб и продольной жесткости) на вариации радиальной и тангенциальной силы. Определение характеристик таких параметров шины может быть использовано для сортировки шин и/или в процессе классификации, и для улучшения процесса производства шин, например, при контроле и оптимизации исходных углов процесса.
Аспекты моделирования шины и цифровой анализ, которые образуют исходную основу для применения способа согласно изобретению, представлены ниже со ссылками на Фиг.1-8D соответственно. Описание со ссылками на Фиг.1-4 соответствует моделированию шины и формулированию уравнений для расчета радиального биения, а также сил, воздействующих на ось на высокой скорости. На Фиг.5-8D соответственно показаны диаграммы примеров измерения радиального биения и сил, действующих на ось шины. На Фиг.9-13 указаны примеры последовательности шагов способа определения характеристик и/или корректировки факторов однородности шины на высокой скорости, такие как вариации радиальной и тангенциальной силы на низкой и высокой скорости. На Фиг.14-15 представлены примеры последовательности шагов способа изготовления шин на основе анализа однородности шины, таких как вариации радиальной и тангенциальной силы на низкой и высокой скорости.
Определение различных источников неоднородности шины на низкой и высокой скоростях начинается с соответствующего моделирования шины и ее различных параметров, включая типичные уравнения движения.
На Фиг.1 представлена модель шины 10 в виде упругого кольца, соединенного с крепежным приспособлением 12, таким как обод или жесткий диск. Центр колеса установлен на оси 14 вращения. Шина 10 соединена через распределенные радиальную 16 (или нормальную) и тангенциальную 18 пружины и демпферы с жестким круглым ободом 12. Упругое кольцо шины 10 вращается с номинальной скоростью вокруг центра 14 колеса. Для определения характеристик системы используют две координатные системы. Первая представляет собой фиксированную координатную систему (Ox*z*). Она представляет собой инерционную координатную систему, которая вообще не движется. Вторая координатная система обозначена Oxz, которая вращается вместе с кольцом со скоростью . Следующую терминологию используют для обозначения определенных параметров шины при вращении: w – смещение в радиальном направлении; v – тангенциальное смещение; p0 – давление накачки воздухом; R – радиус шины; wc – деформация под нагрузкой в пятне контакта в радиальном направлении; vc – деформация под нагрузкой в пятне контакта в тангенциальном направлении; A – площадь поперечного сечения шины; b – ширина шины; Ir – момент инерции обода и оси; kw – радиальная жесткость (исключая протектор); kv – тангенциальная жесткость (исключая протектор); cw – радиальное демпфирование (исключая протектор); cv – тангенциальное демпфирование (исключая протектор); kr – радиальная жесткость протектора; k – тангенциальная жесткость протектора; cr – радиальное демпфирование протектора; c – тангенциальное демпфирование протектора; EI – жесткость на изгиб верхнего блока; – скорость вращения шины; r – вращение обода по отношению к ; Rr – радиус обода; qw – внешняя сила в радиальном направлении; qv – внешняя сила в тангенциальном направлении.
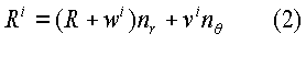
Предположим, что кольцо 10 изначально имеет круглую форму до приложения давления и вращения. Поэтому во вращающейся системе координат радиус произвольного элемента кольца, расположенного под углом , можно описать как

где: nr – единичный вектор в радиальном направлении, и R – исходный радиус шины.
После приложения давления и вращения, но без нагрузки, элемент кольца, переместившийся в другое положение, может быть описан как

где: wi и vi – соответственно деформация кольца вдоль радиального и тангенциального направлений, n – единичный вектор в тангенциальном направлении. Следует отметить, что во вращающейся системе координат и в условиях отсутствия нагрузки система не является функцией времени. Это состояние обозначается как состояние без нагрузки или устойчивое состояние, или состояние свободного вращения.
Наконец, шина имеет пятно контакта, так что образуется радиус Rc раздавленного участка. Относительно вращающейся системы координат пятно контакта вращается вдоль кольца со скоростью , при поддержании радиуса раздавленного участка. В этом случае элемент кольца определяется по формуле

где: wf и vf обозначают соответственно, деформацию кольца вдоль радиального и тангенциального направлений в результате приложения пятна контакта. Поскольку пятно контакта движется, wf и vf представляют собой функции времени. Это состояние обозначается как состояние загрузки или конечное состояние.
Скорость элемента кольца можно определить как

где точка над переменной представляет дифференцирование по времени.
Кольцо моделируют как линейный упругий стержень, который подчиняется условию допущения Кирхгофа для деформации стержня. Кривизну и растяжение для условий под нагрузкой определяют по формулам


где ki и i представляют собой кривизну и растяжение для условий под нагрузкой и определяются по формулам:


Если кольцо является нерастяжимым, то растяжение равно нулю. Пренебрегая нелинейными коэффициентами, получим
 
Приведенное выше допущение при условии отсутствия растяжения можно использовать в остальных случаях описываемых основных параметров определения характеристик однородности шины.
Потенциальная энергия для системы по Фиг.1 может быть выражена как

где EA, EI, kW и kv соответственно представляют жесткость на растяжение, жесткость на изгиб, радиальную жесткость и тангенциальную жесткость шины; Rr и r соответственно представляют радиус кольца и смещение при вращении кольца по отношению к системе вращающихся координат.
Кинетическая энергия для системы определяется согласно уравнению

где: A представляет собой линейную плотность массы верхней части шины, и Ir представляет собой момент инерции обода.
Виртуальная работа, выполняемая внешними силами, давлением накачки и демпфированием, может быть представлена как

где: cw и cv – радиальное и тангенциальное демпфирование соответственно, qw и qv – внешние силы, действующие в радиальном и тангенциальном направлениях соответственно, p0 – давление накачки и b – ширина верхней части шины.
Используя принцип Гамильтона, получают следующее уравнение для вариации

где t – время.
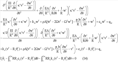
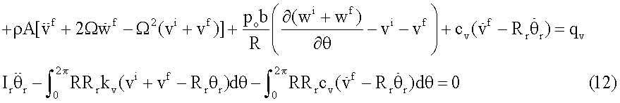
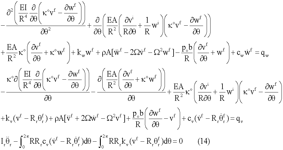
Подставляя уравнения (8) – (10) в уравнение (11) и выполняя некоторые преобразования, получают следующие уравнения движения.


где: kf, f, ki и i определены по уравнениям (5) и (6).
Граничные условия представляют собой условия непрерывности всех переменных при =0. В устойчивом состоянии (состояние свободного вращения), когда на шину не действует нагрузка, все переменные, изменяющиеся по времени, равны нулю. В этом случае уравнения (12) можно упростить и представить в следующем виде

где: qw i и qv i соответственно представляют собой не изменяющиеся по времени внешние силы, действующие в радиальном и тангенциальном направлениях. В приведенном выше уравнении остаются только линейные коэффициенты.
Уравнения (13) представляют уравнения движения кольца шины под давлением и в условиях вращения. Подставляя уравнения (13) в уравнения (12) и без учета коэффициентов высокого порядка, получают дифференциальные уравнения нагруженной шины на поверхности дороги.

где

Дальнейшие упрощения уравнений (14) (не представлены) могут быть сделаны с учетом, что вариации массы, радиуса и жесткости шины не будут оказывать существенного влияния на динамические свойства шины, то есть резонансные частоты, моды и демпфирование.
На Фиг.2 представлены аспекты моделирования шины для получения граничных условий пятна контакта, для этого в модель шины введен протектор. Протектор 20 моделируют как пружины в радиальном 22 и тангенциальном 24 направлениях с жесткостью пружины, выраженной как kr и k соответственно. Демпферы не показаны, но будут включены в некоторые уравнения моделирования шины.
Во вращающейся системе координат радиус протектора в пятне контакта выражен как

где e – толщина протектора. Деформация протектора в пятне контакта определяется по уравнению

Скорость деформации протектора в пятне контакта можно вывести как

В пятне контакта должны удовлетворяться следующие условия:

где: wC и vC соответственно – смещение шины в пятне контакта в радиальном и тангенциальном направлении в результате статической нагрузки. Скорость смещения пятна контакта можно не учитывать. Поэтому радиальная и тангенциальная деформации протектора в пятне контакта могут быть определены как

и скорость деформации:

В этом случае радиальные и тангенциальные силы, действующие на кольцо шины в пятне контакта, определяются по уравнениям

где: k и kr – соответственно тангенциальная и радиальная жесткость протектора, c и cr – соответственно тангенциальное и радиальное демпфирование протектора. Если демпфирование является пренебрежительно малым, приведенные выше уравнения можно упростить и представить в следующем виде

Поскольку пятно контакта передвигается вдоль шины со скоростью – , внешние силы можно охарактеризовать как

где: 0 – угол, который устанавливает любую точку пятна контакта по отношению к оси X в момент времени t=0; – дельта функция Дирака.
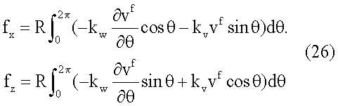
Ниже приведены пояснения формулирования сил, действующих на ось шины. Во вращающейся системе координат без учета демпфирования шины силу, действующую на ось, можно определить как

Если кольцо шины является нерастяжимым, в результате использования уравнения (7) приведенное выше уравнение можно упростить в следующем виде

Выразим деформацию кольца шины в форме ряда Фурье:

Подставляя приведенные выше выражения в уравнение (26), получим

Можно видеть, что A0, An и Bn (n>1) исчезают в выражении для силы, действующей на ось. Приведенное выше уравнение можно выразить в виде матрицы:

Теперь силы, действующие на ось, можно преобразовать в фиксированные координаты:

Решения для сил, действующих на ось шины, индуцируемых в результате неоднородности шины, могут быть получены с использованием следующих этапов. Вначале используют исходное радиальное биение шины, неоднородность распределения массы и/или неоднородность распределения жесткости в качестве исходных параметров для решения уравнения (13), для отклика свободного вращения, wi и vi. Затем используют решение для свободного вращения вместе с граничными условиями в пятне контакта, определяемыми уравнениями (22), как исходные параметры для решения уравнения (14) для деформации в конечном состоянии, wf и vf в форме уравнения (27). Наконец, Al и Bl подставляют из деформации в конечном состоянии в уравнение (30) для получения сил неоднородности шины, действующих на ось.
Ниже приведены примеры, поясняющие передачу радиальных биений (РБ) в пятне контакта шины на силы, действующие в центре колеса. В следующих примерах предполагается, что неоднородность возникает только из исходного РБ.
На Фиг.3 показано, что, когда РБ проходит пятно контакта, Fz (другими словами, вариация радиальной силы (ВРС)) и Fx (другими словами, вариация тангенциальной силы (ВТС)) должны генерироваться на оси 30 шины. Предположим, что вращающаяся шина 32 имеет РБ с точкой 34 на протекторе 36, едва касающейся земли. В этом случае пятно 38 контакта не генерирует Fx на оси. Как только точка касается поверхности дороги, скорость точки 34 равна нулю (или равна скорости поверхности дороги). В это время брекерный пояс 40 продолжает движение/вращение, приводя к деформации сдвига, обозначенной как BB’ на Фиг.3. Эта деформация сдвига может генерировать Fx. Однако на низкой скорости, поскольку шина 32 может свободно вращаться вокруг оси 30, деформация BB’ сдвига не будет генерировать Fx. А на высокой скорости, когда возбуждается мода вращения, BB’ может составлять существенную величину Fx.
Механизм генерирования Fz из РБ поясняется ниже со ссылкой на Фиг.4. Когда РБ в точке 34 проходит пятно контакта, РБ сжимается (в дополнение к номинальной деформации в результате действия нагрузки) и поэтому создается Fz. На низкой скорости, поскольку движение оси 30 шины ограничено в направлении Z, сила, используемая для сжатия РБ, будет непосредственно передаваться на центр колеса и переходит в Fz. При высокой скорости мода вертикальной вибрации может быть возбуждена в результате РБ, и поэтому может быть получен высокий уровень Fz.
Функция передачи от РБ к Fz ниже обозначается как DKz, и функция передачи от РБ к Fx обозначается как DKx. Типичный пример таких функций передачи в зависимости от частоты представлен в виде диаграммы на Фиг.5A и 5B.
Пики на этих двух кривых на Фиг.5A и 5B представляют положение резонансных частот для шины. При нулевой частоте возбуждения (соответствует нулевой скорости вращения) значение DKx равно нулю (из-за закрепленного состояния оси шины, то есть шина может свободно вращаться), в то время как значение DKz не равно нулю (движение оси шины в направлении Z ограничено). Это означает, что при очень низкой скорости Fx всегда будет очень малым независимо от величины РБ. С другой стороны, DKz составляет около 200 Н/мм при нулевой скорости. Поэтому Fz может быть очень большой, если РБ не имеет малого значения при скорости, близкой к нулю.
Для сравнения приведенных выше теоретических выкладок с экспериментом приведен следующий пример исходных параметров шины, представленных в Таблице.
| Параметр |
Символ |
Величина |
Единица |
| Размер шины |
 |
205/60R16 |
 |
| Момент инерции обода |
Ir |
2,5*0,371 |
кгм2 |
| Радиус шины без нагрузки |
R |
0,326 |
м |
| Плотность линейной массы верхней части |
pA |
4,02 |
кг/м |
| Давление накачки |
po |
2,07*105 |
Н/м2 |
| Ширина верхней части шины |
b |
0,142 |
м |
| Радиальная жесткость шины |
kw |
7,20* 105 |
Н/м2 |
| Тангенциальная жесткость шины |
kv |
4,44* 105 |
Н/м2 |
| Радиальная жесткость верхней части шины |
kr |
5,76*106 |
Н/м2 |
| Тангенциальная жесткость верхней части шины |
k |
3,55*106 |
Н/м2 |
| Радиальное демпфирование шины |
cw |
68 |
Нс/м2 |
| Тангенциальное демпфирование шины |
cv |
57 |
Нс/м2 |
| Радиальное демпфирование протектора шины |
cr |
2887 |
Нс/м2 |
| Тангенциальное демпфирование протектора шины |
c |
1511 |
Нс/м2 |
| Деформация шины под нагрузкой |
wc |
0,026 |
М |
В приведенном примере атрибут неоднородности шины содержит радиальное биение на первой гармонике и неоднородное распределение массы. Соответствующие величины (в Ньютонах) и углы фазы (в радианах) как для FxH1, так и для FzH1 (H1 представляет первую гармонику), полученные в результате моделирования и по измерениям, представлены на Фиг.6. Можно видеть, что, за исключением фазы FxH1 на низких скоростях, результаты моделирования очень хорошо соответствуют измерениям. При низких скоростях (например, ниже 6 Гц), величина FxH1 слишком мала, чтобы обеспечить ее точное измерение с помощью аппарата однородности.
Примеры влияния вариации жесткости на силы неоднородности, действующие на ось шины, представлены на Фиг.7A и 7B. Предположим, что радиальная жесткость шины представляет 1%-ную вариацию на ее первых четырех гармониках. Также предположим, что такая шина является идеально круглой с равномерно распределенной массой, и радиальное биение, генерируемое в результате вариации жесткости на высокой скорости, пренебрежимо мало. В такой ситуации неоднородные силы будут генерироваться на оси шины, когда шина давит на дорогу с деформацией 26 мм и вращается с определенной скоростью. Значения Fx и Fz в зависимости от скорости (Гц) для каждых первых четырех гармоник графически представлены на Фиг.7A и 7B. Следует отметить, что вариация жесткости существенно влияет на гармоники Fx более высокого порядка, в частности в диапазоне резонансной частоты. Кроме того, значение Fx не равно нулю при низкой скорости.
Как показано и описано выше, со ссылкой на Фиг.5-7, как РБ, так и вариация жесткости генерируют Fx (соответствует вариации тангенциальной силы) и Fz (соответствует вариации радиальной силы), в частности, вблизи резонансной частоты шины. Даже очень небольшое значение РБ или вариации жесткости может генерировать очень высокие уровни сил.
Если, однако, влияние РБ и вариации жесткости можно расположить таким образом, что они будут не в фазе, тогда силы неоднородности могут быть существенно снижены (или, другими словами, скомпенсированы). В качестве примера компенсации неоднородности на Фиг.8A и 8B представлена шина с теми же параметрами, которые указаны в Таблице, и которая имеет радиальное биение на первой гармонике (РБH1) 0,70 мм в положении 0 градусов, которое генерирует силы неоднородности. Как можно видеть на пунктирной кривой на Фиг.8А, на частоте около 17,5 Гц значение FxH1 (вариация тангенциальной силы для первой гармоники) очень велико. Если вариация радиальной жесткости на первой гармонике с величиной около 4,0% будет расположена под углом 180 градусов и если рассчитать силы, действующие на ось, то значение FxH1 будет снижено, как показано сплошной линией на Фиг.8A. Это указывает, что значение Fx может быть минимизировано при относительно высоких скоростях благодаря компенсации РБ и вариации жесткости. Значение Fz также может быть улучшено аналогичным образом как для низкой, так и для высокой скоростей, как показано на Фиг.8B.
На Фиг.8C и 8D представлен другой пример, иллюстрирующий возможность улучшения неоднородных сил, действующих на шину, путем компенсации радиального биения и вариации жесткости. Рассмотрим шину с теми же параметрами, представленными в Таблице 1, но в этот раз имеющую радиальное биение на второй гармонике (РБH2), равное 0,208 мм в положении 0 или 180 градусов, которые генерируют силы неоднородности. Как можно видеть на пунктирной кривой (Фиг.8C) на частоте около 13,5 Гц, значение FxH2 (вариация тангенциальной силы на второй гармонике) очень велико. Если приложить вариацию тангенциальной жесткости на второй гармонике с величиной около 4,0%, в местах ±90 градусов и рассчитать силы, действующие на ось, значение FxH2 будет уменьшено на более высоких частотах, в частности на резонансных частотах, как показано сплошной линией на Фиг.8C. Это указывает что значение Fx можно минимизировать на относительно высоких скоростях путем компенсации РБ и вариации жесткости. Значение Fz также можно улучшить как на низкой, так и на относительно высоких скоростях, как показано на Фиг.8D.
На Фиг.8A-8D представлены примеры того, как силы неоднородности, действующие на шины (то есть вариацию радиальной силы (Fz) и вариацию тангенциальной силы (Fx)), можно уменьшить путем взаимной компенсации между радиальным биением и различными выбранными типами вариации жесткости. Выше было указано, что различные типы жесткости шины, включая радиальную жесткость, тангенциальную жесткость, жесткость на растяжения и жесткость на изгиб, могут влиять на уровень сил, действующих на ось шины. Когда выполняют компенсацию между радиальным биением и вариацией жесткости, вариация жесткости может представлять собой любой из возможных типов вариации жесткости. Например, на Фиг.8A и 8B представлено, как влияние радиальной вариации жесткости можно ориентировать так, чтобы она была не в фазе с влиянием радиального биения, для снижения сил неоднородности, действующих на шину. На Фиг.8C и 8D представлены аналогичные принципы с компенсацией радиальным биением и вариацией тангенциальной жесткости. Такая компенсация в соответствии с заявленным способом не ограничивается конкретным типом вариации жесткости. Иногда может быть более практично использовать один тип вариации жесткости, чем множество. В этом случае тип вариации жесткости, который наиболее удобно и эффективно применять на практике, представляет собой тип, для которого могут быть определены и/или применены уровни компенсации.
Приведенные выше примеры математического и числового анализа обеспечивают основу для способа определения характеристик и изготовления шин в соответствии с изобретением. Прежде всего, при изготовлении отдельной шины применяют множество различных процессов, известных в данной области техники. Такие процессы изготовления шины могут включать наложение слоев различного состава резины и/или других соответствующих материалов для формирования каркаса шины, формирования участка брекерного пояса шины и участка протектора шины для образования верхнего блока шины, вулканизацию законченной заготовки шины и т.д. Такие процессы представлены в виде блоков 42a, 42b…, 42n на Фиг.9, и их комбинации используют для формирования шины 44. Партия из множества шин может быть собрана в результате однократного выполнения различных процессов 42a-42n соответственно.
На Фиг.10 показаны примеры этапов способа определения характеристик шин и, в частности, способа определения характеристик вариации радиальной силы шины на низкой скорости. Шина может быть изготовлена в соответствии с множеством процессов, представленных на Фиг.9. После получения шины может быть определено множество параметров шины, например параметров, представленных в приведенной выше Таблице. Указанные параметры могут включать, например, радиус шины, ширину шины, массу верхней части шины, давление внутри шины, радиальную жесткость шины, тангенциальную жесткость шины, радиальную жесткость верхней части шины, тангенциальную жесткость верхней части шины, радиальное демпфирование шины, тангенциальное демпфирование шины, радиальное демпфирование протектора шины, тангенциальное демпфирование протектора шины и деформацию шины под нагрузкой. Эти параметры могут быть получены с использованием устройств измерения параметров шины, хорошо известных в данной области техники, или альтернативно эти параметры могут быть установлены до применения методики в соответствии с изобретением и введены как известные параметры для обработки при последующем компьютерном анализе.
Первый этап 46 (Фиг.10) способа определения характеристик шины состоит в измерении радиального биения шины на низкой скорости. Радиальное биение на низкой скорости (обозначается здесь как НС-РБ) можно измерить путем установки шины на специальное приспособление (обычно имеющее свойства, аналогичные ободу шины или другого жесткого диска) в устройстве 48 (Фиг.9) измерения радиального биения. Примеры выполнения некоторых устройств измерения РБ раскрыты в патентах США  5396438 и 5345867. Устройство измерения РБ позволяет идентифицировать и поддерживать исходную точку на шине во время ее вращения с требуемой скоростью. Шину затем вращают с “низкой скоростью”, которая может составлять в некоторых случаях около 180 оборотов/минуту или около 3 Гц.
Затем на этапе 50 (Фиг.10) измеряют вариацию радиальной силы шины на низкой скорости. Вариация радиальной силы на низкой скорости (обозначена как НС-ВРС) может быть получена с помощью машины 52 для измерения силы (Фиг.9) согласно испытательному устройству 114 или 132 из патента США 5396438. Также можно использовать устройства измерения на низкой скорости, хорошо известные в этой области. В некоторых вариантах выполнения настоящего изобретения все измерения радиального биения и силы на низкой скорости и на высокой скорости могут быть получены с использованием одного измерительного устройства.
После получения НС-РБ и НС-ВРС на соответствующих этапах 46 и 50 можно использовать уравнения (14), (22) и (30) для расчета вариации радиальной жесткости (ВРЖ), как показано на этапе 54.
Расчеты на этапе 54 (Фиг.9) могут выполняться с помощью компьютера 56 любого типа, микроконтроллера или другого блока анализа данных. Измерения, полученные в соответствующих измерительных машинах 48 и 52, могут быть переданы в компьютер 56, где может быть выполнен любой требуемый уровень анализа данных. Также можно использовать тест чувствительности автомобиля (ТЧА) 58, и его можно подключить к компьютеру 56. ТЧА 58 представляет собой измерение для оценки вибрации автомобиля в результате воздействия неоднородности шины, таких как радиальное биение и вариации жесткости (подробно описано в публикации M.G. Holcombe и R.G. Altman, “A Method for Determining Tire and Wheel Uniformity Needs Using Ride Rating Simulations,” SAE 880579, 1998). Обычно высокие уровни неоднородности шины генерируют заметные величины вибрации автомобиля, что делает езду на автомобиле потенциально некомфортной. ТЧА 58 можно выполнять объективно или субъективно. В случае объективного выполнения на автомобиль устанавливают инструменты в таких местах, как рулевое колесо, сиденье водителя и/или пол автомобиля, для измерения вибраций. При субъективной оценке для оценки величины вибрации используют профессионального водителя.
В таком случае можно установить взаимозависимость между вибрацией автомобиля и неоднородностью шины, по которой можно установить предел для выбранных атрибутов неоднородности шины, который гарантирует хорошие условия езды, если уровень неоднородности шины ниже такого предела. Предел может быть затем запрограммирован в компьютере 56.
После того как компьютер 56 (Фиг.9,10) рассчитает соответствующие вклады вариации радиальной жесткости и радиального биения на вариацию радиальной силы на этапе 54, можно провести дальнейшую оценку шины различным образом. Пример последующей оценки может включать сортировку или классификацию шины, как представлено на этапе 60. Могут быть установлены ограничения: верхний предел приемлемого уровня вариации радиальной силы на низкой скорости в шине, причем такие ограничения, возможно, зависят от конкретного типа испытуемой шины и/или типа автомобиля, для которого предназначена шина. Если шина имеет уровни вариации радиальной силы на низкой скорости выше установленного предела, такую шину можно отсортировывать в группу, которую отбрасывают или возвращают в производство для последующей модификации. Если характеристики неоднородности шины находятся в определенных рамках, шину можно отсортировывать в группу, которая приемлема для поставки потребителю. Другой пример процесса оценки соответствует “сортировке” шины по одной из множества установленных категорий. Каждая категория может быть определена на основе определенных уровней сил неоднородности шины и влияния на конкретный тип шины и/или тип автомобиля, для которого она предназначена, варианта применения или места. Следует понимать, что конкретные ограничения и категории сортировки в значительной степени зависят от различных параметров, предъявляемых производителем шины и/или потребителем, конкретные примеры не приведены в настоящем описании.
На следующем этапе 62 (Фиг.10) способа определения характеристики вариации радиальной силы на малой скорости для шины состоит в физической модификации шины. Примеры процессов модификации соответствуют шлифовке и/или добавлению дополнительной массы резины к шине в конкретно определенных местах в соответствии с процессами шлифовки или добавления массы, которые понятны для специалистов в области производства шин. Примеры машин для шлифовки шины и машин для коррекции однородности (МКО) шины, которые можно использовать, описаны в патентах США  6139401 и 6086452.
Кроме того, в соответствии с этапом 62 предпочтительно применять модификацию шины для создания дополнительного радиального биения на низкой скорости (обозначается как A-НС-РБ). A-НС-РБ выбирают так, что влияние суммарного РБ, представленного суммой векторов исходного РБ (НС-РБ) и дополнительного РБ (A-НС-РБ), находится не в фазе с влиянием вариации радиальной жесткости шины (ВРЖ) для одной или нескольких гармоник разложения Фурье. Например, для первой гармоники РБ (РБ-H1) угол максимальной точки НС-РБ+A-НС-РБ предпочтительно должен находиться на расстоянии около 180 градусов от угла максимальной точки ВРЖ для H1. Для второй гармоники РБ (РБ-H2) угол максимальной точки НС-РБ+A-НС-РБ предпочтительно должен находиться на расстоянии около 90 градусов от угла максимальной точки ВРЖ для H2. Создание дополнительного радиального биения на низкой скорости может быть выполнено путем физической модификации шины, например путем шлифовки или добавления массы к шине, или в качестве альтернативы на него можно влиять путем компенсации сигнатуры или модификации одного или нескольких этапов исходного процесса формирования шины, примеры которых представлены блоками 42a, 42b, , 42n (Фиг.9).
Следует понимать, что, хотя здесь представлены свойства для взаимной компенсации между радиальным биением и вариацией радиальной жесткости, способ не следует ограничивать вариацией радиальной жесткости. Другие вариации жесткости, такие как вариация тангенциальной жесткости, вариация жесткости на растяжение брекерного пояса шины и/или вариация жесткости на изгиб, также можно рассчитать и использовать для компенсации в соответствии с предметом настоящего изобретения. При этом тип вариации жесткости, которую можно использовать для компенсации радиального биения, может быть любым заданным типом из примеров, приведенных выше.
На Фиг.10 представлены примеры этапов и свойств для характеристики и компенсации вариации радиальной силы на низкой скорости в шине путем создания дополнительного радиального биения в шине. На Фиг.11 представлены альтернативные этапы и свойства для компенсации вариации радиальной силы на низкой скорости путем создания дополнительной вариации жесткости в шине. Некоторые аспекты способа, представленного на Фиг.11, аналогичны описанным выше (Фиг.10).
На Фиг.11 представлен пример способа компенсации неоднородности шины в отношении компенсации вариации радиальной силы на низкой скорости. Первый пример этапа 46 в таком способе соответствует измерению радиального биения шины на низкой скорости. Измерения РБ, полученные на этапе 46, также могут выполняться в некоторых вариантах выполнения с низким давлением, что обеспечивает правильную установку шины (например, под давлением около 0,8 бар), для получения только исходного значения РБ.
На втором этапе 64 определяют величину вариации радиальной жесткости, которая позволяет получить минимальную величину вариации радиальной силы в центре шины-колеса. Как указано выше, величина вариация жесткости (ВРЖ), приводящая к нулевой вариации радиальной силы, может быть получена с использованием уравнений (14), (22) и (30). В других вариантах выполнения те же уравнения можно использовать для определения другого типа вариации жесткости, помимо ВРЖ. Определение величин на этапе 64 можно выполнить с помощью компьютера 56. Конечный этап 66 способа (Фиг.11) состоит в создании дополнительной вариации жесткости (например, ВРЖ), как определено на этапе 64, которая могла бы компенсировать РБ в шине по результатам измерений, полученным на этапе 46. Создание дополнительной вариации жесткости может быть выполнено путем компенсации сигнатуры или при выполнении процесса модификации на одном или нескольких этапах исходного процесса формирования шины, пример которого представлен процессами 42a, 42b, , 42n на Фиг.9. Дополнительные подробности в отношении преднамеренного создания вариации жесткости в процессе формирования шины, которое может быть выполнено на этапе 66, описаны в патенте США 6606902.
На Фиг.12 показаны примеры этапов способа определения характеристик шин и, в частности, определения характеристик вариации радиальной или тангенциальной силы на высокой скорости. Способ аналогичен способу, описанному со ссылкой на Фиг.10.
Первый этап 68 способа определения характеристики шины (Фиг.12) предназначен для измерения радиального биения шины на низкой скорости (НС-РБ). Следующий этап 70 включает измерение вариации радиальной и/или тангенциальной силы представленной шины на низкой скорости (НС-ВРС/НС-ВТС). После того как будут получены результаты измерения НС-РБ и НС-ВРС/НС-ВТС, на соответствующих этапах 68 и 70, можно применять уравнения (14), (22) и (30) для расчета вариации радиальной жесткости (РВЖ), как указано на этапе 72. Следующий этап 74 определения характеристик вариации радиальной или тангенциальной силы на высокой скорости состоит в измерении радиального биения шины на высокой скорости. Примеры “высоких” скоростей для получения результатов измерений таких значений радиального биения на высокой скорости (ВС-РБ) и других измерений на высокой скорости могут соответствовать скоростям, по меньшей мере, около 300 оборотов/минуту (около 5 Гц) и в некоторых случаях могут находиться в пределах около 1200-1800 оборотов/минуту (20-30 Гц) или выше.
После получения результатов измерений и расчетов на соответствующих этапах 68-74 можно провести дальнейшую оценку шины с использованием множества различных подходов. Пример дополнительного процесса оценки может включать сортировку или классификацию шины, как на этапе 76. Могут быть установлены ограничения верхнего предела приемлемых уровней вариаций радиальной или тангенциальной силы на высокой скорости в шине, и такие ограничения, возможно, могут зависеть от конкретного типа испытуемой шины и/или типа автомобиля, для использования с которым предназначена шина. Если шина имеет высокие уровни вариации радиальной или тангенциальной силы на высокой скорости, которые выходят за установленный предел, тогда шину можно отсортировывать в группу, которую отбрасывают или возвращают в производство для последующей модификации. Если вариации радиальной или тангенциальной силы на высокой скорости шины находятся в установленных пределах, такую шину можно отсортировывать в группу, которая является приемлемой для поставки потребителю. Другой пример оценки соответствует “классификации” шины на одну из множества установленных категорий. Каждая категория может быть определена на основании определенных уровней сил неоднородности шины и влияния на конкретный тип шины и/или тип автомобиля, с которым предполагается использовать эту шину в соответствии с вариантом применения или местом использования. Следует понимать, что конкретные значения таких ограничений и категорий классификации значительно зависят от различных параметров, требований производителя шины и/или потребителя (примеры не приведены).
На еще одном этапе 78 способа определения характеристики вариации радиальной или тангенциальной силы на высокой скорости для шины шину подвергают физической модификации. Предпочтительно использовать модификацию шины для создания дополнительного радиального биения на высокой скорости (обозначается как A-ВС-РБ). A-ВС-РБ предпочтительно устанавливают так, чтобы суммарное влияние РБ, представленные суммой векторов исходного РБ на высокой скорости (ВС-РБ) и дополнительного РБ на высокой скорости (A-ВС-РБ), находилось не в фазе с вариацией радиальной жесткости шины (ВРЖ) для одной или нескольких гармоник разложения Фурье. Например, для РБ на первой гармонике (РБ-H1) угол максимальной точки (ВС-РБ+A-ВС-РБ) предпочтительно должен находиться на расстоянии около 180 градусов от угла максимальной точки ВРЖ для H1. Для второй гармоники РБ (РБ-H2) угол максимальной точки ВС-РБ+A-ВС-РБ должен предпочтительно находиться на расстоянии около 90 градусов от угла максимальной точки ВРЖ для H2. Создание дополнительного радиального биения на высокой скорости может быть обеспечено с использованием физической модификации шины, такой как шлифовка шины или добавление массы, или в качестве альтернативы может быть обеспечено путем компенсации сигнатуры или процесса модификации на одном или нескольких этапах исходного процесса формирования шины, примеры которых представлены процессами 42a, 42b,…,42n на Фиг.9.
На Фиг.12 представлены этапы и свойства для характеристики и компенсации вариации радиальной или тангенциальной силы на высокой скорости в шине путем создания дополнительного радиального биения в шине. На Фиг.13 представлены альтернативные этапы и свойства, предназначенные для компенсации вариации радиальной или тангенциальной силы на высокой скорости в шине, путем создания дополнительной вариации жесткости в шине.
На Фиг.13 представлен пример способа компенсации неоднородности шины путем компенсации вариации радиальной или тангенциальной силы на высокой скорости. Первый этап 74 в способе соответствует измерению радиального биения шины на высокой скорости, как описано выше со ссылкой на Фиг.12. Измерение РБ, полученное на этапе 74, в некоторых вариантах выполнения может быть также выполнено с низким давлением, которое все еще обеспечивает правильную посадку шины (например, под давлением около 0,8 бар), для получения только исходного значения РБ (любое влияние уже присутствующей вариации жесткости).
Второй этап 80 соответствует определению величины вариации жесткости, которая могла бы привести к минимизации величины вариации радиальной или тангенциальной силы, действующей на центр шины-колеса. Как указано выше, величина вариации жесткости (ВЖ), позволяющая получить нулевую вариацию радиальной силы, может быть определена из уравнений (14), (22) и (30). Определение величин на этапе 80 может быть выполнено с помощью компьютера 56. Конечный этап 82 способа состоит в создании дополнительной вариации жесткости, как определено на этапе 80, которая позволила бы компенсировать РБ в шине, измеренное на этапе 74. Создание дополнительной вариации жесткости можно обеспечить путем компенсации сигнатуры или модификации процесса на одном или нескольких этапах исходного процесса формирования шины, представленного примера процессов 42a, 42b, , 42n на Фиг.9. Дополнительные детали при вариации жесткости в процессе формирования шины описаны в патенте США 6606902.
Примеры протоколов однородности шины для характеристики вариации радиальной силы на низкой скорости и вариации тангенциальной силы на высокой скорости были соответственно представлены со ссылкой на Фиг.10-13. Способы улучшения характеристики включают классификацию или сортировку шин, выполнение физической модификации, такой как шлифовка или добавление резины к шине, или обеспечение обратной связи для влияния на сам процесс формирования шины. Дополнительные аспекты этого последнего класса характеристики шины и соответствующие этапы, относящиеся к улучшению шины, представлены со ссылкой на Фиг.14 и 15. Как показано на Фиг.9, модификацию 98 обратной связи можно использовать для улучшения выбранных процессов 42a-42n соответственно, которые используются при изготовлении шины 44. На Фиг.14 представлен пример способа изготовления шин путем определения характеристик вариации радиальной силы на низкой скорости шины, а на Фиг.15 представлены примеры способа для изготовления шин путем определения характеристик вариаций радиальной или тангенциальной силы шины на высокой скорости.
Способы, представленные на Фиг.14 и 15, аналогичны способам, описанным выше, в отношении типов измерений, которые получают при характеристике однородности шины. Выполнение этих этапов путем измерения характеристик шины и с использованием анализа (Фиг.9) в равной степени применимо для процессов, представленных на Фиг.14 и 15 соответственно.
Этапы, указанные на Фиг.14 и 15, представляют конструктивное решение экспериментального процесса на различных этапах процесса формирования шины, представленных процессами 42a, , 42n, показанными на Фиг.9. Один пример экспериментального конструктивного решения такого типа представляет собой сигнатурный анализ. Сигнатурный анализ представляет собой форму экспертной системы, которая разработана для выравнивания диагностических данных, таких как изолированные параметры однородности шины, с отпечатком нежелательных результатов в процессе изготовления шины. Дерево статистических решений может помочь раскрыть структуры, которые ассоциируют нежелательный результат с набором условий процесса. После того как ассоциации станут известны, их можно применять к новым данным с использованием сигнатурного анализа для увязывания вероятных условий процесса, которые приводят к нежелательным результатам производства.
На Фиг.14 первый этап 100 в процессе изготовления шины, основанный на определении характеристик вариации радиальной силы на низкой скорости шины, состоит в построении нескольких наборов шин, причем в каждом из наборов шины имеют различные комбинации исходных физических углов на различных этапах процесса формирования шин, представленных на Фиг.9 как процессы 42a, 42b,…, 42c. Различные исходные физические углы могут соответствовать перекрытию или вариациям расположения для каждого из различных слоев, которые обычно комбинируют в процессе изготовления шины для формирования каркаса шины и верхнего блока. Второй этап 102 способа состоит в измерении радиального биения на низкой скорости (НС-РБ) для каждой шины в каждом наборе на этапе 100. Вариацию радиальной силы на низкой скорости (НС-ВРС) для каждой шины в каждом наборе также получают на этапе 104. После получения измерений НС-РБ и НС-ВРС на соответствующих этапах 102 и 104 применяют уравнения (14), (22) и (32) на этапе 106 для определения вариации радиальной жесткости (ВРЖ) для каждой шины в каждом наборе.
Следующий этап 108 процесса изготовления, основанный на характеристике вариации радиальной силы на низкой скорости шины, включает применение статистического метода сигнатурного анализа и оценки выбранных параметров для каждого моделируемого этапа в процессе изготовления шины, который позволяет изолировать эксперимент. Такие выбранные параметры могут включать сигнатуру НС-РБ и сигнатуру вариации радиальной жесткости (ВРЖ). На основе результата статистического метода сигнатурного анализа, выполняемого на этапе 108, последующий этап 110 можно использовать для оптимизации процесса формирования шины. На процесс оптимизации можно влиять, например, путем определения комбинации относительных углов различных этапов способа изготовления шины так, что сумма сигнатур НС-РБ и сумма сигнатур РВЖ будут не в фазе для одной или нескольких гармоник.
Как указано выше, хотя на Фиг.14, описанной выше, а также на Фиг.15, которая будет описана ниже, представлен пример компенсации между радиальным биением и вариацией радиальной жесткости, раскрытые этапы и свойства не следует ограничивать вариацией радиальной жесткости. Другие вариации жесткости, такие как вариация тангенциальной жесткости, вариация жесткости на растяжения брекерного пояса шины и/или вариация жесткости на изгиб, также можно рассчитывать и использовать для компенсации в соответствии с предметом настоящего изобретения. При этом на тип вариации жесткости, которую используют для компенсации радиального биения, можно влиять с использованием любого выбранного типа из примеров, приведенных выше.
Как показано на Фиг.15, первый этап 112 в процессе изготовления шины, основанном на характеристике вариации радиальной или тангенциальной силы на высокой скорости шины состоит в построении нескольких наборов шин, причем каждый из наборов шин имеет различные комбинации исходных физических углов различных этапов процесса формирования шины, представленных на Фиг.9, как процессы 42a, 42b, , 42c. Различные исходные физические углы могут соответствовать перекрытию или местам вариации для каждого из различных слоев, которые обычно комбинируют в процессе изготовления шины для формирования каркаса шины и верхнего блока. Второй этап 114 состоит в измерении радиального биения на низкой скорости (НС-РБ) для каждой шины в каждом наборе, построенном на этапе 112. Вариацию радиальной силы на низкой скорости (НС-ВРС) для каждой шины в каждом наборе, построенном на этапе 112, также получают на этапе 116. После того как будут получены результаты измерения НС-ВРС и НС-ВРС, на соответствующих этапах 114 и 116, применяют уравнения (14), (22) и (30) на этапе 118 для расчета вариации радиальной жесткости (ВРЖ) для каждой шины в каждом наборе.
Следующий этап 120 в процессе изготовления, основанный на характеристике вариации радиальной или тангенциальной силы на высокой скорости шины, включает измерение радиального биения для высокой скорости (ВС-РБ) для каждой шины в каждом наборе, изготовленном на этапе 112. После этого этап 122 предполагает применение статистического метода сигнатурного анализа и оценки выбранных параметров для каждого моделируемого этапа в процессе формирования шины, который позволяет изолировать эксперимент. Выбранные параметры могут включать сигнатуру ВС-РБ и сигнатуру вариации радиальной жесткости (ВРЖ). На основе результатов статистического способа сигнатурного анализа, выполненного на этапе 122, можно использовать последующий этап 124 для оптимизации процесса формирования шины. На процесс оптимизации можно влиять, например, путем поиска комбинации относительных углов различных этапов процесса формирования шины так, чтобы сумма сигнатур ВС-РБ и сумма сигнатур ВРЖ находились не в фазе на одной или нескольких гармониках.
Следует отметить, что компенсация вариации радиальной или тангенциальной силы на высокой скорости также может быть достигнута путем использования этапов, описанных со ссылкой на Фиг.14.
Следует также отметить, что другие вариации жесткости, такие как вариация тангенциальной жесткости и вариация жесткости на растяжение брекерного пояса шины, могут влиять на вариацию радиальной или тангенциальной силы шины. В этой ситуации компенсация сил неоднородности может быть обеспечена с использованием описанных здесь принципов.
Выбранные комбинации вышеуказанных аспектов раскрытого способа соответствуют множеству различных вариантов выполнения изобретения. Каждый из вариантов выполнения, представленных и описанных здесь, не следует рассматривать как ограничение предмета настоящего изобретения. Некоторые свойства можно взаимозаменять с аналогичными устройствами или свойствами, которые выполняют те же или аналогичные функции. Определенные этапы способа можно взаимозаменять или использовать в комбинации с другими этапами для получения дополнительных вариантов определения характеристик шины и ее изготовления.
Хотя предмет настоящего изобретения был подробно описан в отношении конкретных вариантов его выполнения, следует понимать, что специалисты в данной области техники могут свободно провести изменения, вариации и эквиваленты таких вариантов выполнения. Раскрытие предмета настоящего изобретения не препятствует включению модификаций, вариаций и/или добавлений к предмету настоящего изобретения.
Формула изобретения
1. Способ классификации шин на основе вариаций радиальной силы, заключающийся в том, что: измеряют радиальное биение данной шины на первой заданной низкой скорости, измеряют вариацию радиальной силы данной шины на второй заданной низкой скорости, рассчитывают составляющую вариаций радиальной силы, измеренных на этапе измерения вариаций радиальной силы, которая создается одним или более выбранными типами вариаций жесткости, и классифицируют данную шину к одной из по меньшей мере двух категорий, установленных по заданным ограничениям вариации радиальной силы.
2. Способ по п.1, отличающийся тем, что один или более выбранных типов вариаций жесткости содержит одну или более вариаций радиальной жесткости, вариацию тангенциальной жесткости, вариацию жесткости на изгиб и вариацию жесткости на растяжение.
3. Способ по п.1, отличающийся тем, что на этапе расчета используют одно или более уравнений движения кольца шины под давлением и при вращении, уравнений для радиальных сил, действующих на кольцо шины в пятне контакта, и уравнений для радиальных сил в фиксированных координатах.
4. Способ по п.1, отличающийся тем, что используют первую и вторую заданные низкие скорости, которые меньше около 180 об./мин.
5. Способ по п.1, отличающийся тем, что дополнительно осуществляют обработку данной шины путем физической модификации для создания дополнительного радиального биения на низкой скорости.
6. Способ по п.5, отличающийся тем, что на этапе обработки данной шины путем физической модификации осуществляют по меньшей мере либо шлифовку данной шины, либо добавление массы резины к шине в заданных местах.
7. Способ по п.1, отличающийся тем, что дополнительно измеряют радиальное биение данной шины на заданной высокой скорости, классифицируют данную шину к одному из по меньшей мере двух классов по заданным ограничениям вариаций радиальной силы на низкой и высокой скоростях.
8. Способ по п.7, отличающийся тем, что используют первую и вторую заданные низкие скоростях, которые меньше, чем около 180 об./мин, а заданная высокая скорость больше, чем около 300 об./мин.
9. Способ по п.7, отличающийся тем, что дополнительно осуществляют обработку данной шины путем физической модификации для создания дополнительного радиального биения на высокой скорости.
10. Способ классификации шин на основе высокой скорости вариаций тангенциальной силы в шине, заключающийся в том, что измеряют радиальное биение данной шины на первой заданной высокой скорости, измеряют вариацию тангенциальной силы данной шины на второй заданной высокой скорости, рассчитывают часть вариаций тангенциальной силы, измеренных на этапе измерения вариаций тангенциальной силы, которая создается одним или более выбранными типами вариаций жесткости, классифицируют данную шину к одной из по меньшей мере двух категорий, установленных по заданным ограничениям вариаций тангенциальной силы.
11. Способ по п.10, отличающийся тем, что один или более выбранных типов вариаций жесткости содержит одну или более вариаций радиальной жесткости, вариацию тангенциальной жесткости, вариацию жесткости на изгиб и вариацию жесткости на растяжение.
12. Способ по п.10, отличающийся тем, что на этапе расчета используют одно или более уравнений движения кольца шины под давлением и при вращении, уравнений для тангенциальных сил, действующих на кольцо шины в пятне контакта, и уравнений для тангенциальных сил в фиксированных координатах.
13. Способ по п.10, отличающийся тем, что используют первую и вторую заданные высокие скорости, которые выше, чем 300 об./мин.
14. Способ по п.10, отличающийся тем, что дополнительно осуществляют обработку данной шины путем физической модификации для создания дополнительного радиального биения на высокой скорости.
15. Способ по п.14, отличающийся тем, что на этапе обработки данной шины путем физической модификации осуществляют по меньшей мере шлифовку данной шины либо добавление массы резины к шине в заданных местах.
16. Способ изготовления шин, заключающийся в том, что: формируют множество наборов шин, каждый из которых характеризуется различной соответствующей комбинацией углов, характеризующих местоположение или вариации множества слоев шины для каждого из множества различных этапов процесса формирования шины; измеряют радиальное биение для каждой шины в каждом из наборов на первой заданной низкой скорости, применяют статистический метод для каждого из различных этапов в процессе формирования шины для каждого из указанного набора шин для оценки соответствующего радиального биения и заданного типа параметров вариаций жесткости, измеряют радиальное биение для каждой шины в каждом из наборов на второй заданной низкой скорости, рассчитывают часть каждой вариации радиальной силы, измеренной на этапе измерения вариации радиальной силы, которая создается заданным типом вариации жесткости для каждой шины в каждом наборе, изготавливают шины в соответствии с результатом расчета.
17. Способ по п.16, отличающийся тем, что заданный тип вариаций жесткости представляет собой вариацию жесткости на низкой скорости, оценку которой провели статистическим методом, и содержит одну из вариаций радиальной жесткости, вариаций тангенциальной жесткости, вариацию жесткости на растяжение и вариацию жесткости на изгиб.
18. Способ по п.16, отличающийся тем, что на этапе расчета используют одно или более уравнений движения кольца шины под давлением и при вращении, уравнений для радиальных сил, действующих на кольцо шины в пятне контакта, и уравнений для радиальных сил в фиксированных координатах.
19. Способ по п.16, отличающийся тем, что используют первую и вторую заданные низкие скорости, которые меньше около 180 об./мин.
20. Способ по п.16, отличающийся тем, что дополнительно определяют, какой из наборов шин, отличающихся комбинацией углов, характеризующих местоположение или вариации множества слоев шины, приводит к радиальным биениям на низкой скорости и параметрам вариаций жесткости при низкой скорости, как оценено статистическим методом, которые, по существу, находятся не в фазе на одной или более гармониках, изготавливают последующие шины в соответствии со способом изготовления шин, соответствующим способу изготовления набора шин, определенных на шаге определения наборов.
21. Способ по п.16, отличающийся тем, что дополнительно измеряют радиальное биение для каждой шины в каждом наборе на первой заданной высокой скорости, применяют статистический метод для каждого из указанных различных этапов в процессе формирования шины для каждого из указанных наборов шин для оценки соответствующего радиального биения на низкой и высокой скоростях и заданного типа параметров вариаций жесткости, изготавливают шины в соответствии с результатом расчета.
22. Способ по п.21, отличающийся тем, что выбирают первую и вторую заданные низкие скорости вращения меньше, чем около 180 об./мин, при этом выбирают заданную высокую скорость вращения выше, чем около 300 об./мин.
23. Способ изготовления шин, заключающийся в том, что: формируют множество наборов шин, каждый из которых отличается различной соответствующей комбинацией углов, характеризующих местоположение или вариации множества слоев шины для каждого из множества различных этапов процесса формирования шины, измеряют радиальное биение для каждой шины в каждом наборе на первой заданной высокой скорости, применяют статистический метод для каждого из различных этапов в процессе формирования шины для каждого из указанных наборов шин для оценки соответствующего радиального биения на высокой скорости и заданного типа вариаций параметров тангенциальной жесткости. измеряют вариацию тангенциальной силы для каждой шины в каждом наборе шин на второй заданной высокой скорости, рассчитывают часть каждой вариации тангенциальной силы, измеренной на этапе измерения вариации тангенциальной силы, которая создается заданным типом вариации жесткости для каждой шины в каждом наборе, изготавливают шины в соответствии с результатом расчета.
24. Способ по п.23, отличающийся тем, что заданный тип вариаций жесткости содержит одну из вариаций радиальной жесткости, вариаций тангенциальной жесткости, вариацию жесткости на растяжение и вариацию жесткости на изгиб.
25. Способ по п.23, отличающийся тем, что при расчете используют одно или более уравнений движения кольца шины под давлением и при вращении, уравнений радиальных сил, действующих на кольцо шины в пятне контакта, и уравнений для радиальных сил в фиксированных координатах.
26. Способ по п.23, отличающийся тем, что выбирают заданную скорость вращения выше, чем 300 об./мин.
27. Способ по п.23, отличающийся тем, что дополнительно определяют, какой из наборов шин, отличающихся комбинацией углов, характеризующих местоположение или вариации множества слоев шины, приводит к радиальным биениям на высокой скорости и параметрам вариаций жесткости при высокой скорости, как оценено статистическим методом, которые, по существу, находятся не в фазе на одной или более гармониках, изготавливают последующие шины в соответствии со способом изготовления шин, соответствующим способу изготовления набора шин, определенных на шаге определения наборов.
28. Способ компенсации вариаций силы шины, заключающийся в том, что: формируют набор из одной или более шин в соответствии с процессом формирования шин, измеряют радиальное биение выбранных шин при заданной скорости вращения, определяют величины вариаций жесткости для одного или более выбранных типов вариаций жесткости, которая могла бы привести к минимизации вариаций силы для каждой из выбранных шин на основе радиального биения, полученного на этапе измерения, формируют, по меньшей мере, одну вариацию жесткости, как определено на этапе определения, для компенсации радиального биения каждой из выбранных шин, полученной на этапе измерений.
29. Способ по п.28, отличающийся тем, что на этапе определения определяют величину вариации жесткости, которая могла бы привести к минимизации вариаций радиальной силы, при этом при последующем изготовлении шин осуществляют этап формирования по меньшей мере одной вариации жесткости на одном или более этапах формирования шин.
30. Способ по п.28, отличающийся тем, что на этапе определения определяют величину вариации жесткости, которая могла бы привести к минимизации вариаций тангенциальной силы.
31. Способ по п.30, отличающийся тем, что этап формирования по меньшей мере одной вариации жесткости осуществляют при производстве шин на одном или более этапах заданного процесса изготовления шин.
РИСУНКИ
|
|