|
(21), (22) Заявка: 2008132948/03, 12.08.2008
(24) Дата начала отсчета срока действия патента:
12.08.2008
(46) Опубликовано: 20.01.2010
(56) Список документов, цитированных в отчете о поиске:
RU 2263278 C1, 27.10.2005. RU 2055303 C1, 27.02.1996. SU 1019075 A, 23.05.1983. SU 1129995 A1, 10.02.1996. SU 1783270 A1, 23.12.1992. SU 1817814 A3, 23.05.1993.
Адрес для переписки:
117342, Москва, ул. Профсоюзная, 75, корп.1, кв.96, А.А. Трусову
|
(72) Автор(ы):
Дугарцыренов Аркадий Владимирович (RU), Семенов Василий Васильевич (RU), Трусов Александр Александрович (RU)
(73) Патентообладатель(и):
Дугарцыренов Аркадий Владимирович (RU), Семенов Василий Васильевич (RU)
|
(54) СПОСОБ ВЗРЫВНОЙ ОТБОЙКИ РУДЫ ОТ МАССИВА СО СЛОИСТОЙ ТЕКСТУРОЙ
(57) Реферат:
Изобретение относится к горной промышленности, а именно к способам взрывной отбойки руды от массива со слоистой структурой. Способ включает бурение параллельных рядов вертикальных скважин под углом к линии внутренней бровки уступа, заряжание скважин зарядами взрывчатого вещества (ВВ), монтаж внутрискважинных и поверхностной взрывных сетей и порядное короткозамедленное взрывание зарядов ВВ с образованием в каждом ряду плоской взрывной волны сжатия. Угол определяют из соотношения =(-1)n /2+ +(-1)n+1 -arcsin(ctg ·tg ), где – угол, равный 180°; n – показатель направления отбойки, n1 при направлении отбойки слева направо при виде на внутреннюю бровку уступа и n=0 – при направлении отбойки справа налево при том же виде; – угол между линией простирания слоев руды и линией внутренней бровки уступа; – угол между линией рядов скважин и линией пересечения плоскости фронта взрывной волны сжатия с горизонтальной плоскостью; – угол падения слоев руды; – угол между плоскостью фронта взрывной волны сжатия и вертикалью. Возможно, из двух значений угла , соответствующих разным направлениям отбойки, принимать то значение этого угла, при котором он более близок к 90°. Изобретение позволяет повысить эффективность разупрочнения мсжзерновых связей руды и технико-экономические показатели последующего передела руды. 1 з.п. ф-лы, 1 ил.
Изобретение относится к горной промышленности, а именно к способам взрывной отбойки руды от массива со слоистой текстурой, и может быть использовано, прежде всего, при добыче железистых кварцитов открытым способом.
Известен способ взрывной отбойки руды от массива со слоистой текстурой, включающий бурение параллельных рядов вертикальных скважин, заряжание скважин зарядами взрывчатого вещества (ВВ), монтаж внутрискважинных и поверхностной взрывных сетей и короткозамедленное взрывание зарядов ВВ [1].
Недостатком способа является то, что разупрочнение межзерновых связей руды осуществляется за счет весьма существенного повышения удельного расхода ВВ. При этом увеличение затрат на буровзрывные работы не компенсируется улучшением показателей последующих технологических операций.
Ближайшим техническим решением к заявленному является способ взрывной отбойки руды от массива со слоистой текстурой, включающий бурение параллельных рядов вертикальных скважин под углом к линии внутренней бровки уступа, заряжание скважин зарядами взрывчатого вещества (ВВ), монтаж внутрискважинных и поверхностной взрывных сетей и порядное короткозамедленное взрывание зарядов ВВ с образованием в каждом ряду плоской взрывной волны сжатия [2].
Недостатком прототипа является малая эффективность разупрочнения межзерновых связей руды, т.к. плоскость фронта взрывной волны сжатия ориентирована под углом 45° относительно плоскости слоев руды, при котором в плоскости слоев возникают максимальные сдвиговые напряжения. Однако известно, что сдвиговые напряжения не являются наиболее эффективными при разрушении горных пород. Так, предел прочности горных пород при сдвиге существенно больше предела прочности тех же пород при растяжении. Поэтому этот способ не позволяет существенно улучшить технико-экономические показатели последующего передела руды на стадиях ее дробления, измельчения и обогащения.
Задачей изобретения является повышение технико-экономических показателей последующего передела руды за счет эффективного разупрочнения межзерновых связей рудных массивов со слоистой текстурой в процессе взрывной отбойки.
Достигаемый при этом технический результат заключается в повышении эффективности разупрочнения межзерновых связей руды за счет развития микротрещин отрыва как в зоне регулируемого дробления, так и за ее пределами, ориентированных вдоль слоев руды и обусловленных растягивающими напряжениями, действующими нормально к плоскостям слоев.
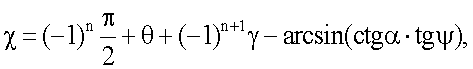
Указанный технический результат достигается тем, что в известном способе взрывной отбойки руды от массива со слоистой текстурой, включающем бурение параллельных рядов вертикальных скважин под углом к линии внутренней бровки уступа, заряжание скважин зарядами взрывчатого вещества (ВВ), монтаж внутрискважинных и поверхностной взрывных сетей и порядное короткозамедленное взрывание зарядов ВВ с образованием в каждом ряду плоской наклонной взрывной волны сжатия, угол определяют из соотношения

где – угол, равный 180°;
n – показатель направления отбойки, n=1 при направлении отбойки слева направо при виде на внутреннюю бровку уступа и n=0 – при направлении отбойки справа налево при том же виде;
– угол между линией простирания слоев руды и линией внутренней бровки уступа;
– угол между линией рядов скважин и линией пересечения плоскости
фронта взрывной волны сжатия с горизонтальной плоскостью;
– угол падения слоев руды;
– угол между плоскостью фронта взрывной волны сжатия и вертикалью.
Кроме того, из двух значений угла , соответствующих разным направлениям отбойки, принимают то значение этого угла, при котором он более близок к 90°.
В указанную в самостоятельном пункте формулы изобретения совокупность признаков включены все признаки, каждый из которых необходим, а все вместе достаточны для получения технического результата.
В себестоимости концентрата процессы разрушения (дробления и измельчения в мельницах) составляют в железорудной промышленности примерно 60%, в том числе процесс измельчения – 50%. Поэтому изобретение направлено на повышение технико-экономических показателей последующего передела руды (дробления, измельчения и обогащения) за счет эффективного разупрочнения межзерновых связей рудных массивов со слоистой текстурой в процессе взрывной отбойки.
Исследованиями, проведенными в МГГУ, установлена анизотропия микротекстуры железистых кварцитов. Размеры рудных зерен (агрегатов) вдоль слоистости находятся в пределах 13-110, а перпендикулярно слоистости – 9-80 мкм. Коэффициент изометричности (отношение размеров зерен параллельно и перпендикулярно слоистости) колеблется в пределах 1,0-3,3 с достоверностью 90%, а его среднее значение равно 1,54. Это определяет большую площадь поверхности зерен и соответственно большую энергоемкость разрушения межзерновых связей вдоль слоистости по сравнению с таковыми поперек нее. Следовательно, при взрывании необходимо обеспечить такие напряжения в массиве, которые приведут к преимущественному образованию микротрещин отрыва вдоль плоскостей слоев железистых кварцитов. Наиболее эффективными при разрушении горных пород являются растягивающие напряжения, так как предел прочности при растяжении в несколько раз меньше, чем при сдвиге, и в среднем на порядок меньше, чем при сжатии. Известно, что при взрыве цилиндрического удлиненного заряда в упругой среде главными являются радиальные сжимающие и растягивающие полярные напряжения. Естественно, что при нормальном к плоскостям слоев падении взрывной волны сжатия в слоистом массиве микротрещины отрыва, обусловленные растягивающими напряжениями, будут развиваться вдоль слоев.
При взрывании ряда скважинных зарядов на достаточном удалении от заряда (за пределами зоны дробления) распространяющуюся от данного ряда по массиву результирующую упругую волну в первом приближении можно считать плоской волной сжатия без бокового стеснения. Если плоскость фронта такой волны направить перпендикулярно к плоскостям слоев железистых кварцитов, то разупрочнение массива будет происходить преимущественно за счет развития микротрещин отрыва, ориентированных вдоль слоев.
Кроме того, накопление микротрещин отрыва в массиве способствует эффективному селективному раскрытию рудных зерен, а это повышает выход железа в концентрат при обогащении измельченной руды. При этом разупрочнение массива будет иметь место и за пределами зоны регулируемого дробления, что приводит к полезной в этом случае диссипации энергии взрыва за пределами данной зоны и снижению сейсмических нагрузок на охраняемые объекты.
При бурении параллельных рядов вертикальных скважин под указанным углом к линии внутренней бровки уступа, их заряжании зарядами ВВ
и порядном короткозамедленном взрывании зарядов обеспечивается гарантированное образование в каждом ряду зарядов плоской взрывной волны сжатия, плоскость фронта которой будет перпендикулярна плоскостям слоев рудного массива, что приводит к максимальному разупрочнению массива.
Таким образом, с учетом вышесказанного совокупность всех признаков, изложенных в самостоятельном пункте формулы изобретения, действительно обеспечивает достижение указанного технического результата и решает задачу изобретения.
Выбор из двух значений угла , соответствующих разным направлениям отбойки, угла, более близкого к 90°, как правило, лучше удовлетворяет условиям отработки уступа и ведения буровзрывных работ.
На чертеже представлено схематическое изображение уступа рудного массива со слоистой текстурой с расположением вертикальных скважинных зарядов ВВ при взрывании согласно настоящему изобретению и использовании детонирующего шнура и обратного инициирования.
Способ осуществляют путем последовательного выполнения следующих операций.
На поверхности уступа 1 рудного массива со слоистой текстурой определяют по геологической документации линию 2 простирания слоев руды и угол падения 3 этих слоев. Затем проводят линию 4 ряда вертикальных взрывных скважин 5 под углом к линии 6 внутренней бровки уступа, определяемым соотношением

где – угол, равный 180°;
n – показатель направления отбойки, n=1 при направлении отбойки слева направо при виде на внутреннюю бровку 6 уступа и n=0 – при направлении отбойки справа налево при том же виде;
– угол между линией 2 простирания слоев руды и линией 6 внутренней бровки уступа;
– угол между линией 4 рядов скважин и линией 7 пересечения плоскости 8 фронта взрывной волны сжатия с горизонтальной плоскостью;
– угол падения слоев руды;
– угол между плоскостью 8 фронта взрывной волны сжатия и вертикалью.
После этого осуществляют разметку скважин 5 так, чтобы линии 4 их рядов были параллельны друг другу. Далее производят бурение скважин, их заряжание зарядами 9 ВВ с последующей забойкой (если она необходима) и порядное короткозамедленное взрывание зарядов ВВ по диагональной схеме инициирования.
В представленном на чертеже виде взрывание зарядов ВВ производят с обратным инициированием при размещении боевика 10, например, на уровне подошвы уступа, а внутрискважинные и поверхностную взрывные сети (на чертеже не показаны) монтируют из детонирующего шнура (ДШ). При взрывании вокруг каждого скважинного заряда 9 ВВ формируется взрывная волна сжатия с фронтом в виде усеченного конуса 11, радиусы оснований которого увеличиваются во времени, а при соединении зарядов ВВ в рядах 4 с помощью ДШ заряды в ряду инициируются последовательно с замедлением около 1 мс, определяемым расстоянием между скважинами в ряду и скоростью детонации ВВ ДШ. Поэтому при взрывании каждого ряда зарядов ВВ образуются два результирующих фронта взрывной волны сжатия в виде двух наклонных плоскостей 8 (на чертеже показана одна плоскость, а вторая плоскость симметрична первой относительно вертикальной плоскости ряда скважинных зарядов). При этом плоскости 8 расположены под углом к вертикали и под углом к линии 4 рядов скважин.
Введем правую систему декартовых прямоугольных координат, связанных с взрываемым блоком. Начало координат поместим в произвольной точке поверхности блока и совместим плоскость XOY с этой поверхностью так, чтобы ось ОХ была ориентирована параллельно линии 6 внутренней бровки уступа. Тогда направление отбойки слева направо (n=1) будет соответствовать положительному направлению оси х – пол и справа налево (n=0) – отрицательному направлению оси Х – отр.
Углы и определяются соотношениями элементарной математики


где упр – скорость распространения упругой волны в массиве;
ВВ – скорость детонации ВВ скважинного заряда;
ДШ – скорость детонации ВВ ДШ.
В формулах (2) и (3) знак «-» (отсчет углов и ведется против часовой стрелки относительно вертикальной плоскости рядов скважин) соответствует отбойке в положительном направлении (движение плоскости 8 слева направо, n=1), а знак «+» (отсчет углов и ведется по часовой стрелке относительно вертикальной плоскости рядов скважин) – отбойке в отрицательном направлении (движение плоскости 8 справа налево, n=0).
С учетом вышесказанного для разных направлений отбойки выражение (1) будет иметь следующий вид:


При этом угол между линией 7 пересечения плоскости 8 фронта волны сжатия с поверхностью уступа и линией 2 простирания слоев должен составлять:
для отбойки уступа слева направо:
пол= – пoл+ ;
для отбойки уступа справа налево:
отр= – отр+ .
При расположении рядов скважин под углом к линии бровки уступа, определяемым соотношением (1), обеспечивается перпендикулярность плоскостей 12 слоев руды и плоскости 8 фронта волны сжатия и соответственно максимальное разупрочнение массива за счет развития микротрещин отрыва, ориентированных вдоль слоев руды и обусловленных растягивающими напряжениями, действующими нормально к плоскостям 12 слоев.
Из двух значений угла , соответствующих разным направлениям отбойки, принимают то значение этого угла, которое наиболее полно удовлетворяет условиям отработки конкретного уступа и ведения буровзрывных работ на нем. Наиболее предпочтительным является то значение угла , при котором он более близок к 90°.
Соотношение (1) является универсальным и справедливо для любых условий короткозамедленного взрывания рудных массивов со слоистой текстурой, при которых в процессе взрыва вертикальных скважинных зарядов ВВ каждого параллельно расположенного ряда зарядов образуется результирующий плоский фронт взрывной волны сжатия. Кроме условий, представленных на чертеже, это будет иметь место, например, при:
– широко применяемом на карьерах взрывании с использованием неэлектрических систем инициирования типа ПРИМАДЕТ, СИНВ и др. для монтажа внутрискважинных взрывных сетей и ДШ для поверхностной взрывной сети. При этом инициирование зарядов ВВ осуществляют, как правило, с применением верхнего и нижнего боевиков (промежуточных детонаторов), неэлектрические детонаторы которых имеют разное время замедления. Время замедления детонатора нижнего боевика меньше времени замедления детонатора верхнего боевика, например 450 и 500 мс соответственно. Это означает, что будет иметь место только более выгодное обратное инициирование, так как инициирование верхнего боевика произойдет не от его неэлектрического детонатора, а от ВВ скважинного заряда (время прохода детонационной волны по ВВ заряда от нижнего боевика до верхнего более чем на порядок меньше разницы времени замедления неэлектрических детонаторов боевиков). То есть представленная на чертеже схема полностью соответствует данному варианту взрывания;
– прямом инициировании скважинных зарядов ВВ с размещением боевика в верхней части зарядов. При таком инициировании вокруг каждого заряда формируется взрывная волна сжатия с фронтом в виде обратного усеченного конуса и результирующий плоский фронт взрывной волны сжатия от взрыва каждого ряда зарядов будет иметь соответстующее пространственное расположение;
– одновременном инициировании скважинных зарядов ВВ в пределах одного ряда и обратном или прямом их инициировании, что может быть реализовано, например, путем использования электронного инициирования. В этом случае угол =0° и плоскость 8 результирующего фронта взрывной волны сжатия будет параллельна линии рядов скважин;
– многоточечном одновременном инициировании скважинного заряда ВВ по всей высоте его колонки и одновременном инициировании зарядов в пределах одного ряда или инициировании этих зарядов с миллисекундным замедлением. При этом образуется вертикальная плоскость 8 результирующего фронта взрывной волны сжатия (угол =0°), которая параллельна линии рядов скважин (одновременное инициирование зарядов ряда, угол =0°) или расположена под углом к этой линии (инициирование зарядов в ряду с миллисекундным около 1 мс замедлением, угол  0°).
Примеры реализации способа
Для условий карьера Стойленского ГОКа угол падения слоев изменяется от 60° до 120°, скорости упр и ВВ распространения взрывной упругой волны в массиве (железистый кварцит с коэффициентом крепости по шкале проф. М.М.Протодьяконова f=17) и детонации ВВ в скважине соответственно равны 4,9 км/с и 5 км/с (для акватола Т-20ГМ). Угол между плоскостью фронта взрывной волны сжатия и вертикалью при обратном (нижнем) и прямом (верхнем) инициировании равен (2)

При инициировании одновременно по всей высоте колонки заряда ВВ угол =0°.
При поочередном взрывании скважинных зарядов в ряду они соединены только детонирующим шнуром ( ДШ=6,5 км/с) без пиротехнических замедлителей. Тогда поправка на угол поворота плоскости фронта взрывной волны сжатия вокруг вертикальной оси относительно линии ряда скважин (угол между линией рядов скважин и линией пересечения плоскости фронта взрывной волны сжатия с горизонтальной плоскостью) определяется выражением (3)

Величины углов и принимаем постоянными. Расчет угла ориентации рядов скважин относительно внутренней бровки уступа будем выполнять для различных значений углов и . При этом расчеты будем проводить по указанным выше формулам (4) и (5) для двух случаев направления отбойки: слева направо (в положительном направлении оси х – пол) и справа налево (в отрицательном направлении оси х – отр) и выбирать из двух углов тот, который ближе к 90°:


Однако это не исключает возможности применения и другого найденного значения угла , если оно в большей степени будет соответствовать условиям отработки уступа и ведения буровзрывных работ.
При этом угол между линией пересечения плоскости фронта волны сжатия с поверхностью уступа и линией простирания слоев должен составлять:
для отработки уступа слева направо:
пол= – пол+ ;
для отработки уступа справа налево:
отр=- + отр+
При угле =0° угол должен быть всегда равным 90°.
Пример 1
Линия простирания слоев железистых кварцитов относительно положительного направления линии бровки уступа составляет угол =60°. Угол падения слоев равен =60°.
В соответствии с (4) и (5) имеем следующие результаты:
пол=-15°; отр=67°
Отсюда видно, что направление отбойки следует принять справа налево, располагая ряды скважин под углом отр – 67° относительно внутренней бровки уступа.
При угле =0° имеем:
пол=19°; отр=101°
В этом случае отбойка ведется справа налево, а ряды скважин располагаются под углом отр=101°: Угол отр действительно равен 90°:
отр=- + отр+ =-60°+101°+49°=90°
Пример 2
Примем угол равным 90°, а угол падения слоев, так же как и в примере 1, -60°.
Тогда:
пол=15°; отр=97°.
Здесь отработку уступа следует проводить справа налево при расположении рядов скважин под углом отр=97°.
При =0° находим
пол=49°; отр=131°
В данном случае отбойку можно вести как слева направо, так и справа налево. Действительно:
пол= – пол+ =90°-49°+49°=90°,
отр=- + отр+ =-90°+131°+49°=90°
Пример 3
Угол падения слоев тоже равен 60°, а линия их простирания составляет угол =120° с линией бровки уступа.
При этом
пол=45°; отр=127°
Ряды скважин располагают под углом отр=127° к линии бровки уступа, а отработку уступа ведут справа налево.
При =0° имеем
пол=79°; отр=161°
Отбойку следует вести слева направо, а ряды скважин располагать под углом пол=79°, то есть перпендикулярно к линии простирания слоев:
пол= – пол+ =120°-79°+49°=90°
Пример 4
Как и в примерах 1-3, угол падения слоев равен 60°, но линия их простирания составляет с линией бровки уступа угол =150°. Тогда
пол=75°; отр=157°
В данном примере ближе к 90° находится угол пол=75°. Следовательно, в этом случае отбойка ведется слева направо. При =0° получим
пол=109°; отр=191°.
Отбойку следует вести слева направо, а ряды скважин располагать под углом пол=109°.
Проверка:
пол= – пол+ =150°-109°+49°=90°
Теперь рассмотрим примеры, в которых изменяется угол падения слоев, а угол остается постоянным и равным =60°.
Пример 5
Пусть =70°, а =60°
Тогда имеем
пол=-2°; отр=80°
Отбойку ведем справа налево при угле отр=80°.
При =0° находим:
пол=19°; отр=101°
Отбойку ведем справа налево. Ряды скважин располагаем под углом отр=101°. Проверка перпендикулярности:
отр=- + отр+ =-60°+101°+49°=90°.
Пример 6
Дано =9О° и =6О°.
Находим:
пол=19°; отр=101°
Отбойка ведется справа налево, а ряды скважин располагаются под углом отр=101°.
В этом примере слои железистых кварцитов располагаются вертикально ( =90°), поэтому, независимо от значений угла отклонения плоскости фронта волны сжатия от вертикали, линия пересечения этой плоскости с поверхностью уступа должна быть перпендикулярна линии простирания слоев. Это видно из того, что при =49° и отр=101° имеем
отр=- + отр+ =-60°+101°+49°=90°
Пример 7
Примем =110°, а =60°.
Тогда
пол=40°; отр=122°
Отбойка ведется справа налево при отр=122°.
При =0° имеем:
пол=19°; отр=101°
Отбойку ведем справа налево. Ряды скважин располагаем под углом отр=101°. Проверка перпендикулярности:
отр=- + отр+ =-60°+101°+49°=90°
Пример 8
Дано =120°, а угол также равен 60°.
Имеем
пол=53°; отр=135°
В данном случае отбойку ведут слева направо при угле , равном 53°.
При =0° получим:
пол=19°; отр=101°
Отбойку ведем справа налево. Ряды скважин располагаем под углом
отр=101°. Проверка:
отр=- + отр+ =-60°+101°+49°=90°
Таким образом, при =0 и постоянных углах =60° и =49° угол не зависит от угла и составляет, как показывают примеры 1 и 5 – 8, 19 и 101°. Это связано с тем, что при любом произведение ctg ·tg равно нулю.
Это подтверждает правильность универсальной формулы (1) и конкретных (при разных n) формул (4) и (5).
Теперь рассмотрим примеры, в которых имеет место одновременное взрывание скважин в ряду. В этом случае =0.
Пример 9
Угол =45°. Угол падения слоев равен 60°.
Ориентация рядов скважин определяется углами:
пол=-79°; отр=101°
Принимаем отр=101° и направление отбойки справа налево.
Для =0° получим:
пол=-45°; отр=135°
Отбойку ведем справа налево. Ряды скважин располагаем под углом отр=135°. Проверка перпендикулярности:
отр=- + отр+ =-45°+135°+0°=90°
Пример 10
Угол =60°. Угол падения слоев равен 60°.
Здесь имеем
пол=-64°; отр=116°
Отбойку ведем справа налево, а ряды скважин располагаем под углом отр=116°.
Для =0° находим:
пол=-30°; отр=150°.
Отбойку блока ведем справа налево. Ряды скважин располагаем под углом отр=150°. Проверка перпендикулярности:
отр=- + отр+ =-60°+150°+0°=90°.
Источники информации
1. Кутузов Б.Н. Разрушение горных пород взрывом: Учебник для вузов. – 3-е изд., перераб. и доп. – М.: Издательство МГИ, 1992, с.439.
2. Патент РФ 2263278 по кл. F42D 3/04, 2004 (прототип).
Формула изобретения
1. Способ взрывной отбойки руды от массива со слоистой текстурой, включающий бурение параллельных рядов вертикальных скважин под углом к линии внутренней бровки уступа, заряжание скважин зарядами взрывчатого вещества (ВВ), монтаж внутрискважинных и поверхностной взрывных сетей и порядное короткозамедленное взрывание зарядов ВВ с образованием в каждом ряду плоской взрывной волны сжатия, отличающийся тем, что угол определяют из соотношения
=(-1)n /2+ +(-1)n+1 -arcsin(ctg ·tg ), где – угол, равный 180°; n – показатель направления отбойки, n=1 при направлении отбойки слева направо при виде на внутреннюю бровку уступа и n=0 при направлении отбойки справа налево при том же виде;
– угол между линией простирания слоев руды и линией внутренней бровки уступа;
– угол между линией рядов скважин и линией пересечения плоскости фронта взрывной волны сжатия с горизонтальной плоскостью;
– угол падения слоев руды;
– угол между плоскостью фронта взрывной волны сжатия и вертикалью.
2. Способ по п.1, отличающийся тем, что из двух значений угла , соответствующих разным направлениям отбойки, принимают то значение угла, при котором он более близок к 90°.
РИСУНКИ
|