|
|
(21), (22) Заявка: 2008141020/03, 15.10.2008
(24) Дата начала отсчета срока действия патента:
15.10.2008
(46) Опубликовано: 20.01.2010
(56) Список документов, цитированных в отчете о поиске:
Горная энциклопедия. Под редакцией Козловского. Т.5. – М.: Советская энциклопедия, 1991, с.462-463. SU 711792 А1, 10.10.1995. SU 1129995 A1, 10.02.1996. SU 1430719 A1, 15.10.1988. RU 2017960 C1, 15.08.1994. RU 2285897 C1, 20.10.2006. КУТУЗОВ Б.Н. Методы ведения горных работ. – 4.1, Разрушение горных пород взрывом. – М.: Горная книга, 2007, с.298-299.
Адрес для переписки:
664074, г.Иркутск, ул. Лермонтова, 83, Иркутский государственный технический университет
|
(72) Автор(ы):
Скурихин Юрий Георгиевич (RU)
(73) Патентообладатель(и):
Государственное образовательное учреждение высшего профессионального образования “Иркутский государственный технический университет” (ГОУ ИрГТУ) (RU)
|
(54) СПОСОБ ИНИЦИИРОВАНИЯ ШПУРОВЫХ ЗАРЯДОВ
(57) Реферат:
Изобретение относится к горной промышленности. Зажигательные патроны соединяют между собой по направлению инициирования шпуровых зарядов отрезками огнепроводного шнура путем ввода их концов в зажигательные патроны, которые воспламеняют последовательно. Конец первого отрезка огнепроводного шнура, соединяющего первый и второй по направлению инициированию шпуровых зарядов зажигательные патроны, поджигают одновременно с первым пучком зажигательных трубок первого зажигательного патрона. Зажигательный состав второго по направлению инициирования шпуровых зарядов зажигательного патрона воспламеняют при догорании пороховой нити первого отрезка огнепроводного шнура. Поджигая конец второго отрезка огнепроводного шнура, изложенную последовательность поджигания отрезков огнепроводного шнура повторяют в направлении инициирования шпуровых зарядов, за исключением последнего зажигательного патрона. Минимальную длину зажигательной трубки в каждом зажигательном патроне принимают равной минимальной длине зажигательной трубки первого по направлению инициирования шпуровых зарядов зажигательного патрона. Разницу в длине зажигательных трубок каждого зажигательного патрона, за исключением последнего по направлению инициирования шпуровых зарядов, принимают равной отношению длины отрезка огнепроводного шнура, соединяющего два зажигательных патрона, к количеству зажигательных трубок зажигательного патрона, расположенного в направлении, противоположном инициированию шпуровых зарядов. Технический результат заявляемого изобретения заключается в увеличении объема отбойки полезного ископаемого за один прием шпуровых зарядов за счет увеличения их количества и в обеспечении безопасности инициирования шпуровых зарядов. 1 ил.
Изобретение относится к горной промышленности и может быть использовано при шпуровой отбойке полезного ископаемого длинными забоями в породах средней и ниже средней устойчивости при подземной разработке месторождений полезных ископаемых.
Проблема инициирования шпуровых зарядов взрывчатого вещества заключается в следующем.
Взрывание шпуровых зарядов вызывает сейсмические колебания горных пород и ударно-воздушные волны. Это приводит к обрушению горных пород и нарушению крепления горных выработок. Сейсмобезопасность взрывных работ зависит от величины заряда взрывчатого вещества на ступень замедления и интервала времени между взрывами. При увеличении веса заряда взрывчатого вещества на ступень замедления уровень сейсмобезопасности снижается, что приводит к увеличению обрушений горных пород и разрушению крепления горных выработок и наоборот. Уменьшение интервала времени между взрывами также сопровождается снижением уровня сейсмобезопасности и увеличением разрушения крепления горных выработок и наоборот.
Вес заряда взрывчатого вещества на ступень замедления при шпуровой отбойке принят равным весу одного шпурового заряда взрывчатого вещества. Наименьшая величина интервала замедления между взрывами шпуровых зарядов соответствует времени между взрывами 5-10 с. Такие показатели взрывания шпуровых зарядов обеспечивают не только наименьшие обрушения горных пород и разрушение крепления горных выработок, но и их устойчивость, особенно очистных выработок при отбойке полезного ископаемого длинными забоями в породах средней и ниже средней устойчивости.
Взрывание шпуровых зарядов с интервалом замедления не менее 5-10 с обеспечивается всеми известными способами взрывания. Различие заключается в объеме отбойки полезного ископаемого за один прием взрывания шпуров. Уменьшение количества взрываемых шпуров за один прием сокращает объем отбойки полезного ископаемого. Это приводит к тому, что длинные очистные забои с забуренными шпурами не могут быть взорваны за один прием. В этом случае взрывные работы ведут в несколько приемов. После каждого взрывания забой проветривают, приводят в безопасное состояние с оборкой заколов, заряжают шпуры взрывчатым веществом и взрывают повторно. Эти операции повторяют до тех пор, пока не взорвут все забуренные шпуры по всей длине очистного забоя, подлежащей взрыванию. Такой способ ведения взрывных работ увеличивает цикл взрывания полезного ископаемого по длине забоя с забуренными шпурами, в результате выполнения непроизводительных операций, снижает качество и эффективность взрывных работ. Возможны и другие варианты технологии очистных работ, при которых также возникает необходимость в непроизводительных операциях.
При взрывании всех шпуров в пределах необходимой длины очистного забоя затраты времени на непроизводительные операции минимальны. Это повышает качество и эффективность взрывных работ.
Только огневой способ, при прочих равных условиях, представляет возможность повысить качество и эффективность взрывных работ путем взрывания наибольшего количества шпуровых зарядов за один прием при весе заряда взрывчатого вещества на одну ступень замедления, равном весу одного шпурового заряда, с интервалом времени между взрывами шпуровых зарядов 5-10 с. При этом достигается наибольший объем отбойки полезного ископаемого за один прием взрывания шпуровых зарядов. Однако в настоящее время огневой способ взрывания запрещен во всех подземных горных выработках «Едиными правилами безопасности при взрывных работах» (ПБ 13-407-01, 2002 г., раздел 5, пункт 8). Причина – низкий уровень безопасности при инициировании шпуровых зарядов взрывчатого вещества в результате применения ручного способа поджигания отрезков огнепроводного шнура.
Электроогневой способ взрывания является более предпочтительным среди других способов взрывания, так как позволяет достигать наибольшего объема отбойки полезного ископаемого за один прием взрывания шпуровых зарядов при обеспечении безопасности их инициирования, соблюдении рассмотренных показателей сейсмобезопасности – веса заряда взрывчатого вещества на одну ступень замедления и интервала времени между взрывами шпуровых зарядов. Тем не менее этот объем отбойки полезного ископаемого за один прием взрывания шпуровых зарядов при увеличении их количества является недостаточным и снижает качество и эффективность взрывных работ.
Инициирование шпуровых зарядов взрывчатых веществ является составной частью способа их взрывания. При заданных показателях сейсмобезопасности (вес заряда взрывчатого вещества на ступень замедления и интервал времени между взрывами) способ инициирования определяет качество взрыва и эффективность взрывных работ, выражающихся в объеме отбойки полезного ископаемого за один прием взрывания шпуровых зарядов.
Таким образом, проблема инициирования шпуровых зарядов взрывчатого вещества заключается в увеличении объема отбойки полезного ископаемого за один прием взрывания шпуровых зарядов путем увеличения их количества при обеспечении безопасности инициирования шпуровых зарядов, веса заряда взрывчатого вещества на одну ступень замедления не более веса шпурового заряда и интервала времени между взрывами шпуровых зарядов не менее 5-10 с.
Известен способ инициирования шпуровых зарядов при огневом взрывании (Кутузов Б.Н. Методы ведения взрывных работ. Часть 1. Разрушение горных пород взрывом. М.: Изд-во «Горная книга», 2007, стр.300-305), включающий установку зажигательных трубок в шпуровые заряды взрывчатых веществ, укорачивание и поджигание зажигательных трубок в порядке очередности взрывания шпуровых зарядов тлеющим фитилем, взрывание их при догорании пороховой нити огнепроводного шнура зажигательной трубки.
Общими признаками известного способа с заявляемым изобретением являются:
– установка зажигательных трубок в шпуровые заряды с взрывчатым веществом;
– укорачивание и поджигание зажигательных трубок в соответствии с последовательностью взрывания шпуровых зарядов;
– инициирование и взрывание шпуровых зарядов при догорании пороховой нити огнепроводного шнура зажигательных трубок.
Недостатком способа является опасность поджигания зажигательных трубок тлеющим фитилем.
Известен способ инициирования шпуровых зарядов при огневом взрывании с применением зажигательных патронов (Кутузов Б.Н. Методы ведения взрывных работ. Часть 1. Разрушение тонных пород взрывом. М.: Изд-во «Горная книга», 2007, стр.298-299), включающий установку зажигательных трубок в шпуровые заряды взрывчатых веществ, укорачивание их длины в соответствии с последовательностью взрывания шпуровых зарядов, соединение их в пучки, ввод этих пучков и отрезков огнепроводного шнура в зажигательные патроны, поджигание этих отрезков тлеющим фитилем в соответствии с последовательностью взрывания шпуровых зарядов, воспламенение зажигательного состава зажигательного патрона, поджигание пучка зажигательных трубок и взрывание шпуровых зарядов при догорании пороховой нити огнепроводного шнура зажигательных трубок.
Общими признаками известного способа с заявляемым изобретением являются:
– установка зажигательных трубок в шпуровые заряды;
– укорачивание длины зажигательных трубок и соединение их в пучки;
– ввод этих пучков зажигательных трубок и отрезка огнепроводного шнура для воспламенения зажигательного состава в зажигательные патроны;
– последовательное воспламенение зажигательного состава зажигательных патронов в направлении инициирования шпуровых зарядов;
– взрывание шпуровых зарядов при догорании пороховой нити огнепроводного шнура зажигательной трубки.
Однако технический результат известного способа – обеспечение последовательного воспламенения зажигательного состава зажигательных патронов – заключается в обеспечении последовательного взрывания шпуровых зарядов и повышении безопасности работ за счет уменьшения числа поджиганий отрезков огнепроводного шнура вручную, что ведет к уменьшению объема отбойки полезного ископаемого за один прием взрывания шпуровых зарядов.
Недостатками способа являются:
– опасность поджигания отрезков огнепроводного шнура тлеющим фитилем для воспламенения зажигательного состава зажигательного патрона;
– недостаточный объем отбойки полезного ископаемого за один прием взрывания шпуровых зарядов при ограниченном их количестве, заданных показателях сейсмобезопасности и максимально допустимой длине зажигательной трубки.
Известен способ инициирования шпуровых зарядов при электрическом взрывании (Кутузов Б.Н. Методы ведения взрывных работ. Часть 1. Разрушение горных пород взрывом. М.: Изд-во «Горная книга», 2007, стр.305-310), включающий установку электродетонаторов с электрическими проводами в шпуровые заряды, соединение их с источником электрического тока проводами электровзрывной сети, подачу электрического тока к электродетонаторам и взрывание шпуровых зарядов.
Общими признаками известного способа с заявляемым изобретением являются:
– инициирование шпуровых зарядов с использованием электрического тока при подаче его по проводам электровзрывной сети.
Недостатком способа является ограниченный объем отбойки полезного ископаемого за один прием взрывания шпуровых зарядов из-за малого их количества, при заданных показателях сейсмобезопасности в результате небольшого числа электродетонаторов с интервалом времени замедления в пределах 5-10 с.
Известен способ инициирования шпуровых зарядов с применением неэлектрической системы инициирования (Хорохонов Ю.Б., Томашев Г.С. Технология и безопасность взрывных работ. Практикум. Иркутск, Изд-во Иркутского государственного технического университета. 2005, стр.30-41), включающий установку ударно-волновых трубок с капсюлями-детонаторами в шпуровые заряды взрывчатого вещества, ввод их в соединители с детонирующим шнуром, крепление к детонирующему шнуру электродетонатора, соединение его проводов с источником электрического тока проводами электровзрывной сети, подача электрического тока для срабатывания ударно-волновых трубок с капсюлями-детонаторами и взрывание шпуровых зарядов.
Общими признаками известного способа с заявляемым изобретением являются:
– установка капсюлей-детонаторов в шпуровые заряды с взрывчатым веществом;
– инициирование шпуровых зарядов с использованием электрического тока.
Недостатком способа является ограниченный объем отбойки полезного ископаемого за один прием взрывания шпуровых зарядов при небольшом их количестве, заданных показателях сейсмобезопасности и в результате малого числа капсюлей-детонаторов с интервалами времени замедления в пределах 5-10 с.
Известен способ инициирования шпуровых зарядов при электроогневом взрывании с применением электрозажигательных патронов (Кутузов Б.Н. Методы ведения взрывных работ. Часть 1. Разрушение горных пород взрывом. М.: Горная книга, 2007, стр.299), включающий установку зажигательных трубок в шпуровые заряды с взрывчатым веществом, укорачивание и соединение зажигательных трубок в пучки, ввод этих пучков в электрозажигательные патроны, соединение их между собой и с источником электрического тока проводами электровзрывной сети, подачу электрического тока к электрозажигательным патронам, одновременное воспламенение всех пучков зажигательных трубок и взрывание шпуровых зарядов при догорании пороховой нити огнепроводного шнура зажигательной трубки.
Общими признаками известного способа с заявляемым изобретением являются:
– установка зажигательных трубок в шпуровые заряды с взрывчатым веществом;
– укорачивание зажигательных трубок и соединение их в пучки;
– ввод этих пучков в зажигательные патроны;
– соединение зажигательных патронов связью;
– использование электрического тока для поджигания пучка зажигательных трубок;
– взрывание шпуровых зарядов при догорании пороховой нити огнепроводного шнура зажигательных трубок.
Недостатком способа является ограниченный объем отбойки полезного ископаемого за один прием взрывания шпуровых зарядов при малом их количестве, заданных показателях сейсмобезопасности и максимально допустимой длине зажигательной трубки.
Известен способ инициирования шпуровых зарядов при электроогневом взрывании с применением электрозажигательных патронов, обеспечивающий вес заряда на ступень замедления, равный одному из двух шпуровых зарядов (Богданович А.И., Семенов В.В. Электроогневое взрывание при отбойке песков в россыпных шахтах. Журнал «Колыма», 1971, 1, с.24-28.), включающий установку зажигательных трубок в шпуровые заряды с взрывчатым веществом, укорачивание зажигательных трубок до различной и равной между собой длины, соединение их в пучки, ввод этих пучков в электрозажигательные патроны, соединение их с источником электрического тока проводами электровзрывной сети, подачу электрического тока к электрозажигательным патронам, одновременное воспламенение зажигательного состава электрозажигательных патронов и взрывание шпуровых зарядов как по одному, так и по два шпуровых заряда одновременно при равной длине зажигательных трубок.
Общими признаками известного способа с заявляемым изобретением являются:
– установка зажигательных трубок в шпуровые заряды взрывчатого вещества;
– укорачивание длины зажигательных трубок и соединение их в пучки;
– ввод этих пучков в зажигательные патроны;
– соединение зажигательных патронов связью;
– использование электрического тока для поджигания пучка зажигательных трубок;
– взрывание шпуровых зарядов по весу, равному весу взрывчатого вещества одного шпурового заряда, при догорании пороховой нити огнепроводного шнура зажигательных трубок.
Недостатком известного способа является:
– одновременное взрывание двух шпуровых зарядов, инициируемых двумя зажигательными трубками равной длины. Это увеличивает вес взрываемого заряда взрывчатого вещества на одну ступень замедления в два раза и снижает сейсмобезопасность взрывных работ.
Известен способ инициирования шпуровых зарядов при электроогневом взрывании с применением зажигательных патронов и введенных в них электрозажигательных трубок (Горная энциклопедия. Том 5, М.: Издательство «Советская энциклопедия», 1991, стр.462-463), включающий установку зажигательных трубок в шпуровые заряды с взрывчатым веществом, укорачивание длины зажигательных трубок и соединение их в пучки, ввод этих пучков совместно с электрозажигательной трубкой в каждый зажигательный патрон, соединение электрозажигательных трубок между собой и с источником электрического тока проводами электровзрывной сети, подача электрического тока к электрозажигательным трубкам, одновременное воспламенение зажигательных трубок и взрывание шпуровых зарядов при догорании пороховой нити огнепроводного шнура зажигательной трубки.
Общими признаками известного устройства с заявляемым изобретением являются:
– установка зажигательных трубок в шпуровые заряды с взрывчатым веществом;
– укорачивание длины зажигательных трубок и соединение их в пучки;
– ввод этих пучков в каждый зажигательный патрон;
– ввод в первый зажигательный патрон в направлении инициирования шпуровых зарядов электрозажигательной трубки;
– соединение электрозажигательной трубки с источником электрического тока проводами электровзрывной сети;
– соединение зажигательных патронов связью;
– подача электрического тока к первой в направлении инициирования шпуровых зарядов элетрозажигательной трубке;
– воспламянение зажигательного состава зажигательных патронов;
– зажигание пороховой нити пучков зажигательных трубок;
– взрывание шпуровых зарядов при догорании пороховой нити огнепроводного шнура зажигательных трубок.
Недостатком способа является ограниченный объем отбойки полезного ископаемого за один прием взрывания шпуровых зарядов при малом их количестве, заданных показателях сейсмобезопасности и максимально допустимой длине зажигательной трубки.
За прототип принят способ инициирования шпуровых зарядов при электроогневом взрывании с применением электрозажигателя огнепроводного шнура (Горная энциклопедия. Том 5. Издательство «Советская энциклопедия», 1991, стр.462-463), включающий установку зажигательных трубок в шпуровые заряды с взрывчатым веществом, укорачивание длины зажигательных трубок и соединение их в пучки, ввод этих пучков совместно с отрезками огнепроводного шнура воспламенительной трубки в зажигательные патроны, соединение электрических проводов электрозажигателей этих трубок между собой и с источником электрического тока проводами электровзрывной сети, подача электрического тока ко всем электровоспламенительным трубкам, одновременное воспламенение зажигательного состава зажигательных патронов и поджигание пучков зажигательных трубок, взрывание шпуровых зарядов при догорании пороховой нити огнепроводного шнура зажигательной трубки.
Общими признаками известного способа с заявляемым изобретением являются:
– установка зажигательных трубок в шпуровые заряды с взрывчатым веществом;
– укорачивание длины зажигательных трубок и соединение их в пучки;
– ввод этих пучков в каждый зажигательный патрон;
– ввод в первый зажигательный патрон в направлении инициирования шпуровых зарядов отрезка огнепроводного шнура, воспламеняемого от электрозажигателя воспламенительной трубки;
– соединение зажигательных патронов между собой связью;
– подача электрического тока к первому в направлении инициирования шпуровых зарядов электрозажигателю с отрезком огнепроводного шнура воспламенительной трубки;
– воспламенение зажигательного состава зажигательных патронов;
– взрывание шпуровых зарядов при догорании пороховой нити огнепроводного шнура зажигательных трубок.
Недостатком известного способа является ограниченный объем отбойки полезного ископаемого за один прием взрывания шпуровых зарядов в результате малого их количества, при заданных показателях сейсмобезопасности и максимально допустимой длине зажигательной трубки.
Причина недостатка заключается в отсутствии технического решения, обеспечивающего уменьшение длины зажигательных трубок, начиная со второго зажигательного патрона, по сравнению с прототипом. Такой прием позволяет увеличить число укороченных зажигательных трубок в пределах ее максимально допустимой длины и количество последовательно взрываемых шпуровых зарядов за один прием и, соответственно, объем отбойки полезного ископаемого, повысив качество взрыва и эффективность взрывных работ.
Заявляемое изобретение направлено на решение задачи по увеличению объема отбойки полезного ископаемого за один прием взрывания шпуровых зарядов за счет увеличения их числа при обеспечении безопасности инициирования шпуровых зарядов, веса заряда взрывчатого вещества на одну ступень замедления не более веса одного шпурового заряда и интервала времени между взрывами шпуровых зарядов взрывчатого вещества не менее 5-10 с.
Технический результат заявляемого изобретения заключается в увеличении объема отбойки полезного ископаемого за один прием шпуровых зарядов за счет увеличения их количества, при обеспечении безопасности инициирования шпуровых зарядов, веса заряда взрывчатого вещества на одну ступень замедления не более веса одного шпурового заряда и интервала времени между взрывами шпуровых зарядов не менее 5-10 с.
Технический результат заявляемого изобретения достигается тем, что зажигательные патроны соединяют между собой по направлению инициирования шпуровых зарядов отрезками огнепроводного шнура путем ввода их концов в зажигательные патроны, которые воспламеняют последовательно, при этом конец первого отрезка огнепроводного шнура, соединяющего первый и второй по направлению инициированию шпуровых зарядов зажигательные патроны, поджигают одновременно с первым пучком зажигательных трубок первого зажигательного патрона, зажигательный состав второго по направлению инициирования шпуровых зарядов зажигательного патрона воспламеняют при догорании пороховой нити первого отрезка огнепроводного шнура, поджигая конец второго отрезка огнепроводного шнура, соединяющего второй и третий зажигательные патроны, одновременно со вторым пучком зажигательных трубок второго зажигательного патрона, зажигательный состав третьего по направлению инициирования шпуровых зарядов зажигательного патрона воспламеняют при догорании пороховой нити второго отрезка огнепроводного шнура, причем изложенную последовательность поджигания отрезков огнепроводного шнура, соединяющих зажигательные патроны, пучков зажигательных трубок и воспламенения зажигательного состава зажигательных патронов повторяют в направлении инициирования шпуровых зарядов, за исключением последнего зажигательного патрона, кроме того, минимальную длину зажигательной трубки в каждом зажигательном патроне принимают равной минимальной длине зажигательной трубки первого по направлению инициирования шпуровых зарядов зажигательного патрона, а разницу в длине зажигательных трубок каждого зажигательного патрона, за исключением последнего по направлению инициирования шпуровых зарядов, принимают равной отношению длины отрезка огнепроводного шнура, соединяющего два зажигательных патрона, к количеству зажигательных трубок зажигательного патрона, расположенного в направлении, противоположном инициированию шпуровых зарядов.
Соединение зажигательных патронов отрезком огнепроводного шнура по направлению инициирования шпуровых зарядов путем ввода его концов в зажигательные патроны увеличивает интервал времени между взрывами двух шпуровых зарядов, инициируемых зажигательной трубкой максимальной длины первого по направлению инициирования шпуровых зарядов зажигательного патрона и зажигательной трубкой минимальной длины второго по направлению инициирования шпуровых зарядов зажигательного патрона за счет дополнительного времени, затрачиваемого на горение соединяющего зажигательные патроны отрезка огнепроводного шнура. Это позволяет уменьшить длину зажигательной трубки минимальной длины второго по направлению инициирования шпуровых зарядов зажигательного патрона по сравнению с прототипом, увеличивая количество укорачиваемых зажигательных трубок в пределах максимально допустимой длины зажигательной трубки и количество шпуровых зарядов, взрываемых за один прием, что способствует достижению технического результата.
Последовательное воспламенение зажигательных патронов увеличивает суммарное время горения комплекта зажигательных трубок за счет дополнительного времени на передачу импульса инициирования между зажигательными патронами. Это увеличивает объем отбойки полезного ископаемого за один прием взрывания шпуровых зарядов в результате увеличения их количества при обеспечении безопасности инициирования шпуровых зарядов, веса заряда на одну ступень замедления не более веса шпурового заряда и интервала времени между взрывами шпуровых зарядов не менее 5-10 с.
Одновременное поджигание конца первого отрезка огнепроводного шнура, соединяющего первый и второй по направлению инициирования шпуровых зарядов зажигательные патроны, с первым пучком зажигательных трубок первого зажигательного патрона, при догорании пороховой нити первого отрезка огнепроводного шнура воспламеняют зажигательный состав второго по направлению инициирования шпуровых зарядов зажигательного патрона, поджигая конец второго отрезка огнепроводного шнура, соединяющего второй и третий зажигательные патроны, одновременно со вторым пучком зажигательных трубок второго зажигательного патрона, при догорании пороховой нити второго отрезка огнепроводного шнура воспламеняют зажигательный состав третьего по направлению инициирования шпуровых зарядов зажигательного патрона, причем изложенную последовательность поджигания отрезков огнепроводного шнура, пучков зажигательных трубок и воспламенения зажигательного состава зажигательных патронов повторяют в направлении инициирования шпуровых зарядов, за исключением последнего зажигательного патрона.
Изложенный признак создает интервал времени между началом горения отрезка огнепроводного шнура максимальной длины первого зажигательного патрона и началом горения отрезка огнепроводного шнура минимальной длины второго зажигательного патрона, соответствующий времени горения пороховой нити отрезка огнепроводного шнура, соединяющего первый и второй зажигательные патроны. Это уменьшает длину зажигательных трубок, увеличивая их количество, что направлено на достижение технического результата – возрастает объем отбойки полезного ископаемого за один прием взрывания шпуровых зарядов в результате увеличения их количества при обеспечении безопасности инициирования шпуровых зарядов, веса заряда взрывчатого вещества на одну ступень замедления не более веса шпурового заряда и времени между взрывами шпуровых зарядов не менее 5-10 с.
Равенство минимальной длины зажигательной трубки каждого зажигательного патрона минимальной длине зажигательной трубки первого по направлению инициирования шпуровых зарядов зажигательного патрона уменьшает по сравнению с прототипом минимальную длину зажигательной трубки в каждом зажигательном патроне, кроме первого по направлению инициирования шпуровых зарядов. Это увеличивает количество зажигательных трубок в пределах максимально допустимой длины огнепроводного шнура, число взрываемых шпуровых зарядов и объем отбойки полезного ископаемого за один прием, обеспечивает вес заряда взрывчатого вещества на одну ступень замедления не более веса шпурового заряда, интервал времени между взрывами шпуровых зарядов не более 5-10 с и направлено на достижение технического результата.
Разница в длине зажигательных трубок каждого зажигательного патрона, за исключением последнего по направлению инициирования шпуровых зарядов, принимаемая равной отношению длины отрезка огнепроводного шнура, соединяющего два зажигательных патрона, к количеству зажигательных трубок зажигательного патрона, расположенного в направлении, противоположном инициированию шпуровых зарядов, обеспечивает интервал времени для взрывания шпурового заряда, инициируемого зажигательной трубкой минимальной длины, после взрыва шпурового заряда, инициируемого зажигательной трубкой максимальной длины, установленного в предшествующем по направлению инициирования зажигательном патроне. При этом все шпуровые заряды инициируют в заданной последовательности с определенным интервалом времени между взрывами, обеспечивая достижение технического результата.
Совокупность функционирования изложенных признаков объясняется следующим образом.
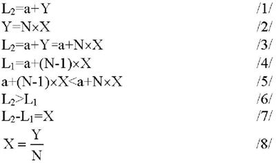
Интервал времени между взрывами двух последовательно инициируемых шпуровых зарядов при использовании зажигательной трубки максимальной длины «L1» первого в направлении инициирования шпуровых зарядов зажигательного патрона и суммарной длины «L2», состоящей из зажигательной трубки минимальной длины второго зажигательного патрона «а» и отрезка огнепроводного шнура, соединяющего эти два зажигательных патрона «Y», обеспечивается в соответствии с выражениями:

где N – количество зажигательных трубок в зажигательном патроне, шт.;
Х – разница в длине зажигательных трубок, м.
Таким образом, совокупность отличительных признаков в заявляемом изобретении обеспечивает достижение технического результата. Более того, количество взрываемых за один прием шпуровых зарядов и разрушаемый ими объем полезного ископаемого могут быть неограниченны. Это дополнительно повышает качество взрыва и эффективность взрывных работ.
Достижение технического результата заявляемого изобретения рассмотрим на примере инициирования шпуровых зарядов при ведении взрывных работ в подземных условиях по многолетнемерзлым пластам песков (Емельянов В.И., Мамаев Ю.А., Кудлай Е.Д. Подземная разработка многолетнемерзлых россыпей. М.: Недра, 1982 г., 240 с., стр.126, рис.6.7(д)).
Условия для расчета
Длина взрываемого очистного забоя (лавы) 60,0 м. Мощность пласта многолетнемерзлых песков 2,8 м. Схема расположения шпуров – шахматная в верхней 2/3 части, с дополнительным шпуром по почве пласта. Расстояние между двумя парами (смещенных по мощности пласта) шпуров по длине лавы 1,2 м. Глубина шпуров 1,9 м. Максимально предельная длина зажигательной трубки 4,0 м (Кутузов Б.Н. Безопасность взрывных работ в промышленности. М.: Недра, 1977 г., стр.94). Подвигание очистного забоя за взрыв 1,7 м. Общее количество взрываемых шпуров по всей длине лавы составляет 60,0 м/1,2 м ×4,0-4,0=196,0 шпуров, объем отбойки песков по всей длине лавы 60,0 м=2,8×60×1,7=285,6 м3.
1) Взрывание лавы с использованием способа инициирования шпуровых зарядов по прототипу.
В соответствии со схемой расположения шпуров выбираем количество зажигательных трубок в одном пучке (зажигательном патроне) 4 шт.Зажигательный патрон (ЗП) размещают по линии между шпурами 1-4 и 2-3. Расстояние между шпурами (в плане) составляет: 1-2 – 0,95 м, 3-4 – 0,95 м, 1-4 – 0,92 м, 2-3 – 2,2 м. Первым в шпур устанавливают патрон ВВ длиной 0,2 м, затем патрон-боевик. При длине шпура 1,9 м длина участка зажигательной трубки в шпуре составляет 1,7 м, между устьем шпура 1 и зажигательным патроном (ЗП) 0,7 м, итого: 1,7+0,7=2,4 м. Минимальная длина зажигательной трубки составляет 2,4 м. При разнице в длине зажигательных трубок 0,1 м общее количество взрываемых шпуров за один прием составляет (4,0 м-2,4 м)/0,10 м+1,0=17,0 шпуров. Объем отбойки песков при взрывании 17,0 шпуров составляет 285,6 м3/196 шпуров ×17,0 шпуров=24,8 м3. Таким образом, для того чтобы взорвать лаву по всей ее длине 60,0 м с объемом песков 285,6 м3, взрывание необходимо производить в несколько приемов. Количество этих приемом равно 196 шпуров/17 шпуров=11,5=12,0 приемов.
После каждого очередного взрыва очистной забой проветривают (30,0 мин), приводят в безопасное состояние (20,0 мин) и выполняются подготовительные операции перед заряжанием шпуров (10,0 мин). Итого, после каждого очередного приема взрывания шпуровых зарядов затрачивается дополнительно 60,0 мин (1 час) времени или 720,0 мин (12,0 часов) на всю лаву (60,0 мин ×12,0 приемов взрыва или 1,0 час ×12,0 приемов). Общее время заряжания шпуров (продолжительность заряжания одного шпура 3,0 мин) составляет 3,0 мин ×196,0 шпуров=588,0 мин. Общее время инициирования (взрывания) составит 10,0 с×196 шпуров – 1960,0 с/60,0 с=32,7=33,0 мин.
Общее время взрывания песков по всей длине лавы при инициировании шпуровых зарядов по прототипу равно 720,0 мин+588,0 мин+33,0 мин=1341,0 мин.
2) Взрывание лавы с использованием способа инициирования шпуровых зарядов по заявке на изобретение.
В соответствии со схемой расположения шпуров выбираем количество зажигательных трубок в одном зажигательном патроне 4 шт., которые инициируют группы шпуровых зарядов. Группа 1 – 1, 2, 3, 4, группа 2 – 5, 6, 7, 8 и так далее. Зажигательные патроны в группе 1 располагают в точке пересечения линий, соединяющих шпуры 1 и 4, 2 и 3 (в плане). Расстояние между шпурами и зажигательным патроном (ЗП) в группе 1 составляет: 1 и 4 – 0,46 м, 2 и 3 – 1,1 м (в плане). При такой же глубине шпура, как и в прототипе (1,9 м), длине зажигательной трубки в шпуре 1,7 м минимальная длина зажигательной трубки составит 2,4 м (1,7 м+0,7 м=2,4 м).
Расстояние между двумя зажигательными патронами в плане в направлении инициирования шпуровых зарядов составляет 1,2 м, длина отрезка огнепроводного шнура, соединяющего эти зажигательные патроны, равна 1,6 м. Поэтому разница в длине зажигательных трубок в зажигательном патроне составляет: 1,6 м/4 шт.=0,4 м. Тогда длина зажигательных трубок в зажигательном патроне равна: минимальная длина 2,4 м, длина второй зажигательной трубки 2,8 м (2,4 м+0,4 м=2,8 м), длина третьей зажигательной трубки 3,2 м (Расчет=2,8 м+0,4 м=3,2 м), максимальная длина зажигательной трубки (четвертой) 3,6 м (Расчет=3,2 м+0,4 м=3,6 м).
Суммарная длина зажигательной трубки минимальной длины и отрезка огнепроводного шнура, соединяющего два зажигательных патрона в направлении инициирования шпуровых зарядов, равна:
L2=Y+а=1,6 м+2,4 м=4,0 м
Длина зажигательной трубкой максимальной длины предшествующего зажигательного патрона равна:
L1=a+(N-1)×X=2,4 м+(4 шт.-1)×0,4 м=2,4 м+1,2 м=3,6 м
Последовательность взрывания обеспечивается, так как:
L2-L1=4,0 м-3,6 м=0,4 м
и
Х=Y/N=1,6 м/4 шт.=0,4 м
Взрывание лавы по всей ее длине 60,0 м с объемом отбойки песков 285,6 м3 по заявляемому изобретению обеспечивается за один прием.
Время заряжания шпуров 196 шт.×3 мин=588,0 мин. Время инициирования (взрывания) шпуровых зарядов 40,0 с ×196 шт./60,0 с=130,7 мин=131,0 мин. Проветривания и приведения забоя в безопасное состояние 60,0 мин. Общее время взрывных работ по отбойке песков по всей длине лавы составляет: 588,0 мин+131,0 мин+60,0 мин=779,0 мин.
3) Таким образом, использование предлагаемого способа взрывания позволяет сократить количество приемов взрывания шпуровых зарядов в 12 раз, увеличить количество взрываемых шпуровых зарядов за один прием с 17,0 до 196,0 шпуров или в 11,5 раз, объем отбойки песков за один прием взрывания шпуровых зарядов увеличивается с 24,8 м3 до 285,6 м3 или в 11,5 раз, а общее время взрывания песков по всей длине лавы в сравнении с прототипом уменьшается с 1341,0 мин до 779,0 мин или в 1,72 раза.
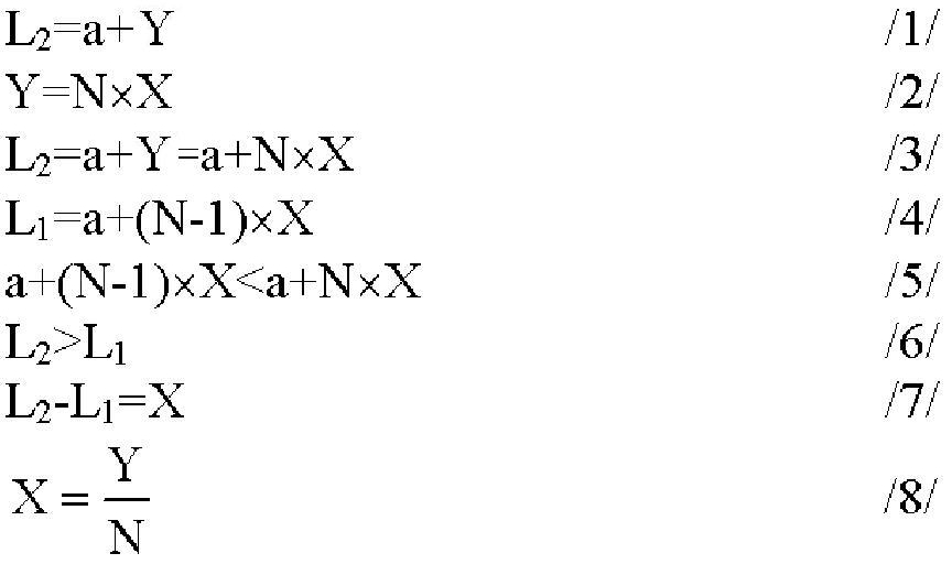
Предлагаемый способ поясняется чертежом, на котором показана схема соединения средств взрывания. Цифрами 1, 2, 3 10, 11, 12 обозначены зажигательные трубки, при этом зажигательные трубки минимальной длины – 1, 5, 9, максимальной длины – 4, 8, 12, пучки зажигательных трубок – 13, 14, 15, зажигательные патроны – 16, 17, 18, отрезки огнепроводного шнура, соединяющие зажигательные патроны в направлении инициирования шпуровых зарядов, – 19, 20, отрезок огнепроводного шнура электровоспламенительной трубки – 21, электрозажигатель – 22, электрические провода электровоспламенительной трубки – 23, электрические провода электровзрывной сети – 24, источник электрического тока – 25.
Способ осуществляется следующим образом. Шпуры заряжают взрывчатым веществом с зажигательными трубками 1, 2, 3 10, 11, 12, которые собирают в пучки 13, 14, 15 и после их укорачивания устанавливают в зажигательные патроны 16, 17, 18. Эти патроны соединяют отрезками огнепроводного шнура 19, 20 по направлению инициирования шпуровых зарядов путем ввода их концов в зажигательные патроны 16, 17, 18, а в первый по направлению инициирования шпуровых зарядов зажигательный патрон 16 вводят отрезок огнепроводного шнура электровоспламенительной трубки 21. Минимальную длину зажигательных трубок 1, 5, 9 в каждом зажигательном патроне 16, 17, 18 принимают равной минимальной длине зажигательной трубки 1 первого по направлению инициирования шпуровых зарядов зажигательного патрона 16.
Разницу в длине зажигательных трубок 1, 2, 3, 4 в первом зажигательном патроне принимают равной отношению длины отрезка огнепроводного шнура 19, соединяющего первый и второй зажигательные патроны 16 и 17, по направлению инициирования шпуровых зарядов, к количеству зажигательных трубок в зажигательном патроне 16 со стороны, противоположной направлению инициирования шпуровых зарядов. Разницу в длине зажигательных трубок 5, 6, 7, 8 второго зажигательного патрона 17 принимают равной отношению длины отрезка огнепроводного шнура 20, соединяющего по направлению инициирования шпуровых зарядов зажигательные патроны 17 и 18, к количеству зажигательных трубок в зажигательном патроне 17 со стороны, противоположной направлению инициирования шпуровых зарядов. Разницу в длине зажигательных трубок 9, 10, 11, 12 в зажигательном патроне 18 принимают равной разнице в длине зажигательных трубок в зажигательном патроне 17.
Электрические провода 23 электрозажигателя 22 соединяют с источником электрического тока 25 электрическими проводами электровзрывной сети 24.
Зажигательные патроны 16, 17, 18 воспламеняют последовательно в направлении инициирования шпуровых зарядов.
При подаче электрического тока от источника 25 к электрозажигателю 22 поджигают отрезок огнепроводного шнура 21 электровоспламенительной трубки, который воспламеняет зажигательный состав зажигательного патрона 16, а последний поджигает пучок зажигательных трубок 13 одновременно с отрезком огнепроводного шнура 19, соединяющего первый и второй зажигательные патроны 16 и 17.
При догорании пороховой нити отрезка огнепроводного шнура 19 воспламеняют зажигательный состав второго но направлению инициирования шпуровых зарядов зажигательного патрона 17, который поджигает пучок зажигательных трубок 14 одновременно с отрезком огнепроводного шнура 20, соединяющим второй и третий зажигательные патроны 17 и 18.
Импульс для непосредственного инициирования шпуровых зарядов передают при догорании пороховой нити отрезков огнепроводного шнура и взрываний капсюлей-детонаторов зажигательных трубок 1, 2, 3, 10, 11, 12. Последовательность и интервал инициирования шпуровых зарядов в пределах пучков зажигательных трубок 13, 14, 15, установленных в зажигательные патроны 16, 17, 18, обеспечивают разницей в длине этих зажигательных трубок. Последовательность и интервал замедления при взрывания шпуровых зарядов, инициируемых зажигательными трубками максимальной и минимальной длины (4 и 5, 8 и 9), расположенных в смежных зажигательными патронах (16 и 17, 17 и 18), обеспечивают превышением суммарной длины отрезка огнепроводного шнура, соединяющего зажигательные патроны 16 и 17, и минимальной длины зажигательной трубки 5 над максимальной длиной зажигательной трубки 4, а также превышением суммарной длины отрезка огнепроводного шнура 20 и минимальной длины зажигательной трубки 9 над максимальной длиной зажигательной трубки 8.
Формула изобретения
Способ инициирования шпуровых зарядов, включающий заряжание шпуров взрывчатым веществом с зажигательными трубками, укорачивание и установку их пучками в зажигательные патроны, ввод в первый по направлению инициирования шпуровых зарядов зажигательный патрон отрезка огнепроводного шнура электровоспламенительной трубки, установление связи между зажигательными патронами, соединение электрических проводов электрозажигателя с источником электрического тока проводами электровзрывной сети, подачу электрического тока к электрозажигателю, поджигание отрезка огнепроводного шнура электровоспламенительной трубки, воспламенение зажигательного состава зажигательного патрона, поджигание пучка зажигательных трубок при воспламенении зажигательного состава зажигательных патронов, инициирование капсюлей-детонаторов при догорании пороховой нити отрезка огнепроводного шнура зажигательной трубки и взрывание шпуровых зарядов, отличающийся тем, что зажигательные патроны соединяют между собой по направлению инициирования шпуровых зарядов отрезками огнепроводного шнура путем ввода их концов в зажигательные патроны, которые воспламеняют последовательно, при этом конец первого отрезка огнепроводного шнура, соединяющего первый и второй по направлению инициирования шпуровых зарядов зажигательные патроны, поджигают одновременно с первым пучком зажигательных трубок первого зажигательного патрона зажигательный состав второго по направлению инициирования шпуровых зарядов зажигательного патрона воспламеняют при догорании пороховой нити первого отрезка огнепроводного шнура, поджигая конец второго отрезка огнепроводного шнура, соединяющего второй и третий зажигательные патроны, одновременно со вторым пучком зажигательных трубок второго зажигательного патрона, зажигательный состав третьего по направлению инициирования шпуровых зарядов зажигательного патрона воспламеняют при догорании пороховой нити второго отрезка огнепроводного шнура, причем изложенную последовательность поджигания отрезков огнепроводного шнура, соединяющих зажигательные патроны, пучков зажигательных трубок и воспламенения зажигательно состава зажигательных патронов повторяют в направлении инициирования шпуровых зарядов, за исключением последнего зажигательного патрона, кроме того, минимальную длину зажигательной трубки каждого зажигательного патрона принимают равной минимальной длине зажигательной трубки первого по направлению инициирования шпуровых зарядов зажигательного патрона, а разницу в длине зажигательных трубок каждого зажигательного патрона, за исключением последнего по направлению инициирования шпуровых зарядов, принимают равной отношению длины отрезка огнепроводного шнура, соединяющего два зажигательных патрона, к количеству зажигательных трубок зажигательного патрона, расположенного в направлении, противоположном инициированию шпуровых зарядов.
РИСУНКИ
|
|