Патент на изобретение №2379530

Published by on




РОССИЙСКАЯ ФЕДЕРАЦИЯ



ФЕДЕРАЛЬНАЯ СЛУЖБА
ПО ИНТЕЛЛЕКТУАЛЬНОЙ СОБСТВЕННОСТИ,
ПАТЕНТАМ И ТОВАРНЫМ ЗНАКАМ
(19) RU (11) 2379530 (13) C1
(51) МПК

F02B63/04 (2006.01)
H02N2/18 (2006.01)

(12) ОПИСАНИЕ ИЗОБРЕТЕНИЯ К ПАТЕНТУ

Статус: по данным на 17.09.2010 – действует

(21), (22) Заявка: 2008141226/06, 17.10.2008

(24) Дата начала отсчета срока действия патента:

17.10.2008

(46) Опубликовано: 20.01.2010

(56) Список документов, цитированных в отчете о
поиске:
RU 2006138304 A, 05.10.2008. RU 2244373 C1, 10.01.2005. RU 2297710 C1, 20.04.2007. RU 93017395 A, 10.06.1996. DE 2713548 A1, 05.10.1978. GB 2219671 A, 13.12.1989. US 4005319 A, 25.01.1987. DE 3546388 A, 06.08.1987.

Адрес для переписки:

394064, г.Воронеж-64, ул.Старых Большевиков, 54А, ВАИУ, НИО, Г.Г. Косареву

(72) Автор(ы):

Косарев Григорий Геннадьевич (RU)

(73) Патентообладатель(и):

Косарев Григорий Геннадьевич (RU)

(54) СПОСОБ ГЕНЕРИРОВАНИЯ ЭЛЕКТРИЧЕСКОЙ ЭНЕРГИИ В ПОРШНЕВОМ ДВИГАТЕЛЕ ВНУТРЕННЕГО СГОРАНИЯ И ЭЛЕКТРОГЕНЕРАТОР

(57) Реферат:

Изобретение относится к приспособлениям поршневых двигателей внутреннего сгорания (ДВС) для получения электроэнергии, питающей электрооборудование автомобиля. Способ генерирования электрической энергии в ДВС основан на преобразовании кинетической энергии выхлопных газов ДВС в электрическую. Кинетическая энергия пульсации выхлопных газов ДВС преобразуется в электрические импульсы. Преобразование происходит с помощью пьезоэлектрических преобразователей. Пьезоэлектрические преобразователи имеют разную частоту собственных колебаний за счет разной массы подвижных частей. Разные массы подвижных частей обеспечивают постоянную работу хотя бы одного из пьезоэлектрических преобразователей в режиме резонанса. Электрические импульсы преобразуются в постоянное стабилизированное напряжение. Для генерирования электрической энергии используется электрогенератор. Электрогенератор установлен в выхлопных патрубках ДВС. Электрогенератор содержит пьезоэлектрические преобразователи и блок преобразования электрических импульсов в постоянное стабилизированное напряжение. Выходы пьезоэлектрических преобразователей соединены с соответствующими входами блока преобразования электрических импульсов. Выход блока преобразования электрических импульсов соединен с электрической системой автомобиля. Технический результат заключается в создании надежного электрогенератора для питания электрической системы автомобиля на всех режимах работы ДВС, отказе от механического отбора энергии с ДВС, обеспечении экономии топлива и повышении экологичности двигателя. 2 н.п. ф-лы, 1 ил.

Изобретение относится к приспособлениям поршневых ДВС для получения электроэнергии, питающей электрооборудование автомобиля.

Из уровня техники известна заявка на изобретение способа генерирования электрической энергии в поршневом двигателе внутреннего сгорания (заявка 2006138304, кл. F02B 63/04, опубл. 2008.05.10). Способ основан на преобразовании на тактах всасывания и рабочего хода кинетической энергии движения поршней в электрическую путем линейного перемещения последних с расположенными на них постоянными кольцевыми магнитами вдоль цилиндров, на внутренней поверхности которых смонтированы статорные обмотки.

Недостатком способа является уменьшение мощности ДВС за счет увеличения массы поршней и отрицательное влияние на ход поршней магнитной индукции.

Недостатком таких способа и устройства является неспособность вырабатывать достаточное количество электроэнергии на малых оборотах ДВС, что приводит к необходимости в режиме холостого хода использовать обычный генератор.

Технической задачей изобретения является создание надежного электрогенератора для питания электрической системы автомобиля на всех режимах работы ДВС, который позволит отказаться от механического отбора энергии с ДВС, обеспечит экономию топлива и повысит экологичность двигателя.

Технический результат изобретения по способу достигается тем, что в способе генерирования электрической энергии в поршневом двигателе внутреннего сгорания, основанном на преобразовании кинетической энергии выхлопных газов ДВС в электрическую, преобразуют кинетическую энергию пульсации выхлопных газов ДВС с помощью пьезоэлектрических преобразователей, имеющих разную частоту собственных колебаний за счет разной массы подвижных частей, в связи с чем хотя бы один из пьезоэлектрических преобразователей работает в режиме резонанса, в электрические импульсы, которые преобразуют в постоянное стабилизированное напряжение.

Способ реализуется в электрогенераторе, установленном в выхлопных патрубках ДВС, содержащем пьезоэлектрические преобразователи, имеющие разную частоту собственных колебаний за счет разной массы подвижных частей, и блок преобразования электрических импульсов в постоянное стабилизированное напряжение, при этом выходы пьезоэлектрических преобразователей соединены с соответствующими входами блока преобразования электрических импульсов в постоянное стабилизированное напряжение, выход которого соединен с электрической системой автомобиля.

Существенными отличительными признаками, отраженными в формуле изобретения, по способу является следующая совокупность действий: преобразуют кинетическую энергию пульсации выхлопных газов ДВС с помощью пьезоэлектрических преобразователей, имеющих разную частоту собственных колебаний за счет разной массы подвижных частей, в электрические импульсы, используя эффект резонанса; преобразуют электрические импульсы в постоянное стабилизированное напряжение.

По устройству – наличие пьезоэлектрических преобразователей с разной частотой собственных колебаний за счет разной массы подвижных частей и блока преобразования электрических импульсов в постоянное стабилизированное напряжение.

Технический результат изобретения достигнут при использовании эффекта резонанса пьезоэлектрических преобразователей за счет использования существующих и новых элементов и новых связей между ними.

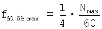
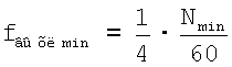
Частота выхлопа в патрубке цилиндра ДВС определяется выражением , где N – частота оборотов ДВС, об/мин. В зависимости от режима работы двигателя частота выхлопа может принимать значения от минимального , имеющей место на холостых оборотах двигателя, до – при максимальных оборотах.

Наиболее сложным режимом работы ДВС с точки зрения генерирования электрической энергии является режим холостого хода, которому свойственны малые частота и кинетическая энергия выхлопа.

Для возможности питания электрической системы автомобиля на холостом ходу предлагается использовать явление резонанса.

Частота собственных колебаний пьезоэлектрического преобразователя без учета потерь на генерирование электрической энергии и трения подвижных частей (сопротивление колебанию влияет на амплитуду и не влияет на частоту) выражается следующей формулой , где k – коэффициент жесткости пьезоэлемента, m – масса инерционной подвижной части пьезоэлектрического преобразователя.

Условие возникновения резонанса или , откуда масса инерционной подвижной части пьезоэлектрического преобразователя выражается .

Предлагается устанавливать на каждый выхлопной патрубок I пьезоэлектрических преобразователей, имеющих массы инерционных подвижных частей . Тогда частоты собственных колебаний пьезоэлектрических преобразователей будут соотноситься . Таким образом, на всем диапазоне режимов работы ДВС хотя бы один пьезоэлектрический преобразователь будет находиться в резонансе.

На чертеже представлена схема электрогенератора.

В выхлопном патрубке 1 цилиндра ДВС установлен корпус блока пьезоэлектрических преобразователей 2, выполненный из материала с низкой теплопроводностью, в котором размещены термостойкие пьзоэлементы 3 с токосъемными пластинами, приклеенные с одной стороны через эластичные диэлектрические прокладки 4 к инерционным подвижным частям 5, 6, 7, выполненным из материала с низкой теплопроводностью и имеющим различную массу, причем , где k – коэффициент жесткости пьезоэлемента, N – частота оборотов ДВС, об/мин, а с другой – к электроизоляционной подложке 8; одни токосъемные пластины термостойких пьзоэлементов 3 закорочены на массу, а другие соединены с соответствующими входами блока 9 преобразования электрических импульсов в постоянное стабилизированное напряжение, выход которого соединен с электрической системой автомобиля.

Устройство работает следующим образом.

При выхлопе из цилиндра ДВС в выхлопном патрубке 1 проходит фронт возрастания давления Р. На рабочей поверхности инерционных подвижных частей 5, 6, 7 создается сила F=P·S, где S – площадь рабочей поверхности инерционной подвижной части. Сила F придает ускорение инерционным подвижным частям 5, 6, 7, которые через эластичные диэлектрические прокладки 4 создают усилие сжатия на термостойких пьзоэлементах 3, на токосъемных пластинах которых создаются разности потенциалов, которые в виде импульса положительной полярности поступают на соответствующие входы блока 9 преобразования электрических импульсов в постоянное стабилизированное напряжение. После прохода выхлопа давление в выхлопном патрубке 1 снижается, и инерционным подвижным частям 5, 6, 7 придается противоположное по знаку ускорение усилием со стороны пьезоэлемента 3 F1=-k·x, где k – коэффициент жесткости, x – величина сжатия пьезоэлемента. Противоположное по знаку ускорение инерционных подвижных частей 5, 6,7 вызывает усилие растяжения термостойких пьзоэлементов 3, за счет чего с их токосъемных пластин в соответствующие входы блока 9 преобразования электрических импульсов в постоянное стабилизированное напряжение проходят импульсы отрицательной полярности. Каждый пьезоэлектрический преобразователь имеет свою отличающуюся от других частоту собственных колебаний ,

где mi – масса инерционной подвижной части i-го пьезоэлектрического преобразователя, причем и, следовательно, , где N – частота оборотов ДВС, об/мин. Таким образом, при любой частоте оборотов ДВС найдется i-й пьезоэлектрический преобразователь, частота собственных колебаний которого равна или близка частоте выхлопа. Другими словами, хотя бы один пьезоэлектрический преобразователь будет находиться в режиме резонанса и генерировать основную долю электрической энергии в виде чередующихся импульсов положительной и отрицательной полярности. Последовательность импульсов преобразуется в блоке 9 преобразования электрических импульсов в постоянное стабилизированное напряжение, с выхода которого электрическая энергия поступает в электрическую систему автомобиля.

Формула изобретения

1. Способ генерирования электрической энергии в поршневом двигателе внутреннего сгорания (ДВС), основанный на преобразовании кинетической энергии выхлопных газов ДВС в электрическую, отличающийся тем, что преобразуют кинетическую энергию пульсации выхлопных газов ДВС с помощью пьезоэлектрических преобразователей, имеющих разную частоту собственных колебаний за счет разной массы подвижных частей, в связи с чем, хотя бы один из пьезоэлектрических преобразователей работает в режиме резонанса, в электрические импульсы, которые преобразуют в постоянное стабилизированное напряжение.

2. Электрогенератор, установленный в выхлопных патрубках поршневого двигателя внутреннего сгорания, отличающийся тем, что содержит пьезоэлектрические преобразователи, имеющие разную частоту собственных колебаний за счет разной массы подвижных частей, и блок преобразования электрических импульсов в постоянное стабилизированное напряжение, при этом выходы пьезоэлектрических преобразователей соединены с соответствующими входами блока преобразования электрических импульсов в постоянное стабилизированное напряжение, выход которого соединен с электрической системой автомобиля.

РИСУНКИ

Categories: BD_2379000-2379999