Патент на изобретение №2166819
|
||||||||||||||||||||||||||
(54) ОПТИЧЕСКИЙ ЭЛЕМЕНТ ЛАЗЕРНОГО РЕЗОНАТОРА
(57) Реферат: Изобретение относится к лазерной технологии, более конкретно – к лазерным резонаторам. Устройство представляет собой отражательный дифракционный элемент, содержащий подложку и нанесенный на ее рабочую поверхность периодический металлический рельеф с периодом меньше длины волны излучения. Направление штрихов рельефа образует с желательным направлением вектора электрического поля угол меньше 15o. Ширина d и высота h выступов рельефа определяются формулами ![]() ![]() где Т – период рельефа; n – показатель преломления подложки; – длина волны излучения. Технический результат изобретения: создание оптического элемента лазерного резонатора с высокой селективностью к излучению с азимутальной или радиальной поляризацией и обеспечение высокой отражательной способности и лучевой стойкости указанного элемента. 5 з.п. ф-лы, 2 табл., 4 ил.
Изобретение относится к лазерной оптикe, более конкретно – к лазерным резонаторам. Известен оптический элемент в составе резонатора лазера [1]. Он имеет хорошо отполированную поверхность, высокий коэффициент отражения и используется в качестве глухого или поворотного зеркал. Недостатком такого элемента является то, что он не обладает селективностью по поляризации излучения, т.е. коэффициент отражения излучения любой поляризации от его поверхности одинаков. Лазерное излучение, выходящее из резонатора, содержащего только элементы, не обладающие селективностью по поляризации, имеет случайную, неконтролируемую поляризацию. В то же время известно, что поляризация излучения существенно влияет на параметры лазерной обработки металлов [2]. При использовании излучения со случайной поляризацией для лазерной обработки металлов (резки, сварки, пробивки отверстий) коэффициент поглощения излучения на стенках канала K равен среднему арифметическому от коэффициентов поглощения P- и S-волн, K = (Kp + Ks)/2 (P- и S-волны отличаются ориентацией вектора электрического поля по отношению к плоскости падения излучения на поверхность [3]). При больших углах падения коэффициенты поглощения для P- и S-волн сильно отличаются, так что K 0.5 Kp. Потенциальные возможности поглощения лазерного излучения, заложенные в механизме поглощения P-волны, не реализуются. Другим серьезным недостатком является то, что случайное, неконтролируемое состояние поляризации приводит к большой нестабильности параметров и качества обработки.
При передаче излучения по металлическому круглому волноводу поглощение излучения, соответствующее K=(Kp + Ks)/2, также неоптимально. Оно значительно выше физически возможного минимального значения, связанного с поглощением S-волны.
Известен оптический элемент лазерного резонатора [4], выполненный в виде линейной металлической дифракционной решетки. Штрихи решетки нанесены вдоль прямых линий, параллельных друг другу.
Такой элемент обладает селективностью по поляризации излучения, т.е. коэффициент отражения излучения для поляризации с направлением вектора электрического поля вдоль штрихов решетки отличается от коэффициента отражения излучения для поляризации с направлением вектора электрического поля поперек штрихов решетки. Любая поперечная мода резонатора может иметь линейную поляризацию в любом направлении, так что даже очень небольшой поляризационной селективности оказывается достаточно, чтобы лазерное излучение, выходящее из резонатора, содержащего такой элемент, имело стабильную, контролируемую линейную поляризацию, с вектором электрического поля, направленным вдоль штрихов решетки.
Главным недостатком этого элемента является то, что при его установке в резонатор поляризация лазерного излучения оказывается линейной, с одинаковым направлением вектора электрического поля во всех точках поперечного сечения лазерного луча. При использовании такого излучения для резки и сварки металлов лишь небольшая доля излучения поглощается и идет на разрушение материала. Этот недостаток имеет место при любой взаимной ориентации вектора скорости движения луча и плоскости колебаний вектора E.
В случае, когда вектор скорости движения луча перпендикулярен плоскости колебаний вектора E, коэффициент поглощения излучения на переднем фронте реза мал (соответствует поглощению S-волны).
В случае, когда вектор скорости движения луча параллелен плоскости колебаний вектора E, коэффициент поглощения излучения на переднем фронте реза велик (соответствует поглощению P-волны), однако поглощение на боковых стенках канала мало (соответствует поглощению S-волны), их разрушение неэффективно, что препятствует проникновению луча вглубь материала.
Кроме того, при произвольном направлении движения луча по отношению к плоскости колебаний вектора E параметры реза (глубина, ширина, форма) зависят от направления движения луча, что недопустимо для многих применений.
При передаче такого излучения по металлическому круглому волноводу поглощение излучения неодинаково на стенках волновода, что приводит к большим потерям и к деформации формы луча.
Известен оптический элемент, устанавливаемый в резонатор лазера для создания лазерного излучения с радиальным направлением поляризации [5] (прототип). Он выполнен в виде окна Брюстера конической формы. На выходе резонатора с таким элементом формируется лазерный луч с радиальным направлением поляризации.
Такой элемент имеет ряд недостатков. Один из них – использование проходного оптического элемента, окна Брюстера, сложной формы, в виде конуса. В наиболее широко распространенных технологических лазерах на углекислом газе для изготовления проходных оптических элементов используют кристаллические материалы: селенид цинка, хлористый натрий. Изготовление конуса требует заготовок большого размера, сложной технологии изготовления. Проходные оптические элементы имеют меньшую лучевую стойкость, чем отражательные, и их установка внутри резонатора ограничивает предельную мощность лазера. Излучение, отраженное от внутренней поверхности конуса при падении луча со стороны основания конуса, фокусируется внутри конуса, что может приводить к его лучевому повреждению при высокой мощности лазера. Селективность такого элемента определяется коэффициентом отражения излучения от поверхности конуса и является невысокой, во многих случаях недостаточной. Поскольку только некоторые моды (типа TEMn1*) [6] из множества поперечных мод могут иметь радиальное направление поляризации, речь идет не просто о навязывании радиального направления поляризации, а о селекции тех поперечных мод, которые такую поляризацию могут иметь.
Техническая задача изобретения – создание оптического элемента лазерного резонатора, имеющего высокую селективность к излучению с радиальным или азимутальным направлением поляризации, имеющего высокий коэффициент отражения и лучевую стойкость.
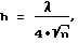
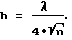
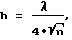
Указанная задача достигается тем, что оптический элемент лазерного резонатора для селекции мод с радиальным или азимутальным направлением поляризации выполнен в виде отражательного дифракционного элемента, содержащего подложку и нанесенный на ее рабочую поверхность периодический металлический рельеф с периодом меньше длины волны излучения. Направление штрихов рельефа образует с направлением вектора электрического поля угол меньше 15o. Ширина d и высота h выступов рельефа определяются формулами![]() ![]() где T – период рельефа; n – показатель преломления подложки; – длина волны излучения.
Для селекции мод с радиальным направлением поляризации рисунок рельефа сформирован из прямых отрезков, в любой точке рабочей поверхности образующих с линией, проведенной от оси резонатора в эту точку, угол меньше 15o. В частности, рисунок рельефа сформирован отрезками прямых линий пересекающихся на оси резонатора. Для обеспечения постоянства периода рельефа предлагается поверхность оптического элемента разделить на сектора с вершинами на оси резонатора, в каждом секторе рисунок рельефа сформирован отрезками прямых, параллельных биссектрисе угла сектора.
Для селекции мод с азимутальным направлением поляризации рисунок рельефа сформирован так, что в любой точке рабочей поверхности направление штрихов образует с линией, проведенной от оси резонатора в эту точку, угол в пределах 90 15o. В частности, рисунок рельефа сформирован концентрическими окружностями с центром на оси резонатора.
Сущность изобретения иллюстрируется фиг. 1-4. Оптический элемент лазерного резонатора выполнен в виде отражательного дифракционного элемента, селективногo по поляризации. На подложке (см. фиг. 1) с показателем преломления n нанесен периодический металлический рельеф. Период рельефа T меньше длины волны излучения . Ширина выступов рельефа d и их высота h определяются по формулам![]() ![]() Рисунок рельефа сформирован из прямых отрезков, в любой точке рабочей поверхности образующих с линией, проведенной от оси резонатора в эту точку, угол меньше 15o. Для селекции мод с радиальным направлением поляризации рисунок рельефа сформирован из прямых отрезков, в любой точке рабочей поверхности образующих с линией, проведенной от оси резонатора в эту точку, угол меньше 15o. В частности, рисунок рельефа сформирован отрезками прямых линий, пересекающихся на оси резонатора (фиг. 2). Для обеспечения постоянства периода рельефа на всей поверхности оптического элемента (см. фиг. 3) эта поверхность разделена на сектора с вершинами на оси резонатора, в каждом секторе рисунок рельефа сформирован отрезками прямых, параллельных биссектрисе угла сектора. Для селекции мод с азимутальным направлением поляризации рисунок рельефа сформирован так, что в любой точке рабочей поверхности направление штрихов образует с линией, проведенной от оси резонатора в эту точку угол в пределах 90 15o. В частности, рисунок рельефа сформирован концентрическими окружностями с центром на оси резонатора (фиг. 4).
Выполненные таким образом оптические элементы имеют высокую поляризационную селективность, близкую к 100%, чем обеспечивается эффективная генерация излучения с радиальным или азимутальным направлением поляризации. Такая конструкция оптического элемента обеспечивает высокую отражательную способность и лучевую стойкость.
Элемент работает следующим образом. В предлагаемом оптическом элементе периодическая структура имеет период меньше длины волны излучения. В этом случае эта структура эквивалентна однородному оптическому слою, толщина которого равна толщине рельефа. Однако оптические параметры этого слоя различны для излучения с вектором электрического поля вдоль линий рельефа и для излучения с вектором электрического поля поперек линий рельефа. Эквивалентные параметры слоя (диэлектрическая проницаемость и показатель преломления ) определяются известными соотношениями для электромагнитных волн на границе раздела двух сред. В нашем случае это воздух и металл, входящие в состав слоя. Общие формулы для имеют вид![]() 1/ ![]() = (1/ в) (dв/T)+(1/ ) (d/T);dв=T-d. (1) Здесь в, – диэлектрическая проницаемость воздуха и нанесенного материала, соответственно; dв, d – ширина впадин (воздушных промежутков) и выступов (металлических полосок), соответственно; T – период. Для воздуха в= 1, для металла 1, и формулы сильно упрощаются![]() ![]() = T/(T-d). (2)Известно, что для металла превышает для диэлектриков на несколько порядков, что и определяет высокие отражательные свойства металла. Величина по формуле остается большой, поэтому сохраняется металлический характер отражения излучения с вектором E, параллельным линиям рельефа. Коэффициент отражения этой поляризации близок 100% и не зависит от толщины слоя.
Для поляризации с вектором E, перпендикулярным линиям рельефа, ![]() сильно зависит от выбираемых параметров рельефа. Поэтому для увеличения поляризационной селективности элемента оптическая толщина слоя h и показатель преломления n = 1 /2 выбираются из условия просветляющего покрытия, обеспечивающего минимальный коэффициент отражения такой поляризации, вплоть до 0%. Необходимо соблюдать два условия для просветляющего покрытия [7]: на показатель преломления слоя n и на оптическую толщину слоя hn = n1/2;h = /(4 n ),здесь n – показатель преломления подложки. Учитывая, что n2 = T/(T-d), получим окончательные формулы![]() ![]() Итак, излучение с вектором E, параллельным линиям рельефа, отражается от предлагаемого оптического элемента с коэффициентом отражения, близким к 100%, характерным для металлических поверхностей. Излучение с вектором E, перпендикулярным линиям рельефа, не отражается, поскольку для этой поляризации подобраны свойства слоя (его показатель преломления и толщина), соответствующие просветляющему покрытию. Большие потери излучения для такой поляризации препятствуют генерации мод с поляризацией, при которой вектор E, перпендикулярен линиям рельефа. Для селекции мод с радиальным или азимутальным направлением поляризации направление штрихов рельефа в любой точке его рабочей поверхности должно совпадать с направлением вектора электрического поля или угол между ними должен быть мал, меньше 15o. При таких углах некоторое снижение качества элемента является несущественным. Численный пример. Возьмем обычные материалы для изготовления глухих зеркал технологических лазеров: подложка из кремния n = 3.4, материал рельефа – медь, длина волны излучения = 10.6 мкм. Выберем период рельефа T < , T = 7 мкм и по формулам (3) находим ширину медных выступов d = 4.95 мкм, а глубина рельефа h = 1.44 мкм. При падении излучения перпендикулярно к поверхности для обычного медного зеркала коэффициент отражения излучения составляет 98.8%, а коэффициент отражения излучения от рельефной поверхности, с вектором E, параллельным линиям рельефа, равен 98.4%. Расчетный коэффициент отражения излучения с вектором E, перпендикулярным линиям рельефа от такой структуры, при соблюдении условий просветляющего слоя равен нулю.
При взаимодействии излучения с поверхностью металла коэффициент отражения зависит от угла падения. И при лазерной обработке металлов большой толщины и при передаче излучения по металлическому круглому волноводу угол падения велик, близок к главному углу, который в свою очередь близок 90o. Проведем оценку положительного эффекта при использования предлагаемого изобретения, взяв для примера угол падения, равный главному углу. В табл. 1 приводятся результаты расчетов по лазерной резке стали: Kp, Ks – коэффициенты поглощения для P- и S-волн, соответственно. Поглощение излучения при использовании луча с радиальным направлением поляризации в два раза больше, чем при использовании излучения с круговой поляризацией.
В табл. 2 приводятся результаты расчетов по передаче излучения по медному волноводу. Потери излучения на стенках волновода при азимутальном направлении поляризации в 800 раз меньше, чем при круговой поляризации.
При использовании излучения с радиальной поляризацией для лазерной обработки металлов (резке, сварке, пробивке отверстий) поглощение на всех стенках происходит по одному и тому же закону, причем коэффициент поглощения имеет максимально возможную величину, соответствующую поглощению P-волны. Происходит более интенсивное разрушение материала. Луч глубже проникает в материал. Предельные параметры обработки увеличиваются за счет повышения эффективности использования лазерного излучения.
Использование предлагаемого оптического элемента лазерного резонатора в лазере для обработки металлов позволяет увеличить параметры резки (толщину обрабатываемого металла или скорость резки) в 1.5-2 раза по сравнению с прототипом.
При передаче излучения с азимутальным направлением поляризации по металлическому круглому волноводу потери на поглощение излучения на стенках соответствуют физически минимальному значению, связанному с поглощением S-волны.
Источники информации1. Технологические лазеры. Справочник/Под ред. Г.А. Абильсиитова.- М.: Машиностроение, 1991, т. 2, с. 272. 2. А. Г. Григорьянц, А.А. Соколов “Лазерная резка металлов”, книга 7 из серии Лазерная техника и технология.- М.: Высшая школа, 1988, с. 56-61; В.П. Гаращук, В.И. Кирсей, В.А. Шинкарев. Влияние поляризации излучения CO2-лазера на геометрические параметры проплава при сварке металлов. Квантовая электроника 13, 12, 1986, с. 2515-2518. 3. Б. М. Яворский, А.А. Детлаф. Справочник по физике.- М.: Наука, 1974, с. 587-589. 4. Физическая энциклопедия.- М.: Советская энциклопедия, 1988 г., том 1, с. 657-660. 5. Chen-Ching Shih, Palos Verdes Estates, Calif “Radial Polarization Laser Resonator” United States Patent # 5359622, Oct. 25, 1994. 6. Справочник по лазерам /Под ред. акад. А.М. Прохорова.- М.: Сов. радио, 1978, т. 2, с. 21. 7. Физическая энциклопедия.- М.: Советская энциклопедия, 1988 г., том 4, с. 149-150. Формула изобретения
![]() ![]() где T – период рельефа; n – показатель преломления подложки; – длина волны излучения.
2. Устройство по п.1, отличающееся тем, что для селекции мод с радиальным направлением поляризации рисунок рельефа сформирован из прямых отрезков, в любой точке рабочей поверхности образующих с линией, проведения от оси резонатора в эту точку, угол меньше 15o.
3. Устройство по п.2, отличающееся тем, что рисунок рельефа сформирован отрезками прямых линий, пересекающихся на оси резонатора.
4. Устройство по п. 2, отличающееся тем, что поверхность оптического элемента разделена на сектора с вершинами на оси резонатора, в каждом секторе рисунок рельефа сформирован отрезками прямых, параллельных биссектрисе угла сектора.
5. Устройство по п.1, отличающееся тем, что для селекции мод с азимутальным направлением поляризации рисунок рельефа сформирован так, что в любой точке рабочей поверхности направление штрихов образует с линией, проведенной от оси резонатора в эту точку, угол в пределах 90 15o.
6. Устройство по п.5, отличающееся тем, что рисунок рельефа сформирован концентрическими окружностями с центром на оси резонатора.
РИСУНКИ
MM4A Досрочное прекращение действия патента Российской Федерации на изобретение из-за неуплаты в установленный срок пошлины за поддержание патента в силе
Дата прекращения действия патента: 10.08.2002
Извещение опубликовано: 10.01.2005 БИ: 01/2005
|
||||||||||||||||||||||||||



– длина волны излучения. Технический результат изобретения: создание оптического элемента лазерного резонатора с высокой селективностью к излучению с азимутальной или радиальной поляризацией и обеспечение высокой отражательной способности и лучевой стойкости указанного элемента. 5 з.п. ф-лы, 2 табл., 4 ил.
0.5
Kp. Потенциальные возможности поглощения лазерного излучения, заложенные в механизме поглощения P-волны, не реализуются. Другим серьезным недостатком является то, что случайное, неконтролируемое состояние поляризации приводит к большой нестабильности параметров и качества обработки.
При передаче излучения по металлическому круглому волноводу поглощение излучения, соответствующее K=(Kp + Ks)/2, также неоптимально. Оно значительно выше физически возможного минимального значения, связанного с поглощением S-волны.
Известен оптический элемент лазерного резонатора [4], выполненный в виде линейной металлической дифракционной решетки. Штрихи решетки нанесены вдоль прямых линий, параллельных друг другу.
Такой элемент обладает селективностью по поляризации излучения, т.е. коэффициент отражения излучения для поляризации с направлением вектора электрического поля вдоль штрихов решетки отличается от коэффициента отражения излучения для поляризации с направлением вектора электрического поля поперек штрихов решетки. Любая поперечная мода резонатора может иметь линейную поляризацию в любом направлении, так что даже очень небольшой поляризационной селективности оказывается достаточно, чтобы лазерное излучение, выходящее из резонатора, содержащего такой элемент, имело стабильную, контролируемую линейную поляризацию, с вектором электрического поля, направленным вдоль штрихов решетки.
Главным недостатком этого элемента является то, что при его установке в резонатор поляризация лазерного излучения оказывается линейной, с одинаковым направлением вектора электрического поля во всех точках поперечного сечения лазерного луча. При использовании такого излучения для резки и сварки металлов лишь небольшая доля излучения поглощается и идет на разрушение материала. Этот недостаток имеет место при любой взаимной ориентации вектора скорости движения луча и плоскости колебаний вектора E.
В случае, когда вектор скорости движения луча перпендикулярен плоскости колебаний вектора E, коэффициент поглощения излучения на переднем фронте реза мал (соответствует поглощению S-волны).
В случае, когда вектор скорости движения луча параллелен плоскости колебаний вектора E, коэффициент поглощения излучения на переднем фронте реза велик (соответствует поглощению P-волны), однако поглощение на боковых стенках канала мало (соответствует поглощению S-волны), их разрушение неэффективно, что препятствует проникновению луча вглубь материала.
Кроме того, при произвольном направлении движения луча по отношению к плоскости колебаний вектора E параметры реза (глубина, ширина, форма) зависят от направления движения луча, что недопустимо для многих применений.
При передаче такого излучения по металлическому круглому волноводу поглощение излучения неодинаково на стенках волновода, что приводит к большим потерям и к деформации формы луча.
Известен оптический элемент, устанавливаемый в резонатор лазера для создания лазерного излучения с радиальным направлением поляризации [5] (прототип). Он выполнен в виде окна Брюстера конической формы. На выходе резонатора с таким элементом формируется лазерный луч с радиальным направлением поляризации.
Такой элемент имеет ряд недостатков. Один из них – использование проходного оптического элемента, окна Брюстера, сложной формы, в виде конуса. В наиболее широко распространенных технологических лазерах на углекислом газе для изготовления проходных оптических элементов используют кристаллические материалы: селенид цинка, хлористый натрий. Изготовление конуса требует заготовок большого размера, сложной технологии изготовления. Проходные оптические элементы имеют меньшую лучевую стойкость, чем отражательные, и их установка внутри резонатора ограничивает предельную мощность лазера. Излучение, отраженное от внутренней поверхности конуса при падении луча со стороны основания конуса, фокусируется внутри конуса, что может приводить к его лучевому повреждению при высокой мощности лазера. Селективность такого элемента определяется коэффициентом отражения излучения от поверхности конуса и является невысокой, во многих случаях недостаточной. Поскольку только некоторые моды (типа TEMn1*) [6] из множества поперечных мод могут иметь радиальное направление поляризации, речь идет не просто о навязывании радиального направления поляризации, а о селекции тех поперечных мод, которые такую поляризацию могут иметь.
Техническая задача изобретения – создание оптического элемента лазерного резонатора, имеющего высокую селективность к излучению с радиальным или азимутальным направлением поляризации, имеющего высокий коэффициент отражения и лучевую стойкость.
Указанная задача достигается тем, что оптический элемент лазерного резонатора для селекции мод с радиальным или азимутальным направлением поляризации выполнен в виде отражательного дифракционного элемента, содержащего подложку и нанесенный на ее рабочую поверхность периодический металлический рельеф с периодом меньше длины волны излучения. Направление штрихов рельефа образует с направлением вектора электрического поля угол меньше 15o. Ширина d и высота h выступов рельефа определяются формулами

15o. В частности, рисунок рельефа сформирован концентрическими окружностями с центром на оси резонатора.
Сущность изобретения иллюстрируется фиг. 1-4. Оптический элемент лазерного резонатора выполнен в виде отражательного дифракционного элемента, селективногo по поляризации. На подложке (см. фиг. 1) с показателем преломления n нанесен периодический металлический рельеф. Период рельефа T меньше длины волны излучения 

и показатель преломления
) определяются известными соотношениями для электромагнитных волн на границе раздела двух сред. В нашем случае это воздух и металл, входящие в состав слоя. Общие формулы для
имеют вид

= (1/
1, и формулы сильно упрощаются
по формуле остается большой, поэтому сохраняется металлический характер отражения излучения с вектором E, параллельным линиям рельефа. Коэффициент отражения этой поляризации близок 100% и не зависит от толщины слоя.
Для поляризации с вектором E, перпендикулярным линиям рельефа, 


