|
|
(21), (22) Заявка: 2007140561/04, 05.05.2006
(24) Дата начала отсчета срока действия патента:
05.05.2006
(30) Конвенционный приоритет:
12.05.2005 US 60/680,084
(43) Дата публикации заявки: 20.06.2009
(46) Опубликовано: 20.01.2010
(56) Список документов, цитированных в отчете о поиске:
US 2002/0160926 A1, 31.10.2002. WO 95/27769 A1, 19.10.1995. US 2001027173 A1, 04.10.2001. US 2003/0153483 A1, 14.08.2003. US 6410501 B1, 25.06.2002. US 20010184 A1, 30.08.2001. RU 2141998 C1, 27.11.1999. RU 2134736 C1, 20.08.1999.
(85) Дата перевода заявки PCT на национальную фазу:
12.12.2007
(86) Заявка PCT:
US 2006/017469 20060505
(87) Публикация PCT:
WO 2006/124338 20061123
Адрес для переписки:
105215, Москва, а/я 26, Щелковское ш., 48-1, пат.пов. Н.А.Рыбиной, рег. 508
|
(72) Автор(ы):
ДЕМЕЙЕР Хуго Жан Мари (BE), СПЕЛТИНККС Кристоф (BE)
(73) Патентообладатель(и):
ДЗЕ ПРОКТЕР ЭНД ГЭМБЛ КОМПАНИ (US)
|
(54) СОСТАВЫ С МЯГЧИТЕЛЕМ ТКАНИ, СТАБИЛЬНЫЕ В УСЛОВИЯХ ЗАМОРАЖИВАНИЯ-РАЗМОРАЖИВАНИЯ
(57) Реферат:
Изобретение относится к химической технологии получения волокнистых материалов, в частности к получению мягчителей тканей, и может быть использовано в текстильной промышленности. Светонепроницаемый состав, добавляемый при полоскании ткани, обладает вязкостью менее 500 мПас после, по меньшей мере, одного цикла замораживания-размораживания и содержит от примерно 5 до примерно 30 мас.% активного компонента, более 5 мас.% полиола, представляющего собой многоатомный спирт, не являющегося этиленгликолем, пропиленгликолем, диэтиленгликолем или дипропиленгликолем, и 0,1-10 мас.% дополнительного мягчителя, выбранного из гидрофобизованного эфира сахарозы, катионного крахмала, аминофункционального силикона или их смесей. Активный компонент представляет собой соединение или смесь соединений, имеющих следующую формулу:

где каждый R – водород, короткоцепочечный C1-С6, поли(С2-3алкокси), бензил или их смеси; m=2 или 3; n=1-4; Y=-O-(O)С- или -С(O)O; сумма атомов углерода в каждом R1=C11-C21, для каждого R1, представляющего собой гидрокарбильную или замещенную гидрокарбильную группу; и X-анион, совместимый с мягчителем; или

где каждый R – водород, короткоцепочечный C1-С6, поли(С2-3алкокси), бензил или их смеси; m=2 или 3; n=1-4; Y=CH2, -NR-C(O)- или -С(O)-NR- и каждый Y одинаковый или различный; сумма атомов углерода в каждом R1 минус (n+1), когда Y это СН2, равна С12-C22, для каждого R1, представляющего собой гидрокарбильную или замещенную гидрокарбильную группу; и Х – любой анион, совместимый с мягчителем; или

где каждый R, R1 и А– имеют значения, приведенные выше; каждый R2 – C1-С6алкиленовая группа; и G – атом кислорода или -NR-. Мягчитель обладает хорошей диспергируемостью и распределяемостью, стабильностью при хранении при низкой или высокой температуре. 2 н. и 7 з.п. ф-лы, 1 табл.
Область техники, к которой относится изобретение
Настоящее изобретение относится к составам с мягчителем ткани, которые стабильны в условиях замораживания-размораживания.
Уровень техники
Традиционные жидкие составы с мягчителем ткани представлены в виде дисперсных коллоидных частиц смягчающего ткань соединения. Составы с мягчителем ткани образуются из дисперсных коллоидных частиц, имеющих сложные, нестабильные структуры. Из-за этой нестабильности существует много проблем, связанных с традиционными жидкими составами с мягчителем ткани. Основными проблемами являются: физическая нестабильность при высоких и низких температурах; при замораживании они необратимо превращаются в гели; трудно получить составы, проявляющие хорошие диспергируемость в промывочной жидкости, осаждение на ткани и распределяемость из распределительного контейнера стиральной машины. Плохая диспергируемость приводит к неровному слою мягчителя на белье и в некоторых случаях приводит к образованию пятен. Эти проблемы усугубляются при добавлении отдушки.
Физическая нестабильность сама по себе проявляется как загустевание состава при хранении до состояния, когда состав перестает литься, и может даже привести к необратимому образованию геля. Образование геля может также происходить в распределительном контейнере стиральной машины, когда температура контейнера увеличивается за счет подачи теплой воды. Загустевание весьма нежелательно, так как состав становится непригодным для использования. Физическая нестабильность может также проявляться сама по себе как фазовое разделение на два или более отдельных слоев.
Тем не менее, продукты, демонстрирующие хорошую диспергируемость, распределяемость и стабильность при хранении при низкой или высокой температуре, желательны потребителю.
Существует также необходимость использовать растворители, которые имеют высокий уровень безопасности для уменьшения любых потенциальных опасностей для здоровья.
Настоящее изобретение пытается обратиться к этим и другим потребностям.
Сущность изобретения
Неожиданно обнаружено, что существует состав с мягчителем ткани, который может решить некоторые из недостатков, известных из уровня техники. Настоящее изобретение относится к составам с мягчителем ткани, которые имеют отличные умягчающие свойства и которые также проявляют еще и отличную стабильность при хранении при низких температурах, отличную регенерацию при замораживании-размораживании и превосходную распределяемость и диспергируемость.
Одним объектом настоящего изобретения является непрозрачный добавляемый при полоскании состав с мягчителем ткани, содержащий: (а) активный компонент мягчителя ткани, содержащий от примерно 5% до примерно 30 мас.% данного состава, и (b) полиол, содержащий более 5 мас.% данного состава; при этом состав обладает вязкостью ниже приблизительно 500 мПас после по меньшей мере одного цикла замораживания-размораживания; причем активный компонент мягчителя ткани включает в себя соединение или смесь соединений, выбранных из соединений, имеющих следующую формулу:

где каждый заместитель R представляет собой любой из водорода, короткоцепочечного C1-С6, поли(С2-3алкокси), бензила или их смеси; каждый m равен 2 или 3; каждый n равен от 1 до 4; каждый Y представляет собой -O-(O)С- или -С(O)O; сумма углеродов в каждом R1 равна С11-С21, для каждого R1, представляющего собой гидрокарбильную или замещенную гидрокарбильную группу; и Х– может быть любым анионом, совместимым с мягчителем; или

где каждый заместитель R представляет собой любой из водорода, короткоцепочечного C1-С6, поли(С2-3алкокси), бензила или их смеси; каждый m равен 2 или 3; каждый n равен от 1 до 4; каждый Y представляет собой CH2, или -NR-C(O)-, или -C(O)-NR- и каждый Y является одинаковым или различным; сумма углеродов в каждом R1 минус (n+1), когда Y представляет собой СН2, равна C12-C22 для каждого R1, представляющего собой гидрокарбильную или замещенную гидрокарбильную группу; и Х– может быть любым анионом, совместимым с мягчителем; или

где каждый R, R1 и А– имеют значения, приведенные выше; каждый R2 представляет собой C1-С6алкиленовую группу; a G представляет собой атом кислорода или группу -NR-; и при этом полиол представляет собой многоатомный спирт при условии, что полиол не включает в себя этиленгликоль, пропиленгликоль, диэтиленгликоль или дипропиленгликоль.
Другой объект данного изобретения относится к способу мягчения ткани, включающий в себя этап, на котором дозируют состав по настоящему изобретению в цикле полоскания в автоматической стиральной машине.
Подробное описание изобретения
А. АКТИВНЫЙ КОМПОНЕНТ МЯГЧИТЕЛЯ ТКАНИ
Один объект данного изобретения относится к активным компонентам мягчителя ткани (FSA).
Соединения сложного диэфира четвертичного аммония (DEQA)
В одном варианте осуществления изобретения активный компонент мягчителя ткани содержит соединение DEQA. Соединения DEQA, пригодные в качестве активных компонентов мягчителей ткани в составах по настоящему изобретению, включают в себя соединения формулы:
{R4-m-N+-[(СН2)n-Y-R1]m}X–,
где каждый заместитель R представляет собой любой из водорода, короткоцепочечного C1-С6, предпочтительно C1-С3 алкила, например, метила (наиболее предпочтительно), этила, пропила и тому подобного, поли(С2-3алкокси), предпочтительно полиэтоксигруппы, бензила, или их смеси; каждый m равен 2 или 3; каждый n равен от 1 до 4, предпочтительно – 2; каждый Y представляет собой -O-(O)С- или -С(O)O и каждый Y является одинаковым или различным; сумма атомов углерода в каждом R1 равна С11-С21, предпочтительно C13-C19 для каждого R1, представляющего собой гидрокарбильную, или замещенную гидрокарбильную группу; допустимо, чтобы R1 являлся ненасыщенным или насыщенным, и разветвленным или линейным, и предпочтительно линейным, и допустимо, чтобы каждый R1 являлся одинаковым или различным, и предпочтительно одним и тем же; и Х– может быть любым анионом, совместимым с мягчителем, предпочтительно хлоридом, бромидом, метилсульфатом, этилсульфатом, сульфатом, фосфатом и нитратом, более предпочтительно хлоридом или метилсульфатом. Предпочтительные соединения DEQA традиционно получают реагированием алканоламинов, таких как MDEA (метилдиэтаноламин), с жирными кислотами. Некоторые вещества, которые традиционно получают в результате таких реакций, включают в себя хлорид N,N-ди(ацилоксиэтил)-N,N-диметиламмония или метилсульфат N,N-ди(ацилоксиэтил)-N,N-диметиламмония, где ацильная группа является производным животных жиров, таких как твердый животный жир, или растительные масла, такие как пальмовое, или ненасыщенные и полиненасыщенные жирные кислоты, например, олеиновая кислота и(или) частично гидрированные жирные кислоты, являющиеся производными растительных масел и(или) частично гидрированных растительных масел, таких как масло канолы, сафлоровое масло, арахисовое масло, подсолнечное масло, кукурузное масло, соевое масло, талловое масло, рисовое масло и т.д. Неограничивающие изобретение примеры жирных кислот перечислены в патенте US 5.759.990 в столбце 4, строки 45-66. Неограничивающие примеры предпочтительных сложных диэфирных четвертичных аммониевых соединений по настоящему изобретению включают в себя N,N-ди(талловоилоксиэтил)-N,N-диметиламмоний хлорид (доступный от Akzo под торговым названием Armosoft® DEQ) и N,N-ди(канолаоилоксиэтил)-N,N-диметиламмоний хлорид (доступный от Degussa под торговым названием Adogen® CDMC).
Диалкильные соединения четвертичного аммония (PQA)
В одном варианте осуществления изобретения FSA содержит соединение DQA. Соединения DQA, пригодные в качестве активных компонентов мягчителей ткани в составах по настоящему изобретению, включают в себя соединения формулы:
{R4-m-N+-[(СН2)n-Y-R1]m}X–,
где каждый заместитель R представляет собой любой из водорода, короткоцепочечного C1-С6, предпочтительно C1-С3 алкила, например, метила (более предпочтительно), этила, пропила и тому подобного, поли(С2-3алкокси), предпочтительно полиэтоксигруппы, бензила, или их смеси; каждый m равен 2 или 3; каждый n равен от 1 до 4, предпочтительно 2; каждый Y представляет собой CH2 равен -NR-C(O)- или -С(O)-NR- и допустимо, чтобы Y являлся одинаковым или различным; сумма атомов углерода в каждом R1 минус (n+1), когда Y равен СН2, равна С12-С22, предпочтительно С14-С20 для каждого R1, представляющего собой гидрокарбильную или замещенную гидрокарбильную группу; допустимо, чтобы R1 являлся ненасыщенным или насыщенным, и разветвленным или линейным, и предпочтительно – линейным, и допустимо, чтобы каждый R1 являлся одинаковым или различным, и предпочтительно являются одним и тем же; и Х- может быть любым анионом, совместимым с мягчителем, предпочтительно хлоридом, бромидом, метилсульфатом, этилсульфатом, сульфатом, фосфатом, и нитратом, более предпочтительно хлоридом или метилсульфатом.
Четвертичные соединения имидазолиния
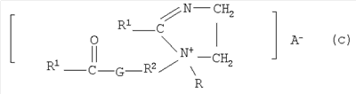
В одном варианте осуществления настоящего изобретения FSA содержит четвертичное соединение имидазолиния следующей формулы:

где каждый из R, R1 и А– имеет вышеуказанные значения; каждый R2 представляет собой С1-6 алкиленовую группу, предпочтительно этиленовую группу; и G представляет собой атом кислорода или -NR- группу.
Примеры четвертичных соединений имидазолиния включают в себя: 1-метил-1-талловоиламидоэтил-2-олеилимидазолиний метилсульфат и 1-метил-1-олеиламидоэтил-2-олеилимидазолиний метилсульфат, где R1 представляет собой ациклическую алифатическую C15-C17 углеводородную группу, R2 представляет собой этиленовую группу, G представляет собой NH-группу, R5 представляет собой метальную группу и А– представляет собой метилсульфатный анион, коммерчески доступный от Degussa под товарными знаками Varisoft® 475 и Varisoft® 3690, соответственно.
Катионный крахмал
Один аспект настоящего изобретения относится к катионному крахмалу в качестве FSA.
Термин «катионный крахмал» используется здесь в самом широком смысле. В одном объекте изобретения катионный крахмал относится к крахмалу, который химически модифицирован для получения крахмала с положительным результирующим зарядом в водном растворе при pH, равном 3. Такая химическая модификация включает в себя – но не ограничивается этим – добавление амино- и(или) аммонийных(-ой) групп(-ы) в молекулы крахмала. Примеры таких аммонийных групп, не ограничивающие изобретение, могут включать в себя такие заместители как триметилгидроксипропиламмоний хлорид, диметилстеарилгидроксипропиламмоний хлорид или диметилдодецилгидроксипропиламмоний хлорид (см. Solarek, D.B., Cationic Starches in Modified Starches: Properties and Uses, Wurzburg, O.B., CRC Press, Inc., Boca Raton, Florida 1986, pp 113-125).
В одном варианте осуществления изобретения составы по настоящему изобретению в основном содержат катионный крахмал на уровне от примерно 0,1% до примерно 7%, альтернативно от примерно 0,1% до примерно 5%, альтернативно от примерно 0,3% до примерно 3%, альтернативно от примерно 0,5% до примерно 2%, альтернативно от примерно 0,01% до примерно 5% и альтернативно от примерно 0,3% до примерно 2% от массы состава. Катионный крахмал описан Corona et al. в заявке на патент США 2004/0204337А1, опубл. 14.10.2004, абзацы 16-32.
Материалы для ухода за тканью на основе сложного эфира сахарозы
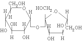
В одном варианте осуществления изобретения составы по настоящему изобретению могут содержать материал для ухода за тканью на основе сложного эфира сахарозы, представляющий собой FSA. Сложный эфир сахарозы может содержать сахарозную часть, имеющую одну или несколько своих этерифицированных гидроксильных групп.
Сахароза представляет собой дисахарид, имеющий следующую формулу:

Альтернативно молекула сахарозы может быть представлена формулой: М(ОН)8, где М – дисахаридная основа и молекула содержит суммарно 8 гидроксильных групп.
Таким образом, сложный эфир сахарозы может быть представлен следующей формулой:
M(OH)8-х(OC(O)R1)x
где x гидроксильных групп являются этерифицированными и (8-х) гидроксильных групп остаются неизменными; x представляет собой целое число от 1 до 8, или от 2 до 8, или от 3 до 8, или от 4 до 8; и составляющие R1 независимо выбирают из С1-С22 алкила или С1-С30 алкокси, линейного или разветвленного, циклического или ациклического, насыщенного или ненасыщенного, замещенного или незамещенного.
В одном варианте осуществления изобретения группы R1 включают в себя линейные алкильные или алкоксильные группы, имеющие независимо выбранную и изменяемую длину цепи. Например, R1 может включать в себя смесь линейных алкильных или алкоксильных составляющих, в которой более чем приблизительно 20% линейных цепей представляют собой С18, или более чем приблизительно 50% линейных цепей представляют собой С18, или более чем приблизительно 80% линейных цепей представляют собой С18.
В другом варианте осуществления изобретения группы R включают в себя смесь насыщенных или ненасыщенных алкильных или алкоксильных составляющих; степень ненасыщенности может быть измерена «йодным числом» (в дальнейшем как «ЙЧ» (IV), измеренным стандартным методом AOCS). Подходящее для применения в настоящем изобретении IV находится в интервале от примерно 1 до примерно 150, или от примерно 2 до примерно 100, или приблизительно 5 до примерно 85. Группы R могут быть гидрированы для уменьшения степени ненасыщенности.
В еще одном варианте осуществления изобретения ненасыщенные группы R могут включать в себя смесь цис- и трансформ относительно ненасыщенных участков. Соотношение цис/транс может варьироваться от примерно 1:1 до примерно 50:1, или от примерно 2:1 до примерно 40:1, или от примерно 3:1 до примерно 30:1, или от примерно 4:1 до примерно 20:1.
В еще одном варианте настоящего изобретения данный состав содержит олигидроксильный материал или производное сахара. Полигидроксиамидные структуры, как описано в патенте США 5.534.197, Scheibel et al, и 5.512.699, Connor et al.; соединения пентаэритрита, как описано в патенте США 6.294.516; циклические полиолы и(или) восстановленные сахариды, как описано в патенте США 6.410.501.
Катионные и аминосиликоны
Один объект по настоящему изобретению относится к катионным или к содержащим аминогруппу силиконам, как описано в заявке на патент США 10/978.942, поданной 01.11.2004 (заявка P&G 9404); и опубликованная заявка на патент США 2005/0026793 А1, 03.02.2005, абзацы 137-162.
В одном варианте осуществления аминосиликоны могут быть аминосиликоновыми полимерами с разветвленной или неразветвленной структурой, содержащими следующие основные звенья:
(RlR2R3SiO1/2)p(R4R4SiO2/2)m[R4Si(L-NR5R6)O2/2]a[Si(K-NR7R8)O3/2]b[R4SiO3/2]c,
где R1, R2, R3 и R4 могут, независимо, представлять собой (1) C1-C22 разветвленную или неразветвленную, замещенную или незамещенную гидрокарбильную группу, или (2) -O-R11, -O-R12, -O-R13 и -O-R14, где R11, R12, R13 и R14 представляют собой Н или C1-C22 разветвленную или неразветвленную, замещенную или незамещенную гидрокарбильную группу.
Термин «SiOn/2» означает соотношение между атомами кислорода и атомами кремния, то есть SiO1/2 означает, что один атом кислорода разделяет два атома кремния. Аналогично, SiO2/2 означает, что два атома кремния разделены двумя атомами кислорода, а SiO3/2 означает, что два атома кремния разделены тремя атомами кислорода.
L и K, независимо, могут быть C1-C22 разветвленной или неразветвленной, замещенной или незамещенной гидрокарбильной группой. Предпочтительно, L и K, независимо, представляют собой С1-С12 разветвленную или неразветвленную, замещенную или незамещенную гидрокарбильную группу. Более предпочтительно, L и K, независимо, представляют собой C1-C4 разветвленную или неразветвленную, замещенную или незамещенную гидрокарбильную группу. Еще предпочтительнее, L и K, независимо, представляют собой метиленовую, этиленовую, пропиленовую, 2-метилпропиленовую, бутиленовую, октадециленовую или 3-(2,2′,6,6′-тетраметил-4-оксипиперидил)пропиленовую группу.
R5, R6, R7 и R8, независимо, могут быть Н или C1-C22 разветвленной или неразветвленной, замещенной или незамещенной гидрокарбильной группой, содержащей заместитель, имеющий атом азота или другой гетероатом. Предпочтительно, R5, R6, R7 и R8, независимо, могут быть Н или C1-С12 разветвленной или неразветвленной, замещенной или незамещенной алкильной или арильной гидрокарбильной группой, содержащей кислородсодержащий заместитель и азотсодержащий заместитель. Более предпочтительно, R5, R6, R7 и R8, независимо, представляют собой Н, фенил, циклогексил,
фенил, 2-аминоэтил, 2-(N-2-аминоэтил)аминоэтил, 2-[N-2-(N-2-аминоэтил)аминоэтил] аминоэтил, 2-(N-фенил)аминоэтил, 2-(N-пиклогексил)аминоэтил, полиэтиленоксид, полипропиленоксид, сополимер полиэтиленоксида и полипропиленоксида, или сополимер полиэтиленоксида, полипропиленоксида и полиэтиленамина.
Вспомогательные активные компоненты для мягчения ткани
Составы по уходу за тканью, в соответствии с настоящим изобретением, могут содержать вспомогательные активные компоненты для мягчения ткани. Такие активные компоненты могут включать в себя один или несколько компонентов из числа следующих: силиконы, в том числе такие, которые были описаны в опубликованной заявке на патент США 2002/0077265 A1 (Buzzacarini et al., 20.06.2002, абзацы 51-57); глины, раскрытые в опубликованной заявке на патент США 2004/0142841 A1 (22.07.2004, Buzzacarini et al., абзацы 74-99); жиры и(или) жирные кислоты (предварительная заявка США 60/621.204, 22.11.2004, дело P&G 9812); полигидроксиамидные структуры, описанные в патентах США 5.534.197 (Scheibel et al.) и US 5.512.699 (Connor et al); соединения пентаэритрита и их производные, как это раскрыто в патенте США 6.294.516; и циклические полиолы и(или) восстановленные сахариды, как раскрыто в патенте США 6.410.501.
В одном варианте осуществления изобретения составы по настоящему изобретению содержат от примерно 0,001% до примерно 10% вспомогательного активного компонента для мягчения ткани. В другом варианте осуществлении изобретения данные составы не содержат или в основном не содержат вышеуказанного вспомогательного компонента.
Б. ПОЛИОЛЫ
Один объект настоящего изобретения относится к добавлению от примерно 5% до примерно 50%, предпочтительно от 10% до 35%, более предпочтительно от 15% до 30% полиола от веса состава. Настоящее изобретение основано на неожиданном открытии того, что многие полиолы могут использоваться в коммерчески приемлемых составах с мягчителем ткани, которые обладают стабильностью и проявляют хорошую вязкость в условиях замораживания-размораживания, а также имеют привлекательные профили безопасности. В противоположность этому такие полиолы, как этиленгликоль, пропиленгликоль, диэтиленгликоль и дипропиленгликоль, не могут быть настолько же безопасны, как полиолы по настоящему изобретению, и поэтому специально исключаются. Например, этиленгликоль традиционно находится в антифризе и может быть вредным, если не смертельным, при проглатывании, тогда как остальные могут считаться безопасными, но в общем воспринимаются как менее подходящие ввиду их применения в технике.
В одном варианте осуществления полиол по настоящему изобретению представляет собой многоатомный спирт, выбранный из глицерина, пентаэритрита, гексиленгликоля, глюкозы, сорбита, сахарозы и т.п.
С. ВЯЗКОСТЬ
Один объект настоящего изобретения основан на неожиданном открытии того факта, что состав по настоящему изобретению проявляет коммерчески приемлемую вязкость после цикла замораживания-размораживания. Термин «цикл замораживания-размораживания» означает, что 1 литр состава по настоящему изобретению оставляют в течение 24-х часов при -18°С и затем хранят в течение 24-х часов при +20°С.
В одном варианте осуществления состав имеет вязкость после цикла замораживания-размораживания ниже 500, предпочтительно ниже 200 мПас. Для целей настоящего изобретения вязкости составов измеряют при 25°С визкозиметром Brookfield® с использованием шпинделя 2 при 60 об/мин.
D. ВСПОМОГАТЕЛЬНЫЕ МАТЕРИАЛЫ
Один объект настоящего изобретения относится к составу, который включает в себя один или несколько следующих вспомогательных материалов: отдушки, диспергирующие агенты, стабилизаторы, регуляторы pH, регуляторы ионов металлов, окрашивающие вещества, блескообразователи, красители, регуляторы запаха, про-отдушки, циклодекстрин, ароматизатор, растворители, грязеотталкивающие полимеры, консерванты, противомикробные агенты, поглотители хлора, противоусадочные агенты, освежители ткани, подавляющие пятна агенты, антиоксиданты, противокоррозионные агенты, загустители, регуляторы гладкости, регуляторы поддержания формы, регуляторы образования складок, регуляторы статического электричества, регуляторы сминаемости, санитарные агенты, дезинфицирующие агенты, антимикробные агенты, регуляторы образования грибков, регуляторы образования плесени, противовирусные агенты, антимикробные агенты, сушильные агенты, препятствующие загрязнению агенты, грязеотталкивающие агенты, подавители зловония, освежители тканей, подавители запаха хлорного отбеливателя, фиксаторы красителей, ингибиторы уноса красителя, агенты для сохранения цвета, агенты восстановления/обновления цвета, агенты против линяния, усилители белизны, агенты против истирания, регуляторы изнашивания, агенты сохранности ткани, противоизнашиватели, пеноудалители и антипенные агенты, ополаскиватели, защищающие от УФ-излучения агенты, ингибиторы выгорания на солнце, репелленты, противоаллергенные агенты, ферменты, огнеупоры, водоотталкивающие агенты, противоусадочные агенты, агенты, предотвращающие вытягивание, и их смеси. Такие ингредиенты подробно описаны в заявке ЕР 1297101 и в находящейся на рассмотрении заявке США 10/925.749 (P&G дело 8079М) и в цитируемых в них ссылках; и в опубликованной заявке США 2003/0060390 на имя Demeyere, опубл. 27.03.2003, в абзацах 123-222.
Другим объектом настоящего изобретения с целью снижения затрат является состав, не содержащий или по существу не содержащий одного или нескольких из вышеуказанных вспомогательных материалов.
Как используется в настоящей заявке, термин «по существу не содержащий» означает, что в данном составе по уходу за тканью содержится менее 1%, или менее 0,1%, или менее 0,001%, альтернативно – около 0% указанного вещества.
Е. СПОСОБЫ ПРИМЕНЕНИЯ
Составы по уходу за тканью по настоящему изобретению могут использоваться в так называемом процессе полоскания. Обычно составы по настоящему изобретению добавляются в ходе цикла полоскания автоматической стиральной машины. Один объект данного изобретения предусматривает дозирование такого состава в ходе цикла полоскания в автоматической стиральной машине. Другой объект настоящего изобретения предусматривает набор, включающий в себя состав по данному изобретению и, необязательно, инструкцию по применению.
F. ПРИМЕРЫ
Пример 1: составы по настоящему изобретению
 |
ПРИМЕРЫ |
| Ингредиенты |
I |
II |
III |
IV |
| Deedmaca |
12% |
10% |
10% |
7% |
| Этерифицированная целлюлоза |
– |
– |
– |
1% |
| Глицерин |
30% |
25% |
– |
25% |
| Сахароза |
– |
– |
30% |
– |
| Кремниевый антивспенивательb |
0,008% |
0,008% |
0,008% |
0,008% |
| Соляная кислота |
0,01% |
0,01% |
0,01% |
0,01% |
| Хлорид кальция |
0,05% |
0,05% |
0,05% |
0,05% |
| Отдушка |
0,5% |
0,5% |
0,5% |
0,5% |
| Краситель (частей/млн) |
15 |
15 |
15 |
15 |
| Вода |
До 100% |
До 100% |
До 100% |
До 100% |
| a Deedmac – диэтиловый эфир диметиламмонийхлорида в 15%-ном растворе изопропанола. |
| b MP10 от Dow Corning. |
Следует понимать, что каждое максимальное численное ограничение, данное в настоящем описании, включает в себя любое меньшее численное значение, как если бы это меньшее значение было бы отмечено отдельно. Любое минимальное численное ограничение, данное в настоящем описании, включает в себя любое большее численное значение, как если бы это большее значение было бы отмечено отдельно. Любой численный интервал, данный в настоящем описании, включает в себя любой более узкий численный интервал, подпадающий в такой более широкий интервал, как если бы такой узкий интервал был бы отмечен отдельно.
Все части, соотношения и процентные содержания, приведенные в настоящем описании, примерах и пунктах формулы изобретения, являются массовыми, и все числовые пределы даны с обычной степенью погрешности, принятой в данной области техники, если не указано иное.
Все цитируемые в описании документы, в релевантной своей части, включены сюда посредством ссылки; цитирование любого документа не может толковаться как его принадлежность к предшествующему уровню техники для настоящего изобретения.
Хотя проиллюстрированы и описаны частные формы реализации настоящего изобретения, для специалиста в данной области очевидно, что могут быть осуществлены различные вариации, изменения и модификации данного изобретения без отклонения от его сути и объема. Таким образом, прилагающиеся пункты формулы включают в себя все такие изменения и модификации, находящиеся в объеме настоящего изобретения.
Формула изобретения
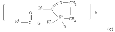
1. Светонепроницаемый, добавляемый при полоскании состав с мягчителем ткани, содержащий а) активный компонент для мягчения ткани, составляющий от примерно 5 мас.% до примерно 30 мас.% состава, и б) полиол, составляющий более 5 мас.% состава; причем состав обладает вязкостью менее приблизительно 500 мПас после по меньшей мере одного цикла замораживания-размораживания, при этом активный компонент мягчителя ткани содержит соединение или смесь соединений, выбранных из соединений, имеющих следующую формулу:
 где каждый заместитель R представляет любой из водорода, короткоцепочечного C1-С6, поли(С2-3алкокси), бензила, или их смеси; каждый m равен 2 или 3; каждый n равен от 1 до 4; каждый Y представляет собой -O-(O)С- или -С(O)O; сумма атомов углерода в каждом R1 равна С11-C21 для каждого R1, представляющего собой гидрокарбильную или замещенную гидрокарбильную группу; Х может быть любым анионом, совместимым с мягчителем; или
 где каждый заместитель R представляет собой любой из водорода, короткоцепочечного C1-С6алкила, поли(С2-3алкокси), бензила, или их смеси; каждый m равен 2 или 3; каждый n равен от 1 до 4; каждый Y представляет собой СН2, или -NR-C(O)-, или -C(O)-NR- и каждый Y является одинаковым или различным; сумма атомов углерода в каждом R1 минус (n+1), когда Y представляет собой СН2, равна С12-C22 для каждого R1, представляющего собой гидрокарбильную или замещенную гидрокарбильную группу; Х может быть любым анионом, совместимым с мягчителем; или
 где каждый R, R1, и А имеют значения, приведенные выше; каждый R2 представляет собой C1-C алкиленовую группу; G представляет собой атом кислорода или группу -NR-, где полиол представляет собой многоатомный спирт при условии, что полиол не включает в себя этиленгликоль, пропиленгликоль, диэтиленгликоль или дипропиленгликоль, при этом состав содержит от 0,1 до 10 мас.% дополнительного мягчителя ткани, выбранного из гидрофобизованного эфира сахарозы, катионного крахмала, аминофункционального силикона или их смесей.
2. Состав по п.1, отличающийся тем, что активный компонент мягчителя ткани выбран из N,N-ди(гидрогенированный талловоилоксиэтил)-N,N-диметиламмоний хлорида, N,N-ди(талловоилоксиэтил)-N,N-диметиламмоний хлорида, дигидрогенированного диметиламмонийхлорида таллового масла или диталловодиметиламмоний хлорида; 1-метил-1-таллоиламидоэтил-2-олеилимидазолиния метилсульфата; 1-метил-1-олеиламидоэтил-2-олеиламидоэтил-2-олеилимидазолиния метилсульфата; их смеси.
3. Состав по п.1 или 2, отличающийся тем, что после прохождения, по меньшей мере, двух циклов замораживания-размораживания обладает вязкостью не более 500 мПас, предпочтительно, не более 200 мПас.
4. Состав по п.1 или 2, отличающийся тем, что полиол выбран из глицерина, пентаэритрита, глюкозы, сахарозы, фруктозы и мальтозы.
5. Состав по п.1 или 2, отличающийся тем, что полиол содержится в количестве между 5 и 50%, предпочтительнее от 10 до 35%, и наиболее предпочтительно от 15 до 30 мас.% от массы состава.
6. Состав по п.5, отличающийся тем, что полиол представляет собой глицерин.
7. Состав по п.6, отличающийся тем, что уровень содержания глицерина составляет, по меньшей мере, 15% от массы состава.
8. Состав по п.5, отличающийся тем, что полиол представляет собой сахарозу.
9. Способ мягчения ткани, содержащий этап дозирования в цикле полоскания в автоматической стиральной машине состава по пп.1-8.
|
|