|
|
(21), (22) Заявка: 2005136429/04, 23.04.2004
(24) Дата начала отсчета срока действия патента:
23.04.2004
(30) Конвенционный приоритет:
24.04.2003 US 60/466,159 06.01.2004 US 60/534,501
(43) Дата публикации заявки: 10.06.2006
(46) Опубликовано: 20.01.2010
(56) Список документов, цитированных в отчете о поиске:
RU 2168512 C2, 10.06.2001. US 6268379 B1, 31.07.2001. US 6500847 B2, 31.12.2002.
(85) Дата перевода заявки PCT на национальную фазу:
24.11.2005
(86) Заявка PCT:
US 2004/012672 20040423
(87) Публикация PCT:
WO 2004/096139 20041111
Адрес для переписки:
129090, Москва, ул. Б.Спасская, 25, стр.3, ООО “Юридическая фирма Городисский и Партнеры”, пат.пов. Е.Е.Назиной, рег. 517
|
(72) Автор(ы):
ЯО Вэньцин (US), ЧЖО Цзиньцун (US), КСУ Мэйчжун (US), ЧЖАН Фэнлэй (US), МЕТКАФ Брайан (US)
(73) Патентообладатель(и):
ИНСАЙТ КОРПОРЕЙШН (US)
|
(54) ПРОИЗВОДНЫЕ АЗАСПИРОАЛКАНОВ В КАЧЕСТВЕ ИНГИБИТОРОВ МЕТАЛЛОПРОТЕАЗ
(57) Реферат:
Изобретение относится к соединениям формулы I или формулы II, к их фармацевтически приемлемым солям, энантиомерам и диастереомерам в качестве ингибиторов металлопротеаз, а также к фармацевтической композиции на их основе и вариантам его применения. Соединения могут найти применение для лечения заболеваний, опосредованных активностью металлопротеаз, Her-2 шеддаза, ADAM-10 и ADAM-17, таких как артрит, рак, сердечно-сосудистые расстройства, кожные заболевания, воспалительные и аллергические состояния и др. В общей формуле I или II:


А представляет собой CWNHOH; В представляет собой CH2; G представляет собой СН2; D представляет собой кислород; Х представляет собой CH2NRb; Y представляет собой СН2; М представляет собой СО; U отсутствует или представляет собой NRb; V отсутствует или представляет собой фенил, или 4-10-членный гетероциклил, содержащий 1-2 гетероатома, выбранных из N и S, замещенный 0-5 группами Re; U’ отсутствует или представляет собой C1-10алкилен, О или их сочетания; V’ представляет собой Н, С1-8алкил, NRbRc, С6-10карбоциклил, замещенный 0-3 группами Re, или 5-14-членный гетероциклил, содержащий 1-3 гетероатома, выбранных из N, О и S, замещенный 0-4 группами Re; Ra и Re, каждый независимо, представляет собой Н, Т, С1-8алкилен-Т, C(O)NRa‘(CRb‘Rc‘)r-T, (CRb‘Rc‘)r-O-(CRb‘Rc‘)r-T, ОН, Cl, F, CN, NO2, NRIRII, COORIV, ORIV, CONRIRII, С1-8галогеналкил, С3-13карбоциклил; Rb и Rc, каждый независимо, представляет собой Н, Т, C1-6алкилен-Т, C(O)O(CRb‘Rc‘)r-T, C(O)(CRb‘Rc‘)r-T, S(O)p(CRb‘Rc‘)r-T; Т представляет собой Н, C1-10алкил, замещенный 0-1 группами Rb‘; С3-6карбоциклил, 5-6-членный гетероциклил, содержащий один атом кислорода; Ra‘, Rb‘ и Rc‘, каждый независимо, представляет собой Н, ORIV или фенил; R1 представляет собой водород; R2 представляет собой водород; R3 представляет собой: (i) C1-10алкил; (ii) 4-14-членный гетероциклил, содержащий 1-3 атома азота, необязательно замещенный одним или двумя заместителями, выбранными из C1-6алкила, OR13, 5-10-членного гетероциклила, содержащего 1-3 гетероатома, выбранных из N О и S, или фенила; (iii) NR16R17; R4 представляет собой Н; R4′ представляет собой Н; R5′ представляет собой Н; W представляет собой кислород; R13 представляет собой C1-С6алкил; R16 и R17, каждый независимо, представляет собой C1-С10алкил или фенил, где каждый необязательно замещен одним С1-4алкилом; RI и RII, каждый независимо, представляет собой Н или C1-6алкил; RIV представляет собой C1-6алкил; i равно 0; p равно 1 или 2 и r равно 0, 1 или 2; при условии что: а) спирокольцо представляет собой стабильную химическую структурную единицу и b) NR8 и NRb не содержат ни N-N, ни N-O связей. 8 н. и 46 з.п. ф-лы, 1 табл.
Область изобретения
Настоящее изобретение относится к азаспироалкановым соединениям, которые являются полезными для лечения заболеваний, патологических состояний и расстройств, связанных с активностью металлопротеаз, включая активность шеддаз и адамализинов (ADAM).
Предпосылки изобретения
Большинство тканей существуют в высокорегулируемом динамическом равновесии, где происходит образование новой ткани и разрушение и элиминация существующей ткани. Разрушение внеклеточного матрикса (ECM), включая соединительную ткань и базальные мембраны, осуществляется под действием металлопротеиназ, которые высвобождаются из соединительной ткани и инвазирующих воспалительных клеток. Избыточная нерегулируемая активность этих ферментов может привести к нежелательному разрушению тканей, и их активность регулируется на уровне транскрипции путем контролируемой активации латентного профермента и после трансляции – внутриклеточными специфическими факторами, такими как TIMP (“Тканевые Ингибиторы Металлопротеиназ”), или более общими ингибиторами протеиназ, такими как 2-макроглобулины.
Известно, что некоторые структурно родственные металлопротеазы (MP) играют важную роль в расщеплении структурных белков. Такие металлопротеазы обычно действуют на межклеточный матрикс и, таким образом, участвуют в разрушении и ремоделировании ткани. Такие белки называют металлопротеазами, или MP. Существует несколько различных семейств MP, которые классифицируют по гомологии последовательности. Некоторые семейства известных MP, а также их примеры раскрыты в известном уровне техники.
Такие MP включают металлопротеазы матрикса [MMP], цинк-металлопротеазы, многие из мембраносвязанных металлопротеаз, TNF-превращающие ферменты, ангиотензин-превращающие ферменты (ACE), дезинтегрины, включая ADAM (см. Wolfsberg et al., 131 J. Cell Bio. 275-78 October, 25 1995) и энкефалиназы. Примеры MP включают коллагеназу фибробластов кожи человека, желатиназу фибробластов кожи человека, коллагеназу, агреканазу и желатиназу мокроты из организма человека, и стромелизин человека. Считается, что коллагеназа, стромелизин, агреканаза и родственные ферменты играют важную роль в опосредовании симптоматологии различных заболеваний.
Цинк-протеазы подразделяются в соответствии с основной структурой их каталитических участков и включают глюцинкин, метцинкин, инуцинкин, карбоксипептидазу и подгруппы DD карбоксипептидазы (Hooper NM, 1994, FEBS Lett, 354:1-6). Подгруппа метцинкина дополнительно подразделяется на серрализины, астацины, матриксины и адамализины (Stocker W and Bode W, 1995, Curr Opin Struct Biol, 5:383-390).
Матриксины включают металлопротеазы матрикса, или MMP. MMP образуют семейство структурно схожих цинксодержащих металлопротеаз, которые участвуют в ремоделировании и разрушении внеклеточных матриксных белков и как часть нормальных физиологических процессов, и при патологических состояниях. См. Bode, W et al., 1996, Adv Exp Med Biol, 389:1-11. Соединительная ткань, составляющие элементы внеклеточного матрикса и базальные мембраны являются биологическим материалом, обеспечивающим ригидность, дифференциацию, сайты связывания и, в некоторых случаях, эластичность биологических систем. Компоненты соединительной ткани включают, например, коллаген, эластин, протеогликаны, фибронектин и ламинин, которые образуют каркас для всех тканей человека. В нормальных условиях процессы обновления и/или восстановления соединительной ткани контролируются и находятся в равновесии. Потеря такого баланса по какой-либо причине ведет к различным болезненным состояниям. Ингибирование ферментов, ответственных за потерю равновесия, обеспечивает контроль механизма разрушения такой ткани и, следовательно, лечение таких заболеваний. Неконтролируемое разрушение соединительной ткани под действием металлопротеаз является характерной особенностью многих патологических состояний.
Помимо роли в регуляции внеклеточного матрикса имеются также сведения, позволяющие предположить, что MMP опосредуют миграцию воспалительных клеток в ткани (Moscatelli D and Rifkin DB, 1988, Biochim Biophys Acta , 948: 67-85). В некоторых сообщениях было показано, что различные MMP могут активировать различные важные нематриксные белки, включая цитокины, хемокины, интегрины и антимикробные пептиды (см. Parks WC, 2002, J Clin Invest, 110:613-4). Многие из MMP человека сверхэкспресируются в опухолях человека, и они связаны с предопухолевым разрушением ткани и образованием метастазов. Другой важной функцией MMP является активация различных ферментов, включая другие MMP, путем расщепления про-доменов из их протеазных доменов. Так, некоторые MMP проявляют действие по регуляции активности других MMP, таким образом, сверхпродуцирование одной MMP может привести к чрезмерному протеолизу внеклеточного матрикса под действием другой. Также сообщалось, что MMP могут расщеплять и, таким образом, инактивировать эндогенные ингибиторы других протеиназ, таких как эластаза (Winyard PG et al., 1991, FEBS Letts, 279: 91-94). Ингибиторы MMP могли бы, таким образом, влиять на активность других деструктивных протеиназ путем изменения уровня их эндогенных ингибиторов. Кроме того, увеличение или поддержание уровней эндогенного или вводимого ингибитора серинпротеазы способствует лечению и профилактике заболеваний, таких как эмфизема, легочные заболевания, воспалительные заболевания и возрастные заболевания, такие как потеря способности к растяжению и эластичности кожи или органа. Таким образом, MMP нельзя рассматривать исключительно как протеиназы катаболизма ECM, а скорее как внеклеточные процессинговые ферменты, участвующие в регуляции клетка-клетка и клетка-ECM сигнальных событий.
Адамализины включают репролизины, металлопротеазы яда змеи и ADAM. ADAM (дезинтегрин и металлопротеазный домен) представляют собой семейство трансмембранных гликопротеинов типа I, играющих важную роль в различных биологических процессах, таких как клеточная адгезия и протеолитический шеддинг ( слущивание ) клеточно-поверхностных рецепторов. Члены семейства ADAM были идентифицированы из источников, относящихся к млекопитающим и немлекопитающим, включая Xenopus, Drosophila и Caenorhabditis elegans. Члены этого семейства имеют модульную конструкцию, отличающуюся присутствием металлопротеазной активности и активности связывания рецептора интегрина, а также цитоплазменный домен, который у многих членов этого семейства определяет сайты связывания для различных белков сигнальной трансдукции. Семейство ADAM участвует в контроле слияния мембран, шеддинга цитокинов, факторов роста и рецепторов факторов роста и миграции клеток, а также в таких процессах, как мышечный рост, оплодотворение, нейрогенез и детерминация гибели клеток. Потеря регуляции может привести к болезни и патологии. Было показано, что члены семейства ADAM играют роль в таких патологиях, как бесплодие, воспаление и рак. См. Wolfsberg TG and White JM, 1998, ADAM metalloproteinases. А также Handbook of Proteolytic Enzymes (Barrett AJ, Rawlings ND and Woessner JF eds), p.1310-1313, Academic Press, London; Seals DF and Courtneidge SA, 2003, Genes and Development, 17:7-30.
Некоторые конкретные примеры имеющих важное значение металлопротеаз ADAM включают TNF -превращающий фермент, TACE или ADAM17, являющийся в настоящее время важной мишенью для противовоспалительных лекарственных средств (Moss ML et al., 2001, Drug Discov Today, 6:417-426 and Black RA, 2002, Int J Biochem Cell Biol, 34:1-5). Другие члены этого семейства также могут представлять собой хорошие терапевтические мишени. Сообщалось, что ADAM8 почти исключительно эксперссируется в клетках иммунной системы, в частности в B-клетках, моноцитах, эозинофилах и гранулоцитах. Поэтому ADAM8 представляет собой терапевтическую мишень для иммунозависимых заболеваний человека. ADAM15 обнаружена в клетках гладкой мышцы аорты человека и культивированных клетках эндотелия пупочной вены. Хотя ADAM15 не экспрессируется в нормальных кровеносных сосудах, она была обнаружена в развивающихся атеросклеротических изменениях (Herren B et al., 1997, FASEB J, 11:173-180), и также было показано, что происходит ее активация в остеоартритных хрящах человека в отличие от нормальных хрящей (Bohm BB et al., 1999, Artritis Rheum, 42:1946-1950). Таким образом, ADAM15 может играть определенную роль в таких заболеваниях, как атеросклероз и дегенерация хрящей. Лимфоцит-специфическая экспрессия ADAM28 дает основание предположить, что она может иметь важную иммунологическую функцию.
Считают, что сверхпродуцирование IgE является главным медиатором аллергических реакций. CD23 представляет собой обладающий низким сродством рецептор для IgE, где происходит зависимое от металлопротеазы типа ADAM протеолитическое высвобождение растворимых внеклеточных фрагментов, которые, как было показано, активируют продуцирование IgE и индукцию воспалительных цитокинов (см. Novak N et al., 2001, Curr Opin Immunol, 13:721-726 and Mayer RJ et al., 2002, Inflamm Res, 51:85-90). Повышенные уровни растворимого CD23 наблюдали при аллергической астме, хроническом B-лимфоцитном лейкозе и ревматоидном артрите. Ингибирование фермента(ов), ответственного за процессинг CD23, может предложить терапевтический подход для лечения различных иммунозависимых заболеваний. Оказалось, что металлопротеазы ADAM также ответственны за высвобождение или шеддинг ( слущивание ) растворимых рецепторов (например, CD30 и рецепторы для TNF), молекул адгезии (например, L-селектин, ICAМ-1, фибронектин), факторов роста и цитокинов (например, Fas лиганд, TGF- , EGF, HB-EGF, SCF IL-6, IL-1, TSH и М-CSF) и рецепторов факторов роста (например, членов семейства EGFR, таких как Her-2 и Her-4, которые вовлечены в патогенез различных типов рака (Yarden Y and Sliwkowski MX, 2001, Nature Reviews 2:127-137). Например, в 25-30% случаев рака молочной железы человека происходит сверхэкспрессия Her-2, и он связан с повышенным риском рецидива и смертности (Slamon DJ et al, 1987, Science, 235:177-182). Недавно было показано, что ADAM17 является критической для регулируемого шеддинга Her-4 (Rio C et al, 2000, Biol Chem, 275:10379-10387). Протеаза, ответственная за расщепление Her-2, известная как Her-2 шеддаза, является неизвестной MMP, которая также может быть членом семейства ADAM (Codony-Servat J et al, 1999, Cancer Res 59:1196-1201). Поэтому модуляция такой активности может играть важную роль в модуляции заболевания человека. Обзор шеддазной активности ADAM см. в Moss ML and Lambert MH, 2002, Essays Biochem, 38:141-153.
ADAМ-TS протеазы были идентифицированы как члены семейства ADAM. Эти белки являются новыми, поскольку содержат уникальные мотивы тромбоспондина (TS) типа I помимо некоторых структурно консервативных доменов других членов семейства ADAM. ADAMTS также отличаются от ADAM отсутствием в них цистеин-обогащенного, EGF-подобного, трансмембранного и цитоплазматического доменов. Также было показано, что ADAМ-TS белки связаны с различными патологическими состояниями или заболеваниями человека. Например, ADAMTS-1 представляет собой селективный в отношении опухоли ген, экспрессируемый в клетках опухоли толстой кишки, и также является белком, который связан с воспалением. Недавно было показано, что человеческий ортолог ADAMTS-1, известный как METH-1, и родственный белок METH-2 обладают антиангиогенной активностью, и эти или другие члены семейства ADAMTS могут играть важную роль в регуляции роста сосудов. ADAMTS-2 участвует в процессе нормального роста кожи. Этот фермент был давно известен как N-протеиназа проколлагена – протеиназа, которая протеолитически удаляет аминопептиды в процессинге проколлагенов типа I и типа II до коллагенов, и было показано, что имеет место его дефицит в коже субъектов с наследственным заболеванием соединительной ткани типа синдрома VIIC Ehlers-Danros. ADAMTS-4 и ADAMTS-11 известны как агреканаза-1 и -2 благодаря их способности к расщеплению специфических сайтов в агрекане – протеогликане, поддерживающем механические свойства хряща. Прогрессивное разложение и истощение агрекана связано с дегенеративными заболеваниями суставов, такими как остеоартрит и воспалительные заболевания суставов, такие как ревматоидный артрит. Обзор металлопротеаз ADAМ-TS см. в Tang BL, 2001, Int J Biochem Cell Biol, 33:33-44 and Kaushal GP and SV Shah, 2000, J Clin Invest 105:1335-1337.
Металлопротеазы являются одним из старейших классов протеиназ, и они обнаружены в бактериях, грибах, а также в высших организмах. Многие ферменты содержат последовательность HEXXH, которая обеспечивает два гистидиновых лиганда для цинка, тогда как третий лиганд является либо глутаминовой кислотой (термолизин, неприлизин, аланиламинопептидаза) или гистидином (астацин). Другие семейства демонстрируют другой способ связывания атома Zn. Поэтому металлопротеазы были выделены из различных прокариотических и эукариотических источников. Кислотные металлопротеазы были выделены из яда широкополосного медноголового щитомордника и гремучей змеи. Нейтральные металлопротеазы, в частности те, которые обладают оптимальной активностью при нейтральном pH, например, были выделены из Aspergillus sojae. Щелочные металлопротеазы, например, были выделены из Pseudomonas aeruginosa и патогенного насекомого Xenorhabdus luminescens. Ингибирование микробных металлопротеаз может привести к ингибированию роста и представляет антибиотическую стратегию. Ингибирование металлопротеаз, ассоциированных со змеиным ядом или токсичностью насекомых, также может вывести на новые терапевтические стратегии.
Потенциальные терапевтические показания для ингибиторов MP обсуждались в литературе. См., например, патент США 6500847 (Bayer Corporation), патент США 6268379 (DuPont Pharmaceuticals Company), патент США 5968795 (Bayer Corporation), патент США 5892112 (Glycomed Incorporated and The University of Florida) и патент США 5872152 (British Biotech Pharmaceuticals Limited). Некоторые примеры, где ингибирование активности металлопротеаз может быть полезным, включают: a) остеоартрит, b) ревматические заболевания и состояния, такие как аутоиммунное заболевание, ревматоидный артрит, c) септический артрит, d) рак, включая рост опухоли, метастазы опухоли и ангиогенез, e) заболевания периодонта, f) язвенные заболевания роговицы, эпидермиса и желудка (язвенные состояния могут иметь место в роговице в результате щелочных ожогов или в результате инфекции, вызванной Pseudomonas aeruginosa, Acanthamoeba, вирусами простого герпеса и оспы), g) протеинурию, h) различные сердечно-сосудистые и легочные заболевания, такие как атеросклероз, тромботические явления, атерома, гемодинамический шок, нестабильная стенокардия, рестеноз, сердечная недостаточность, i) аневризматические заболевания, включая аневризматические заболевания аорты, сердца или головного мозга, j) регулирование рождаемости, k) дистрофобную истинную акантолитическую пузырчатку, l) дегенеративную потерю хряща в результате травматического повреждения сустава, m) остеопении и другие заболевания аномальной потери костной ткани, включая остеопороз, n) умеренное мандибулярное заболевание суставов, o) легочные заболевания, такие как хроническое обструктивное заболевание легких, p) демиелинизирующие заболевания нервной системы, такие как рассеянный склероз, q) метаболические заболевания, включая диабет (с повышенным распадом коллагена) и ожирение, опосредованное резистентностью к инсулину, дегенерацию желтого пятна и диабетическую ретинопатию, опосредованную ангиогенезом, кахексию и преждевременное старение кожи, r) плохое заживление ран, включая ожоги, s) пролежни, t) острые и хронические нейродегенеративные расстройства, включая удар, повреждения спинного мозга и травматические повреждения головного мозга, боковой амиотрофический склероз, церебральную амилоидную ангиопатию, поражения ЦНС при СПИДе, болезнь Паркинсона, болезнь Альцгеймера, болезнь Гентингтона, предшествующие заболевания, злокачественную миатению и мышечную дистрофию Duchenne, u) боль, v) аутоиммунный энцефаломиелит и w) заболевания, связанные с продуцированием и/или передачей сигналов TNF , такие как широкий ряд воспалительных и/или иммуномодуляторных заболеваний, включая ревматическую атаку, ревматоидный артрит, рассеянный склероз, аллергию, заболевания периодонта, гепатит, резорбцию кости, сепсис, грамотрицательный сепсис, септический шок, эндотоксический шок, синдром токсического шока, синдром системной воспалительной реакции, воспалительные заболевания кишечника, включая болезнь Крона и язвенный колит, реакции Jarisch-Herxheimer, астму, респираторный дистресс-синдром взрослых, острое фиброзное заболевание легких, легочный саркоидоз, аллергические респираторные заболевания, силикоз, пневмокониоз рабочих угольной промышленности, альвеолярное повреждение, печеночную недостаточность, заболевание печени в период острого воспаления, острый алкогольный гепатит, малярию, включая малярию Plasmodium falciparum и церебральную малярию, застойную сердечную недостаточность, нарушения после заболевания сердца, артериосклероз, включая атеросклероз, болезнь Альцгеймера, острый энцефалит, повреждение мозга, панкреатит, включая системные осложнения при остром панкреатите, плохое заживление ран и иммунные реакции при инфекционном воспалении и раке, миелодиспластические синдромы, системную красную волчанку, билиарный цирроз печени, инсулин-независимый сахарный диабет, некроз кишечника, псориаз, кахексию и анорексию, радиационные поражения и токсичность после введения моноклональных антител, таких как OKT3, реакции хозяин против трансплантата , включающие ишемическое реперфузионное повреждение и отторжения аллотрансплантата, включая отторжения аллотрансплантата почки, печени, сердца и кожи, отторжение легочного аллотрансплантата, в том числе хроническое отторжение легочного аллотрансплантата (облитерирующий бронхит), а также осложнения в результате вправления головки бедра, инфекционные заболевания, включая микобактериальные инфекции, менингит, инфекцию, вызванную Helicobacter pylori, при пептической язве, болезнь Chaga как результат инфекции, вызванной Trypanosoma cruzi, действие Shiga-подобного токсина в результате инфекции, вызванной E. coli, действие энтеротоксина A в результате инфекции, вызванной Staphylococcus, менингококковой инфекции и инфекций, вызванных Borrelia burgdorferi, Treponema pallidum, цитомегаловирусом, вирусом гриппа, вирусом Sendai, вирусом энцефаломиелита Theiler и вирусом иммунодефицита человека (ВИЧ). Могут иметь место нарушенные процессы заживления ран. Это может привести к неправильному заживлению ран, ведущему к плохому заживлению, спайкам и образованию рубцов. Эти последние дефекты могут привести к физическим недостаткам и/или к постоянной нетрудоспособности, как в случае постхирургических спаек.
Ингибиторы металлопротеазы матрикса являются полезными для лечения заболеваний, вызванных, по меньшей мере, частично, разрушением структурных белков. Хотя был получен целый ряд ингибиторов, все еще остается потребность в сильных ингибиторах металлопротеаз матрикса, полезных для лечения таких заболеваний. Заявителями, к удивлению, было обнаружено, что соединения по настоящему изобретению являются сильными ингибиторами металлопротеаз.
Краткое описание изобретения
Настоящее изобретение обеспечивает соединение формулы I или II:

или его энантиомер, диастереомер, пролекарство, сольват, метаболит или фармацевтически приемлемую соль, где составляющие члены описаны ниже.
Настоящее изобретение также обеспечивает композиции, содержащие соединение формулы I или II и фармацевтически приемлемый носитель.
Настоящее изобретение также обеспечивает способ лечения заболевания, связанного с нежелательной активностью металлопротеазы.
Настоящее изобретение также обеспечивает способ лечения заболевания, модулируемого металлопротеазой, у млекопитающего, где заболевание выбрано из группы, включающей артрит, рак, сердечно-сосудистое расстройство, кожные заболевания, воспалительное и аллергическое состояние.
Настоящее изобретение также обеспечивает способ лечения рака, включая, но, не ограничиваясь этим, рак молочной железы, у млекопитающего.
Настоящее изобретение также обеспечивает способ ингибирования патологических изменений, опосредованных повышенным уровнем металлопротеаз матрикса у млекопитающих, включающий введение указанному млекопитающему, нуждающемуся в этом, терапевтически эффективного количества соединения по настоящему изобретению.
Настоящее изобретение также обеспечивает способ лечения заболевания, связанного с нежелательной активностью TNF- -превращающего фермента.
Настоящее изобретение также обеспечивает способ лечения заболевания, связанного с нежелательной активностью металлопротеаз матрикса у млекопитающего, где указанная металлопротеаза матрикса выбрана из группы, включающей MMP12, MMP14, MMP3, MMP2 и MMP9.
Настоящее изобретение также обеспечивает способ лечения заболевания, связанного с нежелательной активностью Her-2 шеддазы, шеддаз фактора роста или шеддаз цитокинов у млекопитающего.
Настоящее изобретение также обеспечивает способ лечения заболевания, связанного с активностью Her-2 шеддазы у млекопитающего.
Настоящее изобретение также обеспечивает способ лечения заболевания, связанного с нежелательной активностью ADAM10, ADAM15 или ADAM17 у млекопитающего.
Подробное описание изобретения
Настоящее изобретение обеспечивает, inter alia, соединения и фармацевтические композиции для лечения патологических состояний, которые связаны с активностью металлопротеаз, такой как быстрое и нерегулируемое разрушение ткани внеклеточного матрикса под действием MMP, включая, но, не ограничиваясь ими, MMP 12 и MMP 13. Некоторые из таких состояний включают ревматоидный артрит, остеоартрит, септический артрит, язвенные поражения роговицы, эпидермиса и желудка; заболевание периодонта, протеинурию, коронарный тромбоз, связанный с разрывом атеросклеротических бляшек, заболевание кости. Соединения по настоящему изобретению также полезны для лечения рака, включая, например, метастазы рака и ангиогенез, который, как оказалось, также связан с активностью металлопротеаз. Также, поскольку цикл повреждения ткани и ответная реакция связаны с ухудшением болезненного состояния, ограничение индуцированного металлопротеазами повреждения ткани из-за повышенного уровня протеиназ при помощи соединений по настоящему изобретению, как правило, может быть полезным терапевтическим подходом ко многим из таких серьезных заболеваний, а также и к другим. Соединения по настоящему изобретению также являются ингибиторами TNF -превращающего фермента и шеддаз, включая Her-2 шеддазу и HB-EGF шеддазу и другие шеддазы факторов роста и цитокинов.
Настоящее изобретение обеспечивает соединение формулы I или II:

или его энантиомер, диастереомер, пролекарство, сольват, метаболит или фармацевтически приемлемую соль, где:
A представляет собой CWOH, CWNHOH, CWNHOR5, N(OH)CHO, N(OH)CWR6, SH, SR7 или гидантоинил;
B представляет собой (CH2)n, (CH2)nC=W, (CRdRf)nNR8, NR8(CRdRf)n, (CRdRf)nO(CRdRf)r, (CRdRf)nS(CRdRf)r, O(C=W)NR8, O, N, NR8, S(O)m, S, C(O)NR8(CRdRf)n, C(O)(CRdRf)n, или их сочетания;
G представляет собой (CH2)n, (CH2)nC=W, (CRdRf)nNR8, NR8(CRdRf)n, (CRdRf)nO(CRdRf)r, (CRdRf)nS(CRdRf)r, O(C=W)NR8, O, N, NR8, S(O)m, S, C(O)NR8(CRdRf)n, C(O)(CRdRf)n или их сочетания;
D представляет собой кислород или серу;
X отсутствует или представляет собой (CH2)j, C1-10алкилен, замещенный 0-3 группами Ra, C2-10алкенилен, замещенный 0-2 группами Ra, N, O, NRb, S(O)m, C=O, NRbC(O), NRbC(O)O, NRbC(O)NRb, C(O)O, OC(O), S(O)mNRb, NRbS(O)m, NRbS(O)mNRb, (CRdRf)jNRb, NRb(CRdRf)j или их сочетания;
Y отсутствует или представляет собой (CH2)j, C1-10алкилен, замещенный 0-3 группами Ra, C2-10алкенилен, замещенный 0-2 группами Ra, N, O, NRb, S(O)m, C=O, NRbC(O), NRbC(O)O, NRbC(O)NRb, C(O)O, OC(O), S(O)mNRb, NRbS(O)m, NRbS(O)mNRb, (CRdRf)jNRb, NRb(CRdRf)j или их сочетания;
M представляет собой CO или S(O)i;
U отсутствует или представляет собой C1-10алкилен, замещенный 0-5 группами Ra, C2-10алкенилен, замещенный 0-2 группами Ra, N, O, NRb, NRbC(O), NRbC(O)O, NRbC(O)NRb, NRbS(O)m, NRbS(O)NRb или их сочетания;
V отсутствует или представляет собой H, C3-13карбоциклил, замещенный 0-5 группами Re или гетероциклил, замещенный 0-5 группами Re;
U’ отсутствует или представляет собой C1-10алкилен, замещенный 0-5 группами Ra, C2-10алкенилен, замещенный 0-2 группами Ra, N, O, NRbS(O)m, C=O, NRbC(O), NRbC(O)O, NRbC(O)NRb, C(O)O, OC(O), S(O)mNRb, NRbS(O)m, NRbS(O)NRb или их сочетания;
V’ представляет собой H, C1-8алкил, NRbRc, C3-13карбоциклил, замещенный 0-5 группами Re или гетероциклил, замещенный 0-5 группами Re;
Ra и Re, каждый независимо, представляет собой H, T, C1-8алкилен-T, C2-8алкенилен-T, C2-6алкинилен-T, C(O)NRa‘(CRb‘Rc‘)r-T, C(O)O(CRb‘Rc‘)r-T, S(O)p(CRb‘Rc‘)r-T, (CRb‘Rc‘)r-O-(CRb‘Rc‘)r-T, OH, Cl, F, Br, I, CN, NO2, NRIRII, CORIII, COORIV, ORIV, CONRIRII, NRICONRIRII, OCONRIRII, NRICORII, SO2NRIRII, NRISO2RII, NRISO2NRIRII, OSO2NRIRII, SOpRV, C1-8галогеналкил, C3-13карбоциклил, гетероциклил, карбоциклилалкил или гетероциклилалкил, где каждая из указанных карбоциклильной, гетероциклильной, карбоциклилалкильной и гетероциклилалкильной групп, необязательно, замещена одной или несколькими группами C1-8алкил, алкокси, галоген, галогеналкил, галогеналкокси, циано, нитро, амино, алкиламино, диалкиламино, карбокси, сложный карбоксиалкиловый эфир, сложный карбоксиариловый эфир, аминокарбонил, алкиламинокарбонил, диалкиламинокарбонил, сульфонил, аминосульфонил, алкиламиносульфонил, диалкиламиносульфонил, арилсульфонил, арилсульфинил, алкилсульфонил или арилсульфонил;
Rb и Rc, каждый независимо, представляет собой H, T, C1-6алкилен-T, C2-8алкенилен-T, C2-6алкинилен-T, C(O)NRa‘(CRc‘Rb‘)r-T, C(O)O(CRb‘Rc‘)r-T, C(O)(CRb‘Rc‘)r-T, S(O)p(CRb‘Rc‘)r-T, (CRc‘Rb‘)r-O-(CRc‘Rb‘)r-T, C(NRa‘Ra‘)(=N-CN) или C(NRa‘Ra‘)(=CHNO2);
Rd и Rf, каждый независимо, представляет собой H, C1-6алкил, C2-6алкенил, C2-6алкинил, T, C1-6алкилен-T, C2-8алкенилен-T, C2-6алкинилен-T, C(O)NRa‘(CRc‘Rb‘)r-T, C(O)O(CRb‘Rc‘)r-T, S(O)p(CRb‘Rc‘)r-T или (CRc‘Rb‘)r-O-(CRc‘Rb‘)r-T, OH, Cl, F, Br, I, CN, NO2, NRIRII, CORIII, COORIV, ORIV, CONRIRII, RINCONRIRII, OCONRIRII, RINCORII, SO2NRIRII, NRISO2RII, NRISO2NRIRII, OSO2NRIRII, SOpRV, C1-8галогеналкил, карбоциклил, гетероциклил, карбоциклилалкил, гетероциклилалкил, карбоциклилокси или гетерокарбоциклилокси, где каждая из указанных карбоциклильной, гетероциклильной, карбоциклилалкильной, гетероциклилалкильной, карбоциклилокси или гетерокарбоциклилоксигрупп, необязательно, замещена одной или несколькими группами C1-8алкил, алкокси, галоген, галогеналкил, галогеналкокси, циано, нитро, амино, алкиламино, диалкиламино, карбокси, сложный карбоксиалкиловый эфир, сложный карбоксиариловый эфир, аминокарбонил, алкиламинокарбонил, диалкиламинокарбонил, сульфонил, аминосульфонил, алкиламиносульфонил, диалкиламиносульфонил, арилсульфонил, арилсульфинил, алкилсульфонил или арилсульфонил;
T представляет собой H, C1-10алкил, замещенный 0-5 группами Rb‘; C2-10алкенил, замещенный 0-5 группами Rb‘, C2-10алкинил, замещенный 0-5 группами Rb‘, C3-13карбоциклил, замещенный 0-3 группами Rb‘, гетероциклил, замещенный 0-5 группами Rb‘;
Ra‘, Rb‘ и Rc‘, каждый независимо, представляет собой H, C1-6алкил, C2-6алкенил, С2-6алкинил, ОН, Cl, F, Br, I, CN, NO2, NRIRII, CORIII, COORIV, ORIV, CONRIRII, RINCONRIRII, OCONRIRII, RINCORII, SO2NRIRII, NRISO2RII, NRISO2NRIRII, OSO2NRIRII, SOPRV, C1-8галогеналкил, карбоциклил, гетероциклил, карбоциклилалкил, гетероциклилалкил, карбоциклилокси или гетерокарбоциклилокси, где каждая из указанных карбоциклильной, гетероциклильной, карбоциклилалкильной, гетероциклилалкильной, карбоциклилокси или гетерокарбоциклилоксигрупп, необязательно, замещена одной или несколькими группами C1-8алкил, алкокси, галоген, галогеналкил, галогеналкокси, циано, нитро, амино, алкиламино, диалкиламино, карбокси, сложный карбоксиалкиловый эфир, сложный карбоксиариловый эфир, аминокарбонил, алкиламинокарбонил, диалкиламинокарбонил, сульфонил, аминосульфонил, алкиламиносульфонил, диалкиламиносульфонил, арилсульфонил, арилсульфинил, алкилсульфонил или арилсульфонил;
R1 представляет собой водород, C1-6алкил, SR10, OR10 или NR11R12;
R2 водород, C1-6алкил, SR10, OR10 или NR11R12;
R3 представляет собой:
(i) C1-10алкил, С2-8алкенил или С2-8алкинил;
(ii) C3-13карбоциклил, необязательно, замещенный одним или несколькими заместителями, выбранными из галогена, C1-6алкила, SR13, NR11R12, OR13, гетероциклила, арила, =S, =О, CN, NO2, NR R ‘, COR , R NC(O)NR R ‘, OC(O)NR R ‘, C(O)OR , C(O)NR R ‘ или R NC(O)O;
(iii) арил, необязательно, замещенный одним или несколькими заместителями, выбранными из галогена, C1-6алкила, SR13, NR11R12, OR13, гетероциклила, арила, =S, =О, CN, NO2, NR R ‘, COR , R NC(O)NR R ‘, OC(O)NR R ‘, C(O)OR , C(O)NR R ‘ или R NC(O)O;
(iv) гетероциклил, необязательно, замещенный одним или несколькими заместителями, выбранными из галогена, C1-6алкила, SR13, NR11R12, OR13, гетероциклила, арила, =S, =О, CN, NO2, NR R ‘, COR , R NC(O)NR R ‘, OC(O)NR R ‘, C(O)OR , C(O)NR R ‘ и R NC(O)O;
(v) NR14(CH2)lNR14R15 или
(vi) NR16R17;
R4 и R5, каждый независимо, представляет собой Н, галоген, Т, C1-6алкилен-Т, С2-6алкинилен-Т, С(О)NRa‘(CRc‘Rb‘)r-T, CO(CRb‘Rc‘)r-T, C(O)O(CRb‘Rc‘)r-T, S(O)p(CRb‘Rc‘)r-T, (CRc‘Rb‘)r-O-(CRc‘Rb‘)r-T, NR11R12, SR18 или OR18;
R4‘ представляет собой H, галоген, T, C1-6алкилен-T, C2-6алкинилен-T, C(O)NRa‘(CRc‘Rb‘)r-T, CO(CRb’Rc’)r-T, C(O)O(CRb‘Rc‘)r-T, S(O)p(CRb‘Rc‘)r-T или (CRc‘Rb‘)r-O-(CRc‘Rb‘)r-T, NR11R12, SR18 или OR18;
R5‘ представляет собой H, галоген, T, C1-6алкилен-T, C2-6алкинилен-T, C(O)NRa‘(CRc‘Rb‘)r-T, CO(CRb’Rc’)r-T, C(O)O(CRb‘Rc‘)r-T, S(O)p(CRb‘Rc‘)r-T или (CRc‘Rb‘)r-O-(CRc‘Rb‘)r-T, NR11R12, SR18 или OR18;
или R4‘ и R5‘, вместе с атомами, с которыми они связаны, образуют кольцо, выбранное из C3-13карбоциклила и 3-14-членного гетероциклила;
W представляет собой кислород или серу;
R6 и R7, каждый независимо, представляет собой водород, C1-6алкил, C2-8алкенил или C2-8алкинил;
R8 представляет собой H, C1-10алкилен-T, C2-10алкенилен-T и C2-10алкинилен-T,
(CRb‘Rc)rO(CRb‘Rc‘) r-T,
(CRb‘Rc)rNRa‘(CRb‘Rc‘) r-T,
(CRb‘Rc)rC(O)(CRb‘Rc‘) r-T,
(CRb‘Rc)rC(O)O(CRb‘Rc‘) r-T,
(CRb‘Rc)rOC(O)(CRb‘Rc‘) r-T,
(CRb‘Rc)rC(O)NRa‘(CRb‘Rc‘) r-T,
(CRb‘Rc)rNRa‘C(O)(CRb‘Rc‘) r-T,
(CRb‘Rc)rOC(O)O(CRb‘Rc‘) r-T,
(CRb‘Rc)rOC(O)NRa‘(CRb‘Rc‘) r-T,
(CRb‘Rc)rNRa‘C(O)O(CRb‘Rc‘) r-T,
(CRb‘Rc)rNRa‘C(O)NRa‘(CRb‘Rc‘) r-T,
(CRb‘Rc)rS(O)p(CRb‘Rc‘) r-T,
(CRb‘Rc)rSO2NRa‘(CRb‘Rc‘) r-T,
(CRb‘Rc)rNRa‘SO2(CRb‘Rc‘) r-T или
(CRb‘Rc)rSO2NRa‘SO2(CRb‘Rc‘) r-T;
R10 представляет собой H или C1-C6алкил;
R11 и R12, каждый независимо, представляет собой водород или C1-C8алкил, или R11 и R12 вместе с атомом N, с которым они связаны, образуют 3-14-членное гетероциклическое кольцо;
R13 представляет собой C1-C6алкил, C1-C6галогеналкил, C3-13карбоциклил, карбоциклилалкил, гетероциклил, гетероциклилалкил, каждый из которых, необязательно, замещен одной или несколькими группами, выбранными из галогена, C1-4алкила, C1-4алкокси, C1-4галогеналкила, C1-4галогеналкокси, CN, NO2, OH, COOH, амино, алкиламино или диалкиламино;
R14 и R15, каждый независимо, представляет собой водород, C1-10алкил, C3-13карбоциклил, замещенный одной или несколькими гетероциклильными группами, или R14 и R15 вместе с атомом N, с которым они связаны, образуют 3-14-членную гетероциклическую систему;
R16 и R17, каждый независимо, представляет собой водород, C1-C10алкил, C3-C13карбоциклил, арил, C3-C13карбоциклилалкил или арилалкил, где каждый из указанных C1-C10алкила, C3-C13карбоциклила, арила, C3-13карбоциклилалкила или арилалкила, необязательно, замещен одной или несколькими группами, выбранными из галогена, C1-4алкила, C1-4галогеналкила, OR17‘, SR17‘, COOR17‘, амино, алкиламино, диалкиламино или гетероциклила;
или R16 и R17 вместе с атомом N, с которым они связаны, образуют 3-14-членный гетероцикл, замещенный 0-5 группами R , или замещены одной или несколькими группами, выбранными из гетероциклила, гетероциклилалкила, C3-C13карбоциклила или карбоциклилалкила, где каждый из указанных гетероциклила, гетероциклилалкила, C3-C13карбоциклила или карбоциклилалкила, необязательно, замещен одной или несколькими группами R ;
R17‘ представляет собой H, C1-4алкил, C1-4галогеналкил, C3-13карбоциклил, карбоциклилалкил, гетероциклил или гетероциклилалкил, где каждый из указанных C3-13карбоциклила, карбоциклилалкила, гетероциклила или гетероциклилалкила, необязательно замещен галогеном или C1-4алкилом;
R18 представляет собой C1-6алкил;
R представляет собой галоген, C1-6алкил, C2-8алкилоксиалкил, C1-6галогеналкил, SR13, NR11R12, OH, OR13, C3-13карбоциклил, гетероциклил, арил, =S, =O, CN, NO2, NR R ‘, COR , NR C(O)NR R ‘, OC(O)NR R ‘, C(O)NR R ‘, C(O)OR , NR C(O)OR или NR C(O)R , или два R вместе с атомом углерода, с которым они оба связаны, образуют C3-13карбоцикл;
R , R ‘, R , и R ‘, каждый независимо, представляет собой H, C1-4алкил, фенил или бензил;
RI и RII, каждый независимо, представляет собой H, C1-6алкил или C3-13карбоциклил;
RIII и RIV, каждый независимо, представляет собой H, C1-6алкил, галогеналкил, карбоциклил, гетероциклил, карбоциклилалкил или гетероциклилалкил, где каждый из указанных карбоциклила, гетероциклила, карбоциклилалкила или гетероциклилалкила, необязательно, замещен одной или несколькими группами, выбранными из галогена, C1-4алкила или C1-4алкокси;
RV представляет собой C1-6алкил, галогеналкил, карбоциклил или гетероциклил;
j равно 1, 2, 3 или 4;
i равно 0, 1 или 2;
l равно 2, 3, 4, 5, 6, 7 или 8;
n равно 0, 1, 2, 3, 4, 5, 6, 7, 8, 9, 10, 11 или 12;
m равно 0, 1 или 2;
p равно 1 или 2 и
r равно 0, 1, 2, 3, 4 или 5.
Спирокольцо, предпочтительно, представляет собой стабильную химическую структурную единицу.
В некоторых вариантах воплощения NR8 и NRb не содержат ни N-N, ни N-O связей.
В некоторых вариантах воплощения A представляет собой CWNHOH, CWNHOR5, N(OH)CHO или N(OH)CWR6.
В некоторых вариантах воплощения A представляет собой CWNHOH или CWNHOR5.
В некоторых вариантах воплощения A представляет собой C(O)NHOH.
В некоторых вариантах воплощения B представляет собой (CH2)n, (CH2)nC=W, (CRdRf)nNR8, NR8(CRdRf)n, (CRdRf)nO(CRdRf)r, (CRdRf)nS(CRdRf)r, O(C=W)NR8, O, NR8, S(O)m, S, C(O)NR8(CRdRf)n или C(O)(CRdRf)n.
В некоторых вариантах воплощения B представляет собой (CH2)n, (CH2)nC=W, (CRdRf)nNR8, NR8(CRdRf)n, O(C=W)NR8, O, NR8, S(O)m, S, C(O)NR8(CRdRf)n или C(O)(CRdRf)n.
В некоторых вариантах воплощения B представляет собой (CH2)n, (CH2)nC=W, (CRdRf)nNR8, NR8(CRdRf)n, O(C=W)NR8, C(O)NR8(CRdRf)n или C(O)(CRdRf)n.
В некоторых вариантах воплощения B представляет собой (CH2)n, (CH2)nC=W, (CRdRf)nNR8 или NR8(CRdRf)n.
В некоторых вариантах воплощения B представляет собой (CH2)n.
В некоторых вариантах воплощения B представляет собой CH2.
В некоторых вариантах воплощения G представляет собой (CH2)n, (CH2)nC=W, (CRdRf)nNR8, NR8(CRdRf)n, (CRdRf)nO(CRdRf)r, (CRdRf)nS(CRdRf)r, O(C=W)NR8, O, NR8, S(O)m, S, C(O)NR8(CRdRf)n или C(O)(CRdRf)n.
В некоторых вариантах воплощения G представляет собой (CH2)n, (CH2)nC=W, (CRdRf)nNR8, NR8(CRdRf)n, O(C=W)NR8, O, NR8, S(O)m, S, C(O)NR8(CRdRf)n или C(O)(CRdRf)n.
В некоторых вариантах воплощения G представляет собой (CH2)n, (CH2)nC=W, (CRdRf)nNR8, NR8(CRdRf)n, O(C=W)NR8, C(O)NR8(CRdRf)n или C(O)(CRdRf)n.
В некоторых вариантах воплощения G представляет собой (CH2)n, (CH2)nC=W, (CRdRf)nNR8, NR8(CRdRf)n.
В некоторых вариантах воплощения G представляет собой (CH2)n.
В некоторых вариантах воплощения G представляет собой CH2.
В некоторых вариантах воплощения B и G, оба, представляют собой CH2.
В некоторых вариантах воплощения D представляет собой кислород.
В некоторых вариантах воплощения X представляет собой (CH2)j, C1-10алкилен, замещенный 0-3 группами Ra, NRb, S(O)m, C=O, NRbC(O), NRbC(O)O, NRbC(O)NRb, C(O)O, OC(O), S(O)mNRb, NRbS(O)m, NRbS(O)NRb или (CRdRf)jNRb, NRb(CRdRf)j.
В некоторых вариантах воплощения X представляет собой (CH2)j, NRb, (CRdRf)jNRb или NRb(CRdRf)j.
В некоторых вариантах воплощения X представляет собой (CH2)j, (CRdRf)jNRb или NRb(CRdRf)j.
В некоторых вариантах воплощения X представляет собой CH2NRb, CH2CH2 или NRbCH2CH2.
В некоторых вариантах воплощения X представляет собой CH2NRb.
В некоторых вариантах воплощения Y отсутствует или представляет собой (CH2)j, C1-10алкилен, замещенный 0-3 группами Ra, NRb, S(O)m, C=O, NRbC(O), NRbC(O)O, NRbC(O)NRb, C(O)O, OC(O), S(O)mNRb, NRbS(O)m, NRbS(O)NRb или (CRdRf)jNRb, NRb(CRdRf)j.
В некоторых вариантах воплощения Y отсутствует или представляет собой (CH2)j, NRb, (CRdRf)jNRb или NRb(CRdRf)j.
В некоторых вариантах воплощения Y отсутствует или представляет собой (CH2)j, (CRdRf)jNRb или NRb(CRdRf)j.
В некоторых вариантах воплощения Y отсутствует или представляет собой CH2, CH2NRb, CH2CH2 или NRbCH2CH2.
В некоторых вариантах воплощения Y отсутствует или представляет собой CH2.
В некоторых вариантах воплощения Y представляет собой CH2.
В некоторых вариантах воплощения R1 представляет собой H.
В некоторых вариантах воплощения R2 представляет собой H.
В некоторых вариантах воплощения R4 представляет собой H.
В некоторых вариантах воплощения R4‘ представляет собой H.
В некоторых вариантах воплощения R5‘ представляет собой H.
В некоторых вариантах воплощения R3 представляет собой NR16R17.
В некоторых вариантах воплощения M представляет собой CO.
В некоторых вариантах воплощения U отсутствует.
В некоторых вариантах воплощения V представляет собой гетероциклил, замещенный 0-5 группами Re.
В некоторых вариантах воплощения V представляет собой азетидин-1-ил, 2,5-дигидро-1H-пиррол-1-ил, пиперидин-1-ил,
пиперазин-1-ил, пирролидин-1-ил, изохинол-2-ил, пиридин-1-ил, 3,6-дигидропиридин-1-ил, 2,3-дигидроиндол-1-ил,
1,3,4,9-тетрагидрокарболин-2-ил, тиено[2,3-c]пиридин-6-ил,
3,4,10,10a-тетрагидро-1H-пиразино[1,2-a]индол-2-ил,
1,2,4,4a,5,6-гексагидропиразино[1,2-a]хинолин-3-ил,
пиразино[1,2-a]хинолин-3-ил, диазепан-1-ил,
1,4,5,6-тетрагидро-2H-бензо[f]изохинолин-3-ил,
1,4,4a,5,6,10b-гексагидро-2H-бензо[f]изохинолин-3-ил,
3,3a,8,8a-тетрагидро-1H-2-азациклопента[a]инден-2-ил или
2,3,4,7-тетрагидро-1H-азепин-1-ил, азепан-1-ил.
В некоторых вариантах воплощения U’ отсутствует или представляет собой O или C1-10алкилен, замещенный 0-5 группами Ra.
В некоторых вариантах воплощения U’ отсутствует.
В некоторых вариантах воплощения V’ представляет собой C3-13карбоциклил, замещенный 0-5 группами Re, или гетероциклил, замещенный 0-5 группами Re.
В некоторых вариантах воплощения V’ представляет собой C3–13карбоциклил, замещенный 0-5 группами Re.
В некоторых вариантах воплощения V’ представляет собой фенил, замещенный 0-5 группами Re.
В некоторых вариантах воплощения V’ представляет собой фенил, замещенный 0-5 T, C1-8алкилен-T, (CRb‘Rc‘)r-O-(CRb‘Rc‘)r-T, OH, Cl, F, Br, I, CN, NO2, ORIV, CONRIRII или NRICORII.
В некоторых вариантах воплощения V’ представляет собой фенил.
В некоторых вариантах воплощения V’ представляет собой гетероциклил, замещенный 0-5 группами Re.
В некоторых вариантах воплощения V’ представляет собой тиазолил, бензотиазолил, тиенил, хинолинил, пиридинил, пиразинил, бензимидазолил, индазолил, 3,6-дигидропиридинил, пиперидинил или 2,3-дигидробензофуран-5-ил.
В некоторых вариантах воплощения U’ представляет собой O или C1-10алкилен, и V’ представляет собой C3-13карбоциклил, замещенный 0-5 группами Re, или гетероциклил, замещенный 0-5 группами Re.
В некоторых вариантах воплощения M представляет собой CO, U отсутствует, V представляет собой гетероциклил, замещенный 0-5 группами Re, U’ отсутствует, и V’ представляет собой C3-13карбоциклил, замещенный 0-5 группами Re, или гетероциклил, замещенный 0-5 группами Re.
В некоторых вариантах воплощения M представляет собой CO, U отсутствует, V отсутствует, U’ отсутствует и V’ представляет собой NRbRc.
В некоторых вариантах воплощения Rb и Rc, каждый независимо, представляет собой H, C1-6алкилен-T, C(O)NRa‘(CRc‘Rb‘)r-T, C(O)O(CRb‘Rc‘)r-T, C(O)(CRb‘Rc‘)r-T, S(O)p(CRb‘Rc‘)r-T, (CRc‘Rb‘)r-O-(CRc‘Rb‘)r-T, C(NRa‘Ra‘)(=N-CN) или C(NRa‘Ra‘)(=CHNO2).
В некоторых вариантах воплощения Rb и Rc, каждый независимо, представляет собой H, C1-4алкил, C(O)NRa‘(CRc‘Rb‘)r-T, C(O)O(CRb‘Rc‘)r-T, S(O)p(CRb‘Rc‘)r-T, (CRc‘Rb‘)r-O-(CRc‘Rb‘)r-T, C(NRa‘Ra‘)(=N-CN) или C(NRa‘Ra‘)(=CHNO2).
В некоторых вариантах воплощения Rb представляет собой H, C1-4алкил, C(O)(CRb‘Rc‘)r-T, C(O)O(CRb‘Rc‘)r-T, S(O)p(CRb‘Rc‘)r-T или (CRc‘Rb‘)r-O-(CRc‘Rb‘)r-T.
В некоторых вариантах воплощения Rb представляет собой H.
В некоторых вариантах воплощения Rb представляет собой C1-4алкил.
В некоторых вариантах воплощения Rb представляет собой C(O)(CRb‘Rc‘)r-T.
В некоторых вариантах воплощения Rb представляет собой C(O)O(CRb‘Rc‘)r-T.
В некоторых вариантах воплощения Rb представляет собой S(O)p(CRb‘Rc‘)r-T.
В некоторых вариантах воплощения Rb представляет собой (CRc‘Rb‘)r-O-(CRc‘Rb‘)r-T.
В некоторых вариантах воплощения Rc представляет собой H или C1-4алкил.
В некоторых вариантах воплощения Re представляет собой H, T, C1-8алкилен-T, C(O)NRa‘(CRb‘Rc‘)r-T, (CRb‘Rc‘)r-O-(CRb‘Rc‘)r-T, OH, Cl, F, Br, I, CN, NO2, ORIV, NRIRII, CONRIRII, NRICORII, SO2NRIRII, C1-8галогеналкил, C3-13карбоциклил, гетероциклил, карбоциклилалкил или гетероциклилалкил, где каждая из указанных карбоциклильной, гетероциклильной, карбоциклилалкильной и гетероциклилалкильной групп, необязательно, замещена одной или несколькими группами, выбранными из C1-8алкила, алкокси, галогена, галогеналкила, галогеналкокси, циано, нитро, амино, алкиламино, диалкиламино, карбокси, сложного карбоксиалкилового эфира, сложного карбоксиарилового эфира, аминокарбонила, алкиламинокарбонила, диалкиламинокарбонила, сульфонила, аминосульфонила, алкиламиносульфонила, диалкиламиносульфонила, арилсульфонила, арилсульфинила, алкилсульфонила или арилсульфонила.
В некоторых вариантах воплощения, Re представляет собой H, C1-6алкил, OH, Cl, F, Br, I, CN, NO2, метокси, этокси, н-пропокси, изопропокси, фенокси, бензилокси, амино, (C1-4алкил)амино, (C2-8)диалкиламино, C(O)O(C1-4алкил), CONH2, CONH(C1-4алкил), CON(C1-4алкил)2, C1-6галогеналкил, фенил, циклопропил, циклобутил, циклопентил, циклогексил, циклогептил, бензил или фенетил.
В некоторых вариантах воплощения R4‘ представляет собой C(O)NRa‘(CRc‘Rb‘)r-T, C(O)O(CRb‘Rc‘)r-T или S(O)p(CRb‘Rc‘)r-T.
В некоторых вариантах воплощения R5‘ представляет собой C(O)NRa‘(CRc‘Rb‘)r-T, C(O)O(CRb‘Rc‘)r-T или S(O)p(CRb‘Rc‘)r-T.
В некоторых вариантах воплощения r имеет значение 0, 1 или 2.
В некоторых вариантах воплощения n имеет значение 0, 1 или 2.
В некоторых вариантах воплощения j имеет значение 1 или 2.
В некоторых вариантах воплощения указанное соединение имеет формулу II.
В некоторых вариантах воплощения соединение имеет формулу II, где:
A представляет собой CWNHOH,
B представляет собой (CH2)n, (CH2)nC=W, (CRdRf)nNR8, NR8(CRdRf)n, (CRdRf)nO(CRdRf)r, (CRdRf)nS(CRdRf)r, OC(O)NR8, O, NR8, S(O)m, S, C(O)NR8(CRdRf)n или C(O)(CRdRf)n;
G представляет собой (CH2)n, (CH2)nC=W, (CRdRf)nNR8, NR8(CRdRf)n, (CRdRf)nO(CRdRf)r, (CRdRf)nS(CRdRf)r, OC(O)NR8, O, NR8, S(O)m, S, C(O)NR8(CRdRf)n или C(O)(CRdRf)n;
X отсутствует или представляет собой (CH2)j, C1-10алкилен, замещенный 0-3 группами Ra, O, NRb, S(O)m, C=O, NRbC(O), NRbC(O)O, NRbC(O)NRb, C(O)O, OC(O), S(O)mNRb, NRbS(O)m, NRbS(O)NRb, (CRdRf)jNRb или NRb(CRdRf)j;
Y отсутствует или представляет собой (CH2)j, C1-10алкилен, замещенный 0-3 группами Ra, O, NRb, S(O)m, C=O, NRbC(O), NRbC(O)O, NRbC(O)NRb, C(O)O, OC(O), S(O)mNRb, NRbS(O)m, NRbS(O)NRb, (CRdRf)jNRb или NRb(CRdRf)j;
M представляет собой CO;
U отсутствует или представляет собой C1-10алкилен, замещенный 0-5 группами Ra, O, NRb, S(O)m, C=O, NRbC(O), NRbC(O)O, NRbC(O)NRb, C(O)O, OC(O), S(O)mNRb, NRbS(O)m или NRbS(O)NRb;
V отсутствует или представляет собой C3-13карбоциклил, замещенный 0-5 группами Re, или гетероциклил, замещенный 0-5 группами Re;
U’ отсутствует или представляет собой C1-10алкилен, замещенный 0-5 группами Ra, O, NRbS(O)m, C=O, NRbC(O), NRbC(O)O, NRbC(O)NRb, C(O)O, OC(O), S(O)mNRb, NRbS(O)m или NRbS(O)NRb;
V’ представляет собой H, C1-8алкил, NRbRc, C3-13карбоциклил, замещенный 0-5 группами Re, или гетероциклил, замещенный 0-5 группами Re;
R1 представляет собой водород;
R2 представляет собой водород;
R3 представляет собой NR16R17;
R4‘ представляет собой H, C(O)NRa‘(CRc‘Rb‘)r-T, C(O)O(CRb‘Rc‘)r-T или S(O)p(CRb‘Rc‘)r-T;
R5‘ представляет собой H, C(O)NRa‘(CRc‘Rb‘)r-T, C(O)O(CRb‘Rc‘)r-T или S(O)p(CRb‘Rc‘)r-T; и
W представляет собой кислород.
В некоторых вариантах воплощения соединение имеет формулу II, где:
A представляет собой C(O)NHOH;
B представляет собой (CH2)n, (CH2)nC=W, (CRdRf)nNR8, NR8(CRdRf)n, (CRdRf)nO(CRdRf)r, (CRdRf)nS(CRdRf)r, OC(O)NR8, O, NR8, S(O)m, S, C(O)NR8(CRdRf)n или C(O)(CRdRf)n;
G представляет собой (CH2)n, (CH2)nC=W, (CRdRf)nNR8, NR8(CRdRf)n, (CRdRf)nO(CRdRf)r, (CRdRf)nS(CRdRf)r, OC(O)NR8, O, NR8, S(O)m, S, C(O)NR8(CRdRf)n или C(O)(CRdRf)n;
X отсутствует или представляет собой (CH2)j, NRb, (CRdRf)jNRb или NRb(CRdRf)j;
Y отсутствует или представляет собой (CH2)j, NRb, (CRdRf)jNRb или NRb(CRdRf)j;
M представляет собой CO;
U отсутствует;
V отсутствует или представляет собой C3-13карбоциклил, замещенный 0-5 группами Re, или гетероциклил, замещенный 0-5 группами Re;
U’ отсутствует или представляет собой C1-10алкилен, замещенный 0-5 группами Ra, O, NRbS(O)m, C=O, NRbC(O), NRbC(O)O, NRbC(O)NRb, C(O)O, OC(O), S(O)mNRb, NRbS(O)m или NRbS(O)NRb;
V’ представляет собой H, C1-8алкил, NRbRc, C3-13карбоциклил, замещенный 0-5 группами Re, или гетероциклил, замещенный 0-5 группами Re;
Rb и Rc, каждый независимо, представляет собой H, C(O)O(CRb‘Rc‘)r-T или S(O)p(CRb‘Rc‘)r-T;
Rd и Rf, каждый независимо, представляет собой H или C1-6алкил;
R1 представляет собой водород;
R2 представляет собой водород;
R3 представляет собой NR16R17;
R4‘ представляет собой H, C(O)NRa‘(CRc‘Rb‘)r-T, C(O)O(CRb‘Rc‘)r-T или S(O)p(CRb‘Rc‘)r-T; и
R5‘ представляет собой H, C(O)NRa‘(CRc‘Rb‘)r-T, C(O)O(CRb‘Rc‘)r-T или S(O)p(CRb‘Rc‘)r-T;
В некоторых вариантах воплощения соединение имеет формулу II, где:
A представляет собой C(O)NHOH;
B представляет собой (CH2)n, (CH2)nC=W, (CRdRf)nNR8, NR8(CRdRf)n, (CRdRf)nO(CRdRf)r, (CRdRf)nS(CRdRf)r, OC(O)NR8, O, NR8, S(O)m, S, C(O)NR8(CRdRf)n или C(O)(CRdRf)n;
G представляет собой (CH2)n, (CH2)nC=W, (CRdRf)nNR8, NR8(CRdRf)n, (CRdRf)nO(CRdRf)r, (CRdRf)nS(CRdRf)r, OC(O)NR8, O, NR8, S(O)m, S, C(O)NR8(CRdRf)n или C(O)(CRdRf)n;
X отсутствует или представляет собой (CH2)j, NRb, (CRdRf)jNRb или NRb(CRdRf)j;
Y отсутствует или представляет собой (CH2)j, NRb, (CRdRf)jNRb или NRb(CRdRf)j;
M представляет собой CO;
U отсутствует;
V отсутствует или представляет собой C3-13карбоциклил, замещенный 0-5 группами Re, или гетероциклил, замещенный 0-5 группами Re;
U’ отсутствует или представляет собой C1-10алкилен, замещенный 0-5 группами Ra, O, NRbS(O)m, C=O, NRbC(O), NRbC(O)O, NRbC(O)NRb, C(O)O, OC(O), S(O)mNRb, NRbS(O)m или NRbS(O)NRb;
V’ представляет собой H, C1-8алкил, NRbRc, C3-13карбоциклил, замещенный 0-5 группами Re, или гетероциклил, замещенный 0-5 группами Re;
Rb и Rc, каждый независимо, представляет собой H, C(O)O(CRb‘Rc‘)r-T или S(O)p(CRb‘Rc‘)r-T; C(O)(CRb‘Rc‘)r-T, (CRc‘Rb‘)r-O-(CRc‘Rb‘)r-T, C(O)NRa‘(CRc‘Rb‘)r-T, C(NRa‘Ra‘)(=N-CN) или C(NRa‘Ra‘)(=CHNO2);
Rd и Rf, каждый независимо, представляет собой H или C1-6алкил;
Ra‘ представляет собой H или C1-6алкил;
Rb‘ и Rc‘, каждый независимо, представляет собой H, C1-6алкил, OH, Cl, F, Br, I, CN, NO2, NRIRII, ORIV или галогеналкил;
R1 представляет собой водород;
R2 представляет собой водород;
R4‘ представляет собой H, C(O)NRa‘(CRc‘Rb‘)r-T, C(O)O(CRb‘Rc‘)r-T или S(O)p(CRb‘Rc‘)r-T;
R5‘ представляет собой H, C(O)NRa‘(CRc‘Rb‘)r-T, C(O)O(CRb‘Rc‘)r-T или S(O)p(CRb‘Rc‘)r-T;
j равно 1 или 2;
l равно 2, 3 или 4;
n равно 0, 1, 2, 3 или 4 и
r равно 0, 1 или 2.
В некоторых вариантах воплощения соединение имеет формулу II, где:
A представляет собой CONHOH;
B представляет собой (CH2)n, (CH2)nC=W, (CRdRf)nNR8, NR8(CRdRf)n, (CRdRf)nO(CRdRf)r, (CRdRf)nS(CRdRf)r, OC(O)NR8, O, NR8, S(O)m, S, C(O)NR8(CRdRf)n или C(O)(CRdRf)n;
G представляет собой (CH2)n, (CH2)nC=W, (CRdRf)nNR8, NR8(CRdRf)n, (CRdRf)nO(CRdRf)r, (CRdRf)nS(CRdRf)r, OC(O)NR8, O, NR8, S(O)m, S, C(O)NR8(CRdRf)n или C(O)(CRdRf)n;
X отсутствует или представляет собой (CH2)j, CH2NRb или NRbCH2CH2;
Y отсутствует или представляет собой (CH2)j, CH2NRb или NRbCH2CH2;
M представляет собой CO;
U отсутствует;
V представляет собой гетероциклил, замещенный 0-5 группами Re;
U’ отсутствует или представляет собой C1-10алкилен, замещенный 0-5 группами Ra, или O;
V’ представляет собой H, C1-8алкил, NRbRc, C3-13карбоциклил, замещенный 0-5 группами Re, или гетероциклил, замещенный 0-5 группами Re;
Rb представляет собой H, C(O)O(CRb‘Rc‘)r-T или S(O)p(CRb‘Rc‘)r-T; C(O)(CRb‘Rc‘)r-T, (CRc‘Rb‘)r-O-(CRc‘Rb‘)r-T, C(O)NRa‘(CRc‘Rb‘)r-T, C(NRa‘Ra‘)(=N-CN) или C(NRa‘Ra‘)(=CHNO2);
Rc представляет собой H, T, C1-6алкилен-T, C2-8алкенилен-T или C2-6алкинилен-T;
Rd и Rf, каждый независимо, представляет собой H или C1-6алкил;
Ra‘ представляет собой H или C1-6алкил;
Rb‘ и Rc‘, каждый независимо, представляет собой H, C1-6алкил, OH, Cl, F, Br, I, CN, NO2, NRIRII, ORIV или галогеналкил;
R1 представляет собой водород;
R2 представляет собой водород;
R4‘ представляет собой H;
R5‘ представляет собой H;
j равно 1 или 2;
l равно 2, 3 или 4;
n равно 0, 1, 2, 3 или 4 и
r равно 0, 1 или 2.
В некоторых вариантах воплощения соединение имеет формулу II где:
A представляет собой CONHOH;
B представляет собой (CH2)n, (CH2)nC=W, (CRdRf)nNR8 или NR8(CRdRf);
G представляет собой (CH2)n, (CH2)nC=W, (CRdRf)nNR8 или NR8(CRdRf)n;
X отсутствует или представляет собой (CH2)j, CH2NRb или NRbCH2CH2;
Y отсутствует или представляет собой (CH2)j, CH2NRb или NRbCH2CH2;
M представляет собой CO;
U отсутствует;
V представляет собой гетероциклил, замещенный 0-5 группами Re;
U’ отсутствует или представляет собой C1-10алкилен, замещенный 0-5 группами Ra, или O;
V’ представляет собой H, C1-8алкил, NRbRc, C3-13карбоциклил, замещенный 0-5 группами Re, или гетероциклил, замещенный 0-5 группами Re;
Rb представляет собой H, C(O)O(CRb‘Rc‘)r-T или S(O)p(CRb‘Rc‘)r-T; C(O)(CRb‘Rc‘)r-T, (CRc‘Rb‘)r-O-(CRc‘Rb‘)r-T, C(O)NRa‘(CRc‘Rb‘)r-T, C(NRa‘Ra‘)(=N-CN) или C(NRa‘Ra‘)(=CHNO2);
Rc представляет собой H, T, C1-6алкилен-T, C2-8алкенилен-T или C2-6алкинилен-T;
Rd и Rf, каждый независимо, представляет собой H или C1-6алкил;
Ra‘ представляет собой H или C1-6алкил;
Rb‘ и Rc‘, каждый независимо, представляет собой H, C1-6алкил, OH, Cl, F, Br, I, CN, NO2, NRIRII, ORIV или галогеналкил;
R1 представляет собой водород;
R2 представляет собой водород;
R4‘ представляет собой H;
R5‘ представляет собой H;
j равно 1 или 2;
l равно 2, 3 или 4;
n равно 0, 1, 2, 3 или 4 и
r равно 0, 1 или 2.
В некоторых вариантах воплощения соединение имеет формулу II, где:
A представляет собой CONHOH;
B представляет собой (CH2)n;
G представляет собой (CH2)n;
X отсутствует или представляет собой (CH2)j, CH2NRb или NRbCH2CH2;
Y отсутствует или представляет собой (CH2)j, CH2NRb или NRbCH2CH2;
M представляет собой CO;
U отсутствует;
V представляет собой гетероциклил, замещенный 0-5 группами Re;
U’ отсутствует или представляет собой C1-10алкилен, замещенный 0-5 группами Ra, или O;
V’ представляет собой H, C1-8алкил, NRbRc, C3-13карбоциклил, замещенный 0-5 группами Re, или гетероциклил, замещенный 0-5 группами Re;
Rb представляет собой H, C(O)O(CRb‘Rc‘)r-T или S(O)p(CRb‘Rc‘)r-T; C(O)(CRb‘Rc‘)r-T, (CRc‘Rb‘)r-O-(CRc‘Rb‘)r-T, C(O)NRa‘(CRc‘Rb‘)r-T, C(NRa‘Ra‘)(=N-CN) или C(NRa‘Ra‘)(=CHNO2);
Rc представляет собой H, T, C1-6алкилен-T, C2-8алкенилен-T или C2-6алкинилен-T;
Ra‘ представляет собой H или C1-6алкил;
Rb‘ и Rc‘, каждый независимо, представляет собой H, C1-6алкил, OH, Cl, F, Br, I, CN, NO2, NRIRII, ORIV или галогеналкил;
R1 представляет собой водород;
R2 представляет собой водород;
R4‘ представляет собой H;
R5‘ представляет собой H;
j равно 1 или 2;
l равно 2, 3 или 4;
n равно 0, 1, 2, 3 или 4 и
r равно 0, 1 или 2.
В некоторых вариантах воплощения соединение имеет формулу II, где:
A представляет собой CONHOH;
B представляет собой CH2;
G представляет собой CH2;
X представляет собой CH2NRb;
Y представляет собой (CH2)j;
M представляет собой CO;
U отсутствует;
V представляет собой азетидин-1-ил,
2,5-дигидро-1H-пиррол-1-ил, пиперидин-1-ил, пиперазин-1-ил,
пирролидин-1-ил, изохинол-2-ил, пиридин-1-ил,
3,6-дигидропиридин-1-ил, 2,3-дигидроиндол-1-ил,
1,3,4,9-тетрагидрокарболин-2-ил, тиено[2,3-c]пиридин-6-ил,
3,4,10,10a-тетрагидро-1H-пиразино[1,2-a]индол-2-ил,
1,2,4,4a,5,6-гексагидропиразино[1,2-a]хинолин-3-ил,
пиразино[1,2-a]хинолин-3-ил, диазепан-1-ил,
1,4,5,6-тетрагидро-2H-бензо[f]изохинолин-3-ил,
1,4,4a,5,6,10b-гексагидро-2H-бензо[f]изохинолин-3-ил,
3,3a,8,8a-тетрагидро-1H-2-азациклопента[a]инден-2-ил или
2,3,4,7-тетрагидро-1H-азепин-1-ил, азепан-1-ил;
U’ отсутствует;
V’ представляет собой C3-13карбоциклил, замещенный 0-5 группами Re;
Rb представляет собой H, C(O)O(CRb‘Rc‘)r-T или C(O)(CRb‘Rc‘)r-T;
Ra‘ представляет собой H или C1-6алкил;
Rb‘ и Rc‘ оба представляют собой H;
R1 представляет собой водород;
R2 представляет собой водород;
R4‘ представляет собой H;
R5‘ представляет собой H;
j равно 1 или 2 и
r равно 0, 1 или 2.
В некоторых вариантах воплощения соединение имеет формулу II, где:
A представляет собой CONHOH;
B представляет собой CH2;
G представляет собой CH2;
X представляет собой CH2NRb;
Y представляет собой (CH2)j;
M представляет собой CO;
U отсутствует;
V представляет собой пиперидин-1-ил, пиперазин-1-ил, пирролидин-1-ил, пиридин-1-ил или 3,6-дигидропиридин-1-ил;
U’ отсутствует;
V’ представляет собой C3-13 арил, замещенный 0-5 группами Re;
Rb представляет собой H, C(O)O(CRb‘Rc‘)r-T или C(O)(CRb‘Rc‘)r-T;
Rb‘ и Rc‘ оба представляют собой H;
R1 представляет собой водород;
R2 представляет собой водород;
R4‘ представляет собой H;
R5‘ представляет собой H;
j имеет значение 1 или 2 и
r имеет значение 0, 1 или 2.
В некоторых вариантах воплощения соединение имеет формулу II, где:
A представляет собой CONHOH;
B представляет собой CH2;
G представляет собой CH2;
X представляет собой CH2NRb;
Y представляет собой (CH2)j;
M представляет собой CO;
U отсутствует;
V представляет собой пиперидин-1-ил, пиперазин-1-ил, пирролидин-1-ил, пиридин-1-ил или 3,6-дигидропиридин-1-ил;
U’ отсутствует;
V’ представляет собой фенил, замещенный 0-3 Re;
Rb представляет собой H, C(O)O(CRb‘Rc‘)r-T или C(O)(CRb‘Rc‘)r-T;
Rb‘ и Rc‘ оба представляют собой H;
R1 представляет собой водород;
R2 представляет собой водород;
R4‘ представляет собой H;
R5‘ представляет собой H;
j имеет значение 1 или 2 и
r имеет значение 0, 1 или 2.
В различных разделах настоящего описания заместители соединений по настоящему изобретению раскрыты с указанием групп или интервалов. Настоящее изобретение специально представлено так, чтобы охватывать каждую из отдельных комбинаций членов таких групп и интервалов. Например, термин C1-6алкил специально представлен так, что он охватывает каждую отдельную группу метил, этил, C3алкил, C4алкил, C5алкил и C6алкил.
Для соединений по настоящему изобретению, в которых переменная величина встречается более одного раза, каждая переменная величина может представлять собой разную группу, выбранную из группы Маркуша (Markush), определяющей эту переменную величину. Например, при описании структуры, содержащей две группы R1, которые одновременно присутствуют в одном соединении, эти две группы R могут представлять собой разные группы, выбранные из группы Маркуша, определенной для R.
Также возможен вариант, что некоторые признаки настоящего изобретения, которые для ясности описаны в контексте отдельных вариантов воплощения изобретения, также могут быть представлены в сочетании в одном варианте воплощения. Следовательно, различные признаки изобретения, которые для краткости описаны в контексте одного варианта, могут быть представлены отдельно или в любом подходящем сочетании.
Как он используется в данном описании, термин алкил означает насыщенную углеводородную группу, которая является линейной или разветвленной. Примеры алкильных групп включают метил (Me), этил (Et), пропил (например, н-пропил и изопропил), бутил (например, н-бутил, изобутил, трет-бутил), пентил (например, н-пентил, изопентил, неопентил) и т.п. Алкильная группа может содержать от 1 до около 20, от 2 до около 20, от 1 до около 10, от 1 до около 8, от 1 до около 6, от 1 до около 4 или от 1 до около 3 атомов углерода.
Как он используется в данном описании, алкенил относится к алкильной группе, содержащей одну или несколько углерод-углеродных двойных связей. Примеры алкенильных групп включают этенил, пропенил, циклогексенил и т.п.
Как использовано в данном описании, алкинил относится к алкильной группе, содержащей одну или несколько углерод-углеродных тройных связей. Примеры алкинильных групп включают этинил, пропинил и т.п.
Как использовано в данном описании, галогеналкил относится к алкильной группе, содержащей один или несколько галогеновых заместителей. Примеры галогеналкильных групп включают CF3, C2F5, CHF2, CCl3, CHCl2, C2Cl5 и т.п. Алкильная группа, в которой все атомы водорода заменены атомами галогена, может быть указана как пергалогеналкил.
Как использовано в данном описании, алкилен или алкиленил относится к двухвалентной алкильной группе. Примером алкиленовой группы является метилен или этилен.
Как использовано в данном описании, алкенилен или алкениленил относится к двухвалентной алкенильной группе.
Как использовано в данном описании, карбоциклильные группы являются насыщенными (т.е. не содержащими ни двойных, ни тройных связей) или ненасыщенными (т.е. содержащими одну или несколько двойных или тройных связей) циклическими углеводородными группами. Карбоциклильные группы могут быть моно- или полициклическими (например, содержащими 2, 3 или 4 конденсированных кольца) или спироциклическими. Примеры карбоциклильных групп включают циклопропил, циклобутил, циклопентил, циклогексил, циклогептил, циклопентенил, 1,3-циклопентадиенил, циклогексенил, норборнил, норпинил, норкарнил, адамантил, фенил и т.п. Карбоциклильные группы могут быть ароматическими (например, арил ) или неароматическими (например, циклоалкил ). В некоторых вариантах воплощения карбоциклильные группы могут содержать от около 3 до около 30 атомов углерода, от около 3 до около 20, от около 3 до около 10 или от около 3 до около 7 атомов углерода.
Как использовано в данном описании, арил относится к ароматической карбоциклильной группе, включающей моноциклические или полициклические (например, содержащие 2, 3 или 4 конденсированных кольца) ароматические углеводороды, такие как, например, фенил, нафтил, антраценил, фенантренил, инданил, инденил и т.п. В некоторых вариантах воплощения арильные группы содержат от 6 до около 20 атомов углерода.
Как использовано в данном описании, циклоалкил относится к неароматическим карбоциклильным группам, включающим циклизованные алкильные, алкенильные и алкинильные группы. Циклоалкильные группы могут включать би- или полициклические (например, содержащие 2, 3 или 4 конденсированных кольца) кольцевые системы, а также спироциклические системы. Примеры циклоалкильных групп включают циклопропил, циклобутил, циклопентил, циклогексил, циклогептил, циклопентенил, циклогексенил, циклогексадиенил, циклогептатриенил, норборнил, норпинил, норкарнил, адамантил и т.п. Также под определение циклоалкил подпадают группы, содержащие одно или несколько ароматических колец, конденсированных (т.е. имеющих общую связь) с циклоалкильным кольцом, например бензопроизводные пентана, пентена, гексана и т.п.
Как использовано в данном описании, гетероциклил или гетероцикл относится к насыщенной или ненасыщенной карбоциклильной группе, где один или несколько образующих кольцо атомов углерода карбоциклильной группы заменены гетероатомом, таким как O, S или N. Гетероциклильные группы могут быть ароматическими (например, гетероарил ) или неароматическими (например, гетероциклоалкил ). Гетероциклильные группы также могут относиться к гидрированным и частично гидрированным гетероарильным группам. Гетероциклильные группы могут быть охарактеризованы как содержащие 3-14 образующих кольцо атомов. В некоторых вариантах воплощения гетероциклильные группы могут содержать в дополнение к, по меньшей мере, одному гетероатому от около 1 до около 20, от около 2 до около 10 или от около 2 до около 7 атомов углерода и могут быть присоединены через атом углерода или гетероатом. В следующих вариантах воплощения гетероатом может быть окислен (например, содержать оксо или сульфидо заместитель), или атом азота может быть кватернизирован. Примеры гетероциклильных групп включают морфолино, тиоморфолино, пиперазинил, тетрагидрофуранил, тетрагидротиенил, 2,3-дигидробензофурил, 1,3-бензодиоксол, бензо-1,4-диоксан, пиперидинил, пирролидинил, изоксазолидинил, изотиазолидинил, пиразолидинил, оксазолидинил, тиазолидинил, имидазолидинил и т.п., а также любую из групп, перечисленных ниже для гетероарила и гетероциклоалкила. Кроме того, примеры гетероцикла включают пиримидинил, фенантридинил, фенантролинил, феназинил, фенотиазинил, феноксатиинил, феноксазинил, фталазинил, пиперазинил, пиперидинил, 3,6-дигидропиридил, 1,2,3,6-тетрагидропиридил, 1,2,5,6-тетрагидропиридил, пиперидонил, 4-пиперидонил, пиперонил, птеридинил, пуринил, пиранил, пиразинил, пиразолидинил, пиразолинил, пиразолил, пиридазинил, пиридооксазол, пиридоимидазол, пиридотиазол, пиридинил, пиридил, пиримидинил, пирролидинил, пирролинил, 2H-пирролил, пирролил, тетрагидрофуранил, тетрагидроизохинолинил, тетрагидрохинолинил, тетразолил, 6H-1,2,5-тиадиазинил, 1,2,3-тиадиазолил, 1,2,4-тиадиазолил, 1,2,5-тиадиазолил, 1,3,4-тиадиазолил, тиантренил, тиазолил, тиенил, тиенотиазолил, тиенооксазолил, тиеноимидазолил, тиофенил, триазинил, 1,2,3-триазолил, 1,2,4-триазолил, 1,2,5-триазолил, 1,3,4-триазолил, ксантенил, октагидроизохинолинил, оксадиазолил, 1,2,3-оксадиазолил, 1,2,4-оксадиазолил, 1,2,5-оксадиазолил, 1,3,4-оксадиазолил, оксазолидинил, оксазолил, оксазолидинил, хиназолинил, хинолинил, 4H-хинолизинил, хиноксалинил, хинуклидинил, акридинил, азоцинил, бензимидазолил, бензофуранил, бензотиофуранил, бензотиофенил, бензоксазолил, бензтиазолил, бензтриазолил, бензтетразолил, бензизоксазолил, бензизотиазолил, бензимидазолинил, метилендиоксифенил, морфолинил, нафтиридинил, декагидрохинолинил, 2H,6H-1,5,2-дитиазинил, дигидрофуро[2,3-b]тетрагидрофуран, фуранил, фуразанил, карбазолил, 4aH-карбазолил, карболинил, хроманил, хроменил, циннолинил, имидазолидинил, имидазолинил, имидазолил, 1H-индазолил, индоленил, индолинил, индолизинил, индолил, 3H-индолил, изобензофуранил, изохроманил, изоиндазолил, изоиндолинил, изоиндолил, изохинолинил, изотиазолил и изоксазолил. Следующие примеры гетероциклов включают азетидин-1-ил, 2,5-дигидро-1H-пиррол-1-ил, пиперидин-1-ил, пиперазин-1-ил, пирролидин-1-ил, изохинол-2-ил, пиридин-1-ил, 3,6-дигидропиридин-1-ил, 2,3-дигидроиндол-1-ил, 1,3,4,9-тетрагидрокарболин-2-ил, тиено[2,3-c]пиридин-6-ил, 3,4,10,10a-тетрагидро-1H-пиразино[1,2-a]индол-2-ил, 1,2,4,4a,5,6-гексагидропиразино[1,2-a]хинолин-3-ил, пиразино[1,2-a]хинолин-3-ил, диазепан-1-ил, 1,4,5,6-тетрагидро-2H-бензо[f]изохинолин-3-ил, 1,4,4a,5,6,10b-гексагидро-2H-бензо[f]изохинолин-3-ил, 3,3a,8,8a-тетрагидро-1H-2-азациклопента[a]инден-2-ил и 2,3,4,7-тетрагидро-1H-азепин-1-ил, азепан-1-ил. Также включены конденсированные циклические и спиросоединения, содержащие, например, указанные выше гетероциклы.
Как использовано в данном описании, гетероарильные группы представляют собой ароматические гетероциклильные группы и включают моноциклические и полициклические (например, содержащие 2, 3 или 4 конденсированных кольца) ароматические углеводороды, которые содержат, по меньшей мере, один гетероатом в качестве члена кольца, такой как сера, кислород, или азот. Гетероарильные группы включают, без ограничения, пиридил, пиримидинил, пиразинил, пиридазинил, триазинил, фурил, хинолил, изохинолил, тиенил, имидазолил, тиазолил, индолил, пиррил, оксазолил, бензофурил, бензотиенил, бензтиазолил, изоксазолил, пиразолил, триазолил, тетразолил, индазолил, 1,2,4-тиадиазолил, изотиазолил, бензотиенил, пуринил, карбазолил, бензимидазолил, индолинил и т.п. В некоторых вариантах воплощения гетероарильная группа содержит от 1 до около 20 атомов углерода, и в других вариантах воплощения от около 3 до около 20 атомов углерода. В некоторых вариантах воплощения гетероарильная группа содержит от 3 до около 14, от 3 до около 7 или от 5 до 6 образующих кольцо атомов. В некоторых вариантах воплощения гетероарильная группа содержит от 1 до около 4, от 1 до около 3 или 1-2 гетероатома.
Как использовано в данном описании, гетероциклоалкил относится к неароматическим гетероциклильным группам, включающим циклизованные алкильные, алкенильные и алкинильные группы, где один или несколько образующих кольцо атомов углерода заменены гетероатомом, таким как атом O, N, или S. Примеры гетероциклоалкильных групп включают морфолино, тиоморфолино, пиперазинил, тетрагидрофуранил, тетрагидротиенил, 2,3-дигидробензофурил, 1,3-бензодиоксол, бензо-1,4-диоксан, пиперидинил, пирролидинил, изоксазолидинил, изотиазолидинил, пиразолидинил, оксазолидинил, тиазолидинил, имидазолидинил и т.п. Также под определение гетероциклоалкил подпадают группы, содержащие одно или несколько ароматических колец, конденсированных (т.е. имеющих общую связь) с неароматическим гетероциклическим кольцом, например фталамидил, нафталамидил, и бензопроизводные гетероциклов, такие как индолиновые и изоиндолиновые группы. В некоторых вариантах воплощения гетероциклоалкильная группа содержит от 1 до около 20 атомов углерода, а в других вариантах воплощения – от около 3 до около 20 атомов углерода. В некоторых вариантах воплощения гетероциклоалкильная группа содержит от 3 до около 14, от 3 до около 7 или 5-6 образующих кольцо атомов. В некоторых вариантах воплощения гетероциклоалкильная группа содержит от 1 до около 4, от 1 до около 3 или 1-2 гетероатома. В некоторых вариантах воплощения гетероциклоалкильная группа содержит от 0 до 3 двойных связей. В некоторых вариантах воплощения гетероциклоалкильная группа содержит от 0 до 2 тройных связей.
Как использовано в данном описании, гало или галоген включают фтор, хлор, бром и иод.
Как использовано в данном описании, алкокси относится к -O-алкильным группам. Примеры алкоксигрупп включают метокси, этокси, пропокси (например, н-пропокси и изопропокси), трет-бутокси и т.п.
Как использовано в данном описании, арилокси относится к -O-арильным группам. Примером арилоксигруппы является фенокси.
Как использовано в данном описании, галогеналкокси относится к -O-галогеналкильным группам. Примером галогеналкоксигруппы является OCF3.
Как использовано в данном описании, карбоциклилалкил относится к алкильной группе, замещенной карбоциклилом. Примеры карбоциклилалкильных групп включают аралкил (алкил, замещенный арилом ( арилалкил )) и циклоалкилалкил (алкил, замещенный циклоалкилом). В некоторых вариантах воплощения карбоциклилалкильные группы содержат от 4 до 24 атомов углерода.
Как использовано в данном описании, гетероциклилалкил относится к алкильной группе, замещенной гетерокарбоциклильной группой. Примеры гетерокарбоциклилалкильных групп включают гетероарилалкил (алкил, замещенный гетероарилом) и гетероциклоалкилалкил (алкил, замещенный гетероциклоалкилом). В некоторых вариантах воплощения гетероциклилалкильные группы содержат от 3 до 24 атомов углерода в дополнение к по меньшей мере одному образующему кольцо гетероатому.
Как использовано в данном описании, амино относится к группе NH2. Алкиламино относится к аминогруппе, замещенной алкильной группой, и диалкиламино относится к аминогруппе, замещенной двумя алкильными группами.
Как использовано в данном описании, аминокарбонил относится к CONH2.
Как использовано в данном описании, алкиламинокарбонил относится к CONH(алкил).
Как использовано в данном описании, алкиламинокарбонил относится к CON(алкил)2.
Как использовано в данном описании, карбокси или карбоксил относится к COOH.
Как использовано в данном описании, карбоксиалкиловый сложный эфир относится к COO-алкилу.
Как использовано в данном описании, карбоксиариловый сложный эфир относится к COO-арилу.
Как использовано в данном описании, гидрокси относится к OH.
Как использовано в данном описании, меркапто относится к SH.
Как использовано в данном описании, сульфинил относится к SO.
Как использовано в данном описании, сульфонил относится к SO2.
Как использовано в данном описании, аминосульфонил относится к SO2NH2.
Как использовано в данном описании, алкиламиносульфонил относится к SO2NH(алкил).
Как использовано в данном описании, диалкиламиносульфонил относится к SO2N(алкил)2.
Как использовано в данном описании, арилсульфонил относится к SO2-арилу.
Как использовано в данном описании, арилсульфинил относится к SO-арилу.
Как использовано в данном описании, алкилсульфонил относится к SO2-алкилу.
Как использовано в данном описании, алкилсульфинил относится к SO-алкилу.
Как использовано в данном описании, их сочетания означает сочетание двух или более групп, указанных для данной переменной. Например, CH2, NH, CO и их сочетания включают CH2NH, CH2CO, CONH, CH2NHCO и другие стабильные комбинации.
Если не указано иное, соединения, представленные указанной выше формулой, включают фармацевтически приемлемые соли, пролекарства, энантиомеры, диастереомеры, рацемические смеси, кристаллические формы, некристаллические формы, аморфные формы, гидраты и сольваты этих соединений.
Термин фармацевтически приемлемая соль относится к солям активных соединений, полученным с относительно нетоксичными кислотами или основаниями, в зависимости от конкретных заместителей, присутствующих в соединениях, описанных в настоящей заявке. Когда соединения по настоящему изобретению содержат относительно кислотные функциональные группы, можно получить основно-аддитивные соли путем контактирования нейтральной формы таких соединений с достаточным количеством желаемого основания либо без растворителя, либо в подходящем инертном растворителе. Примеры фармацевтически приемлемых основно-аддитивных солей включают соли натрия, калия, кальция, аммония, органического амина или магния или подобные соли. Когда соединения по настоящему изобретению содержат относительно основные функциональные группы, можно получить кислотно-аддитивные соли путем контактирования нейтральной формы таких соединений с достаточным количеством желаемой кислоты либо без растворителя, либо в подходящем инертном растворителе. Примеры фармацевтически приемлемых кислотно-аддитивных солей включают соли, образованные из неорганических кислот, таких как хлористоводородная, бромистоводородная, азотная, угольная, фосфорная, частично нейтрализованные фосфорные кислоты, серная, частично нейтрализованная серная, иодистоводородная и фосфористая кислоты и т.п., а также соли, образованные из относительно нетоксичных органических кислот, таких как уксусная, пропионовая, изомасляная, малеиновая, малоновая, бензойная, янтарная, субериновая, фумаровая, миндальная, фталевая, бензолсульфоновая, п-толилсульфоновая, лимонная, винная, метансульфоновая и т.п. Также включены соли аминокислот, такие как аргинат и т.п., и соли органических кислот, таких как глюкуроновая и галактуроновая кислоты, и т.п. Некоторые конкретные соединения по настоящему изобретению могут содержать как основные, так и кислотные функциональные группы, что позволяет преобразовывать такие соединения либо в основно-, либо в кислотно-аддитивные соли.
Соединения по настоящему изобретению могут быть восстановлены в их нейтральную форму путем контактирования соли с основанием или кислотой и выделения исходного соединения традиционным способом. Исходная форма соединений отличается от различных форм солей некоторыми физическими свойствами, такими как растворимость в полярных растворителях, но в остальном для целей настоящего изобретения соли эквивалентны исходной форме соединений.
Как указано выше, некоторые из соединений по настоящему изобретению содержат хиральные или асимметрические атомы углерода (оптические центры) или двойные связи; рацематы, диастереомеры, геометрические изомеры и индивидуальные оптические изомеры – все входят в объем настоящего изобретения.
Соединения по настоящему изобретению также могут включать все изотопы атомов, присутствующих в промежуточных соединениях или в конечных соединениях. Изотопы включают такие атомы, которые имеют такое же атомное число, но отличаются массовым числом. Например, изотопы водорода включают тритий и дейтерий.
Соединения по настоящему изобретению также могут включать таутомерные формы, такие как кето-енольные таутомеры. Таутомерные формы могут находиться в равновесии или могут быть пространственно замкнуты в одной форме путем подходящего замещения.
Некоторые соединения по настоящему изобретению могут существовать в несольватированных формах, а также в сольватированных формах, включая гидратированные формы. Как правило, сольватированные формы эквивалентны несольватированным формам и также входят в объем настоящего изобретения. Некоторые соединения по настоящему изобретению могут существовать в различных кристаллических или аморфных формах. Как правило, все физические формы эквивалентны для применений, предусматриваемых настоящим изобретением, и входят в объем настоящего изобретения.
Помимо форм солей настоящее изобретение обеспечивает соединения, которые могут быть в форме пролекарств. Пролекарства соединений, описанных в настоящей заявке, представляют собой такие соединения, которые легко претерпевают химические изменения в физиологических условиях, образуя соединения по настоящему изобретению. Кроме того, пролекарства могут быть преобразовываны в соединения по настоящему изобретению химическими или биохимическими способами в условиях ex-vivo. Например, пролекарства могут медленно преобразовываться в соединения по настоящему изобретению, будучи помещенными в резервуар чрескожного пластыря, под действием фермента или химического реагента.
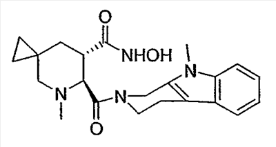
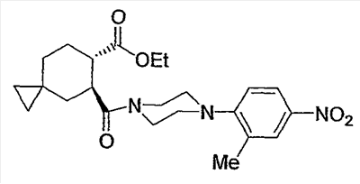
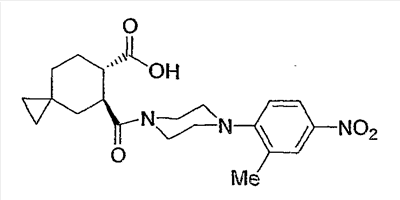
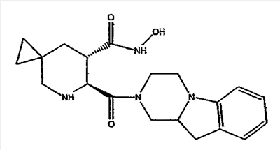
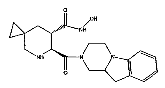
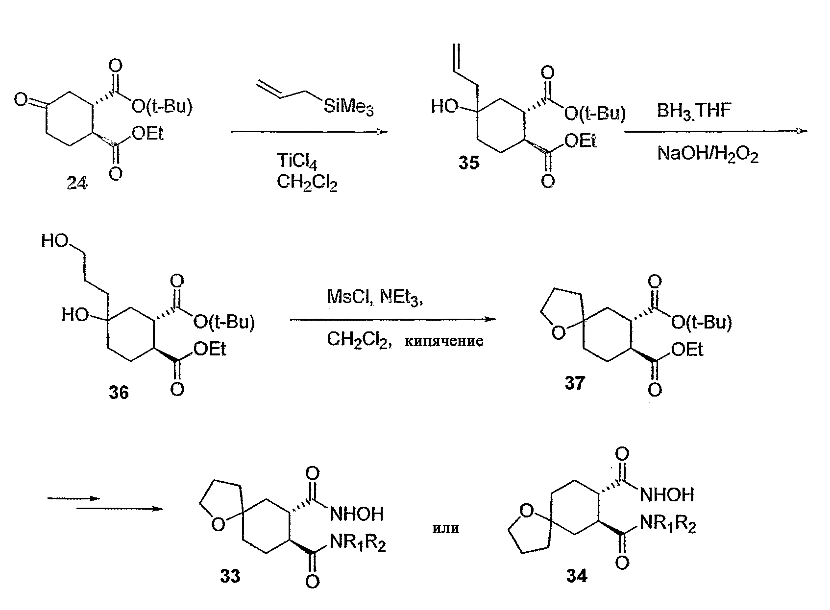
В некоторых вариантах воплощения настоящее изобретение обеспечивает соединение, выбранное из группы, включающей:
N-гидрокси-5-метил-6-{[4-(3-метилфенил)пиперазин-1-ил]карбонил}-5-азаспиро[2,5]октан-7-карбоксамид;
N-гидрокси-5-метил-6-[(4-фенилпиперазин-1-ил)карбонил]-5-азаспиро[2,5]октан-7-карбоксамид;
N-гидрокси-5-метил-6-({4-[3-(трифторметил)фенил]пиперазин-1-ил}карбонил)-5-азаспиро[2,5]октан-7-карбоксамид;
N-гидрокси-5-метил-6-{[4-(2-метилфенил)пиперазин-1-ил]карбонил}-5-азаспиро[2,5]октан-7-карбоксамид;
6-{[4-(4-хлорфенил)пиперазин-1-ил]карбонил}-N-гидрокси-5-метил-5-азаспиро[2,5]октан-7-карбоксамид;
N-гидрокси-5-метил-6-{[4-(2-метил-4-нитрофенил)пиперазин-1-ил]карбонил}-5-азаспиро[2,5]октан-7-карбоксамид;
N-гидрокси-5-метил-6-[(4-фенилпиперидин-1-ил)карбонил]-5-азаспиро[2,5]октан-7-карбоксамид;
N-гидрокси-6-[(4-гидрокси-4-фенилпиперидин-1-ил)карбонил]-5-метил-5-азаспиро[2,5]октан-7-карбоксамид;
N-гидрокси-5-метил-6-[(4-фенил-3,6-дигидропиридин-1(2H)-ил)карбонил]-5-азаспиро[2,5]октан-7-карбоксамид;
N-гидрокси-5-метил-6-[(4-хинолин-2-илпиперазин-1-ил)карбонил]-5-азаспиро[2,5]октан-7-карбоксамид;
6-{[4-(2,3-дихлорфенил)пиперазин-1-ил]карбонил}-N-гидрокси-5-метил-5-азаспиро[2,5]октан-7-карбоксамид;
N-гидрокси-5-метил-6-[(4-хинолин-4-илпиперазин-1-ил)карбонил]-5-азаспиро[2,5]октан-7-карбоксамид;
N-гидрокси-5-метил-6-{[4-(2-метилхинолин-4-ил)пиперазин-1-ил]карбонил}-5-азаспиро[2,5]октан-7-карбоксамид;
N-гидрокси-5-метил-6-{[4-(2-фенилэтил)пиперазин-1-ил]карбонил}-5-азаспиро[2,5]октан-7-карбоксамид;
N-гидрокси-5-метил-6-[(4-пиридин-4-илпиперидин-1-ил)карбонил]-5-азаспиро[2,5]октан-7-карбоксамид;
N-гидрокси-5-метил-6-{[4-(4-нитрофенил)пиперазин-1-ил]карбонил}-5-азаспиро[2,5]октан-7-карбоксамид;
N-гидрокси-6-{[4-(2-метоксифенил)пиперазин-1-ил]карбонил}-5-метил-5-азаспиро[2,5]октан-7-карбоксамид;
N-гидрокси-5-метил-6-[(4-феноксипиперидин-1-ил)карбонил]-5-азаспиро[2,5]октан-7-карбоксамид;
6-(3,4-дигидроизохинолин-2(1H)-илкарбонил)-N-гидрокси-5-метил-5-азаспиро[2,5]октан-7-карбоксамид;
6-(4,7-дигидротиено[2,3-c]пиридин-6(5H)-илкарбонил)-N-гидрокси-5-метил-5-азаспиро[2,5]октан-7-карбоксамид;
6-[(3-бензилпирролидин-1-ил)карбонил]-N-гидрокси-5-метил-5-азаспиро[2,5]октан-7-карбоксамид;
N-гидрокси-5-метил-6-[(4-пиридин-2-илпиперазин-1-ил)карбонил]-5-азаспиро[2,5]октан-7-карбоксамид;
N-гидрокси-5-метил-6-{[4-(2-пиридин-4-илэтил)пиперидин-1-ил]карбонил}-5-азаспиро[2,5]октан-7-карбоксамид;
N-гидрокси-5-метил-6-({4-[5-(трифторметил)пиридин-2-ил]пиперазин-1-ил}карбонил)-5-азаспиро[2,5]октан-7-карбоксамид;
N-гидрокси-5-метил-6-({4-[3-(трифторметил)пиридин-2-ил]пиперазин-1-ил}карбонил)-5-азаспиро[2,5]октан-7-карбоксамид;
6-(1,4′-бипиперидин-1′-илкарбонил)-N-гидрокси-5-метил-5-азаспиро[2,5]октан-7-карбоксамид;
N-гидрокси-5-метил-6-{[4-(пиридин-2-илметил)пиперазин-1-ил]карбонил}-5-азаспиро[2,5]октан-7-карбоксамид;
N-гидрокси-5-метил-6-{[4-(пиридин-4-илметил)пиперазин-1-ил]карбонил}-5-азаспиро[2,5]октан-7-карбоксамид;
N-гидрокси-5-метил-6-{[4-(пиридин-3-илметил)пиперазин-1-ил]карбонил}-5-азаспиро[2,5]октан-7-карбоксамид;
N-гидрокси-5-метил-6-{[4-(2-метилфенил)-3,6-дигидропиридин-1(2H)-ил]карбонил}-5-азаспиро[2,5]октан-7-карбоксамид;
N-гидрокси-6-{[4-(3-метилфенил)пиперазин-1-ил]карбонил}-5-азаспиро[2,5]октан-7-карбоксамид;
N-гидрокси-5-метил-6-(1,3,4,9-тетрагидро-2H- -карболин-2-илкарбонил)-5-азаспиро[2,5]октан-7-карбоксамид;
N-гидрокси-5-метил-6-[(9-метил-1,3,4,9-тетрагидро-2H-b-карболин-2-ил)карбонил]-5-азаспиро[2,5]октан-7-карбоксамид;
6-{[4-(2-фторфенил)-3,6-дигидропиридин-1(2H)-ил]карбонил}-N-гидрокси-5-метил-5-азаспиро[2,5]октан-7-карбоксамид;
6-{[4-(2-хлорфенил)-3,6-дигидропиридин-1(2H)-ил]карбонил}-N-гидрокси-5-метил-5-азаспиро[2,5]октан-7-карбоксамид;
6-{[4-(4-нитрофенил)-3,6-дигидропиридин-1(2H)-ил]карбонил}-N-гидрокси-5-метил-5-азаспиро[2,5]октан-7-карбоксамид;
6-{[4-фенил-3,6-дигидропиридин-1(2H)-ил]карбонил}-N-гидрокси-5-метил-5-азаспиро[2,5]октан-7-карбоксамид;
6-{[4-(2-метил-4-нитрофенил)-3,6-дигидропиридин-1(2H)-ил]карбонил}-N-гидрокси-5-метил-5-азаспиро[2,5]октан-7-карбоксамид;
N(7)-гидрокси-N(6),5-диметил-N(6)-(3-фенилпропил)-5-азаспиро[2,5]октан-6,7-дикарбоксамид;
N(7)-гидрокси-N(6)-изобутил-5-метил-5-азаспиро[2,5]октан-6,7-дикарбоксамид;
N-гидрокси-5-метил-6-{[4-(2-нитрофенил)пиперазин-1-ил]карбонил}-5-азаспиро[2,5]октан-7-карбоксамид;
N(7)-гидрокси-N(6)-изобутил-N(6),5-диметил-5-азаспиро[2,5]октан-6,7-дикарбоксамид;
N(7)-гидрокси-5-метил-N(6)-(2-феноксиэтил)-5-азаспиро[2,5]октан-6,7-дикарбоксамид;
N(7)-гидрокси-N(6)-[2-(4-метоксифенил)этил]-5-метил-5-азаспиро[2,5]октан-6,7-дикарбоксамид;
N(7)-гидрокси-5-метил-N(6)-(4-фенилбутил)-5-азаспиро[2,5]октан-6,7-дикарбоксамид;
N(7)-гидрокси-5-метил-N(6)-[3-(2-оксопирролидин-1-ил)пропил]-5-азаспиро[2,5]октан-6,7-дикарбоксамид;
N-гидрокси-5-метил-6-[(10a)-3,4,10,10a-тетрагидропиразино[1,2-a]индол-2(1H)-илкарбонил]-5-азаспиро[2,5]октан-7-карбоксамид;
(5,6-транс)-N-гидрокси-5-{[4-(2-метил-4-нитрофенил)пиперазин-1-ил]карбонил}спиро[2,5]октан-6-карбоксамид;
(5,6-транс)-N-гидрокси-6-{[4-(3-метилфенил)пиперазин-1-ил]карбонил}спиро[2,5]октан-5-карбоксамид;
(5,6-транс)-N-гидрокси-5-[(4-фенил-3,6-дигидропиридин-1(2H)-ил)карбонил]спиро[2,5]октан-6-карбоксамид;
(5,6-транс)-N-гидрокси-5-{[4-(3-метилфенил)пиперазин-1-ил]карбонил}спиро[2,5]октан-6-карбоксамид;
(5,6-транс)-N-гидрокси-6-[(4-фенил-3,6-дигидропиридин-1(2H)-ил)карбонил]спиро[2,5]октан-5-карбоксамид;
N-гидрокси-6-(3,4,10,10a-тетрагидропиразино[1,2-a]индол-2(1H)-илкарбонил)-5-азаспиро[2,5]октан-7-карбоксамид;
6-(1,2,4,4a,5,6-гексагидро-3H-пиразино[1,2-a]хинолин-3-илкарбонил)-N-гидрокси-5-метил-5-азаспиро[2,5]октан-7-карбоксамид;
метил-7-[(гидроксиамино)карбонил]-6-[(4-фенил-3,6-дигидропиридин-1(2H)-ил)карбонил]-5-азаспиро[2,5]октан-5-карбоксилат;
бензил-7-[(гидроксиамино)карбонил]-6-[(4-фенил-3,6-дигидропиридин-1(2H)-ил)карбонил]-5-азаспиро[2,5]октан-5-карбоксилат;
N-гидрокси-5-(метилсульфонил)-6-[(4-фенил-3,6-дигидропиридин-1(2H)-ил)карбонил]-5-азаспиро[2,5]октан-7-карбоксамид;
N-гидрокси-6-{[3-(3-метоксифенил)пиперидин-1-ил]карбонил}-5-метил-5-азаспиро[2,5]октан-7-карбоксамид;
N-гидрокси-5-метил-6-{[3-(2-фенилэтил)пирролидин-1-ил]карбонил}-5-азаспиро[2,5]октан-7-карбоксамид;
N-гидрокси-6-{[4-(3-метоксифенил)пиперидин-1-ил]карбонил}-5-метил-5-азаспиро[2,5]октан-7-карбоксамид;
6-{[4-[3-(аминокарбонил)фенил]-3,6-дигидропиридин-1(2H)-ил]карбонил}-N-гидрокси-5-азаспиро[2,5]октан-7-карбоксамид;
N-гидрокси-6-{[4-(2-метоксифенил)пиперидин-1-ил]карбонил}-5-метил-5-азаспиро[2,5]октан-7-карбоксамид;
6-{[4-(3-фтор-2-метилфенил)пиперазин-1-ил]карбонил}-N-гидрокси-5-азаспиро[2,5]октан-7-карбоксамид;
N-гидрокси-6-{[4-(2-метил-3-нитрофенил)пиперазин-1-ил]карбонил}-5-азаспиро[2,5]октан-7-карбоксамид;
6-(3′,6′-дигидро-3,4′-бипиридин-1′(2’H)-илкарбонил)-N-гидрокси-5-азаспиро[2,5]октан-7-карбоксамид;
N(7)-гидрокси-N(6)-(4-метоксифенил)-N(6)-метил-5-азаспиро[2,5]октан-6,7-дикарбоксамид;
N-гидрокси-6-{[4-(3-метоксифенил)пиперазин-1-ил]карбонил}-5-метил-5-азаспиро[2,5]октан-7-карбоксамид;
6-{[4-(3-хлорфенил)пиперазин-1-ил]карбонил}-N-гидрокси-5-метил-5-азаспиро[2,5]октан-7-карбоксамид;
N-гидрокси-6-[(4-фенил-1,4-диазепан-1-ил)карбонил]-5-азаспиро[2,5]октан-7-карбоксамид;
N-гидрокси-6-{[3-метил-4-(3-метилфенил)пиперазин-1-ил]карбонил}-5-азаспиро[2,5]октан-7-карбоксамид;
N-гидрокси-6-{[4-(3-метоксифенил)пиперидин-1-ил]карбонил}-5-азаспиро[2,5]октан-7-карбоксамид;
N-гидрокси-6-[(3-фенилпирролидин-1-ил)карбонил]спиро[2,5]октан-5-карбоксамид;
N-гидрокси-6-[(4-изобутирилпиперазин-1-ил)карбонил]-5-азаспиро[2,5]октан-7-карбоксамид;
6-{[4-(4-циано-2-метилфенил)-3,6-дигидропиридин-1(2H)-ил]карбонил}-N-гидрокси-5-азаспиро[2,5]октан-7-карбоксамид;
N(7)-гидрокси-5-метил-N(6)-{4-[(2-метилхинолин-4-ил)метокси]фенил}-5-азаспиро[2,5]октан-6,7-дикарбоксамид;
N(7)-гидрокси-N(6)-{4-[(2-метилхинолин-4-ил)метокси]фенил}-5-азаспиро[2,5]октан-6,7-дикарбоксамид;
6-{[4-(4-цианофенил)пиперазин-1-ил]карбонил}-N-гидрокси-5-азаспиро[2,5]октан-7-карбоксамид;
N-гидрокси-7-[(4-фенилпиперидин-1-ил)карбонил]-5-азаспиро[2,5]октан-6-карбоксамид;
N-гидрокси-6-[(4-фенилпиперидин-1-ил)карбонил]-5-азаспиро[2,5]октан-7-карбоксамид;
N-Гидрокси-6-[(4-фенилпиперазин-1-ил)карбонил]-5-азаспиро[2,5]октан-7-карбоксамид;
N-гидрокси-6-({4-[3-(метоксиметил)фенил]пиперидин-1-ил}карбонил)-5-азаспиро[2,5]октан-7-карбоксамид;
метил-3-[1-({7-[(гидроксиамино)карбонил]-5-азаспиро[2,5]окт-6-ил}карбонил)пиперидин-4-ил]бензоат;
6-[(3-циклогексилпирролидин-1-ил)карбонил]-N-гидрокси-5-азаспиро[2,5]октан-7-карбоксамид;
N-гидрокси-6-{[4-(3-изопропилфенил)-3,6-дигидропиридин-1(2H)-ил]карбонил}-5-азаспиро[2,5]октан-7-карбоксамид;
N-гидрокси-6-{[4-(3-изопропилфенил)пиперидин-1-ил]карбонил}-5-азаспиро[2,5]октан-7-карбоксамид;
N-гидрокси-6-{[4-(4-пропилфенил)-3,6-дигидропиридин-1(2H)-ил]карбонил}-5-азаспиро[2,5]октан-7-карбоксамид;
N-гидрокси-6-{[4-(4-этилфенил)-3,6-дигидропиридин-1(2H)-ил]карбонил}-5-азаспиро[2,5]октан-7-карбоксамид;
N-гидрокси-6-{[4-(4-этилфенил)пиперидин-1-ил]карбонил}-5-азаспиро[2,5]октан-7-карбоксамид;
6-{[4-(4-циано-2-метилфенил)пиперазин-1-ил]карбонил}-N-гидрокси-5-азаспиро[2,5]октан-7-карбоксамид;
N-гидрокси-6-{[4-(3-изопропоксифенил)-3,6-дигидропиридин-1(2H)-ил]карбонил}-5-азаспиро[2,5]октан-7-карбоксамид;
N-гидрокси-6-{[4-(3-метилфенил)-3,6-дигидропиридин-1(2H)-ил]карбонил}-5-азаспиро[2,5]октан-7-карбоксамид;
N-гидрокси-6-{[4-(3-метилфенил)пиперидин-1-ил]карбонил}-5-азаспиро[2,5]октан-7-карбоксамид;
6-{[4-(4-трет-бутилфенил)пиперазин-1-ил]карбонил}-N-гидрокси-5-азаспиро[2,5]октан-7-карбоксамид;
N-гидрокси-6-[(4-пиридин-4-илпиперазин-1-ил)карбонил]-5-азаспиро[2,5]октан-7-карбоксамид;
6-[(3-бензилпиперидин-1-ил)карбонил]-N-гидрокси-5-азаспиро[2,5]октан-7-карбоксамид;
N-гидрокси-6-[(5-метокси-2,3-дигидро-1H-индол-1-ил)карбонил]-5-азаспиро[2,5]октан-7-карбоксамид;
N-гидрокси-6-({5-[(2-метилхинолин-4-ил)метокси]-2,3-дигидро-1H-индол-1-ил}карбонил)-5-азаспиро[2,5]октан-7-карбоксамид;
N-гидрокси-5-метил-6-({5-[(2-метилхинолин-4-ил)метокси]-2,3-дигидро-1H-индол-1-ил}карбонил)-5-азаспиро[2,5]октан-7-карбоксамид;
6-{[5-(бензилокси)-2,3-дигидро-1H-индол-1-ил]карбонил}-N-гидрокси-5-азаспиро[2,5]октан-7-карбоксамид;
6-(1,3-дигидро-1’H-спиро[инден-2,4′-пиперидин]-1′-илкарбонил)-N-гидрокси-5-азаспиро[2,5]октан-7-карбоксамид;
N-гидрокси-6-{[4-(3-изопропоксифенил)пиперидин-1-ил]карбонил}-5-азаспиро[2,5]октан-7-карбоксамид;
метил-4-[1-({7-[(гидроксиамино)карбонил]-5-азаспиро[2,5]окт-6-ил}карбонил)-1,2,3,6-тетрагидропиридин-4-ил]-3-метилбензоат;
N-гидрокси-6-{[4-(2-метил-4-нитрофенил)-3,6-дигидропиридин-1(2H)-ил]карбонил}-5-азаспиро[2,5]октан-7-карбоксамид;
6-{[4-(2-этилфенил)пиперидин-1-ил]карбонил}-N-гидрокси-5-азаспиро[2,5]октан-7-карбоксамид;
метил-4-[1-({7-[(гидроксиамино)карбонил]-5-азаспиро[2,5]окт-6-ил}карбонил)пиперидин-4-ил]-3-метилбензоат;
6-{[4-(2,3-дигидро-1-бензофуран-5-ил)-3,6-дигидропиридин-1(2H)-ил]карбонил}-N-гидрокси-5-метил-5-азаспиро[2,5]октан-7-карбоксамид;
N-гидрокси-6-{[4-(3-изопропилфенил)-3,6-дигидропиридин-1(2H)-ил]карбонил}-5-метил-5-азаспиро[2,5]октан-7-карбоксамид;
N-гидрокси-6-{[(3R)-3-фенилпирролидин-1-ил]карбонил}-5-азаспиро[2,5]октан-7-карбоксамид;
N-гидрокси-6-{[(3S)-3-фенилпирролидин-1-ил]карбонил}-5-азаспиро[2,5]октан-7-карбоксамид;
N-гидрокси-6-({3-[3-(трифторметил)фенил]пирролидин-1-ил}карбонил)-5-азаспиро[2,5]октан-7-карбоксамид;
6-{[3-(3-хлорфенил)пирролидин-1-ил]карбонил}-N-гидрокси-5-азаспиро[2,5]октан-7-карбоксамид;
6-{[3-(3-фторфенил)пирролидин-1-ил]карбонил}-N-гидрокси-5-азаспиро[2,5]октан-7-карбоксамид;
6-{[3-(4-фторфенил)пирролидин-1-ил]карбонил}-N-гидрокси-5-азаспиро[2,5]октан-7-карбоксамид;
6-{[3-(4-хлорфенил)пирролидин-1-ил]карбонил}-N-гидрокси-5-азаспиро[2,5]октан-7-карбоксамид;
N-гидрокси-6-({3-[4-(трифторметил)фенил]пирролидин-1-ил}карбонил)-5-азаспиро[2,5]октан-7-карбоксамид;
6-{[3-(4-метоксифенил)пирролидин-1-ил]карбонил}-N-гидрокси-5-азаспиро[2,5]октан-7-карбоксамид;
6-{[3-(4-феноксифенил)пирролидин-1-ил]карбонил}-N-гидрокси-5-азаспиро[2,5]октан-7-карбоксамид;
N-гидрокси-6-{[4-(3-метоксифенил)-3,6-дигидропиридин-1(2H)-ил]карбонил}-5-азаспиро[2,5]октан-7-карбоксамид;
N-гидрокси-6-{[4-(4-циано-3-метилфенил)-3,6-дигидропиридин-1(2H)-ил]карбонил}-5-азаспиро[2,5]октан-7-карбоксамид;
6-{[3-(3-метоксифенил)пирролидин-1-ил]карбонил}-N-гидрокси-5-азаспиро[2,5]октан-7-карбоксамид;
N-гидрокси-6-[(3-пиридин-4-илпирролидин-1-ил)карбонил]-5-азаспиро[2,5]октан-7-карбоксамид;
N-гидрокси-6-{[4-(3,5-диметилфенил)-3,6-дигидропиридин-1(2H)-ил]карбонил}-5-азаспиро[2,5]октан-7-карбоксамид;
N-гидрокси-6-{[4-(3-трифторметоксифенил)-3,6-дигидропиридин-1(2H)-ил]карбонил}-5-азаспиро[2,5]октан-7-карбоксамид;
N-гидрокси-6-{[5-(метоксиметил)-4-фенил-3,6-дигидропиридин-1(2H)-ил]карбонил}-5-азаспиро[2,5]октан-7-карбоксамид;
N-гидрокси-6-(1,4,5,6-тетрагидробензо[f]изохинолин-3(2H)-илкарбонил)-5-азаспиро[2,5]октан-7-карбоксамид;
N-гидрокси-6-{[4-(5-метокси-2-метилфенил)-3,6-дигидропиридин-1(2H)-ил]карбонил}-5-азаспиро[2,5]октан-7-карбоксамид;
N-гидрокси-6-{[4-(4-метокси-2-метилфенил)-3,6-дигидропиридин-1(2H)-ил]карбонил}-5-азаспиро[2,5]октан-7-карбоксамид;
6-[(4-циано-4-фенилпиперидин-1-ил)карбонил]-N-гидрокси-5-азаспиро[2,5]октан-7-карбоксамид;
этил-7-[(гидроксиамино)карбонил]-6-[(4-фенил-3,6-дигидропиридин-1(2H)-ил)карбонил]-5-азаспиро[2,5]октан-5-карбоксилат;
пропил-7-[(гидроксиамино)карбонил]-6-[(4-фенил-3,6-дигидропиридин-1(2H)-ил)карбонил]-5-азаспиро[2,5]октан-5-карбоксилат;
изопропил-7-[(гидроксиамино)карбонил]-6-[(4-фенил-3,6-дигидропиридин-1(2H)-ил)карбонил]-5-азаспиро[2,5]октан-5-карбоксилат;
изобутил-7-[(гидроксиамино)карбонил]-6-[(4-фенил-3,6-дигидропиридин-1(2H)-ил)карбонил]-5-азаспиро[2,5]октан-5-карбоксилат и
N-гидрокси-6-[(5-метил-4-фенил-3,6-дигидропиридин-1(2H)-ил)карбонил]-5-азаспиро[2,5]октан-7-карбоксамид.
Соединения по настоящему изобретению, кроме того, включают:
6-(1,4,4a,5,6,10b-гексагидробензо[f]изохинолин-3(2H)-илкарбонил)-N-гидрокси-5-азаспиро[2,5]октан-7-карбоксамид;
6-{[4-(4-фторфенил)-3-гидроксипиперидин-1-ил]карбонил}-N-гидрокси-5-азаспиро[2,5]октан-7-карбоксамид;
N-гидрокси-6-(3,3a,8,8a-тетрагидроинденo[1,2-c]пиррол-2(1H)-илкарбонил)-5-азаспиро[2,5]октан-7-карбоксамид;
N-гидрокси-6-{[4-(4-фенил-1,3-тиазол-2-ил)пиперидин-1-ил]карбонил}-5-азаспиро[2,5]октан-7-карбоксамид;
N-гидрокси-6-{[4-(4-трет-бутил-1,3-тиазол-2-ил)пиперидин-1-ил]карбонил}-5-азаспиро[2,5]октан-7-карбоксамид;
N-гидрокси-6-[(4-метил-4-фенилпиперидин-1-ил)карбонил]-5-азаспиро[2,5]октан-7-карбоксамид;
N-гидрокси-6-{[4-(4-этил-1,3-тиазол-2-ил)пиперидин-1-ил]карбонил}-5-азаспиро[2,5]октан-7-карбоксамид;
N-гидрокси-6-{[(транс)-3-метил-4-фенилпирролидин-1-ил]карбонил}-5-азаспиро[2,5]октан-7-карбоксамид;
6-{[4-(2-фторфенил)пиперазин-1-ил]карбонил}-N-гидрокси-5-азаспиро[2,5]октан-7-карбоксамид;
6-{[4-(3,5-диметилфенил)-3,6-дигидропиридин-1(2H)-ил]карбонил}-N-гидрокси-5-метил-5-азаспиро[2,5]октан-7-карбоксамид;
тетрагидро-2H-пиран-4-ил-7-((гидроксиамино)карбонил)-6-((4-фенилпиперазин-1-ил)карбонил)-5-азаспиро(2,5)октан-5-карбоксилат;
этил-7-((гидроксиамино)карбонил)-6-((4-фенилпиперазин-1-ил)карбонил)-5-азаспиро(2,5)октан-5-карбоксилат;
метил-7-[(гидроксиамино)карбонил]-6-[(4-фенилпиперазин-1-ил)карбонил]-5-азаспиро[2,5]октан-5-карбоксилат;
N-гидрокси-6-[(4-пиразин-2-илпиперазин-1-ил)карбонил]-5-азаспиро[2,5]октан-7-карбоксамид;
N-гидрокси-6-[(4-хинолин-2-илпиперазин-1-ил)карбонил]-5-азаспиро[2,5]октан-7-карбоксамид;
N-гидрокси-6-{[3-(5,6,7,8-тетрагидронафталин-2-ил)пирролидин-1-ил]карбонил}-5-азаспиро[2,5]октан-7-карбоксамид;
N-гидрокси-5-метил-6-{[(3R)-3-фенилпирролидин-1-ил]карбонил}-5-азаспиро[2,5]октан-7-карбоксамид;
метил-7-[(гидроксиамино)карбонил]-6-{[(3R)-3-фенилпирролидин-1-ил]карбонил}-5-азаспиро[2,5]октан-5-карбоксилат;
N-гидрокси-6-[(3-пиридин-3-илпирролидин-1-ил)карбонил]-5-азаспиро[2,5]октан-7-карбоксамид;
N-гидрокси-6-[(3-пиридин-2-илпирролидин-1-ил)карбонил]-5-азаспиро[2,5]октан-7-карбоксамид;
N-гидрокси-6-[(3-метил-3-фенилпирролидин-1-ил)карбонил]-5-азаспиро[2,5]октан-7-карбоксамид;
N-гидрокси-6-[(3-фенилазетидин-1-ил)карбонил]-5-азаспиро[2,5]октан-7-карбоксамид;
N-гидрокси-5-метил-6-[(3-метил-3-фенилпирролидин-1-ил)карбонил]-5-азаспиро[2,5]октан-7-карбоксамид;
N-гидрокси-5-метил-6-[(3-фенилазетидин-1-ил)карбонил]-5-азаспиро[2,5]октан-7-карбоксамид;
6-(1,3,3a,4,5,9b-гексагидро-2H-бензо[e]изоиндол-2-илкарбонил)-N-гидрокси-5-азаспиро[2,5]октан-7-карбоксамид;
N-гидрокси-6-{[3-(2-нафтил)пирролидин-1-ил]карбонил}-5-азаспиро[2,5]октан-7-карбоксамид;
N-гидрокси-6-{[4-(2-тиенил)-3,6-дигидропиридин-1(2H)-ил]карбонил}-5-азаспиро[2,5]октан-7-карбоксамид;
N-гидрокси-6-{[3-(3-тиенил)пирролидин-1-ил]карбонил}-5-азаспиро[2,5]октан-7-карбоксамид;
N-гидрокси-6-{[3-(2-тиенил)пирролидин-1-ил]карбонил}-5-азаспиро[2,5]октан-7-карбоксамид;
N-гидрокси-6-{[4-(2-тиенил)пиперидин-1-ил]карбонил}-5-азаспиро[2,5]октан-7-карбоксамид;
N-гидрокси-6-{[3-(2-метилфенил)пирролидин-1-ил]карбонил}-5-азаспиро[2,5]октан-7-карбоксамид;
N-гидрокси-6-{[3-(4-метилфенил)пирролидин-1-ил]карбонил}-5-азаспиро[2,5]октан-7-карбоксамид;
5-ацетил-N-гидрокси-6-[(4-фенил-3,6-дигидропиридин-1(2H)-ил)карбонил]-5-азаспиро[2,5]октан-7-карбоксамид;
N-гидрокси-6-{[4-(3-тиенил)-3,6-дигидропиридин-1(2H)-ил]карбонил}-5-азаспиро[2,5]октан-7-карбоксамид;
N-гидрокси-6-[(3-фенилпиперидин-1-ил)карбонил]-5-азаспиро[2,5]октан-7-карбоксамид;
N-гидрокси-6-{[4-(3-тиенил)пиперидин-1-ил]карбонил}-5-азаспиро[2,5]октан-7-карбоксамид;
метил-6-{[4-(3,5-диметилфенил)-3,6-дигидропиридин-1(2H)-ил]карбонил}-7-[(гидроксиамино)карбонил]-5-азаспиро[2,5]октан-5-карбоксилат;
6-{[4-(3,5-диметилфенил)-3,6-дигидропиридин-1(2H)-ил]карбонил}-N-гидрокси-5-(метилсульфонил)-5-азаспиро[2,5]октан-7-карбоксамид;
6-{[4-(3,5-дифторфенил)-3,6-дигидропиридин-1(2H)-ил]карбонил}-N-гидрокси-5-азаспиро[2,5]октан-7-карбоксамид;
6-{[4-(3,5-дихлорфенил)-3,6-дигидропиридин-1(2H)-ил]карбонил}-N-гидрокси-5-азаспиро[2,5]октан-7-карбоксамид;
6-{[4-[3,5-бис(трифторметил)фенил]-3,6-дигидропиридин-1(2H)-ил]карбонил}-N-гидрокси-5-азаспиро[2,5]октан-7-карбоксамид;
N-гидрокси-5-(метилсульфонил)-6-[(4-фенилпиперазин-1-ил)карбонил]-5-азаспиро[2,5]октан-7-карбоксамид;
5-формил-N-гидрокси-6-[(4-фенилпиперазин-1-ил)карбонил]-5-азаспиро[2,5]октан-7-карбоксамид;
6-{[4-(3,5-дифторфенил)пиперидин-1-ил]карбонил}-N-гидрокси-5-азаспиро[2,5]октан-7-карбоксамид;
6-{[4-(2,5-диметилфенил)-3,6-дигидропиридин-1(2H)-ил]карбонил}-N-гидрокси-5-азаспиро[2,5]октан-7-карбоксамид;
6-{[4-(2,4,5-триметилфенил)-3,6-дигидропиридин-1(2H)-ил]карбонил}-N-гидрокси-5-азаспиро[2,5]октан-7-карбоксамид;
6-[(4-бифенил-3-илпиперидин-1-ил)карбонил]-N-гидрокси-5-азаспиро[2,5]октан-7-карбоксамид;
6-[(4-дибензо[b,d]фуран-4-илпиперидин-1-ил)карбонил]-N-гидрокси-5-азаспиро[2,5]октан-7-карбоксамид;
6-{[4-(2,5-диметилфенил)пиперидин-1-ил]карбонил}-N-гидрокси-5-азаспиро[2,5]октан-7-карбоксамид;
6-{[4-(2,4,5-триметилфенил)пиперидин-1-ил]карбонил}-N-гидрокси-5-азаспиро[2,5]октан-7-карбоксамид;
метил-3-[1-({7-[(гидроксиамино)карбонил]-5-азаспиро[2,5]окт-6-ил}карбонил)-1,2,3,6-тетрагидропиридин-4-ил]-4-метилбензоат;
6-[(5-фенил-2,3,4,7-тетрагидро-1H-азепин-1-ил)карбонил]-N-гидрокси-5-азаспиро[2,5]октан-7-карбоксамид;
6-{[4-[3-(диметиламино)фенил]-3,6-дигидропиридин-1(2H)-ил]карбонил}-N-гидрокси-5-азаспиро[2,5]октан-7-карбоксамид;
метил-3-[1-({7-[(гидроксиамино)карбонил]-5-азаспиро[2,5]окт-6-ил}карбонил)пиперидин-4-ил]-4-метилбензоат;
6-[(5-фенилазепан-1-ил)карбонил]-N-гидрокси-5-азаспиро[2,5]октан-7-карбоксамид;
6-({4-[3-(диметиламино)фенил]пиперидин-1-ил}карбонил)-N-гидрокси-5-азаспиро[2,5]октан-7-карбоксамид;
6-{[4-(2-метилфенил)-3,6-дигидропиридин-1(2H)-ил]карбонил}-N-гидрокси-5-азаспиро[2,5]октан-7-карбоксамид;
6-[(3-фенил-2,5-дигидро-1H-пиррол-1-ил)карбонил]-N-гидрокси-5-азаспиро[2,5]октан-7-карбоксамид;
6-{[4-(4-циано-2-метилфенил)пиперидин-1-ил]карбонил}-N-гидрокси-5-азаспиро[2,5]октан-7-карбоксамид;
6-[(3,3-диметил-4-фенил-3,6-дигидропиридин-1(2H)-ил)карбонил]-N-гидрокси-5-азаспиро[2,5]октан-7-карбоксамид;
6-[(3,3-диметил-4-фенилпиперидин-1-ил)карбонил]-N-гидрокси-5-азаспиро[2,5]октан-7-карбоксамид;
N-гидрокси-5-(метилсульфонил)-6-[(3-фенил-2,5-дигидро-1H-пиррол-1-ил)карбонил]-5-азаспиро[2,5]октан-7-карбоксамид;
метил-7-[(гидроксиамино)карбонил]-6-[(3-фенил-2,5-дигидро-1H-пиррол-1-ил)карбонил]-5-азаспиро[2,5]октан-5-карбоксилат;
N-гидрокси-5-метил-6-[(3-фенил-2,5-дигидро-1H-пиррол-1-ил)карбонил]-5-азаспиро[2,5]октан-7-карбоксамид;
6-{[4-(4-циано-3-метилфенил)пиперидин-1-ил]карбонил}-N-гидрокси-5-азаспиро[2,5]октан-7-карбоксамид;
6-{[4-[3-(бензилокси)фенил]-3,6-дигидропиридин-1(2H)-ил]карбонил}-N-гидрокси-5-азаспиро[2,5]октан-7-карбоксамид;
6-{[4-[3-этилфенил]-3,6-дигидропиридин-1(2H)-ил]карбонил}-N-гидрокси-5-азаспиро[2,5]октан-7-карбоксамид;
6-{[4-[3-(этилокси)фенил]-3,6-дигидропиридин-1(2H)-ил]карбонил}-N-гидрокси-5-азаспиро[2,5]октан-7-карбоксамид;
6-{[4-(3-этилфенил)пиперидин-1-ил]карбонил}-N-гидрокси-5-азаспиро[2,5]октан-7-карбоксамид;
6-{[4-(3-этоксифенил)пиперидин-1-ил]карбонил}-N-гидрокси-5-азаспиро[2,5]октан-7-карбоксамид;
6-{[4-(3-циклопропилфенил)-3,6-дигидропиридин-1(2H)-ил]карбонил}-N-гидрокси-5-азаспиро[2,5]октан-7-карбоксамид;
6-{[4-(4-метокси-3,5-диметилфенил)-3,6-дигидропиридин-1(2H)-ил]карбонил}-N-гидрокси-5-азаспиро[2,5]октан-7-карбоксамид;
6-{[4-(3,5-диметил-4-метоксифенил)пиперидин-1-ил]карбонил}-N-гидрокси-5-азаспиро[2,5]октан-7-карбоксамид;
6-{[4-(4-циано-3-этилфенил)-3,6-дигидропиридин-1(2H)-ил]карбонил}-N-гидрокси-5-азаспиро[2,5]октан-7-карбоксамид;
6-{[4-(4-циано-3-этилфенил)пиперидин-1-ил]карбонил}-N-гидрокси-5-азаспиро[2,5]октан-7-карбоксамид;
6-{[4-(4-циано-3,5-диметилфенил)-3,6-дигидропиридин-1(2H)-ил]карбонил}-N-гидрокси-5-азаспиро[2,5]октан-7-карбоксамид;
6-{[4-(4-циано-3,5-диметилфенил)пиперидин-1-ил]карбонил}-N-гидрокси-5-азаспиро[2,5]октан-7-карбоксамид;
6-{[4-(1,3-бензотиазол-6-ил)-3,6-дигидропиридин-1(2H)-ил]карбонил}-N-гидрокси-5-азаспиро[2,5]октан-7-карбоксамид;
N-гидрокси-6-{[4-(1-метил-1H-бензимидазол-6-ил)-3,6-дигидропиридин-1(2H)-ил]карбонил}-5-азаспиро[2,5]октан-7-карбоксамид;
N-гидрокси-6-{[4-(1-метил-1H-бензимидазол-6-ил)пиперидин-1-ил]карбонил}-5-азаспиро[2,5]октан-7-карбоксамид;
6-{[4-(4-циано-3-изопропилфенил)-3,6-дигидропиридин-1(2H)-ил]карбонил}-N-гидрокси-5-азаспиро[2,5]октан-7-карбоксамид;
6-{[4-(4-циано-3-изопропилфенил)пиперидин-1-ил]карбонил}-N-гидрокси-5-азаспиро[2,5]октан-7-карбоксамид;
6-{[4-(4-циано-3-этилфенил)-3,6-дигидропиридин-1(2H)-ил]карбонил}-N-гидрокси-5-метил-5-азаспиро[2,5]октан-7-карбоксамид;
6-{[4-(4-циано-3,5-диметилфенил)-3,6-дигидропиридин-1(2H)-ил]карбонил}-N-гидрокси-5-метил-5-азаспиро[2,5]октан-7-карбоксамид;
N-гидрокси-6-{[4-(1-этил-1H-бензимидазол-6-ил)-3,6-дигидропиридин-1(2H)-ил]карбонил}-5-азаспиро[2,5]октан-7-карбоксамид;
N-гидрокси-6-{[4-(1-метил-1H-индазол-5-ил)-3,6-дигидропиридин-1(2H)-ил]карбонил}-5-азаспиро[2,5]октан-7-карбоксамид;
N-гидрокси-6-{[4-(1-этил-1H-бензимидазол-6-ил)пиперидин-1-ил]карбонил}-5-азаспиро[2,5]октан-7-карбоксамид;
N-гидрокси-6-{[4-(1-метил-1H-индазол-5-ил)пиперидин-1-ил]карбонил}-5-азаспиро[2,5]октан-7-карбоксамид;
N-гидрокси-6-{[4-(1-этил-1H-индазол-5-ил)-3,6-дигидропиридин-1(2H)-ил]карбонил}-5-азаспиро[2,5]октан-7-карбоксамид;
тетрагидро-2H-пиран-4-ил-6-{[4-(1-этил-1H-бензимидазол-6-ил)пиперидин-1-ил]карбонил}-7-[(гидроксиамино)карбонил]-5-азаспиро[2,5]октан-5-карбоксилат;
метил-6-{[4-(1-этил-1H-бензимидазол-6-ил)-3,6-дигидропиридин-1(2H)-ил]карбонил}-7-[(гидроксиамино)карбонил]-5-азаспиро[2,5]октан-5-карбоксилат;
6-{[4-(1-этил-1H-бензимидазол-6-ил)-3,6-дигидропиридин-1(2H)-ил]карбонил}-N-гидрокси-5-(метилсульфонил)-5-азаспиро[2,5]октан-7-карбоксамид;
метил-6-{[4-(1-этил-1H-бензимидазол-6-ил)пиперидин-1-ил]карбонил}-7-[(гидроксиамино)карбонил]-5-азаспиро[2,5]октан-5-карбоксилат;
6-{[4-(1-этил-1H-бензимидазол-6-ил)пиперидин-1-ил]карбонил}-N-гидрокси-5-(метилсульфонил)-5-азаспиро[2,5]октан-7-карбоксамид;
6-{[4-(4-циано-2-метилфенил)пиперидин-1-ил]карбонил}-N-гидрокси-5-(метилсульфонил)-5-азаспиро[2,5]октан-7-карбоксамид;
метил-6-{[4-(4-циано-2-метилфенил)пиперазин-1-ил]карбонил}-7-[(гидроксиамино)карбонил]-5-азаспиро[2,5]октан-5-карбоксилат;
6-{[4-(1-этил-1H-бензимидазол-6-ил)пиперазин-1-ил]карбонил}-N-гидрокси-5-азаспиро[2,5]октан-7-карбоксамид;
метил-6-{[4-(1-этил-1H-бензимидазол-6-ил)пиперазин-1-ил]карбонил}-7-[(гидроксиамино)карбонил]-5-азаспиро[2,5]октан-5-карбоксилат;
6-{[4-(1-этил-1H-бензимидазол-6-ил)пиперазин-1-ил]карбонил}-N-гидрокси-5-(метилсульфонил)-5-азаспиро[2,5]октан-7-карбоксамид;
тетрагидро-2H-пиран-4-ил-6-{[4-(4-циано-2-метилфенил)пиперазин-1-ил]карбонил}-7-[(гидроксиамино)карбонил]-5-азаспиро[2,5]октан-5-карбоксилат;
тетрагидро-2H-пиран-4-ил-6-{[4-(1-этил-1H-бензимидазол-6-ил)пиперазин-1-ил]карбонил}-7-[(гидроксиамино)карбонил]-5-азаспиро[2,5]октан-5-карбоксилат;
N-гидрокси-6-[(3-метил-4-фенилпиперидин-1-ил)карбонил]-5-азаспиро[2,5]октан-7-карбоксамид;
6-{[5-(аминокарбонил)-4-фенил-3,6-дигидропиридин-1(2H)-ил]карбонил}-N-гидрокси-5-азаспиро[2,5]октан-7-карбоксамид;
6-{[4-(4-цианофенил)-5-метил-3,6-дигидропиридин-1(2H)-ил]карбонил}-N-гидрокси-5-азаспиро[2,5]октан-7-карбоксамид;
6-{[4-(4-цианофенил)-3-метилпиперидин-1-ил]карбонил}-N-гидрокси-5-азаспиро[2,5]октан-7-карбоксамид;
N-гидрокси-6-{[5-метил-4-(4-нитрофенил)-3,6-дигидропиридин-1(2H)-ил]карбонил}-5-азаспиро[2,5]октан-7-карбоксамид;
N-гидрокси-6-{[5-метил-4-(3-нитрофенил)-3,6-дигидропиридин-1(2H)-ил]карбонил}-5-азаспиро[2,5]октан-7-карбоксамид;
6-[(4-дибензо[b,d]фуран-2-ил-3,6-дигидропиридин-1(2H)-ил)карбонил]-N-гидрокси-5-азаспиро[2,5]октан-7-карбоксамид;
6-[(4-дибензо[b,d]фуран-2-илпиперидин-1-ил)карбонил]-N-гидрокси-5-азаспиро[2,5]октан-7-карбоксамид;
6-{[4-(3,3-диметил-2,3-дигидро-1-бензофуран-5-ил)-3,6-дигидропиридин-1(2H)-ил]карбонил}-N-гидрокси-5-азаспиро[2,5]октан-7-карбоксамид;
6-{[4-(3,3-диметил-2,3-дигидро-1-бензофуран-5-ил)пиперидин-1-ил]карбонил}-N-гидрокси-5-азаспиро[2,5]октан-7-карбоксамид;
изопропил-7-[(гидроксиамино)карбонил]-6-[(3-фенил-2,5-дигидро-1H-пиррол-1-ил)карбонил]-5-азаспиро[2,5]октан-5-карбоксилат;
(3S)-тетрагидрофуран-3-ил-7-[(гидроксиамино)карбонил]-6-[(3-фенил-2,5-дигидро-1H-пиррол-1-ил)карбонил]-5-азаспиро[2,5]октан-5-карбоксилат;
циклогексил-7-[(гидроксиамино)карбонил]-6-[(3-фенил-2,5-дигидро-1H-пиррол-1-ил)карбонил]-5-азаспиро[2,5]октан-5-карбоксилат;
тетрагидро-2H-пиран-4-ил-7-[(гидроксиамино)карбонил]-6-[(3-фенил-2,5-дигидро-1H-пиррол-1-ил)карбонил]-5-азаспиро[2,5]октан-5-карбоксилат;
N-гидрокси-6-((4-фенилпиперазин-1-ил)карбонил)спиро(2,5)октан-5-карбоксамид;
N-гидрокси-6-{[(3R)-3-фенилпирролидин-1-ил]карбонил}спиро[2,5]октан-5-карбоксамид;
N-гидрокси-6-{[4-(2-метил-4-нитрофенил)пиперазин-1-ил]карбонил}спиро[2,5]октан-5-карбоксамид;
N-гидрокси-6-[(4-фенил-3,6-дигидропиридин-1(2H)-ил)карбонил]спиро[2,5]октан-5-карбоксамид;
(3S)-тетрагидрофуран-3-ил-7-[(гидроксиамино)карбонил]-6-[(4-фенилпиперазин-1-ил)карбонил]-5-азаспиро[2,5]октан-5-карбоксилат;
(3R)-тетрагидрофуран-3-ил-7-[(гидроксиамино)карбонил]-6-[(4-фенилпиперазин-1-ил)карбонил]-5-азаспиро[2,5]октан-5-карбоксилат;
2-метоксиэтил-7-((гидроксиамино)карбонил)-6-((4-фенилпиперазин-1-ил)карбонил)-5-азаспиро(2,5)октан-5-карбоксилат;
N-гидрокси-6-[(4-фенилпиперазин-1-ил)карбонил]-5-(фенилсульфонил)-5-азаспиро[2,5]октан-7-карбоксамид;
пропил-7-[(гидроксиамино)карбонил)]-6-[(4-фенилпиперазин-1-ил)карбонил]-5-азаспиро[2,5]октан-5-карбоксилат;
изопропил-7-[(гидроксиамино)карбонил]-6-[(4-фенилпиперазин-1-ил)карбонил]-5-азаспиро[2,5]октан-5-карбоксилат;
метил-6-{[4-(3,5-дифторфенил)-3,6-дигидропиридин-1(2H)-ил]карбонил}-7-[(гидроксиамино)карбонил]-5-азаспиро[2,5]октан-5-карбоксилат;
метил-6-{[4-(3,5-дифторфенил)-3,6-дигидропиридин-1(2H)-ил]карбонил}-7-[(гидроксиамино)карбонил]-5-азаспиро[2,5]октан-5-карбоксилат;
N-гидрокси-6-{[4-(4-изопропилфенил)пиперазин-1-ил]карбонил}-5-азаспиро[2,5]октан-7-карбоксамид;
6-{[4-(3,5-дифторфенил)пиперидин-1-ил]карбонил}-N-гидрокси-5-(метилсульфонил)-5-азаспиро[2,5]октан-7-карбоксамид и
6-{[4-(4,5-диметил-1,3-тиазол-2-ил)пиперидин-1-ил]карбонил}-N-гидрокси-5-азаспиро[2,5]октан-7-карбоксамид.
В некоторых вариантах воплощения соединения по настоящему изобретению включают:
гидроксиамид 5-метил-6-(4-м-толилпиперазин-1-карбонил)-5-азаспиро[2,5]октан-7-карбоновой кислоты;
гидроксиамид 5-метил-6-(4-фенилпиперазин-1-карбонил)-5-азаспиро[2,5]октан-7-карбоновой кислоты;
гидроксиамид 5-метил-6-[4-(3-трифторметилфенил)пиперазин-1-карбонил]-5-азаспиро[2,5]октан-7-карбоновой кислоты;
гидроксиамид 5-метил-6-(4-o-толилпиперазин-1-карбонил)-5-азаспиро[2,5]октан-7-карбоновой кислоты;
гидроксиамид 6-[4-(4-хлорфенил)пиперазин-1-карбонил]-5-метил-5-азаспиро[2,5]октан-7-карбоновой кислоты;
гидроксиамид 5-метил-6-[4-(2-метил-4-нитрофенил)пиперазин-1-карбонил]-5-азаспиро[2,5]октан-7-карбоновой кислоты;
гидроксиамид 5-метил-6-(4-фенилпиперидин-1-карбонил)-5-азаспиро[2,5]октан-7-карбоновой кислоты;
гидроксиамид 6-(4-гидрокси-4-фенилпиперидин-1-карбонил)-5-метил-5-азаспиро[2,5]октан-7-карбоновой кислоты;
гидроксиамид 5-метил-6-(4-фенил-3,6-дигидро-2H-пиридин-1-карбонил)-5-азаспиро[2,5]октан-7-карбоновой кислоты;
гидроксиамид 5-метил-6-(4-хинолин-2-илпиперазин-1-карбонил)-5-азаспиро[2,5]октан-7-карбоновой кислоты;
гидроксиамид 6-[4-(2,3-дихлорфенил)пиперазин-1-карбонил]-5-метил-5-азаспиро[2,5]октан-7-карбоновой кислоты;
гидроксиамид 5-метил-6-(4-хинолин-4-илпиперазин-1-карбонил)-5-азаспиро[2,5]октан-7-карбоновой кислоты;
гидроксиамид 5-метил-6-[4-(2-метилхинолин-4-ил)пиперазин-1-карбонил]-5-азаспиро[2,5]октан-7-карбоновой кислоты;
гидроксиамид 5-метил-6-(4-фенетилпиперазин-1-карбонил)-5-азаспиро[2,5]октан-7-карбоновой кислоты;
гидроксиамид 5-метил-6-(3,4,5,6-тетрагидро-2H-[4,4′]бипиридинил-1-карбонил)-5-азаспиро[2,5]октан-7-карбоновой кислоты;
гидроксиамид 5-метил-6-[4-(4-нитрофенил)пиперазин-1-карбонил]-5-азаспиро[2,5]октан-7-карбоновой кислоты;
гидроксиамид 6-[4-(2-метоксифенил)пиперазин-1-карбонил]-5-метил-5-азаспиро[2,5]октан-7-карбоновой кислоты;
гидроксиамид 5-метил-6-(4-феноксипиперидин-1-карбонил)-5-азаспиро[2,5]октан-7-карбоновой кислоты;
гидроксиамид 6-(3,4-дигидро-1H-изохинолин-2-карбонил)-5-метил-5-азаспиро[2,5]октан-7-карбоновой кислоты;
гидроксиамид 6-(4,7-дигидро-5H-тиено[2,3-c]пиридин-6-карбонил)-5-метил-5-азаспиро[2,5]октан-7-карбоновой кислоты;
гидроксиамид 6-(3-бензилпирролидин-1-карбонил)-5-метил-5-азаспиро[2,5]октан-7-карбоновой кислоты;
гидроксиамид 5-метил-6-(4-пиридин-2-илпиперазин-1-карбонил)-5-азаспиро[2,5]октан-7-карбоновой кислоты;
гидроксиамид 5-метил-6-[4-(2-пиридин-4-илэтил)пиперидин-1-карбонил]-5-азаспиро[2,5]октан-7-карбоновой кислоты;
гидроксиамид 5-метил-6-[4-(5-трифторметилпиридин-2-ил)пиперазин-1-карбонил]-5-азаспиро[2,5]октан-7-карбоновой кислоты;
гидроксиамид 5-метил-6-[4-(3-трифторметилпиридин-2-ил)пиперазин-1-карбонил]-5-азаспиро[2,5]октан-7-карбоновой кислоты;
гидроксиамид 6-([1,4′]бипиперидинил-1′-карбонил)-5-метил-5-азаспиро[2,5]октан-7-карбоновой кислоты;
гидроксиамид 5-метил-6-(4-пиридин-2-илметилпиперазин-1-карбонил)-5-азаспиро[2,5]октан-7-карбоновой кислоты;
гидроксиамид 5-метил-6-(4-пиридин-4-илметилпиперазин-1-карбонил)-5-азаспиро[2,5]октан-7-карбоновой кислоты;
гидроксиамид 5-метил-6-(4-пиридин-3-илметилпиперазин-1-карбонил)-5-азаспиро[2,5]октан-7-карбоновой кислоты;
гидроксиамид 5-метил-6-(4-o-толил-3,6-дигидро-2H-пиридин-1-карбонил)-5-азаспиро[2,5]октан-7-карбоновой кислоты;
гидроксиамид 6-(4-м-толилпиперазин-1-карбонил)-5-азаспиро[2,5]октан-7-карбоновой кислоты;
гидроксиамид 6-(1,3,4,9-тетрагидро- -карболин-2-карбонил)-5-азаспиро[2,5]октан-7-карбоновой кислоты;
гидроксиамид 6-(9-метил-1,3,4,9-тетрагидро- -карболин-2-карбонил)-5-азаспиро[2,5]октан-7-карбоновой кислоты;
гидроксиамид 6-[4-(2-фторфенил)-3,6-дигидро-2H-пиридин-1-карбонил]-5-азаспиро[2,5]октан-7-карбоновой кислоты;
гидроксиамид 6-[4-(2-хлорфенил)-3,6-дигидро-2H-пиридин-1-карбонил]-5-азаспиро[2,5]октан-7-карбоновой кислоты;
гидроксиамид 6-[4-(4-нитрофенил)-3,6-дигидро-2H-пиридин-1-карбонил]-5-азаспиро[2,5]октан-7-карбоновой кислоты;
гидроксиамид 6-(4-фенил-3,6-дигидро-2H-пиридин-1-карбонил)-5-азаспиро[2,5]октан-7-карбоновой кислоты;
гидроксиамид 6-[4-(2-метил-4-нитрофенил)пиперазин-1-карбонил]-5-азаспиро[2,5]октан-7-карбоновой кислоты;
7-гидроксиамид 6-[метил-(3-фенилпропил)амида 5-метил-5-азаспиро[2,5]октан-6,7-дикарбоновой кислоты;
7-гидроксиамид 6-(изобутиламида) 5-метил-5-азаспиро[2,5]октан-6,7-дикарбоновой кислоты;
гидроксиамид 5-метил-6-[4-(2-нитрофенил)пиперазин-1-карбонил]-5-азаспиро[2,5]октан-7-карбоновой кислоты;
7-гидроксиамид 6-(изобутилметиламида) 5-метил-5-азаспиро[2,5]октан-6,7-дикарбоновой кислоты;
7-гидроксиамид 6-[(2-феноксиэтил)амида] 5-метил-5-азаспиро[2,5]октан-6,7-дикарбоновой кислоты;
7-гидроксиамид 6-{[2-(4-метоксифенил)этил]амида} 5-метил-5-азаспиро[2,5]октан-6,7-дикарбоновой кислоты;
7-гидроксиамид 6-[(4-фенилбутил)амида] 5-метил-5-азаспиро[2,5]октан-6,7-дикарбоновой кислоты;
7-гидроксиамид 6-{[3-(2-оксопирролидин-1-ил)пропил]амида} 5-метил-5-азаспиро[2,5]октан-6,7-дикарбоновой кислоты;
гидроксиамид 6-(3,4,10,10a-тетрагидро-1H-пиразино[1,2-a]индол-2-карбонил)-5-азаспиро[2,5]октан-7-карбоновой кислоты;
гидроксиамид 5-[4-(2-метил-4-нитрофенил)пиперазин-1-карбонил]спиро[2,5]октан-6-карбоновой кислоты;
гидроксиамид 6-(4-м-толилпиперазин-1-карбонил)спиро[2,5]октан-5-карбоновой кислоты;
гидроксиамид 5-(4-фенил-3,6-дигидро-2H-пиридин-1-карбонил)спиро[2,5]октан-6-карбоновой кислоты;
гидроксиамид 5-(4-м-толилпиперазин-1-карбонил)спиро[2,5]октан-6-карбоновой кислоты;
гидроксиамид 6-(4-фенил-3,6-дигидро-2H-пиридин-1-карбонил)спиро[2,5]октан-5-карбоновой кислоты;
гидроксиамид 6-(3,4,10,10a-тетрагидро-1H-пиразино[1,2-a]индол-2-карбонил)-5-азаспиро[2,5]октан-7-карбоновой кислоты;
гидроксиамид 6-(1,2,4,4a,5,6-гексагидропиразино[1,2-a]хинолин-3-карбонил)-5-метил-5-азаспиро[2,5]октан-7-карбоновой кислоты;
метиловый эфир 7-гидроксикарбамоил-6-(4-фенил-3,6-дигидро-2H-пиридин-1-карбонил)-5-азаспиро[2,5]октан-5-карбоновой кислоты;
бензиловый эфир 7-гидроксикарбамоил-6-(4-фенил-3,6-дигидро-2H-пиридин-1-карбонил)-5-азаспиро[2,5]октан-5-карбоновой кислоты;
гидроксиамид 5-метансульфонил-6-(4-фенил-3,6-дигидро-2H-пиридин-1-карбонил)-5-азаспиро[2,5]октан-7-карбоновой кислоты;
гидроксиамид 6-[3-(3-метоксифенил)пиперидин-1-карбонил]-5-метил-5-азаспиро[2,5]октан-7-карбоновой кислоты;
гидроксиамид 5-метил-6-(3-фенетилпирролидин-1-карбонил)-5-азаспиро[2,5]октан-7-карбоновой кислоты;
гидроксиамид 6-[4-(3-метоксифенил)пиперидин-1-карбонил]-5-метил-5-азаспиро[2,5]октан-7-карбоновой кислоты;
гидроксиамид 6-[4-(3-карбамоилфенил)-3,6-дигидро-2H-пиридин-1-карбонил]-5-азаспиро[2,5]октан-7-карбоновой кислоты;
гидроксиамид 6-[4-(2-метоксифенил)-3,6-дигидро-2H-пиридин-1-карбонил]-5-метил-5-азаспиро[2,5]октан-7-карбоновой кислоты;
гидроксиамид 6-[4-(3-фтор-2-метилфенил)пиперазин-1-карбонил]-5-азаспиро[2,5]октан-7-карбоновой кислоты;
гидроксиамид 6-[4-(2-метил-3-нитрофенил)пиперазин-1-карбонил]-5-азаспиро[2,5]октан-7-карбоновой кислоты;
гидроксиамид 6-(3′,6′-дигидро-2’H-[3,4′]бипиридинил-1′-карбонил)-5-азаспиро[2,5]октан-7-карбоновой кислоты;
7-гидроксиамид 6-[(4-метоксифенил)метиламида] 5-азаспиро[2,5]октан-6,7-дикарбоновой кислоты;
гидроксиамид 6-[4-(3-метоксифенил)пиперазин-1-карбонил]-5-метил-5-азаспиро[2,5]октан-7-карбоновой кислоты;
гидроксиамид 6-[4-(3-хлорфенил)пиперазин-1-карбонил]-5-метил-5-азаспиро[2,5]октан-7-карбоновой кислоты;
гидроксиамид 6-(4-фенил[1,4]диазепан-1-карбонил)-5-азаспиро[2,5]октан-7-карбоновой кислоты
гидроксиамид 6-(3-метил-4-м-толилпиперазин-1-карбонил)-5-азаспиро[2,5]октан-7-карбоновой кислоты;
гидроксиамид 6-[4-(3-метоксифенил)пиперидин-1-карбонил]-5-азаспиро[2,5]октан-7-карбоновой кислоты;
гидроксиамид 6-(3-фенилпирролидин-1-карбонил)-спиро[2,5]октан-5-карбоновой кислоты;
гидроксиамид 6-(4-изобутирилпиперазин-1-карбонил)-5-азаспиро[2,5]октан-7-карбоновой кислоты;
гидроксиамид 6-[4-(4-циано-2-метилфенил)-3,6-дигидро-2H-пиридин-1-карбонил]-5-азаспиро[2,5]октан-7-карбоновой кислоты;
7-гидроксиамид 6-{[4-(2-метилхинолин-4-илметокси)фенил]амида} 5-метил-5-азаспиро[2,5]октан-6,7-дикарбоновой кислоты;
7-гидроксиамид 6-{[4-(2-метилхинолин-4-илметокси)фенил]амида} 5-азаспиро[2,5]октан-6,7-дикарбоновой кислоты;
гидроксиамид 6-[4-(4-цианофенил)пиперазин-1-карбонил]-5-азаспиро[2,5]октан-7-карбоновой кислоты;
гидроксиамид 7-(4-фенилпиперазин-1-карбонил)-5-азаспиро[2,5]октан-6-карбоновой кислоты;
гидроксиамид 6-(4-фенилпиперидин-1-карбонил)-5-азаспиро[2,5]октан-7-карбоновой кислоты;
гидроксиамид 6-(4-фенилпиперазин-1-карбонил)-5-азаспиро[2,5]октан-7-карбоновой кислоты;
гидроксиамид 6-[4-(3-метоксиметилфенил)пиперидин-1-карбонил]-5-азаспиро[2,5]октан-7-карбоновой кислоты;
метиловый эфир 3-[1-(7-гидроксикарбамоил-5-азаспиро[2,5]октан-6-карбонил)пиперидин-4-ил]бензойной кислоты;
гидроксиамид 6-(3-циклогексилпирролидин-1-карбонил)-5-азаспиро[2,5]октан-7-карбоновой кислоты;
гидроксиамид 6-[4-(3-изопропилфенил)-3,6-дигидро-2H-пиридин-1-карбонил]-5-азаспиро[2,5]октан-7-карбоновой кислоты;
гидроксиамид 6-[4-(3-изопропилфенил)пиперидин-1-карбонил]-5-азаспиро[2,5]октан-7-карбоновой кислоты;
гидроксиамид 6-[4-(4-пропилфенил)-3,6-дигидро-2H-пиридин-1-карбонил]-5-азаспиро[2,5]октан-7-карбоновой кислоты;
гидроксиамид 6-[4-(4-этилфенил)-3,6-дигидро-2H-пиридин-1-карбонил]-5-азаспиро[2,5]октан-7-карбоновой кислоты;
гидроксиамид 6-[4-(4-этилфенил)пиперидин-1-карбонил]-5-азаспиро[2,5]октан-7-карбоновой кислоты;
гидроксиамид 6-[4-(4-циано-2-метилфенил)пиперазин-1-карбонил]-5-азаспиро[2,5]октан-7-карбоновой кислоты;
гидроксиамид 6-[4-(3-изопропоксифенил)-3,6-дигидро-2H-пиридин-1-карбонил]-5-азаспиро[2,5]октан-7-карбоновой кислоты;
гидроксиамид 6-(4-м-толил-3,6-дигидро-2H-пиридин-1-карбонил)-5-азаспиро[2,5]октан-7-карбоновой кислоты;
гидроксиамид 6-[4-(4-трет-бутилфенил)пиперазин-1-карбонил]-5-азаспиро[2,5]октан-7-карбоновой кислоты;
гидроксиамид 6-(4-пиридин-4-илпиперазин-1-карбонил)-5-азаспиро[2,5]октан-7-карбоновой кислоты;
гидроксиамид 6-(3-бензилпиперидин-1-карбонил)-5-азаспиро[2,5]октан-7-карбоновой кислоты;
гидроксиамид 6-(5-метокси-2,3-дигидроиндол-1-карбонил)-5-азаспиро[2,5]октан-7-карбоновой кислоты;
гидроксиамид 6-[5-(2-Метилхинолин-4-илметокси)-2,3-дигидроиндол-1-карбонил]-5-азаспиро[2,5]октан-7-карбоновой кислоты;
гидроксиамид 5-метил-6-[5-(2-метилхинолин-4-илметокси)-2,3-дигидроиндол-1-карбонил]-5-азаспиро[2,5]октан-7-карбоновой кислоты гидроксиамид
гидроксиамид 6-(5-бензилокси-2,3-дигидроиндол-1-карбонил)-5-азаспиро[2,5]октан-7-карбоновой кислоты;
гидроксиамид 6-[4-(2,2-спироинданпиперидин-1-карбонил]-5-азаспиро[2,5]октан-7-карбоновой кислоты;
гидроксиамид 6-[4-(3-изопропоксифенил)пиперидин-1-карбонил]-5-азаспиро[2,5]октан-7-карбоновой кислоты;
метиловый эфир 4-[1-(7-гидроксикарбамоил-5-азаспиро[2,5]октан-6-карбонил)-1,2,3,6-тетрагидропиридин-4-ил]-3-метилбензойной кислоты;
гидроксиамид 6-[4-(2-метил-4-нитрофенил)-3,6-дигидро-2H-пиридин-1-карбонил]-5-азаспиро[2,5]октан-7-карбоновой кислоты;
гидроксиамид 6-[4-(2-этилфенил)пиперидин-1-карбонил]-5-азаспиро[2,5]октан-7-карбоновой кислоты;
метиловый эфир 4-[1-(7-гидроксикарбамоил-5-азаспиро[2,5]октан-6-карбонил)пиперидин-4-ил]-3-метил-бензойной кислоты;
гидроксиамид 6-[4-(2,3-дигидробенззофуран-5-ил)-3,6-дигидро-2H-пиридин-1-карбонил]-5-метил-5-азаспиро[2,5]октан-7-карбоновой кислоты;
гидроксиамид 6-[4-(3-изопропилфенил)-3,6-дигидро-2H-пиридин-1-карбонил]-5-метил-5-азаспиро[2,5]октан-7-карбоновой кислоты;
гидроксиамид 6-(3-фенилпирролидин-1-карбонил)-5-азаспиро[2,5]октан-7-карбоновой кислоты;
гидроксиамид 6-(3-фенилпирролидин-1-карбонил)-5-азаспиро[2,5]октан-7-карбоновой кислоты;
гидроксиамид 6-[3-(3-трифторметилфенил)пирролидин-1-карбонил]-5-азаспиро[2,5]октан-7-карбоновой кислоты;
гидроксиамид 6-[3-(3-хлорфенил)пирролидин-1-карбонил]-5-азаспиро[2,5]октан-7-карбоновой кислоты;
гидроксиамид 6-[3-(3-фторфенил)пирролидин-1-карбонил]-5-азаспиро[2,5]октан-7-карбоновой кислоты;
гидроксиамид 6-[3-(4-фторфенил)пирролидин-1-карбонил]-5-азаспиро[2,5]октан-7-карбоновой кислоты;
гидроксиамид 6-[3-(4-хлорфенил)пирролидин-1-карбонил]-5-азаспиро[2,5]октан-7-карбоновой кислоты;
гидроксиамид 6-[3-(4-трифторметилфенил)пирролидин-1-карбонил]-5-азаспиро[2,5]октан-7-карбоновой кислоты;
гидроксиамид 6-[3-(4-метоксифенил)пирролидин-1-карбонил]-5-азаспиро[2,5]октан-7-карбоновой кислоты;
гидроксиамид 6-[3-(4-феноксифенил)пирролидин-1-карбонил]-5-азаспиро[2,5]октан-7-карбоновой кислоты;
гидроксиамид 6-[4-(3-метоксифенил)-3,6-дигидро-2H-пиридин-1-карбонил]-5-азаспиро[2,5]октан-7-карбоновой кислоты;
гидроксиамид 6-[4-(4-циано-3-метилфенил)-3,6-дигидро-2H-пиридин-1-карбонил]-5-азаспиро[2,5]октан-7-карбоновой кислоты;
гидроксиамид 6-(3-пиридин-4-илпирролидин-1-карбонил)-5-азаспиро[2,5]октан-7-карбоновой кислоты;
гидроксиамид 6-[4-(3,5-диметилфенил)-3,6-дигидро-2H-пиридин-1-карбонил]-5-азаспиро[2,5]октан-7-карбоновой кислоты;
гидроксиамид 6-[4-(3-трифторметоксифенил)-3,6-дигидро-2H-пиридин-1-карбонил]-5-азаспиро[2,5]октан-7-карбоновой кислоты;
гидроксиамид 6-(5-метоксиметил-4-фенил-3,6-дигидро-2H-пиридин-1-карбонил)-5-азаспиро[2,5]октан-7-карбоновой кислоты;
гидроксиамид 6-(1,4,5,6-тетрагидро-2H-бензо[f]изохинолин-3-карбонил)-5-азаспиро[2,5]октан-7-карбоновой кислоты;
гидроксиамид 6-(4-м-толилпиперидин-1-карбонил)-5-азаспиро[2,5]октан-7-карбоновой кислоты;
гидроксиамид 6-[4-(5-метокси-2-метилфенил)-3,6-дигидро-2H-пиридин-1-карбонил]-5-азаспиро[2,5]октан-7-карбоновой кислоты;
гидроксиамид 6-[4-(4-метокси-2-метилфенил)-3,6-дигидро-2H-пиридин-1-карбонил]-5-азаспиро[2,5]октан-7-карбоновой кислоты;
гидроксиамид 6-(4-циано-4-фенилпиперидин-1-карбонил)-5-азаспиро[2,5]октан-7-карбоновой кислоты;
этиловый эфир 7-гидроксикарбамоил-6-(4-фенил-3,6-дигидро-2H-пиридин-1-карбонил)-5-азаспиро[2,5]октан-5-карбоновой кислоты;
пропиловый эфир 7-гидроксикарбамоил-6-(4-фенил-3,6-дигидро-2H-пиридин-1-карбонил)-5-азаспиро[2,5]октан-5-карбоновой кислоты;
изопропиловый эфир 7-гидроксикарбамоил-6-(4-фенил-3,6-дигидро-2H-пиридин-1-карбонил)-5-азаспиро[2,5]октан-5-карбоновой кислоты;
изобутиловый эфир 7-гидроксикарбамоил-6-(4-фенил-3,6-дигидро-2H-пиридин-1-карбонил)-5-азаспиро[2,5]октан-5-карбоновой кислоты и
гидроксиамид 6-(5-метил-4-фенил-3,6-дигидро-2H-пиридин-1-карбонил)-5-азаспиро[2,5]октан-7-карбоновой кислоты.
Синтез
Новые соединения по настоящему изобретению могут быть получены различными способами, известными специалистам в области органического синтеза. Соединения по настоящему изобретению могут быть синтезированы с использованием способов, описанных ниже, в сочетании с методами синтеза, известными из уровня техники, которые относятся к области химии органического синтеза, или их вариантов, как это известно специалистам.
Соединения по настоящему изобретению можно получить из легко доступных исходных веществ, используя следующие общие способы и методики. Должно быть понятно, что когда указаны типичные или предпочтительные условия способа (т.е. температура реакции, время реакции, мольные соотношения реагентов, растворители, давление и т.д.), можно также использовать и другие условия способа, если не указано иное. Оптимальные условия реакции могут меняться в зависимости от конкретных используемых реагентов или растворителей, но такие условия может определить специалист, используя рутинные методы для оптимизации.
Описанные процессы можно отслеживать при помощи любого известного из уровня техники способа. Например, образование продукта можно отслеживать при помощи спектроскопии, например спектроскопии ядерного магнитного резонанса (например, 1H или 13C), инфракрасной спектроскопии, спектрофотометрии (например, в УФ видимой части спектра) или масс-спектрометрии, или методом хроматографии, например высокоэффективной жидкостной хроматографии (ВЭЖХ) или тонкослойной хроматографии.
При получении соединений может потребоваться защита и удаление защиты у различных химических групп. Необходимость защиты и удаления защиты и выбор подходящих защитных групп может легко определить специалист в данной области. Химия защитных групп описана, например, в Green, et al., Protective Groups in Organic Synthesis, 2d. Ed., Wiley & Sons, 1991, включенной в данную заявку во всей полноте посредством ссылки.
Реакции процессов, описанных в настоящей завке, можно осуществлять в подходящих растворителях, которые может легко выбрать специалист в области органического синтеза. Подходящие растворители могут быть, по существу, химически неактивными в отношении исходных веществ (реагентов), промежуточных соединений или продуктов при температурах проведения реакций, т.е. температурах, которые могут находиться в пределах от температуры замерзания растворителя до температуры кипения растворителя. Указанную реакцию можно осуществлять в одном растворителе или в смеси более чем одного растворителя. В зависимости от конкретной стадии реакции можно выбрать подходящие растворители для конкретной стадии реакции.
Новые соединения по настоящему изобретению можно получить, используя пути и способы осуществления реакций, описанные ниже.
Ряд соединений формулы 12 получают способами, в общем виде представленными на схеме 1 (где R1 и R2 в формулах 10-12 и R3 и R4 в формулах 11-12 соответствуют подходящим заместителям, обеспечивающим соединения по настоящему изобретению). H-Asp(Otбутил)-OH обрабатывали бензилбромидом и DBU в толуоле с получением соединения 2, которое подвергали взаимодействию с соединением 3 с получением соединения 4. N-алкилированный продукт затем обрабатывали NaI в ацетоне с получением соответствующего иодида, который подвергали циклизации с использованием LiHMDS в ТГФ с получением желаемого продукта 6. Бензильную защитную группу заменяли Cbz с получением соединения 7. Циклопропанирование соединения 7 осуществляли путем обработки диазометаном и Pd(OAc)2 с получением желаемого продукта 8. Группы Cbz и Bn соединения 8 удаляли гидрированием с получением кислоты 9. Полученную кислоту сочетали с амином, используя стандартные условия образования амидной связи, с получением соединения 10. Восстановительное аминирование соединения 10 при помощи альдегида или кетона давало соединение 11. трет-Бутильную группу удаляли обработкой с использованием TFA в метиленхлориде с последующим непосредственным сочетанием с гидроксиламином с получением конечного соединения 12.
Схема 1

Далее можно осуществить синтез соединений формулы 7, используя подход, в общем виде представленный на схеме 2. И амино, и карбоксильную группу в H-Asp(OtБутил)-OH защищали бензильными группами с получением трис бензил-защищенной аминокислоты 13. Полученное соединение затем обрабатывали KHMDS и затем подвергали аллилированию с получением продукта сочетания 14. Дигидроксилирование соединения 14 давало 1,2-диол 15. Первичный спирт затем преобразовывали в соответствующий мезилат и затем гидрировали с получением соответствующего циклизованного продукта 17. Амино и карбоксильную группы соединения 17 снова защищали при помощи Cbz и бензильной группы соответственно. Окисление методом Сверна соединения 18 давало кетон 19. Используя реакцию Виттига, соединение 19 преобразовывали в олефин 7.
Схема 2

Синтез соединений общей формулы 20 в общем виде представлен на схеме 3 (где R1 и R2 в формулах 20 и 27 соответствуют подходящим заместителям, обеспечивающим соединения по настоящему изобретению). Реакция Дильса-Альдера соединения 21 с соединением 22 дает соединение 23. TMS эфир гидролизовали до соответствующего кетона 24. Кетон затем преобразовывали в олефин 25. Циклопропанирование с использованием способа, аналогичного описанному для схемы 1, давало ключевое промежуточное соединение 26. Этиловый эфир непосредственно преобразовывали в амид 27. трет-Бутильную группу соединения 27 удаляли с получением кислоты. Полученную кислоту преобразовывали в конечный продукт 20, используя стандартные условия синтеза.
Схема 3

Альтернативно, как показано на схеме 4 (где R1 и R2 в формулах 28 и 29 соответствуют подходящим заместителям, обеспечивающим соединения по настоящему изобретению), сначала удаляли трет-бутильную группу соединения 26 и затем осуществляли обычное сочетание с получением амида 28. Щелочной гидролиз соединения 28 при кипячении с обратным холодильником давал кислоту, эту кислоту затем преобразовывали в конечное соединение 29, используя стандартную методику сочетания.
Схема 4

Соединения общей формулы 30 можно получить, используя процедуру, в общем виде представленную на схеме 5 (где R1 и R2 в формулах 30 и 32 соответствуют подходящим заместителям, обеспечивающим соединения по настоящему изобретению). Кетон 24 преобразовывали в соответствующий дитиокеталь 31. Группу этилового эфира гидролизовали до кислоты с последующим сочетанием с амином с получением амида 32. Следуя методике, аналогично описанной для схемы 3, соединение 32 преобразовывали в конечное соединение 30.
Схема 5

Ряд соединений формул 33 и 34 можно получить, следуя способу синтеза, в общем виде представленному на схеме 6 (где R1 и R2 в формулах 33 и 34 соответствуют подходящим заместителям, обеспечивающим соединения по настоящему изобретению). Кетон 24 обрабатывали аллилтриметилсиланом в присутствии TiCl4 с получением соединения 35. Гидроборирование с последующим окислением давали первичный спирт 36. Первичный спирт активировали и подвергали циклизации до соответствующего тетрагидрофурана 37. Преобразование соединения 37 в амид и в конечную гидроксамовую кислоту 33 или 34 осуществляли таким же способом, как описано выше.
Схема 6

Ряд соединений формулы 38 или 39 получали, последовательно осуществляя реакции, в общем виде представленные на схеме 7 (где R1 и R2 в формулах 38 и 39 соответствуют подходящим заместителям, обеспечивающим соединения по настоящему изобретению). Первичный спирт 36 окисляли и преобразовывали в олефин. Гидроборирование и окисление давали диол 40. Циклизация, последовательно осуществляемая, как описано выше, давала соединение 38 или 39.
Схема 7

Ряд соединений формулы 41 получали в соответствии со схемой, в общем виде представленной на схеме 8 (где R1 и R2 в формуле 41 соответствуют подходящим заместителям, обеспечивающим соединения по настоящему изобретению). Олефин обрабатывали MCPBA с получением эпоксида 42. Эпоксид обрабатывали амином с получением продукта 43 с открытием кольца. Аминоспирт затем подвергали циклизации до спирокарбамата 44. Преобразование соединения 44 в амид и конечную гидроксамовую кислоту 41 осуществляли таким же способом, как описано выше.
Схема 8

Ряд соединений 4-арил-1,2,3,6-тетрагидропиридина формулы 45 и 4-арилпиперидина формулы 46 можно получить в соответствии со Схемой 9. Например, катализируемое палладием сочетание Сузуки трет-бутилового эфира 4-трифторметансульфонилокси-3,6-дигидро-2H-пиридин-1-карбоновой кислоты 47 с арилбороновой кислотой может дать соединения формулы 48, при использовании стандартных методик (например, Y. Deng, L. Gong, A Mi, H. Liu, Y. Jiang, Synthesis, 2003, 337-339). Защитную группу Boc удаляли обработкой соответствующего амина при помощи TFA или HCl. С использованием стандартного способа гидрирования 4-арил-1,2,3,6-тетрагидропиридин может быть преобразован в соответствующий 4-арилпиперидин.
Схема 9

Изобретение проиллюстрировано следующими примерами, которые не предназначены для какого-либо его ограничения.
ПРИМЕРЫ
Реагенты и растворители, используемые, как описано ниже, можно получить из коммерческих источников, таких как Aldrich Chemical Co. (Milwaukee, Wis., USA). Результаты масс-спектрометрии представлены в виде отношения массы к заряду с последующим указанием относительного содержания каждого иона (в скобках). В таблицах отдельное значение m/e указано для M+H (или, как указано, М-H) иона, содержащего наиболее распространенные атомные изотопы. Структуры изотопов во всех случаях соответствуют ожидаемым формулам.
Пример 1
(6S,7S)-N-гидрокси-5-метил-6-{[4-(3-метилфенил)пиперазин-1-ил]карбонил}-5-азаспиро[2,5]октан-7-карбоксамид
Стадия 1a. Получение BnNH-L-Asp(Otбутил)-OBn
К смеси H-L-Asp(OtБутил)-OH (22 г, 106 ммоль) и бензилбромида (35 г, 205 ммоль) в толуоле (600 мл) добавляли DBU (33 г, 217 ммоль). Смесь перемешивали при комнатной температуре в течение ночи и фильтровали. Фильтрат концентрировали. Остаток очищали хроматографией Combiflash (гексан и этилацетат: градиент от 0 до 10% в течение 12 мин) с получением 12,1 г (30,9%) желаемого продукта BnNH-L-Asp(Otбутил)-OBn. MS (ESI): 370,3 (M+H+).
Стадия 1b. Получение 1-бензил-4-трет-бутил-(2S)-2-{бензил[2-(хлорметил)проп-2-ен-1-ил]амино}сукцината
Смесь BnNH-L-Asp(Otбутил)-Obn со стадии 1a (12,1 г, 32,6 ммоль), K2CO3 (14 г, 3 экв.), NaI (3,0 г, 20 ммоль) и 1-хлор-2-хлорметил-1-пропена (5,1 г, 40,8 ммоль) в MeCN (150 мл) перемешивали при 81°C в течение 16 часов. После охлаждения смесь фильтровали. Фильтрат концентрировали и очищали хроматографией Combiflash (гексан и этилацетат: градиент от 0 до 8% в течение 12 мин) с получением (8,7 г) 1-бензил-4-трет-бутил-(2S)-2-{бензил[2-(хлорметил)проп-2-ен-1-ил]амино}сукцината, MS (ESI): 458,3/460,3 (M+H+).
Стадия 1c. Получение 1-бензил-4-трет-бутил-(2S)-2-{бензил[2-(иодметил)проп-2-ен-1-ил]амино}сукцината
Смесь 1-бензил-4-трет-бутил-(2S)-2-{бензил[2-(хлорметил)проп-2-ен-1-ил]амино}сукцината со стадии 1b (8,7 г) и NaI (8,0 г) в ацетоне (100 мл) перемешивали при комнатной температуре в течение ночи. Твердое вещество отфильтровывали и фильтрат концентрировали. Остаток обрабатывали метиленхлоридом и фильтровали через слой силикагеля с получением 1-бензил-4-трет-бутил-(2S)-2-{бензил[2-(иодметил)проп-2-ен-1-ил]амино}сукцината (9,2 г). MS (ESI): 550,2 (M+H+).
Стадия 1d. Получение 2-бензил-3-трет-бутил-(2S,3S)-1-бензил-5-метиленпиперидин-2,3-дикарбоксилата
К охлажденному (-78°C) раствору 1-бензил-4-трет-бутил-(2S)-2-{бензил[2-(иодметил)проп-2-ен-1-ил]амино}сукцината со стадии 1c (9,2 г) в ТГФ (50 мл) добавляли по каплям LiHMDS (1,0М в ТГФ, 20,2 мл) при -78°C в течение 30 минут. Смесь перемешивали при -78°C в течение 1 часа и затем давали нагреться до -30°C в течение 3 часов. Реакционную смесь гасили 10% лимонной кислотой (10 мл) и разбавляли насыщенным раствором соли (100 мл). Смесь экстрагировали этилацетатом (4×75 мл). Объединенные органические слои сушили над MgSO4 и концентрировали при пониженном давлении. Остаток очищали хроматографией Combiflash (гексан и этилацетат: градиент от 0 до 5% в течение 12 мин) с получением желаемого 2-бензил-3-трет-бутил-(2S,3S)-1-бензил-5-метиленпиперидин-2,3-дикарбоксилата (3,45 г). MS (ESI): 422,3 (M+H+).
Стадия 1e. Получение 1,2-дибензил-3-трет-бутил-(2S,3S)-5-метиленпиперидин-1,2,3-трикарбоксилата
Смесь 2-бензил-3-трет-бутил-(2S,3S)-1-бензил-5-метиленпиперидин-2,3-дикарбоксилата со стадии 1d (2,3 г) и бензилхлорформиата (3 мл) перемешивали при 65 С в течение 28 часов. Избыток бензилхлорформиата удаляли при пониженном давлении. Остаток очищали хроматографией Combiflash (гексан и этилацетат: градиент от 0 до 10% в течение 12 мин) с получением желаемого 1,2-дибензил-3-трет-бутил-(2S,3S)-5-метиленпиперидин-1,2,3-трикарбоксилата (1,40 г). MS (ESI): 488,1(M+Na+); 366,1(M+H+-COO(t-Bu)).
Стадия 1f. Получение 5,6-дибензил-7-трет-бутил-(6S,7S)-5-азаспиро[2,5]октан-5,6,7-трикарбоксилата
Раствор Diazald (5,0 г) в этиловом эфире (50 мл) добавляли по каплям к смеси KOH (2,65 г), ди(этилен)этилового эфира (5 мл), воды (4 мл) и этилового эфира (5 мл) при 60°C. Образовавшийся диазометан сразу же отгоняли в реакционную колбу, которая содержала смесь 1,2-дибензил-3-трет-бутил-(2S,3S)-5-метиленпиперидин-1,2,3-трикарбоксилата со стадии 1e (4,0 г) и ацетата палладия(II) (50 мг) в этиловом эфире (30 мл), при -20°C. Реакционной смеси давали нагреться до комнатной температуры и перемешивали в течение 3 часов. Смесь фильтровали и концентрировали. Остаток очищали хроматографией Combiflash с получением 5,6-дибензил-7-трет-бутил-(6S,7S)-5-азаспиро[2,5]октан-5,6,7-трикарбоксилата (3,86 г). MS (ESI): 502,3 (M+Na+); 380,3 (M+H+-COO(t-Bu)).
Стадия 1g. Получение (6S,7S)-7-(трет-бутоксикарбонил)-5-азаспиро[2,5]октан-6-карбоновой кислоты
5,6-дибензил-7-трет-бутил-(6S,7S)-5-азаспиро[2,5]октан-5,6,7-трикарбоксилат (2,0 г) гидрировали в метаноле (100 мл) с 5% Pd-BaSO4 (750 мг) в атмосфере водорода (баллон с водородом) при комнатной температуре. Катализатор удаляли фильтрованием. Фильтрат концентрировали. Остаток сушили при пониженном давлении с получением (6S,7S)-7-(трет-бутоксикарбонил)-5-азаспиро[2,5]октан-6-карбоновой кислоты (1,06 г). MS (ESI): 256,1 (M+H+); 200,1 (M+H+-трет-Bu).
Стадия 1h. Получение Bn2N-L-Asp(OtБутил)-OBn
К суспензии -трет-бутилового эфира L-аспарагиновой кислоты (12,5 г, 66 ммоль) в DMF(100мл) и DMSO (25 мл) добавляли бензилбромид (39,5 мл, 236 ммоль) и затем K2CO3 (27,5 г, 198 ммоль). Смесь перемешивали при 50oC в течение ночи. После охлаждения до комнатной температуры соли фильтровали и фильтрат уменьшали до небольшого объема упариванием при пониженном давлении. Остаток разбавляли водой (200 мл) и полученный раствор три раза экстрагировали EtOAc. Объединенный органический раствор промывали три раза насыщенным раствором соли, сушили над MgSO4 и концентрировали. Остаток очищали на силикагеле, используя в качестве элюента 10% EtOAc/гексан, с получением 25,1 г Bn2N-L-Asp-(OtБутил)-OBn (83%). MS (ESI): 460,1 (M+H+).
Стадия 1i: Получение 4-бензил-1-трет-бутил-(3S)-2-аллил-3-(дибензиламино)сукцината
К раствору Bn2N-L-Asp-(OtБутил)-Obn со стадии 1h (9,7 г, 21,1 ммоль) в безводном ТГФ (100 мл) при -78oC добавляли 0,5М раствор KHMDS в толуоле (50,7 ммоль). После перемешивания при -78oС в течение одного часа добавляли аллилиодид (2,9 мл, 31,7 ммоль). Температуру повышали до -30oC и перемешивание продолжали при этой температуре примерно в течение 4 часов. Реакцию гасили 10% раствором лимонной кислоты и затем разбавляли небольшим количеством насыщенного раствора соли. Полученный раствор три раза экстрагировали AcOEt. Объединенный раствор промывали три раза насыщенным раствором соли, сушили над MgSO4 и концентрировали. Остаток очищали на силикагеле, используя в качестве элюента 20% EtOAc/гексан, с получением смеси цис и анти-продукта 4-бензил-1-трет-бутил-(3S)-2-аллил-3-(дибензиламино)сукцината (8,1 г, 77%). MS (ESI): 500,1 (M+H+).
Стадия 1j: Получение 1-бензил-4-трет-бутил-(2S,3S)-2-(дибензиламино)-3-(2,3-дигидроксипропил)сукцината
К суспензии смеси цис и анти-продукта 4-бензил-1-трет-бутил-(3S)-2-аллил-3-(дибензиламино)сукцината со стадии 1i (3 г, 6,0 1 ммоль) в ацетоне и воде (10 мл, 1:1 об./об.) при 0oC добавляли NMO (0,774 г, 6,61 ммоль). Суспензию перемешивали при 0oС в течение одного часа, затем добавляли раствор OsO4 (4%) в воде (0,15 мл). Суспензию перемешивали при комнатной температуре в течение ночи. К реакционной суспензии добавляли гидросульфит натрия (90 мг) и перемешивали около 1 часа. Реакционную суспензию фильтровали через целит. Фильтрат три раза экстрагировали EtOAc и объединенный органический раствор промывали насыщенным раствором соли, сушили над MgSO4 и концентрировали. Остаток очищали на силикагеле, используя в качестве элюента 50% EtOAc/гексан, с получением желаемого 1-бензил-4-трет-бутил-(2S,3S)-2-(дибензиламино)-3-(2,3-дигидроксипропил)сукцината (1,78 г, 56%). MS (ESI): 534,2 (M+H+).
Стадия 1k: Получение 1-бензил-4-трет-бутил-(2S,3S)-2-(дибензиламино)-3-{2-гидрокси-3-[(метилсульфонил)окси]пропил}сукцината
1-бензил-4-трет-бутил-(2S,3S)-2-(дибензиламино)-3-(2,3-дигидроксипропил)сукцинат со стадии 1j (2,917 г, 5,47 ммоль) растворяли в пиридине (10 мл), охлаждали до 0oC и добавляли MsCl (0,444 мл, 5,74 ммоль). Раствор перемешивали при 0oС в течение 4 часов и разбавляли 10% лимонной кислотой. Реакционную смесь три раза экстрагировали EtOAc. Объединенный органический раствор промывали три раза 10% лимонной кислотой, затем насыщенным раствором соли, сушили над MgSO4 и концентрировали, остаток очищали на силикагеле, используя в качестве элюента 50% EtOAc/гексан, с получением 1-бензил-4-трет-бутил-(2S,3S)-2-(дибензиламино)-3-{2-гидрокси-3-[(метилсульфонил)окси]пропил}сукцината (2,696 г, 81%). MS (ESI): 612,1 (M+H+).
Стадия 1l. Получение (2S,3S)-3-(трет-бутоксикарбонил)-5-гидроксипиперидин-2-карбоновой кислоты
К раствору 1-бензил-4-трет-бутил-(2S,3S)-2-(дибензиламино)-3-{2-гидрокси-3-[(метилсульфонил)окси]пропил}сукцината со стадии 1k (5,02 г, 8,2 ммоль) в метаноле (40 мл) добавляли Pd-Black и 1M раствор HCl (4 мл). Смесь гидрировали в атмосфере H2 при давлении 50 ф/кв.дюйм в течение ночи. Катализатор отфильтровывали и раствор концентрировали досуха. Остаток растворяли в этаноле и добавляли триэтиламин (2 мл). Раствор кипятили с обратным холодильником в течение трех часов и затем концентрировали досуха с получением неочищенного соединения (2S,3S)-3-(трет-бутоксикарбонил)-5-гидроксипиперидин-2-карбоновой кислоты, это соединение непосредственно использовали на следующей стадии. MS (ESI): 189,9 (M+H+-t-Bu); 246,0 (M+H+); 268,0 (M+Na+).
Стадия 1m. Получение 1,2-дибензил-3-трет-бутил-(2S,3S)-5-гидроксипиперидин-1,2,3-трикарбоксилата
К раствору (2S,3S)-3-(трет-бутоксикарбонил)-5-гидроксипиперидин-2-карбоновой кислоты (2,02 г, неочищенный продукт с предыдущей стадии 1l) в DMF добавляли N-(бензилоксикарбонилокси)сукцинимид (3,08 г, 12,36 ммоль) и затем NMM (2,71 мл, 24,7 ммоль). Смесь перемешивали при комнатной температуре в течение ночи. Раствор подкисляли до pH 1 при помощи 1М HCl, экстрагировали EtOAc и органическую фазу промывали три раза насыщенным раствором соли, сушили над MgSO4 и концентрировали. Остаток очищали на силикагеле, используя в качестве элюирующего растворителя 10% MeOH/CH2Cl2, с получением неочищенной смеси (2,17 г, 70%). MS (ESI): 280,0 (M+H+-COO(t-Bu)); 402,0 (M+Na+).
К указанному выше веществу (1,28 г, 3,38 ммоль) в бензоле (15 мл) добавляли бензилбромид (0,68 мл, 5,75 ммоль) и затем DBU (1,01 мл, 6,76 ммоль). Смесь перемешивали при комнатной температуре в течение ночи. Затем добавляли EtOAc. Раствор промывали три раза 10% лимонной кислотой, затем насыщенным раствором соли, сушили над MgSO4 и концентрировали. Остаток очищали на силикагеле, используя в качестве элюирующего растворителя 40% EtOAc/гексан, с получением 1,2-дибензил-3-трет-бутил-(2S,3S)-5-гидроксипиперидин-1,2,3-трикарбоксилата (0,96 г, 61%). MS (ESI): 370,0 (M+H+-COO(t-Bu)); 492,0 (M+Na+).
Стадия 1n. Получение 1,2-дибензил-3-трет-бутил-(2S,3S)-5-оксопиперидин-1,2,3-трикарбоксилата
К охлажденному раствору оксалилхлорида (315 мг) в метиленхлориде (2,5 мл) добавляли по каплям раствор DMSO (0,30 мл) в метиленхлориде (3,0 мл) при -78°C. Смесь перемешивали при -78°С в течение 30 мин, добавляли по каплям 1,2-дибензил-3-трет-бутил-(2S,3S)-5-гидроксипиперидин-1,2,3-трикарбоксилат со стадии 1m (900 мг) в метиленхлориде (4 мл). Смесь перемешивали при температуре -78°C до -60°C в течение 1 часа. Добавляли триэтиламин (620 мг) в метиленхлориде (2,5 мл). Смеси давали нагреться до комнатной температуры в течение 2 часов. Смесь разбавляли этилацетатом (75 мл) и промывали насыщенным раствором соли (2×25 мл). Органический слой сушили над Na2SO4 и концентрировали при пониженном давлении. Остаток очищали флэш-хроматографией на колонке с силикагелем с получением 1,2-дибензил-3-трет-бутил-(2S,3S)-5-оксопиперидин-1,2,3-трикарбоксилата (570 мг). MS (ESI): 490,3 (M+Na+); 368,2 (M+H+-COO(t-Bu)).
Стадия 1o. Получение 1,2-дибензил-3-трет-бутил-(2S,3S)-5-метиленпиперидин-1,2,3-трикарбоксилата
К раствору 1,2-дибензил-3-трет-бутил-(2S,3S)-5-оксопиперидин-1,2,3-трикарбоксилата со стадии 1n (850 мг) в толуоле (10 мл) добавляли по каплям раствор Ph3P=CH2 (0,25M в толуоле/ТГФ (3:1), 9,1 мл) при -10°C. Смесь перемешивали и давали нагреться до комнатной температуры в течение 2 часов. Смесь разбавляли этилацетатом (75 мл) и промывали насыщенным раствором соли (3×25 мл). Органический слой сушили над Na2SO4 и концентрировали при пониженном давлении. Остаток очищали флэш-хроматографией на колонке с силикагелем с получением 1,2-дибензил-3-трет-бутил-(2S,3S)-5-метиленпиперидин-1,2,3-трикарбоксилата (546 мг). MS (ESI): 488,1 (M+Na+); 366,1 (M+H+-COO(t-Bu)).
Стадия 1p. Получение трет-бутил-(6S,7S)-5-метил-6-{[4-(3-метилфенил)пиперазин-1-ил]карбонил}-5-азаспиро[2,5]октан-7-карбоксилата
Смесь (6S,7S)-7-(трет-бутоксикарбонил)-5-азаспиро[2,5]октан-6-карбоновой кислоты со стадии 1g (25 мг), BOP (45 мг), 1-(3-метилфенил)пиперазина (176 мг) и диизопропилэтиламина (70 мкл) в DMF (500 мкл) перемешивали при комнатной температуре в течение ночи. К смеси добавляли раствор формальдегида (0,5М в ТГФ/MeCN (1:1), 600 мкл) и затем NaBH(OAc)3 (0,25М в ТГФ/MeCN (1:1), 1000 мкл). Полученную смесь перемешивали в течение ночи. Растворители удаляли при пониженном давлении. Остаток растворяли в этилацетате (5 мл). Раствор промывали раствором NaHCO3 (7,5%, 3×1 мл). Органическую фазу сушили над MgSO4, фильтровали и концентрировали. Остаток использовали непосредственно на следующей стадии без дополнительной очистки.
Стадия 1q. Получение (6S,7S)-N-гидрокси-5-метил-6-{[4-(3-метилфенил)пиперазин-1-ил]карбонил}-5-азаспиро[2,5]октан-7-карбоксамида
Неочищенный продукт со стадии 1p растворяли в метиленхлориде (3 мл). К полученному раствору добавляли TFA (3 мл) и затем воду (0,15 мл). Смесь перемешивали при комнатной температуре в течение ночи и концентрировали при пониженном давлении. Остаток растворяли в DMF (200 мкл). К раствору добавляли BOP (45 мг) и гидроксиламин (21 мг). Смесь доводили до pH 9 при помощи диизопропилэтиламина (~80 мл), перемешивали при комнатной температуре в течение ночи и затем сразу подвергали очистке методом ОФ-ВЭЖХ с получением конечного продукта – (6S,7S)-N-гидрокси-5-метил-6-{[4-(3-метилфенил)пиперазин-1-ил]карбонил}-5-азаспиро[2,5]октан-7-карбоксамида. MS(ESI): (M+H)+=387,1.
Пример 2
(6S,7S)-N-гидрокси-5-метил-6-[(4-фенилпиперазин-1-ил)карбонил]-5-азаспиро[2,5]октан-7-карбоксамид
Указанное соединение получали, используя методики, аналогичные описанным в примере 1. MS(ESI):(M+H)+=373,2.
Пример 3
(6S,7S)-N-гидрокси-5-метил-6-({4-[3-(трифторметил)фенил]пиперазин-1-ил}карбонил)-5-азаспиро[2,5]октан-7-карбоксамид
Указанное соединение получали, используя методики, аналогичные описанным в примере 1. MS(ESI):(M+H)+=441.
Пример 4
(6S,7S)-N-гидрокси-5-метил-6-{[4-(2-метилфенил)пиперазин-1-ил]карбонил}-5-азаспиро[2,5]октан-7-карбоксамид
Указанное соединение получали, используя методики, аналогичные описанным в примере 1. MS(ESI):(M+H)+=387,1.
Пример 5
(6S,7S)-6-{[4-(4-хлорфенил)пиперазин-1-ил]карбонил}-N-гидрокси-5-метил-5-азаспиро[2,5]октан-7-карбоксамид
Указанное соединение получали, используя методики, аналогичные описанным в примере 1. MS(ESI):(M+H)+=407,1.
Пример 6
(6S,7S)-N-гидрокси-5-метил-6-{[4-(2-метил-4-нитрофенил)пиперазин-1-ил]карбонил}-5-азаспиро[2,5]октан-7-карбоксамид
Указанное соединение получали, используя методики, аналогичные описанным в примере 1. MS(ESI):(M+H)+=432,0.
Пример 7
(6S,7S)-N-гидрокси-5-метил-6-[(4-фенилпиперидин-1-ил)карбонил]-5-азаспиро[2,5]октан-7-карбоксамид
Указанное соединение получали, используя методики, аналогичные описанным в примере 1. MS(ESI):(M+H)+=372,2.
Пример 8
(6S,7S)-N-гидрокси-6-[(4-гидрокси-4-фенилпиперидин-1-ил)карбонил]-5-метил-5-азаспиро[2,5]октан-7-карбоксамид
Указанное соединение получали, используя методики, аналогичные описанным в примере 1. MS(ESI):(M+H)+=388.
Пример 9
(6S,7S)-N-гидрокси-5-метил-6-[(4-фенил-3,6-дигидропиридин-1(2H)-ил)карбонил]-5-азаспиро[2,5]октан-7-карбоксамид
Указанное соединение получали, используя методики, аналогичные описанным в примере 1. MS(ESI):(M+H)+=370,0.
Пример 11
(6S,7S)-N-гидрокси-5-метил-6-[(4-хинолин-2-илпиперазин-1-ил)карбонил]-5-азаспиро[2,5]октан-7-карбоксамид
Указанное соединение получали, используя методики, аналогичные описанным в примере 1. MS(ESI):(M+H)+=424,3.
Пример 12
(6S,7S)-6-{[4-(2,3-дихлорфенил)пиперазин-1-ил]карбонил}-N-гидрокси-5-метил-5-азаспиро[2,5]октан-7-карбоксамид
Указанное соединение получали, используя методики, аналогичные описанным в примере 1. MS(ESI):(M+H)+=441.
Пример 13
(6S,7S)-N-гидрокси-5-метил-6-[(4-хинолин-4-илпиперазин-1-ил)карбонил]-5-азаспиро[2,5]октан-7-карбоксамид
Указанное соединение получали, используя методики, аналогичные описанным в примере 1. MS(ESI):(M+H)+=424,3.
Пример 14
(6S,7S)-N-гидрокси-5-метил-6-{[4-(2-метилхинолин-4-ил)пиперазин-1-ил]карбонил}-5-азаспиро[2,5]октан-7-карбоксамид
Указанное соединение получали, используя методики, аналогичные описанным в примере 1. MS(ESI):(M+H)+=438,4.
Пример 15
(6S,7S)-N-гидрокси-5-метил-6-{[4-(2-фенилэтил)пиперазин-1-ил]карбонил}-5-азаспиро[2,5]октан-7-карбоксамид
Указанное соединение получали, используя методики, аналогичные описанным в примере 1. MS(ESI):(M+H)+=401,3.
Пример 16
(6S,7S)-N-гидрокси-5-метил-6-[(4-пиридин-4-илпиперидин-1-ил)карбонил]-5-азаспиро[2,5]октан-7-карбоксамид
Указанное соединение получали, используя методики, аналогичные описанным в примере 1. MS(ESI):(M+H)+.373,3.
Пример 17
(6S,7S)-N-гидрокси-5-метил-6-{[4-(4-нитрофенил)пиперазин-1-ил]карбонил}-5-азаспиро[2,5]октан-7-карбоксамид
Указанное соединение получали, используя методики, аналогичные описанным в примере 1. MS(ESI):(M+H)+=418,3.
Пример 18
(6S,7S)-N-гидрокси-6-{[4-(2-метоксифенил)пиперазин-1-ил]карбонил}-5-метил-5-азаспиро[2,5]октан-7-карбоксамид
Указанное соединение получали, используя методики, аналогичные описанным в примере 1. MS(ESI):(M+H)+=403.
Пример 19
(6S,7S)-N-гидрокси-5-метил-6-[(4-феноксипиперидин-1-ил)карбонил]-5-азаспиро[2,5]октан-7-карбоксамид
Указанное соединение получали, используя методики, аналогичные описанным в примере 1. MS(ESI):(M+H)+=388,3.
Пример 20
(6S,7S)-6-(3,4-дигидроизохинолин-2(1H)-илкарбонил)-N-гидрокси-5-метил-5-азаспиро[2,5]октан-7-карбоксамид
Указанное соединение получали, используя методики, аналогичные описанным в примере 1. MS(ESI):(M+H)+=344,3.
Пример 21
(6S,7S)-6-(4,7-дигидротиено[2,3-c]пиридин-6(5H)-илкарбонил)-N-гидрокси-5-метил-5-азаспиро[2,5]октан-7-карбоксамид
Указанное соединение получали, используя методики, аналогичные описанным в примере 1. MS(ESI):(M+H)+=350,2.
Пример 22
(6S,7S)-6-[(3-бензилпирролидин-1-ил)карбонил]-N-гидрокси-5-метил-5-азаспиро[2,5]октан-7-карбоксамид
Указанное соединение получали, используя методики, аналогичные описанным в примере 1. MS(ESI):(M+H)+=372,3.
Пример 23
(6S,7S)-N-гидрокси-5-метил-6-[(4-пиридин-2-илпиперазин-1-ил)карбонил]-5-азаспиро[2,5]октан-7-карбоксамид
Указанное соединение получали, используя методики, аналогичные описанным в примере 1. MS(ESI):(M+H)+=374,2.
Пример 24
(6S,7S)-N-гидрокси-5-метил-6-{[4-(2-пиридин-4-илэтил)пиперидин-1-ил]карбонил}-5-азаспиро[2,5]октан-7-карбоксамид
Указанное соединение получали, используя методики, аналогичные описанным в примере 1. MS(ESI):(M+H)+=401,3.
Пример 25
(6S,7S)-N-гидрокси-5-метил-6-({4-[5-(трифторметил)пиридин-2-ил]пиперазин-1-ил}карбонил)-5-азаспиро[2,5]октан-7-карбоксамид
Указанное соединение получали, используя методики, аналогичные описанным в примере 1. MS(ESI):(M+H)+=442,3.
Пример 26
(6S,7S)-N-гидрокси-5-метил-6-({4-[3-(трифторметил)пиридин-2-ил]пиперазин-1-ил}карбонил)-5-азаспиро[2,5]октан-7-карбоксамид
Указанное соединение получали, используя методики, аналогичные описанным в примере 1. MS(ESI):(M+H)+=442,3.
Пример 27
(6S,7S)-6-(1,4′-бипиперидин-1′-илкарбонил)-N-гидрокси-5-метил-5-азаспиро[2,5]октан-7-карбоксамид
Указанное соединение получали, используя методики, аналогичные описанным в примере 1. MS(ESI):(M+H)+=379,3.
Пример 28
(6S,7S)-N-гидрокси-5-метил-6-{[4-(пиридин-2-илметил)пиперазин-1-ил]карбонил}-5-азаспиро[2,5]октан-7-карбоксамид
Указанное соединение получали, используя методики, аналогичные описанным в примере 1. MS(ESI):(M+H)+=388,3.
Пример 29
(6S,7S)-N-гидрокси-5-метил-6-{[4-(пиридин-4-илметил)пиперазин-1-ил]карбонил}-5-азаспиро[2,5]октан-7-карбоксамид
Указанное соединение получали, используя методики, аналогичные описанным в примере 1. MS(ESI):(M+H)+=388,3.
Пример 30
(6S,7S)-N-гидрокси-5-метил-6-{[4-(пиридин-3-илметил)пиперазин-1-ил]карбонил}-5-азаспиро[2,5]октан-7-карбоксамид
Указанное соединение получали, используя методики, аналогичные описанным в примере 1. MS(ESI):(M+H)+=388,3.
Пример 31
(6S,7S)-N-гидрокси-5-метил-6-{[4-(2-метилфенил)-3,6-дигидропиридин-1(2H)-ил]карбонил}-5-азаспиро[2,5]октан-7-карбоксамид
Стадия 1.
Получение 4-(2-метилфенил)-1,2,3,6-тетрагидропиридина
К раствору трет-бутил-4-{[(трифторметил)сульфонил]окси}-3,6-дигидропиридин-1(2H)-карбоксилата (500 мг, 1,51 ммоль), Na2CO3 (2,1 мл, 2,0М), LiCl (188 мг) и Pd(PPh3)4 12 мг) добавляли 2-метилфенилбороновую кислоту. Реакционную смесь кипятили с обратным холодильником в течение 2,0 часов и охлаждали до комнатной температуры. Раствор экстрагировали этилацетатом, промывали 2н. раствором Na2CO3 и NH4OH и насыщенным раствором соли. Неочищенный остаток очищали колоночной флэш-хроматографией с получением 370 мг чистого соединения.
Указанное выше вещество растворяли в 4,5 мл CH2Cl3 и 0,5 мл H2O и затем добавляли 5 мл TFA. Смесь перемешивали при комнатной температуре в течение 50 минут. Смесь затем концентрировали с получением соответствующего вещества.
Стадия 2. Получение (6S,7S)-N-гидрокси-5-метил-6-{[4-(2-метилфенил)-3,6-дигидропиридин-1(2H)-ил]карбонил}-5-азаспиро[2,5]октан-7-карбоксамида
1,4-(2-метилфенил)-1,2,3,6-тетрагидропиридин подвергали реакции сочетания с (6S,7S)-7-(трет-бутоксикарбонил)-5-азаспиро[2,5]октан-6-карбоновой кислотой, используя методики, аналогичные описанным в примере 1, с получением желаемого (6S,7S)-N-гидрокси-5-метил-6-{[4-(2-метилфенил)-3,6-дигидропиридин-1(2H)-ил]карбонил}-5-азаспиро[2,5]октан-7-карбоксамида MS(ESI): (M+H)+=384,1.
Пример 32
(6S,7S)-N-гидрокси-6-{[4-(3-метилфенил)пиперазин-1-ил]карбонил}-5-азаспиро[2,5]октан-7-карбоксамид
Указанное соединение получали, используя методики, аналогичные описанным в примере 1. MS(ESI):(M+H)+=373,1.
Пример 33
(6S,7S)-N-гидрокси-5-метил-6-(1,3,4,9-тетрагидро-2H- -карболин-2-илкарбонил)-5-азаспиро[2,5]октан-7-карбоксамид

Указанное соединение получали, используя методики, аналогичные описанным в примере 1. MS(ESI):(M+H)+=383,0.
Пример 34
(6S,7S)-N-гидрокси-5-метил-6-[(9-метил-1,3,4,9-тетрагидро-2H- -карболин-2-ил)карбонил]-5-азаспиро[2,5]октан-7-карбоксамид

Указанное соединение получали, используя методики, аналогичные описанным в примере 1. MS(ESI):(M+H)+=396,9.
Пример 35
(6S,7S)-6-{[4-(2-фторфенил)-3,6-дигидропиридин-1(2H)-ил]карбонил}-N-гидрокси-5-метил-5-азаспиро[2,5]октан-7-карбоксамид
Указанное соединение получали, используя методики, аналогичные описанным в примере 31. MS(ESI):(M+H)+=388,0.
Пример 36
(6S,7S)-6-{[4-(2-хлорфенил)-3,6-дигидропиридин-1(2H)-ил]карбонил}-N-гидрокси-5-метил-5-азаспиро[2,5]октан-7-карбоксамид
Указанное соединение получали, используя методики, аналогичные описанным в примере 31. MS(ESI):(M+H)+=404,0.
Пример 37
(6S,7S)-6-{[4-(4-нитрофенил)-3,6-дигидропиридин-1(2H)-ил]карбонил}-N-гидрокси-5-метил-5-азаспиро[2,5]октан-7-карбоксамид
Указанное соединение получали, используя методики, аналогичные описанным в примере 31. MS(ESI):(M+H)+=415,1.
Пример 38
(6S,7S)-6-{[4-фенил-3,6-дигидропиридин-1(2H)-ил]карбонил}-N-гидрокси-5-азаспиро[2,5]октан-7-карбоксамид
Указанное соединение получали, используя методики, аналогичные описанным в примере 1. MS(ESI):(M+H)+=356.
Пример 39
(6S,7S)-6-{[4-(2-метил-4-нитрофенил)-3,6-дигидропиридин-1(2H)-ил]карбонил}-N-гидрокси-5-азаспиро[2,5]октан-7-карбоксамид
Указанное соединение получали, используя методики, аналогичные описанным в примере 31. MS(ESI):(M+H)+=418,0.
Пример 40
(6S,7S)-N(7)-гидрокси-N(6),5-диметил-N(6)-(3-фенилпропил)-5-азаспиро[2,5]октан-6,7-дикарбоксамид
Указанное соединение получали, используя методики, аналогичные описанным в примере 1. MS(ESI):(M+H)+=360,1.
Пример 41
(6S,7S)-N(7)-гидрокси-N(6)-изобутил-5-метил-5-азаспиро[2,5]октан-6,7-дикарбоксамид
Указанное соединение получали, используя методики, аналогичные описанным в примере 1. MS(ESI):(M+H)+=284,0.
Пример 42
(6S,7S)-N-гидрокси-5-метил-6-{[4-(2-нитрофенил)пиперазин-1-ил]карбонил}-5-азаспиро[2,5]октан-7-карбоксамид
Указанное соединение получали, используя методики, аналогичные описанным в примере 1. MS(ESI):(M+H)+=418,0.
Пример 43
(6S,7S)-N(7)-гидрокси-N(6)-изобутил-N(6),5-диметил-5-азаспиро[2,5]октан-6,7-дикарбоксамид
Указанное соединение получали, используя методики, аналогичные описанным в примере 1. MS(ESI):(M+H)+=298,0.
Пример 44
(6S,7S)-N(7)-гидрокси-5-метил-N(6)-(2-феноксиэтил)-5-азаспиро[2,5]октан-6,7-дикарбоксамид
Указанное соединение получали, используя методики, аналогичные описанным в примере 1. MS(ESI):(M+H)+.348,0
Пример 45
(6S,7S)-N(7)-гидрокси-N(6)-[2-(4-метоксифенил)этил]-5-метил-5-азаспиро[2,5]октан-6,7-дикарбоксамид
Указанное соединение получали, используя методики, аналогичные описанным в примере 1. MS(ESI):(M+H)+=362,0.
Пример 46
(6S,7S)-N(7)-гидрокси-5-метил-N(6)-(4-фенилбутил)-5-азаспиро[2,5]октан-6,7-дикарбоксамид
Указанное соединение получали, используя методики, аналогичные описанным в примере 1. MS(ESI):(M+H)+=360,0.
Пример 47
(6S,7S)-N(7)-гидрокси-5-метил-N(6)-[3-(2-оксопирролидин-1-ил)пропил]-5-азаспиро[2,5]октан-6,7-дикарбоксамид
Указанное соединение получали, используя методики, аналогичные описанным в примере 1. MS(ESI):(M+H)+=353,0.
Пример 48
(6S,7S)-N-гидрокси-5-метил-6-[(10aR)-3,4,10,10a-тетрагидропиразино[1,2-a]индол-2(1H)-илкарбонил]-5-азаспиро[2,5]октан-7-карбоксамид

Стадия 1. Получение метил{[(2R)-2,3-дигидро-1H-индол-2-илкарбонил]амино}ацетата
К раствору (2R)-индолин-2-карбоновой кислоты (1 г, 5,64 ммоль) и HCl-соли метилового эфира аминоуксусной кислоты (710 мг, 5,64 ммоль) и BOP (2,75 г, 1,1 экв.) в 15 мл DMF добавляли 2,95 мл основания Ханига. Смесь перемешивали в течение ночи. Смесь растворяли в насыщенном растворе NaHCO3, экстрагировали три раза EtOAc и промывали насыщенным раствором NaHCO3 и насыщенным раствором соли. Органический раствор сушили над Na2SO4 и концентрировали с получением желаемого метил{[(2R)-2,3-дигидро-1H-индол-2-илкарбонил]амино}ацетата. Это вещество использовали непосредственно на следующей стадии без дополнительной очистки.
Стадия 2.
Получение (10aR)-1,2,3,4,10,10a-гексагидропиразино[1,2-a]индола
Метил{[(2R)-2,3-дигидро-1H-индол-2-илкарбонил]амино}ацетат (390 мг) смешивали с 100 мг NaOMe в 5 мл этанола. Смесь кипятили с обратным холодильником в течение 2 часов и охлаждали до комнатной температуры. Неочищенное вещество очищали флэш-хроматографией с получением желаемого (10aR)-2,3,10,10a-тетрагидропиразино[1,2-a]индол-1,4-диона.
К раствору (10aR)-2,3,10,10a-тетрагидропиразино[1,2-a]индол-1,4-диона (200 мг, 0,99 ммоль) в 5 мл ТГФ добавляли LAH. Реакционную смесь кипятили с обратным холодильником в течение 1 часа. В результате стандартной обработки получали 170 мг чистого (10aR)-1,2,3,4,10,10a-гексагидропиразино[1,2-a]индола.
Стадия 3.
Используя методику, описанную в примере 1, (10aR)-1,2,3,4,10,10a-гексагидропиразино[1,2-a]индол преобразовывали в желаемый (6S,7S)-N-гидрокси-5-метил-6-[(10aR)-3,4,10,10a-тетрагидропиразино[1,2-a]индол-2(1H)-илкарбонил]-5-азаспиро[2,5]октан-7-карбоксамид. MS(ESI): (M+H)+=385,0.
Пример 49
(5,6-транс)-N-гидрокси-5-{[4-(2-метил-4-нитрофенил)пиперазин-1-ил]карбонил}спиро[2,5]октан-6-карбоксамид

Стадия 1. Получение 2-трет-бутил-1-этил-(1,2-транс)-4-[(триметилсилил)окси]циклогекс-4-ен-1,2-дикарбоксилата

При -20oC 0,4М раствор в толуоле бис(2,6-ди-трет-бутил-4-метилфеноксид)метилалюминия (MAD) (50 мл, 20 ммоль) медленно при перемешивании добавляли к растворителю метиленхлориду (15 мл). При этой температуре к раствору MAD медленно при перемешивании добавляли раствор трет-бутилэтилфумарата (3,60 г, 18 ммоль) в метиленхлориде (4 мл). При -20°C к реакционной смеси медленно добавляли раствор 2-триметилсилилокси-1,3-бутадиена (2,56 г, 18 ммоль) в метиленхлориде (4 мл). Реакционную смесь перемешивали при -20°С в течение 70 часов. Реакционную смесь гасили насыщенным раствором лимонной кислоты и разбавляли метиленхлоридом. Осаждалось некоторое количество нерастворимого вещества, которое отфильтровывали. После разделения водный слой экстрагировали метиленхлоридом (×2). Объединенные экстракты сушили над Na2SO4. После фильтрования фильтрат концентрировали. Полученный остаток очищали флэш-хроматографией, получали 4,12 г чистого продукта. Фильтрат снова очищали колоночной хроматографией. Получали еще 0,56 чистого продукта и выделяли 0,78 г исходного вещества – трет-бутилэтилфумарата. Выход: 97%.
Стадия 2. Получение 2-трет-бутил-1-этил-(1,2-транс)-4-оксоциклогексан-1,2-дикарбоксилата

2-трет-Бутил-1-этил-(1,2-транс)-4-[(триметилсилил)окси]циклогекс-4-ен-1,2-дикарбоксилат со стадии 1 (0,72 г, 2,1 ммоль) растворяли в метаноле (10 мл). К полученному раствору добавляли насыщенный раствор лимонной кислоты (1 мл). Смесь перемешивали при комнатной температуре в течение 4 часов. ТСХ показала, что исходное вещество израсходовано. Метанол удаляли на роторном испарителе. Полученный остаток поглощали в этилацетат и промывали водой (×1), насыщенным раствором соли (×1), сушили над Na2SO4. После фильтрования фильтрат концентрировали с получением продукта с количественным выходом.
Стадия 3. Получение 2-трет-бутил-1-этил-(1,2)-4-метиленциклогексан-1,2-дикарбоксилата

К смеси бромида метилтрифенилфосфония (0,87 г, 2,4 ммоль) в толуоле (6 мл) и ТГФ (2 мл) добавляли 1М раствор NaHMDS (2,4 мл, 2,4 ммоль) в ТГФ. Смесь перемешивали при комнатной температуре в течение 1,5 часа. Полученную смесь медленно при перемешивании добавляли к предварительно охлажденному (-10oC) раствору 2-трет-бутил-1-этил-(1,2-транс)-4-оксоциклогексан-1,2-дикарбоксилата со стадии 2 (0,57 г, 2,1 ммоль) в толуоле (8 мл). По завершении добавления реакционную смесь перемешивали при -10oC в течение 10 минут, затем при комнатной температуре в течение 1,5 часа. ТСХ показала, что исходное вещество израсходовано. Реакционную смесь разбавляли этилацетатом, промывали водой (×1); насыщенным раствором соли (×2); сушили над Na2SO4. После фильтрования фильтрат концентрировали. Полученный остаток очищали флэш-хроматографией. Получали 0,56 г 2-трет-бутил-1-этил-(1,2)-4-метиленциклогексан-1,2-дикарбоксилата. Выход: 99%.
Стадия 4. Получение 5-трет-бутил-6-этил-(5,6-транс)-спиро[2,5]октан-5,6-дикарбоксилата

К раствору KOH (5 г) в воде (8 мл), ди(этиленгликоль)этиловом эфире (24 мл) и этиловом эфире (25 мл) в колбе A добавляли тремя порциями 3 г диазальда (diazald). После добавления первой порции диазальда колбу помещали на предварительно нагретую (при 60oC) масляную баню для отгонки образовавшегося CH2N2 при помощи простого эфира в другую колбу (B), предварительно охлажденную до около -15oC и содержащую 2-трет-бутил-1-этил-(1,2)-4-метиленциклогексан-1,2-дикарбоксилат со стадии 3 (500 мг) и Pd(OAc)2 (80 мг) в эфире (15 мл). Через 5 минут масляную баню для колбы A удаляли. Затем добавляли вторую порцию диазальда и описанную выше процедуру повторяли дважды. По завершении отгонки CH2N2 эфиром в колбу B охлаждающую баню для колбы B удаляли. Реакционную смесь перемешивали при комнатной температуре в течение 2 часов, затем фильтровали через силикагель, промывали этилацетатом и затем метиленхлоридом. Фильтрат концентрировали. Полученный остаток обрабатывали еще три раза, используя описанные выше процедуры. В результате обычной обработки получали 5-трет-бутил-6-этил-(5,6-транс)спиро[2,5]октан-5,6-дикарбоксилат (выход 80%).
Стадия 5.
Получение (5,6-транс)-6-(этоксикарбонил)спиро[2,5]октан-5-карбоновой кислоты

5-трет-бутил-6-этил-(5,6-транс)-спиро[2,5]октан-5,6-дикарбоксилат (150 мг, 0,53 ммоль) растворяли в растворе метиленхлорид (2 мл)-TFA (2 мл) и воды (0,1 мл). Смесь перемешивали при комнатной температуре в течение 3 часов. ТСХ показала, что исходное вещество израсходовано. Реакционную смесь концентрировали с получением продукта (5,6-транс)-6-(этоксикарбонил)спиро[2,5]октан-5-карбоновой кислоты с количественным выходом.
Стадия 6. Получение этил-(5,6-транс)-5-{[4-(2-метил-4-нитрофенил)пиперазин-1-ил]карбонил}спиро[2,5]октан-6-карбоксилата:

(5,6-транс)-6-(этоксикарбонил)спиро[2,5]октан-5-карбоновую кислоту со стадии 5 (27,4 мг, 0,12 ммоль) и 1-(2-метил-4-нитрофенил)пиперазин (29,4 мг, 0,13 ммоль) растворяли в DMF (1 мл). К полученному раствору добавляли реагент BOP (56,3 мг, 0,127 ммоль). После перемешивания в течение 10 минут к смеси добавляли DIEA. Смесь перемешивали при комнатной температуре в течение ночи, затем гасили насыщенным раствором лимонной кислоты. Полученный продукт экстрагировали этилацетатом. Экстракт промывали водой (×1), насыщенным раствором соли (×1); сушили над Na2SO4. После фильтрования фильтрат концентрировали с получением этил-(5,6-транс)-5-{[4-(2-метил-4-нитрофенил)пиперазин-1-ил]карбонил}спиро[2,5]октан-6-карбоксилата.
Стадия 7. Получение (5,6-транс)-5-{[4-(2-метил-4-нитрофенил)пиперазин-1-ил]карбонил}спиро[2,5]октан-6-карбоновой кислоты

Этил-(5,6-транс)-5-{[4-(2-метил-4-нитрофенил)пиперазин-1-ил]карбонил}спиро[2,5]октан-6-карбоксилат, полученный на стадии 6, смешивали в смеси ТГФ (2 мл)-вода (0,4 мл) и LiOH·H2O (200 мг) и нагревали при кипячении с обратным холодильником в течение 36 часов. После охлаждения реакционную смесь нейтрализовали насыщенным раствором лимонной кислоты и экстрагировали этилацетатом (×3). Объединенные экстракты промывали лимонной кислотой (×1), насыщенным раствором соли (×1) и сушили над Na2SO4. После фильтрования фильтрат концентрировали с получением (5,6-транс)-5-{[4-(2-метил-4-нитрофенил)пиперазин-1-ил]карбонил}спиро[2,5]октан-6-карбоновой кислоты.
Стадия 8. Получение соединения (5,6-транс)-N-гидрокси-5-{[4-(2-метил-4-нитрофенил)пиперазин-1-ил]карбонил}спиро[2,5]октан-6-карбоксамида

К раствору (5,6-транс)-5-{[4-(2-метил-4-нитрофенил)пиперазин-1-ил]карбонил}спиро[2,5]октан-6-карбоновой кислоты, полученной на стадии 7, и HCl-соли гидроксиламина (30 мг, 4,3 ммоль) в 1 мл DMF добавляли агент сочетания BOP (56,3 мг, 0,13 ммоль). После перемешивания в течение 10 минут к смеси добавляли DIEA. Смесь перемешивали при комнатной температуре в течение ночи и реакцию отслеживали методом ВЭЖХ. Конечный желаемый продукт очищали методом ОФ-ВЭЖХ с получением 25,6 мг (5,6-транс)-N-гидрокси-5-{[4-(2-метил-4-нитрофенил)пиперазин-1-ил]карбонил}спиро[2,5]октан-6-карбоксамида с выходом 50%, от трех стадий. MS(ESI): (M+H)+=417,2.
Пример 50
(5,6-транс)-N-гидрокси-6-{[4-(3-метилфенил)пиперазин-1-ил]карбонил}спиро[2,5]октан-5-карбоксамид
Указанное соединение получали, используя методики, аналогичные описанным в примере 49. MS(ESI):(M+H)+=372,2.
Пример 51
(5,6-транс)-N-гидрокси-5-[(4-фенил-3,6-дигидропиридин-1(2H)-ил)карбонил]спиро[2,5]октан-6-карбоксамид
Указанное соединение получали, используя методики, аналогичные описанным в примере 49. MS(ESI):(M+H)+=355.
Пример 52
(5,6-транс)-N-гидрокси-5-{[4-(3-метилфенил)пиперазин-1-ил]карбонил}спиро[2,5]октан-6-карбоксамид
Указанное соединение получали, используя методики, аналогичные описанным в примере 49. MS(ESI):(M+H)+=372,0.
Пример 53
(5,6-транс)-N-гидрокси-6-[(4-фенил-3,6-дигидропиридин-1(2H)-ил)карбонил]спиро[2,5]октан-5-карбоксамид
Указанное соединение получали, используя методики, аналогичные описанным в примере 49. MS(ESI):(M+H)+=355.
Пример 54
(6S,7S)-N-гидрокси-6-(3,4,10,10a-тетрагидропиразино[1,2-a]индол-2(1H)-илкарбонил)-5-азаспиро[2,5]октан-7-карбоксамид

Указанное соединение получали, используя методики, аналогичные описанным в примере 48. MS(ESI):(M+H)+=371,2.
Пример 55
(6S,7S)-6-(1,2,4,4a,5,6-гексагидро-3H-пиразино[1,2-a]хинолин-3-илкарбонил)-N-гидрокси-5-метил-5-азаспиро[2,5]октан-7-карбоксамид
Указанное соединение получали, используя методики, аналогичные описанным в примере 48. MS(ESI):(M+H)+=399,4.
Пример 56
Метил-(6S,7S)-7-[(гидроксиамино)карбонил]-6-[(4-фенил-3,6-дигидропиридин-1(2H)-ил)карбонил]-5-азаспиро[2,5]октан-5-карбоксилат
Указанное соединение получали, используя методики, аналогичные описанным в примере 1. MS(ESI):(M+H)+=414,0.
Пример 57
Бензил-(6S,7S)-7-[(гидроксиамино)карбонил]-6-[(4-фенил-3,6-дигидропиридин-1(2H)-ил)карбонил]-5-азаспиро[2,5]октан-5-карбоксилат
Указанное соединение получали, используя методики, аналогичные описанным в примере 1. MS(ESI):(M+H)+=490,0.
Пример 58
(6S,7S)-N-Гидрокси-5-(метилсульфонил)-6-[(4-фенил-3,6-дигидропиридин-1(2H)-ил)карбонил]-5-азаспиро[2,5]октан-7-карбоксамид
Указанное соединение получали, используя методики, аналогичные описанным в примере 1. MS(ESI):(M+H)+=434,0.
Пример 59
(6S,7S)-N-гидрокси-6-{[3-(3-метоксифенил)пиперидин-1-ил]карбонил}-5-метил-5-азаспиро[2,5]октан-7-карбоксамид
Указанное соединение получали, используя методики, аналогичные описанным в примере 1. MS(ESI):(M+H)+=402,4.
Пример 60
(6S,7S)-N-гидрокси-5-метил-6-{[3-(2-фенилэтил)пирролидин-1-ил]карбонил}-5-азаспиро[2,5]октан-7-карбоксамид
Указанное соединение получали, используя методики, аналогичные описанным в примере 1. MS(ESI):(M+H)+=386,0.
Пример 61
(6S,7S)-N-гидрокси-6-{[4-(3-метоксифенил)пиперидин-1-ил]карбонил}-5-метил-5-азаспиро[2,5]октан-7-карбоксамид
Указанное соединение получали, используя методики, аналогичные описанным в примере 1. MS(ESI):(M+H)+=402,4.
Пример 62
(6S,7S)-6-{[4-[3-(аминокарбонил)фенил]-3,6-дигидропиридин-1(2H)-ил]карбонил}-N-гидрокси-5-азаспиро[2,5]октан-7-карбоксамид
Указанное соединение получали, используя методики, аналогичные описанным в примере 31. MS(ESI):(M+H)+=398,9.
Пример 63
(6S,7S)-N-гидрокси-6-{[4-(2-метоксифенил)пиперидин-1-ил]карбонил}-5-метил-5-азаспиро[2,5]октан-7-карбоксамид
Указанное соединение получали, используя методики, аналогичные описанным в примере 31. MS(ESI):(M+H)+=402,4.
Пример 64
(6S,7S)-6-{[4-(3-фтор-2-метилфенил)пиперазин-1-ил]карбонил}-N-гидрокси-5-азаспиро[2,5]октан-7-карбоксамид
Указанное соединение получали, используя методики, аналогичные описанным в примере 1. MS(ESI):(M+H)+=391,3.
Пример 65
(6S,7S)-N-гидрокси-6-{[4-(2-метил-3-нитрофенил)пиперазин-1-ил]карбонил}-5-азаспиро[2,5]октан-7-карбоксамид
Указанное соединение получали, используя методики, аналогичные описанным в примере 1. MS(ESI):(M+H)+=418,3.
Пример 66
(6S,7S)-6-(3′,6′-дигидро-3,4′-бипиридин-1′(2’H)-илкарбонил)-N-гидрокси-5-азаспиро[2,5]октан-7-карбоксамид

Указанное соединение получали, используя методики, аналогичные описанным в примере 31. MS(ESI):(M+H)+=357,4.
Пример 67
(6S,7S)-N(7)-гидрокси-N(6)-(4-метоксифенил)-N(6)-метил-5-азаспиро[2,5]октан-6,7-дикарбоксамид
Указанное соединение получали, используя методики, аналогичные описанным в примере 1. MS(ESI):(M+H)+=334.
Пример 68
(6S,7S)-N-гидрокси-6-{[4-(3-метоксифенил)пиперазин-1-ил]карбонил}-5-метил-5-азаспиро[2,5]октан-7-карбоксамид
Указанное соединение получали, используя методики, аналогичные описанным в примере 1. MS(ESI):(M+H)+=403,0.
Пример 69
(6S,7S)-6-{[4-(3-хлорфенил)пиперазин-1-ил]карбонил}-N-гидрокси-5-метил-5-азаспиро[2,5]октан-7-карбоксамид
Указанное соединение получали, используя методики, аналогичные описанным в примере 1. MS(ESI):(M+H)+=407,3.
Пример 70
(6S,7S)-N-гидрокси-6-[(4-фенил-1,4-диазепан-1-ил)карбонил]-5-азаспиро[2,5]октан-7-карбоксамид
Указанное соединение получали, используя методики, аналогичные описанным в примере 1. MS(ESI):(M+H)+=373.
Пример 71
(6S,7S)-N-гидрокси-6-{[3-метил-4-(3-метилфенил)пиперазин-1-ил]карбонил}-5-азаспиро[2,5]октан-7-карбоксамид
Указанное соединение получали, используя методики, аналогичные описанным в примере 1. MS(ESI):(M+H)+=387.
Пример 72
(6S,7S)-N-гидрокси-6-{[4-(3-метоксифенил)пиперидин-1-ил]карбонил}-5-азаспиро[2,5]октан-7-карбоксамид
Указанное соединение получали, используя методики, аналогичные описанным в примере 1. MS(ESI):(M+H)+=388,4.
Пример 73
(5S,6S)-N-гидрокси-6-[(3-фенилпирролидин-1-ил)карбонил]спиро[2,5]октан-5-карбоксамид
Указанное соединение получали, используя методики, аналогичные описанным в примере 1. MS(ESI):(M+H)+=343,3.
Пример 74
(6S,7S)-N-гидрокси-6-[(4-изобутирилпиперазин-1-ил)карбонил]-5-азаспиро[2,5]октан-7-карбоксамид
Указанное соединение получали, используя методики, аналогичные описанным в примере 1. MS(ESI):(M+H)+=353.
Пример 75
(6S,7S)-6-{[4-(4-циано-2-метилфенил)-3,6-дигидропиридин-1(2H)-ил]карбонил}-N-гидрокси-5-азаспиро[2,5]октан-7-карбоксамид
Указанное соединение получали, используя методики, аналогичные описанным в примере 31. MS(ESI):(M+H)+=395.
Пример 76
(6S,7S)-N(7)-Гидрокси-5-метил-N(6)-{4-[(2-метилхинолин-4-ил)метокси]фенил}-5-азаспиро[2,5]октан-6,7-дикарбоксамид
Стадия 1.
Получение 4-(2-метилхинолин-4-илметокси)фениламина
К смеси 2-метилхинолина (43,0 г, 0,3 моль), железа (5,04 г, 0,09 моль), FeSO4·7H2O (25,0 г, 0,09 моль) в метаноле (400 мл) и воде (200 мл) добавляли серную кислоту (конц., 16,0 мл, 0,3 моль) при 0oC и затем медленно добавляли H2O2 (160 мл) при 0oC. Смесь затем нагревали до комнатной температуры и перемешивали в течение ночи. Раствор разбавляли водой, подщелачивали гидроксидом аммония и экстрагировали этилацетатом. Объединенный экстракт промывали насыщенным раствором соли, сушили и концентрировали. В результате перекристаллизации из смеси этиловый эфир/гексан получали (2-метилхинолин-4-ил)метанол (12,0 г). ESI (M+H)+ 173,9.
(2-Метилхинолин-4-ил)метанол (7,0 г) растворяли в хлороформе (150 мл) и охлаждали до 0oC, при этой температуре медленно добавляли тионилхлорид (15,0 мл) и затем реакционной смеси давали нагреться до комнатной температуры при перемешивании в течение ночи. Растворитель удаляли и остаток растирали в смеси этилацетат/этиловый эфир с получением соединения 4-хлорметил-2-метилхинолина в виде соли HCl (9,0 г). ESI (M+H)+ 191,9.
Смесь 4-хлорметил-2-метилхинолина (6,84 г, 30,0 ммоль), трет-бутилового эфира (4-гидроксифенил)карбаминовой кислоты (6,24 г, 30,0 ммоль), Cs2CO3 (20,0 г, 60,0 ммоль) и н-Bu4NI (11,1 г, 30,0 ммоль) в DMSO (150 мл) перемешивали при 80oС в течение 3 часов. Смесь затем охлаждали, погружали в холодную воду и экстрагировали этилацетатом. Объединенный экстракт промывали водой, насыщенным раствором соли, сушили и концентрировали. В результате хроматографии с использованием CH2Cl2/EtOAc получали трет-бутиловый эфир [4-(2-метилхинолин-4-илметокси)фенил]карбаминовой кислоты (8,0 г). ESI (M+H)+ 365,3.
К раствору трет-бутилового эфирв [4-(2-метилхинолин-4-илметокси)фенил]карбаминовой кислоты (1,5 г) в этилацетате (5 мл) добавляли 4н. раствор HCl в диоксане (20 мл) и смесь перемешивали при комнатной температуре в течение 3 часов. Добавляли этиловый эфир, осадок отфильтровывали и промывали этиловым эфиром с получением 4-(2-метилхинолин-4-илметокси)фениламина в виде соли HCl (1,3 г). ESI (M+H)+ 265,0.
Стадия 2. Получение трет-бутил-(6S,7S)-6-[({4-[(2-метилхинолин-4-ил)метокси]фенил}амино)карбонил]-5-азаспиро[2,5]октан-7-карбоксилата
4-(2-Метилхинолин-4-илметокси)фениламин в виде соли HCl (94,0 мг, 0,28 ммоль) и (6S,7S)-7-(трет-бутоксикарбонил)-5-азаспиро[2,5]октан-6-карбоновую кислоту (70,0 мг, 0,27 ммоль) растворяли в DMF (2,0 мл). К полученному раствору добавляли BOP (143,0 мг, 0,32 ммоль) и затем охлаждали до 0oC. К полученной смеси добавляли диизопропилэтиламин (0,175 мл, 1,0 ммоль) при 0oC и затем реакционную смесь перемешивали при комнатной температуре в течение 2 часов. Смесь разбавляли водой, экстрагировали этилацетатом, объединенный экстракт промывали насыщенным раствором соли, сушили и концентрировали. Неочищенный трет-бутил-(6S,7S)-6-[({4-[(2-метилхинолин-4-ил)метокси]фенил}амино)карбонил]-5-азаспиро[2,5]октан-7-карбоксилат (140 мг) использовали на следующей стадии без очистки. ESI (M+H)+ 502,4.
Стадия 3. Получение трет-бутил-(6S,7S)-5-метил-6-[({4-[(2-метилхинолин-4-ил)метокси]фенил}амино)карбонил]-5-азаспиро[2,5]октан-7-карбоксилата
К раствору трет-бутил-(6S,7S)-6-[({4-[(2-метилхинолин-4-ил)метокси]фенил}амино)карбонил]-5-азаспиро[2,5]октан-7-карбоксилата (140 мг, 0,27 ммоль) в метаноле (3,0 мл) добавляли формальдегид (37% раствор в воде, 0,5 мл) и триацетоксиборгидрид натрия (0,25 г, 1,2 ммоль). Смесь затем перемешивали при комнатной температуре в течение 2 часов. Реакционную смесь разбавляли этилацетатом, промывали насыщенным раствором NaHCO3, водой и насыщенным раствором соли. Сушили и концентрировали. трет-бутил-(6S,7S)-5-метил-6-[({4-[(2-метилхинолин-4-ил)метокси]фенил}амино)карбонил]-5-азаспиро[2,5]октан-7-карбоксилат (105,0 мг) получали в результате очистки колоночной хроматографией, используя CH2Cl2/метанол (10%). ESI (M+H)+ 516,5.
Стадия 4. Получение (6S,7S)-5-метил-6-[({4-[(2-метилхинолин-4-ил)метокси]фенил}амино)карбонил]-5-азаспиро[2,5]октан-7-карбоновой кислоты
К раствору трет-бутил-(6S,7S)-5-метил-6-[({4-[(2-метилхинолин-4-ил)метокси]фенил}амино)карбонил]-5-азаспиро[2,5]октан-7-карбоксилата (105,0 мг) в CH2Cl2 (1,0 мл) добавляли TFA (1,0 мл) и смесь перемешивали при комнатной температуре в течение 5 часов. Растворитель удаляли с получением (6S,7S)-5-метил-6-[({4-[(2-метилхинолин-4-ил)метокси]фенил}амино)карбонил]-5-азаспиро[2,5]октан-7-карбоновой кислоты (140 мг) в виде соли TFA. ESI (M+H)+ 460,3.
Стадия 5. Получение (6S,7S)-N(7)-гидрокси-5-метил-N(6)-{4-[(2-метилхинолин-4-ил)метокси]фенил}-5-азаспиро[2,5]октан-6,7-дикарбоксамида
К раствору (6S,7S)-5-метил-6-[({4-[(2-метилхинолин-4-ил)метокси]фенил}амино)карбонил]-5-азаспиро[2,5]октан-7-карбоновой кислоты (140 мг, 0,20 ммоль) в DMF (1,0 мл) при 0oC добавляли BOP (120,0 мг, 0,24 ммоль) и затем гидрохлорид гидроксиламина (28,0 мг, 0,40 ммоль). Затем к полученной смеси при 0oC добавляли 4-метилморфолин (0,07 мл, 0,70 ммоль) и перемешивали при этой температуре в течение 2 часов. Полученный продукт (70 мг) очищали препаративной ВЭЖХ. ESI (M+H)+ 475,4.
Пример 77
(6S,7S)-N(7)-Гидрокси-N(6)-{4-[(2-метилхинолин-4-ил)метокси]фенил}-5-азаспиро[2,5]октан-6,7-дикарбоксамид
Указанное соединение получали, используя методики, аналогичные описанным в примере 77. MS(ESI):(M+H)+=461,0.
Пример 78
(6S,7S)-6-{[4-(4-цианофенил)пиперазин-1-ил]карбонил}-N-гидрокси-5-азаспиро[2,5]октан-7-карбоксамид
Указанное соединение получали, используя методики, аналогичные описанным в примере 1. MS(ESI):(M+H)+=384,0.
Пример 79
(6S,7S)-N-гидрокси-7-[(4-фенилпиперидин-1-ил)карбонил]-5-азаспиро[2,5]октан-6-карбоксамид
Указанное соединение получали, используя методики, аналогичные описанным в примере 1. MS(ESI):(M+H)+=358,0.
Пример 80
(6S,7S)-N-гидрокси-6-[(4-фенилпиперидин-1-ил)карбонил]-5-азаспиро[2,5]октан-7-карбоксамид
Указанное соединение получали, используя методики, аналогичные описанным в примере 1. MS(ESI):(M+H)+=358.
Пример 81
(6S,7S)-N-Гидрокси-6-[(4-фенилпиперазин-1-ил)карбонил]-5-азаспиро[2,5]октан-7-карбоксамид
Указанное соединение получали, используя методики, аналогичные описанным в примере 1. MS(ESI):(M+H)+=359,4.
Пример 82
(6S,7S)-N-гидрокси-6-({4-[3-(метоксиметил)фенил]пиперидин-1-ил}карбонил)-5-азаспиро[2,5]октан-7-карбоксамид
Указанное соединение получали, используя методики, аналогичные описанным в примере 1. MS(ESI):(M+H)+=402.
Пример 83
Метил-3-[1-({(6S,7S)-7-[(гидроксиамино)карбонил]-5-азаспиро[2,5]окт-6-ил}карбонил)пиперидин-4-ил]бензоат
Указанное соединение получали, используя методики, аналогичные описанным в примере 1. MS(ESI):(M+H)+=416.
Пример 84
(6S,7S)-6-[(3-Циклогексилпирролидин-1-ил)карбонил]-N-гидрокси-5-азаспиро[2,5]октан-7-карбоксамид
Указанное соединение получали, используя методики, аналогичные описанным в примере 1. MS(ESI):(M+H)+=350,4.
Пример 85
(6S,7S)-N-Гидрокси-6-{[4-(3-изопропилфенил)-3,6-дигидропиридин-1(2H)-ил]карбонил}-5-азаспиро[2,5]октан-7-карбоксамид
Указанное соединение получали, используя методики, аналогичные описанным в примере 31. MS(ESI):(M+H)+=398,4.
Пример 86
(6S,7S)-N-гидрокси-6-{[4-(3-изопропилфенил)пиперидин-1-ил]карбонил}-5-азаспиро[2,5]октан-7-карбоксамид
(6S,7S)-N-гидрокси-6-{[4-(3-изопропилфенил)-3,6-дигидропиридин-1(2H)-ил]карбонил}-5-азаспиро[2,5]октан-7-карбоксамид (10 мг) гидрировали при давлении 1,0 атм над BaSO4 в MeOH в течение одного часа с получением желаемого продукта, MS(ESI):(M+H)+=400,4.
Пример 87
(6S,7S)-N-гидрокси-6-{[4-(4-пропилфенил)-3,6-дигидропиридин-1(2H)-ил]карбонил}-5-азаспиро[2,5]октан-7-карбоксамид
Указанное соединение получали, используя методики, аналогичные описанным в примере 31. MS(ESI):(M+H)+=398.
Пример 88
(6S,7S)-N-гидрокси-6-{[4-(4-этилфенил)-3,6-дигидропиридин-1(2H)-ил]карбонил}-5-азаспиро[2,5]октан-7-карбоксамид
Указанное соединение получали, используя методики, аналогичные описанным в примере 31. MS(ESI):(M+H)+=384,4.
Пример 89
(6S,7S)-N-Гидрокси-6-{[4-(4-этилфенил)пиперидин-1-ил]карбонил}-5-азаспиро[2,5]октан-7-карбоксамид
Указанное соединение получали, используя методики, аналогичные описанным в примере 86. MS(ESI):(M+H)+=386.
Пример 90
(6S,7S)-6-{[4-(4-циано-2-метилфенил)пиперазин-1-ил]карбонил}-N-гидрокси-5-азаспиро[2,5]октан-7-карбоксамид
Указанное соединение получали, используя методики, аналогичные описанным в примере 1. MS(ESI):(M+H)+=398.
Пример 91
(6S,7S)-N-Гидрокси-6-{[4-(3-изопропоксифенил)-3,6-дигидропиридин-1(2H)-ил]карбонил}-5-азаспиро[2,5]октан-7-карбоксамид
Указанное соединение получали, используя методики, аналогичные описанным в примере 31. MS(ESI):(M+H)+=414,4.
Пример 92
(6S,7S)-N-Гидрокси-6-{[4-(3-метилфенил)-3,6-дигидропиридин-1(2H)-ил]карбонил}-5-азаспиро[2,5]октан-7-карбоксамид
Указанное соединение получали, используя методики, аналогичные описанным в примере 31. MS(ESI):(M+H)+=370,3.
Пример 93
(6S,7S)-N-Гидрокси-6-{[4-(3-метилфенил)пиперидин-1-ил]карбонил}-5-азаспиро[2,5]октан-7-карбоксамид
Указанное соединение получали, используя методики, аналогичные описанным в примере 86. MS(ESI):(M+H)+=372,4.
Пример 94
(6S,7S)-6-{[4-(4-трет-бутилфенил)пиперазин-1-ил]карбонил}-N-гидрокси-5-азаспиро[2,5]октан-7-карбоксамид
Указанное соединение получали, используя методики, аналогичные описанным в примере 1. MS(ESI):(M+H)+=415,4.
Пример 95
(6S,7S)-N-Гидрокси-6-[(4-пиридин-4-илпиперазин-1-ил)карбонил]-5-азаспиро[2,5]октан-7-карбоксамид
Указанное соединение получали, используя методики, аналогичные описанным в примере 1. MS(ESI):(M+H)+=360.
Пример 96
(6S,7S)-6-[(3-Бензилпиперидин-1-ил)карбонил]-N-гидрокси-5-азаспиро[2,5]октан-7-карбоксамид
Указанное соединение получали, используя методики, аналогичные описанным в примере 1. MS(ESI):(M+H)+=371,9.
Пример 97
(6S,7S)-N-гидрокси-6-[(5-метокси-2,3-дигидро-1H-индол-1-ил)карбонил]-5-азаспиро[2,5]октан-7-карбоксамид
Указанное соединение получали, используя методики, аналогичные описанным в примере 76. MS(ESI):(M+H)+=346,3.
Пример 98
(6S,7S)-N-гидрокси-6-({5-[(2-метилхинолин-4-ил)метокси]-2,3-дигидро-1H-индол-1-ил}карбонил)-5-азаспиро[2,5]октан-7-карбоксамид
Указанное соединение получали, используя методики, аналогичные описанным в примере 76. MS(ESI):(M+H)+=487,4.
Пример 99
(6S,7S)-N-гидрокси-5-метил-6-({5-[(2-метилхинолин-4-ил)метокси]-2,3-дигидро-1H-индол-1-ил}карбонил)-5-азаспиро[2,5]октан-7-карбоксамид
Указанное соединение получали, используя методики, аналогичные описанным в примере 76. MS(ESI):(M+H)+=501,4.
Пример 100
(6S,7S)-6-{[5-(бензилокси)-2,3-дигидро-1H-индол-1-ил]карбонил}-N-гидрокси-5-азаспиро[2,5]октан-7-карбоксамид
Указанное соединение получали, используя методики, аналогичные описанным в примере 76. MS(ESI):(M+H)+=422,3.
Пример 101
(6S,7S)-6-(1,3-дигидро-1’H-спиро[инден-2,4′-пиперидин]-1′-илкарбонил)-N-гидрокси-5-азаспиро[2,5]октан-7-карбоксамид

Указанное соединение получали, используя методики, аналогичные описанным в примере 1. MS(ESI):(M+H)+=384,4.
Пример 102
(6S,7S)-N-гидрокси-6-{[4-(3-изопропоксифенил)пиперидин-1-ил]карбонил}-5-азаспиро[2,5]октан-7-карбоксамид
Указанное соединение получали, используя методики, аналогичные описанным в примере 86. MS(ESI):(M+H)+=416,4.
Пример 103
Метил-4-[1-({(6S,7S)-7-[(гидроксиамино)карбонил]-5-азаспиро[2,5]окт-6-ил}карбонил)-1,2,3,6-тетрагидропиридин-4-ил]-3-метилбензоат
Указанное соединение получали, используя методики, аналогичные описанным в примере 31. MS(ESI):(M+H)+=427,9.
Пример 104
(6S,7S)-N-гидрокси-6-{[4-(2-метил-4-нитрофенил)-3,6-дигидропиридин-1(2H)-ил]карбонил}-5-азаспиро[2,5]октан-7-карбоксамид
Указанное соединение получали, используя методики, аналогичные описанным в примере 31. MS(ESI):(M+H)+=414,8.
Пример 105
(6S,7S)-6-{[4-(2-этилфенил)пиперидин-1-ил]карбонил}-N-гидрокси-5-азаспиро[2,5]октан-7-карбоксамид
Указанное соединение получали, используя методики, аналогичные описанным в примере 86. MS(ESI):(M+H)+=385,9.
Пример 106
Метил-4-[1-({(6S,7S)-7-[(гидроксиамино)карбонил]-5-азаспиро[2,5]окт-6-ил}карбонил)пиперидин-4-ил]-3-метилбензоат
Указанное соединение получали, используя методики, аналогичные описанным в примере 86. MS(ESI):(M+H)+=429,9.
Пример 107
(6S,7S)-6-{[4-(2,3-дигидро-1-бензофуран-5-ил)-3,6-дигидропиридин-1(2H)-ил]карбонил}-N-гидрокси-5-метил-5-азаспиро[2,5]октан-7-карбоксамид
Указанное соединение получали, используя методики, аналогичные описанным в примере 31. MS(ESI):(M+H)+=412,2.
Пример 108
(6S,7S)-N-гидрокси-6-{[4-(3-изопропилфенил)-3,6-дигидропиридин-1(2H)-ил]карбонил}-5-метил-5-азаспиро[2,5]октан-7-карбоксамид
Указанное соединение получали, используя методики, аналогичные описанным в примере 31. MS(ESI):(M+H)+=412,25.
Пример 109
(6S,7S)-N-Гидрокси-6-{[(3R)-3-фенилпирролидин-1-ил]карбонил}-5-азаспиро[2,5]октан-7-карбоксамид
Указанное соединение получали, используя методики, аналогичные описанным в примере 1. MS(ESI):(M+H)+=344,1.
Пример 110
(6S,7S)-N-Гидрокси-6-{[(3S)-3-фенилпирролидин-1-ил]карбонил}-5-азаспиро[2,5]октан-7-карбоксамид
Указанное соединение получали, используя методики, аналогичные описанным в примере 1. MS(ESI):(M+H)+=344,1.
Пример 112
(6S,7S)-N-гидрокси-6-({3-[3-(трифторметил)фенил]пирролидин-1-ил}карбонил)-5-азаспиро[2,5]октан-7-карбоксамид
Указанное соединение получали, используя методики, аналогичные описанным в примере 1. MS(ESI):(M+H)+=412,1.
Пример 113
(6S,7S)-6-{[3-(3-хлорфенил)пирролидин-1-ил]карбонил}-N-гидрокси-5-азаспиро[2,5]октан-7-карбоксамид
Указанное соединение получали, используя методики, аналогичные описанным в примере 1. MS(ESI):(M+H)+=378,1.
Пример 114
(6S,7S)-6-{[3-(3-фторфенил)пирролидин-1-ил]карбонил}-N-гидрокси-5-азаспиро[2,5]октан-7-карбоксамид
Указанное соединение получали, используя методики, аналогичные описанным в примере 1. MS(ESI):(M+H)+=362,1.
Пример 115
(6S,7S)-6-{[3-(4-фторфенил)пирролидин-1-ил]карбонил}-N-гидрокси-5-азаспиро[2,5]октан-7-карбоксамид
Указанное соединение получали, используя методики, аналогичные описанным в примере 1. MS(ESI):(M+H)+=362,1.
Пример 116
(6S,7S)-6-{[3-(4-хлорфенил)пирролидин-1-ил]карбонил}-N-гидрокси-5-азаспиро[2,5]октан-7-карбоксамид
Указанное соединение получали, используя методики, аналогичные описанным в примере 1. MS(ESI):(M+H)+=378,1.
Пример 117
(6S,7S)-N-гидрокси-6-({3-[4-(трифторметил)фенил]пирролидин-1-ил}карбонил)-5-азаспиро[2,5]октан-7-карбоксамид
Указанное соединение получали, используя методики, аналогичные описанным в примере 1. MS(ESI):(M+H)+=412,1.
Пример 118
(6S,7S)-6-{[3-(4-метоксифенил)пирролидин-1-ил]карбонил}-N-гидрокси-5-азаспиро[2,5]октан-7-карбоксамид
Указанное соединение получали, используя методики, аналогичные описанным в примере 1. MS(ESI):(M+H)+=374,1.
Пример 119
(6S,7S)-6-{[3-(4-феноксифенил)пирролидин-1-ил]карбонил}-N-гидрокси-5-азаспиро[2,5]октан-7-карбоксамид
Указанное соединение получали, используя методики, аналогичные описанным в примере 1. MS(ESI):(M+H)+=436,2.
Пример 120
(6S,7S)-N-гидрокси-6-{[4-(3-метоксифенил)-3,6-дигидропиридин-1(2H)-ил]карбонил}-5-азаспиро[2,5]октан-7-карбоксамид
Указанное соединение получали, используя методики, аналогичные описанным в примере 31. MS(ESI):(M+H)+=386,1.
Пример 121
(6S,7S)-N-гидрокси-6-{[4-(4-циано-3-метилфенил)-3,6-дигидропиридин-1(2H)-ил]карбонил}-5-азаспиро[2,5]октан-7-карбоксамид
Указанное соединение получали, используя методики, аналогичные описанным в примере 31. MS(ESI):(M+H)+=395,1.
Пример 122
(6S,7S)-6-{[3-(3-метоксифенил)пирролидин-1-ил]карбонил}-N-гидрокси-5-азаспиро[2,5]октан-7-карбоксамид
Указанное соединение получали, используя методики, аналогичные описанным в примере 1. MS(ESI):(M+H)+=374,1.
Пример 123
(6S,7S)-N-гидрокси-6-[(3-пиридин-4-илпирролидин-1-ил)карбонил]-5-азаспиро[2,5]октан-7-карбоксамид
Указанное соединение получали, используя методики, аналогичные описанным в примере 1. MS(ESI):(M+H)+=345,2.
Пример 124
(6S,7S)-N-гидрокси-6-{[4-(3,5-диметилфенил)-3,6-дигидропиридин-1(2H)-ил]карбонил}-5-азаспиро[2,5]октан-7-карбоксамид
Указанное соединение получали, используя методики, аналогичные описанным в примере 31. MS(ESI):(M+H)+=384,2.
Пример 125
(6S,7S)-N-гидрокси-6-{[4-(3-трифторметоксифенил)-3,6-дигидропиридин-1(2H)-ил]карбонил}-5-азаспиро[2,5]октан-7-карбоксамид
Указанное соединение получали, используя методики, аналогичные описанным в примере 31. MS(ESI):(M+H)+=440,1.
Пример 126
(6S,7S)-N-гидрокси-6-{[5-(метоксиметил)-4-фенил-3,6-дигидропиридин-1(2H)-ил]карбонил}-5-азаспиро[2,5]октан-7-карбоксамид
Указанное соединение получали, используя методики, аналогичные описанным в примере 1. MS(ESI):(M+H)+=400.
Пример 127
(6S,7S)-N-гидрокси-6-(1,4,5,6-тетрагидробензо[f]изохинолин-3(2H)-илкарбонил)-5-азаспиро[2,5]октан-7-карбоксамид

Указанное соединение получали, используя методики, аналогичные описанным в примере 1. MS(ESI):(M+H)+=381,9.
Пример 129
(6S,7S)-N-гидрокси-6-{[4-(5-метокси-2-метилфенил)-3,6-дигидропиридин-1(2H)-ил]карбонил}-5-азаспиро[2,5]октан-7-карбоксамид
Указанное соединение получали, используя методики, аналогичные описанным в примере 31. MS(ESI):(M+H)+=400,2.
Пример 130
(6S,7S)-N-гидрокси-6-{[4-(4-метокси-2-метилфенил)-3,6-дигидропиридин-1(2H)-ил]карбонил}-5-азаспиро[2,5]октан-7-карбоксамид
Указанное соединение получали, используя методики, аналогичные описанным в примере 31. MS(ESI):(M+H)+=400,2.
Пример 131
(6S,7S)-6-[(4-циано-4-фенилпиперидин-1-ил)карбонил]-N-гидрокси-5-азаспиро[2,5]октан-7-карбоксамид
Указанное соединение получали, используя методики, аналогичные описанным в примере 1. MS(ESI):(M+H)+=383,2.
Пример 132
Этил-(6S,7S)-7-[(гидроксиамино)карбонил]-6-[(4-фенил-3,6-дигидропиридин-1(2H)-ил)карбонил]-5-азаспиро[2,5]октан-5-карбоксилат
Указанное соединение получали, используя методики, аналогичные описанным в примере 1. MS(ESI):(М-H)-=426,1.
Пример 133
Пропил-(6S,7S)-7-[(гидроксиамино)карбонил]-6-[(4-фенил-3,6-дигидропиридин-1(2H)-ил)карбонил]-5-азаспиро[2,5]октан-5-карбоксилат
Указанное соединение получали, используя методики, аналогичные описанным в примере 1. MS(ESI):(М-H)-=440,2.
Пример 134
Изопропил-(6S,7S)-7-[(гидроксиамино)карбонил]-6-[(4-фенил-3,6-дигидропиридин-1(2H)-ил)карбонил]-5-азаспиро[2,5]октан-5-карбоксилат
Указанное соединение получали, используя методики, аналогичные описанным в примере 1. MS(ESI):(М-H)-=440,2.
Пример 135
Изобутил-(6S,7S)-7-[(гидроксиамино)карбонил]-6-[(4-фенил-3,6-дигидропиридин-1(2H)-ил)карбонил]-5-азаспиро[2,5]октан-5-карбоксилат
Указанное соединение получали, используя методики, аналогичные описанным в примере 1. MS(ESI):(М-H)-=454,2.
Пример 136
(6S,7S)-N-гидрокси-6-[(5-метил-4-фенил-3,6-дигидропиридин-1(2H)-ил)карбонил]-5-азаспиро[2,5]октан-7-карбоксамид
Указанное соединение получали, используя методики, аналогичные описанным в примере 1. MS(ESI):(M+H)+=370.
Пример 143
(6S,7S)-6-(1,4,4a,5,6,10b-гексагидробензо[f]изохинолин-3(2H)-илкарбонил)-N-гидрокси-5-азаспиро[2,5]октан-7-карбоксамид

Указанное соединение получали, используя методики, аналогичные описанным в примере 1. MS(ESI):(M+H)+=384,2.
Пример 144
(6S,7S)-6-{[4-(4-фторфенил)-3-гидроксипиперидин-1-ил]карбонил}-N-гидрокси-5-азаспиро[2,5]октан-7-карбоксамид
Указанное соединение получали, используя методики, аналогичные описанным в примере 1. MS(ESI):(M+H)+=392,1.
Пример 145
(6S,7S)-N-гидрокси-6-(3,3a,8,8a-тетрагидроинденo[1,2-c]пиррол-2(1H)-илкарбонил)-5-азаспиро[2,5]октан-7-карбоксамид

Указанное соединение получали, используя методики, аналогичные описанным в примере 1. MS(ESI):(M+H)+=356,1.
Пример 146
(6S,7S)-N-гидрокси-6-{[4-(4-фенил-1,3-тиазол-2-ил)пиперидин-1-ил]карбонил}-5-азаспиро[2,5]октан-7-карбоксамид

Указанное соединение получали, используя методики, аналогичные описанным в примере 1. MS(ESI):(M+H)+=441,3.
Пример 147
(6S,7S)-N-гидрокси-6-{[4-(4-трет-бутил-1,3-тиазол-2-ил)пиперидин-1-ил]карбонил}-5-азаспиро[2,5]октан-7-карбоксамид
Указанное соединение получали, используя методики, аналогичные описанным в примере 1. MS(ESI):(M+H)+=421,1.
Пример 148
(6S,7S)-N-гидрокси-6-[(4-метил-4-фенилпиперидин-1-ил)карбонил]-5-азаспиро[2,5]октан-7-карбоксамид
Указанное соединение получали, используя методики, аналогичные описанным в примере 1. MS(ESI):(M+H)+=372,2.
Пример 149
(6S,7S)-N-гидрокси-6-{[4-(4-этил-1,3-тиазол-2-ил)пиперидин-1-ил]карбонил}-5-азаспиро[2,5]октан-7-карбоксамид
Указанное соединение получали, используя методики, аналогичные описанным в примере 1. MS(ESI):(M+H)+=393,1.
Пример 150
(6S,7S)-N-гидрокси-6-{[(транс)-3-метил-4-фенилпирролидин-1-ил]карбонил}-5-азаспиро[2,5]октан-7-карбоксамид

Указанное соединение получали, используя методики, аналогичные описанным в примере 1. MS(ESI):(M+H)+=358,2.
Пример 151
(6S,7S)-6-{[4-(2-фторфенил)пиперазин-1-ил]карбонил}-N-гидрокси-5-азаспиро[2,5]октан-7-карбоксамид
Указанное соединение получали, используя методики, аналогичные описанным в примере 1. MS(ESI):(M+H)+=377,2.
Пример 152
(6S,7S)-6-{[4-(3,5-диметилфенил)-3,6-дигидропиридин-1(2H)-ил]карбонил}-N-гидрокси-5-метил-5-азаспиро[2,5]октан-7-карбоксамид
Указанное соединение получали, используя методики, аналогичные описанным в примере 1. MS(ESI):(M+H)+=398,1.
Пример 153
Тетрагидро-2H-пиран-4-ил-(6S,7S)-7-((гидроксиамино)карбонил)-6-((4-фенилпиперазин-1-ил)карбонил)-5-азаспиро(2,5)октан-5-карбоксилат

Стадия 1. Получение трет-бутил-(6S,7S)-6-((4-фенилпиперазин-1-ил)карбонил)-5-азаспиро(2,5)октан-7-карбоксилата
К раствору (6S,7S)-7-(трет-бутоксикарбонил)-5-азаспиро[2,5]октан-6-карбоновой кислоты (160 мг, 0,63 ммоль) в DMF (1,5 мл) добавляли 1-фенилпиперазин (112 мг, 0,69 ммоль) и затем добавляли BOP (292 мг, 0,66 ммоль). После перемешивания в течение 10 минут добавляли DIEA (204 мг, 1,57 ммоль). Смесь перемешивали при комнатной температуре в течение 3 часов, гасили насыщенным раствором KH2PO4 и экстрагировали этилацетатом. Экстракт промывали водой, насыщенным раствором соли и сушили над MgSO4. После фильтрования фильтрат концентрировали. Неочищенное вещество очищали колоночной флэш-хроматографией. Получали трет-бутил-(6S,7S)-6-((4-фенилпиперазин-1-ил)карбонил)-5-азаспиро(2,5)октан-7-карбоксилат с количественным выходом. LC-MS: m/z 400,1 (M+H)+.
Стадия 2. Получение (6S,7S)-6-((4-фенилпиперазин-1-ил)карбонил)-5-азаспиро(2,5)октан-7-карбоновой кислоты
Указанный выше продукт – трет-бутил-(6S,7S)-6-((4-фенилпиперазин-1-ил)карбонил)-5-азаспиро(2,5)октан-7-карбоксилат перемешивали в 8 мл 50% раствора TFA в метиленхлориде (об./об.) в течение 4 часов. После удаления растворителя остаток сушили в условиях высокого вакуума в течение ночи с получением (6S,7S)-6-((4-фенилпиперазин-1-ил)карбонил)-5-азаспиро(2,5)октан-7-карбоновой кислоты. LC-MS: m/z 344,1 (M+H)+.
Стадия 3. Получение (6S,7S)-N-(бензилокси)-6-((4-фенилпиперазин-1-ил)карбонил)-5-азаспиро(2,5)октан-7-карбоксамида
Полученное на предыдущей стадии вещество – (6S,7S)-6-((4-фенилпиперазин-1-ил)карбонил)-5-азаспиро(2,5)октан-7-карбоновую кислоту (330 мг, 0,96 ммоль) растворяли в DMF (2 мл). К полученному раствору добавляли гидрохлорид O-бензилгидроксиламина (307 мг, 1,92 ммоль) и затем BOP (510 мг, 1,15 ммоль). После перемешивания в течение 5 минут при 0°C добавляли DIEA (437 мг, 3,36 ммоль). Смесь перемешивали при комнатной температуре в течение 3 часов и затем гасили насыщенным раствором KH2PO4. Полученный продукт экстрагировали этилацетатом. Экстракт промывали водой, насыщенным раствором соли и сушили над MgSO4. После фильтрования фильтрат концентрировали с получением желаемого продукта с количественным выходом.
Стадия 4.
Тетрагидро-2H-пиран-4-ил-(6S,7S)-7-(((бензилокси)амино)карбонил)-6-((4-фенилпиперазин-1-ил)карбонил)-5-азаспиро(2,5)октан-5-карбоксилат
(6S,7S)-N-(бензилокси)-6-((4-фенилпиперазин-1-ил)карбонил)-5-азаспиро(2,5)октан-7-карбоксамид (18,6 мг, 0,041 ммоль) смешивали с 4-нитрофенилтетрагидропиран-4-илкарбонатом (13,3 мг, 0,050 ммоль) и DIEA (11,0 мг, 0,083 ммоль) в ТГФ и перемешивали при комнатной температуре в течение 24 часов. После концентрирования неочищенное вещество очищали колоночной флэш-хроматографией с получением желаемого продукта (6,0 мг) с количественным выходом.
Стадия 5.
Тетрагидро-2H-пиран-4-ил-(6S,7S)-7-((гидроксиамино)карбонил)-6-((4-фенилпиперазин-1-ил)карбонил)-5-азаспиро(2,5)октан-5-карбоксилат
Тетрагидро-2H-пиран-4-ил-(6S,7S)-7-(((бензилокси)амино)карбонил)-6-((4-фенилпиперазин-1-ил)карбонил)-5-азаспиро(2,5)октан-5-карбоксилат (6,0 мг, 0,0104 ммоль) растворяли в метаноле (0,3 мл) и добавляли к полученной реакционной смеси 2 мг 5% Pd/BaSO4. Смесь перемешивали в атмосфере водорода (1 атм) в течение 1,5 часа. После фильтрования продукт очищали препаративной ОФ-ВЭЖХ. Желаемые фракции собирали и сушили замораживанием с получением 3,8 мг твердого вещества. LC-MS: m/z 487,1 (M+H)+; 509,0 (M+Na)+.
Пример 154
Этил-(6S,7S)-7-((гидроксиамино)карбонил)-6-((4-фенилпиперазин-1-ил)карбонил)-5-азаспиро(2,5)октан-5-карбоксилат
Стадия 1.
7-трет-бутил-5-этил-(6S,7S)-6-((4-фенилпиперазин-1-ил)карбонил)-5-азаспиро(2,5)октан-5,7-дикарбоксилат
Смесь трет-бутил-(6S,7S)-6-((4-фенилпиперазин-1-ил)карбонил)-5-азаспиро(2,5)октан-7-карбоксилата, полученного в примере 153 (40 мг, 0,10 ммоль), этилхлорформиата (13 мг, 0,12 ммоль) и DIEA (26 мг, 0,2 ммоль) в ацетонитриле (0,20 мл) перемешивали при комнатной температуре в течение 1 часа. После концентрирования остаток очищали колоночной флэш-хроматографией. Получали 29 мг 7-трет-бутил-5-этил-(6S,7S)-6-((4-фенилпиперазин-1-ил)карбонил)-5-азаспиро(2,5)октан-5,7-дикарбоксилата. Выход: 61%. MS: m/z 472,3 (M+H)+.
Стадия 2.
(6S,7S)-5-(этоксикарбонил))-6-((4-фенилпиперазин-1-ил)карбонил)-5-азаспиро(2,5)октан-7-дикарбоновая кислота
Полученное на предыдущей стадии вещество – 7-трет-бутил-5-этил-(6S,7S)-6-((4-фенилпиперазин-1-ил)карбонил)-5-азаспиро(2,5)октан-5,7-дикарбоксилат перемешивали в 2 мл 50% раствора TFA в растворе DCM (об./об.) в течение 1,5 часов. После удаления растворителя остаток сушили в условиях высокого вакуума в течение ночи с получением желаемого продукта с количественным выходом. LC-MS: m/z 416,2 (M+H)+; 853,4 (2M+Na)+.
Стадия 3. Этил-(6S,7S)-7-((гидроксиамино)карбонил))-6-((4-фенилпиперазин-1-ил)карбонил)-5-азаспиро(2,5)октан-5-карбоксилат
К раствору (6S,7S)-5-(этоксикарбонил)-6-((4-фенилпиперазин-1-ил)карбонил)-5-азаспиро(2,5)октан-7-дикарбоновой кислоты (30 мг, 0,072 ммоль), гидрохлорида гидроксиламина (15 мг, 0,217 ммоль) и BOP (34 мг, 0,076 ммоль) в DMF (0,30 мл) добавляли DIEA (33 мг, 0,253 ммоль). Смесь перемешивали при комнатной температуре в течение 2 часов. Конечный продукт очищали препаративной ВЭЖХ с получением твердого вещества (14,5 мг). Выход: 37%. MS: m/z 431,2 (M+H)+; 883,5 (2M+Na)+.
Пример 155
Метил-(6S,7S)-7-[(гидроксиамино)карбонил]-6-[(4-фенилпиперазин-1-ил)карбонил]-5-азаспиро[2,5]октан-5-карбоксилат
Стадия 1.
трет-Бутил-(6S,7S)-6-[(4-фенилпиперазин-1-ил)карбонил]-5-азаспиро[2,5]октан-7-карбоксилат
1-Фенилпиперазин (124 мг, 0,76 ммоль) добавляли к смеси (6S,7S)-7-(трет-бутоксикарбонил)-5-азаспиро[2,5]октан-6-карбоновой кислоты (180 мг, 0,70 ммоль) и BOP (320 мг, 0,75 ммоль) в DMF (4 мл) при 0°C. Смесь перемешивали при 0°C в течение 10 минут, затем добавляли N-метилморфолин (300 мл). Полученную смесь перемешивали при комнатной температуре в течение ночи, разбавляли 5% раствором NaHCO3 и экстрагировали этилацетатом (3×10 мл). Объединенные органические слои промывали насыщенным раствором соли и сушили над Na2SO4. Раствор фильтровали и концентрировали с получением 248,4 мг трет-бутил-(6S,7S)-6-[(4-фенилпиперазин-1-ил)карбонил]-5-азаспиро[2,5]октан-7-карбоксилата.
Стадия 2.
7-трет-Бутил-5-метил-(6S,7S)-6-[(4-фенилпиперазин-1-ил)карбонил]-5-азаспиро[2,5]октан-5,7-дикарбоксилат
Метилхлорформиат (55 мл, 700 мл) добавляли к раствору трет-бутил-(6S,7S)-6-[(4-фенилпиперазин-1-ил)карбонил]-5-азаспиро[2,5]октан-7-карбоксилата (248,4 мг, 0,62 ммоль) и диизопропилэтиламина (0,70 ммоль, 0,125 мл) в 5 мл ацетонитрила. Смесь перемешивали при комнатной температуре в течение 3 часов. Растворитель удаляли с получением остатка, который растворяли в этиловом эфире (15 мл), промывали водой (3×2 мл) и сушили над Na2SO4. Раствор фильтровали и концентрировали с получением 281 мг 7-трет-бутил-5-метил-(6S,7S)-6-[(4-фенилпиперазин-1-ил)карбонил]-5-азаспиро[2,5]октан-5,7-дикарбоксилата.
Стадия 3
Метил-(6S,7S)-7-[(гидроксиамино)карбонил]-6-[(4-фенилпиперазин-1-ил)карбонил]-5-азаспиро[2,5]октан-5-карбоксилат
7-трет-Бутил-5-метил-(6S,7S)-6-[(4-фенилпиперазин-1-ил)карбонил]-5-азаспиро[2,5]октан-5,7-дикарбоксилат (281 мг) обрабатывали 5 мл раствора TFA в 5 мл дихлорметана и 1,0 мл воды. Смесь перемешивали при комнатной температуре в течение ночи. Растворители удаляли при пониженном давлении. Остаток подвергали совместному выпариванию с метанолом (2×3 мл) и сушили в условиях высокого вакуума.
Указанный выше остаток растворяли в DMF (4,0 мл) и охлаждали на бане лед-вода. К полученному раствору добавляли PyBOP (320 мг), гидрохлорид гидроксиламина (125 мг) и N-метилморфолин (320 мл). Через 15 минут баню лед-вода удаляли и перемешивали при комнатной температуре в течение 2 часов. Смесь доводили до pH 2 при помощи TFA. Полученный раствор очищали методом ВЭЖХ с получением 126 мг желаемого продукта: метил-(6S,7S)-7-[(гидроксиамино)карбонил]-6-[(4-фенилпиперазин-1-ил)карбонил]-5-азаспиро[2,5]октан-5-карбоксилата. MS(ESI): (M+H)+=417,1.
Пример 156
(6S,7S)-N-гидрокси-6-[(4-пиразин-2-илпиперазин-1-ил)карбонил]-5-азаспиро[2,5]октан-7-карбоксамид
Указанное соединение получали, используя методики, аналогичные описанным в примере 1. MS(ESI):(M+H)+=361,2.
Пример 157
(6S,7S)-N-гидрокси-6-[(4-хинолин-2-илпиперазин-1-ил)карбонил]-5-азаспиро[2,5]октан-7-карбоксамид
Указанное соединение получали, используя методики, аналогичные описанным в примере 1. MS(ESI):(M+H)+=410,1.
Пример 158
(6S,7S)-N-гидрокси-6-{[3-(5,6,7,8-тетрагидронафталин-2-ил)пирролидин-1-ил]карбонил}-5-азаспиро[2,5]октан-7-карбоксамид
Указанное соединение получали, используя методики, аналогичные описанным в примере 1. MS(ESI):(M+H)+=398,2.
Пример 159
(6S,7S)-N-гидрокси-5-метил-6-{[(3R)-3-фенилпирролидин-1-ил]карбонил}-5-азаспиро[2,5]октан-7-карбоксамид
Указанное соединение получали, используя методики, аналогичные описанным в примере 1. MS(ESI):(M+H)+=358,1.
Пример 160
Метил-(6S,7S)-7-[(гидроксиамино)карбонил]-6-{[(3R)-3-фенилпирролидин-1-ил]карбонил}-5-азаспиро[2,5]октан-5-карбоксилат
Указанное соединение получали, используя методики, аналогичные описанным в примере 1. MS(ESI):(M+H)+=402,1.
Пример 161
(6S,7S)-N-гидрокси-6-[(3-пиридин-3-илпирролидин-1-ил)карбонил]-5-азаспиро[2,5]октан-7-карбоксамид
Указанное соединение получали, используя методики, аналогичные описанным в примере 1. MS(ESI):(M+H)+=345,1.
Пример 162
(6S,7S)-N-гидрокси-6-[(3-пиридин-2-илпирролидин-1-ил)карбонил]-5-азаспиро[2,5]октан-7-карбоксамид
Указанное соединение получали, используя методики, аналогичные описанным в примере 1. MS(ESI):(M+H)+=345,1.
Пример 163
(6S,7S)-N-гидрокси-6-[(3-метил-3-фенилпирролидин-1-ил)карбонил]-5-азаспиро[2,5]октан-7-карбоксамид
Указанное соединение получали, используя методики, аналогичные описанным в примере 1. MS(ESI):(M+H)+=358,2.
Пример 164
(6S,7S)-N-гидрокси-6-[(3-фенилазетидин-1-ил)карбонил]-5-азаспиро[2,5]октан-7-карбоксамид
Указанное соединение получали, используя методики, аналогичные описанным в примере 1. MS(ESI):(M+H)+=330,3.
Пример 165
(6S,7S)-N-гидрокси-5-метил-6-[(3-метил-3-фенилпирролидин-1-ил)карбонил]-5-азаспиро[2,5]октан-7-карбоксамид
Указанное соединение получали, используя методики, аналогичные описанным в примере 1. MS(ESI):(M+H)+=372,4.
Пример 166
(6S,7S)-N-гидрокси-5-метил-6-[(3-фенилазетидин-1-ил)карбонил]-5-азаспиро[2,5]октан-7-карбоксамид
Указанное соединение получали, используя методики, аналогичные описанным в примере 1. MS(ESI):(M+H)+=344,4.
Пример 168
(6S,7S)-6-(1,3,3a,4,5,9b-гексагидро-2H-бензо[e]изоиндол-2-илкарбонил)-N-гидрокси-5-азаспиро[2,5]октан-7-карбоксамид

Указанное соединение получали, используя методики, аналогичные описанным в примере 1. MS(ESI):(M+H)+=370,4.
Пример 169
(6S,7S)-N-гидрокси-6-{[3-(2-нафтил)пирролидин-1-ил]карбонил}-5-азаспиро[2,5]октан-7-карбоксамид
Указанное соединение получали, используя методики, аналогичные описанным в примере 1. MS(ESI):(M+H)+=394,4.
Пример 170
(6S,7S)-N-гидрокси-6-{[4-(2-тиенил)-3,6-дигидропиридин-1(2H)-ил]карбонил}-5-азаспиро[2,5]октан-7-карбоксамид
Указанное соединение получали, используя методики, аналогичные описанным в примере 1. MS(ESI):(M+H)+=362,1.
Пример 171
(6S,7S)-N-гидрокси-6-{[3-(3-тиенил)пирролидин-1-ил]карбонил}-5-азаспиро[2,5]октан-7-карбоксамид
Указанное соединение получали, используя методики, аналогичные описанным в примере 1. MS(ESI):(M+H)+=350,1.
Пример 172
(6S,7S)-N-гидрокси-6-{[3-(2-тиенил)пирролидин-1-ил]карбонил}-5-азаспиро[2,5]октан-7-карбоксамид
Указанное соединение получали, используя методики, аналогичные описанным в примере 1. MS(ESI):(M+H)+=350,2.
Пример 173
(6S,7S)-N-гидрокси-6-{[4-(2-тиенил)пиперидин-1-ил]карбонил}-5-азаспиро[2,5]октан-7-карбоксамид
Указанное соединение получали, используя методики, аналогичные описанным в примере 1. MS(ESI): (M+H)+=364,1.
Пример 174
(6S,7S)-N-гидрокси-6-{[3-(2-метилфенил)пирролидин-1-ил]карбонил}-5-азаспиро[2,5]октан-7-карбоксамид
Указанное соединение получали, используя методики, аналогичные описанным в примере 1. MS(ESI):(M+H)+=358,2.
Пример 175
(6S,7S)-N-гидрокси-6-{[3-(4-метилфенил)пирролидин-1-ил]карбонил}-5-азаспиро[2,5]октан-7-карбоксамид

Указанное соединение получали, используя методики, аналогичные описанным в примере 1. MS(ESI):(M+H)+=358,2.
Пример 176
(6S,7S)-5-ацетил-N-гидрокси-6-[(4-фенил-3,6-дигидропиридин-1(2H)-ил)карбонил]-5-азаспиро[2,5]октан-7-карбоксамид
Указанное соединение получали, используя методики, аналогичные описанным в примере 154. MS(ESI):(М-H)+=396,2.
Пример 177
(6S,7S)-N-гидрокси-6-{[4-(3-тиенил)-3,6-дигидропиридин-1(2H)-ил]карбонил}-5-азаспиро[2,5]октан-7-карбоксамид
Указанное соединение получали, используя методики, аналогичные описанным в примере 1. MS(ESI):(M+H)+=362,1.
Пример 178
(6S,7S)-N-гидрокси-6-[(3-фенилпиперидин-1-ил)карбонил]-5-азаспиро[2,5]октан-7-карбоксамид
Указанное соединение получали, используя методики, аналогичные описанным в примере 1. MS(ESI):(M+H)+=358,2.
Пример 179
(6S,7S)-N-гидрокси-6-{[4-(3-тиенил)пиперидин-1-ил]карбонил}-5-азаспиро[2,5]октан-7-карбоксамид
Указанное соединение получали, используя методики, аналогичные описанным в примере 1. MS(ESI):(M+H)+=364,1.
Пример 180
Метил-(6S,7S)-6-{[4-(3,5-диметилфенил)-3,6-дигидропиридин-1(2H)-ил]карбонил}-7-[(гидроксиамино)карбонил]-5-азаспиро[2,5]октан-5-карбоксилат
Указанное соединение получали, используя методики, аналогичные описанным в примере 154. MS(ESI):(M+H)+=442,2.
Пример 181
(6S,7S)-6-{[4-(3,5-диметилфенил)-3,6-дигидропиридин-1(2H)-ил]карбонил}-N-гидрокси-5-(метилсульфонил)-5-азаспиро[2,5]октан-7-карбоксамид
Указанное соединение получали, используя методики, аналогичные описанным в примере 154. MS(ESI):(M+H)+=462,1.
Пример 182
(6S,7S)-6-{[4-(3,5-дифторфенил)-3,6-дигидропиридин-1(2H)-ил]карбонил}-N-гидрокси-5-азаспиро[2,5]октан-7-карбоксамид
Указанное соединение получали, используя методики, аналогичные описанным в примере 1. MS(ESI):(M+H)+=392,2.
Пример 183
(6S,7S)-6-{[4-(3,5-дихлорфенил)-3,6-дигидропиридин-1(2H)-ил]карбонил}-N-гидрокси-5-азаспиро[2,5]октан-7-карбоксамид
Указанное соединение получали, используя методики, аналогичные описанным в примере 1. MS(ESI):(M+H)+=424,1.
Пример 184
(6S,7S)-6-{[4-[3,5-бис(трифторметил)фенил]-3,6-дигидропиридин-1(2H)-ил]карбонил}-N-гидрокси-5-азаспиро[2,5]октан-7-карбоксамид
Указанное соединение получали, используя методики, аналогичные описанным в примере 1. MS(ESI):(M+H)+=492,1.
Пример 185
(6S,7S)-N-гидрокси-5-(метилсульфонил)-6-[(4-фенилпиперазин-1-ил)карбонил]-5-азаспиро[2,5]октан-7-карбоксамид
Указанное соединение получали, используя методики, аналогичные описанным в примере 154. MS(ESI):(M+H)+=437,2.
Пример 186
(6S,7S)-5-формил-N-гидрокси-6-[(4-фенилпиперазин-1-ил)карбонил]-5-азаспиро[2,5]октан-7-карбоксамид
Указанное соединение получали, используя методики, аналогичные описанным в примере 154. MS(ESI):(M+H)+=387,2.
Пример 187
(6S,7S)-6-{[4-(3,5-дифторфенил)пиперидин-1-ил]карбонил}-N-гидрокси-5-азаспиро[2,5]октан-7-карбоксамид
Указанное соединение получали, используя методики, аналогичные описанным в примере 1. MS(ESI):(M+H)+=394,2.
Пример 188
(6S,7S)-6-{[4-(2,5-диметилфенил)-3,6-дигидропиридин-1(2H)-ил]карбонил}-N-гидрокси-5-азаспиро[2,5]октан-7-карбоксамид
Указанное соединение получали, используя методики, аналогичные описанным в примере 1. MS(ESI):(M+H)+=384,1.
Пример 189
(6S,7S)-6-{[4-(2,4,5-триметилфенил)-3,6-дигидропиридин-1(2H)-ил]карбонил}-N-гидрокси-5-азаспиро[2,5]октан-7-карбоксамид
Указанное соединение получали, используя методики, аналогичные описанным в примере 1. MS(ESI):(M+H)+=398,2.
Пример 190
(6S,7S)-6-[(4-бифенил-3-илпиперидин-1-ил)карбонил]-N-гидрокси-5-азаспиро[2,5]октан-7-карбоксамид
Указанное соединение получали, используя методики, аналогичные описанным в примере 1. MS(ESI):(M+H)+=434,2.
Пример 191
(6S,7S)-6-[(4-дибензо[b,d]фуран-4-илпиперидин-1-ил)карбонил]-N-гидрокси-5-азаспиро[2,5]октан-7-карбоксамид

Указанное соединение получали, используя методики, аналогичные описанным в примере 1. MS(ESI):(M+H)+=448,2.
Пример 192
(6S,7S)-6-{[4-(2,5-диметилфенил)пиперидин-1-ил]карбонил}-N-гидрокси-5-азаспиро[2,5]октан-7-карбоксамид
Указанное соединение получали, используя методики, аналогичные описанным в примере 1. MS(ESI):(M+H)+=386,2.
Пример 193
(6S,7S)-6-{[4-(2,4,5-триметилфенил)пиперидин-1-ил]карбонил}-N-гидрокси-5-азаспиро[2,5]октан-7-карбоксамид
Указанное соединение получали, используя методики, аналогичные описанным в примере 1. MS(ESI):(M+H)+=400,2.
Пример 194
Метил-3-[1-({(6S,7S)-7-[(гидроксиамино)карбонил]-5-азаспиро[2,5]окт-6-ил}карбонил)-1,2,3,6-тетрагидропиридин-4-ил]-4-метилбензоат
Указанное соединение получали, используя методики, аналогичные описанным в примере 1. MS(ESI):(M+H)+=428,2.
Пример 195
(6S,7S)-6-[(5-фенил-2,3,4,7-тетрагидро-1H-азепин-1-ил)карбонил]-N-гидрокси-5-азаспиро[2,5]октан-7-карбоксамид
Указанное соединение получали, используя методики, аналогичные описанным в примере 1. MS(ESI):(M+H)+=370,2.
Пример 196
(6S,7S)-6-{[4-[3-(диметиламино)фенил]-3,6-дигидропиридин-1(2H)-ил]карбонил}-N-гидрокси-5-азаспиро[2,5]октан-7-карбоксамид
Указанное соединение получали, используя методики, аналогичные описанным в примере 1. MS(ESI):(M+H)+=399,2.
Пример 197
Метил-3-[1-({(6S,7S)-7-[(гидроксиамино)карбонил]-5-азаспиро[2,5]окт-6-ил}карбонил)пиперидин-4-ил]-4-метилбензоат
Указанное соединение получали, используя методики, аналогичные описанным в примере 1. MS(ESI):(M+H)+=430,2.
Пример 198
(6S,7S)-6-[(5-фенилазепан-1-ил)карбонил]-N-гидрокси-5-азаспиро[2,5]октан-7-карбоксамид
Указанное соединение получали, используя методики, аналогичные описанным в примере 1. MS(ESI):(M+H)+=372,2.
Пример 199
(6S,7S)-6-({4-[3-(диметиламино)фенил]пиперидин-1-ил}карбонил)-N-гидрокси-5-азаспиро[2,5]октан-7-карбоксамид
Указанное соединение получали, используя методики, аналогичные описанным в примере 1. MS(ESI):(M+H)+=401,2.
Пример 200
(6S,7S)-6-{[4-(2-метилфенил)-3,6-дигидропиридин-1(2H)-ил]карбонил}-N-гидрокси-5-азаспиро[2,5]октан-7-карбоксамид
Указанное соединение получали, используя методики, аналогичные описанным в примере 1. MS(ESI):(M+H)+=370,2.
Пример 201
(6S,7S)-6-[(3-фенил-2,5-дигидро-1H-пиррол-1-ил)карбонил]-N-гидрокси-5-азаспиро[2,5]октан-7-карбоксамид
Указанное соединение получали, используя методики, аналогичные описанным в примере 1. MS(ESI):(M+H)+=342,1.
Пример 202
(6S,7S)-6-{[4-(4-циано-2-метилфенил)пиперидин-1-ил]карбонил}-N-гидрокси-5-азаспиро[2,5]октан-7-карбоксамид
Указанное соединение получали, используя методики, аналогичные описанным в примере 1. MS(ESI):(M+H)+=397,2.
Пример 203
(6S,7S)-6-[(3,3-диметил-4-фенил-3,6-дигидропиридин-1(2H)-ил)карбонил]-N-гидрокси-5-азаспиро[2,5]октан-7-карбоксамид
Указанное соединение получали, используя методики, аналогичные описанным в примере 1. MS(ESI):(M+H)+=384,1.
Пример 204
(6S,7S)-6-[(3,3-диметил-4-фенилпиперидин-1-ил)карбонил]-N-гидрокси-5-азаспиро[2,5]октан-7-карбоксамид
Указанное соединение получали, используя методики, аналогичные описанным в примере 1. MS(ESI):(M+H)+=386,2.
Пример 205
(6S,7S)-N-гидрокси-5-(метилсульфонил)-6-[(3-фенил-2,5-дигидро-1H-пиррол-1-ил)карбонил]-5-азаспиро[2,5]октан-7-карбоксамид
Указанное соединение получали, используя методики, аналогичные описанным в примере 154. MS(ESI):(M+H)+=420,2.
Пример 206
Метил-(6S,7S)-7-[(гидроксиамино)карбонил]-6-[(3-фенил-2,5-дигидро-1H-пиррол-1-ил)карбонил]-5-азаспиро[2,5]октан-5-карбоксилат
Указанное соединение получали, используя методики, аналогичные описанным в примере 154. MS(ESI):(M+H)+=400,2.
Пример 207
(6S,7S)-N-гидрокси-5-метил-6-[(3-фенил-2,5-дигидро-1H-пиррол-1-ил)карбонил]-5-азаспиро[2,5]октан-7-карбоксамид
Указанное соединение получали, используя методики, аналогичные описанным в примере 1. MS(ESI):(M+H)+=356,2.
Пример 208
(6S,7S)-6-{[4-(4-циано-3-метилфенил)пиперидин-1-ил]карбонил}-N-гидрокси-5-азаспиро[2,5]октан-7-карбоксамид
Указанное соединение получали, используя методики, аналогичные описанным в примере 1. MS(ESI):(M+H)+=397,2.
Пример 209
(6S,7S)-6-{[4-[3-(бензилокси)фенил]-3,6-дигидропиридин-1(2H)-ил]карбонил}-N-гидрокси-5-азаспиро[2,5]октан-7-карбоксамид
К смеси трет-бутил-5,6-дигидро-4-(3-гидроксифенил)пиридин-1(2H)-карбоксилата (неочищенный, 100 мг) и карбоната калия (300 мг) в DMF добавляли бензилбромид (60 мкл) при комнатной температуре. Полученную смесь перемешивали при 80oC в течение 16 часов. Смесь охлаждали, разбавляли этилацетатом, промывали водой, насыщенным раствором соли, сушили и концентрировали. Продукт (60 мг) очищали хроматографией Combiflash, используя гексан/этилацетат (макс. EtOAc 10%) с получением трет-бутил-4-(3-(бензилокси)фенил)-5,6-дигидропиридин-1(2H)-карбоксилата, который затем преобразовывали в конечное соединение, используя методики, аналогичные описанным в примере 1. MS(ESI):(M+H)+=462,2.
Пример 210
(6S,7S)-6-{[4-[3-этилфенил]-3,6-дигидропиридин-1(2H)-ил]карбонил}-N-гидрокси-5-азаспиро[2,5]октан-7-карбоксамид
Указанное соединение получали, используя методики, аналогичные описанным в примере 1, MS(ESI):(M+H)+=384,1.
Пример 211
(6S,7S)-6-{[4-[3-(этилокси)фенил]-3,6-дигидропиридин-1(2H)-ил]карбонил}-N-гидрокси-5-азаспиро[2,5]октан-7-карбоксамид
Указанное соединение получали, используя методики, аналогичные описанным в примере 1, MS(ESI):(M+H)+=400,1.
Пример 212
(6S,7S)-6-{[4-(3-этилфенил)пиперидин-1-ил]карбонил}-N-гидрокси-5-азаспиро[2,5]октан-7-карбоксамид
Указанное соединение получали, используя методики, аналогичные описанным в примере 1, MS(ESI):(M+H)+=386,1.
Пример 213
(6S,7S)-6-{[4-(3-этоксифенил)пиперидин-1-ил]карбонил}-N-гидрокси-5-азаспиро[2,5]октан-7-карбоксамид
Указанное соединение получали, используя методики, аналогичные описанным в примере 1, MS(ESI):(M+H)+=402,1.
Пример 214
(6S,7S)-6-{[4-(3-циклопропилфенил)-3,6-дигидропиридин-1(2H)-ил]карбонил}-N-гидрокси-5-азаспиро[2,5]октан-7-карбоксамид
Указанное соединение получали, используя методики, аналогичные описанным в примере 1, MS(ESI):(M+H)+=396,2.
Пример 215
(6S,7S)-6-{[4-(4-метокси-3,5-диметилфенил)-3,6-дигидропиридин-1(2H)-ил]карбонил}-N-гидрокси-5-азаспиро[2,5]октан-7-карбоксамид
Указанное соединение получали, используя методики, аналогичные описанным в примере 1, MS(ESI):(M+H)+=414,2.
Пример 216
(6S,7S)-6-{[4-(3,5-диметил-4-метоксифенил)пиперидин-1-ил]карбонил}-N-гидрокси-5-азаспиро[2,5]октан-7-карбоксамид
Указанное соединение получали, используя методики, аналогичные описанным в примере 1, MS(ESI):(M+H)+=416,2.
Пример 217
(6S,7S)-6-{[4-(4-циано-3-этилфенил)-3,6-дигидропиридин-1(2H)-ил]карбонил}-N-гидрокси-5-азаспиро[2,5]октан-7-карбоксамид
Стадия 1. 4-Бром-2-этилбензонитрил
К раствору 4-бром-2-метилбензонитрила (0,4 г, 2,0 ммоль) в безводном ТГФ (10 мл) медленно добавляли LDA (1,3 мл, 1,8М в ТГФ) при -78oC и перемешивали при этой температуре еще 30 минут. К полученному темно-розовому раствору при -78oC добавляли метилиодид (0,15 мл, 2,4 ммоль) и смесь нагревали до комнатной температуры в течение 3 часов. Реакцию гасили водой, экстрагировали простым эфиром, затем промывали насыщенным раствором соли, сушили и концентрировали. 4-Бром-2-этилбензонитрил (0,34 г) очищали хроматографией Combiflash.
Стадия 2.
2-этил-4-(1,2,3,6-тетрагидропиридин-4-ил)бензонитрил
4-Бром-2-этилбензонитрил преобразовывали в 2-этил-4-(1,2,3,6-тетрагидропиридин-4-ил)бензонитрил, используя стандартную методику сочетания Сузуки.
Стадия 3.
(6S,7S)-6-{[4-(4-циано-3-этилфенил)-3,6-дигидропиридин-1(2H)-ил]карбонил}-N-гидрокси-5-азаспиро[2,5]октан-7-карбоксамид
Используя методики, аналогичные описанным в примере 1, 2-этил-4-(1,2,3,6-тетрагидропиридин-4-ил)бензонитрил преобразовывали в конечное соединение (6S,7S)-6-{[4-(4-циано-3-этилфенил)-3,6-дигидропиридин-1(2H)-ил]карбонил}-N-гидрокси-5-азаспиро[2,5]октан-7-карбоксамид, MS(ESI):(M+H)+=409,2.
Пример 218
(6S,7S)-6-{[4-(4-циано-3-этилфенил)пиперидин-1-ил]карбонил}-N-гидрокси-5-азаспиро[2,5]октан-7-карбоксамид
Указанное соединение получали, используя методики, аналогичные описанным в примере 1, MS(ESI):(M+H)+=411,2.
Пример 219
(6S,7S)-6-{[4-(4-циано-3,5-диметилфенил)-3,6-дигидропиридин-1(2H)-ил]карбонил}-N-гидрокси-5-азаспиро[2,5]октан-7-карбоксамид
Указанное соединение получали, используя методики, аналогичные описанным в примере 1, MS(ESI):(M+H)+=409,2.
Пример 220
(6S,7S)-6-{[4-(4-циано-3,5-диметилфенил)пиперидин-1-ил]карбонил}-N-гидрокси-5-азаспиро[2,5]октан-7-карбоксамид
Указанное соединение получали, используя методики, аналогичные описанным в примере 1, MS(ESI):(M+H)+=411,4.
Пример 221
(6S,7S)-6-{[4-(1,3-бензотиазол-6-ил)-3,6-дигидропиридин-1(2H)-ил]карбонил}-N-гидрокси-5-азаспиро[2,5]октан-7-карбоксамид
Раствор нитрита натрия (0,147 г, 2,1 ммоль) в воде (1,0 мл) медленно добавляли к суспензии 6-аминобензотиазола (0,30 г, 2,0 ммоль) в HBr (48% в течение воды, 3 мл) при 0oC и затем смесь перемешивали при комнатной температуре в течение 30 минут. Полученный раствор затем медленно добавляли к раствору бромида меди (I) (0,435 г, 3,0 ммоль) в HCl (конц., 5 мл) при 0oC. После добавления смесь перемешивали при 60oC в течение 1,5 часа. Реакционную смесь охлаждали, подщелачивали избыточным количеством аммиака и экстрагировали диэтиловым эфиром. Объединенный экстракт промывали водой, насыщенным раствором соли, сушили и концентрировали. 6-Бромбензотиазол (0,26 г) получали хроматографией Combiflash и затем преобразовывали в конечное соединение, используя методики, аналогичные описанным в примере 1, MS(ESI):(M+H)+=413,1.
Пример 222
(6S,7S)-N-гидрокси-6-{[4-(1-метил-1H-бензимидазол-6-ил)-3,6-дигидропиридин-1(2H)-ил]карбонил}-5-азаспиро[2,5]октан-7-карбоксамид
Стадия 1. Тетрафторборат 5-бром-2-метилфенилдиазония
К смеси 2-метил-5-броманилина (1,50 г) в тетрафторборной кислоте (6,0 мл) и воде (4,0 мл) при 0-5oC медленно добавляли нитрит натрия (0,56 г) в воде (2,0 мл). После добавления реакционную смесь перемешивали при комнатной температуре в течение 30 минут. Смесь охлаждали до 0oC, фильтровали, промывали холодной водой, холодным метанолом и эфиром. Смесь затем сушили с получением продукта тетрафторбората 5-бром-2-метилфенилдиазония (1,90 г).
Стадия 2. 6-броминдазол
Тетрафторборат 5-бром-2-метилфенилдиазония (1,50 г) порциями добавляли к смеси ацетата калия (1,0 г) и 18-краун-6 (70 мг) в хлороформе (50 мл) при комнатной температуре и затем реакционную смесь перемешивали в течение 2 часов. Полученную смесь фильтровали и промывали хлороформом. Фильтрат концентрировали и остаток растворяли в диэтиловом эфире, затем промывали водой, насыщенным раствором соли, сушили и растворитель удаляли с получением продукта 6-броминдазола (0,9 г). Продукт использовали на следующей стадии без дополнительной очистки.
Стадия 3. 6-бром-1-метилиндазол
6-Броминдазол (400 мг) растворяли в метаноле (10 мл). К полученному раствору добавляли гидроксид калия (450 мг), затем метилиодид (0,50 мл) и смесь кипятили с обратным холодильником в течение 2,5 часа. Реакционную смесь охлаждали, разбавляли диэтиловым эфиром, промывали водой, насыщенным раствором соли, сушили и концентрировали. Продукт 6-бром-1-метилиндазол (160 мг) отделяли от его изомера хроматографией Combiflash.
Стадия 4.
(6S,7S)-N-гидрокси-6-{[4-(1-метил-1H-бензимидазол-6-ил)-3,6-дигидропиридин-1(2H)-ил]карбонил}-5-азаспиро[2,5]октан-7-карбоксамид
6-Бром-1-метилиндазол затем преобразовывали в конечное соединение, используя методики, аналогичные описанным в примере 1, MS(ESI):(M+H)+=410,2.
Пример 223
(6S,7S)-N-гидрокси-6-{[4-(1-метил-1H-бензимидазол-6-ил)пиперидин-1-ил]карбонил}-5-азаспиро[2,5]октан-7-карбоксамид
Указанное соединение получали, используя методики, аналогичные описанным в примере 1, MS(ESI):(M+H)+=412,3.
Пример 224
(6S,7S)-6-{[4-(4-циано-3-изопропилфенил)-3,6-дигидропиридин-1(2H)-ил]карбонил}-N-гидрокси-5-азаспиро[2,5]октан-7-карбоксамид
Стадия 1. 4-бром-2-изопропилфенол
К перемешиваемому раствору 2-изопропилфенола (2,0 г) в уксусной кислоте (20 мл) добавляли бромистоводородную кислоту (48%, 10 мл) и затем по каплям добавляли DMSO (10 мл). Смесь перемешивали еще 20 минут, разбавляли водой и экстрагировали диэтиловым эфиром. Объединенный экстракт промывали насыщенным раствором NaHCO3, водой, насыщенным раствором соли, сушили и концентрировали с получением продукта 4-бром-2-изопропилфенола (2,2 г, чистота по ВЭЖХ 95%).
Стадия 2. трет-бутил-4-(4-гидрокси-3-изопропилфенил)-3,6-дигидропиридин-1(2H)-карбоксилат
К раствору трет-бутил-4-(4,4,5,5-тетраметил-1,3,2-диоксаборолан-2-ил)-3,6-дигидропиридин-1(2H)-карбоксилата (0,36 г), 4-бром-2-изопропилфенола (0,3 г) в DMF (8,0 мл) в атмосфере азота добавляли карбонат калия (0,5 г) и PdCl2dppf (60 мг). Смесь перемешивали при 80oC в течение 16 часов. Реакционную смесь охлаждали, разбавляли этилацетатом, промывали водой, насыщенным раствором соли, сушили и концентрировали. Продукт трет-бутил-4-(4-гидрокси-3-изопропилфенил)-3,6-дигидропиридин-1(2H)-карбоксилат (0,12 г) получали, используя хроматографию Combiflash.
Стадия 3.
трет-бутил-4-(3-изопропил-4-{[(трифторметил)сульфонил]окси}фенил)-3,6-дигидропиридин-1(2H)-карбоксилат
К раствору трет-бутил-4-(4-гидрокси-3-изопропилфенил)-3,6-дигидропиридин-1(2H)-карбоксилата (0,10 г) в толуоле (3,0 мл) при 0oC добавляли триэтиламин (85 мл) и затем трифторуксусный ангидрид (60 мл). Реакционную смесь нагревали до комнатной температуры и перемешивали в течение 2 часов. Смесь погружали в насыщенный раствор NaHCO3 и экстрагировали диэтиловым эфиром. Объединенный экстракт промывали водой, насыщенным раствором соли, сушили и концентрировали с получением продукта трет-бутил-4-(3-изопропил-4-{[(трифторметил)сульфонил]окси}фенил)-3,6-дигидропиридин-1(2H)-карбоксилата (0,14 г, чистота по ВЭЖХ 95%).
Стадия 4.
Гидрохлорид 2-изопропил-4-(1,2,3,6-тетрагидропиридин-4-ил)бензонитрила
Смесь трет-бутил-4-(3-изопропил-4-{[(трифторметил)сульфонил]окси}фенил)-3,6-дигидропиридин-1(2H)-карбоксилата (0,14 г), цианида цинка (65 мг) и тетракис(трифенилфосфин)палладия(0) (25,0 мг) в DMF (3,0 мл) перемешивали при 100oC в атмосфере азота в течение 4 часов. Реакционную смесь охлаждали, разбавляли водой, экстрагировали диэтиловым эфиром. Объединенный экстракт промывали водой, насыщенным раствором соли, сушили и концентрировали. Трет-бутил-4-(4-циано-3-изопропилфенил)-3,6-дигидропиридин-1(2H)-карбоксилат (85 мг) выделяли хроматографией Combiflash. Выделенный продукт растворяли в минимальном количестве этилацетата, добавляли 4н. раствор HCl в диоксане (3,0 мл) и перемешивали в течение 1 часа. Добавляли диэтиловый эфир (10 мл), твердое вещество отфильтровывали и промывали простым эфиром с получением продукта гидрохлорида 2-изопропил-4-(1,2,3,6-тетрагидропиридин-4-ил)бензонитрила (65 мг).
Стадия 5.
(6S,7S)-6-{[4-(4-циано-3-изопропилфенил)-3,6-дигидропиридин-1(2H)-ил]карбонил}-N-гидрокси-5-азаспиро[2,5]октан-7-карбоксамид
Гидрохлорид 2-изопропил-4-(1,2,3,6-тетрагидропиридин-4-ил)бензонитрила затем преобразовывали в конечное соединение, используя методики, аналогичные описанным в примере 1, MS(ESI):(M+H)+=423,2.
Пример 225
(6S,7S)-6-{[4-(4-циано-3-изопропилфенил)пиперидин-1-ил]карбонил}-N-гидрокси-5-азаспиро[2,5]октан-7-карбоксамид

Указанное соединение получали, используя методики, аналогичные описанным в примере 1, MS(ESI): (M+H)+=425,2.
Пример 236
(6S,7S)-6-{[4-(4-циано-3-этилфенил)-3,6-дигидропиридин-1(2H)-ил]карбонил}-N-гидрокси-5-метил-5-азаспиро[2,5]октан-7-карбоксамид

Указанное соединение получали, используя методики, аналогичные описанным в примере 1, MS(ESI):(M+H)+=423,2.
Пример 237
(6S,7S)-6-{[4-(4-циано-3,5-диметилфенил)-3,6-дигидропиридин-1(2H)-ил]карбонил}-N-гидрокси-5-метил-5-азаспиро[2,5]октан-7-карбоксамид

Указанное соединение получали, используя методики, аналогичные описанным в примере 1, MS(ESI):(M+H)+=423,2.
Пример 238
(6S,7S)-N-гидрокси-6-{[4-(1-этил-1H-бензимидазол-6-ил)-3,6-дигидропиридин-1(2H)-ил]карбонил}-5-азаспиро[2,5]октан-7-карбоксамид

Указанное соединение получали, используя методики, аналогичные описанным в примере 1. MS(ESI):(M+H)+=424,3.
Пример 239
(6S,7S)-N-гидрокси-6-{[4-(1-метил-1H-индазол-5-ил)-3,6-дигидропиридин-1(2H)-ил]карбонил}-5-азаспиро[2,5]октан-7-карбоксамид

Указанное соединение получали, используя методики, аналогичные описанным в примере 1, MS(ESI):(M+H)+=410,2.
Пример 240
(6S,7S)-N-гидрокси-6-{[4-(1-этил-1H-бензимидазол-6-ил)пиперидин-1-ил]карбонил}-5-азаспиро[2,5]октан-7-карбоксамид

Указанное соединение получали, используя методики, аналогичные описанным в примере 1, MS(ESI):(M+H)+=426,2.
Пример 241
(6S,7S)-N-гидрокси-6-{[4-(1-метил-1H-индазол-5-ил)пиперидин-1-ил]карбонил}-5-азаспиро[2,5]октан-7-карбоксамид

Указанное соединение получали, используя методики, аналогичные описанным в примере 1, MS(ESI):(M+H)+=412,2.
Пример 242
(6S,7S)-N-гидрокси-6-{[4-(1-этил-1H-индазол-5-ил)-3,6-дигидропиридин-1(2H)-ил]карбонил}-5-азаспиро[2,5]октан-7-карбоксамид
Указанное соединение получали, используя методики, аналогичные описанным в примере 1, MS(ESI):(M+H)+=424,2.
Пример 243
Тетрагидро-2H-пиран-4-ил-(6S,7S)-6-{[4-(1-этил-1H-бензимидазол-6-ил)пиперидин-1-ил]карбонил}-7-[(гидроксиамино)карбонил]-5-азаспиро[2,5]октан-5-карбоксилат
Указанное соединение получали, используя методики, аналогичные описанным в примере 154, MS(ESI):(M+H)+=554,3.
Пример 244
Метил-(6S,7S)-6-{[4-(1-этил-1H-бензимидазол-6-ил)-3,6-дигидропиридин-1(2H)-ил]карбонил}-7-[(гидроксиамино)карбонил]-5-азаспиро[2,5]октан-5-карбоксилат
Указанное соединение получали, используя методики, аналогичные описанным в примере 154, MS(ESI):(M+H)+=482,2.
Пример 245
(6S,7S)-6-{[4-(1-этил-1H-бензимидазол-6-ил)-3,6-дигидропиридин-1(2H)-ил]карбонил}-N-гидрокси-5-(метилсульфонил)-5-азаспиро[2,5]октан-7-карбоксамид
Указанное соединение получали, используя методики, аналогичные описанным в примере 154, MS(ESI):(M+H)+=502,2.
Пример 246
Метил-(6S,7S)-6-{[4-(1-этил-1H-бензимидазол-6-ил)пиперидин-1-ил]карбонил}-7-[(гидроксиамино)карбонил]-5-азаспиро[2,5]октан-5-карбоксилат
Указанное соединение получали, используя методики, аналогичные описанным в примере 154, MS(ESI):(M+H)+=484,2.
Пример 247
(6S,7S)-6-{[4-(1-этил-1H-бензимидазол-6-ил)пиперидин-1-ил]карбонил}-N-гидрокси-5-(метилсульфонил)-5-азаспиро[2,5]октан-7-карбоксамид
Указанное соединение получали, используя методики, аналогичные описанным в примере 154, MS(ESI):(M+H)+=504,2.
Пример 248
(6S,7S)-6-{[4-(4-циано-2-метилфенил)пиперидин-1-ил]карбонил}-N-гидрокси-5-(метилсульфонил)-5-азаспиро[2,5]октан-7-карбоксамид
Указанное соединение получали, используя методики, аналогичные описанным в примере 154, MS(ESI):(M+H)+=476,2.
Пример 249
Метил-(6S,7S)-6-{[4-(4-циано-2-метилфенил)пиперазин-1-ил]карбонил}-7-[(гидроксиамино)карбонил]-5-азаспиро[2,5]октан-5-карбоксилат
Указанное соединение получали, используя методики, аналогичные описанным в примере 154, MS(ESI):(M+H)+=456,2.
Пример 250
(6S,7S)-6-{[4-(1-этил-1H-бензимидазол-6-ил)пиперазин-1-ил]карбонил}-N-гидрокси-5-азаспиро[2,5]октан-7-карбоксамид
Указанное соединение получали, используя методики, аналогичные описанным в примере 1, MS(ESI):(M+H)+=427,5.
Пример 251
Метил-(6S,7S)-6-{[4-(1-этил-1H-бензимидазол-6-ил)пиперазин-1-ил]карбонил}-7-[(гидроксиамино)карбонил]-5-азаспиро[2,5]октан-5-карбоксилат
Указанное соединение получали, используя методики, аналогичные описанным в примере 154, MS(ESI):(M+H)+=485,3.
Пример 252
(6S,7S)-6-{[4-(1-этил-1H-бензимидазол-6-ил)пиперазин-1-ил]карбонил}-N-гидрокси-5-(метилсульфонил)-5-азаспиро[2,5]октан-7-карбоксамид
Указанное соединение получали, используя методики, аналогичные описанным в примере 154, MS(ESI):(M+H)+=505,2.
Пример 253
Тетрагидро-2H-пиран-4-ил-(6S,7S)-6-{[4-(4-циано-2-метилфенил)пиперазин-1-ил]карбонил}-7-[(гидроксиамино)карбонил]-5-азаспиро[2,5]октан-5-карбоксилат
Указанное соединение получали, используя методики, аналогичные описанным в примере 154, MS(ESI):(M+H)+=526,3.
Пример 254
Тетрагидро-2H-пиран-4-ил-(6S,7S)-6-{[4-(1-этил-1H-бензимидазол-6-ил)пиперазин-1-ил]карбонил}-7-[(гидроксиамино)карбонил]-5-азаспиро[2,5]октан-5-карбоксилат
Указанное соединение получали, используя методики, аналогичные описанным в примере 154, MS(ESI):(M+H)+=455,3.
Пример 255
(6S,7S)-N-гидрокси-6-[(3-метил-4-фенилпиперидин-1-ил)карбонил]-5-азаспиро[2,5]октан-7-карбоксамид
Указанное соединение получали, используя методики, аналогичные описанным в примере 86. MS(ESI):(M+H)+=372,1.
Пример 256
(6S,7S)-6-{[5-(аминокарбонил)-4-фенил-3,6-дигидропиридин-1(2H)-ил]карбонил}-N-гидрокси-5-азаспиро[2,5]октан-7-карбоксамид
Указанное соединение получали, используя методики, аналогичные описанным в примере 31. MS(ESI):(M+H)+=386,1.
Пример 257
(6S,7S)-6-{[4-(4-цианофенил)-5-метил-3,6-дигидропиридин-1(2H)-ил]карбонил}-N-гидрокси-5-азаспиро[2,5]октан-7-карбоксамид
Указанное соединение получали, используя методики, аналогичные описанным в примере 31. MS(ESI):(M+H)+=395,2.
Пример 258
(6S,7S)-6-{[4-(4-цианофенил)-3-метилпиперидин-1-ил]карбонил}-N-гидрокси-5-азаспиро[2,5]октан-7-карбоксамид
Указанное соединение получали, используя методики, аналогичные описанным в примере 86. MS(ESI): (M+H)+=397,1.
Пример 259
(6S,7S)-N-гидрокси-6-{[5-метил-4-(4-нитрофенил)-3,6-дигидропиридин-1(2H)-ил]карбонил}-5-азаспиро[2,5]октан-7-карбоксамид
Указанное соединение получали, используя методики, аналогичные описанным в примере 31. MS(ESI):(M+H)+=415,2.
Пример 260
(6S,7S)-N-гидрокси-6-{[5-метил-4-(3-нитрофенил)-3,6-дигидропиридин-1(2H)-ил]карбонил}-5-азаспиро[2,5]октан-7-карбоксамид
Указанное соединение получали, используя методики, аналогичные описанным в примере 31. MS(ESI):(M+H)+=415,1.
Пример 262
(6S,7S)-6-[(4-дибензо[b,d]фуран-2-ил-3,6-дигидропиридин-1(2H)-ил)карбонил]-N-гидрокси-5-азаспиро[2,5]октан-7-карбоксамид
Указанное соединение получали, используя методики, аналогичные описанным в примере 31. MS(ESI):(M+H)+=446,1.
Пример 263
(6S,7S)-6-[(4-дибензо[b,d]фуран-2-илпиперидин-1-ил)карбонил]-N-гидрокси-5-азаспиро[2,5]октан-7-карбоксамид
Указанное соединение получали, используя методики, аналогичные описанным в примере 86. MS(ESI):(M+H)+=448,1.
Пример 264
(6S,7S)-6-{[4-(3,3-диметил-2,3-дигидро-1-бензофуран-5-ил)-3,6-дигидропиридин-1(2H)-ил]карбонил}-N-гидрокси-5-азаспиро[2,5]октан-7-карбоксамид
Указанное соединение получали, используя методики, аналогичные описанным в примере 31. MS(ESI):(M+H)+=426,1.
Пример 265
(6S,7S)-6-{[4-(3,3-диметил-2,3-дигидро-1-бензофуран-5-ил)пиперидин-1-ил]карбонил}-N-гидрокси-5-азаспиро[2,5]октан-7-карбоксамид
Указанное соединение получали, используя методики, аналогичные описанным в примере 86. MS(ESI):(M+H)+=428,1.
Пример 266
Изопропил-(6S,7S)-7-[(гидроксиамино)карбонил]-6-[(3-фенил-2,5-дигидро-1H-пиррол-1-ил)карбонил]-5-азаспиро[2,5]октан-5-карбоксилат
Указанное соединение получали, используя методики, аналогичные описанным в примере 56. MS(ESI):(M+H)+=428,1.
Пример 267
(3S)-тетрагидрофуран-3-ил-(6S,7S)-7-[(гидроксиамино)карбонил]-6-[(3-фенил-2,5-дигидро-1H-пиррол-1-ил)карбонил]-5-азаспиро[2,5]октан-5-карбоксилат
Указанное соединение получали, используя методики, аналогичные описанным в примере 56. MS(ESI):(M+H)+=456,1.
Пример 268
Циклогексил-(6S,7S)-7-[(гидроксиамино)карбонил]-6-[(3-фенил-2,5-дигидро-1H-пиррол-1-ил)карбонил]-5-азаспиро[2,5]октан-5-карбоксилат
Указанное соединение получали, используя методики, аналогичные описанным в примере 56. MS(ESI):(M+H)+=468,2.
Пример 269
Тетрагидро-2H-пиран-4-ил-(6S,7S)-7-[(гидроксиамино)карбонил]-6-[(3-фенил-2,5-дигидро-1H-пиррол-1-ил)карбонил]-5-азаспиро[2,5]октан-5-карбоксилат
Указанное соединение получали, используя методики, аналогичные описанным в примере 56. MS(ESI):(M+H)+=470,2.
Пример 270
(5S,6S)-N-гидрокси-6-((4-фенилпиперазин-1-ил)карбонил)спиро(2,5)октан-5-карбоксамид
Стадия 1. Получение (1S,2S,5S)-2-(трет-бутоксикарбонил)-5-оксициклогексанкарбоновой кислоты
Трет-бутил-(1S,2S,5S)-7-оксо-6-оксабицикло(3,2,1)октан-2-карбоксилат растворяли в ТГФ-H2O. Добавляли при 0oC LiOH (3 экв.) и полученную смесь перемешивали при 0oС в течение 2 часов. ТСХ показала, что исходное вещество израсходовано. Смесь затем подкисляли до pH~2. Продукт экстрагировали EtOAc (×3). Объединенные экстракты промывали насыщенным раствором соли (×1); сушили над MgSO4. После фильтрования фильтрат концентрировали с получением (1S,2S,5S)-2-(трет-бутоксикарбонил)-5-оксициклогексанкарбоновой кислоты (количественный выход).
Стадия 2. Получение 2-бензил-1-трет-бутил-(1S,2S,4S)-4-гидроксициклогексан-1,2-дикарбоксилата
(1S,2S,5S)-2-(трет-бутоксикарбонил)-5-оксициклогексанкарбоновую кислоту (1,07 г, 4,38 ммоль) растворяли в бензоле (20 мл). К раствору при комнатной температуре добавляли бензилбромид и затем DBU. Смесь перемешивали при комнатной температуре в течение 3 часов. Полученную смесь гасили 1н. раствором HCl и экстрагировали EtOAc (×2). Объединенные экстракты промывали 10% раствором лимонной кислоты (×1); насыщенным раствором соли (×1) и сушили над MgSO4. После фильтрования фильтрат концентрировали с получением 2-Бензил-1-трет-бутил(1S,2S,4S)-4-гидроксициклогексан-1,2-дикарбоксилата.
Стадия 3. Получение 2-бензил-1-трет-бутил(1S,2S)-4-оксоциклогексан-1,2-дикарбоксилата
(1S,2S,4S)-1-трет-Бутил-2-бензил-4-гидроксициклогексан-1,2-дикарбоксилат (1,47 г, 4,40 ммоль) растворяли в DCM (30 мл). К раствору при комнатной температуре при перемешивании добавляли реагент Dess-Martin. Через 2 часа ТСХ показала, что исходное вещество израсходовано. Смесь гасили насыщенным раствором Na2S2O3 и затем экстрагировали EtOAc (×2). Объединенные экстракты промывали водой (×1), насыщенным раствором соли (×1) и сушили над MgSO4. После фильтрования фильтрат концентрировали. Полученный остаток очищали хроматографией Combiflash и элюировали EtOAc/гексаном с получением 2-бензил-1-трет-бутил(1S,2S)-4-оксоциклогексан-1,2-дикарбоксилата.
Стадия 5. Получение 2-бензил-1-трет-бутил-(1S,2S)-4-метиленциклогексан-1,2-дикарбоксилата
Раствор метилтрифенилфосфонийбромида (1,9 г, 5,32 ммоль) и бис(триметилсилил)амида натрия (1,0М в ТГФ, 5,32 мл, 5,32 ммоль) в смеси толуол (15 мл)/ТГФ (5 мл) объединяли с раствором (1S,2S)-1-трет-бутил-2-бензил-4-оксоциклогексан-1,2-дикарбоксилата (1,0 г, 4,09 ммоль) в толуоле (15 мл) при -10oC. Полученную смесь перемешивали при комнатной температуре в течение 2 часов при -10oC и при комнатной температуре в течение 2 часов. ТСХ показала, что исходное вещество израсходовано. Смесь разбавляли EtOAc и полученный раствор промывали водой (×1), насыщенным раствором соли (×2) и сушили над MgSO4. После фильтрования фильтрат концентрировали. Неочищенный продукт очищали хроматографией Combiflash с получением (1S,2S)-1-трет-бутил-2-бензил-4-метиленциклогексан-1,2-дикарбоксилата (0,65 г; 1,97 ммоль).
Стадия 6. Получение 5-бензил-6-трет-бутил-(5S,6S)-спиро(2,5)октан-5,6-дикарбоксилата
К раствору KOH (1,9 г) в воде (3 мл) ди(этиленгликоль)этилового эфира (9 мл) и этилового эфира (10 мл) в колбе A добавляли тремя порциями 1,0 г диазальда. После добавления первой порции колбу помещали на предварительно нагретую (60oC) масляную баню для отгонки образовавшегося CH2N2, который направляли в другую колбу (B), предварительно охлажденную до около -15oC и содержащую (1S,2S)-1-трет-бутил-2-бензил-4-метиленциклогексан-1,2-дикарбоксилат (200 мг) и Pd(OAc)2 (80 мг) в простом эфире (10 мл). Через 5 минут масляную баню для колбы A удаляли. Затем добавляли вторую порцию диазальда и описанную выше процедуру повторяли дважды. По завершении отгонки CH2N2 в колбу B при помощи эфира охлаждающую баню для колбы B удаляли. Реакционную смесь перемешивали при комнатной температуре в течение 2 часов, затем фильтровали через силикагель, промывали этилацетатом и метиленхлоридом. Фильтрат концентрировали. Полученный остаток представлял собой желаемый продукт – 5-бензил-6-трет-бутил-(5S,6S)-спиро(2,5)октан-5,6-дикарбоксилат, что было подтверждено методом 1H ЯМР. Продукт непосредственно использовали в реакции на следующей стадии без дополнительной очистки.
Стадия 7.
Получение (5S,6S)-5-((бензилокси)карбонил)спиро(2,5)октан-6-карбоновой кислоты
Продукт, полученный на предыдущей стадии 6, перемешивали в DCM/TFA (1:1) в течение ночи и затем концентрировали с получением (5S,6S)-5-((бензилокси)карбонил)спиро(2,5)октан-6-карбоновой кислоты.
Стадия 8.
Получение бензил-(5S,6S)-6-((4-фенилпиперазин-1-ил)карбонил)спиро(2,5)октан-5-карбоксилата
(5S,6S)-5-((Бензилокси)карбонил)спиро(2,5)октан-6-карбоновую кислоту со стадии 7 (47 мг, 0,16 ммоль) растворяли в DMF (0,7 мл). К раствору добавляли 1-фенилпиперазин (29 мг, 0,18 ммоль) и затем BOP (76 мг, 0,17 ммоль). После перемешивания смеси при комнатной температуре в течение 10 минут добавляли DIEA (53 мг, 0,41 ммоль). Смесь затем перемешивали при комнатной температуре в течение ночи, гасили насыщенным раствором NaHCO3 и экстрагировали EtOAc. Экстракт промывали насыщенным раствором NaHCO3, насыщенным раствором соли, сушили над MgSO4. После фильтрования фильтрат концентрировали. Полученный остаток очищали колоночной хроматографией с получением бензил-(5S,6S)-6-((4-фенилпиперазин-1-ил)карбонил)спиро(2,5)октан-5-карбоксилата.
Стадия 9.
Получение (5S,6S)-6-((4-фенилпиперазин-1-ил)карбонил)спиро(2,5)октан-5-карбоновой кислоты
Продукт, полученный на предыдущей стадии 8, растворяли в метаноле. К раствору добавляли 5% Pd-BaSO4. Смесь перемешивали в атмосфере водорода при комнатной температуре в течение 2 часов. После удаления твердого вещества раствор концентрировали досуха (выход: 30%) с получением (5S,6S)-6-((4-фенилпиперазин-1-ил)карбонил)спиро(2,5)октан-5-карбоновой кислоты.
Стадия 10.
Получение (5S,6S)-N-гидрокси-6-((4-фенилпиперазин-1-ил)карбонил)спиро(2,5)октан-5-карбоксамида
Продукт со стадии 9 (36 мг, 0,105 ммоль) и гидрохлорид гидроксиламина (22 мг, 0,315 ммоль) растворяли в DMF (0,70 мл). К раствору при перемешивании при комнатной температуре в течение 10 минут добавляли BOP (49 мг, 0,11 ммоль). Добавляли DIEA (61 мг, 0,47 ммоль). Смесь перемешивали при комнатной температуре в течение 2 часов. Продукт очищали препаративной ВЭЖХ с получением 22 мг (5S,6S)-N-гидрокси-6-((4-фенилпиперазин-1-ил)карбонил)спиро(2,5)октан-5-карбоксамида. Выход: 44%. MS: M/Z 358,2 (M+H)+; 380,2 (M+Na)+; 737,2 (2M+Na)+.
Пример 271
(6S)-N-гидрокси-6-{[(3R)-3-фенилпирролидин-1-ил]карбонил}спиро[2,5]октан-5-карбоксамид
Указанное соединение получали, используя методики, аналогичные описанным в примере 270. MS:M/Z 343,3 (M+H)+; 365,2 (M+Na)+; 707,3 (2M+Na)+.
Пример 272
(5S,6S)-N-гидрокси-6-{[4-(2-метил-4-нитрофенил)пиперазин-1-ил]карбонил}спиро[2,5]октан-5-карбоксамид
Указанное соединение получали, используя методики, аналогичные описанным в примере 270. MS:M/Z 417,2 (M+H)+.
Пример 273
(5S,6S)-N-гидрокси-6-[(4-фенил-3,6-дигидропиридин-1(2H)-ил)карбонил]спиро[2,5]октан-5-карбоксамид
Указанное соединение получали, используя методики, аналогичные описанным в примере 270. MS: M/Z 355,2 (M+H)+; 377,2 (M+Na)+; 731,4 (2M+Na)+.
Пример 274
(3S)-тетрагидрофуран-3-ил-(6S,7S)-7-[(гидроксиамино)карбонил]-6-[(4-фенилпиперазин-1-ил)карбонил]-5-азаспиро[2,5]октан-5-карбоксилат
Указанное соединение получали, используя методики, аналогичные описанным в примере 154. MS: m/z 473,2 (M+H)+; 495,0 (M+Na)+.
Пример 275
(3R)-тетрагидрофуран-3-ил-(6S,7S)-7-[(гидроксиамино)карбонил]-6-[(4-фенилпиперазин-1-ил)карбонил]-5-азаспиро[2,5]октан-5-карбоксилат
Указанное соединение получали, используя методики, аналогичные описанным в примере 154. MS: m/z 473,2 (M+H)+; 495,2 (M+Na)+.
Пример 276
2-Метоксиэтил-(6S,7S)-7-((гидроксиамино)карбонил)-6-((4-фенилпиперазин-1-ил)карбонил)-5-азаспиро(2,5)октан-5-карбоксилат
Указанное соединение получали, используя методики, аналогичные описанным в примере 154. MS: m/z 461,1 (M+H)+; 483,1 (M+Na)+.
Пример 277
(6S,7S)-N-гидрокси-6-[(4-фенилпиперазин-1-ил)карбонил]-5-(фенилсульфонил)-5-азаспиро[2,5]октан-7-карбоксамид
Указанное соединение получали, используя методики, аналогичные описанным в примере 154. MS: m/z 499,1 (M+H)+.
Пример 278
Пропил-(6S,7S)-7-[(гидроксиамино)карбонил)]-6-[(4-фенилпиперазин-1-ил)карбонил]-5-азаспиро[2,5]октан-5-карбоксилат
Указанное соединение получали, используя методики, аналогичные описанным в примере 154. MS: m/z 445,2 (M+H)+.
Пример 279
Изопропил-(6S,7S)-7-[(гидроксиамино)карбонил]-6-[(4-фенилпиперазин-1-ил)карбонил]-5-азаспиро[2,5]октан-5-карбоксилат
Указанное соединение получали, используя методики, аналогичные описанным в примере 154. MS: m/z 445,2 (M+H)+; 467,2 (M+Na)+.
Пример 280
Метил-(6S,7S)-6-{[4-(3,5-дифторфенил)-3,6-дигидропиридин-1(2H)-ил]карбонил}-7-[(гидроксиамино)карбонил]-5-азаспиро[2,5]октан-5-карбоксилат
Указанное соединение получали, используя методики, аналогичные описанным в примере 1. MS(ESI):(M+H)+=450,2.
Пример 281
Метил-(6S,7S)-6-{[4-(3,5-дифторфенил)-3,6-дигидропиридин-1(2H)-ил]карбонил}-7-[(гидроксиамино)карбонил]-5-азаспиро[2,5]октан-5-карбоксилат
Указанное соединение получали, используя методики, аналогичные описанным в примере 154. MS(ESI):(M+H)+=470,2.
Пример 282
(6S,7S)-N-гидрокси-6-{[4-(4-изопропилфенил)пиперазин-1-ил]карбонил}-5-азаспиро[2,5]октан-7-карбоксамид
Указанное соединение получали, используя методики, аналогичные описанным в примере 1. MS(ESI):(M+H)+=400,2.
Пример 283
(6S,7S)-6-{[4-(3,5-дифторфенил)пиперидин-1-ил]карбонил}-N-гидрокси-5-(метилсульфонил)-5-азаспиро[2,5]октан-7-карбоксамид
Указанное соединение получали, используя методики, аналогичные описанным в примере 154. MS(ESI):(M+H)+=472,1.
Пример 284
(6S,7S)-6-{[4-(4,5-диметил-1,3-тиазол-2-ил)пиперидин-1-ил]карбонил}-N-гидрокси-5-азаспиро[2,5]октан-7-карбоксамид
Указанное соединение получали, используя методики, аналогичные описанным в примере 1. MS(ESI): (M+H)+=393,1.
Соединения примеров перечислены ниже в Таблице 1.
| Таблица 1 |
 |
| Пр. 1-48, 54-78, 80-136, 143-225, 236-269, 271-284 |
Пр. 50, 53, 270-273 |
Пр. 79 |
Пр. 49, 51, 52 |
| Прим. |
Ядро |
NR”R”’ |
R’ |
MS: M+H |
| 1 |
A |
4-(3-метилфенил)пиперазин-1-ил |
Me |
387,1 |
| 2 |
A |
4-фенилпиперазин-1-ил |
Me |
373,2 |
| 3 |
A |
4-[3-(трифторметил)фенил]пиперазин-1-ил |
Me |
441 |
| 4 |
A |
4-(2-метилфенил)пиперазин-1-ил |
Me |
387,1 |
| 5 |
A |
4-(4-хлорфенил)пиперазин-1-ил |
Me |
407,1 |
| 6 |
A |
4-(2-метил-4-нитрофенил)пиперазин-1-ил |
Me |
432 |
| 7 |
A |
4-фенилпиперидин-1-ил |
Me |
372,2 |
| 8 |
A |
4-гидрокси-4-фенилпиперидин-1-ил |
Me |
388 |
| 9 |
A |
4-фенил-3,6-дигидропиридин-1(2H)-ил |
Me |
370 |
| 11 |
A |
4-хинолин-2-илпиперазин-1-ил |
Me |
424,3 |
| 12 |
A |
4-(2,3-дихлорфенил)пиперазин-1-ил |
Me |
441 |
| 13 |
A |
4-хинолин-4-илпиперазин-1-ил |
Me |
424,3 |
| 14 |
A |
4-(2-метилхинолин-4-ил)пиперазин-1-ил |
Me |
438,4 |
| 15 |
A |
4-(2-фенилэтил)пиперазин-1-ил |
Me |
401,3 |
| 16 |
A |
4-пиридин-4-илпиперидин-1-ил |
Me |
373,3 |
| 17 |
A |
4-(4-нитрофенил)пиперазин-1-ил |
Me |
418,3 |
| 18 |
A |
4-(2-метоксифенил)пиперазин-1-ил |
Me |
403 |
| 19 |
A |
4-феноксипиперидин-1-ил |
Me |
388,3 |
| 20 |
A |
3,4-дигидроизохинолин-2(1H)-ил |
Me |
344,3 |
| 21 |
A |
4,7-дигидротиено[2,3-c]пиридин-6(5H)-ил |
Me |
350,2 |
| 22 |
A |
3-бензилпирролидин-1-ил |
Me |
372,3 |
| 23 |
A |
4-пиридин-2-илпиперазин-1-ил |
Me |
374,2 |
| 24 |
A |
4-(2-пиридин-4-илэтил)пиперидин-1-ил |
Me |
401,3 |
| 25 |
A |
4-[5-(трифторметил)пиридин-2-ил]пиперазин-1-ил |
Me |
442,3 |
| 26 |
A |
4-[3-(трифторметил)пиридин-2-ил]пиперазин-1-ил |
Me |
442,3 |
| 27 |
A |
1,4′-бипиперидин-1′-ил |
Me |
379,3 |
| 28 |
A |
4-(пиридин-2-илметил)пиперазин-1-ил |
Me |
388,3 |
| 29 |
A |
4-(пиридин-4-илметил)пиперазин-1-ил |
Me |
388,3 |
| 30 |
A |
4-(пиридин-3-илметил)пиперазин-1-ил |
Me |
388,3 |
| 31 |
A |
4-(2-метилфенил)-3,6-дигидропиридин-1(2H)-ил |
Me |
384,1 |
| 32 |
A |
4-(3-метилфенил)пиперазин-1-ил |
H |
373,1 |
| 33 |
A |
1,3,4,9-тетрагидро-2H- -карболин-2-ил |
Me |
383 |
| 34 |
A |
9-метил-1,3,4,9-тетрагидро-2H- -карболин-2-ил |
Me |
396,9 |
| 35 |
A |
4-(2-фторфенил)-3,6-дигидропиридин-1(2H)-ил |
Me |
388 |
| 36 |
A |
4-(2-хлорфенил)-3,6-дигидропиридин-1(2H)-ил |
Me |
404 |
| 37 |
A |
4-(4-нитрофенил)-3,6-дигидропиридин-1(2H)-ил |
Me |
415,1 |
| 38 |
A |
4-фенил-3,6-дигидропиридин-1(2H)-ил |
H |
356 |
| 39 |
A |
4-(2-метил-4-нитрофенил)пиперазин-1-ил |
H |
418 |
| 40 |
A |
N-метил-N’-(3-фенилпропил)амино |
Me |
360,1 |
| 41 |
A |
изобутиламино |
Me |
284 |
| 42 |
A |
4-(2-нитрофенил)пиперазин-1-ил |
Me |
418 |
| 43 |
A |
N-метил-N’-(изобутил)амино |
Me |
298 |
| 44 |
A |
(2-феноксиэтил)амино |
Me |
348 |
| 45 |
A |
2-(4-метоксифенил)этиламино |
Me |
362 |
| 46 |
A |
4-фенилбутиламино |
Me |
360 |
| 47 |
A |
3-(2-оксопирролидин-1-ил)пропиламино |
Me |
353 |
| 48 |
A |
3,4,10,10a-тетрагидропиразино[1,2-a]индол-2(1H)-ил |
H |
385 |
| 49 |
D |
4-(2-метил-4-нитрофенил)пиперазин-1-ил |
 |
417,2 |
| 50 |
B |
4-(3-метилфенил)пиперазин-1-ил |
 |
372,2 |
| 51 |
D |
4-фенил-3,6-дигидропиридин-1(2H)-ил |
 |
355 |
| 52 |
D |
4-(3-метилфенил)пиперазин-1-ил |
 |
372 |
| 53 |
B |
4-фенил-3,6-дигидропиридин-1(2H)-ил |
 |
355 |
| 54 |
A |
3,4,10,10a-тетрагидропиразино[1,2-a]индол-2(1H)-ил |
H |
371,2 |
| 55 |
A |
1,2,4,4a,5,6-гексагидро-3H-пиразино[1,2a]хинолин-3-ил |
Me |
399,4 |
| 56 |
A |
4-фенил-3,6-дигидропиридин-1(2H)-ил |
Метоксикар- бонил |
414 |
| 57 |
A |
4-фенил-3,6-дигидропиридин-1(2H)-ил |
Бензилокси- карбонил |
490 |
| 58 |
A |
4-фенил-3,6-дигидропиридин-1(2H)-ил |
Метилсуль- фонил |
434 |
| 59 |
A |
3-(3-метоксифенил)пиперидин-1-ил |
Me |
402,4 |
| 60 |
A |
3-(2-фенилэтил)пирролидин-1-ил |
Me |
386 |
| 61 |
A |
4-(3-метоксифенил)пиперидин-1-ил |
Me |
402,4 |
| 62 |
A |
4-[3-(аминокарбонил)фенил]-3,6-дигидропиридин-1(2H)-ил |
H |
398,9 |
| 63 |
A |
4-(2-метоксифенил)пиперидин-1-ил |
Me |
402,4 |
| 64 |
A |
4-(3-фтор-2-метилфенил)пиперазин-1-ил |
H |
391,3 |
| 65 |
A |
4-(2-метил-3-нитрофенил)пиперазин-1-ил |
H |
418,3 |
| 66 |
A |
3′,6′-дигидро-3,4′-бипиридин-1′(2’H)-ил |
H |
357,4 |
| 67 |
A |
N-(4-метоксифенил)-N’-метиламино |
H |
334 |
| 68 |
A |
4-(3-метоксифенил)пиперазин-1-ил |
Me |
403 |
| 69 |
A |
4-(3-Хлорфенил)пиперазин-1-ил |
Me |
407,3 |
| 70 |
A |
4-фенил[1,4]диазепан-1-ил |
H |
373 |
| 71 |
A |
3-метил-4-(3-метилфенил)пиперазин-1-ил |
H |
387 |
| 72 |
A |
4-(3-метоксифенил)пиперидин-1-ил |
H |
388,4 |
| 73 |
B |
3-фенилпирролидин-1-ил |
 |
343,3 |
| 74 |
A |
4-изобутирилпиперазин-1-ил |
H |
353 |
| 75 |
A |
4-(4-циано-2-метилфенил)-3,6-дигидропиридин-1(2H)-ил |
H |
395 |
| 76 |
A |
4-[(2-метилхинолин-4-ил)метокси]фениламино |
Me |
475,4 |
| 77 |
A |
4-[(2-метилхинолин-4-ил)метокси]фениламино |
H |
461 |
| 78 |
A |
4-(4-цианофенил)пиперазин-1-ил |
H |
384 |
| 79 |
C |
4-фенилпиперидин-1-ил |
H |
358 |
| 80 |
A |
4-фенилпиперидин-1-ил |
H |
358 |
| 81 |
A |
4-фенилпиперазин-1-ил |
H |
359 |
| 82 |
A |
4-[3-(метоксиметил)фенил]пиперидин-1-ил |
H |
402 |
| 83 |
A |
4-(3-метоксикарбонилфенил)пиперидин-1-ил |
H |
416 |
| 84 |
A |
3-циклогексилпирролидин-1-ил |
H |
350,4 |
| 85 |
A |
4-(3-изопропилфенил)-3,6-дигидропиридин-1(2H)-ил |
H |
398,4 |
| 86 |
A |
4-(3-изопропилфенил)пиперидин-1-ил |
H |
400,4 |
| 87 |
A |
4-(4-пропилфенил)-3,6-дигидропиридин-1(2H)-ил |
H |
398 |
| 88 |
A |
4-(4-этилфенил)-3,6-дигидропиридин-1(2H)-ил |
H |
384,4 |
| 89 |
A |
4-(4-этилфенил)пиперидин-1-ил |
H |
386 |
| 90 |
A |
4-(4-циано-2-метилфенил)пиперазин-1-ил |
H |
398 |
| 91 |
A |
4-(3-изопропоксифенил)-3,6-дигидропиридин-1(2H)-ил |
H |
414,4 |
| 92 |
A |
4-(3-метилфенил)-3,6-дигидропиридин-1(2H)-ил |
H |
370,3 |
| 93 |
A |
4-(3-метилфенил)пиперазин-1-ил |
H |
372,4 |
| 94 |
A |
4-(4-трет-бутилфенил)пиперазин-1-ил |
H |
415,4 |
| 95 |
A |
4-пиридин-4-илпиперазин-1-ил |
H |
360 |
| 96 |
A |
3-бензилпиперидин-1-ил |
H |
371,9 |
| 97 |
A |
5-метокси-2,3-дигидро-1H-индол-1-ил |
H |
346,3 |
| 98 |
A |
5-[(2-метилхинолин-4-ил)метокси]-2,3-дигидро-1H-индол-1-ил |
H |
487,4 |
| 99 |
A |
5-[(2-метилхинолин-4-ил)метокси]-2,3-дигидро-1H-индол-1-ил |
Me |
501,4 |
| 100 |
A |
5-(бензилокси)-2,3-дигидро-1H-индол-1-ил |
H |
422,3 |
| 101 |
A |
1,3-дигидро-1’H-спиро[инден-2,4′-пиперидин]-1′-ил |
H |
384,4 |
| 102 |
A |
4-(3-изопропоксифенил)пиперидин-1-ил |
H |
416,4 |
| 103 |
A |
4-(2-метил-4-метоксикарбонилфенил)-3,6-дигидропиридин-1(2H)-ил |
H |
427,9 |
| 104 |
A |
4-(2-метил-4-нитрофенил)-3,6-дигидропиридин-1(2H)-ил |
H |
414,8 |
| 105 |
A |
4-(2-этилфенил)пиперидин-1-ил |
H |
385,9 |
| 106 |
A |
4-(2-метил-4-метоксикарбонилфенил)пиперидин-1-ил |
H |
429,9 |
| 107 |
A |
4-(2,3-дигидро-1-бензофуран-5-ил)-3,6-дигидропиридин-1(2H)-ил |
Me |
412,2 |
| 108 |
A |
4-(3-изопропилфенил)-3,6-дигидропиридин-1(2H)-ил |
Me |
412,2 |
| 109 |
A |
(3R)-3-фенилпирролидин-1-ил |
H |
344,1 |
| 110 |
A |
(3S)-3-фенилпирролидин-1-ил |
H |
344,1 |
| 112 |
A |
3-[3-(трифторметил)фенил]пирролидин-1-ил |
H |
412,1 |
| 113 |
A |
3-(3-хлорфенил)пирролидин-1-ил |
H |
378,1 |
| 114 |
A |
3-(3-фторфенил)пирролидин-1-ил |
H |
362,1 |
| 115 |
A |
3-(4-фторфенил)пирролидин-1-ил |
H |
362,1 |
| 116 |
A |
3-(4-хлорфенил)пирролидин-1-ил |
H |
378,1 |
| 117 |
A |
3-[4-(трифторметил)фенил]пирролидин-1-ил |
H |
412,1 |
| 118 |
A |
3-(4-метоксифенил)пирролидин-1-ил |
H |
374,1 |
| 119 |
A |
3-(4-феноксифенил)пирролидин-1-ил |
H |
436,2 |
| 120 |
A |
4-(3-метоксифенил)-3,6-дигидропиридин-1(2H)-ил |
H |
386,1 |
| 121 |
A |
4-(4-циано-3-метилфенил)-3,6-дигидропиридин-1(2H)-ил |
H |
395,1 |
| 122 |
A |
3-(3-метоксифенил)пирролидин-1-ил |
H |
374,1 |
| 123 |
A |
3-пиридин-4-илпирролидин-1-ил |
H |
345,2 |
| 124 |
A |
4-(3,5-диметилфенил)-3,6-дигидропиридин-1(2H)-ил |
H |
384,2 |
| 125 |
A |
4-(3-трифторметоксифенил)-3,6-дигидропиридин-1(2H)-ил |
H |
440,1 |
| 126 |
A |
5-(метоксиметил)-4-фенил-3,6-дигидропиридин-1(2H)-ил |
H |
400 |
| 127 |
A |
1,4,5,6-тетрагидробензо[f]изохинолин-3(2H)-ил |
H |
381,9 |
| 129 |
A |
4-(5-метокси-2-метилфенил)-3,6-дигидропиридин-1(2H)-ил |
H |
400,2 |
| 130 |
A |
4-(4-метокси-2-метилфенил)-3,6-дигидропиридин-1(2H)-ил |
H |
400,2 |
| 131 |
A |
4-циано-4-фенилпиперидин-1-ил |
H |
383,2 |
| 132 |
A |
4-фенил-3,6-дигидропиридин-1(2H)-ил |
Этоксикар- бонил |
426,1* |
| 133 |
A |
4-фенил-3,6-дигидропиридин-1(2H)-ил |
Пропионок- сикарбонил |
440,2* |
| 134 |
A |
4-фенил-3,6-дигидропиридин-1(2H)-ил |
Изопропионо- ксикарбонил |
440,2* |
| 135 |
A |
4-фенил-3,6-дигидропиридин-1(2H)-ил |
Изобутокси- карбонил |
454,2* |
| 136 |
A |
5-метил-4-фенил-3,6-дигидропиридин-1(2H)-ил |
H |
370 |
| 143 |
A |
1,4,4a,5,6,10b-гексагидробензо[f]изохинолин-3(2H)-ил |
H |
384,2 |
| 144 |
A |
4-(4-фторфенил)-3-гидроксипиперидин-1-ил |
H |
392,1 |
| 145 |
A |
3,3a,8,8a-тетрагидроинденo[1,2-c]пиррол-2(1H)-ил |
H |
356,1 |
| 146 |
A |
4-(4-фенил-1,3-тиазол-2-ил)пиперидин-1-ил |
H |
441,3 |
| 147 |
A |
4-(4-трет-бутил-1,3-тиазол-2-ил)пиперидин-1-ил |
H |
421,1 |
| 148 |
A |
4-метил-4-фенилпиперидин-1-ил |
H |
372,2 |
| 149 |
A |
4-(4-этил-1,3-тиазол-2-ил)пиперидин-1-ил |
H |
393,1 |
| 150 |
A |
3-метил-4-фенилпирролидин-1-ил |
H |
358,2 |
| 151 |
A |
4-(2-фторфенил)пиперазин-1-ил |
H |
377,2 |
| 152 |
A |
4-(3,5-диметилфенил)-3,6-дигидропиридин-1(2H)-ил |
Me |
398,1 |
| 153 |
A |
4-фенилпиперазин-1-ил |
тетрагидро-2H-пиран-4-оксикарбо- нил |
487,1 |
| 154 |
A |
4-фенилпиперазин-1-ил |
этоксикар- бонил |
431,2 |
| 155 |
A |
4-фенилпиперазин-1-ил |
метоксикар- бонил |
417,1 |
| 156 |
A |
4-пиразин-2-илпиперазин-1-ил |
H |
361,2 |
| 157 |
A |
4-хинолин-2-илпиперазин-1-ил |
H |
410,1 |
| 158 |
A |
3-(5,6,7,8-тетрагидронафталин-2-ил)пирролидин-1-ил |
H |
398,2 |
| 159 |
A |
(3R)-3-фенилпирролидин-1-ил |
Me |
358,1 |
| 160 |
A |
(3R)-3-фенилпирролидин-1-ил |
метоксикар-бонил |
402,1 |
| 161 |
A |
3-пиридин-3-илпирролидин-1-ил |
H |
345,1 |
| 162 |
A |
3-пиридин-2-илпирролидин-1-ил |
H |
345,1 |
| 163 |
A |
3-метил-3-фенилпирролидин-1-ил |
H |
358,2 |
| 164 |
A |
3-фенилазетидин-1-ил |
H |
330,3 |
| 165 |
A |
3-метил-3-фенилпирролидин-1-ил |
Me |
372,4 |
| 166 |
A |
3-фенилазетидин-1-ил |
Me |
344,4 |
| 168 |
A |
1,3,3a,4,5,9b-гексагидро-2H-бензо[e]изоиндол-2-ил |
H |
370,4 |
| 169 |
A |
3-(2-нафтил)пирролидин-1-ил |
H |
394,4 |
| 170 |
A |
4-(2-тиенил)-3,6-дигидропиридин-1(2H)-ил |
H |
362,1 |
| 171 |
A |
3-(3-тиенил)пирролидин-1-ил |
H |
350,1 |
| 172 |
A |
3-(2-тиенил)пирролидин-1-ил |
H |
350,2 |
| 173 |
A |
4-(2-тиенил)пиперидин-1-ил |
H |
364,1 |
| 174 |
A |
3-(2-метилфенил)пирролидин-1-ил |
H |
358,2 |
| 175 |
A |
3-(4-метилфенил)пирролидин-1-ил |
H |
358,2 |
| 176 |
A |
4-фенил-3,6-дигидропиридин-1(2H)-ил |
Ac |
396,2 |
| 177 |
A |
4-(3-тиенил)-3,6-дигидропиридин-1(2H)-ил |
H |
362,1 |
| 178 |
A |
3-фенилпиперидин-1-ил |
H |
358,2 |
| 179 |
A |
4-(3-тиенил)пиперидин-1-ил |
H |
364,1 |
| 180 |
A |
4-(3,5-диметилфенил)-3,6-дигидропиридин-1(2H)-ил |
Метоксикар- бонил |
442,2 |
| 181 |
A |
4-(3,5-диметилфенил)-3,6-дигидропиридин-1(2H)-ил |
Метансуль- фонил |
462,1 |
| 182 |
A |
4-(3,5-дифторфенил)-3,6-дигидропиридин-1(2H)-ил |
H |
392,2 |
| 183 |
A |
4-(3,5-дихлорфенил)-3,6-дигидропиридин-1(2H)-ил |
H |
424,1 |
| 184 |
A |
4-[3,5-бис(трифторметил)фенил]-3,6-дигидропиридин-1(2H)-ил |
H |
492,1 |
| 185 |
A |
4-фенилпиперазин-1-ил |
Метансуль- фонил |
437,2 |
| 186 |
A |
4-фенилпиперазин-1-ил |
формил |
387,2 |
| 187 |
A |
4-(3,5-дифторфенил)пиперидин-1-ил |
H |
394,2 |
| 188 |
A |
4-(2,5-диметилфенил)-3,6-дигидропиридин-1(2H)-ил |
H |
384,1 |
| 189 |
A |
4-(2,4,5-триметилфенил)-3,6-дигидропиридин-1(2H)-ил |
H |
398,2 |
| 190 |
A |
4-бифенил-3-илпиперидин-1-ил |
H |
434,2 |
| 191 |
A |
4-дибензо[b,d]фуран-4-илпиперидин-1-ил |
H |
448,2 |
| 192 |
A |
4-(2,5-диметилфенил)пиперидин-1-ил |
H |
386,2 |
| 193 |
A |
4-(2,4,5-триметилфенил)пиперидин-1-ил |
H |
400,2 |
| 194 |
A |
4-(3-метоксикарбонил-6-метилфенил)-3,6-дигидропиридин-1(2H)-ил |
H |
428,2 |
| 195 |
A |
5-фенил-2,3,4,7-тетрагидро-1H-азепин-1-ил |
H |
370,2 |
| 196 |
A |
4-[3-(диметиламино)фенил]-3,6-дигидропиридин-1(2H)-ил |
H |
399,2 |
| 197 |
A |
4-(3-метоксикарбонил-6-метилфенил)пиперидин-1-ил |
H |
430,2 |
| 198 |
A |
5-фенилазепан-1-ил |
H |
372,2 |
| 199 |
A |
4-[3-(диметиламино)фенил]пиперидин-1-ил |
H |
401,2 |
| 200 |
A |
4-(2-метилфенил)-3,6-дигидропиридин-1(2H)-ил |
H |
370,2 |
| 201 |
A |
3-фенил-2,5-дигидро-1H-пиррол-1-ил |
H |
342,1 |
| 202 |
A |
4-(4-циано-2-метилфенил)пиперидин-1-ил |
H |
397,2 |
| 203 |
A |
3,3-диметил-4-фенил-3,6-дигидропиридин-1(2H)-ил |
H |
384,1 |
| 204 |
A |
3,3-диметил-4-фенилпиперидин-1-ил |
H |
386,2 |
| 205 |
A |
3-фенил-2,5-дигидро-1H-пиррол-1-ил |
Метансуль- фонил |
420,2 |
| 206 |
A |
3-фенил-2,5-дигидро-1H-пиррол-1-ил |
Метокси- карбонил |
400,2 |
| 207 |
A |
3-фенил-2,5-дигидро-1H-пиррол-1-ил |
Me |
356,2 |
| 208 |
A |
4-(4-циано-3-метилфенил)пиперидин-1-ил |
H |
397,2 |
| 209 |
A |
4-[3-(бензилокси)фенил]-3,6-дигидропиридин-1(2H)-ил |
H |
462,2 |
| 210 |
A |
4-[3-этилфенил]-3,6-дигидропиридин-1(2H)-ил |
H |
384,1 |
| 211 |
A |
4-[3-(этилокси)фенил]-3,6-дигидропиридин-1(2H)-ил |
H |
400,1 |
| 212 |
A |
4-(3-этилфенил)пиперидин-1-ил |
H |
386,1 |
| 213 |
A |
4-(3-этоксифенил)пиперидин-1-ил |
H |
402,1 |
| 214 |
A |
4-(3-циклопропилфенил)-3,6-дигидропиридин-1(2H)-ил |
H |
396,2 |
| 215 |
A |
4-(4-метокси-3,5-диметилфенил)-3,6-дигидропиридин-1(2H)-ил |
H |
414,2 |
| 216 |
A |
4-(3,5-диметил-4-метоксифенил)пиперидин-1-ил |
H |
416,2 |
| 217 |
A |
4-(4-циано-3-этилфенил)-3,6-дигидропиридин-1(2H)-ил |
H |
409,2 |
| 218 |
A |
4-(4-циано-3-этилфенил)пиперидин-1-ил |
H |
411,2 |
| 219 |
A |
4-(4-циано-3,5-диметилфенил)-3,6-дигидропиридин-1(2H)-ил |
H |
409,2 |
| 220 |
A |
4-(4-циано-3,5-диметилфенил)пиперидин-1-ил |
H |
411,4 |
| 221 |
A |
4-(1,3-бензотиазол-6-ил)-3,6-дигидропиридин-1(2H)-ил |
H |
413,1 |
| 222 |
A |
4-(1-метил-1H-бензимидазол-6-ил)-3,6-дигидропиридин-1(2H)-ил |
H |
410,2 |
| 223 |
A |
4-(1-метил-1H-бензимидазол-6-ил)пиперидин-1-ил |
H |
412,3 |
| 224 |
A |
4-(4-циано-3-изопропилфенил)-3,6-дигидропиридин-1(2H)-ил |
H |
423,2 |
| 225 |
A |
4-(4-циано-3-изопропилфенил)пиперидин-1-ил |
H |
425,2 |
| 236 |
A |
4-(4-циано-3-этилфенил)-3,6-дигидропиридин-1(2H)-ил |
Me |
423,2 |
| 237 |
A |
4-(4-циано-3,5-диметилфенил)-3,6-дигидропиридин-1(2H)-ил |
Me |
423,2 |
| 238 |
A |
4-(1-этил-1H-бензимидазол-6-ил)-3,6-дигидропиридин-1(2H)-ил |
H |
424,3 |
| 239 |
A |
4-(1-метил-1H-индазол-5-ил)-3,6-дигидропиридин-1(2H)-ил |
H |
410,2 |
| 240 |
A |
4-(1-этил-1H-бензимидазол-6-ил)пиперидин-1-ил |
H |
426,2 |
| 241 |
A |
4-(1-метил-1H-индазол-5-ил)пиперидин-1-ил |
H |
412,2 |
| 242 |
A |
4-(1-этил-1H-индазол-5-ил)-3,6-дигидропиридин-1(2H)-ил |
H |
424,2 |
| 243 |
A |
4-(1-этил-1H-бензимидазол-6-ил)пиперидин-1-ил |
тетрагидро-2H-пиран-4-оксикарбо- нил |
554,3 |
| 244 |
A |
4-(1-этил-1H-бензимидазол-6-ил)-3,6-дигидропиридин-1(2H)-ил |
Метокси- карбонил |
482,2 |
| 245 |
A |
4-(1-этил-1H-бензимидазол-6-ил)-3,6-дигидропиридин-1(2H)-ил |
Метансуль- фонил |
502,2 |
| 246 |
A |
4-(1-этил-1H-бензимидазол-6-ил)пиперидин-1-ил |
Метоксикар- бонил |
484,2 |
| 247 |
A |
4-(1-этил-1H-бензимидазол-6-ил)пиперидин-1-ил |
Метансуль- фонил |
504,2 |
| 248 |
A |
4-(4-циано-2-метилфенил)пиперидин-1-ил |
Метансуль- фонил |
476,2 |
| 249 |
A |
4-(4-циано-2-метилфенил)пиперазин-1-ил |
Метокси- карбонил |
456,2 |
| 250 |
A |
4-(1-этил-1H-бензимидазол-6-ил)пиперазин-1-ил |
H |
427,5 |
| 251 |
A |
4-(1-этил-1H-бензимидазол-6-ил)пиперазин-1-ил |
Метокси- карбонил |
485,3 |
| 252 |
A |
4-(1-этил-1H-бензимидазол-6-ил)пиперазин-1-ил |
Метансуль- фонил |
505,2 |
| 253 |
A |
4-(4-циано-2-метилфенил)пиперазин-1-ил |
тетрагидро-2H-пиран-4-оксикарбо- нил |
526,3 |
| 254 |
A |
4-(1-этил-1H-бензимидазол-6-ил)пиперазин-1-ил |
тетрагидро-2H-пиран-4-оксикарбо- нил |
455,3 |
| 255 |
A |
3-метил-4-фенилпиперидин-1-ил |
H |
372,1 |
| 256 |
A |
5-(аминокарбонил)-4-фенил-3,6-дигидропиридин-1(2H)-ил |
H |
386,1 |
| 257 |
A |
4-(4-цианофенил)-5-метил-3,6-дигидропиридин-1(2H)-ил |
H |
395,2 |
| 258 |
A |
4-(4-цианофенил)-3-метилпиперидин-1-ил |
H |
397,1 |
| 259 |
A |
5-метил-4-(4-нитрофенил)-3,6-дигидропиридин-1(2H)-ил |
H |
415,2 |
| 260 |
A |
5-метил-4-(3-нитрофенил)-3,6-дигидропиридин-1(2H)-ил |
H |
415,1 |
| 262 |
A |
4-дибензо[b,d]фуран-2-ил-3,6-дигидропиридин-1(2H)-ил |
H |
446,1 |
| 263 |
A |
4-дибензо[b,d]фуран-2-илпиперидин-1-ил |
H |
448,1 |
| 264 |
A |
4-(3,3-диметил-2,3-дигидро-1-бензофуран-5-ил)-3,6-дигидропиридин-1(2H)-ил |
H |
426,1 |
| 265 |
A |
4-(3,3-диметил-2,3-дигидро-1-бензофуран-5-ил)пиперидин-1-ил |
H |
428,1 |
| 266 |
A |
3-фенил-2,5-дигидро-1H-пиррол-1-ил |
Изопропионо- ксикарбонил |
428,1 |
| 267 |
A |
3-фенил-2,5-дигидро-1H-пиррол-1-ил |
(3S)-тетрагидро-фуран-3-оксикарбо- нил |
456,1 |
| 268 |
A |
3-фенил-2,5-дигидро-1H-пиррол-1-ил |
Циклогексо- ксикарбонил |
468,2 |
| 269 |
A |
3-фенил-2,5-дигидро-1H-пиррол-1-ил |
тетрагидро-2H-пиран-4-оксикарбо- нил |
470,2 |
| 270 |
B |
4-фенилпиперазин-1-ил |
 |
358,2 |
| 271 |
B |
(3R)-3-фенилпирролидин-1-ил |
 |
343,3 |
| 272 |
B |
4-(2-метил-4-нитрофенил)пиперазин-1-ил |
 |
417,2 |
| 273 |
B |
4-фенил-3,6-дигидропиридин-1(2H)-ил |
 |
355,2 |
| 274 |
A |
4-фенилпиперазин-1-ил |
(3S)-тетрагидро- фуран-3-оксикарбо- нил |
473,2 |
| 275 |
A |
4-фенилпиперазин-1-ил |
(3R)-тетрагидро- фуран-3-оксикарбо- нил |
473,2 |
| 276 |
A |
4-фенилпиперазин-1-ил |
2-метоксиэто- ксикарбонил |
461,1 |
| 277 |
A |
4-фенилпиперазин-1-ил |
Фенилсуль- фонил |
499,1 |
| 278 |
A |
4-фенилпиперазин-1-ил |
Пропионо- ксикарбонил |
445,2 |
| 279 |
A |
4-фенилпиперазин-1-ил |
Изопропио- ноксикарбонил |
445,2 |
| 280 |
A |
4-(3,5-дифторфенил)-3,6-дигидропиридин-1(2H)-ил |
Метоксикар- бонил |
450,2 |
| 281 |
A |
4-(3,5-дифторфенил)-3,6-дигидропиридин-1(2H)-ил |
Метансуль- фонил |
470,2 |
| 282 |
A |
4-(4-изопропилфенил)пиперазин-1-ил |
H |
400,2 |
| 283 |
A |
4-(3,5-дифторфенил)пиперидин-1-ил |
Метансуль- фонил |
472,1 |
| 284 |
A |
4-(4,5-диметил-1,3-тиазол-2-ил)пиперидин-1-ил |
H |
393,1 |
| *М-H |
Способность новых соединений по настоящему изобретению ингибировать металлопротеазы можно определить, используя подходящие методы испытаний, например высокопроизводительные методы испытаний. Например, средство может быть испытано при помощи анализа внеклеточной ацидификации, анализа притока кальция, анализа связывания с лигандом или анализа хемотаксиса. Ниже приводятся примеры анализов.
Анализ TNF
В некоторых вариантах воплощения способность соединений по настоящему изобретению действовать как ингибиторы продуцирования TNF можно определить, используя следующую процедуру. 100 мкM раствор испытываемого ингибитора или его разведения инкубировали при 37° C в атмосфере 5% CO2 с клетками THP-1 (моноциты человека), суспендированными в среде RPM1 1640 и 20 мкM -меркаптоэтанола, при плотности клеток 1×106/мл и стимулировали при помощи LPS. Через 18 часов супернатант анализировали, определяя уровень TNF , используя коммерчески доступный набор ELISA. Активность в присутствии 0,1 мМ ингибитора или его разведений сравнивали с активностью в контрольном образце, не содержащем ингибитора, и результаты представляли в виде концентрации ингибитора, обеспечивающей 50% ингибирование продуцирования TNF .
Анализ PBMC для измерения активности TNF
Лейкофорез получали от (Biological Specialties, Colmar PA) нормальных, не получавших лекарственного средства (без аспирина, ибупрофена, NSAID) и т.д.) доноров. В 50-мл коническую пробирку (VWR, NJ) добавляли 20 мл крови и 20 мл стерильного 0,9% физиологического раствора (Baxter Healthcare, Dearfield, IL) и тщательно смешивали. Использовали подслой 10 мл не содержащих эндотоксина бляшек в растворе фикола (Pharmacia, Uppsala, Sweden) и вращение при 3000 об/мин в течение 30 минут. Удаляли слой лейкоцитов и промывали 50 мл 0,9% физиологического раствора. Клетки подсчитывали и добавляли 0,250 мл к 96-луночному планшету (Costar/Corning VWR, NJ) при 2×106 клеток/мл, в среде RPMI 1640 (Gibco BRL). Добавляли соединения и предварительно инкубировали с клетками в течение 10 мин до добавления LPS (Calbiochem, CA) при 1 мкг/мл в течение 5 часов. Собирали супернатант и анализировали на продуцирование TNF стандартным сэндвич-методом ELISA (R&D Systems, Minneapolis, MN). Ингибирующую активность соединений определяли относительно клеток, культивированных только с LPS.
Анализ активности Her-2 шеддазы
Клеточную линию рака молочной железы человека BT474 (ATCC, Manassas, Va) высевали при 2×104 клеток/лунка в 100 мл в 96-луночный планшет (Costar/Corning VWR, NJ) в среде RPMI 1640 (In Vitrogen, Carlsbad, CA), содержащей 10% фетальную сыворотку теленка (Hyclone, Lenexa, KS), и инкубировали в течение ночи при 37°C, 5% CO2. На следующее утро среду удаляли и снова добавляли свежую среду при 100 мл/лунка. Соединения добавляли в подходящих концентрациях и клетки инкубировали в течение 72 часов при 37°C, 5% CO2. Супернатант затем удаляли и либо анализировали сразу же, либо хранили при -20°C до ее использования в анализе. Супернатанты анализировали при разведении 1/20 на ингибирование Her-2 шеддазы, используя коммерческий ELISA (Oncogene Research, San Diego, CA)). Ингибирующую активность соединений определяли относительно клеток, культивированных без добавления соединения.
In Vitro анализы ADAM и ММP
За исключением ADAM17 и MT1-ММP, все рекомбинантные человеческие ММP и ADAM получали от R&D Systems (Minneapolis, MN). Их номера в каталоге следующие: ММP1 (901-MP), ММP2 (902-MP), ММP3 (513-MP), ММP7 (907-MP), ММP8 (908-MP), ММP9 (911-MP), ММP10 (910-MP), ММP12 (919-MP), ММP13 (511-ММ), ADAM9 (939-AD) и ADAM10 (936-AD). MT1-ММP получали от US Biological (SwaMPcott, MA), номер в каталоге M2429. ADAM17 свиньи получали из селезенки свиньи и очищали в лаборатории.
Флуорогенный пептидный субстрат, (7-метоксикумарин-4-ил)ацетил-Pro-Leu-Gly-Leu-(3-[2,4-динитрофенил]-L-2,3-диаминопропионил)-Ala-Arg-NH2, получали от R&D Systems, номер в каталоге ES001. Его использовали в качестве субстрата для ММP1, ММP2, ММP7, ММP8, ММP9, ММP12, ММP13 и MT1-ММP анализов. Флуорогенный пептидный субстрат, (7-метоксикумарин-4-ил)ацетил-Arg-Pro-Lys-Pro-Val-Glu-Nva-Trp-Arg-Lys(2,4-динитрофенил)-NH2, получали от R&D Systems, номер в каталоге ES002. Его использовали в качестве субстрата для ММP3 и ММP10 анализов. Флуорогенный пептидный субстрат, (7-метоксикумарин-4-ил)-ацетил-Pro-Leu-Ala-Gln-Ala-Val-(3-[2,4-динитрофенил]-L-2,3-диаминопропионил)-Arg-Ser-Ser-Ser-Arg-NH2, получали от R&D Systems, номер в каталоге ES003. Его использовали в качестве субстрата для ADAM9, ADAM10 и ADAM17 анализов.
Буферные условия для анализа: Как правило, буферные условия для анализа выбирают на основании полученной ферментативной активности. Конкретные буферные условия для анализа в общем представляли собой следующие. Для ММP1, ММP2, ММP3, ММP7 и ММP12 буфер для анализа содержал 50 мМ Tricine, 10 мМ NaCl, 10 мМ CaCl2, 1,0 мМ ZnCl2, pH 7,4. Для ММP8 и ММP13 буфер для анализа содержал 50 мМ Tricine, 10 мМ NaCl, 10 мМ CaCl2, 1,0 мМ ZnCl2, 0,001% Brij35, pH 7,4. Для ММP9 и ММP10 буфер для анализа содержал 50 мМ Tris-HCl, 150 мМ NaCl, 10 мМ CaCl2, 0,001% Brij35, pH 7,5. Для MT1-ММP буфер для анализа содержал 100 мМ Tris-HCl, 100 мМ NaCl, 10 мМ CaCl2, 0,001 Brij35, pH 7,5. Для ADAM9 буфер для анализа содержал 25 мМ Tris, 2,5 мкМ ZnCl2 и 0,001% Brij35, 0,1 мг/мл BSA, pH 9,0. Для ADAM10 буфер для анализа содержал 25 мМ Tris, 2,5 мкМ ZnCl2 и 0,005% Brij35, pH 9,0. Для ADAM17 буфер для анализа содержал 25 мМ Tris, 2,5 мкМ ZnCl2 и 0,001 Brij35, pH 9,0.
Для активации ферментов ММP 10 или 20 мкг лиофилизированных Pro-ММP растворяли в 100 мкл воды. К Pro-ММP добавляли 100 мМ исходного раствора ацетата п-аминофенилртути (APMA) в DMSO с получением конечной концентрации 1,0 мМ. Pro-ММP инкубировали с APMA при 37°С в течение времени, указанного ниже. Для ММP1, ММP7 и ММP8 время инкубации составляло 1 час. Для ММP10 и ММP13 время инкубации составляло 2 часа. Для ММP3 и ММP9 время инкубации составляло 24 часа.
В основном 5 мМ исходный раствор соединения получали в DMSO. Осуществляли 2-кратное серийное разведение исходя из определенной концентрации с получением планшета с соединением. 1,0 мкл соединения в DMSO переносили из планшета, содержащего соединение, в аналитический планшет. Раствор фермента получали в буфере для анализа с концентрацией, указанной ниже. Раствор субстрата получали в буфере для анализа с концентрацией 20 мкМ. 50 мкл раствора фермента добавляли в аналитический планшет. Аналитический планшет инкубировали в течение 5 минут. Затем в аналитический планшет добавляли 50 мкл раствора субстрата. Планшет защищали от света и инкубировали при комнатной температуре или 37°С в течение времени, указанного ниже. Реакцию останавливали добавлением 10 мкл 500 мМ раствора EDTA. Планшет считывали на планшетридере при возбуждении 320 нм и излучении 405 нм. Процент ингибирования рассчитывали для каждой концентрации и значение ИК50 получали путем построения кривой. Конкретные условия для каждого анализа были следующими: концентрация фермента ММP1 1000 нг/мл, комнатная температура, 1 час инкубации; концентрация фермента ММP2 200 нг/мл, комнатная температура, 1 час инкубациии; концентрация фермента ММP3 1000 нг/мл, комнатная температура, 1 час инкубации; концентрация фермента ММP7 100 нг/мл, комнатная температура, 1 час инкубации; концентрация фермента ММP8 500 нг/мл, комнатная температура, 2 часа инкубации; концентрация фермента ММP9 100 нг/мл, комнатная температура, 1 час инкубации; концентрация фермента ММP10 1000 нг/мл, комнатная температура, 2 часа инкубации; концентрация фермента ММP12 200 нг/мл, комнатная температура, 1 час инкубации; концентрация фермента ММP13 200 нг/мл, комнатная температура, 1,5 часа инкубации; концентрация фермента MT1-ММP 200 нг/мл, комнатная температура, 1 час инкубации; концентрация фермента ADAM9 4000 нг/мл, инкубация при 37°C в течение 6 часов; концентрация фермента ADAM10 700 нг/мл, инкубация при 37°C в течение 6 часов; концентрация фермента ADAM17 600 нг/мл, инкубация при 37°C в течение 1 часа.
Анализ ММP2
5 мМ исходный раствор соединения получали в DMSO. Планшет с соединением получали путем 2-кратного разведения для 11-точечной кривой с наивысшей концентрацией 500 мкМ. 1 мкл раствора соединения в DMSO переносили из планшета, содержащего соединение, в аналитический планшет. Раствор фермента получали в буфере для анализа с концентрацией 10 нг/50 мкл. Раствор субстрата получали в буфере для анализа с концентрацией 20 мкМ. 50 мкл раствора фермента добавляли в аналитический планшет. Аналитический планшет инкубировали в течение 5 минут. Затем в аналитический планшет добавляли 50 мкл раствора субстрата. Планшет защищали от света и инкубировали при комнатной температуре в течение 1 часа. Реакцию останавливали добавлением 10 мкл 500 мМ раствора EDTA. Планшет считывали на планшетридере при возбуждении 320 нм и излучении 405 нм.
Анализ ММP3
5 мМ исходный раствор соединения получали в DMSO. Планшет с соединением получали путем 2-кратного разведения для 11-точечной кривой с наивысшей концентрацией 500 мкМ. 1 мкл раствора соединения в DMSO переносили из планшета с соединением в аналитический планшет. Раствор фермента получали в буфере для анализа с концентрацией 50 нг/50 мкл. Раствор субстрата получали в буфере для анализа с концентрацией 20 мкМ. В аналитический планшет добавляли 50 мкл раствора фермента. Аналитический планшет инкубировали в течение 5 минут. В лунки, используемые для получения фоновых значений для сравнения, добавляли 10 мкл 500 мМ раствора EDTA. Затем в аналитический планшет добавляли 50 мкл раствора субстрата. Планшет защищали от света и инкубировали при комнатной температуре в течение 1 часа. Реакцию останавливали добавлением 10 мкл 500 мМ раствора EDTA. Планшет считывали на планшетридере при возбуждении 320 нм и излучении 405 нм.
Анализ ММP12
5 мМ исходный раствор соединения получали в DMSO. Планшет с соединением получали путем 2-кратного разведения для 11-точечной кривой с наивысшей концентрацией 500 мкМ. 1 мкл раствора соединения в DMSO переносили из планшета с соединением в аналитический планшет. Раствор фермента получали в буфере для анализа с концентрацией 10 нг/50 мкл. Субстрат, раствор ((7-метоксикумарин-4-ил)ацетил-Pro-Leu-Gly-Leu-(3-[2,4-динитрофенил]-L-2,3-диаминопропионил)-Ala-Arg-NH2), получали в буфере для анализа с концентрацией 20 мкМ. В аналитический планшет добавляли 50 мкл раствора фермента. Аналитический планшет инкубировали в течение 5 минут. В лунки, используемые для получения фоновых значений для сравнения, добавляли 10 мкл 500 мМ раствора EDTA. Затем в аналитический планшет добавляли 50 мкл раствора субстрата. Планшет защищали от света и инкубировали при комнатной температуре в течение 1 часа. Реакцию останавливали добавлением 10 мкл 500 мМ раствора EDTA. Планшет считывали на планшетридере при возбуждении 320 нм и излучении 405 нм.
Анализ ADAM10
5 мМ Исходный раствор соединения получали в DMSO. Планшет с соединением получали путем 2-кратного разведения для 11-точечной кривой с наивысшей концентрацией 500 мкМ. 1 мкл раствора соединения DMSO переносили из планшета с соединением в аналитический планшет. Раствор фермента получали в буфере для анализа с концентрацией 100 нг/50 мкл. Субстрат, раствор ((7-метоксикумарин-4-ил)ацетил-Pro-Leu-Ala-Gln-Ala-Val-(3-[2,4-динитрофенил]-L-2,3-диаминопропионил)-Arg-Ser-Ser-Ser-Arg-NH2), получали в буфере для анализа с концентрацией 20 мкМ. 50 мкл раствора фермента добавляли в аналитический планшет. Аналитический планшет инкубировали в течение 5 минут. Затем в аналитический планшет добавляли 50 мкл раствора субстрата. Планшет защищали от света и инкубировали при 37°С в течение 4 часов. Реакцию останавливали добавлением 10 мкл 500 мМ раствора EDTA. Планшет считывали на планшетридере при возбуждении 320 нм и излучении 405 нм.
Анализ ADAM15
ADAM15 можно анализировать таким же путем, как и ADAM10 (см., например, Fourie et al., J Biol Chem. 2003, 278(33), 30469-77). Кратко, пептидный субстрат, содержащий флуоресцетный краситель и гаситель флуоресценции, получали путем мечения одного конца флуоресцетным красителем, а другого конца гасящим красителем. Расщепление пептида под действием ADAM15 можно измерить по увеличению интенсивности флуоресценции в результате уменьшения пространственной близости гасящего красителя к флуоресцентному красителю.
Активность соединений
Соединения по настоящему изобретению имеют значение ИК50 в пределах от около 5 нМ до около 10 мкМ, определенное для целевого ингибирования при испытании с использованием, по меньшей мере, одного из указанных выше in vitro анализов.
Анализ In Vivo
Для измерения противоопухолевой активности ингибиторов металлопротеаз использовали как эстрогензависимые (MCF-7 и BT-474), так и независимые (MDA-MB-435) клеточные линии рака молочной железы человека в экспериментах с использованием ксенотрансплантата у иммунокомпрометированных мышей (BALB/c nude и SCID/bg). Опухоли BT-474 были получены из субклона родительских клеток BT-474 от ATCC (BT-474-SC1), которые выбирали на основании их повышенной способности к опухолеобразованию и скорости роста, и для простоты они указаны как BT-474. В моделях опухоли BT-474 и MCF-7 гранулы с замедленным высвобождением эстрогена (Innovative Research of America) вводили подкожно (s.c.) в бок каждой мыши за 24 часа до инокуляции опухолевых клеток. Для всех моделей указанное количество клеток объединяли с BD Matrigel в соотношении 1:1 непосредственно перед имплантацией. Через день после имплантации эстрогеновых гранул 2×107 BT-474 клеток вводили путем подкожной инъекции в верхнюю боковую часть каждой мыши. MCF-7 были образованы путем подкожной имплантации 5×106 клеток, вводимых путем инъекции подобным образом. Для опухолевых клеток MDA-MB-435 клетки 2×106 вводили путем подкожной инъекции в бок мышей BALB/c nude. Для всех моделей опухоли измеряли еженедельно и их объем рассчитывали по формуле [объем=(длина×ширина2):2]. После того как средний объем опухоли у требуемого количества мышей достигал нужной величины (обычно>150 мм3), мышей рандомизированно распределяли по группам обработки, включающим, как правило, от 6 до 10 мышей. Животных затем обрабатывали испытываемым соединением или носителем путем внутрибрюшинной или подкожной имплантации осмотического мининасоса на 7-28 дней для достижения контроля желаемого воздействия соединения путем изменения скорости течения, обеспечиваемой насосом, и/или концентрации соединения внутри насоса. Размер опухолей и масса тела (показатель здоровья животного) отслеживали еженедельно. Также брали образцы крови в период функционирования осмотических насосов и плазму отделяли (центрифугированием) и хранили при -80 С для последующего фармакокинетического анализа.
Способы лечения, дозы и композиции
Соединения по настоящему изобретению можно вводить млекопитающим, таким как человек, но их также можно вводить и другим млекопитающим, таким как животные, нуждающиеся в ветеринарной помощи, например домашние животные (например, собаки, кошки и т.п.), сельскохозяйственные животные (например, коровы, овцы, свиньи, лошади и т.п.) и лабораторные животные (например, крысы, мыши, морские свинки и т.п.). Млекопитающие, подлежащие лечению способами по настоящему изобретению, могут быть млекопитающими мужского или женского пола, у которых желательна модуляция активности металлопротеаз матрикса. Термин модуляция охватывает антагонизм, агонизм, частичный антагонизм и/или частичный агонизм.
В настоящем описании термин терапевтически эффективное количество означает количество рассматриваемого соединения, которое вызывает биологический или медицинский ответ ткани, системы, животного или человека, которого добивается исследователь, ветеринар, лечащий врач или другой клиницист.
Соединения по настоящему изобретению вводят в терапевтически эффективных количествах для лечения заболевания, например такого, как ревматоидный артрит. Терапевтически эффективное количество соединения представляет собой такое количество, которое обеспечивает ингибирование одного или нескольких процессов, опосредуемых металлопротеазами, у субъекта, страдающего заболеванием, связанным с аберрантной активность металлопротеаз. Альтернативно, терапевтически эффективное количество соединения представляет собой количество, необходимое для достижения желаемого терапевтического и/или профилактического эффекта, например количество, которое обеспечивает предотвращение заболевания или снижение симптомов, связанных с заболеванием, которое связано с аберрантной активностью металлопротеаз.
Настоящее изобретение обеспечивает способ лечения заболевания, связанного с нежелательной активностью металлопротеаз у млекопитающего. В некоторых вариантах воплощения нежелательная активность металлопротеаз связана с артритом, раком (таким как рак молочной железы, рак яичников, рак предстательной железы, немелкоклеточный рак легкого, рак толстой кишки, рак желудка, рак поджелудочной железы, глиома и т.п.), сердечно-сосудистыми заболеваниями, кожными заболеваниями, воспалительными или аллергическими состояниями. В других вариантах воплощения настоящее изобретение обеспечивает способ ингибирования патологических изменений, опосредованных повышенным уровнем металлопротеаз у млекопитающих.
Соединения, раскрытые в настоящей заявке, полезны для лечения заболеваний, патологических состояний и расстройств, связанных с активностью металлопротеаз, например, путем модуляции (например, такой как ингибирование или антагонизм) металлопротеаз, включая металлопротеазы матрикса (ММP), ADAM, ADAМ-TS и шеддазы, которые в патологических случаях могут вызывать разрушение матрикса, шеддинг ( слущивание ) поверхностно-клеточных белковых эктодоменов и/или синтез TNF. В следующих вариантах воплощения соединения по настоящему изобретению модулируют металлопротеазы матрикса (например, ММP12, ММP14, ММP3, ММP2 или ММP9), члены семейства ферментов ADAM, включая TNF -конвертазу, ADAM10, ADAM15, ADAM17, и шеддазы, такие как Her-2 шеддаза, связывающаяся с гепарином EGF шеддаза. Соединения по настоящему изобретению могут модулировать активность ферментов ADAM, которые, как считают, являются ответственными за высвобождение и шеддинг ( слущивание ) растворимых рецепторов (например, CD30 и рецепторов для TNF), молекул адгезии (например, L-селектин, ICAМ-1, фибронектин), факторов роста и цитокинов (например Fas лиганд, TGF- , EGF, HB-EGF, SCF IL-6, IL-1, TSH и М-CSF) и рецепторов факторов роста (например, членов семейства EGFR, таких как Her-2 и Her-4), которые вовлечены в патогенез различных типов рака, включая рак молочной железы, рак яичников, рак предстательной железы, немелкоклеточный рак легкого, рак толстой кишки, рак желудка, рак поджелудочной железы, глиому. Соответственно, соединения по настоящему изобретению могут быть полезны для лечения заболеваний и расстройств, связанных с активностью любой из указанных выше мишеней.
Заболевания или состояния человека или других видов, которые можно лечить при помощи модуляторов металлопротеаз по настоящему изобретению, включают, но не ограничиваются этим: воспалительные или аллергические заболевания и состояния, включая респираторные аллергические заболевания, такие как астма, аллергический ринит, аллергические легочные заболевания, аллергический пневмонит, эозинофильный целлюлит (например, синдром Well), эозинофильные пневмонии (например, синдром Loeffler, хроническая эозинофильная пневмония), эозинофильный фасцит (например, синдром Shulman), аллергическая реакция замедленного типа, интерстициальные легочные заболевания (ILD) (например, идиопатический фиброз легких, или ILD, связанный с ревматоидным артритом, системной красной волчанкой, анкилоизирующим спондилитом, системным склерозом, синдромом Sjogren, полимиозитом или дерматомиозитом); системную анафилаксию или аллергические реакции, аллергию на лекарственные средства (например, на пенициллин, цефалоспорины), синдром эозинофилии-миалгии, вызванный инъекцией неочищенного триптофана, аллергии на укусы насекомых; аутоиммунные заболевания, такие как ревматоидный артрит, псориатический артрит, рассеянный склероз, системная красная волчанка, тяжелая миастения, юношеский диабет; гломерулонефрит, аутоиммунный тироидит, болезнь Бехчета; отторжение трансплантата (например, при трансплантации), включая отторжение аллотрансплантата или болезнь трансплантат-против-хозяина; воспалительные заболевания кишечника, такие как болезнь Крона и язвенный колит; спондилоартропатии; склеродерму; псориаз (включая Т-клеточноопосредованный псориаз) и воспалительные дерматозы, такие как дерматит, экзема, атопический дерматит, аллергический контактный дерматит, крапивница; васкулит (например, некротизирующий, кожный и аллергический васкулит); эозинофильный миозит, эозинофильный фасциит; опухолевые заболевания, такие как рак молочной железы и типы рака с инфильтрацией лейкоцитов в кожу или органы. Можно лечить другие заболевания или состояния, где необходимо ингибировать нежелательные воспалительные реакции, включая, но не ограничиваясь этим, реперфузионные повреждения, атеросклероз, некоторые злокачественные гематологические заболевания, индуцированную цитокинами токсичность (например, септический шок, эндотоксический шок), полимиозит и дерматомиозит.
Соединения, представленные в настоящем изобретении, можно вводить в таких пероральных дозированных формах, как таблетки, капсулы (каждая из которых включает композицию с замедленным или рассчитанным по времени высвобождением), пилюли, порошки, гранулы, эликсиры, настойки, суспензии, сиропы и эмульсии. Их также можно вводить в форме для внутривенного (болюс или инфузия), внутрибрюшинного, подкожного или внутримышечного введения, и все такие используемые дозированные формы хорошо известны специалистам в области фармацевтики. Их можно вводить отдельно, но обычно вводят с фармацевтическим носителем, который выбирают в зависимости от выбранного пути введения и в соответствии со стандартной фармацевтической практикой.
Вводимые дозы для соединений по настоящему изобретению, конечно, меняются в зависимости от известных факторов, таких как фармакодинамические характеристики конкретного средства и способ его введения; метаболическая стабильность, скорость выведения из организма, комбинация с другими лекарственными средствами и длительность действия такого соединения; вид, возраст, пол, состояние здоровья, условия лечения и масса реципиента; характер и тяжесть симптомов; тип сопутствующего лечения; частота приема лекарственного средства; конкретный путь введения, функция почек и печени пациента и желаемый эффект. Лечащий врач или ветеринар может определить и назначить эффективное количество лекарственного средства, которое необходимо для предотвращения, замедления или остановки развития конкретного расстройства, которое необходимо лечить.
Как правило, суточная пероральная доза каждого активного ингредиента при использовании для получения указанных эффектов составляет от около 0,0001 до около 1000 мг/кг массы тела, предпочтительно от около 0,001 до около 100 мг/кг массы тела в день, и наиболее предпочтительно от около 0,1 до около 20 мг/кг/день. Для внутривенного применения наиболее предпочтительные дозы составляют от около 0,1 до около 10 мг/кг/минута при постоянной скорости вливания. Для перорального введения композиции предпочтительно поставляют в форме таблеток, содержащих от 1,0 до 1000 мг активного ингредиента, в частности, 1,0, 5,0, 10,0, 15,0, 20,0, 25,0, 50,0, 75,0, 100,0, 150,0, 200,0, 250,0, 300,0, 400,0, 500,0, 600,0, 750,0, 800,0, 900,0 и 1000,0 мг активного ингредиента для симптоматического регулирования дозы для пациента, подлежащего лечению. Соединения можно вводить по схеме 1-4 раза в день, предпочтительно один или два раза в день.
Соединения по настоящему изобретению также можно вводить в форме для интраназального введения путем местного применения подходящих интраназальных носителей или чрескожным путем, используя пластыри для чрескожного введения. При введении в форме чрескожных систем доставки схема введения дозы лекарственного средства, конечно, предполагает его непрерывное, а не прерывистое введение.
Соединения по настоящему изобретению типично вводят в смеси с подходящими фармацевтическими разбавителями, эксципиентами или носителями (обобщенно указаны в настоящем описании как фармацевтические носители), подходящим образом выбранными в зависимости от предполагаемой формы введения, т.е. пероральные таблетки, капсулы, эликсиры, сиропы и т.п., и в соответствии с традиционной фармацевтической практикой.
Например, для перорального введения в форме таблеток или капсул активный компонент лекарственного средства можно объединять с пероральным нетоксичным фармацевтически приемлемым инертным носителем, таким как лактоза, крахмал, сахароза, глюкоза, метилцеллюлоза, стеарат магния, дикальций фосфат, сульфат кальция, маннит, сорбит и т.п. Для перорального введения в жидкой форме компоненты перорального лекарственного средства можно объединять с пероральным, нетоксичным, фармацевтически приемлемым инертным носителем, таким как этанол, глицерин, вода и т.п. Кроме того, когда это желательно или необходимо, также можно включать в смесь подходящие связующие, лубриканты, дезинтегранты и красители. Подходящие связующие включают крахмал, желатин, природные сахара, такие как глюкоза или -лактоза, подсластители, природные и синтетические смолы, такие как аравийская камедь, трагакант или альгинат натрия, карбоксиметилцеллюлозу, полиэтиленгликоль, воски и т.п. Лубриканты, используемые в таких дозированных формах, включают олеат натрия, стеарат натрия, стеарат магния, бензоат натрия, ацетат натрия, хлорид натрия и т.п. Дезинтегранты включают, без ограничения, крахмал, метилцеллюлозу, агар, бентонит, ксантановую смолу и т.п.
Соединения по настоящему изобретению также могут поставляться для использования пациентом в виде липосомных систем доставки, таких как небольшие однослойные везикулы, крупные однослойные везикулы и многослойные везикулы. Липосомы можно получить из различных фосфолипидов, таких как холистерин, стеариламин или фосфатидилхолины.
Соединения по настоящему изобретению также можно связывать с растворимыми полимерами, используемыми в качестве носителей, доставляющих лекарственное средство к мишени. Такие полимеры могут включать поливинилпирролидон, coполимер пирана, полигидроксипропилметакриламидфенол, полигидроксиэтиласпартамидфенол или полиэтиленоксидполилизин, замещенный пальмитоиловыми остатками. Кроме того, соединения по настоящему изобретению можно связывать с классом биоразлагаемых полимеров, которые используют для обеспечения контролируемого высвобождения лекарственного средства, например полимолочной кислотой, полигликолевой кислотой, coполимерами полимолочной и полигликолевой кислоты, полиэпсилонкапролактоном, полигидроксимасляной кислотой, полиортоэфирами, полиацеталями, полидигидропиранами и сшитыми или амфипатическими блок-coполимерами гидрогелей.
Подходящие для введения дозированные формы для соединений по настоящему изобретению могут содержать от около 0,1 до около 100 мг активного ингредиента на единицу дозированной формы. В таких фармацевтических композициях активный ингредиент обычно присутствует в количестве примерно 0,5-95 мас.% в расчете на общую массу композиции.
Желатиновые капсулы также можно использовать в качестве дозированной формы, и они могут содержать активный ингредиент и порошкообразные носители, такие как лактоза, крахмал, производные целлюлозы, стеарат магния, стеариновая кислота и т.п. Подобные разбавители можно использовать для получения спрессованных таблеток. И таблетки, и капсулы можно изготавливать в виде продуктов замедленного высвобождения, обеспечивающих непрерывное высвобождение лекарственного средства в течение нескольких часов. Спрессованные таблетки могут иметь сахарное покрытие или пленочное покрытие, маскирующее какой-либо неприятный вкус и защищающее таблетку от атмосферного воздействия, или могут иметь энтеросолюбильное покрытие для селективного разложения в желудочно-кишечном тракте.
При использовании жидких дозированных форм для перорального введения они могут содержать краситель или отдушку, чтобы быть более привлекательными для пациента.
Как правило, подходящими носителями для парентеральных растворов являются вода, подходящее масло, физиологический раствор, водный раствор декстрозы (глюкозы) и соответствующие растворы сахаров и гликоли, такие как пропиленгликоль или полиэтиленгликоль. Растворы для парентерального введения предпочтительно содержат водорастворимую соль активного ингредиента, подходящие стабилизаторы и, если необходимо, буферные вещества. Подходящими стабилизаторами являются антиокислители, такие как бисульфит натрия, сульфит натрия или аскорбиновая кислота, используемые отдельно или в сочетании. Также используют лимонную кислоту и ее соли и натриевую соль EDTA. Кроме того, парентеральные растворы могут содержать консерванты, такие как бензaлконийхлорид, метил- или пропил-парабен и хлорбутанол. Подходящие фармацевтические носители описаны в Remington’s Pharmaceutical Sciences, Mack Publishing Company, стандартном справочнике в области фармакологии.
Фармацевтические композиции по настоящему изобретению могут быть также в форме эмульсий масло-в-воде. Масляная фаза может представлять собой растительное масло, например оливковое масло или арахисовое масло, или минеральное масло, например жидкий парафин, или смеси таких веществ. Подходящие эмульгаторы могут представлять собой природные смолы, например смола акации или смола трагаканта, природные фосфатиды, например соевые бобы, лецитин сложные эфиры или неполные сложные эфиры, полученные из жирных кислот и гекситангидридов, например, сорбитанмоноолеат, и продукты конденсации указанных неполных сложных эфиров с этиленоксидом, например полиоксиэтиленсорбитанмоноолеат. Эмульсии также могут содержать подсластители и отдушки.
Соединения по настоящему изобретению также можно вводить в форме суппозиториев для ректального введения лекарственного средства. Такие композиции можно получить смешиванием лекарственного средства с подходящим нераздражающим эксципиентом, который представляет собой твердое вещество при обычной температуре, но при ректальной температуре является жидким и поэтому расплавляется в прямой кишке, высвобождая лекарственное средство. Такие вещества представляют собой масло какао и полиэтиленгликоли.
Для местного введения используют кремы, мази, желе, растворы или суспензии и т.д., содержащие соединения по настоящему изобретению. Как использовано в данном описании, местное применение часто также предполагает растворы или жидкости для полоскания рта.
Фармацевтические композиции и способы по настоящему изобретению могут также включать другие терапевтически активные соединения, которые обычно применяют для лечения указанных выше патологических состояний.
Иллюстративными примерами фармацевтических дозированных форм, которые можно использовать для введения соединений по настоящему изобретению, являются следующие.
Капсулы
Большое количество отдельных капсул можно получить путем заполнения состоящих из двух частей твердых желатиновых капсул так, чтобы каждая содержала 50 мг порошкообразного активного ингредиента, 100 мг лактозы, 25 мг целлюлозы и 3 мг стеарата магния.
Мягкие желатиновые капсулы
Можно получить смесь активного ингредиента в пищевом масле, таком как соевое масло, хлопковое масло или оливковое масло, и ввести ее при помощи нагнетательного поршневого насоса в желатин с образованием мягких желатиновых капсул, содержащих 75 мг активного ингредиента. Капсулы следует промыть и высушить.
Таблетки
Таблетки можно получить с использованием традиционной процедуры так, чтобы дозированная единица содержала 75 мг активного ингредиента, 0,15 мг коллоидного диоксида кремния, 4 мг стеарата магния, 250 мг микрокристаллической целлюлозы, 9 мг крахмала и 75 мг лактозы. Можно наносить подходящие покрытия, хорошо известные специалистам в данной области, для улучшения вкуса и отсрочки абсорбции.
Формы для инъекций
Парентеральные композиции, подходящие для введения путем инъекции, можно получить путем перемешивания 1,0 мас.% активного ингредиента в 8% растворе (по объему) пропиленгликоля и воды. Раствор необходимо сделать изотоническим при помощи хлорида натрия и стерилизовать.
Суспензия
Водную суспензию для перорального введения можно получить таким образом, чтобы каждые 5 мл суспензии содержали 75 мг тонко измельченного активного ингредиента, 150 мг натриевой соли карбоксиметилцеллюлозы, 3,75 мг бензоата натрия, 0,75 г раствора сорбит, U.S.P. и 0,015 мл ванилина.
Все патенты, патентные заявки и публикации, на которые ссылаются в настоящей заявке, включены посредством ссылки во всей их полноте для всех целей и в том объеме, как если бы каждый отдельный патент, патентная заявка или публикация были отдельно указаны.
Несмотря на то что многие раскрытые в настоящей заявке формы настоящего изобретения составляют предпочтительные на данный момент варианты его воплощения, возможны и многие другие формы и другие детали предпочтительных вариантов воплощения, и другие возможные варианты воплощения не должны рассматриваться как его ограничение. Должно быть понятно, что используемые в настоящем описании термины являются лишь описательными, а не ограничительными, и что могут быть различные изменения и множество эквивалентов без отступления от существа и объема заявленного изобретения.
Формула изобретения
1. Соединение формулы I или II

 его энантиомер, диастереомер или фармацевтически приемлемая соль, где А представляет собой CWNHOH; В представляет собой СН2; G представляет собой СН2; D представляет собой кислород; Х представляет собой CH2NRb; Y представляет собой СН2; М представляет собой СО; U отсутствует или представляет собой NRb; V отсутствует или представляет собой фенил, или 4-10-членный гетероциклил, содержащий 1-2 гетероатома, выбранных из N и S, замещенный 0-5 группами Re; U’ отсутствует или представляет собой C1-10алкилен, О или их сочетания; V’ представляет собой Н, С1-8алкил, NRbRc, С6-10карбоциклил, замещенный 0-3 группами Re, или 5-14-членный гетероциклил, содержащий 1-3 гетероатома, выбранных из N, О и S, замещенный 0-4 группами Re; Ra и Re, каждый независимо, представляет собой Н, Т, С1-8алкилен-Т, C(O)NRa‘(CRb‘Rc‘)r-T, (CRb‘Rc‘)r-O-(CRb‘Rc‘)r-T, ОН, Cl, F, CN, NO2, NRIRII, COORIV, ORIV, CONRIRII, С1-8галогеналкил, С3-13карбоциклил; Rb и Rc, каждый независимо, представляет собой Н, Т, C1-6алкилен-Т, C(O)O(CRb‘Rc‘)r-Т, C(O)(CRb‘Rc‘)r-T, S(O)p(CRb‘Rc‘)r-T; Т представляет собой Н, С1-10алкил, замещенный 0-1 группами Rb‘; С3-6карбоциклил, 5-6-членный гетероциклил, содержащий один атом кислорода; Ra‘, Rb‘ и Rc‘, каждый независимо, представляет собой Н, ORIV или фенил; R1 представляет собой водород; R2 представляет собой водород; R3 представляет собой: (1) C1-10алкил; (ii) 4-14-членный гетероциклил, содержащий 1-3 атома азота, необязательно, замещенный одним или двумя заместителями, выбранными из C1-6алкила, OR13, 5-10-членного гетероциклила, содержащего 1-3 гетероатома, выбранных из N, О и S, или фенила; (iii) NR16R17; R4 представляет собой Н; R4′ представляет собой Н; R5′ представляет собой Н; W представляет собой кислород; R13 представляет собой C1-С6алкил; R16 и R17, каждый независимо, представляет собой C1-С10алкил или фенил, где каждый необязательно замещен одним С1-4алкилом; RI и RII, каждый, независимо, представляет собой Н или C1-6алкил; RIV представляет собой C1-6алкил; i равно 0; p равно 1 или 2 и r равно 0, 1 или 2; при условии, что a) спирокольцо представляет собой стабильную химическую структурную единицу и b) NR8 и NRb не содержат ни N-N, ни N-O связей.
2. Соединение по п.1 или его фармацевтически приемлемая соль, где А представляет собой C(O)NHOH.
3. Соединение по п.1 или его фармацевтически приемлемая соль, где R3 представляет собой NR16R17.
4. Соединение по п.1 или его фармацевтически приемлемая соль, где U отсутствует.
5. Соединение по п.1 или его фармацевтически приемлемая соль, где V представляет собой 4-10-членный гетероциклил с 1-2 гетероатомами, выбранными из N и S, замещенный 0-5 группами Re.
6. Соединение по п.1 или его фармацевтически приемлемая соль, где V представляет собой азетидин-1-ил, 2,5-дигидро-1Н-пиррол-1-ил, пиперидин-1-ил, пиперазин-1-ил, пирролидин-1-ил, изохинол-2-ил, пиридин-1-ил, 3,6-дигидропиридин-1-ил, 2,3-дигидроиндол-1-ил, 1,3,4,9-тетрагидрокарболин-2-ил, тиено[2,3-с]пиридин-6-ил, 3,4,10,10а-тетрагидро-1Н-пиразино[1,2-а]индол-2-ил, 1,2,4,4а,5,6-гексагидропиразино[1,2-а]хинолин-3-ил, пиразино[1,2-а]хинолин-3-ил, диазепан-1-ил, 1,4,5,6-тетрагидро-2Н-бензо[f]изохинолин-3-ил, 1,4,4а,5,6,10b-гексагидро-2Н-бензо[f]изохинолин-3-ил, 3,3а,8,8а-тетрагидро-1Н-2-азациклопента[а]инден-2-ил или 2,3,4,7-тетрагидро-1Н-азепин-1-ил, азепан-1-ил.
7. Соединение по п.1 или его фармацевтически приемлемая соль, где U’ отсутствует или представляет собой О или C1-10алкилен.
8. Соединение по п.1 или его фармацевтически приемлемая соль, где U’ отсутствует.
9. Соединение по п.1 или его фармацевтически приемлемая соль, где V’ представляет собой С6-10карбоциклил, замещенный 0-3 группами Re, или 5-14-членный гетероциклил, содержащий 1-3 гетероатома, выбранных из N, О и S, замещенный 0-4 группами Re.
10. Соединение по п.1 или его фармацевтически приемлемая соль, где V’ представляет собой С6-10карбоциклил, замещенный 0-3 группами Re.
11. Соединение по п.1 или его фармацевтически приемлемая соль, где V’ представляет собой фенил, замещенный 0-3 группами Re.
12. Соединение по п.1 или его фармацевтически приемлемая соль, где V’ представляет собой фенил, замещенный 0-2 Т, С1-8алкилен-Т, (CRb‘Rc‘)r-O-(CRb‘Rc‘)r-T, Cl, F, CN, NO2, ORIV или CONRIRII.
13. Соединение по п.1 или его фармацевтически приемлемая соль, где V’ представляет собой фенил.
14. Соединение по п.1 или его фармацевтически приемлемая соль, где V’ представляет собой 5-14-членный гетероциклил, содержащий 1-3 гетероатома, выбранных из N, О и S, замещенный 0-4 группами Re.
15. Соединение по п.1 или его фармацевтически приемлемая соль, где V’ представляет собой тиазолил, бензотиазолил, тиенил, хинолинил, пиридинил, пиразинил, бензимидазолил, индазолил, 3,6-дигидропиридинил, пиперидинил или 2,3-дигидробензофуран-5-ил.
16. Соединение по п.1 или его фармацевтически приемлемая соль, где U’ представляет собой О или C1-10алкилен, и V’ представляет собой С6-10карбоциклил, замещенный 0-3 группами Re, или 5-14-членный гетероциклил, содержащий 1-3 гетероатома, выбранных из N, О и S, замещенный 0-4 группами Re.
17. Соединение по п.1 или его фармацевтически приемлемая соль, где М представляет собой СО, U отсутствует, V представляет собой 4-10-членный гетероциклил, замещенный 0-5 группами Re, U’ отсутствует, и V’ представляет собой С6-10карбоциклил, замещенный 0-3 группами Re, или 5-14-членный гетероциклил, содержащий 1-3 гетероатома, выбранных из N, О и S, замещенный 0-4 группами Re.
18. Соединение по п.1 или его фармацевтически приемлемая соль, где М представляет собой СО, U отсутствует, V отсутствует, U’ отсутствует и V’ представляет собой NRbRc.
19. Соединение по п.1 или его фармацевтически приемлемая соль, где Rb и Rc, каждый, независимо, представляет собой Н, C1-6алкилен-Т, C(O)O(CRb‘Rc‘)r-T, C(O)(CRb‘Rc‘)r-T или S(O)p(CRb‘Rc‘)r-T.
20. Соединение по п.1 или его фармацевтически приемлемая соль, где Rb и Rc, каждый, независимо, представляет собой Н, С1-4алкил, C(O)O(CRb‘Rc‘)r-T или S(O)p(CRb‘Rc‘)r-T.
21. Соединение по п.1 или его фармацевтически приемлемая соль, где Rb представляет собой Н, С1-4алкил, C(O)(CRb‘Rc‘)r-T, C(O)O(CRb‘Rc‘)r-T или S(O)p(CRb‘Rc‘)r-T.
22. Соединение по п.1 или его фармацевтически приемлемая соль, где Rb представляет собой Н.
23. Соединение по п.1 или его фармацевтически приемлемая соль, где Rb представляет собой С1-4алкил.
24. Соединение по п.1 или его фармацевтически приемлемая соль, где Rb представляет собой C(O)(CRb‘Rc‘)r-T.
25. Соединение по п.1 или его фармацевтически приемлемая соль, где Rb представляет собой C(O)O(CRb‘Rc‘)r-T.
26. Соединение по п.1 или его фармацевтически приемлемая соль, где Rb представляет собой S(O)p(CRb‘Rc‘)r-T.
27. Соединение по п.1, где Rc представляет собой Н или С1-4алкил.
28. Соединение по п.1 или его фармацевтически приемлемая соль, где Re представляет собой Н, Т, С1-8алкилен-Т, C(O)NRa‘(CRb‘Rc‘)r-T, (CRb‘Rc‘)r-O-(CRb‘Rc‘)r-T, ОН, Cl, F, CN, NO2, ORIV, NRIRII, CONRIRII, С1-8галогеналкил, С3-6карбоциклил.
29. Соединение по п.1 или его фармацевтически приемлемая соль, где Re представляет собой Н, C1-6алкил, ОН, Cl, F, CN, NO2, метокси, этокси, н-пропокси, изопропокси, фенокси, бензилокси, амино, (С1-4алкил)амино, (С2-8)диалкиламино, CONH2, CONH(С1-4алкил), CON(С1-4алкил)2, C1-6галогеналкил, фенил, циклопропил, циклобутил, циклопентил, циклогексил, циклогептил, бензил или фенетил.
30. Соединение по п.1 или его фармацевтически приемлемая соль, имеющее формулу II.
31. Соединение по п.1 или его фармацевтически приемлемая соль, имеющее формулу II, где А представляет собой CWNHOH, В представляет собой СН2; G представляет собой СН2; Х представляет собой CH2NRb; Y представляет собой СН2; М представляет собой СО; U отсутствует или представляет собой NRb; V отсутствует или представляет собой фенил, или 4-10-членный гетероциклил, содержащий 1-2 гетероатома, выбранных из N и S, замещенный 0-5 группами Re; U’ отсутствует или представляет собой C1-10алкилен или О; V’ представляет собой Н, С1-8алкил, NRbRc, С6-10карбоциклил, замещенный 0-3 группами Re, или 5-14-членный гетероциклил, содержащий 1-3 гетероатома, выбранных из N, О и S, замещенный 0-4 группами Re; R1 представляет собой водород; R2 представляет собой водород; R3 представляет собой NR16R17; R4‘ представляет собой Н; R5‘ представляет собой Н; и W представляет собой кислород.
32. Соединение по п.1 или его фармацевтически приемлемая соль, имеющее формулу II, где А представляет собой C(O)NHOH; В представляет собой СН2; G представляет собой СН2; Х представляет собой CH2NRb; М представляет собой СО; U отсутствует; V отсутствует или представляет собой фенил, или 4-10-членный гетероциклил, содержащий 1-2 гетероатома, выбранных из N и S, замещенный 0-5 группами Re; U’ отсутствует или представляет собой С1-10алкилен или О; V’ представляет собой Н, С1-8алкил, NRbRc, С6-10карбоциклил, замещенный 0-3 группами Re, или 5-14-членный гетероциклил, содержащий 1-3 гетероатома, выбранных из N, O и S, замещенный 0-4 группами Re; Rb и Rc, каждый независимо, представляет собой Н, C(O)O(CRb‘Rc‘)r-T или S(O)p(CRb‘Rc‘)r-T; R1 представляет собой водород; R2 представляет собой водород; R3 представляет собой NR16R17; R4‘ представляет собой Н; и R5‘ представляет собой Н.
33. Соединение по п.1 или его фармацевтически приемлемая соль, имеющее формулу II, где А представляет собой C(O)NHOH; В представляет собой СН2; G представляет собой СН2; Х представляет собой CH2NRb; Y представляет собой СН2; М представляет собой СО; U отсутствует; V отсутствует или представляет собой фенил, или 4-10-членный гетероциклил, содержащий 1-2 гетероатома, выбранных из N и S, замещенный 0-5 группами Re; U’ отсутствует или представляет собой C1-10алкилен или О; V’ представляет собой Н, С1-8алкил, NRbRc, С6-10карбоциклил, замещенный 0-3 группами Re, или 5-14-членный гетероциклил, содержащий 1-3 гетероатома, выбранных из N, О и S, замещенный 0-4 группами Re; Rb и Rc, каждый независимо представляет собой Н, C(O)O(CRb‘Rc‘)r-T или S(O)p(CRb‘Rc‘)r-T; Ra‘ представляет собой Н; Rb‘ и Rc‘, каждый независимо представляет собой Н; R1 представляет собой водород; R2 представляет собой водород; R4‘ представляет собой Н; R5‘ представляет собой Н; и r равно 0, 1 или 2.
34. Соединение по п.1 или его фармацевтически приемлемая соль, имеющее формулу II, где А представляет собой CONHOH; В представляет собой СН2; G представляет собой СН2; Х представляет собой CH2NRb; Y представляет собой СН2; М представляет собой СО; U отсутствует; V представляет собой 4-10-членный гетероциклил, содержащий 1-2 гетероатома, выбранных из N и S, замещенный 0-5 группами Re; U’ отсутствует или представляет собой C1-10алкилен или О; V’ представляет собой Н, С1-8алкил, NRbRc, С6-10карбоциклил, замещенный 0-3 группами Re, или 5-14-членный гетероциклил, содержащий 1-3 гетероатома, выбранных из N, О и S, замещенный 0-4 группами Re; Rb представляет собой Н, C(O)O(CRb‘Rc‘)r-T или S(O)p(CRb‘Rc‘)r-T; Rc представляет собой Н, Т или C1-6алкилен-Т; Ra‘ представляет собой Н; Rb‘ и Rc‘, каждый независимо представляет собой Н; R1 представляет собой водород; R2 представляет собой водород; R4‘ представляет собой Н; R5‘ представляет собой Н; и r равно 0, 1 или 2.
35. Соединение по п.1 или его фармацевтически приемлемая соль, имеющее формулу II, где А представляет собой CONHOH; В представляет собой СН2; G представляет собой CH2; X представляет собой CH2NRb; Y представляет собой СН2; М представляет собой СО; U отсутствует; V представляет собой азетидин-1-ил, 2,5-дигидро-1Н-пиррол-1-ил, пиперидин-1-ил, пиперазин-1-ил, пирролидин-1-ил, изохинол-2-ил, пиридин-1-ил, 3,6-дигидропиридин-1-ил, 2,3-дигидроиндол-1-ил, 1,3,4,9-тетрагидрокарболин-2-ил,тиено[2,3-с]пиридин-6-ил, 3,4,10,10а-тетрагидро-1Н-пиразино[1,2-а]индол-2-ил, 1,2,4,4а,5,6-гексагидропиразино[1,2-а]хинолин-3-ил, пиразино [1,2-а]хинолин-3-ил, диазепан-1-ил, 1,4,5,6-тетрагидро-2Н-бензо[f]изохинолин-3-ил, 1,4,4а,5,6,10b-гексагидро-2Н-бензо[f]изохинолин-3-ил, 3,3а,8,8а-тетрагидро-1Н-2-азациклопента[а]инден-2-ил или 2,3,4,7-тетрагидро-1Н-азепин-1-ил, азепан-1-ил; U’ отсутствует; V’ представляет собой С6-10карбоциклил, замещенный 0-3 группами Re; Rb представляет собой Н, C(O)O(CRb‘Rc‘)r-T или C(O)(CRb‘Rc‘)r-T; Ra‘ представляет собой Н; Rb‘ и Rc‘ оба представляют собой Н; R1 представляет собой водород; R2 представляет собой водород; R4‘ представляет собой Н; R5‘ представляет собой Н; и r равно 0, 1 или 2.
36. Соединение по п.1 или его фармацевтически приемлемая соль, имеющее формулу II, где А представляет собой CONHOH; В представляет собой СН2; G представляет собой СН2; Х представляет собой CHaNRb; Y представляет собой СН2; М представляет собой СО; U отсутствует; V представляет собой пиперидин-1-ил, пиперазин-1-ил, пирролидин-1-ил, пиридин-1-ил или 3,6-дигидропиридин-1-ил; U’ отсутствует; V’ представляет собой С6-10 арил, замещенный 0-3 группами Re; Rb представляет собой Н, C(O)O(CRb‘Rc‘)r-T или C(O)(CRb‘Rc‘)r-T; Rb‘ и Rc‘ оба представляют собой Н; R1 представляет собой водород; R2 представляет собой водород; R4‘ представляет собой Н; R5‘ представляет собой Н; и r имеет значение 0, 1 или 2.
37. Соединение по п.1 или его фармацевтически приемлемая соль, имеющее формулу II, где А представляет собой CONHOH; В представляет собой СН2; G представляет собой СН2; Х представляет собой CH2NRb; Y представляет собой СН2; М представляет собой СО; U отсутствует; V представляет собой пиперидин-1-ил, пиперазин-1-ил, пирролидин-1-ил, пиридин-1-ил или 3,6-дигидропиридин-1-ил; U’ отсутствует; V’ представляет собой фенил, замещенный 0-3 Re; Rb представляет собой Н, C(O)O(CRb‘Rc‘)r-T или C(O)(CRb‘Rc‘)r-T; Rb‘ и Rc‘ оба представляют собой Н; R1 представляет собой водород; R2 представляет собой водород; R4‘ представляет собой Н; R5‘ представляет собой Н; и r имеет значение 0, 1 или 2.
38. Соединение по п.1, выбранное из группы, включающей: N-гидрокси-5-метил-6-{[4-(3-метилфенил)пиперазин-1-ил]карбонил}-5-азаспиро[2,5]октан-7-карбоксамид; N-гидрокси-5-метил-6-[(4-фенилпиперазин-1-ил)карбонил]-5-азаспиро[2,5]октан-7-карбоксамид; N-гидрокси-5-метил-6-({4-[3-(трифторметил)фенил]пиперазин-1-ил}карбонил)-5-азаспиро[2,5]октан-7-карбоксамид; N-гидрокси-5-метил-6-{[4-(2-метилфенил)пиперазин-1-ил]карбонил}-5-азаспиро[2,5]октан-7-карбоксамид; 6-{[4-(4-хлорфенил)пиперазин-1-ил]карбонил}-N-гидрокси-5-метил-5-азаспиро[2,5]октан-7-карбоксамид; N-гидрокси-5-метил-6-{[4-(2-метил-4-нитрофенил)пиперазин-1-ил]карбонил}-5-азаспиро[2,5]октан-7-карбоксамид; N-гидрокси-5-метил-6-[(4-фенилпиперидин-1-ил)карбонил]-5-азаспиро[2,5]октан-7-карбоксамид; N-гидрокси-6-[(4-гидрокси-4-фенилпиперидин-1-ил)карбонил]-5-метил-5-азаспиро[2,5]октан-7-карбоксамид; N-гидрокси-5-метил-6-[(4-фенил-3,6-дигидропиридин-1(2Н)-ил)карбонил]-5-азаспиро[2,5]октан-7-карбоксамид; N-гидрокси-5-метил-6-[(4-хинолин-2-илпиперазин-1-ил)карбонил]-5-азаспиро[2,5]октан-7-карбоксамид; 6-{[4-(2,3-дихлорфенил)пиперазин-1-ил]карбонил}-N-гидрокси-5-метил-5-азаспиро[2,5]октан-7-карбоксамид; N-гидрокси-5-метил-6-[(4-хинолин-4-илпиперазин-1-ил)карбонил]-5-азаспиро[2,5]октан-7-карбоксамид; N-гидрокси-6-метил-6-{[4-(2-метилхинолин-4-ил)пиперазин-1-ил]карбонил}-5-азаспиро[2,5]октан-7-карбоксамид; N-гидрокси-5-метил-6-{[4-(2-фенилэтил)пиперазин-1-ил]карбонил}-5-азаспиро[2,5]октан-7-карбоксамид; N-гидрокси-5-метил-6-[(4-пиридин-4-илпиперидин-1-ил)карбонил]-5-азаспиро[2,5]октан-7-карбоксамид; N-гидрокси-5-метил-6-{[4-(4-нитрофенил)пиперазин-1-ил]карбонил}-5-азаспиро[2,5]октан-7-карбоксамид; N-гидрокси-6-{[4-(2-метоксифенил)пиперазин-1-ил]карбонил}-5-метил-5-азаспиро[2,5]октан-7-карбоксамид; N-гидрокси-5-метил-6-[(4-феноксипиперидин-l-ил)карбонил]-5-азаспиро[2,5]октан-7-карбоксамид; 6-(3,4-дигидроизохинолин-2(1Н)-илкарбонил)-N-гидрокси-5-метил-5-азаспиро[2,5]октан-7-карбоксамид; 6-(4,7-дигидротиено[2,3-с]пиридин-6(5Н)-илкарбонил)-N-гидрокси-5-метил-5-азаспиро[2,5]октан-7-карбоксамид; 6-[(3-бензилпирролидин-1-ил)карбонил]-N-гидрокси-5-метил-5-азаспиро[2,5]октан-7-карбоксамид; N-гидрокси-5-метил-6-[(4-пиридин-2-илпиперазин-1-ил)карбонил]-5-азаспиро[2,5]октан-7-карбоксамид; N-гидрокси-5-метил-6-{[4-(2-пиридин-4-илэтил)пиперидин-1-ил]карбонил}-5-азаспиро[2,5]октан-7-карбоксамид; N-гидрокси-5-метил-6-({4-[5-(трифторметил)пиридин-2-ил]пиперазин-1-ил}карбонил)-5-азаспиро[2,5]октан-7-карбоксамид; N-гидрокси-5-метил-6-({4-[3-(трифторметил)пиридин-2-ил]пиперазин-1-ил}карбонил)-5-азаспиро[2,5]октан-7-карбоксамид; 6-(1,4′-бипиперидин-1′-илкарбонил)-N-гидрокси-5-метил-5-азаспиро[2,5]октан-7-карбоксамид; N-гидрокси-5-метил-6-{[4-(пиридин-2-илметил)пиперазин-1-ил]карбонил}-5-азаспиро[2,5]октан-7-карбоксамид; N-гидрокси-5-метил-6-{[4-(пиридин-4-илметил)пиперазин-1-ил]карбонил}-5-азаспиро[2,5]октан-7-карбоксамид; N-гидрокси-5-метил-6-{[4-(пиридин-3-илметил)пиперазин-1-ил]карбонил}-5-азаспиро[2,5]октан-7-карбоксамид; N-гидрокси-5-метил-6-{[4-(2-метилфенил)-3,6-дигидропиридин-1(2Н)-ил]карбонил}-5-азаспиро[2,5]октан-7-карбоксамид; N-гидрокси-6-{[4-(3-метилфенил)пиперазин-1-ил]карбонил}-5-азаспиро[2,5]октан-7-карбоксамид; N-гидрокси-5-метил-6-(1,3,4,9-тетрагидро-2Н- -карболин-2-илкарбонил)-5-азаспиро[2,5]октан-7-карбоксамид; N-гидрокси-5-метил-6-[(9-метил-1,3,4,9-тетрагидро-2Н- -карболин-2-ил)карбонил]-5-азаспиро[2,5]октан-7-карбоксамид; 6-{[4-(2-фторфенил)-3,6-дигидропиридин-1(2Н)-ил]карбонил}-N-гидрокси-5-метил-5-азаспиро[2,5]октан-7-карбоксамид; 6-{[4-(2-хлорфенил)-3,6-дигидропиридин-1(2Н)-ил]карбонил}-N-гидрокси-5-метил-5-азаспиро[2,5]октан-7-карбоксамид; 6-{[4-(4-нитрофенил)-3,6-дигидропиридин-1(2Н)-ил]карбонил}-N-гидрокси-5-метил-5-азаспиро[2,5]октан-7-карбоксамид; 6-{[4-фенил-3,6-дигидропиридин-1(2Н)-ил]карбонил}-N-гидрокси-5-метил-5-азаспиро[2,5]октан-7-карбоксамид; 6-{[4-(2-метил-4-нитрофенил)-3,6-дигидропиридин-1(2Н)-ил]карбонил}-N-гидрокси-5-метил-5-азаспиро[2,5]октан-7-карбоксамид; N(7)-гидрокси-N(6),5-диметил-N(6)-(3-фенилпропил)-5-азаспиро[2,5]октан-6,7-дикарбоксамид; N(7)-гидрокси-N(6)-изобутил-5-метил-5-азаспиро[2,5]октан-6,7-дикарбоксамид; N-гидрокси-5-метил-6-{[4-(2-нитрофенил)пиперазин-1-ил]карбонил}-5-азаспиро[2,5]октан-7-карбоксамид; N(7)-гидрокси-N(6)-изобутил-N(6),5-диметил-5-азаспиро[2,5]октан-6,7- дикарбоксамид; N(7)-гидрокси-5-метил-N(6)-(2-феноксиэтил)-5-азаспиро[2,5]октан-6,7-дикарбоксамид; N(7)-гидрокси-N(6)-[2-(4-метоксифенил)этил]-5-метил-5-азаспиро[2,5]октан-6,7-дикарбоксамид; N(7)-гидрокси-5-метил-N(6)-(4-фенилбутил)-5-азаспиро[2,5]октан-6,7-дикарбоксамид; N(7)-гидрокси-5-метил-N(6)-[3-(2-оксопирролидин-1-ил)пропил]-5-азаспиро[2,5]октан-6,7-дикарбоксамид; N-гидрокси-5-метил-6-[(10а)-3,4,10,10а-тетрагидропиразино[1,2-а]индол-2(1Н)-илкарбонил]-5-азаспиро[2,5]октан-7-карбоксамид; N-гидрокси-6-(3,4,10,10а-тетрагидропиразино[1,2-а]индол-2(1Н)-илкарбонил)-5-азаспиро[2,5]октан-7-карбоксамид; 6-(1,2,4,4а,5,6-гексагидро-3Н-пиразино[1,2-а]хинолин-3-илкарбонил)-N-гидрокси-5-метил-5-азаспиро[2,5]октан-7-карбоксамид; метил-7-[(гидроксиамино)карбонил]-6-[(4-фенил-3,6-дигидропиридин-1(2Н)-ил)карбонил]-5-азаспиро[2,5]октан-5-карбоксилат; бензил-7-[(гидроксиамино)карбонил]-6-[(4-фенил-3,6-дигидропиридин-1(2Н)-ил)карбонил]-5-азаспиро[2,5]октан-5-карбоксилат; N-гидрокси-5-(метилсульфонил)-6-[(4-фенил-3,6-дигидропиридин-1(2Н)-ил)карбонил]-5-азаспиро[2,5]октан-7-карбоксамид; N-гидрокси-6-{[3-(3-метоксифенил)пиперидин-1-ил]карбонил}-5-метил-5-азаспиро[2,5]октан-7-карбоксамид; N-гидрокси-5-метил-6-{[3-(2-фенилэтил)пирролидин-1-ил]карбонил}-5-азаспиро[2,5]октан-7-карбоксамид; N-гидрокси-6-{[4-(3-метоксифенил)пиперидин-1-ил]карбонил}-5-метил-5-азаспиро[2,5]октан-7-карбоксамид; 6-{[4-[3-(аминокарбонил)фенил]-3,6-дигидропиридин-1(2Н)-ил]карбонил}-N-гидрокси-5-азаспиро[2,5]октан-7-карбоксамид; N-гидрокси-6-{[4-(2-метоксифенил)пиперидин-1-ил]карбонил}-5-метил-5-азаспиро[2,5]октан-7-карбоксамид; 6-{[4-(3-фтор-2-метилфенил)пиперазин-1-ил]карбонил}-N-гидрокси-5-азаспиро[2,5]октан-7-карбоксамид; N-гидрокси-6-{[4-(2-метил-3-нитрофенил)пиперазин-1-ил]карбонил}-5-азаспиро[2,5]октан-7-карбоксамид; 6-(3′,6′-дигидро-3,4′-бипиридин-1′(2’Н)-илкарбонил)-N-гидрокси-5-азаспиро[2,5]октан-7-карбоксамид; N(7)-гидрокси-N(6)-(4-метоксифенил)-N(6)-метил-5-азаспиро[2,5]октан-6,7-дикарбоксамид; N-гидрокси-6-{[4-(3-метоксифенил)пиперазин-1-ил]карбонил}-5-метил-5-азаспиро[2,5]октан-7-карбоксамид; 6-{[4-(3-хлорфенил)пиперазин-1-ил]карбонил}-N-гидрокси-5-метил-5-азаспиро[2,5]октан-7-карбоксамид; N-гидрокси-6-[(4-фенил-1,4-диазепан-1-ил)карбонил]-5-азаспиро[2,5]октан-7-карбоксамид; N-гидрокси-6-{[3-метил-4-(3-метилфенил)пиперазин-1-ил]карбонил}-5-азаспиро[2,5]октан-7-карбоксамид; N-гидрокси-6-{[4-(3-метоксифенил)пиперидин-1-ил]карбонил}-5-азаспиро[2,5]октан-7-карбоксамид; N-гидрокси-6-[(4-изобутирилпиперазин-1-ил)карбонил]-5-азаспиро[2,5]октан-7-карбоксамид; 6-{[4-(4-циано-2-метилфенил)-3,6-дигидропиридин-1(2Н)-ил]карбонил}-N-гидрокси-5-азаспиро[2,5]октан-7-карбоксамид; N(7)-гидрокси-5-метил-N(6)-{4-[(2-метилхинолин-4-ил)метокси]фенил}-5-азаспиро[2,5]октан-6,7-дикарбоксамид; N(7)-гидрокси-N(6)-{4-[(2-метилхинолин-4-ил)метокси]фенил}-5-азаспиро[2,5]октан-6,7-дикарбоксамид; 6-{[4-(4-цианофенил)пиперазин-1-ил]карбонил}-N-гидрокси-5-азаспиро[2,5]октан-7-карбоксамид; N-гидрокси-6-[(4-фенилпиперидин-1-ил)карбонил]-5-азаспиро[2,5]октан-7-карбоксамид; N-гидрокси-6-[(4-фенилпиперазин-1-ил)карбонил]-5-азаспиро[2,5]октан-7-карбоксамид; N-гидрокси-6-({4-[3-(метоксиметил)фенил]пиперидин-1-ил}карбонил)-5-азаспиро[2,5]октан-7-карбоксамид; метил-3-[1-({7-[(гидроксиамино)карбонил]-5-азаспиро[2,5]окт-6-ил}карбонил)пиперидин-4-ил]бензоат; 6-[(3-циклогексилпирролидин-1-ил)карбонил]-N-гидрокси-5-азаспиро[2,5]октан-7-карбоксамид; N-гидрокси-6-{[4-(3-изопропилфенил)-3,6-дигидропиридин-1(2Н)-ил]карбонил}-5-азаспиро[2,5]октан-7-карбоксамид; N-гидрокси-6-{[4-(3-изопропилфенил)пиперидин-1-ил]карбонил}-5-азаспиро[2,5]октан-7-карбоксамид; N-гидрокси-6-{[4-(4-пропилфенил)-3,б-дигидропиридин-1(2Н)-ил]карбонил}-5-азаспиро[2,5]октан-7-карбоксамид; N-гидрокси-6-{[4-(4-этилфенил)-3,6-дигидропиридин-1(2Н)-ил]карбонил}-5-азаспиро[2,5]октан-7-карбоксамид; N-гидрокси-6-{[4-(4-этилфенил)пиперидин-1-ил]карбонил}-5-азаспиро[2,5]октан-7-карбоксамид; 6-{[4-(4-циано-2-метилфенил)пиперазин-1-ил]карбонил}-N-гидрокси-5-азаспиро[2,5]октан-7-карбоксамид; N-гидрокси-6-{[4-(3-изопропоксифенил)-3,6-дигидропиридин-1(2Н)-ил]карбонил}-5-азаспиро[2,5]октан-7-карбоксамид; N-гидрокси-6-{[4-(3-метилфенил)-3,6-дигидропиридин-1(2Н)-ил]карбонил}-5-азаспиро[2,5]октан-7-карбоксамид; N-гидрокси-6-{[4-(3-метилфенил)пиперидин-1-ил]карбонил}-5-азаспиро[2,5]октан-7-карбоксамид; 6-{[4-(4-трет-бутилфенил)пиперазин-1-ил]карбонил}-N-гидрокси-5-азаспиро[2,5]октан-7-карбоксамид; N-гидрокси-6-[(4-пиридин-4-илпиперазин-1-ил)карбонил]-5-азаспиро[2,5]октан-7-карбоксамид; 6-[(3-бензилпиперидин-1-ил)карбонил]-N-гидрокси-5-азаспиро[2,5]октан-7-карбоксамид; N-гидрокси-6-[(5-метокси-2,3-дигидро-1Н-индол-1-ил)карбонил]-5-азаспиро[2,5]октан-7-карбоксамид; N-гидрокси-6-({5-[(2-метилхинолин-4-ил)метокси]-2,3-дигидро-1Н-индол-1-ил}карбонил)-5-азаспиро[2,5]октан-7-карбоксамид; N-гидрокси-5-метил-6-({5-[(2-метилхинолин-4-ил)метокси]-2,3-дигидро-1H-индол-1-ил}карбонил)-5-азаспиро[2,5]октан-7-карбоксамид; 6-{[5-(бензилокси)-2,3-дигидро-1Н-индол-1-ил]карбонил}-N-гидрокси-5-азаспиро[2,5]октан-7-карбоксамид; 6-(1,3-дигидро-1’Н-спиро[инден-2,4′-пиперидин]-1′-илкарбонил)-N-гидрокси-5-азаспиро[2,5]октан-7-карбоксамид; N-гидрокси-6-{[4-(3-изопропоксифенил)пиперидин-1-ил]карбонил}-5-азаспиро[2,5]октан-7-карбоксамид; метил-4-[1-({7-[(гидроксиамино)карбонил]-5-азаспиро[2,5]окт-6-ил}карбонил)-1,2,3,6-тетрагидропиридин-4-ил]-3-метилбензоат; N-гидрокси-6-{[4-(2-метил-4-нитрофенил)-3,6-дигидропиридин-1(2Н)-ил]карбонил}-5-азаспиро[2,5]октан-7-карбоксамид; 6-{[4-(2-этилфенил)пиперидин-1-ил]карбонил}-N-гидрокси-5-азаспиро[2,5]октан-7-карбоксамид; метил-4-[1-({7-[(гидроксиамино)карбонил]-5-азаспиро[2,5]окт-6-ил}карбонил)пиперидин-4-ил]-3-метилбензоат; 6-{[4-(2,3-дигидро-1-бензофуран-5-ил)-3,6-дигидропиридин-1(2Н)-ил]карбонил}-N-гидрокси-5-метил-5-азаспиро[2,5]октан-7-карбоксамид; N-гидрокси-6-{[4-(3-изопропилфенил)-3,6-дигидропиридин-1(2Н)-ил]карбонил}-5-метил-5-азаспиро[2,5]октан-7-карбоксамид; N-гидрокси-6-{[(3R)-3-фенилпирролидин-1-ил]карбонил}-5-азаспиро[2,5]октан-7-карбоксамид; N-гидрокси-6-{[(3S)-3-фенилпирролидин-1-ил]карбонил}-5-азаспиро[2,5]октан-7-карбоксамид; N-гидрокси-6-({3-[3-(трифторметил)фенил]пирролидин-1-ил}карбонил)-5-азаспиро[2,5]октан-7-карбоксамид; 6-{[3-(3-хлорфенил)пирролидин-1-ил]карбонил}-N-гидрокси-5-азаспиро[2,5]октан-7-карбоксамид; 6-{[3-(3-фторфенил)пирролидин-1-ил]карбонил}-N-гидрокси-5-азаспиро[2,5]октан-7-карбоксамид; 6-{[3-(4-фторфенил)пирролидин-1-ил]карбонил}-N-гидрокси-5-азаспиро[2,5]октан-7-карбоксамид; 6-{[3-(4-хлорфенил)пирролидин-1-ил]карбонил}-N-гидрокси-5-азаспиро[2,5]октан-7-карбоксамид; N-гидрокси-6-({3-[4-(трифторметил)фенил]пирролидин-1-ил}карбонил)-5-азаспиро[2,5]октан-7-карбоксамид; 6-{[3-(4-метоксифенил)пирролидин-1-ил]карбонил}-N-гидрокси-5-азаспиро[2,5]октан-7-карбоксамид; 6-{[3-(4-феноксифенил)пирролидин-1-ил]карбонил}-N-гидрокси-5-азаспиро[2,5]октан-7-карбоксамид; N-гидрокси-6-{[4-(3-метоксифенил)-3,6-дигидропиридин-1(2Н)-ил]карбонил}-5-азаспиро[2,5]октан-7-карбоксамид; N-гидрокси-6-{[4-(4-циано-3-метилфенил)-3,6-дигидропиридин-1(2Н)-ил]карбонил}-5-азаспиро[2,5]октан-7-карбоксамид; 6-{[3-(3-метоксифенил)пирролидин-1-ил]карбонил}-N-гидрокси-5-азаспиро[2,5]октан-7-карбоксамид; N-гидрокси-6-[(3-пиридин-4-илпирролидин-1-ил)карбонил]-5-азаспиро[2,5]октан-7-карбоксамид; N-гидрокси-6-{[4-(3,5-диметилфенил)-3,6-дигидропиридин-1(2Н)-ил]карбонил}-5-азаспиро[2,5]октан-7-карбоксамид; N-гидрокси-6-{[4-(3-трифторметоксифенил)-3,6-дигидропиридин-1(2Н)-ил]карбонил}-5-азаспиро[2,5]октан-7-карбоксамид; N-гидрокси-6-{[5-(метоксиметил)-4-фенил-3,6-дигидропиридин-1(2Н)-ил]карбонил}-5-азаспиро[2,5]октан-7-карбоксамид; N-гидрокси-6-(1,4,5,6-тетрагидробензо[f]изохинолин-3(2Н)-илкарбонил)-5-азаспиро[2,5]октан-7-карбоксамид; N-гидрокси-6-{[4-(5-метокси-2-метилфенил)-3,6-дигидропиридин-1(2Н)-ил]карбонил}-5-азаспиро[2,5]октан-7-карбоксамид; N-гидрокси-6-{[4-(4-метокси-2-метилфенил)-3,6-дигидропиридин-1(2Н)-ил]карбонил}-5-азаспиро[2,5]октан-7-карбоксамид; 6-[(4-циано-4-фенилпиперидин-1-ил)карбонил]-N-гидрокси-5-азаспиро[2,5]октан-7-карбоксамид; этил-7-[(гидроксиамино)карбонил]-6-[(4-фенил-3,6-дигидропиридин-1(2Н)-ил)карбонил]-5-азаспиро[2,5]октан-5-карбоксилат; пропил-7-[(гидроксиамино)карбонил]-6-[(4-фенил-3,6-дигидропиридин-1(2Н)-ил)карбонил]-5-азаспиро[2,5]октан-5-карбоксилат; изопропил-7-[(гидроксиамино)карбонил]-6-[(4-фенил-3,6-дигидропиридин-1(2Н)-ил)карбонил]-5-азаспиро[2,5]октан-5-карбоксилат; изобутил-7-[(гидроксиамино)карбонил]-6-[(4-фенил-3,6-дигидропиридин-1(2Н)-ил)карбонил]-5-азаспиро[2,5]октан-5-карбоксилат; N-гидрокси-6-[(5-метил-4-фенил-3,6-дигидропиридин-1(2Н)-ил)карбонил]-5-азаспиро[2,5]октан-7-карбоксамид, или его фармацевтически приемлемая соль.
39. Соединение по п.1, выбранное из группы, включающей 6-(1,4,4а,5,6,10b-гексагидробензо[f]изохинолин-3(2Н)-илкарбонил)-N-гидрокси-5-азаспиро[2,5]октан-7-карбоксамид; 6-{[4-(4-фторфенил)-3-гидроксипиперидин-1-ил]карбонил}-N-гидрокси-5-азаспиро[2,5]октан-7-карбоксамид; N-гидрокси-6-(3,3а,8,8а-тетрагидроиндено[1,2-с]пиррол-2(1Н)-илкарбонил)-5-азаспиро[2,5]октан-7-карбоксамид; N-гидрокси-6-{[4-(4-фенил-1,3-тиазол-2-ил)пиперидин-1-ил]карбонил}-5-азаспиро[2,5]октан-7-карбоксамид; N-гидрокси-6-{[4-(4-трет-бутил-1,3-тиазол-2-ил)пиперидин-1-ил]карбонил}-5-азаспиро[2,5]октан-7-карбоксамид; N-гидрокси-6-[(4-метил-4-фенилпиперидин-1-ил)карбонил]-5-азаспиро[2,5]октан-7-карбоксамид; N-гидрокси-6-{[4-(4-этил-1,3-тиазол-2-ил)пиперидин-1-ил]карбонил}-5-азаспиро[2,5]октан-7-карбоксамид; N-гидрокси-6-{[(транс)-3-метил-4-фенилпирролидин-1-ил]карбонил}-5-азаспиро[2,5]октан-7-карбоксамид; 6-{[4-(2-фторфенил)пиперазин-1-ил]карбонил}-N-гидрокси-5-азаспиро[2,5]октан-7-карбоксамид; 6-{[4-(3,5-диметилфенил)-3,6-дигидропиридин-1(2Н)-ил]карбонил}-N-гидрокси-5-метил-5-азаспиро[2,5]октан-7-карбоксамид; тетрагидро-2Н-пиран-4-ил-7-((гидроксиамино)карбонил)-6-((4-фенилпиперазин-1-ил)карбонил)-5-азаспиро(2,5)октан-5-карбоксилат; этил-7-((гидроксиамино)карбонил)-6-((4-фенилпиперазин-1-ил)карбонил)-5-азаспиро(2,5)октан-5-карбоксилат; метил-7-[(гидроксиамино)карбонил]-6-[(4-фенилпиперазин-1-ил)карбонил]-5-азаспиро[2,5]октан-5-карбоксилат; N-гидрокси-6-[(4-пиразин-2-илпиперазин-1-ил)карбонил]-5-азаспиро[2,5]октан-7-карбоксамид; N-гидрокси-6-[(4-хинолин-2-илпиперазин-l-ил)карбонил]-5-азаспиро[2,5]октан-7-карбоксамид; N-гидрокси-6-{[3-(5,6,7,8-тетрагидронафталин-2-ил)пирролидин-1-ил]карбонил}-5-азаспиро[2,5]октан-7-карбоксамид; N-гидрокси-5-метил-6-{[(3R)-3-фенилпирролидин-1-ил]карбонил}-5-азаспиро[2,5]октан-7-карбоксамид; метил-7-[(гидроксиамино)карбонил]-6-{[(3R)-3-фенилпирролидин-1-ил]карбонил}-5-азаспиро[2,5]октан-5-карбоксилат; N-гидрокси-6-[(3-пиридин-3-илпирролидин-1-ил)карбонил]-5-азаспиро[2,5]октан-7-карбоксамид; N-гидрокси-6-[(3-пиридин-2-илпирролидин-1-ил)карбонил]-5-азаспиро[2,5]октан-7-карбоксамид; N-гидрокси-6-[(3-метил-3-фенилпирролидин-1-ил)карбонил]-5-азаспиро[2,5]октан-7-карбоксамид; N-гидрокси-6-[(3-фенилазетидин-1-ил)карбонил]-5-азаспиро[2,5]октан-7-карбоксамид; N-гидрокси-5-метил-6-[(3-метил-3-фенилпирролидин-1-ил)карбонил]-5-азаспиро[2,5]октан-7-карбоксамид; N-гидрокси-5-метил-6-[(3-фенилазетидин-1-ил)карбонил]-5-азаспиро[2,5]октан-7-карбоксамид; 6-(1,3,3а,4,5,9b-гексагидро-2Н-бензо[е]изоиндол-2-илкарбонил)-N-гидрокси-5-азаспиро[2,5]октан-7-карбоксамид; N-гидрокси-6-{[3-(2-нафтил)пирролидин-1-ил]карбонил}-5-азаспиро[2,5]октан-7-карбоксамид; N-гидрокси-6-{[4-(2-тиенил)-3,6-дигидропиридин-1(2Н)-ил]карбонил}-5-азаспиро[2,5]октан-7-карбоксамид; N-гидрокси-6-{[3-(3-тиенил)пирролидин-1-ил]карбонил}-5-азаспиро[2,5]октан-7-карбоксамид; N-гидрокси-6-{[3-(2-тиенил)пирролидин-1-ил]карбонил}-5-азаспиро[2,5]октан-7-карбоксамид; N-гидрокси-6-{[4-(2-тиенил)пиперидин-1-ил]карбонил}-5-азаспиро[2,5]октан-7-карбоксамид; N-гидрокси-6-{[3-(2-метилфенил)пирролидин-1-ил]карбонил}-5-азаспиро[2,5]октан-7-карбоксамид; N-гидрокси-6-{[3-(4-метилфенил)пирролидин-1-ил]карбонил}-5-азаспиро[2,5]октан-7-карбоксамид; 5-ацетил-N-гидрокси-6-[(4-фенил-3,6-дигидропиридин-1(2Н)-ил)карбонил]-5-азаспиро[2,5]октан-7-карбоксамид; N-гидрокси-6-{[4-(3-тиенил)-3,6-дигидропиридин-1(2Н)-ил]карбонил}-5-азаспиро[2,5]октан-7-карбоксамид; N-гидрокси-6-[(3-фенилпиперидин-1-ил)карбонил]-5-азаспиро[2,5]октан-7-карбоксамид; N-гидрокси-6-{[4-(3-тиенил)пиперидин-1-ил]карбонил}-5-азаспиро[2,5]октан-7-карбоксамид; метил-6-{[4-(3,5-диметилфенил)-3,6-дигидропиридин-1(2Н)-ил]карбонил}-7-[(гидроксиамино)карбонил]-5-азаспиро[2,5]октан-5-карбоксилат; 6-{[4-(3,5-диметилфенил)-3,6-дигидропиридин-1(2Н)-ил]карбонил}-N-гидрокси-5-(метилсульфонил)-5-азаспиро[2,5]октан-7-карбоксамид; 6-{[4-(3,5-дифторфенил)-3,6-дигидропиридин-1(2Н)-ил]карбонил}-N-гидрокси-5-азаспиро[2,5]октан-7-карбоксамид; 6-{[4-(3,5-дихлорфенил)-3,6-дигидропиридин-1(2Н)-ил]карбонил}-N-гидрокси-5-азаспиро[2,5]октан-7-карбоксамид; 6-{[4-[3,5-бис(трифторметил)фенил]-3,6-дигидропиридин-1(2Н)-ил]карбонил}-N-гидрокси-5-азаспиро[2,5]октан-7-карбоксамид; N-гидрокси-5-(метилсульфонил)-6-[(4-фенилпиперазин-1-ил)карбонил]-5-азаспиро[2,5]октан-7-карбоксамид; 5-формил-N-гидрокси-6-[(4-фенилпиперазин-1-ил)карбонил]-5-азаспиро[2,5]октан-7-карбоксамид; 6-{[4-(3,5-дифторфенил)пиперидин-1-ил]карбонил}-N-гидрокси-5-азаспиро[2,5]октан-7-карбоксамид; 6-{[4-(2,5-диметилфенил)-3,6-дигидропиридин-1(2Н)-ил]карбонил}-N-гидрокси-5-азаспиро[2,5]октан-7-карбоксамид; 6-{[4-(2,4,5-триметилфенил)-3,6-дигидропиридин-1(2Н)-ил]карбонил}-N-гидрокси-5-азаспиро[2,5]октан-7-карбоксамид; 6-[(4-бифенил-3-илпиперидин-1-ил)карбонил]-N-гидрокси-5-азаспиро[2,5]октан-7-карбоксамид; 6-[(4-дибензо[b,d]фуран-4-илпиперидин-1-ил)карбонил]-N-гидрокси-5-азаспиро[2,5]октан-7-карбоксамид; 6-{[4-(2,5-диметилфенил)пиперидин-1-ил]карбонил}-N-гидрокси-5-азаспиро[2,5]октан-7-карбоксамид; 6-{[4-(2,4,5-триметилфенил)пиперидин-1-ил]карбонил}-N-гидрокси-5-азаспиро[2,5]октан-7-карбоксамид; метил-3-[1-({7-[(гидроксиамино)карбонил]-5-азаспиро[2,5]окт-6-ил}карбонил)-1,2,3,6-тетрагидропиридин-4-ил]-4-метилбензоат; 6-[(5-фенил-2,3,4,7-тетрагидро-1Н-азепин-1-ил)карбонил]-N-гидрокси-5-азаспиро[2,5]октан-7-карбоксамид; 6-{[4-[3-(диметиламино)фенил]-3,6-дигидропиридин-1(2Н)-ил]карбонил}-N-гидрокси-5-азаспиро[2,5]октан-7-карбоксамид; метил-3-[1-({7-[(гидроксиамино)карбонил]-5-азаспиро[2,5]окт-6-ил}карбонил)пиперидин-4-ил]-4-метилбензоат; 6-[(5-фенилазепан-1-ил)карбонил]-N-гидрокси-5-азаспиро[2,5]октан-7-карбоксамид; 6-({4-[3-(диметиламино)фенил]пиперидин-1-ил}карбонил)-N-гидрокси-5-азаспиро[2,5]октан-7-карбоксамид; 6-{[4-(2-метилфенил)-3,6-дигидропиридин-1(2Н)-ил]карбонил}-N-гидрокси-5-азаспиро[2,5]октан-7-карбоксамид; 6-[(3-фенил-2,5-дигидро-1Н-пиррол-1-ил)карбонил]-N-гидрокси-5-азаспиро[2,5]октан-7-карбоксамид; 6-{[4-(4-циано-2-метилфенил)пиперидин-1-ил]карбонил}-N-гидрокси-5-азаспиро[2,5]октан-7-карбоксамид; 6-[(3,3-диметил-4-фенил-3,6-дигидропиридин-1(2Н)-ил)карбонил]-N-гидрокси-5-азаспиро[2,5]октан-7-карбоксамид; 6-[(3,3-диметил-4-фенилпиперидин-1-ил)карбонил]-N-гидрокси-5-азаспиро[2,5]октан-7-карбоксамид; N-гидрокси-5-(метилсульфонил)-6-[(3-фенил-2,5-дигидро-1Н-пиррол-1-ил)карбонил]-5-азаспиро[2,5]октан-7-карбоксамид; метил-7-[(гидроксиамино)карбонил]-6-[(3-фенил-2,5-дигидро-1Н-пиррол-1-ил)карбонил]-5-азаспиро[2,5]октан-5-карбоксилат; N-гидрокси-5-метил-6-[(3-фенил-2,5-дигидро-1Н-пиррол-1-ил)карбонил]-5-азаспиро[2,5]октан-7-карбоксамид; 6-{[4-(4-циано-3-метилфенил)пиперидин-1-ил]карбонил}-N-гидрокси-5-азаспиро[2,5]октан-7-карбоксамид; 6-{[4-[3-(бензилокси)фенил]-3,6-дигидропиридин-1(2Н)-ил]карбонил}-N-гидрокси-5-азаспиро[2,5]октан-7-карбоксамид; 6-{[4-[3-этилфенил]-3,6-дигидропиридин-1(2Н)-ил]карбонил}-N-гидрокси-5-азаспиро[2,5]октан-7-карбоксамид; 6-{[4-[3-(этилокси)фенил]-3,6-дигидропиридин-1(2Н)-ил]карбонил}-N-гидрокси-5-азаспиро[2,5]октан-7-карбоксамид; 6-{[4-(3-этилфенил)пиперидин-1-ил]карбонил}-N-гидрокси-5-азаспиро[2,5]октан-7-карбоксамид; 6-{[4-(3-этоксифенил)пиперидин-1-ил]карбонил}-N-гидрокси-5-азаспиро[2,5]октан-7-карбоксамид; 6-{[4-(3-циклопропилфенил)-3,6-дигидропиридин-1(2Н)-ил]карбонил}-N-гидрокси-5-азаспиро[2,5]октан-7-карбоксамид; 6-{[4-(4-метокси-3,5-диметилфенил)-3,6-дигидропиридин-1(2Н)-ил]карбонил}-N-гидрокси-5-азаспиро[2,5]октан-7-карбоксамид; 6-{[4-(3,5-диметил-4-метоксифенил)пиперидин-1-ил]карбонил}-N-гидрокси-5-азаспиро[2,5]октан-7-карбоксамид; 6-{[4-(4-циано-3-этилфенил)-3,6-дигидропиридин-1(2Н)-ил]карбонил}-N-гидрокси-5-азаспиро[2,5]октан-7-карбоксамид; 6-{[4-(4-циано-3-этилфенил)пиперидин-1-ил]карбонил}-N-гидрокси-5-азаспиро[2,5]октан-7-карбоксамид; 6-{[4-(4-циано-3,5-диметилфенил)-3,6-дигидропиридин-1(2Н)-ил]карбонил}-N-гидрокси-5-азаспиро[2,5]октан-7-карбоксамид; 6-{[4-(4-циано-3,5-диметилфенил)пиперидин-1-ил]карбонил}-N-гидрокси-5-азаспиро[2,5]октан-7-карбоксамид; 6-{[4-(1,3-бензотиазол-6-ил)-3,6-дигидропиридин-1(2Н)-ил]карбонил}-N-гидрокси-5-азаспиро[2,5]октан-7-карбоксамид; N-гидрокси-6-{[4-(1-метил-1Н-бензимидазол-6-ил)-3,6-дигидропиридин-1(2Н)-ил]карбонил}-5-азаспиро[2,5]октан-7-карбоксамид; N-гидрокси-6-{[4-(1-метил-1Н-бензимидазол-6-ил)пиперидин-1-ил]карбонил}-5-азаспиро[2,5]октан-7-карбоксамид; 6-{[4-(4-циано-3-изопропилфенил)-3,6-дигидропиридин-1(2Н)-ил]карбонил}-N-гидрокси-5-азаспиро[2,5]октан-7-карбоксамид; 6-{[4-(4-циано-3-изопропилфенил)пиперидин-1-ил]карбонил}-N-гидрокси-5-азаспиро[2,5]октан-7-карбоксамид; 6-{[4-(4-циано-3-этилфенил)-3,6-дигидропиридин-1(2Н)-ил]карбонил}-N-гидрокси-5-метил-5-азаспиро[2,5]октан-7-карбоксамид; 6-{[4-(4-циано-3,5-диметилфенил)-3,6-дигидропиридин-1(2Н)-ил]карбонил}-N-гидрокси-5-метил-5-азаспиро[2,5]октан-7-карбоксамид; N-гидрокси-6-{[4-(1-этил-1Н-бензимидазол-6-ил)-3,6-дигидропиридин-1(2Н)-ил]карбонил}-5-азаспиро[2,5]октан-7-карбоксамид; N-гидрокси-6-{[4-(1-метил-1Н-индазол-5-ил)-3,6-дигидропиридин-1(2Н)-ил]карбонил}-5-азаспиро[2,5]октан-7-карбоксамид; N-гидрокси-6-{[4-(1-этил-1Н-бензимидазол-6-ил)пиперидин-1-ил]карбонил}-5-азаспиро[2,5]октан-7-карбоксамид; N-гидрокси-6-{[4-(1-метил-1Н-индазол-5-ил)пиперидин-1-ил]карбонил}-5-азаспиро[2,5]октан-7-карбоксамид; N-гидрокси-6-{[4-(1-этил-1Н-индазол-5-ил)-3,6-дигидропиридин-1(2Н)-ил]карбонил}-5-азаспиро[2,5]октан-7-карбоксамид; тетрагидро-2Н-пиран-4-ил-6-{[4-(1-этил-1Н-бензимидазол-6-ил)пиперидин-1-ил]карбонил}-7-[(гидроксиамино)карбонил]-5-азаспиро[2,5]октан-5-карбоксилат; метил-6-{[4-(1-этил-1Н-бензимидазол-6-ил)-3,6-дигидропиридин-1(2Н)-ил]карбонил}-7-[(гидроксиамино)карбонил]-5-азаспиро[2,5]октан-5-карбоксилат; 6-{[4-(1-этил-1Н-бензимидазол-6-ил)-3,6-дигидропиридин-1(2Н)-ил]карбонил}-N-гидрокси-5-(метилсульфонил)-5-азаспиро[2,5]октан-7-карбоксамид; метил-6-{[4-(1-этил-1Н-бензимидазол-6-ил)пиперидин-1-ил]карбонил}-7-[(гидроксиамино)карбонил]-5-азаспиро[2,5]октан-5-карбоксилат; 6-{[4-(1-этил-1Н-бензимидазол-6-ил)пиперидин-1-ил]карбонил}-N-гидрокси-5-(метилсульфонил)-5-азаспиро[2,5]октан-7-карбоксамид; 6-{[4-(4-циано-2-метилфенил)пиперидин-1-ил]карбонил}-N-гидрокси-5-(метилсульфонил)-5-азаспиро[2,5]октан-7-карбоксамид; метил-6-{[4-(4-циано-2-метилфенил)пиперазин-1-ил]карбонил}-7-[(гидроксиамино)карбонил]-5-азаспиро[2,5]октан-5-карбоксилат; 6-{[4-(1-этил-1Н-бензимидазол-6-ил)пиперазин-1-ил]карбонил}-N-гидрокси-5-азаспиро[2,5]октан-7-карбоксамид; метил-6-{[4-(1-этил-1Н-бензимидазол-6-ил)пиперазин-1-ил]карбонил}-7-[(гидроксиамино)карбонил]-5-азаспиро[2,5]октан-5-карбоксилат; 6-{[4-(1-этил-1Н-бензимидазол-6-ил)пиперазин-1-ил]карбонил}-N-гидрокси-5-(метилсульфонил)-5-азаспиро[2,5]октан-7-карбоксамид; тетрагидро-2Н-пиран-4-ил-6-{[4-(4-циано-2-метилфенил)пиперазин-1-ил]карбонил}-7-[(гидроксиамино)карбонил]-5-азаспиро[2,5]октан-5-карбоксилат; тетрагидро-2Н-пиран-4-ил-6-{[4-(1-этил-1Н-бензимидазол-6-ил)пиперазин-1-ил]карбонил}-7-[(гидроксиамино)карбонил]-5-азаспиро[2,5]октан-5-карбоксилат; N-гидрокси-6-[(3-метил-4-фенилпиперидин-1-ил)карбонил]-5-азаспиро[2,5]октан-7-карбоксамид; 6-{[5-(аминокарбонил)-4-фенил-3,6-дигидропиридин-1(2Н)-ил]карбонил}-N-гидрокси-5-азаспиро[2,5]октан-7-карбоксамид; 6-{[4-(4-цианофенил)-5-метил-3,6-дигидропиридин-1(2Н)-ил]карбонил}-N-гидрокси-5-азаспиро[2,5]октан-7-карбоксамид; 6-{[4-(4-цианофенил)-3-метилпиперидин-1-ил]карбонил}-N-гидрокси-5-азаспиро[2,5]октан-7-карбоксамид; N-гидрокси-6-{[5-метил-4-(4-нитрофенил)-3,6-дигидропиридин-1(2Н)-ил]карбонил}-5-азаспиро[2,5]октан-7-карбоксамид; N-гидрокси-6-{[5-метил-4-(3-нитрофенил)-3,6-дигидропиридин-1(2Н)-ил]карбонил}-5-азаспиро[2,5]октан-7-карбоксамид; 6-[(4-дибензо[b,d]фуран-2-ил-3,6-дигидропиридин-1(2Н)-ил)карбонил]-N-гидрокси-5-азаспиро[2,5]октан-7-карбоксамид; 6-[(4-дибензо[b,d]фуран-2-илпиперидин-1-ил)карбонил]-N-гидрокси-5-азаспиро[2,5]октан-7-карбоксамид; 6-{[4-(3,3-диметил-2,3-дигидро-1-бензофуран-5-ил)-3,6-дигидропиридин-1(2Н)-ил]карбонил}-N-гидрокси-5-азаспиро[2,5]октан-7-карбоксамид; 6-{[4-(3,3-диметил-2,3-дигидро-1-бензофуран-5-ил)пиперидин-1-ил]карбонил}-N-гидрокси-5-азаспиро[2,5]октан-7-карбоксамид; изопропил-7-[(гидроксиамино)карбонил]-6-[(3-фенил-2,5-дигидро-1Н-пиррол-1-ил)карбонил]-5-азаспиро[2,5]октан-5-карбоксилат; (3S)-тетрагидрофуран-3-ил-7-[(гидроксиамино)карбонил]-6-[(3-фенил-2,5-дигидро-1Н-пиррол-1-ил)карбонил]-5-азаспиро[2,5]октан-5-карбоксилат; циклогексил-7-[(гидроксиамино)карбонил]-6-[(3-фенил-2,5-дигидро-1Н-пиррол-1-ил)карбонил]-5-азаспиро[2,5]октан-5-карбоксилат; тетрагидро-2Н-пиран-4-ил-7-[(гидроксиамино)карбонил]-6-[(3-фенил-2,5-дигидро-1Н-пиррол-1-ил)карбонил]-5-азаспиро[2,5]октан-5-карбоксилат; (3S)-тетрагидрофуран-3-ил-7-[(гидроксиамино)карбонил]-6-[(4-фенилпиперазин-1-ил)карбонил]-5-азаспиро[2,5]октан-5-карбоксилат; (3R)-тетрагидрофуран-3-ил-7-[(гидроксиамино)карбонил]-6-[(4-фенилпиперазин-1-ил)карбонил]-5-азаспиро[2,5]октан-5-карбоксилат; 2-метоксиэтил-7-((гидроксиамино)карбонил)-6-((4-фенилпиперазин-1-ил)карбонил)-5-азаспиро(2,5)октан-5-карбоксилат; N-гидрокси-6-[(4-фенилпиперазин-1-ил)карбонил]-5-(фенилсульфонил)-5-азаспиро[2,5]октан-7-карбоксамид; пропил-7-[(гидроксиамино)карбонил)]-6-[(4-фенилпиперазин-1-ил)карбонил]-5-азаспиро[2,5]октан-5-карбоксилат; изопропил-7-[(гидроксиамино)карбонил]-6-[(4-фенилпиперазин-1-ил)карбонил]-5-азаспиро[2,5]октан-5-карбоксилат; метил-6-{[4-(3,5-дифторфенил)-3,6-дигидропиридин-1(2Н)-ил]карбонил}-7-[(гидроксиамино)карбонил]-5-азаспиро[2,5]октан-5-карбоксилат; метил-6-{[4-(3,5-дифторфенил)-3,6-дигидропиридин-1(2Н)-ил]карбонил}-7-[(гидроксиамино)карбонил]-5-азаспиро[2,5]октан-5-карбоксилат; N-гидрокси-6-{[4-(4-изопропилфенил)пиперазин-1-ил]карбонил}-5-азаспиро[2,5]октан-7-карбоксамид; 6-{[4-(3,5-дифторфенил)пиперидин-1-ил]карбонил}-N-гидрокси-5-(метилсульфонил)-5-азаспиро[2,5]октан-7-карбоксамид; 6-{[4-(4,5-диметил-1,3-тиазол-2-ил)пиперидин-1-ил]карбонил}-N-гидрокси-5-азаспиро[2,5]октан-7-карбоксамид, или его фармацевтически приемлемая соль.
40. Соединение по п.1, выбранное из группы, включающей (6S,7S)-N-гидрокси-5-метил-6-{[4-(3-метилфенил)пиперазин-1-ил]карбонил}-5-азаспиро[2.5]октан-7-карбоксамид; (6S,7S)-N-гидрокси-5-метил-6-[(4-фенилпиперазин-1-ил)карбонил]-5-азаспиро[2.5]октан-7-карбоксамид; (6S,7S)-N-гидрокси-5-метил-6-({4-[3-(трифторметил)фенил]пиперазин-1-ил}карбонил)-5-азаспиро[2.5]октан-7-карбоксамид; (6S,7S)-N-гидрокси-5-метил-6-{[4-(2-метилфенил)пиперазин-1-ил]карбонил}-5-азаспиро[2.5]октан-7-карбоксамид; (6S,7S)-6-{[4-(4-хлорфенил)пиперазин-1-ил]карбонил}-N-гидрокси-5-метил-5-азаспиро[2.5]октан-7-карбоксамид; (6S,7S)-N-гидрокси-5-метил-6-{[4-(2-метил-4-нитрофенил)пиперазин-1-ил]карбонил}-5-азаспиро[2.5]октан-7-карбоксамид; (6S,7S)-N-гидрокси-5-метил-6-[(4-фенилпиперидин-1-ил)карбонил]-5-азаспиро[2.5]октан-7-карбоксамид; (6S,7S)-N-гидрокси-6-[(4-гидрокси-4-фенилпиперидин-1-ил)карбонил]-5-метил-5-азаспиро[2.5]октан-7-карбоксамид; (6S,7S)-N-гидрокси-5-метил-6-[(4-фенил-3,6-дигидропиридин-1(2Н)-ил)карбонил]-5-азаспиро[2.5]октан-7-карбоксамид; (6S,7S)-N-гидрокси-5-метил-6-[(4-хинолин-2-илпиперазин-1-ил)карбонил]-5-азаспиро[2.5]октан-7-карбоксамид; (6S,7S)-6-{[4-(2,3-Дихлорфенил)пиперазин-1-ил]карбонил}-N-гидрокси-5-метил-5-азаспиро[2.5]октан-7-карбоксамид; (6S,7S)-N-гидрокси-5-метил-6-[(4-хинолин-4-илпиперазин-1-ил)карбонил]-5-азаспиро[2.5]октан-7-карбоксамид; (6S,7S)-N-гидрокси-5-метил-6-{[4-(2-метилхинолин-4-ил)пиперазин-1-ил]карбонил}-5-азаспиро[2.5]октан-7-карбоксамид; (6S,7S)-N-гидрокси-5-метил-6-{[4-(2-фенилэтил)пиперазин-1-ил]карбонил}-5-азаспиро[2.5]октан-7-карбоксамид; (6S,7S)-N-гидрокси-5-метил-6-[(4-пиридин-4-илпиперидин-1-ил)карбонил]-5-азаспиро[2.5]октан-7-карбоксамид; (6S,7S)-N-гидрокси-5-метил-6-{[4-(4-нитрофенил)пиперазин-1-ил]карбонил}-5-азаспиро[2.5]октан-7-карбоксамид; (6S,7S)-N-гидрокси-6-{[4-(2-метоксифенил)пиперазин-1-ил]карбонил}-5-метил-5-азаспиро[2.5]октан-7-карбоксамид; (6S,7S)-N-гидрокси-5-метил-6-[(4-феноксипиперидин-1-ил)карбонил]-5-азаспиро[2.5]октан-7-карбоксамид; (6S,7S)-6-(3,4-дигидроизохинолин-2(1Н)-илкарбонил)-N-гидрокси-5-метил-5-азаспиро[2.5]октан-7-карбоксамид и (6S,7S)-6-(4,7-дигидротиено[2,3-с]пиридин-6(5Н)-илкарбонил)-N-гидрокси-5-метил-5-азаспиро[2.5]октан-7-карбоксамид, или его фармацевтически приемлемая соль.
41. Соединение по п.1, выбранное из группы, включающей (6S,7S)-6-[(3-бензилпирролидин-1-ил)карбонил]-N-гидрокси-5-метил-5-азаспиро[2.5]октан-7-карбоксамид; (6S,7S)-N-гидрокси-5-метил-6-[(4-пиридин-2-илпиперазин-1-ил)карбонил]-5-азаспиро[2.5]октан-7-карбоксамид; (6S,7S)-N-гидрокси-5-метил-6-{[4-(2-пиридин-4-илэтил)пиперидин-1-ил]карбонил}-5-азаспиро[2.5]октан-7-карбоксамид; (6S,7S)-N-гидрокси-5-метил-6-({4-[5-(трифторметил)пиридин-2-ил]пиперазин-1-ил}карбонил)-5-азаспиро[2.5]октан-7-карбоксамид; (6S,7S)-N-гидрокси-5-метил-6-({4-[3-(трифторметил)пиридин-2-ил]пиперазин-1-ил}карбонил)-5-азаспиро[2.5]октан-7-карбоксамид; (6S,7S)-6-(1,4′-бипиперидин-1′-илкарбонил)-N-гидрокси-5-метил-5-азаспиро[2.5]октан-7-карбоксамид; (6S,7S)-N-гидрокси-5-метил-6-{[4-(пиридин-2-илметил)пиперазин-1-ил]карбонил}-5-азаспиро[2.5]октан-7-карбоксамид; (6S,7S)-N-гидрокси-5-метил-6-{[4-(пиридин-4-илметил)пиперазин-1-ил]карбонил}-5-азаспиро[2.5]октан-7-карбоксамид; (6S,7S)-N-гидрокси-5-метил-6-{[4-(пиридин-3-илметил)пиперазин-1-ил]карбонил}-5-азаспиро[2.5]октан-7-карбоксамид; (6S,7S)-N-гидрокси-5-метил-6-{[4-(2-метилфенил)-3,6-дигидропиридин-1(2Н)-ил]карбонил}-5-азаспиро[2.5]октан-7-карбоксамид; (6S,7S)-N-гидрокси-6-{[4-(3-метилфенил)пиперазин-1-ил]карбонил}-5-азаспиро[2.5]октан-7-карбоксамид; (6S,7S)-N-гидрокси-5-метил-6-(1,3,4,9-тетрагидро-2Н-(3-карболин-2-илкарбонил)-5-азаспиро[2.5]октан-7-карбоксамид; (6S,7S)-N-гидрокси-5-метил-6-[(9-метил-1,3,4,9-тетрагидро-2Н-(3-карболин-2-ил)карбонил]-5-азаспиро[2.5]октан-7-карбоксамид; (6S,7S)-6-{[4-(2-фторфенил)-3,6-дигидропиридин-1(2Н)-ил]карбонил}-N-гидрокси-5-метил-5-азаспиро[2.5]октан-7-карбоксамид; (6S,7S)-6-{[4-(2-хлорфенил)-3,6-дигидропиридин-1(2Н)-ил]карбонил}-N-гидрокси-5-метил-5-азаспиро[2.5]октан-7-карбоксамид; (6S,7S)-6-{[4-(4-нитрофенил)-3,6-дигидропиридин-1(2Н)-ил]карбонил}-N-гидрокси-5-метил-5-азаспиро[2.5]октан-7-карбоксамид; (6S,7S)-6-{[4-фенил-3,6-дигидропиридин-1(2Н)-ил]карбонил}-N-гидрокси-5-метил-5-азаспиро[2.5]октан-7-карбоксамид; (6S,7S)-6-{[4-(2-метил-4-нитрофенил)-3,6-дигидропиридин-1(2Н)-ил]карбонил}-N-гидрокси-5-метил-5-азаспиро[2.5]октан-7-карбоксамид; (6S,7S)-N(7)-гидрокси-N(6),5-диметил-N(6)-(3-фенилпропил)-5-азаспиро[2.5]октан-6,7-дикарбоксамид; (6S,7S)-N(7)-гидрокси-N(6)-изобутил-5-метил-5-азаспиро[2.5]октан-6,7-дикарбоксамид, или его фармацевтически приемлемая соль.
42. Соединение по п.1, выбранное из группы, включающей (6S,7S)-6-(1,4,4а,5,6,10b-гексагидробензо[1]изохинолин-3(2Н)-илкарбонил)-N-гидрокси-5-азаспиро[2.5]октан-7-карбоксамид; (6S,7S)-6-{[4-(4-фторфенил)-3-гидроксипиперидин-1-ил]карбонил}-N-гидрокси-5-азаспиро[2.5]октан-7-карбоксамид; (6S,7S)-N-гидрокси-6-(3,3а,8,8а-тетрагидроиндено[1,2-с]пиррол-2(1Н)-илкарбонил)-5-азаспиро[2.5]октан-7-карбоксамид; (6S,7S)-N-гидрокси-6-{[4-(4-фенил-1,3-тиазол-2-ил)пиперидин-1-ил]карбонил}-5-азаспиро[2.5]октан-7-карбоксамид; (6S,7S)-N-гидрокси-6-{[4-(4-трет-бутил-1,3-тиазол-2-ил)пиперидин-1-ил]карбонил}-5-азаспиро[2.5]октан-7-карбоксамид; (6S,7S)-N-гидрокси-6-[(4-метил-4-фенилпиперидин-1-ил)карбонил]-5-азаспиро[2.5]октан-7-карбоксамид; (6S,7S)-N-гидрокси-6-{[4-(4-этил-1,3-тиазол-2-ил)пиперидин-1-ил]карбонил}-5-азаспиро[2.5]октан-7-карбоксамид; (6S,7S)-N-гидрокси-6-{[(транс)-3-метил-4-фенилпирролидин-1-ил]карбонил}-5-азаспиро[2.5]октан-7-карбоксамид; (6S,7S)-6-{[4-(2-фторфенил)пиперазин-1-ил]карбонил}-N-гидрокси-5-азаспиро[2.5]октан-7-карбоксамид; (6S,7S)-6-{[4-(3,5-диметилфенил)-3,6-дигидропиридин-1(2Н)-ил]карбонил}-N-гидрокси-5-метил-5-азаспиро[2.5]октан-7-карбоксамид; тетрагидро-2Н-пиран-4-ил-(6S,7S)-7-((гидроксиамино)карбонил)-6-((4-фенилпиперазин-1-ил)карбонил)-5-азаспиро(2,5)октан-5-карбоксилат; этил-(6S,7S)-7-((гидроксиамино)карбонил)-6-((4-фенилпиперазин-1-ил)карбонил)-5-азаспиро(2,5)октан-5-карбоксилат; метил-(6S,7S)-7-[(гидроксиамино)карбонил]-6-[(4-фенилпиперазин-1-ил)карбонил]-5-азаспиро[2.5]октан-5-карбоксилат; (6S,7S)-N-гидрокси-6-[(4-пиразин-2-илпиперазин-1-ил)карбонил]-5-азаспиро[2.5]октан-7-карбоксамид; (6S,7S)-N-гидрокси-6-[(4-хинолин-2-илпиперазин-1-ил)карбонил]-5-азаспиро[2.5]октан-7-карбоксамид; (6S,7S)-N-гидрокси-6-{[3-(5,6,7,8-тетрагидронафталин-2-ил)пирролидин-1-ил]карбонил}-5-азаспиро[2.5]октан-7-карбоксамид; (6S,7S)-N-гидрокси-5-метил-6-{[(3R)-3-фенилпирролидин-1-ил]карбонил}-5-азаспиро[2.5]октан-7-карбоксамид; метил-(6S,7S)-7-[(гидроксиамино)карбонил]-6-{[(3R)-3-фенилпирролидин-1-ил]карбонил}-5-азаспиро[2.5]октан-5-карбоксилат; (6S,7S)-N-гидрокси-6-[(3-пиридин-3-илпирролидин-1-ил)карбонил]-5-азаспиро[2.5]октан-7-карбоксамид; (6S,7S)-N-гидрокси-6-[(3-пиридин-2-илпирролидин-1-ил)карбонил]-5-азаспиро[2.5]октан-7-карбоксамид, или его фармацевтически приемлемая соль.
43. Соединение по п.1, выбранное из группы, включающей (6S,7S)-N-гидрокси-6-[(3-метил-3-фенилпирролидин-1-ил)карбонил]-5-азаспиро[2.5]октан-7-карбоксамид; (6S,7S)-N-гидрокси-6-[(3-фенилазетидин-1-ил)карбонил]-5-азаспиро[2.5]октан-7-карбоксамид; (6S,7S)-N-гидрокси-5-метил-6-[(3-метил-3-фенилпирролидин-1-ил)карбонил]-5-азаспиро[2.5]октан-7-карбоксамид; (6S,7S)-N-гидрокси-5-метил-6-[(3-фенилазетидин-1-ил)карбонил]-5-азаспиро[2.5]октан-7-карбоксамид; (6S,7S)-6-(1,3,3а,4,5,9b-гексагидро-2Н-бензо[е]изоиндол-2-илкарбонил)-N-гидрокси-5-азаспиро[2.5]октан-7-карбоксамид; (6S,7S)-N-гидрокси-6-{[3-(2-нафтил)пирролидин-1-ил]карбонил}-5-азаспиро[2.5]октан-7-карбоксамид; (6S,7S)-N-гидрокси-6-{[4-(2-тиенил)-3,6-дигидропиридин-1(2Н)-ил]карбонил}-5-азаспиро[2.5]октан-7-карбоксамид; (6S,7S)-N-гидрокси-6-{[3-(3-тиенил)пирролидин-1-ил]карбонил}-5-азаспиро[2.5]октан-7-карбоксамид; (6S,7S)-N-гидрокси-6-{[3-(2-тиенил)пирролидин-1-ил]карбонил}-5-азаспиро[2.5]октан-7-карбоксамид; (6S,7S)-N-гидрокси-6-{[4-(2-тиенил)пиперидин-1-ил]карбонил}-5-азаспиро[2.5]октан-7-карбоксамид; (6S,7S)-N-гидрокси-6-{[3-(2-метилфенил)пирролидин-1-ил]карбонил}-5-азаспиро[2.5]октан-7-карбоксамид; (6S,7S)-N-гидрокси-6-{[3-(4-метилфенил)пирролидин-1-ил]карбонил}-5-азаспиро[2.5]октан-7-карбоксамид; (6S,7S)-5-ацетил-N-гидрокси-6-[(4-фенил-3,6-дигидропиридин-1(2Н)-ил)карбонил]-5-азаспиро[2.5]октан-7-карбоксамид; (6S,7S)-N-гидрокси-6-{[4-(3-тиенил)-3,6-дигидропиридин-1(2Н)-ил]карбонил}-5-азаспиро[2.5]октан-7-карбоксамид; (6S,7S)-N-гидрокси-6-[(3-фенилпиперидин-1-ил)карбонил]-5-азаспиро[2.5]октан-7-карбоксамид; (6S,7S)-N-гидрокси-6-{[4-(3-тиенил)пиперидин-1-ил]карбонил}-5-азаспиро[2.5]октан-7-карбоксамид; метил-(6S,7S)-6-{[4-(3,5-диметилфенил)-3,6-дигидропиридин-1(2Н)-ил]карбонил}-7-[(гидроксиамино)карбонил]-5-азаспиро[2.5]октан-5-карбоксилат; (6S,7S)-6-{[4-(3,5-диметилфенил)-3,6-дигидропиридин-1(2Н)-ил]карбонил}-N-гидрокси-5-(метилсульфонил)-5-азаспиро[2.5]октан-7-карбоксамид; (6S,7S)-6-{[4-(3,5-дифторфенил)-3,6-дигидропиридин-1(2Н)-ил]карбонил}-N-гидрокси-5-азаспиро[2.5]октан-7-карбоксамид, или его фармацевтически приемлемая соль.
44. Соединение по п.1, где соединение представляет собой метил-(6S,7S)-7-[(гидроксиамино)карбонил]-6-[(4-фенилпиперазин-1-ил)карбонил]-5-азаспиро[2,5]октан-5-карбоксилат, или его фармацевтически приемлемая соль.
45. Соединение по п.1, где соединение представляет собой метил-(6S,7S)-7-[(гидроксиамино)карбонил]-6-[(4-фенилпиперазин-1-ил)карбонил]-5-азаспиро[2,5]октан-5-карбоксилат.
46. Фармацевтическая композиция, обладающая свойством ингибитора металлопротеаз, содержащая соединение по любому из пп.1-45 или его фармацевтически приемлемую соль, и фармацевтически приемлемый носитель.
47. Применение соединения по любому из пп.1-45 или его фармацевтически приемлемой соли для производства лекарственного средства для лечения заболевания, связанного с нежелательной активностью металлопротеаз.
48. Применение соединения по любому из пп.1-45 или его фармацевтически приемлемой соли для производства лекарственного средства для лечения заболевания, модулируемого металлопротеазой.
49. Применение соединения по любому из пп.1-45 или его фармацевтически приемлемой соли для производства лекарственного средства для лечения рака молочной железы.
50. Применение соединения по любому из пп.1-45 или его фармацевтически приемлемой соли для производства лекарственного средства для лечения заболевания, связанного с нежелательной активностью Her-2 шеддазы.
51. Применение соединения по любому из пп.11-45 или его фармацевтически приемлемой соли для производства лекарственного средства для лечения заболевания, связанного с активностью Her-2 шеддазы.
52. Применение по п.51, где заболевание представляет собой рак.
53. Применение по п.52, где рак представляет собой рак молочной железы.
54. Применение соединения по любому из пп.1-45 или его фармацевтически приемлемой соли для производства лекарственного средства для лечения заболевания, связанного с нежелательной активностью ADAM10 или ADAM17.
|
|