|
|
(21), (22) Заявка: 2008119516/04, 19.05.2008
(24) Дата начала отсчета срока действия патента:
19.05.2008
(46) Опубликовано: 20.01.2010
(56) Список документов, цитированных в отчете о поиске:
STN on the Web Interchim Intermediates, AN: 2036043254, 18.02.2008. WO 2008/051533 A2, 02.05.2008. RU 2006118312 A, 10.12.2007.
Адрес для переписки:
125047, Москва, Миусская пл., 9, ГОУ ВПО РХТУ им. Д.И. Менделеева, патентно-лицензионный отдел
|
(72) Автор(ы):
Попков Сергей Владимирович (RU), Чурилов Игорь Сергеевич (RU), Черненко Юлия Николаевна (RU), Миронова Ольга Юрьевна (RU)
(73) Патентообладатель(и):
Государственное образовательное учреждение высшего профессионального образования “Российский химико-технологический университет им. Д.И. Менделеева” (РХТУ им. Д.И. Менделеева) (RU)
|
(54) [2-(АЗОЛ-1-ИЛ)АЛКИЛБЕНЗИМИДАЗОЛ-1-ИЛ]АЛКАНОВЫЕ КИСЛОТЫ И ИХ ЭФИРЫ, СПОСОБ ИХ ПОЛУЧЕНИЯ (ВАРИАНТЫ) И РОСТРЕГУЛЯТОРНАЯ КОМПОЗИЦИЯ НА ИХ ОСНОВЕ
(57) Реферат:
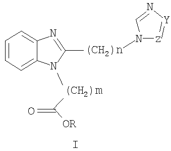
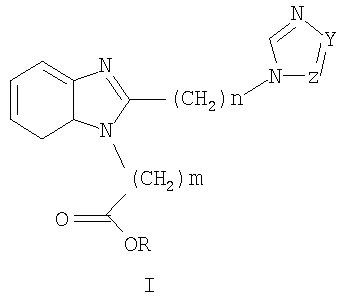
Изобретение относится к [2-(азол-1-ил)алкилбензимидазол-1-ил]алкановым кислотам и их эфирам общей формулы I, где Z и Y означают атом азота или СН-группу, или одновременно являются цепью С-СН=СН-СН=СН-С, составляющую вместе аннелированное кольцо, n и m одинаковые или разные означают целое число от 1 до 3, R означает атом водорода или алкильную группу с числом атомов углерода от 1 до 4, за исключением [2-(1Н-бензимидазол-1-илметил)-1H-бензимидазол-1-ил]уксусной кислоты. Указанные соединения общей формулы I получают алкилированием 2-(азол-1-илалкил)бензимидазолов II эфирами -галогеналкановых кислот, алкилакрилатами и -бутиролактоном в полярных апротонных и протонных растворителях в присутствии карбонатов щелочных металлов, а также при использовании катализаторов межфазного переноса. Также изобретение относится к рострегуляторной композиции на основе соединения общей формулы I. Технический результат: получены новые [2-(азол-1-ил)алкилбензимидазол-1-ил]алкановые кислоты, использование которых в росторегуляторной композиции позволяет добиться стойкого ретардантного эффекта. 6 н.п. ф-лы, 7 табл.
 
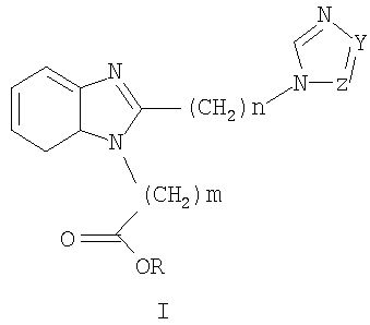
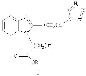
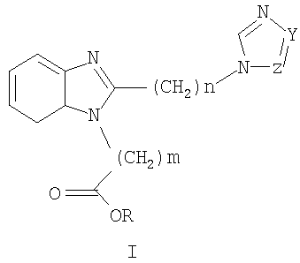
Изобретение относится к химии гетероциклических соединений, а именно к [2-(азол-1-ил)алкилбензимидазол-1-ил]алкановым кислотам и их эфирам общей формулы I:

где Z и Y означают атом азота или СН-группу, или одновременно являются цепью С-СН=СН-СН=СН-С, составляющую вместе аннелированное кольцо, n и m одинаковые или разные означают целое число от 1 до 3, R означает атом водорода или алкильную группу с числом атомов углерода от 1 до 4, обладающим рострегуляторной активностью. Соединения общей формулы I могут найти применение в качестве сельскохозяйственных препаратов, обладающих рострегуляторной активностью.
Изобретение относится также к способам получения соединений общей формулы I, к использованию этих соединений в композициях с другими вспомогательными соединениями для регулирования роста растений.
Известен ряд соединений общей формулы II [патент США 4925853, МКИ А61К 31/44, заявл. 28.12.1988, опубл. 15.05.1990], обладающих противовоспалительным действием,
 
где R1, R2, R3, R4, R5 означают атом водорода или низшую алкильную группу, R6 означает атом водорода, низшую алкильную группу, замещенный или незамещенный арил, R означает атом водорода, галогена или низшую алкильную группу, которые получают из 2,3-диаминофенола нагреванием при 120°С с соответствующими алкановыми или арилалкановыми кислотами.
Наиболее близки к заявляемой структуре соединения общей формулы III [патент США 4563455, МКИ С07D 401/06, заявл. 9.03.1984, опубл. 7.01.1986], обладающие противоязвенной активностью, где А означает низшую алкильную группу, R1 означает атом водорода, галогена, низшую алкильную группу или низшую алкоксигруппу, R2 означает атом водорода, низшую алкильную группу, циклоалкил, пиридил или арил, R3 означает азотсодержащую ненасыщенную гетероциклическую группу, Y означает атом азота или СН-группу, которые получают взаимодействием о-фенилендиамина с соответствующими кислотами в присутствии различных конденсирующих агентов, например N,N’-дициклогексилкарбодиимида, тионилхлорида, оксохлорида фосфора, этилхлорформиата и др.

Известно, что среди представителей разнообразных классов азотсодержащих гетероциклических соединений: триазолов, бензимидазолов, тиадиазолов, индолов и др. найдены высокоактивные препараты, влияющие на фиторегуляцию в самых малых концентрациях. В практике сельского хозяйства широкое применение получили ретарданты из группы производных 1,2,4-триазола, например паклобутразол (4,4-диметил-2-(1,2,4-триазол-1-ил)-1-(4-хлорфенил)пентанол-3) [патент Великобритании 1595696, МКИ3 1, P. 88-98.].
 6. – P.1457-1460.]. Известен способ конденсации о-фенилендиамина с различными альдегидами, в том числе гетероциклическими, в присутствии хлорокиси циркония [R. Nagawade, D. Shinde. Синтез производных бензимидазола в присутствии ZrOCl2 3. – С.465-466.], приводящий к 2-пиридилбензимидазолам.
Техническая задача данного изобретения состоит в увеличении эффективности рострегуляторных препаратов и расширении их ассортимента.
Техническим результатом изобретения является получение новых соединений общей формулы I, способы их получения, а также увеличение эффективности рострегуляторных средств за счет применения [2-(азол-1-ил)алкилбензимидазол-1-ил]алкановых кислот и их эфиров общей формулы I и расширение ассортимента рострегуляторных препаратов.
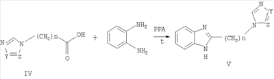
Согласно настоящему изобретению [2-(азол-1-ил)алкилбензимидазол-1-ил]алкановые кислоты общей формулы I получают алкилированием 2-(азол-1-илалкил)бензимидазолов общей формулы V, которые, в свою очередь, получают циклоконденсацией ( -(азол-1-ил)алкановых кислот общей формулы IV, где Z и Y означают атом азота или СН-группу, или одновременно являются цепью С-СН=СН-СН=СН-С, составляющую вместе аннелированное кольцо, n означает целое число от 1 до 3, с о-фенилендиамином в присутствии полифосфорной кислоты (РРА) при нагревании до 170-180°С.

Далее 2-(азол-1-илалкил)бензимидазолы общей формулы V подвергают алкилированию различными алкилирующими агентами. Для получения эфиров [2-(азол-1-ил)алкилбензимидазол-1-ил]алкановых кислот общей формулы I, где Z и Y означают атом азота или СН-группу, или одновременно являются цепью С-СН=СН-СН=СН-С, составляющую вместе аннелированное кольцо, n и m одинаковые или разные означают целое число от 1 до 3, R означает низшую алкильную группу с числом атомов углерода от 1 до 4, по способу А в качестве алкилирующих агентов используют эфиры ( -галогеналкановых кислот, где m означает целое от 1 до 3, R означает низшую алкильную группу с числом атомов углерода от 1 до 4, Hal означает атом галогена в апротонных полярных растворителях, например ацетонитриле, метилэтилкетоне, ДМФА и др., в присутствии карбонатов щелочных металлов при нагревании до температуры 60-120°С.
Способ А.

По другому методу эфиры [2-(азол-1-ил)алкилбензимидазол-1-ил]алкановых кислот общей формулы I (способ Б) получают алкилированием 2-(азол-1-илалкил)бензимидазолов общей формулы V эфирами ( -галогеналкановых кислот в апротонных полярных растворителях, например ацетонитриле, метилэтилкетоне, ДМФА и др., в присутствии карбонатов щелочных металлов и катализаторов межфазного переноса: краун-эфиров, четвертичных аммонийных оснований и т.п при нагревании до температуры 60-120°С.
Использование катализатора межфазного переноса позволяет повысить выход соединений общей формулы I, а также сократить время взаимодействия.
Для получения эфиров [2-(азол-1-ил)алкилбензимидазол-1-ил]алкановых кислот общей формулы I, где m=2, по способу В проводят алкилирование бензимидазолов общей формулы V избытком алкилакрилата, где R означает низшую алкильную группу с числом атомов углерода от 1 до 4, в отношении от 1:1 до 1:1,5 в низших алифатических спиртах в присутствии органических оснований, например триэтиламина, гидроксида тетрабутиламмония, 1,8-диазобицикло[5.4.0]-ундец-7-ена (ДБУ), в качестве катализаторов.
Способ В.
 
При получении [2-(азол-1-ил)алкилбензимидазол-1-ил]бутановых кислот общей формулы I, где m=3, R означает атом водорода, по способу Г 2-(азол-1-илалкил)бензимидазолы общей формулы V вводят во взаимодействие с алкоголятами щелочных металлов с получением 2-(азол-1-ил)алкилбензимидазолатов щелочных металлов, которые алкилируют у-бутиролактоном при нагревании до температуры 170-180°С.
Способ Г.

Подкисление расчетным количеством водных растворов неорганических кислот приводит к получению целевых соединений общей формулы I, где m=3, R=H.
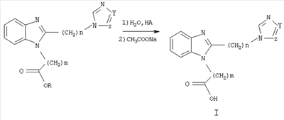
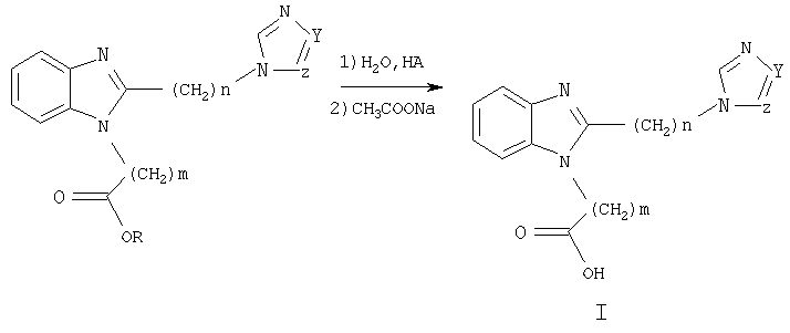
Все полученные эфиры 2-[(азол-1-ил)алкилбензимидазол-1-ил]алкановых кислот общей формулы I, где R означает низшую алкильную группу с числом атомов углерода от 1 до 4, подвергают гидролизу в присутствии кислот в качестве катализатора с последующей нейтрализацией солей до свободных соединений добавлением основных реагентов.

Гидролиз тех же эфиров общей формулы I, где R означает низшую алкильную группу с числом атомов углерода от 1 до 4, проводят также в присутствии гидроксидов щелочных металлов, например гидроксида лития, гидроксида натрия и др., с последующим подкислением расчетным количеством неорганической кислоты.
Техническим результатом изобретения также является разработка рострегуляторных композиций, состоящих из [2-(азол-1-ил)алкилбензимидазол-1-ил]алкановых кислот и их эфиров общей формулы I в концентрации 0,1-99% и вспомогательных веществ, которые успешно могут быть применены для регулирования роста растений.
Успешное применение пестицидов для борьбы с различными вредными организмами в большой степени зависит от препаративной формы препарата и условий, при которых действующее вещество контактирует с вредителями и возбудителями заболеваний растений. В зависимости от физико-химических свойств препарата, его назначения и способа применения выбирается наиболее эффективная и экономичная препаративная форма (композиция), это могут быть, например, дусты, гранулы, микрокапсулированные препараты, смачивающиеся порошки, концентраты эмульсий, мази, вододиспергируемые гранулы, суспензионные концентраты. Препаративные формы, помимо действующего вещества, могут включать в свой состав вспомогательные вещества: наполнители, растворители, поверхностно-активные вещества, умягчители воды, синергические добавки и др. Так, например, препарат паклобутразол применяют в виде 25%-го концентрата суспензий и 50%-го смачивающегося порошка в качестве системного ретарданта на плодовых и зерновых культурах, а также для борьбы с болезнями яблони. [Пестициды и регуляторы роста растений: Справ. изд. / Н.Н.Мельников, К.В.Новожилов, С.Р.Белан. – М.: Химия, 1995, с.24, с.124.].
По результатам рострегуляторных испытаний in vitro [2-(азол-1-ил)алкилбензимидазол-1-ил]алкановых кислот соединения 18, 19 позволяют регулировать рост растений в процессе их онтогенеза. Соединение 18 проявляет ярко выраженные ретардантные свойства во всем диапазоне концентраций, в то время как варьирование концентрации соединения 19 дает возможность изменять свойства от ретардантных (тормозящих рост проростка) до ростстимулирующих.
Изобретение может быть проиллюстрировано следующими примерами
Пример 1.
2-(Бензимидазол-1-илметил)бензимидазол (3)
К суспензии 3,52 г (0,020 моль) бензимидазол-1-илуксусной кислоты в 12,50 г полифосфорной кислоты добавляют 2,16 г (0,020 моль) о-фенилендиамина и нагревают на масляной бане при температуре 170-180°С при интенсивном перемешивании в течение 5 часов, выливают в 75 мл воды и нейтрализуют 25%-ным раствором аммиака до рН 7-8. Выпавший осадок отфильтровывают и перекристаллизовывают из смеси этанол:вода (3:1), предварительно осветляя раствор кипячением с активированным углем. Получают 2,68 г (54%) 2-(бензимидазол-1-илметил)бензимидазола (3) с т.пл. 234-236°С.
Пример 2.
2-[3-(Бензимидазол-1-ил)пропил)]бензимидазол (9)
Получают аналогично 2-(бензимидазол-1-илметил)бензимидазолу (3). Выделяют дигидрат 2-[3-(бензимидазол-1-ил)пропил)]бензимидазола, с т.пл. 87-89°С, который высушивают нагреванием в вакууме над фосфорным ангидридом при температуре 110°С. Получают 10,90 г (79%) 2-[3-(бензимидазол-1-ил)пропил)]бензимидазола (9) с т.пл. 202-204°С.
Аналогично получают другие 2-(азол-1-ил)алкилбензимидазолы. (Таблица 1).
Данные о выходе и температуре плавления полученных 2-(азол-1-ил)алкилбензимидазолов приведены в таблице 1, спектральные характеристики – в таблице 2.
1Н ЯМР-спектры записаны на приборе «Bruker AC-200» (рабочая частота 200 МГц), сдвиги измерены относительно тетраметилсилана, в качестве растворителя использовали d6-DMSO. ИК-спектры регистрировали с призмами NaCl в тонкой пленке в вазелиновом масле на приборе «Specord M80».
Таблица 1. Характеристики и выход синтезированных 2-(азол-1-ил)алкилбензимидазолов. |
| Соединение |
Y |
Z |
Выход, % |
Т.пл, °С |
| 1 |
СН |
СН |
74 |
195-196 |
| 2 |
СН |
N |
72 |
188-189 |
| 3 |
С-СН=CН-СН=СН-С |
54 |
234-236 |
| 4 |
СН |
СН |
66 |
160-161 |
| 5 |
СН |
N |
56 |
202-204 |
| 6 |
С-СН=СН-СН=СН-С |
67 |
202-204 |
| 7 |
СН |
СН |
75 |
145-147 |
| 8 |
СН |
N |
52 |
170-172 |
| 9 |
С-СН=СН-СН=СН-С |
79 |
202-204 |
 
Пример 3.
Этиловый эфир [2-(имидазол-1-илметил)бензимидазол-1-ил]уксусной кислоты (10)
Способ А
Суспензию 2,50 г (0,013 моль) 2-(имидазол-1-илметил)бензимидазола и 1,85 г (0,013 моль) мелкоизмельченного карбоната калия в 50 мл абсолютированного ацетонитрила кипятят при интенсивном перемешивании в течение 1 часа, добавляют по каплям раствор 1,83 мл (2,09 г, 0,017 моль) этилхлорацетата в 20 мл абсолютированного ацетонитрила, кипятят еще в течение 2,5 часов, отфильтровывают от осадка, фильтрат упаривают в вакууме водоструйного насоса, остаток перекристаллизовывают из ацетонитрила. Получают 1,02 г (27%) этилового эфира [2-(имидазол-1-илметил)бензимидазол-1-ил]уксусной кислоты (10) с т.пл. 181-182°С.
Пример 4.
Этиловый эфир [2-(имидазол-1-илметил)бензимидазол-1-ил]уксусной кислоты (10)
Способ Б
Суспензию 5,94 г (0,030 моль) 2-(имидазол-1-илметил)бензимидазола, 4,27 г (0,031 моль) мелкоизмельченного карбоната калия и 0,54 г (1,498 ммоль) дибензо-18-крауна-6 в 70 мл абсолютированного ацетонитрила кипятят при интенсивном перемешивании в течение 1 часа, добавляют по каплям раствор 3,90 мл (4,43 г, 0,036 моль) этилхлорацетата в 20 мл абсолютированного ацетонитрила, после чего кипятят при интенсивном перемешивании в течение 30 минут. Полученную реакционную массу охлаждают, отфильтровывают. Осадок кипятят с 100 мл метанола, охлаждают и отфильтровывают. Фильтраты объединяют, упаривают в вакууме водоструйного насоса досуха, остаток кипятят с 50 мл метанола, отфильтровывают. Из фильтрата отгоняют растворитель, остаток перекристаллизовывают из смеси этанол:изопропанол (1:1). Получают 6,28 г (74%) этилового эфира [2-(имидазол-1-илметил)бензимидазол-1-ил]уксусной кислоты (10) с т.пл. 184-185°С.
Пример 5.
Этиловый эфир 3-[2-(бензимидазол-1-илметил)бензимидазол-1-ил]пропионовой кислоты (15)
Способ В.
К раствору 4,00 г (0,016 моль) 2-(бензимидазол-1-илметил)бензимидазола и 0,05 мл (0,51 г, 0,322 ммоль) 1,8-диазобицикло[5.4.0]ундец-7-ена в 15 мл абсолютированного этанола прибавляют 2,10 мл (1,64 г, 0,019 моль) этилакрилата и кипятят при интенсивном перемешивании в течение 20 часов. Растворитель отгоняют досуха в вакууме водоструйного насоса, остаток перекристаллизовывают дважды из изопропилового спирта. Получают 1,93 г (35%) этилового эфира 3-[2-(бензимидазол-1-илметил)бензимидазол-1-ил]пропионовой кислоты (15) с т.пл. 144-146°С.
Данные о выходе и температуре плавления полученных этиловых эфиров [2-(азол-1-ил)алкилбензимидазол-1-ил]алкановых кислот приведены в таблице 3, спектральные характеристики – в таблице 4.
Таблица 3. Характеристики и выход синтезированных этиловых эфиров [2-(азол(1-ил)алкилбензимидазол-1-ил]алкановых кислот. |
| Соединение |
n |
m |
Y |
Z |
Способ |
Выход, % |
Т.пл., °С |
| 1 |
2 |
3 |
4 |
5 |
6 |
7 |
8 |
| 10 |
1 |
1 |
CH |
CH |
А |
27 |
184-185 |
| Б |
74 |
| 11 |
1 |
1 |
CH |
N |
А |
62 |
164-165 |
| Б |
69 |
| 1 |
2 |
3 |
4 |
5 |
6 |
7 |
8 |
| 12 |
1 |
1 |
С-СН=СН-СН=СН-С |
А |
72 |
217-219 |
| Б |
68 |
| 13 |
2 |
1 |
СН |
СН |
А |
50 |
176-177 |
| 14 |
2 |
1 |
СН |
N |
А |
67 |
112-114 |
| 15 |
1 |
2 |
С-СН=СН-СН=СН-С |
В |
35 |
144-146 |

Пример 6.
4-[2-(Бензимидазол-1-илметил)бензимидазол-1-ил]бутановая кислота (16)
Способ Г.
К раствору метилата натрия, полученному растворением 0,39 г (0,017 моль) натрия в 25 мл метанола, добавляют 3,36 г (0,017 моль) 2-(1,2,4-триазол-1-илметил)бензимидазола, кипятят в течение 1 часа, растворитель отгоняют в вакууме водоструйного насоса. К остатку добавляют 1,3 мл (1,45 г, 0,017 моль) -бутиролактона и нагревают при температуре 170-180°С в течение 1 часа, охлаждают и подкисляют, добавляя 8,5 мл 2н раствора соляной кислоты, осадок отфильтровывают, высушивают над Р2О5 и получают 2,78 г (58%) 4-[2-(бензимидазол-1-илметил)бензимидазол-1-ил]бутановой кислоты (16) с т.пл. 182-184°С.
Пример 7.
[2-(Имидазол-1-илметил)бензимидазол-1-ил]уксусная кислота (17)
Смесь 0,50 г (1,761 ммоль) этилового эфира [2-(имидазол-1-илметил)бензимидазол-1-ил]уксусной кислоты (10) и 3,30 мл (14,538 ммоль) 15% раствора соляной кислоты, кипятят в течение 2 часов, упаривают досуха в вакууме водоструйного насоса. Получают 0,55 г (95%) дигидрохлорида [2-(имидазол-1-илметил)бензимидазол-1-ил]уксусной кислоты с т.пл. 268-269°С.
Стадия получения свободной кислоты: 0,30 г (0,912 ммоль) дигидрохлорида [2-(имидазол-1-илметил)бензимидазол-1-ил]уксусной кислоты растворяют в 2,5 мл воды и при интенсивном перемешивании добавляют 0,25 г (1,824 ммоль) тригидрата ацетата натрия, выпавший осадок отфильтровывают и высушивают. Получают 0,12 г (51%) [2-(имидазол-1-илметил)бензимидазол-1-ил]уксусной кислоты (17) с т.пл. 288-289°С.
Аналогично получают другие [2-(азол-1-ил)алкилбензимидазол-1-ил]алкановые кислоты. (Таблица 5).
Данные о выходе и температуре плавления полученных [2-(азол-1-ил)алкилбензимидазол-1-ил]алкановых кислот приведены в таблице 5, спектральные характеристики – в таблице 6.
Таблица. 5. Характеристики и выход синтезированных [2-азол-1-ил)алкилбензимидазол-1-ил]алкановых кислот. |
| Соединение |
n |
m |
Y |
Z |
Выход, % |
Т.пл., °С |
| 16 |
1 |
3 |
C-CH=CH-CH=CH-C |
58 |
182-184 |
| 17 |
1 |
1 |
СН |
СН |
51 |
288-289 |
| 18 |
1 |
1 |
СН |
N |
77 |
264-265 |
| 19 |
1 |
1 |
С-СН=СН-СН=СН-С |
66 |
323-324 |
| 20 |
2 |
1 |
СН |
СН |
81 |
185-187 |
| 21 |
2 |
1 |
СН |
N |
51 |
189-191 |
| 22 |
1 |
2 |
С-СН=СН-СН=СН-С |
65 |
258-260 |

Пример 8.
Композиция концентрата эмульсии
Действующее вещество [2-(азол-1-ил)алкилбензимидазол-1-ил]алкановая кислота 100 г
Алкилбензолсульфокислоты кальциевая соль (АБСК) 50 г
Оксиэтилированный октилфенол (ОП-7) 50 г
Циклогексанон 300 г
Смесь ксилолов 500 г
5. – P.473-497.], не содержащей веществ гормональной природы, в культуральных сосудах объемом 200 мл. Препараты подвергали холодной стерилизации (пропускали растворы через бактериальные фильтры) и затем их добавляли в заранее проавтоклавированную питательную среду МС, которую впоследствии разливали по культуральным сосудам. Семена огурца поверхностно стерилизовали 0,1% раствором сулемы в течение 10 минут, после чего их промывали трижды стерильной дистиллированной водой и помещали на питательную среду МС. Культуральные сосуды с растительным материалом переносили в световую комнату, где поддерживали температуру 22°С, постоянное освещение люминесцентными лампами, интенсивность 3 тыс.лк., влажность воздуха 70%.
В эксперименте каждое соединение изучали в 5 концентрациях: 0,001, 0,01, 0,1, 1,0, 10,0 мг/л. Соединения общей формулы I вводили в среду МС в виде композиции, представляющей 1%-й раствор I в ДМСО, с общей концентрацией ДМСО в среде 0,1%. Контролем служил вариант, не содержащий в питательной среде гормонов и исследуемых препаратов. В конце 8-го дня изучали линейные и весовые показатели проростков огурца: длину корневой системы (см), длину надземной части проростка (см), сухой и сырой вес проростка (г). Данные по тестированию влияния исследуемых соединений на проращивание семян огурца сорта «Электрон» приведены в таблице 7.
Применение соединений общей формулы I позволяет расширить ассортимент рострегуляторных препаратов при использовании самых низких концентраций действующего вещества, и в случае применения соединения 18 в диапазоне концентраций от 0,01 до 10 мг/л добиться стойкого ретардантного эффекта.
Формула изобретения
1. [2-(Азол-1-ил)алкилбензимидазол-1-ил]алкановые кислоты и их эфиры общей формулы I
 где Z и Y означают атом азота или СН-группу, или одновременно являются цепью С-СН=СН-СН=СН-С, составляющую вместе аннелированное кольцо, n и m одинаковые или разные означают целое число от 1 до 3, R означает атом водорода или алкильную группу с числом атомов углерода от 1 до 4, за исключением [2-(1Н-бензимидазол-1-илметил)-1Н-бензимидазол-1-ил]уксусной кислоты.
2. Способ получения [2-(азол-1-ил)алкилбензимидазол-1-ил]алкановых кислот и их эфиров общей формулы I,
 где Z и Y означают атом азота или СН-группу, или одновременно являются цепью С-СН=СН-СН=СН-С, составляющую вместе аннелированное кольцо, n и m одинаковые или разные означают целое число от 1 до 3, R означает атом водорода или алкильную группу с числом атомов углерода от 1 до 4, заключающийся в том, что 2-(азол-1-илалкил)бензимидазолы общей формулы II, где Z, Y и n имеют те же значения, что и в формуле I, алкилируют эфирами -галогеналкановых кислот общей формулы III, где m означает целое число от 1 до 3, R имеет те же значения, что и в формуле I, Hal означает атом галогена,
  в апротонных полярных растворителях в присутствии карбонатов щелочных металлов при нагревании до температуры от 60 до 120°С.
3. Способ получения [2-(азол-1-ил)алкилбензимидазол-1-ил]алкановых кислот и их эфиров общей формулы I
 где Z и Y означают атом азота или СН-группу, или одновременно являются цепью С-СН=СН-СН=СН-С, составляющую вместе аннелированное кольцо, n и m одинаковые или разные означают целое число от 1 до 3, R означает атом водорода или алкильную группу с числом атомов углерода от 1 до 4, заключающийся в том, что 2-(азол-1-илалкил)бензимидазолы общей формулы II, где Z, Y и n имеют те же значения, что и в формуле I, алкилируют эфирами -галогеналкановых кислот общей формулы III, где m означает целое число от 1 до 3, R имеет те же значения, что и в формуле I, Hal означает атом галогена,
  в апротонных полярных растворителях в присутствии карбонатов щелочных металлов при нагревании до температуры от 60 до 120°С в присутствии катализаторов межфазного переноса.
4. Способ получения [2-(азол-1-ил)алкилбензимидазол-1-ил]алкановых кислот и их эфиров общей формулы I,
 где Z и Y означают атом азота или СН-группу, или одновременно являются цепью С-СН=СН-СН=СН-С, составляющую вместе аннелированное кольцо, n означает целое число от 1 до 3, m=2, R означает атом водорода или алкильную группу с числом атомов углерода от 1 до 4, заключающийся в том, что 2-(азол-1-илалкил)бензимидазолы общей формулы II, где Z, Y и n имеют те же значения, что и в формуле I, алкилируют алкилакрилатом общей формулы IV, где R имеет те же значения, что и в формуле I,
  в низших алифатических спиртах в присутствии органических оснований в качестве катализаторов.
5. Способ получения [2-(азол-1-ил)алкилбензимидазол-1-ил]алкановых кислот общей формулы I,
 где Z и Y означают атом азота или СН-группу, или одновременно являются цепью С-СН=СН-СН=СН-С, составляющую вместе аннелированное кольцо, n означает целое число от 1 до 3, m=3, R означает атом водорода, заключающийся в том, что 2-(азол-1-илалкил)бензимидазолы общей формулы II, где Z, Y и n имеют те же значения, что и в формуле I, вводят во взаимодействие с алкоголятами щелочных металлов с получением 2-(азол-1-ил)алкилбензимидазолатов щелочных металлов, которые алкилируют -бутиролактоном V при нагревании до температуры 170-180°С
 
6. Рострегуляторная композиция, содержащая регулятор роста растений в концентрации 0,1-99% и вспомогательные вещества, отличающаяся тем, что в качестве регулятора роста растений используют [2-(азол-1-ил)алкилбензимидазол-1-ил]алкановые кислоты и их эфиры общей формулы I
 где Z и Y означают атом азота или СН-группу, или одновременно являются цепью С-СН=СН-СН=СН-С, составляющую вместе аннелированное кольцо, n и m одинаковые или разные означают целое число от 1 до 3, R означает атом водорода или алкильную группу с числом атомов углерода от 1 до 4.
|
|