|
|
(21), (22) Заявка: 2007122396/04, 09.11.2005
(24) Дата начала отсчета срока действия патента:
09.11.2005
(30) Конвенционный приоритет:
15.11.2004 HU P0402371
(43) Дата публикации заявки: 20.12.2008
(46) Опубликовано: 20.01.2010
(56) Список документов, цитированных в отчете о поиске:
WO 02/096879 A, 05.12.2002. BARALDI P.G. et al. Synthesis and preliminary biological evalution of . BIOORGANIC & MEDICINAL CHEMISTRY LETTERS. Vol.10, no.3, 02.2000, p.209-211. MULLER et al. 3H-8-ETHYL-4-METHYL-2-PHENYL-(8R)-4,5,7,8-tetrahydro-1h-imidazo . BIOORG. MED. CHEM. LETT. Vol.12, 2002, p.501-503. RU 99123060 A, 20.10.2001.
(85) Дата перевода заявки PCT на национальную фазу:
15.06.2007
(86) Заявка PCT:
HU 2005/000120 20051109
(87) Публикация PCT:
WO 2006/051341 20060518
Адрес для переписки:
129090, Москва, ул. Б.Спасская, 25, стр.3, ООО “Юридическая фирма Городисский и Партнеры”, пат.пов. Е.Е.Назиной
|
(72) Автор(ы):
ТИМАРИ Геза (HU), БОЭР Кинга (HU), ТОТ Геза (HU), ТЕМБЕЛИ Чаба (HU)
(73) Патентообладатель(и):
САНОФИ-АВЕНТИС (FR)
|
(54) ИЗОТОПНО-МЕЧЕНЫЕ ПРОИЗВОДНЫЕ ХИНОЛИНА, ВЫСТУПАЮЩИЕ В КАЧЕСТВЕ ЛИГАНДОВ АДЕНОЗИНОВОГО РЕЦЕПТОРА A3
(57) Реферат:
Данное изобретение относится к соединению с общей формулой (I)

и его изомерам, где R1 обозначает атом водорода или алкильную С1-4 группу с прямой или разветвленной цепью, или фенильную группу, тиенильную группу или фурильную группу, опционально замещенную одной или более алкильными С1-4 группами с прямой или разветвленной цепью, С1-4 алкоксигруппами с прямой или разветвленной цепью, или атомами галогена; R2 обозначает атом водорода или алкильную С1-4 группу с прямой или разветвленной цепью, или фенильную, бензильную, тиенильную или фурильную группу, опционально замещенную метилендиоксигруппой, или одной или более алкильными С1-4 группами с прямой или разветвленной цепью, или С1-4 алкокси-, гидрокси-, трифторметил- или цианогруппой с прямой или разветвленной цепью, или атомами галогена, а также к способу его получения. Также изобретение относится к новым интермедиатам с общей формулой (II) и их получению. Технический результат: получены и описаны радиолиганды А3 антагонистического действия, меченного изотопами йода с массовым числом 125, которые обладают высокой специфической активностью. 4 н. и 12 з.п. ф-лы, 2 табл., 1 ил.
Данное изобретение относится к лигандам аденозинового рецептора А3, меченным изотопами йода с массовым числом 125, преимущественно к антагонистам и их изомерам, к экспериментальному материалу, их содержащему, к способу получения соединений с общей формулой (I)

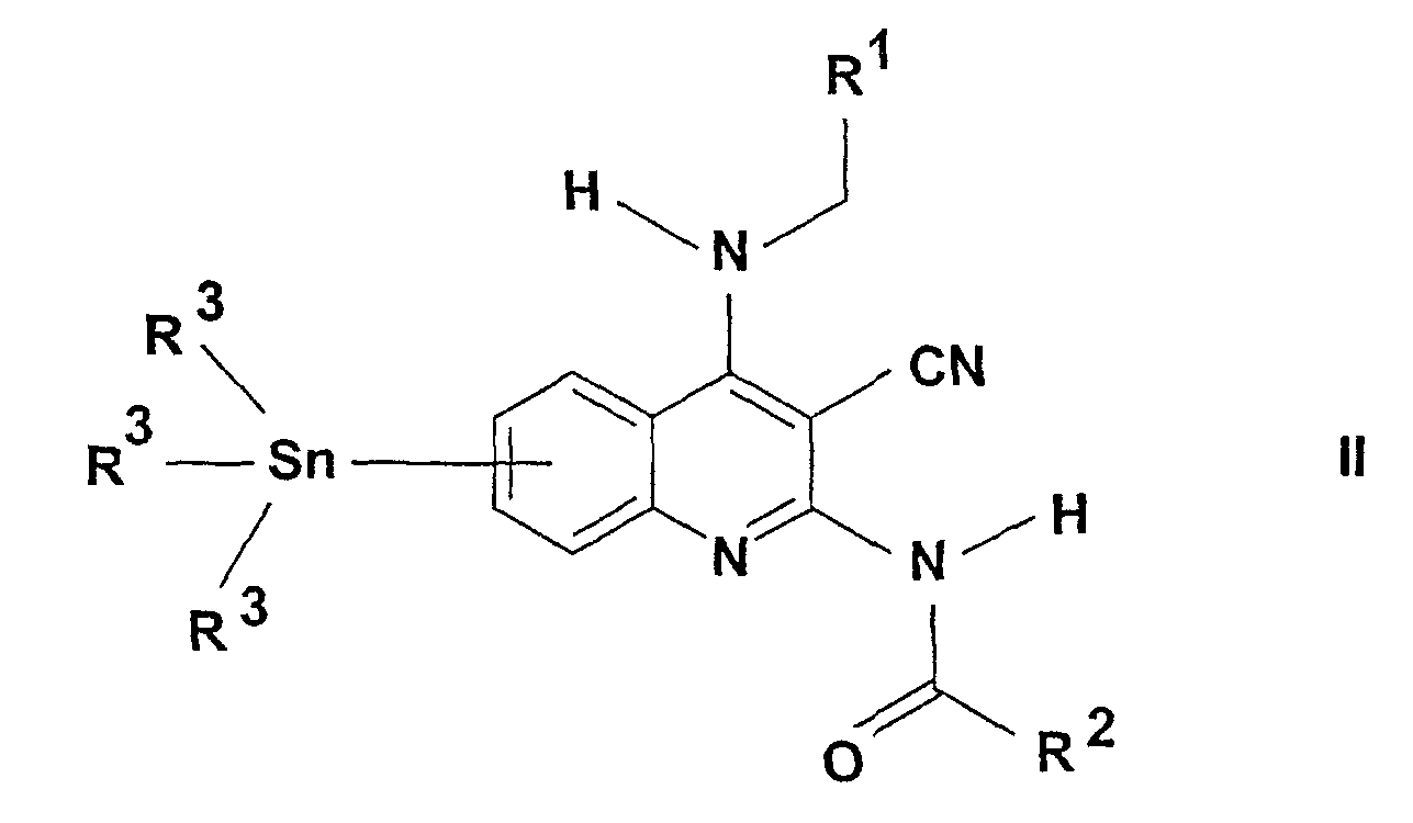
и их изомеров, к новым интермедиатам с общей формулой (II)

и их получению.
Аденозин представляет собой хорошо известный компонент некоторых эндогенных молекул (АТФ, НАД+, нуклеиновых кислот). Кроме того, он играет важную регуляторную роль во многих физиологических процессах. Влияние аденозина на функцию сердца было открыто уже в 1929 г. (Drury and Szentgyörgyi, J Physiol 68:213, 1929). Обнаружение возрастающего числа физиологических функций, регулируемых аденозином, и открытие новых подтипов аденозиновых рецепторов предоставили возможности для применения специфичных лигандов в лечебных целях (Poulse, S. A. and Quinn, R. J. Bioorganic and Medicinal Chemistry 6:619, 1998).
До настоящего времени рецепторы для аденозина были разделены на три основных класса: A1, A2 и A3. Подтип A1 частично отвечает за ингибирование аденилатциклазы присоединением мембранного Gi-белка, частично влияет на другие системы вторичных мессенджеров. Подтип рецепторов A2 можно разделить на два следующих подтипа – A2a и A2b, которые повышают активность аденилатциклазы. Ряд аденозиновых рецепторов А3 был недавно выделен из библиотеки кДНК семенников крыс. Позднее было доказано, что он соответствует новому, функционализированному аденозиновому рецептору. Активация рецепторов А3 также связана с некоторыми системами вторичных мессенджеров: ингибированием аденилатциклазы, активацией фосфолипазы C и D.
Аденозиновые рецепторы находятся в некоторых органах и регулируют их функции. Оба типа A2a и A2b рецепторов играют важные роли в центральной нервной и сердечно-сосудистой системах. В ЦНС аденозин ингибирует освобождение синаптических трансмиттеров, эффект которого усиливается рецепторами A1. В сердце рецепторы A1 также усиливают отрицательный инотропный, хронотропный и дромотропный эффекты аденозина. Аденозиновые рецепторы A2a, которые находятся в относительно большом количестве в полосатом теле, функционально взаимодействуют с дофаминовыми рецепторами, регулируя синаптическую передачу. Аденозиновые рецепторы A2a в эндотелиальных и гладкомышечных клетках отвечают за аденозининдуцируемое расширение кровеносных сосудов.
На основе обнаружения кРНК аденозиновые рецепторы A2b широко распространены в различных тканях. Они были обнаружены почти в каждом типе клеток, но их экспрессия максимальна в кишечнике и мочевом пузыре. Данный подтип, возможно, также выполняет важную регуляторную функцию в регулировании сосудистого тонуса и играет некоторую роль в функции тучных клеток.
В противоположность рецепторам A1 и A2a, для которых распределение по тканям было установлено на белковом уровне, присутствие рецепторов A2b и A3 было установлено на основе их кРНК уровня. Уровни экспрессии для аденозиновых рецепторов A3 достаточно низкие по сравнению с другими подтипами и очень сильно зависят от вида рецептора. Аденозиновые рецепторы A3 экспрессированы, в первую очередь, в центральной нервной системе, семенниках, иммунной системе и оказываются вовлечены в модуляцию освобождения медиатора из тучных клеток в реакции гиперчувствительности немедленного типа.
Для использования в лечебных целях необходимо убедиться, что молекула не связывается или связывается только в случае очень высокой концентрации с аденозиновым рецептором A1, A2а и A2b подтипом. Данное изобретение относится к соединениям с общей формулой (I), меченным изотопами йода с массовым числом 125, и к их солям, сольватам и изомерам, которые обладают высокой селективностью к A3 подтипу аденозинового рецептора.
[3H]-MRE 3008-F20 радиолиганд-антагонист аденозинового рецептора A3 известен из литературы (P. G. Baraldi, Bioorganic and Medicinal Chemistry 10, 209-211, 2000). Также известен [3H]-PSB-11 радиолиганд-антагонист рецептора A3 (C. H. Müller, Bioorganic and Medicinal Chemistry 12, 501-503, 2002).
Целью заявителей было получение радиолиганда A3 антагонистического действия, меченного изотопами йода с массовым числом 125, так как они обладают более высокой специфической активностью по сравнению с лигандами, меченными тритием. Задача заключалась в получении радиолигандов, обладающих сильной аффинностью к аденозиновому рецептору A3, но в то же время демонстрирующих высокую селективность к подтипам, т. е. связывание с рецепторами A1, A2а и A2b при более высокой концентрации. Дальнейшей целью было получение радиолигандов, пригодных для характеризации рецептора A3 в различных тканях и изучения механизма действия антагонистов A3.
Предмет данного изобретения представляет собой соединения с общей формулой (I)

и их изомеры, где в формуле
R1 обозначает атом водорода или алкильную С1-4 группу с прямой или разветвленной цепью, или циклоалкильную С3-6 группу, или фенильную группу, тиенильную группу или фурильную группу, опционально замещенную одной или более алкильными С1-4 группами с прямой или разветвленной цепью, С1-4 алкоксигруппами с прямой или разветвленной цепью, или атомами галогена, или 5- или 6-членное гетероароматическое кольцо, содержащее один, два или три атома азота, или 5-членное гетероароматическое кольцо, содержащее один атом азота и один атом кислорода, или один атом азота и один атом серы, опционально замещенное одной или более алкильными С1-4 группами с прямой или разветвленной цепью, С1-4 алкоксигруппами с прямой или разветвленной цепью, или атомами галогена;
R2 обозначает атом водорода или алкильную С1-4 группу с прямой или разветвленной цепью, или фенильную, бензильную, тиенильную или фурильную группу, опционально замещенную метилендиоксигруппой, или одной или более алкильными С1-4 группами с прямой или разветвленной цепью, или С1-4 алкокси-, гидрокси-, трифторметил- или цианогруппами с прямой или разветвленной цепью, или атомами галогена, или 5- или 6-членное гетероароматическое кольцо, содержащее один, два или три атома азота, или один атом азота и один атом кислорода, или один атом азота и один атом серы, опционально замещенное одной или более алкильными С1-4 группами с прямой или разветвленной цепью, С1-4 алкоксигруппами с прямой или разветвленной цепью или атомами галогена.
Подробные значения вышеупомянутых заместителей следующие.
Под алкильной С1-4 группой с прямой или разветвленной цепью заявители понимают метильную, этильную, пропильную, изопропильную, бутильную, изобутильную, втор-бутильную, трет-бутильную, предпочтительно этильную или метильную группу.
Под С1-4 алкоксигруппой с прямой или разветвленной цепью заявители понимают метокси-, этокси-, пропокси-, изопропокси-, бутокси-, изобутокси-, втор-бутокси-, трет-бутокси-, предпочтительно этокси- или метоксигруппу.
Под С3-6 циклоалкильной группой заявители понимают циклопропильную, циклобутильную, циклопентильную или циклогексильную группу.
Под гетероароматическим кольцом, содержащим один или два, или три атома азота, может пониматься пиррольное, имидазольное, пиразольное, 1,2,3-триазольное, 1,2,4-триазольное, пиридиновое, пиримидиновое, пиридазиновое, пиразиновое или 1,3,4-триазиновое кольцо. Кольцо опционально замещено С1-4 алкильной или алкоксигруппой или атомом галогена.
Под гетероароматическим кольцом, содержащим один атом азота и один атом кислорода или один атом серы, понимается оксазольное, изоксазольное, тиазольное, изотиазольное кольцо. Кольцо опционально замещено С1-4 алкильной или алкоксигруппой или атомом галогена.
Подходящая группа соединений с общей формулой (I) образована соединениями, в которых
R1 обозначает фенильную, тиенильную или фурильную группу,
R2 обозначает 4-метоксифенильную, 3-метилфенильную, 3-метоксифенильную, 2-тиенильную, 3-тиенильную, 2-фурильную или 3-фурильную группу.
В особенности подходят следующие соединения, удовлетворяющие вышеупомянутым критериям:
4-метокси-N-(6-[125I]йодо-4-бензиламино-3-цианохинолин-2-ил)бензамид
4-метокси-N-(6-[125I]йодо-4-[2-тиенилметиламино]-3-цианохинолин-2-ил)бензамид.
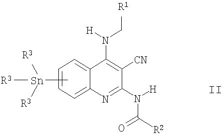
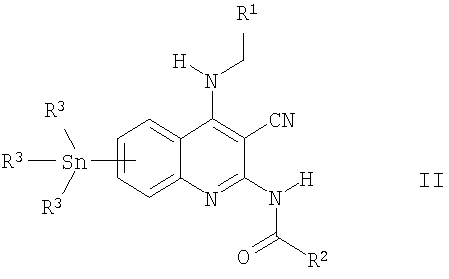
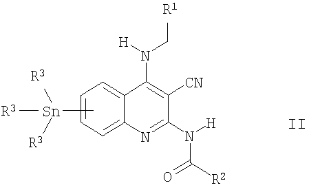
Дополнительный предмет данного изобретения представляет собой получение соединений с общей формулой (I)

и интермедиатов с общей формулой (II).

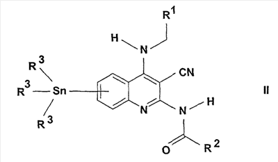
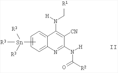
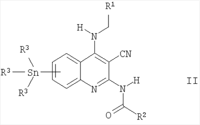
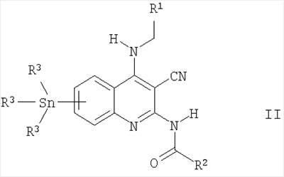
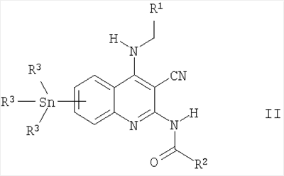
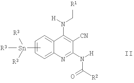
Интермедиаты с общей формулой (II), которые используются в процессе получения в соответствии с данным изобретением, являются новыми. В общей формуле (II) значение заместителей R1 и R2, аналогично определенному выше, R3 обозначает алкильную С1-4 группу с прямой или разветвленной цепью, предпочтительно метильную или бутильную группу.
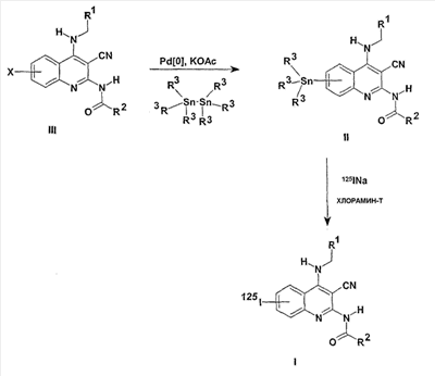
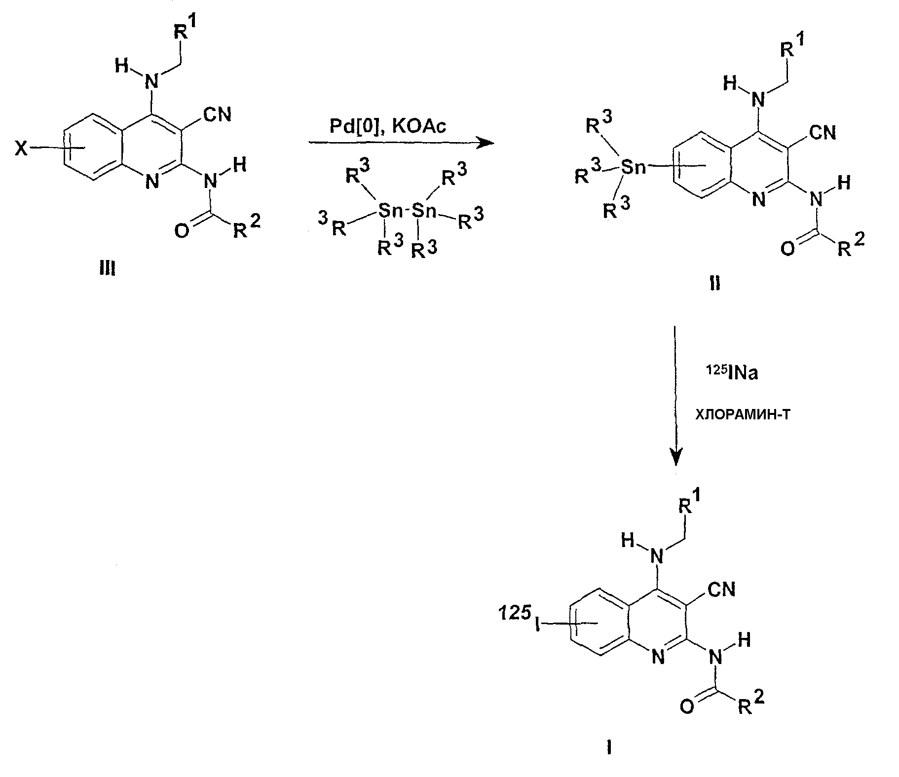
В способе, в соответствии с данным изобретением, соединения с общей формулой (I) получаются при взаимодействии соответствующих соединений с общей формулой (II) со свободным [125I]NaI в присутствии окислителя.
Реакция проводится в среде водного метанола (pH 3) при комнатной температуре.
В качестве окислителя могут быть использованы пероксиды, например, пероксид водорода, N-галогенсукцинамиды, например, N-хлорсукцинамид, или хлорсульфамиды, предпочтительно хлорамин-Т.
Продукт очищают при помощи обращенно-фазовой высокоэффективной жидкостной хроматографии (ОФ ВЭЖХ) с использованием модифицированного С18-содержащего силикагеля в качестве неподвижной фазы и бинарной смеси метанол-вода, содержащей 0,1% (в объемном отношении) трифторуксусной кислоты в качестве элюирующей системы, со скоростью потока 0,9 мл/мин.
Обнаружение проводилось УФ-излучением с длиной волны 272 нм; обнаружение радиоактивности проводилось жидкостным сцинтилляционным способом.
В соответствии с данным изобретением соединение с общей формулой (II)

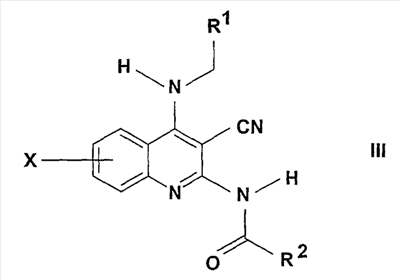
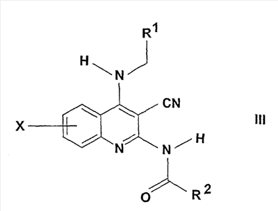
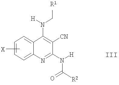
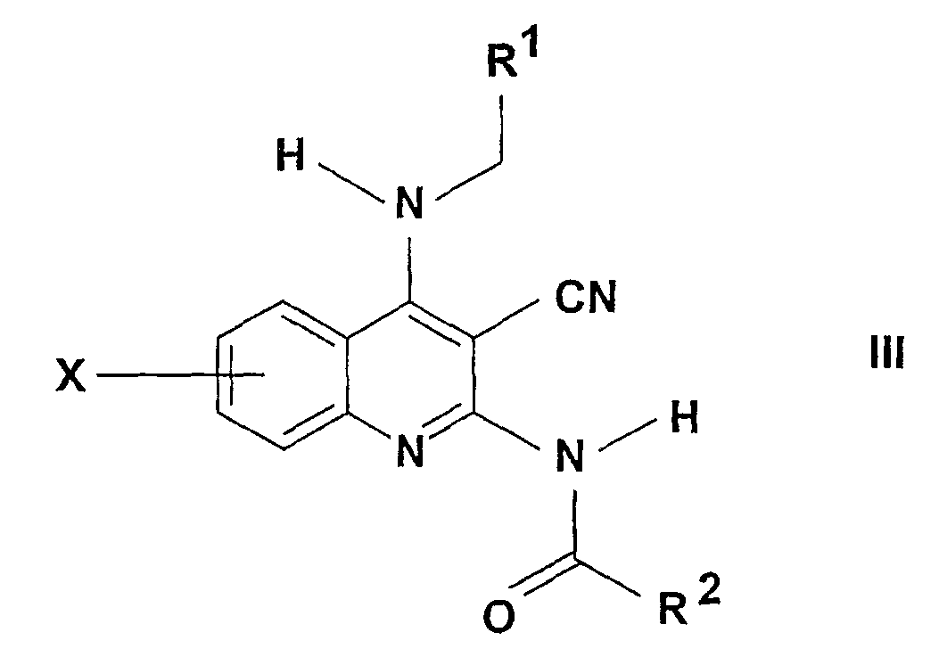
может быть получено из соответствующего хинолина с общей формулой (III),

где значение заместителей R1 и R2, аналогично определенному выше, и Х обозначает атом брома или йода, при взаимодействии в присутствии палладиевого катализатора, органического или неорганического основания и органического растворителя с гексаалкилдистаннановым соединением. Выделяется продукт с общей формулой (II). Замена атома галогена на триалкилстаннил-группу проводится в органическом растворителе, например, в диоксане или диметилформамиде, или преимущественно в N-метил-2-пирролидоне. Реакция может протекать в широком интервале температур между 20-100°С. В качестве органического основания можно применять триалкиламины, предпочтительно триэтиламин. В качестве неорганического основания могут быть использованы гидроксиды щелочных металлов, карбонаты и ацетаты, предпочтительно ацетат калия. В реакции в качестве катализатора могут быть использованы ацетат палладия, хлорид палладия или тетракис(трифенилфосфин)палладий(0) (Z.P. Zhuang, M.P. Kung, C. Hou, D.M. Skovronsky, T.L. Gur, K. Plössl, J.Q. Trojanowski, V.M.Y. Lee, H.F. Kung, J. Med. Chem. 44, 1905, (2001)), но заявители обнаружили, что с катализатором тетракис(три(о-толил)фосфин)палладий(0) реакция идет быстрее и с лучшим выходом.
Соединения с общей формулой (III)

могут быть синтезированы согласно способу, описанному в патентной заявке WO 02/096879.
Способ в соответствии с данным изобретением показан на Схеме Реакции 1.

Дальнейшие особенности изобретения иллюстрируются примерами, не ограничивая ими формулу изобретения.
Примеры
Пример 1
4-метокси-N-(6-[125I]йодо-4-бензиламино-3-цианохинолин-2-ил)бензамид
В общей формуле (I) R1 обозначает фенильную группу, R2 обозначает 4-метоксифенильную группу.
а) К 8 мкл раствора 0,1 мг/мл 4-метокси-N-(6-трибутилстаннил-4-бензиламино-3-цианохинолин-2-ил)бензамида в метаноле прибавляли 25 мкл (1,1 нмоль) 1%-ного (в объемном отношении) раствора трифторуксусной кислоты в метаноле и 70 МБк раствора [125I]NaI (21 мкл). К реакционной смеси прибавляли 5 мкл (2 нмоль) водного раствора 0,1 мг/мл хлорамина-Т, и смесь перемешивали при комнатной температуре в течение 15 мин. После инкубационного периода реакцию останавливали прибавлением 7 мкл (3,5 нмоль) раствора 0,1 мг/мл пиросульфита натрия, и продукт немедленно очищали при помощи ОФ ВЭЖХ с проведением УФ-обнаружения и обнаружения радиоактивности. Таким образом получали 31 МБк названного соединения (молярная активность 81,4 ГБк/ммоль) с радиохимической чистотой >95%. Очищенный продукт хранится в смеси метанол-вода (0,1% ТФУ) 3:1 (объемная активность: 29 МБк/мл).
б) 4-метокси-N-(6-трибутилстаннил-4-бензиламино-3-цианохинолин-2-ил)бензамид.
0,33 г 4-метокси-N-(6-йодо-4-бензиламино-3-цианохинолин-2-ил)бензамида растворяли в 5 мл N-метил-2-пирролидона, и к раствору прибавляли 240 мг ацетата натрия, 50 мг тетракис(три(о-толил)фосфин)палладия(0) и 0,6 мл гексабутилдистанната. Реакционная смесь перемешивали при комнатной температуре в атмосфере аргона в течение 16 часов, затем переносили в 20 мл воды и экстрагировали толуолом 2×20 мл. Объединенную фазу толуола высушивали над сульфатом натрия, фильтровали и выпаривали при пониженном давлении. Остаток хроматографировали на колонке с силикагелем при использовании смеси хлороформ – этилацетат (10:0,5) в качестве элюента. После выпаривания чистых фракций получали 250 мг названного соединения.
1Н-ЯМР(CDCl3) 0,9(м, 9Н), 1,1 (м, 6Н), 1,3 (м, 6Н), 1,55 (м, 6Н), 3,8 (с, 3Н), 5,08 (д, 2Н), 7,06 (д, 2Н), 7,2-7,4 (м, 5Н), 7,55 (д, 2Н), 7,9-8,1 (м, 3Н), 8,66 (м, 1Н), 10,1 (с, 1Н).
Пример 2
4-метокси-N-(6-[125I]йодо-4-[2-тиенилметиламино]-3-цианохинолин-2-ил)бензамид.
В общей формуле (I) R1 обозначает тиенильную группу, R2 обозначает 4-метоксифенильную группу.
а) К 8 мкл (1,1 нмоль) раствора 0,1 мг/мл 4-метокси-N-(6-трибутилстаннил-4-[2-тиенилметиламино]-3-цианохинолин-2-ил)бензамида в метаноле прибавляли 25 мкл (1,1 нмоль) 1%-ного (в объемном отношении) раствора трифторуксусной кислоты в метаноле и 70 МБк раствора [125I]NaI (21 мкл). К реакционной смеси прибавляли 5 мкл (2 нмоль) водного раствора 0,1 мг/мл хлорамина-Т, и смесь перемешивали при комнатной температуре в течение 15 мин. После инкубационного периода реакцию останавливали прибавлением 7 мкл (3,5 нмоль) раствора 0,1 мг/мл пиросульфита натрия, и продукт немедленно очищали при помощи ОФ ВЭЖХ с проведением УФ-обнаружения и обнаружения радиоактивности. Таким образом получали 28 МБк названного соединения (молярная активность 81,4 ГБк/ммоль) с радиохимической чистотой >95%. Очищенный продукт хранили в смеси метанол-вода (0,1 % ТФУ) 3:1 (объемная активность: 28 МБк/мл).
б) 4-метокси-N-(6-трибутилстаннил-4-[2-тиенилметиламино]-3-цианохинолин-2-ил)бензамид.
0,3 г 4-метокси-N-(6-йодо-4-[2-тиенилметиламино]-3-цианохинолин-2-ил)бензамида растворяли в 5 мл N-метил-2-пирролидона, и к раствору прибавляли 240 мг ацетата натрия, 50 мг тетракис(три(о-толил)фосфин)палладия(0) и 0,6 мл гексабутилдистаннана. Реакционную смесь перемешивали при комнатной температуре в атмосфере аргона в течение 16 часов, затем переносили в 20 мл воды и экстрагировали толуолом 2×20 мл. Объединенную фазу толуола высушивали над сульфатом натрия, фильтровали и выпаривали при пониженном давлении. Остаток хроматографировали на колонке с силикагелем при использовании смеси хлороформ-этилацетат (10:0,5) в качестве элюента. После выпаривания чистых фракций получали 235 мг названного соединения.
1Н-ЯМР(CDCl3) 0,9(м, 9Н), 1,1 (м, 6Н), 1,3 (м, 6Н), 1,55 (м, 6Н), 3,85 (с, 3Н), 5,1 (д, 2Н), 6,9-7,17 (м, 4Н), 7,43-7,54 (м, 2Н), 8,03 (м, 3Н), 8,72-8,82 (м, 2Н), 10,86 (с, 1Н).
Пример 3
А./ Биологические методы
Связывание аденозинового рецептора А1 человека
Приготовление мембранной суспензии: собирают клетки яичников клонированного китайского хомяка, экспрессирующие аденозиновые рецепторы А1 человека (далее: CHO-hA1), промывают их три раза физиологическим раствором с фосфатным буфером, центрифугируют (1000 г, 10 мин) и гомогенизируют (B.Braun Potter S) при скорости вращения 1500 об/мин. Буфер: 50 мМ трис-HCl, pH 7,4. Центрифугируют данную гомогенизированную смесь (43,000 г, 10 мин), суспендируют осадок в пробирке после центрифугирования в вышеупомянутом буфере, доведя концентрацию белка до 5 мг/мл (способ Бредфорда), и добавляют 2 МЕ/мл аденозиндезаминазы.
Протокол связывания: инкубируют CHO-hA1 мембранный препарат (содержание белка 50 мкг) в присутствии тестового соединения и 10 нМ [3H]CCPA (2-хлоро-N6-циклопентил-аденозин) (80.000 распадов в минуту) в инкубационном буфере (50 мМ трис-HCl, pH 7.4, 2 МЕ/мл аденозиндезаминазы). Неспецифическое связывание определяется в присутствии 10 мкМ R-PIA (N6-[L-2-фенилизопропил]аденозин) в общем объеме 100 мкл в течение 3 часов при комнатной температуре. Фильтруют через стекловолоконные фильтры Whatman GF/B (предварительно вымоченные в 0,5%-ном полиэтилимине в течение 3 часов), промывают 4 раза по 1 мл ледяной 50 мМ трис-HCl (pH 7.4) на 96-луночном харвестере клеток Брэндела. Обнаружение активности: в 96-луночном планшете в присутствии смеси HiSafe-3 в бета-счетчике (1450 Microbeta, Wallac). Ингибирование [%] = 100-((активность в присутствии тестового соединения – неспецифическая активность)/(полная активность – неспецифическая активность))*100.
Связывание аденозинового рецептора А2а человека
Инкубируют 7 мкг мембран (аденозиновые рецепторы А2а человека, внедренные в клетки HEK-293, источник: Receptor Biology, Inc.), в присутствии тестового соединения и 20 нМ [3H]CGS-21680 (2-[p-(2-карбонилэтил)фенилэтиламино]-5′-N-этилкарбоксамидо-аденозин) (200.000 распадов в минуту) в инкубационном буфере (50 мМ трис-HCl, 10 мМ MgCl2, 1 мМ ЭДТУ, 2 МЕ/мл аденозиндезаминазы, pH 7.4). Неспецифическое связывание определяется в присутствии 100 мкг NECA (5′-N-этилкарбоксамидо-аденозин) в общем объеме 100 мкл в течение 90 мин при комнатной температуре. Фильтруют в вакууме через стекловолоконные фильтры Whatman GF/B (предварительно вымоченные в 0,5%-ном полиэтилимине в течение 3 часов), промывают 4 раза по 1 мл ледяным буфером (50 мМ трис-HCl, 10 мМ MgCl2, 1 мМ ЭДТУ, 0,9 % NaCl, pH 7.4) на 96-луночном харвестере клеток Брэндела. Обнаружение активности: в бета-счетчике (1450 Microbeta, Wallac) в присутствии 200 мкл смеси HiSafe-3. Ингибирование [%] = 100-((активность в присутствии тестового соединения – неспецифическая активность)/(полная активность – неспецифическая активность))*100.
Связывание аденозинового рецептора А2b человека
Протокол связывания: инкубируют 20,8 мкг мембран (аденозиновые рецепторы А2b человека, внедренные в клетки HEK-293, источник: Receptor Biology, Inc.) в присутствии тестового соединения и 32,4 нМ [3H]DPCPX (8-циклопентил-1,3-дипропилксантин) (800,000 распадов в минуту) в инкубационном буфере (50 мМ трис-HCl, 10 мМ MgCl2, 1 мМ ЭДТУ, 0,1 мМ бензамидина, 2 МЕ/мл аденозиндезаминазы, pH 6.5). Неспецифическое связывание определяют в присутствии 100 мкМ NECA (5′-N-этилкарбоксамидо-аденозин) в общем объеме 100 мкл в течение 30 мин при комнатной температуре. Фильтруют в вакууме 25 мм рт. ст. через стекловолоконные фильтры Whatman GF/С (предварительно вымоченные в 0,5%-ном полиэтилимине в течение 3 часов), промывают 4 раза по 1 мл ледяной 50 мМ трис-HCl (pH 6.5) на 96-луночном харвестере клеток Брэндела. Обнаружение активности: в бета-счетчике (1450 Microbeta, Wallac) в присутствии 200 мкл смеси HiSafe-3. Ингибирование [%] = 100-((активность в присутствии тестового соединения – неспецифическая активность)/(полная активность – неспецифическая активность))*100.
Связывание аденозинового рецептора А3 человека
Приготовление мембранной суспензии: собирают клетки яичников клонированного китайского хомяка, экспрессирующие рецепторы А3 человека (далее: CHO-hA3), промывают их три раза физиологическим раствором с фосфатным буфером, центрифугируют (1000 г, 10 мин) и гомогенизируют (B.Braun Potter S) при скорости вращения 1500 об/мин. Буфер: 50 мМ трис, 10 мМ MgCl2, 1 мМ ЭДТУ, pH 0,8. Центрифугируют данную гомогенизированную смесь (43,000 г, 10 мин), суспендируют осадок в пробирке после центрифугирования в вышеупомянутом буфере, доведя концентрацию белка до 0,1 мг/мл (способ Бредфорда), и добавляют 2 МЕ/мл аденозиндезаминазы.
Связывание рецептора в присутствии [125I]AB-MECA
Инкубируют CHO-hA3 мембранный препарат (содержание белка 2 мкг) в присутствии тестового соединения и 0,5 нМ [125I]AB-MECA (4-амино-3-йодо-бензил-5′-N-этилкарбоксамидо-аденозин) (100,000 распадов в минуту) в инкубационном буфере (50 мМ трис, 10 мМ MgCl2, 1 мМ ЭДТУ, 2 МЕ/мл аденозиндезаминазы, pH 8.0). Неспецифическое связывание радиолиганда определяют в присутствии 100 мкМ R-PIA (N6-[L-2-фенилизопропил]аденозин) в общем объеме 50 мкл в течение 60 мин при комнатной температуре. Фильтруют в вакууме 25 мм рт. ст. через стекловолоконные фильтры Whatman GF/С (предварительно вымоченные в 0,5%-ном полиэтилимине в течение 3 часов), промывают 4 раза по 1 мл ледяным буфером (50 мМ трис, 10 мМ MgCl2, 1 мМ ЭДТУ, pH 8.0) на 96-луночном харвестере клеток Брэндела. Обнаружение радиоактивности: в гамма-счетчике (1470 Wizard, Wallac). Ингибирование [%] = 100-((активность в присутствии тестового соединения – неспецифическая активность)/(полная активность – неспецифическая активность))*100.
Связывание рецептора в присутствии радиоактивного йодсодержащего соединения из Примера 2/а
Инкубируют CHO-hA3 мембранный препарат (содержание белка 4 мкг) в присутствии тестового соединения и 0.5 нМ соединения, содержащего радиоактивный йод (100.000 распадов в минуту), описанного в Примере 2/а, в инкубационном буфере (50 мМ трис, pH 8.0, 10 мМ MgCl2, 1 мМ ЭДТУ, 0,08% CHAPS, 0,5% бычий сывороточный альбумин, 2 МЕ/мл аденозиндезаминазы). Неспецифическое связывание радиолиганда определяется в присутствии 100 мкМ R-PIA (N6-[L-2-фенилизопропил]аденозин) в общем объеме 50 мкл в течение 60 мин при комнатной температуре. Для уменьшения адсорбции изотопнозамещенный препарат и реакционную смесь держат в полиэтиленовой пробирке. Фильтруют в вакууме 25 мм рт. ст. через стекловолоконные фильтры Whatman GF/С (предварительно вымоченные в 0,5%-ном полиэтилимине в течение 3 часов), промывают 4 раза по 1 мл ледяным буфером (50 мМ трис (pH 8), 10 мМ MgCl2, 1 мМ ЭДТУ, 0,08% CHAPS, 0,25% бычий сывороточный альбумин) на 96-луночном харвестере клеток Брэндела. Обнаружение радиоактивности: в гамма-счетчике (1470 Wizard, Wallac). Ингибирование [%] = 100-((активность в присутствии тестового соединения – неспецифическая активность)/(полная активность – неспецифическая активность))*100.
B./ Результаты биологических исследований
I Аффинность немеченого йодсодержащего соединения, приведенного в Примере 2/b в качестве исходного материала (т. е. немеченого аналога нового радиолиганда, приведенного в Примере 2/а), к подтипам аденозиновых рецепторов в присутствии известных радиолигандов
Аффинность исходного соединения из Примера 2/b к аденозиновому рецептору А3 (Ki = 1,5 нМ) проявляет селективность, которая, по крайней мере, в 1000 раз больше, чем в случае других подтипов аденозиновых рецепторов (Таблица 1).
Таблица 1. Характеризация исходного соединения из Примера 2/b по отношению к его аффинности к аденозиновым рецепторам
II/A Исследование нового радиоактивного йодсодержащего соединения из Примера 2/а на аденозиновом рецепторе А3 человека при помощи анализа Скэтчарда, используемого для характеризации радиолигандов
На основе кривых радиоизотопного насыщения при помощи анализа Скэтчарда (G. Scatchard, Ann. N. Y. Acad. Sci. 51:660, 1949) была установлена константа диссоциации (KD) нового радиолиганда из Примера 2/а на мембранном препарате CHO-hA3. В исследованном диапазоне концентраций (0,156 нМ-10 нМ) радиолиганд связывается только по одному участку связывания в присутствии мембранного препарата, содержащего 4 мкг белка. Найденное значение KD равно 4 нМ, максимальная связывающая способность 985 фмоль/1 мг белка (смотри чертеж).
На чертеже кривая насыщения Скэтчарда нового радиолиганда из Примера 2/а в присутствии мембранного препарата CHO-hA3.
II/B Сравнение известного аденозинового радиолиганда A3 с новым радиолигандом из Примера 2/а на основе значений аффинности контрольных соединений в присутствии 4 мкг CHO-hA3 препарата
Зная значения KD, при помощи уравнения Ченга-Прусова (Y. J. Cheng and W. H. Prusoff, Biochem. Pharmacol. 22:3099, 1973) константы Ki исследуемых контрольных соединений и константы исходного соединения из Примера 2/b (т. е. немеченого аналога нового радиолиганда из Примера 2/а) были рассчитаны на основе значений IC50. Контрольные соединения проявили сходные значения аффинности в присутствии известного и нового радиолигандов, подтверждая пригодность радиолиганда из Примера 2/а. Немеченый аналог нового радиолиганда проявил значение Ki, примерно равное значению KD изотопно-меченной формы (4,0 нМ и 1,3 нМ), также подтверждая специфическое связывание нового радиолиганда (смотри Таблицу 2).
Таблица 2. Сравнение известного аденозинового радиолиганда A3 и нового радиолиганда из Примера 2/а с помощью значений аффинности контрольных соединений в присутствии 4 мкг CHO-hA3 препарата
Формула изобретения
1. Соединения с общей формулой (I)
 и их изомеры, где R1 обозначает атом водорода или алкильную С1-4 группу с прямой или разветвленной цепью, или фенильную группу, тиенильную группу или фурильную группу, опционально замещенную одной или более алкильными C1-4 группами с прямой или разветвленной цепью, C1-4 алкоксигруппами с прямой или разветвленной цепью, или атомами галогена; R2 обозначает атом водорода или алкильную С1-4 группу с прямой или разветвленной цепью, или фенильную, бензильную, тиенильную или фурильную группу, опционально замещенную метилендиоксигруппой, или одной или более алкильными C1-4 группами с прямой или разветвленной цепью, или C1-4 алкокси-, гидрокси-, трифторметил- или цианогруппой с прямой или разветвленной цепью, или атомами галогена.
2. Соединения с общей формулой (I)
 и их изомеры по п.1, в котором R1 обозначает фенильную, тиенильную или фурильную группу, R2 обозначает 4-метоксифенильную, 3-метилфенильную, 3-метоксифенильную, 2-тиенильную, 3-тиенильную, 2-фурильную или 3-фурильную группу.
3. Соединения по пп.1 и 2 выбранные из 4-метокси-N-(6-[125I]йодо-4-бензиламино-3-цианохинолин-2-ил)бензамид 4-метокси-N-(6-[125I]йодо-4-[2-тиенилметиламино]-3-цианохинолин-2-ил)бензамид.
4. Способ получения соединений с общей формулой (I),
 где значение R1 и R2 аналогично определенному в п.1, отличающийся тем, что триалкилстаннильное соединение с общей формулой (II)
 где значение R1 и R2 аналогично определенному в п.1 и R3 обозначает алкильную С1-4 группу с прямой или разветвленной цепью, реагирует с [125I]NaI в присутствии окислителя.
5. Способ по п.4, отличающийся тем, что в качестве окислителя используется пероксид, такой как пероксид водорода, N-галогенсукцинамид, такой как N-хлорсукцинамид, или хлорсульфамид, предпочтительно хлорамин-Т.
6. Способ по п.4, отличающийся тем, что используется свободный [125I]NaI.
7. Способ по п.4, отличающийся тем, что реакция проводится в среде водного метанола (pH 3) при комнатной температуре.
8. Способ по п.4, отличающийся тем, что продукт выделяется из реакционной смеси при помощи ОФ ВЭЖХ.
9. Способ по п.8, отличающийся тем, что в процессе выделения при помощи ОФ ВЭЖХ в качестве неподвижной фазы используется модифицированный C18-содержащий силикагель и разделение осуществляется с использованием бинарной элюирующей системы метанол – вода, содержащей 0,1 об.% трифторуксусной кислоты, со скоростью потока 0,9 мл/мин с проведением УФ обнаружения и обнаружения радиоактивности в режиме реального времени.
10. Соединения с общей формулой (II)
 и их изомеры, где значение R1 и R2 аналогично определенному в п.1, и R3 обозначает алкильную С1-4 группу с прямой или разветвленной цепью.
11. Соединения с общей формулой (II)
 по п.1, в котором R1 и R2 обозначают фенильную или тиенильную группу, а R3 обозначает метильную или бутильную группу.
12. Способ получения соединений с общей формулой (II),
 где в формуле значение R1 и R2 аналогично определенному в п.1, и R3 обозначает алкильную С1-4 группу с прямой или разветвленной цепью, отличающийся тем, что соединение с общей формулой (III)
 где в формуле значение R1 и R2 аналогично определенному в п.1, реагирует с гексаалкилдистаннаном в органическом растворителе в присутствии основания и палладиевого катализатора.
13. Способ по п.12, отличающийся тем, что в качестве органического растворителя используется диоксан, диметилформамид, предпочтительно N-метил-2-пирролидон.
14. Способ по п.12, отличающийся тем, что в качестве основания используется органическое основание, такое как триалкиламин, предпочтительно триэтиламин, или неорганическое основание, такое как гидроксид щелочного металла, карбонат или ацетат, предпочтительно ацетат калия.
15. Способ по п.12, отличающийся тем, что в качестве катализатора используется ацетат палладия, хлорид палладия, тетракис(трифенилфосфин)палладий(0), предпочтительно тетракис(три(о-толил)фосфин)палладий(0).
16. Способ по п.12, отличающийся тем, что в качестве гексаалкилдистаннана используется гексабутилдистаннан.
РИСУНКИ
|
|