Патент на изобретение №2379288
|
|||||||||||||||||||||||||||||||||||||||||||||||||||||||||||||||||||||||||||||||||||||||||||||||||||||||||||||||||
(54) НОВЫЕ ПРОИЗВОДНЫЕ ПИРРОЛИДИН-3,4-ДИКАРБОКСАМИДА
(57) Реферат:
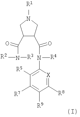
Изобретение относится к новым производным пирролидин-3,4-дикарбоксамида формулы (I):
где X означает N или C-R6; R1 означает С1-7алкил, С3-10циклоалкил, С3-10циклоалкил-С1-7алкил, фтор-С1-7алкил, гидрокси-С1-7алкил, CN-C1-7алкил, R10C(O), R10OC(O)-, N(R11,R12)C(O)-, R10OC(O)C1-7алкил, N(R11,R12)C(O)-C1-7алкил, R10SO2, R10-SO2-C1-7aлкил, N(R11,R12)-SO2, N(R11,R12)-SO2-С1-7алкил, арил-С1-7алкил, 5-членный моноциклический гетероарил, включающий атом азота, где кольцевой атом углерода может быть замещен карбонильной группой, гетероарил-С1-7алкил, где термин «гетероарил» означает ароматическое 5-членное моноциклическое кольцо, с 1 атомом S, или 6-членное моноциклическое кольцо, с 1 атом N, С1-7алкокси-С1-7алкил, С1-7алкоксикарбонил-С3-10циклоалкил-С1-7алкил или замещенный галогеном 4-членный гетероциклил-С1-7алкил, с одним атомом О; R2 означает Н, C1-7алкил; R3 означает арил, арил-С1-7алкил, гетероарил, гетероарил-С1-7алкил, где термин «гетероарил» означает 5-членное моноциклическое кольцо, с 1 атомом S, 6-членное моноциклическое кольцо, с 1 или 2 атомами N, 9-, 10-членную бициклическую систему, с 1 или 2 атомами N в одном кольце; R4 означает Н, С1-7алкил, ОН; R5, R6, R7, R8 независимо друг от друга выбирают из группы, состоящей из Н, галогена, С1-7алкила, С1-7алкокси, фтор-С1-7алкила, фтор-С1-7алкилокси; R9 означает арил, гетероциклил, гетероарил, гетероциклил-С(О)-; R10 означает Н, С1-7алкил, С3-10циклоалкил, С3-10циклоалкил-С1-7алкил, фтор-С1-7алкил, гетероарил, гетероарил-С1-7алкил, где термин «гетероарил» означает 5-членное моноциклическое кольцо, с 4 атомами N, 5-членный гетероциклил, с 1 атомом N; R11, R12 независимо друг от друга выбирают из группы, состоящей из Н, С1-7алкила, С3-10циклоалкила, С3-10циклоалкил-С1-7алкила; и их фармацевтически приемлемые соли; где термин “арил” означает фенильную группу, которая может быть необязательно замещена заместителями в количестве от 1 до 5, которые независимо выбирают из группы, состоящей из следующих заместителей: галоген, CF3, NH2, С1-7алкилсульфонил, С1-7алкокси, фтор-С1-7алкил, фтор-С1-7алкокси; термин “гетероциклил” означает неароматическую моноциклическую 5-6-членную гетероциклическую группу с 1, 2 атомами N, или с 1 атомом N и 1 атомом О, причем гетероциклильная группа может быть замещенной таким образом, как указано в отношении термина “арил”, а один атом углерода кольцевой системы гетероциклильной группы может быть замещен карбонильной группой; термин “гетероарил” означает ароматическую 5- или 6-членную моноциклическую кольцевую систему, которая может включать 1, 2, 3 атома N, или 1 атом N и 1 атом S, причем гетероарильная группа может быть замещенной таким образом, как указано в отношении термина “арил”, а один атом углерода кольцевой системы гетероарильной группы может быть замещен карбонильной группой. Соединения I обладают ингибирующей активностью в отношении фактора коагуляции Ха, что позволяет использовать их в фармацевтической композиции и для приготовления лекарственного средства. 3 н. и 24 з.п. ф-лы.
Настоящее изобретение относится к новым производным пирролидин-3,4-дикарбоксамида формулы (I):
в которой Х представляет собой N или C-R6; R1 представляет собой галоген, низший алкил, циклоалкил, циклоалкил-(низший алкил), фтор-(низший алкил), гидрокси-(низший алкил), CN-(низший алкил), гидрокси-(фторзамещенный низший алкил), низший алкинил, R10C(O)-, R10OC(O)-, N(R11,R12)C(O)-, R10OC(О)-(низший алкил), N(Rll,R12)C(O)-(низший алкил), R10-SO2, Rl0-SO2-(низший алкил), N(R11,R12)-SO2, N(R11,R12)-SO2-(низший алкил), арил-(низший алкил), гетероарил, гетероарил-(низший алкил), (низший алкокси)-(низший алкил), (низший алкоксикарбонил)-циклоалкил-(низший алкил) или гетероциклил-(низший алкил); R2 представляет собой водород или низший алкил; R3 представляет собой арил, арил-(низший алкил), гетероарил или гетероарил-(низший алкил); R4 представляет собой водород, низший алкил или гидрокси; R5, R6, R7 и R8 независимо друг от друга выбирают из группы, состоящей из водорода, галогена, низший алкил, низший алкокси, фтор-(низший алкил), фтор-низший алкилокси) или CN; R9 представляет собой арил, гетероциклил, гетероарил или гетероциклил-С(O)-; R10 представляет собой водород, низший алкил, циклоалкил, циклоалкил-(низший алкил), гидрокси-(низший алкил), фтор-(низший алкил), (низший алкил)-SO2-(низший алкил), арил, арил-(низший алкил), гетероарил, гетероарил-(низший алкил) или гетероциклил; R11 и R12 независимо друг от друга выбирают из группы, состоящей из водорода, низший алкил, гидрокси-(низший алкил), фтор-(низший алкил), циклоалкил, циклоалкил-(низший алкил), арил, арил-(низший алкил), гетероарил и гетероарил-(низший алкил); или R11 и R12, вместе с атомом азота, к которому они присоединены, образуют гетероциклическую кольцевую систему, выбранную из группы, состоящей из пиперидинила, пиперазинила, морфолинила, пирролидинила, пирролинила или азетидинила, указанная гетероциклическая кольцевая система может быть необязательно замещенной низшим алкилом, галогеном или гидрокси; и к их фармацевтически приемлемым солям. Кроме того, настоящее изобретение относится к способу получения вышеуказанных соединений, к фармацевтическим композициям, которые содержат такие соединения, а также к применению этих соединений для получения фармацевтических композиций. Соединения формулы (I) обладают активностью и ингибируют фактор коагуляции Ха. Эти соединения часто оказывают влияние на коагуляцию крови. Они ингибируют процесс образования тромбов и могут быть использованы для лечения и/или профилактики тромботических нарушений и расстройств, в частности, таких как артериальный и венозный тромбоз, глубокий венозный тромбоз, окклюзионное поражение периферической артерии, нестабильная стенокардия, инфаркт миокарда, болезнь коронарных артерий, эмболия сосудов легких, инсульт (тромбоз сосудов головного мозга) вследствие фибрилляции предсердий (мерцательной аритмии), воспаление и артериосклероз. Эти соединения могут быть полезны при лечении экстренного закрытия сосуда, связанного с тромболитической терапией, и рестеноза, например, после транслюминальной коронарной ангиопластики (РТСА) или шунтирования коронарных или периферических артерий при длительном поддержании доступа к сосуду при проведении пациенту гемодиализа. Ингибиторы фактора Х (F.Xa) согласно настоящему изобретению могут быть использованы в качестве части комбинационной терапии вместе с антикоагулянтами различного действия, или с ингибитором агрегации тромбоцитов, или с тромболитическим агентом. Кроме того, эти соединения оказывают воздействие на клетки опухолей и предотвращают метастазы. Они также могут быть использованы в качестве противоопухолевых агентов. Ранее предполагалось использовать для ингибирования образования тромбов и для лечения соответствующих заболеваний другие ингибиторы фактора Ха, которые структурно не взаимосвязаны с соединениями согласно настоящему изобретению (WO 03/045912). Однако все еще сохраняется необходимость в новых ингибиторах фактора Ха, которые обладали бы улучшенным комплексом фармакологических свойств, например более высокой селективностью по отношению к фактору коагуляции Ха. Настоящее изобретение относится к новым соединениям формулы (I), которые представляют собой ингибиторы фактора Ха. Неожиданно оказалось, что соединения согласно настоящему изобретению ингибируют фактор коагуляции Ха и также проявляют лучшие фармакологические свойства по сравнению с другими соединениями, уже известными из предшествующего уровня техники. Если не указано иное, то для установления значения и объема различных терминов, используемых в тексте настоящей заявки, и для иллюстрации возможных случаев использования таких терминов следует использовать приведенные ниже определения. В тексте настоящей заявки термин “низший” используется для обозначения группы, состоящей из от одного до семи, предпочтительно, от одного до четырех атомов углерода. Термин “галоген” относится к фтору, хлору, брому и иоду, причем фтор, хлор и бром являются предпочтительными. Термин “алкил”, по отдельности или в комбинации с другими группами, относится к линейному или разветвленному, моновалентному насыщенному алифатическому углеводородному радикалу, содержащему от одного до двадцати атомов углерода, предпочтительно, от одного до шестнадцати атомов углерода, более предпочтительно, от одного до десяти атомов углерода. Группы низший алкил, такие как описано ниже, также являются предпочтительными алкильными группами. Термин “низший алкил”, по отдельности или в комбинации с другими группами, относится к линейному или разветвленному, моновалентному алкильному радикалу, содержащему от одного до семи атомов углерода, предпочтительно, от одного до четырех атомов углерода. Значение этого термина дополнительно может быть проиллюстрировано такими радикалами, как метил, этил, н-пропил, изопропил, н-бутил, изобутил, трет-бутил. Низшие алкильные группы могут быть необязательно замещенными, например, группой гидрокси или CN. Такие замещенные низшие алкильные группы указываются как “гидрокси-(низший алкил)” или “CN-(низший алкил)” соответственно. Другим возможным необязательным заместителем является, например, галоген. Незамещенные низшие алкильные группы являются предпочтительными. Термин “фтор-(низший алкил)” относится к низшим алкильным группам, которые являются однократно или многократно замещенными фтором. Примерами групп фтор-(низший алкил) являются, например, группы CFH2, CF2H, CF3, CF3CH2, CF3(СН2)2, (CF3)2вН и CF2H-CF2. Термин “циклоалкил” относится к моновалентному карбоциклическому радикалу, содержащему от 3 до 10 атомов углерода, предпочтительно, от 3 до 6 атомов углерода, например, такому как циклопропил, циклобутил, циклопентил или циклогексил. Термин “алкокси” относится к группе R Термин “тиоалкокси” относится к группе R Термин “фтор-(низший алкокси)” относится к группе R”-O-, в которой R” представляет собой фтор-(низший алкил). Примерами групп фтор-(низший алкокси) являются, например, группы CFH2-O, CF2H-O, CF3-О, CF3CH2-О, CF3 (СН2)2-O, (CF3)2вН-O, и CF2H-CF2-O. Термин “алкенил”, по отдельности или в комбинации с другими группами, относится к углеводородному остатку с линейной или разветвленной цепью, включающему олефиновую связь и от 2 до 20, предпочтительно, от 2 до 16 атомов углерода, более предпочтительно, от 2 до 10 атомов углерода. Низшие алкенильные группы, как описано ниже, также являются предпочтительными алкенильными группами. Термин “низший алкенил” относится к углеводородному остатку с линейной или разветвленной цепью, включающему олефиновую связь и от 2 до 7, предпочтительно, от 2 до 4 атомов углерода, например к такому как 2-пропенил. Термин “алкинил”, по отдельности или в комбинации с другими группами, относится к углеводородному остатку с линейной или разветвленной цепью, включающему тройную связь и до 20, предпочтительно, до 16 атомов углерода. Термин “низший алкинил” относится к углеводородному остатку с линейной или разветвленной цепью, включающему тройную связь и от 2 до 7, предпочтительно, от 2 до 4 атомов углерода, например к такому остатку, как 2-пропинил. Низшие алкинильные группы могут быть замещенными, например, группой гидрокси. Термин “алкилен” относится к бивалентному насыщенному алифатическому углеводородному остатку с линейной или разветвленной цепью, содержащему от 1 до 20 атомов углерода, предпочтительно, от 1 до 16 атомов углерода, более предпочтительно, вплоть до 10 атомов углерода. Низшие алкиленовые группы, которые описаны ниже, также являются предпочтительными алкиленовыми группами. Термин “низший алкилен” относится к бивалентному насыщенному алифатическому углеводородному остатку с линейной или разветвленной цепью, содержащему от 1 до 7 атомов углерода, предпочтительно, от 1 до 6 или от 3 до 6 атомов углерода. Алкиленовые или низшие алкиленовые группы с линейной цепью являются предпочтительными. Термин “арил” относится к фенильной или нафтильной группе, предпочтительно, к фенильной группе, которая может быть необязательно замещенной заместителями в количестве от 1 до 5, предпочтительно от 1 до 3, независимо выбранными из группы, состоящей из следующих заместителей: низший алкенил, низший алкинил, диоксо-(низший алкилен) (с образованием, например, бензодиоксильной группы), галоген, гидрокси, CN, CF3, NH2, N-(H, низший алкил), N-(низший алкил)2, аминокарбонил, карбокси, NO2, низший алкокси, тио-(низший алкокси), низший алкилсульфонил, аминосульфонил, низший алкилкарбонил, низший алкилкарбонилокси, низший алкоксикарбонил, низший алкилкарбонил-NH, фтор-(низший алкил), фтор-(низший алкокси), (низший алкоксикарбонил)-(низший алкокси), карбокси-(низший алкокси), карбамоил-(низший алкокси), гидрокси-(низший алкокси), NH2-(низший алкокси), N-(H, низший алкил)-(низший алкокси), N(низший алкил)2-(низший алкокси), бензилокси-(низший алкокси), моно- или ди-(низший алкил), замещенный аминосульфонилом, и низший алкил, который может быть необязательно замещенным галогеном, группой гидрокси, группой NH2, группой N(H, низший алкил) или группой N(низший алкил)2, предпочтительно, заместитель выбирают из группы, состоящей из следующих заместителей: низший алкенил, низший алкинил, диоксо-(низший алкилен) (с образованием, например, бензодиоксильной группы), галоген, гидрокси, CN, CF3, NH2, N(H, низший алкил), N(низший алкил)2, аминокарбонил, карбокси, NO2, низший алкокси, тио-(низший алкокси), низший алкилсульфонил, аминосульфонил, низший алкилкарбонил, низший алкилкарбонилокси, низший алкоксикарбонил, низший алкилкарбонил-NH, фтор-(низший алкил), фтор-(низший алкокси), (низший алкоксикарбонил)-(низший алкокси), карбокси-(низший алкокси), карбамоил-(низший алкокси), гидрокси-(низший алкокси), NH2-(низший алкокси), N(H, низший алкил)-(низший алкокси), N(низший алкил)2-(низший алкокси), бензилокси-(низший алкокси) и низший алкил, который может быть необязательно замещен галогеном, группой гидрокси, группой NH2, группой N(H, низший алкил) или группой N(низший алкил)2. Предпочтительными заместителями являются галоген, низший алкокси, фтор-низший алкокси), тио-(низший алкокси) и амино. Термин “гетероциклил” при использовании в тексте настоящей заявки означает неароматический моноциклический гетероциклический радикал, содержащий 4 или 6 членов в кольце, которые включают 1, 2, или 3 гетероатома, выбранных из азота, кислорода и серы. Гетероатом может представлять собой -SO- или -SO2-. Примерами подходящих гетероциклических радикалов являются пирролидинил, оксопирролидинил, изоксазолидинил, изоксазолинил, пирролинил, имидазолидинил, имидазолинил, пиразолидинил, пиразолинил, пиперидинил, 2-оксопиперидинил, 3-оксоморфолинил, 2-оксопиперазинил, 2-оксооксазолидинил, 2-оксоазетидинил, пиперазинил, морфолинил, пиранил, тетрагидропиранил, 4,5-дигидрооксазолил, 4,5-дигидротиазолил. Предпочтительными гетероциклическими радикалами являются морфолинил, 3-оксоморфолинил, 2-оксопиперазинил и 2-оксопиперидинил. Группа гетероциклил может быть замещенной таким образом, как описано выше в отношении термина “арил”. Один или два атома углерода, входящих в кольцо, принадлежащее группе гетероциклил, могут быть замещены карбонильной группой. Термин “гетероарил” относится к ароматической 5- или 6-членной моноциклической кольцевой системе или 9- или 10-членной бициклической кольцевой системе, которая может включать 1, 2, 3 или 4, предпочтительно 1, 2 или 3 атома, выбранных из азота, кислорода и/или серы, например, к такой системе как фурил, пиридил, пиридазинил, оксопиридазинил, пиримидинил, 2-оксопиридинил, 2-оксопиримидинил пиразинил, тиенил, изоксазолил, оксазолил, оксадиазолил, имидазолил, пирролил, пиразолил, триазолил, тетразолил, тиазолил, изотиазолил, 1,2,3-тиадиазолила, бензоимидазолил, индолил, индазолил. Предпочтительные гетероарильные группы представляют собой 2-оксопиридинил, 2-оксопиримидинил, пиридинил и индолил. Гетероарильная группа может содержать заместитель таким образом, как это описано выше в отношении термина “арил”. Предпочтительные заместители представляют собой галоген, низший алкил, низший алкокси или CN. Один или два атома углерода, входящих в кольцевую систему, принадлежащую гетероарильной группе, могут быть замещены карбонильной группой. Термины “монозамещенный группой амино-(низший алкил)” и “дизамещенный группой амино-(низший алкил)” относятся к группам -NHR и -NRR’ соответственно, в которых R и R’ каждый независимо друг от друга представляют собой низший алкил. Предпочтительные радикалы, представляющие химические группы, определения для которых приведены выше, представлены в конкретных примерах в соответствующем разделе описания. Соединения формулы (I) могут образовывать фармацевтически приемлемые аддитивные соли с кислотами (соли – продукты присоединения кислоты). Примерами таких фармацевтически приемлемых солей являются соли соединений формулы (I) с физиологически совместимыми минеральными кислотами, например, такими как хлороводородная кислота, серная кислота, сернистая кислота или фосфорная кислота; или с органическим кислотами, например, такими как метансульфоновая кислота, п-толуолсульфоновая кислота, уксусная кислота, молочная ( Аддитивные соли с кислотами (соли – продукты присоединения кислоты), которые описаны выше, являются предпочтительными. Более конкретно, настоящее изобретение относится к соединениям формулы (I):
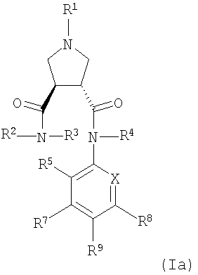
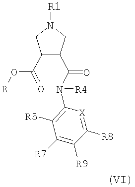
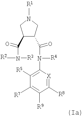
где Х представляет собой N или C-R6; R1 представляет собой водород, низший алкил, циклоалкил, циклоалкил-(низший алкил), фтор-(низший алкил), гидрокси-(низший алкил), CN-(низший алкил), гидроксизамещенный фтор-(низший алкил), низший алкинил, R10C(O)-, R10OC(O)-, N(R11,R12)C(O)-, R10OC(О)-(низший алкил), N(Rll,R12)C(O)-(низший алкил), R10-SO2, Rl0-SO2-(низший алкил), N(R11,R12)-SO2, N(R11,R12)-SO2-(низший алкил), арил-(низший алкил), гетероарил, гетероарил-(низший алкил), (низший алкокси)-(низший алкил), (низший алкоксикарбонил)-циклоалкил-(низший алкил) или гетероциклил-(низший алкил); R2 представляет собой водород или низший алкил; R3 представляет собой арил, арил-(низший алкил), гетероарил или гетероарил-(низший алкил); R4 представляет собой водород, низший алкил или гидрокси; R5, R6, R7 и R8 независимо друг от друга выбирают из группы, состоящей из следующих радикалов: водород, галоген, низший алкил, низший алкокси, фтор-(низший алкил), фтор-низший алкилокси) или CN; R9 представляет собой арил, гетероциклил, гетероарил или гетероциклил-С(О)-; R10 представляет собой водород, низший алкил, циклоалкил, циклоалкил-(низший алкил), гидрокси-(низший алкил), фтор-(низший алкил), (низший алкил)-SO2-(низший алкил), арил, арил-(низший алкил), гетероарил, гетероарил-(низший алкил) или гетероциклил; R11 и R12 независимо друг от друга выбирают из группы, состоящей из водорода, низшего алкила, гидрокси-(низший алкил), фтор-(низший алкил), циклоалкила, циклоалкил-(низший алкил), арила, арил-(низший алкил), гетероарила и гетероарил-(низший алкил); или R11 и R12, вместе с атомом азота, к которому они присоединены, образуют гетероциклическую кольцевую систему, выбранную из группы, состоящей из пиперидинила, пиперазинила, морфолинила, пирролидинила, пирролинила или азетидинила, указанная гетероциклическая кольцевая система может быть необязательно замещенной низшим алкилом, галогеном или гидрокси; и к их фармацевтически приемлемым солям. Предпочтительно, R1 представляет собой водород, низший алкил, циклоалкил, циклоалкил-(низший алкил), фтор-(низший алкил), гидрокси-(низший алкил), CN-(низший алкил), гидроксизамещенный [фтор-(низший алкил)], низший алкинил, R10C(O)-, R10OC(O)-, N(R11,R12)C(O)-, R10OC(О)-низший алкил, N(R11,R12)С(О)-(низший алкил), R10-SO2, Rl0-SO2-(низший алкил), N(R11,R12)-SO2, N(R11,R12)-SO2-(низший алкил), арил-(низший алкил), гетероарил или гетероарил-(низший алкил); R10 представляет собой водород, низший алкил, циклоалкил, циклоалкил-(низший алкил), гидрокси-(низший алкил), фтор-(низший алкил), (низший алкил)-SO2-(низший алкил), арил, арил-(низший алкил), гетероарил или гетероарил-(низший алкил). Предпочтительны как соединения формулы (I) сами по себе, так и их физиологически приемлемые соли, однако соединения формулы (I) являются наиболее предпочтительными. Соединения формулы (I) содержат по меньшей мере два асимметрических атома С и таким образом могут существовать в виде энантиомерной смеси, диастереомерной смеси или в виде оптически чистых соединений. Предпочтительными являются соединения, которые представляют собой производные 3R,4R-пирролидин-3,4-дикарбоновой кислоты. Так, один из предпочтительных вариантов осуществления настоящего изобретения относится к соединениям формулы (I), как определено выше, характеризующимся формулой (Ia):
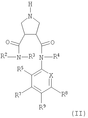
в которой R1, R2, R3, R4, R5, R6, R7, R8, R9 и X являются такими, как определено выше, и к их фармацевтически приемлемым солям. Предпочтительные соединения формулы (I) представляют собой такие соединения, где R представляет собой водород, низший алкил, фтор-(низший алкил), гидрокси-(низший алкил), CN-(низший алкил), НС(O)-, (низший алкил)-С(O)-, (низший алкокси)-С(О)-, (низший алкокси)-С(O)-(низший алкил), NH2-С(O)-(низший алкил), (низший алкил)-NH-С(O)-(низший алкил), NH2-SO2, (низший алкил)-SO2, фтор-(низший алкил)-SO2, N(низший алкил)2-SO2 или пирролидино-С(О)-. Такие соединения, как определено выше, где R1 представляет собой низший алкил, фтор-(низший алкил), (низший алкил)-SO2, фтор-(низший алкил)-SO2, N(низший алкил)2-SO2, (низший алкокси)-С(О)- или НС(O)-, являются более предпочтительными, причем такие соединения, как определено выше, где R1 представляет собой 2,2-дифторэтил, этансульфонил, метансульфонил, пропилсульфонил, изопропилсульфонил, 2,2,2-трифтор-этилсульфонил, изопропил, N(СН3)2-SO2, этоксикарбонил или формил, являются наиболее предпочтительными. В соответствии с другим предпочтительным вариантом настоящего изобретения R2 представляет собой водород. Кроме того, также предпочтительны соединения, как определено выше, где R3 представляет собой фенил, необязательно замещенный заместителями в количестве от 1 до 3, выбранными из группы, состоящей из галогена, NH2, низшего алкокси и заместителя фтор-(низший алкокси), или R3 представляет собой бензил, необязательно замещенный галогеном, или R3 представляет собой пиридинил, необязательно замещенный галогеном, или R3 представляет собой индолил. Особенно предпочтительны такие соединения, где R3 представляет собой фенил, замещенный галогеном, или R3 представляет собой пиридинил, замещенный галогеном. Наиболее предпочтительно, R3 представляет собой 4-хлорфенил или 5-хлорпиридин-2-ил. В соответствии с другим предпочтительным вариантом осуществления настоящего изобретения R4 представляет собой водород. Еще один предпочтительный вариант осуществления настоящего изобретения относится к соединениям формулы (I), как определено выше, где Х представляет собой C-R6 и R6 является таким, как определено выше. Предпочтительно, Х представляет собой C-R6 и R5, R6, R7 и R8 независимо друг от друга выбирают из группы, состоящей из водорода и галогена. Более предпочтительно, Х представляет собой C-R6, R6 представляет собой галоген, R5, R7 и R8 представляют собой водород. Наиболее предпочтительно, Х представляет собой C-R6, R6 представляет собой фтор, R5, R7 и R8 представляют собой водород. Настоящее изобретение, в частности, включает соединения формулы (I), как описано выше, где R9 представляет собой арил, гетероциклил или гетероарил. Такие соединения, где R9 представляет собой гетероарил, также предпочтительны. Предпочтительную гетероарильную группу в случае R9 выбирают из группы, состоящей из фурила, пиридила, пиридазинила, оксопиридазинила, пиримидинила, 2-оксопиридинила, 2-оксопиримидинила, пиразинила, тиенила, изоксазолила, оксазолила, оксадиазолила, имидазолила, пирролила, пиразолила, триазолила, тетразолила, тиазолила, изотиазолила, 1,2,3-тиадиазолила, бензоимидазолила, индолила и индазолила. Особенно предпочтительным является 2-оксо-2Н-пиридин-1-ил. В частности, предпочтительные соединения представляют собой соединения формулы (I), описанные в примерах как индивидуальные соединения, а также их фармацевтически приемлемые соли. Предпочтительными соединениями формулы (I) являются соединения, выбранные из группы, состоящей из следующих соединений: 3-[(4-хлорфенил)амид] 4-{[2-фтор-4-(2-оксо-2Н-пиридин-1-ил)фенил]амид}(3R,4R)-1-(2,2,2-трифторэтил)пирролидин-3,4-дикарбоновой кислоты, 3-[(4-хлорфенил)амид] 4-{[2-фтор-4-(2-оксо-2Н-пиридин-1-ил)фенил]амид}(3R,4R)-1-(2,2-дифторэтил)пирролидин-3,4-дикарбоновой кислоты, 3-[(4-хлорфенил)амид] 4-{[2-фтор-4-(2-оксо-2Н-пиридин-1-ил)фенил]амид}(3R,4R)-1-сульфамоилпирролидин-3,4-дикарбоновой кислоты, 3-[(4-хлорфенил)амид] 4-{[2-фтор-4-(2-оксо-2Н-пиридин-1-ил)фенил]амид}(3R,4R)-1-сульфамоилпирролидин-3,4-дикарбоновой кислоты, 3-[(4-хлорфенил)амид] 4-{[2-фтор-4-(2-оксо-2Н-пиридин-1-ил)фенил]амид}(3R,4R)-1-этансульфонилпирролидин-3,4-дикарбоновой кислоты, 3-[(4-хлорфенил)амид] 4-{[2-фтор-4-(2-оксо-2Н-пиридин-1-ил)фенил]амид}(3R,4R)-1-метансульфонилпирролидин-3,4-дикарбоновой кислоты, 3-[(4-хлорфенил)амид] 4-{[2-фтор-4-(2-оксо-2Н-пиридин-1-ил)фенил]амид}(3R,4R)-1-метансульфонилпирролидин-3,4-дикарбоновой кислоты, 3-[(4-хлорфенил)амид] 4-{[2-фтор-4-(2-оксо-2Н-пиридин-1-ил)фенил]амид}(3R,4R)-1-изопропилпирролидин-3,4-дикарбоновой кислоты, 3-[(5-хлорпиридин-2-ил)амид] 4-{[2-фтор-4-(2-оксо-2Н-пиридин-1-ил)фенил]амид}(3R,4R)-1-метансульфонилпирролидин-3,4-дикарбоновой кислоты, 3-[(5-хлорпиридин-2-ил)амид] 4-{[2-фтор-4-(2-оксо-2Н-пиридин-1-ил)фенил]амид}(3R,4R)-1-метансульфонилпирролидин-3,4-дикарбоновой кислоты, 3-[(4-хлорфенил)амид] 4-{[2-фтор-4-(2-оксо-2Н-пиридин-1-ил)фенил]амид}(3R,4R)-1-метилкарбамоилметилпирролидин-3,4-дикарбоновой кислоты, метиловый эфир (3R,4R)-3-(4-хлорфенилкарбамоил)-4-[2-фтор-4-(2-оксо-2Н-пиридин-1-ил)фенилкарбамоил]пирролидин-1-карбоновой кислоты, 3-[(4-хлорфенил)амид] 4-{[2-фтор-4-(2-оксо-2Н-пиридин-1-ил)фенил]амид}(3R,4R)-1-(2-гидроксиэтил)пирролидин-3,4-дикарбоновой кислоты, 3-[(4-хлорфенил)амид] 4-{[2-фтор-4-(2-оксо-2Н-пиридин-1-ил)фенил]амид}-транс-(3RS,4RS)-1-метансульфонилпирролидин-3,4-дикарбоновой кислоты, 3-[(4-хлорфенил)амид] 4-{[2-фтор-4-(3-метокси-2-оксо-2Н-пиридин-1-ил)фенил]амид}(3R,4R)-1-метансульфонилпирролидин-3,4-дикарбоновой кислоты, 3-[(4-хлорфенил)амид] 4-{[4-(3-метокси-2-оксо-2Н-пиридин-1-ил)фенил]амид}(3R,4R)-1-ацетилпирролидин-3,4-дикарбоновой кислоты, 3-[(4-хлорфенил)амид] 4-{[2-фтор-4-(2-оксо-2Н-пиридин-1-ил)фенил]амид}транс-(3RS,4RS)-1-цианометилпирролидин-3,4-дикарбоновой кислоты, 3-[(4-хлорфенил)амид] 4-{[2-фтор-4-(2-оксо-2Н-пиридин-1-ил)фенил]амид}транс-(3RS,4RS)-1-карбамоилметилпирролидин-3,4-дикарбоновой кислоты, 3-[(4-хлорфенил)амид] 4-{[2-фтор-4-(2-оксо-2Н-пиридин-1-ил)фенил]амид}транс-(3RS,4RS)-1-(3,3,3-трифторпропил)пирролидин-3,4-дикарбоновой кислоты, 3-[(4-хлорфенил)амид] 4-{[2-фтор-4-(2-оксо-2Н-пиридин-1-ил)фенил]амид}(3R,4R)-1-формилпирролидин-3,4-дикарбоновой кислоты, 3-[(4-хлор-3-фторфенил)амид] 4-{[2-фтор-4-(2-оксо-2Н-пиридин-1-ил)фенил]амид}(3R,4R)-1-метансульфонилпирролидин-3,4-дикарбоновой кислоты, 3-[(4-хлор-2-фторфенил)амид] 4-{[2-фтор-4-(2-оксо-2Н-пиридин-1-ил)фенил]амид}(3R,4R)-1-метансульфонилпирролидин-3,4-дикарбоновой кислоты, этиловый эфир транс-(3RS,4RS)-{3-(4-хлорфенилкарбамоил)-4-[2-фтор-4-(2-оксо-2Н-пиридин-1-ил)фенилкарбамоил]пирролидин-1-ил}уксусной кислоты, 3-[(3-фтор-4-метоксифенил)амид] 4-{[2-фтор-4-(2-оксо-2Н-пиридин-1-ил)фенил]амид}(3R,4R)-1-метансульфонилпирролидин-3,4-дикарбоновой кислоты, 3-{[2-фтор-4-(2-оксо-2Н-пиридин-1-ил)фенил]амид} 4-[(1Н-индол-5-ил)амид](3R,4R)-1-метансульфонилпирролидин-3,4-дикарбоновой кислоты, 3-[(2-амино-4-хлорфенил)амид] 4-{[2-фтор-4-(2-оксо-2Н-пиридин-1-ил)фенил]амид}(3R,4R)-1-метансульфонилпирролидин-3,4-дикарбоновой кислоты, 3-{[2-фтор-4-(2-оксо-2Н-пиридин-1-ил)фенил]амид} 4-[(4-метоксифенил)-амид](3R,4R)-1-метансульфонилпирролидин-3,4-дикарбоновой кислоты, (3R,4R)-1-метансульфонилпирролидин-3,4-дикарбоновой кислоты 3-[(4-хлорфенил)амид] 4-[(3-фтор-4-морфолин-4-илфенил)амид], 3-[(4-хлорфенил)амид] 4-{[2-фтор-4-(2-оксо-2Н-пиридин-1-ил)фенил]амид}(3S,4S)-1-метансульфонилпирролидин-3,4-дикарбоновой кислоты, 3-[(3-хлор-4-метоксифенил)амид] 4-{[2-фтор-4-(2-оксо-2Н-пиридин-1-ил)фенил]амид}(3R,4R)-1-метансульфонилпирролидин-3,4-дикарбоновой кислоты, 3-[(4-хлорфенил)метиламид] 4-{[2-фтор-4-(2-оксо-2Н-пиридин-1-ил)фенил]амид}(3R,4R)-1-метансульфонилпирролидин-3,4-дикарбоновой кислоты, 3-{[2-фтор-4-(2-оксо-2Н-пиридин-1-ил)фенил]амид} 4-[(1Н-индазол-5-ил)амид](3R,4R)-1-метансульфонилпирролидин-3,4-дикарбоновой кислоты, 3-[(4-хлорфенил)амид] 4-[(3-фтор-4-[1,2,4]триазол-1-илфенил)гидроксиамид](3R,4R)-1-метансульфонилпирролидин-3,4-дикарбоновой кислоты, 3-[(4-хлорфенил)амид] 4-{[3-фтор-4-(2-метил-имидазол-1-ил)фенил]амид}(3R,4R)-1-метансульфонилпирролидин-3,4-дикарбоновой кислоты, 3-[(4-хлорфенил)амид] 4-[(3-фтор-2 3-{[2-фтор-4-(2-оксо-2Н-пиридин-1-ил)фенил]амид} 4-[(4-метокси-фенил)метиламид], (3R,4R)-1-метансульфонилпирролидин-3,4-дикарбоновой кислоты, 3-(4-хлорбензиламид) 4-{[2-фтор-4-(2-оксо-2Н-пиридин-1-ил)фенил]амид}(3R,4R)-1-метансульфонилпирролидин-3,4-дикарбоновой кислоты, 3-{[2-фтор-4-(2-оксо-2Н-пиридин-1-ил)фенил]амид) 4-[(4-трифтор-метоксифенил)амид](3R,4R)-1-метансульфонилпирролидин-3,4-дикарбоновой кислоты, 3-[(4-хлорфенил)амид] 4-{[2-фтор-4-(2-оксо-2Н-пиридин-1-ил)фенил]амид}(3R,4R)-1-(пропан-2-сульфонил)пирролидин-3,4-дикарбоновой кислоты, (3R,4R)-1-(2,2,2-трифтор-этансульфонил)пирролидин-3,4-дикарбоновой кислоты 3-[(4-хлорфенил)амид] 4-{[2-фтор-4-(2-оксо-2Н-пиридин-1-ил)фенил]амид}, 3-[(4-хлорфенил)амид] 4-{[2-фтор-4-(2-оксо-2Н-пиридин-1-ил)фенил]амид}(3R,4R)-1-диметилсульфамоилпирролидин-3,4-дикарбоновой кислоты, этиловый эфир (3R,4R)-3-(4-хлорфенилкарбамоил)-4-[2-фтор-4-(2-оксо-2Н-пиридин-1-ил)фенилкарбамоил]пирролидин-1-карбоновой кислоты, пропиловый эфир (3R,4R)-3-(4-хлорфенилкарбамоил)-4-[2-фтор-4-(2-оксо-2Н-пиридин-1-ил)фенилкарбамоил]пирролидин-1-карбоновой кислоты, 3-[(4-хлорфенил)амид] 4-{[2-фтор-4-(2-оксо-2Н-пиридин-1-ил)фенил]амид}(3R,4R)-1-(пирролидин-1-карбонил)пирролидин-3,4-дикарбоновой кислоты, 3-[(4-хлорфенил)амид] 4-{[2,6-дифтор-4-(2-оксо-2Н-пиридин-1-ил)фенил]амид}(3R,4R)-1-метансульфонилпирролидин-3,4-дикарбоновой кислоты, 3-[(4-хлорфенил)амид] 4-{[2-фтор-4-(6-оксо-бН-пиридазин-1-ил)фенил]-амид}(3R,4R)-1-метансульфонилпирролидин-3,4-дикарбоновой кислоты, 3-[(4-хлорфенил)амид] 4-{[2-фтор-4-(2-оксопиперидин-1-ил)фенил]амид}(3R,4R)-1-метансульфонилпирролидин-3,4-дикарбоновой кислоты, 3-[(4-хлорфенил)амид] 4-{[2-фтор-4-(2-оксо-2Н-пиридин-1-ил)фенил]амид}(3R,4R)-1-пропан сульфонилпирролидин-3,4-дикарбоновой кислоты, 3-[(4-хлорфенил)амид] 4-{[2-фтор-4-(2-оксо-2Н-пиридин-1-ил)фенил]амид}(3R,4R)-1-(2-фторэтил)пирролидин-3,4-дикарбоновой кислоты, 3-[(4-хлорфенил)амид] 4-{[2-фтор-4-(2-оксо-2Н-пиридин-1-ил)фенил]амид}(3R,4R)-пирролидин-3,4-дикарбоновой кислоты, (трет-бутиловый эфир 3R,4R)-3-(4-хлорфенилкарбамоил)-4-[2-фтор-4-(2-оксо-2Н-пиридин-1-ил)фенилкарбамоил]пирролидин-1-карбоновой кислоты, 3-[(5-хлорпиридин-2-ил)амид] 4-{[2-фтор-4-(2-оксо-2Н-пиридин-1-ил)фенил]амид}(3R,4R)-пирролидин-3,4-дикарбоновой кислоты, 3-[(4-хлорфенил)амид] 4-{[2-фтор-4-(2-оксо-2Н-пиридин-1-ил)фенил]амид}(3S,4S)-1-метансульфонилпирролидин-3,4-дикарбоновой кислоты, 3-[(4-хлорфенил)амид] 4-{[4-(2,5-дигидропиррол-1-карбонил)фенил]амид}(3R,4R)-1-метансульфонилпирролидин-3,4-дикарбоновой кислоты, 3-[(4-хлорфенил)амид] 4-{[3-(морфолин-4-сульфонил)фенил]амид}(3R,4R)-1-метансульфонилпирролидин-3,4-дикарбоновой кислоты, 3-[(4-хлорфенил)амид] 4-{[3-(4-метилпиперазин-1-сульфонил)фенил]амид}(3R,4R)-1-метансульфонилпирролидин-3,4-дикарбоновой кислоты, 3-[(4-хлорфенил)амид] 4-{[4-(морфолин-4-карбонил)фенил]амид}(3R,4R)-1-метансульфонилпирролидин-3,4-дикарбоновой кислоты, 3-[(4-хлорфенил)амид] 4-{[4-(4-метилпиперазин-1-карбонил)фенил]амид}(3R,4R)-1-метансульфонилпирролидин-3,4-дикарбоновой кислоты; 3-[(4-хлорфенил)амид] 4-{[4-(тиоморфолин-4-карбонил)фенил]амид}(3R,4R)-1-метансульфонилпирролидин-3,4-дикарбоновой кислоты, 3-[(4-хлорфенил)амид] 4-{[4-(4-этилпиперазин-1-карбонил)фенил]амид}(3R,4R)-1-метансульфонилпирролидин-3,4-дикарбоновой кислоты, (3-[(4-хлорфенил)амид] 4-{[4-(4,4-дифторпиперидин-1-карбонил)фенил]амид}3R,4R)-1-метансульфонилпирролидин-3,4-дикарбоновой кислоты, 3-[(4-хлорфенил)амид] 4-{[4-(4-фторпиперидин-1-карбонил)фенил]амид}(3R,4R)-1-метансульфонилпирролидин-3,4-дикарбоновой кислоты, 3-[(4-хлорфенил)амид] 4-{[4-(1-оксипиридин-2-ил)фенил]амид}(3R,4R)-1-метансульфонилпирролидин-3,4-дикарбоновой кислоты, 3-[(5-хлорпиридин-2-ил)амид] 4-{[2-фтор-4-(2-оксо-2Н-пиридин-1-ил)фенил]амид}(3R,4R)-1-(2,2-дифторэтил)пирролидин-3,4-дикарбоновой кислоты, 3-[(5-хлорпиридин-2-ил)амид] 4-{[2-фтор-4-(2-оксо-2H-пиридин-1-ил)фенил]амид}(3R,4R)-1-изопропилпирролидин-3,4-дикарбоновой кислоты и их фармацевтически приемлемые соли. Особенно предпочтительные соединения формулы (I) выбирают из группы, состоящей из следующих соединений: 3-[(4-хлорфенил)амид] 4-{[2-фтор-4-(2-оксо-2Н-пиридин-1-ил)фенил]амид}(3R,4R)-1-(2,2-дифторэтил)пирролидин-3,4-дикарбоновой кислоты, 3-[(4-хлорфенил)амид] 4-{[2-фтор-4-(2-оксо-2Н-пиридин-1-ил)фенил]амид}(3R,4R)-1-этансульфонилпирролидин-3,4-дикарбоновой кислоты, 3-[(4-хлорфенил)амид] 4-{[2-фтор-4-(2-оксо-2Н-пиридин-1-ил)фенил]амид}(3R,4R)-1 -метансульфонилпирролидин-3,4-дикарбоновой кислоты, 3-[(4-хлорфенил)амид] 4-{[2-фтор-4-(2-оксо-2Н-пиридин-1-ил)фенил]амид}(3R,4R)-1-изопропилпирролидин-3,4-дикарбоновой кислоты, 3-[(5-хлорпиридин-2-ил)амид] 4-{[2-фтор-4-(2-оксо-2Н-пиридин-1-ил)фенил]амид}(3R,4R)-1-метансульфонилпирролидин-3,4-дикарбоновой кислоты, (3-[(4-хлорфенил)амид] 4-{[2-фтор-4-(2-оксо-2Н-пиридин-1-ил)фенил]амид}(3R,4R)-1-формилпирролидин-3,4-дикарбоновой кислоты, 3-[(4-хлорфенил)амид] 4-{[2-фтор-4-(2-оксо-2Н-пиридин-1-ил)фенил]амид}(3R,4R)-1-(пропан-2-сульфонил)пирролидин-3,4-дикарбоновой кислоты, 3-[(4-хлорфенил)амид] 4-{[2-фтор-4-(2-оксо-2Н-пиридин-1-ил)фенил]амид}(3R,4R)-1-(2,2,2-трифторэтансульфонил)пирролидин-3,4-дикарбоновой кислоты, 3-[(4-хлорфенил)амид] 4-{[2-фтор-4-(2-оксо-2Н-пиридин-1-ил)фенил]амид}(3R,4R)-1-диметилсульфамоилпирролидин-3,4-дикарбоновой кислоты, этиловый эфир (3R,4R)-3-(4-хлорфенилкарбамоил)-4-[2-фтор-4-(2-оксо-2Н-пиридин-1-ил)фенилкарбамоил]пирролидин-1-карбоновой кислоты и 3-[(4-хлорфенил)амид] 4-{[2-фтор-4-(2-оксо-2Н-пиридин-1-ил)фенил]амид}(3R,4R)-1-пропансульфонилпирролидин-3,4-дикарбоновой кислоты, 3-[(5-хлорпиридин-2-ил)амид] 4-{[2-фтор-4-(2-оксо-2Н-пиридин-1-ил)фенил]амид}(3R,4R)-1-(2,2-дифторэтил)пирролидин-3,4-дикарбоновой кислоты, 3-[(5-хлорпиридин-2-ил)амид] 4-{[2-фтор-4-(2-оксо-2H-пиридин-1-ил)фенил]амид}(3R,4R)-1-изопропилпирролидин-3,4-дикарбоновой кислоты и их фармацевтически приемлемые соли. Необходимо отметить, что соединения общей формулы (I) согласно настоящему изобретению могут образовывать производные по функциональной группе, которые способны in vivo претерпевать обратное превращение в материнское соединение. Кроме того, настоящее изобретение относится к способу получения соединений формулы (I), как определено выше, указанный способ включает: а) взаимодействие соединения формулы (II):
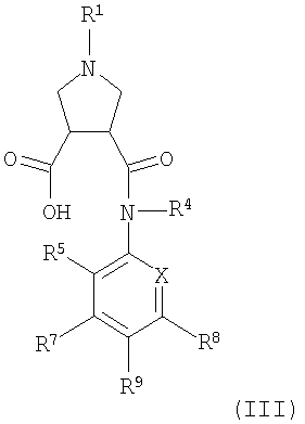
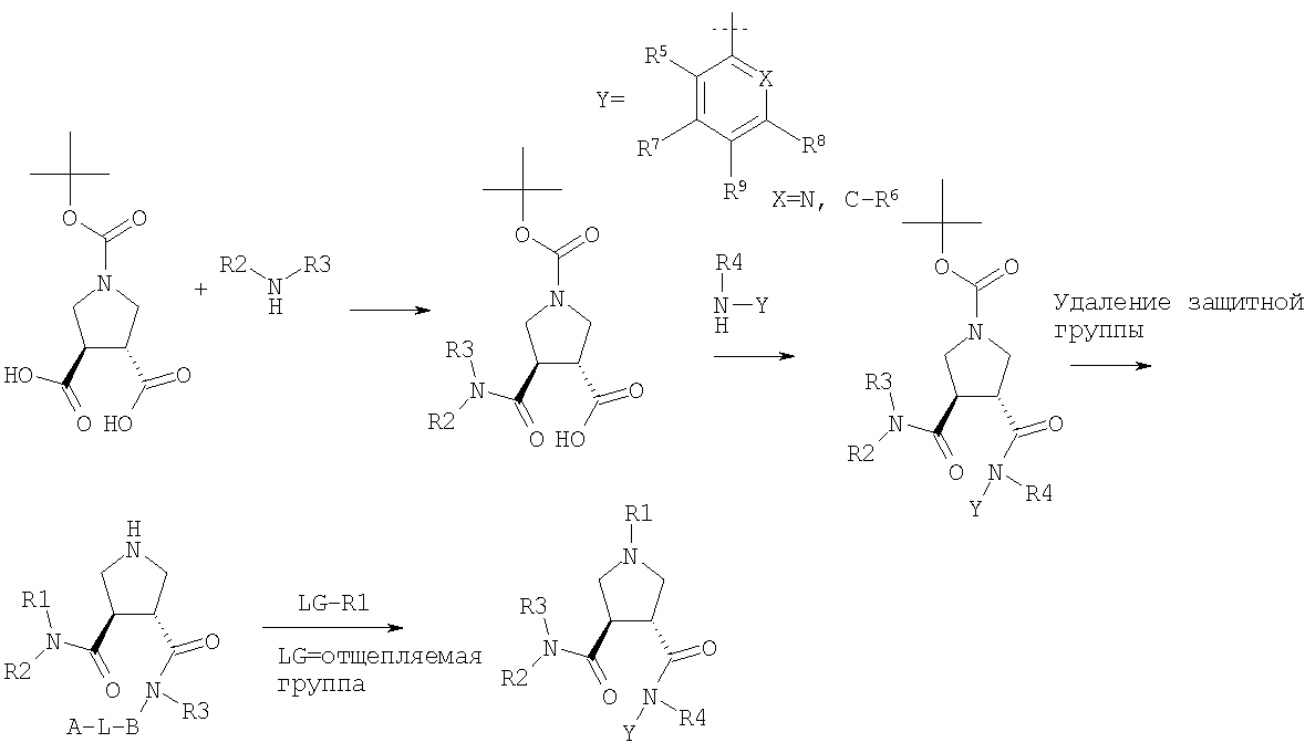
с соединением LG-R1, или б) взаимодействие соединения формулы (III)
с соединением NHR2R3 или в) взаимодействие соединения формулы (IV):
с соединением формулы (V):
где R1, R2, R3, R4, R5, R7, R8, R9 и X имеют значения, приведенные выше, и LG означает отщепляемую группу. Взаимодействие соединения формулы (II) с соединением LG-R1 удобно проводить в среде растворителя, например, такого как дихлорметан, ТГФ, ацетонитрил, ДМФ (диметилформамид), ДМА (диметилацетамид), ДМСО, N-МП (N-метилпирролидин) и т.п., с использованием оснований, например, таких как ДИЭА, триэтиламин, пиридин, N-метилморфолин, Na2CO3, К2СО3, Cs2CO3 и т.п. Подходящие отщепляемые группы хорошо известны из предшествующего уровня техники и представляют собой, например, галогениды, трифлаты, пара-нитрофеноляты или мезилаты. Подходящие условия реакции для проведения взаимодействия соединения формулы (III) с соединением NHR2R3 или соединения формулы (IV) с соединением формулы (V) хорошо известны специалисту в данной области. Такие взаимодействия можно проводить в среде растворителя, например, такого как дихлорметан, ДМФ, ацетонитрил, ТГФ, N-МП, ДМА и т.п., и в присутствии активирующего амид конденсирующего агента, например, такого как EDC, DIC, DCC, CDI, TBTU, HBTU, EEDQ, CIP, HOBt, HATU. PyBOP, PyBrOP, ВОР, ВОР-Cl, TFFH, изобутилкарбамоилхлорид и т.п., при подходящей температуре, которую можно выбрать, например, из интервала -10°С – 120°С. Кроме того, настоящее изобретение относится к другому способу получения соединений формулы (I), как определено выше, указанный способ включает: г) взаимодействие соединения формулы (VI) или (VIII):
с соединением формулы (VII) или (V) соответственно:
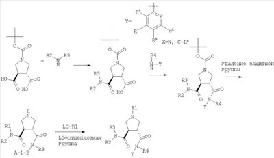
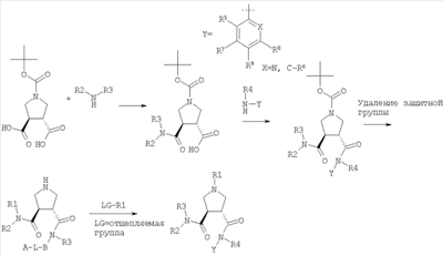
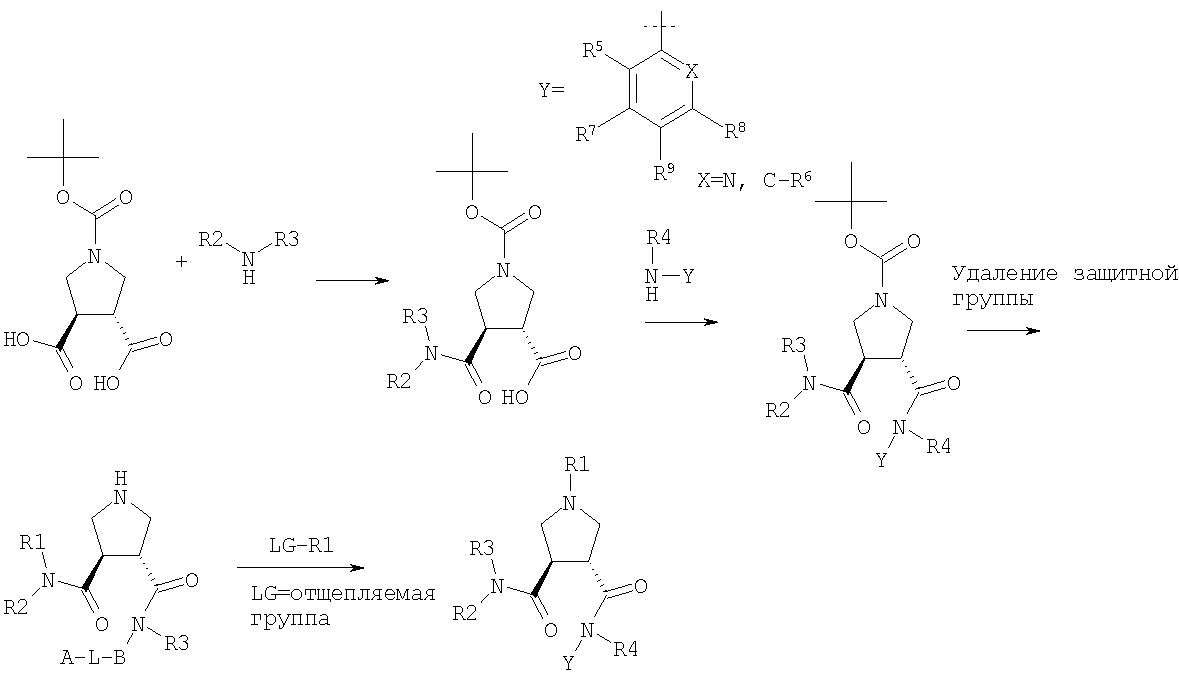
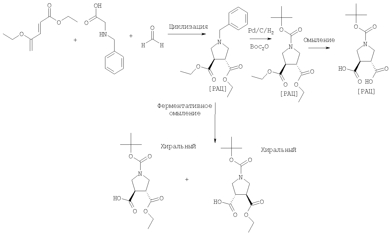
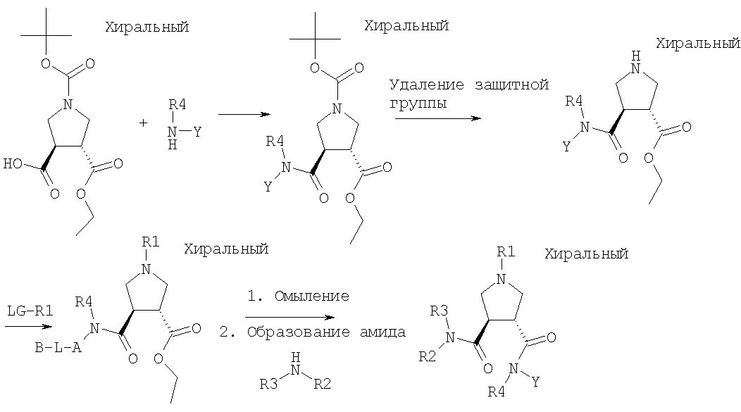
где R1, R2, R3, R4, R5, R7, R8, R9 и Х имеют значения, приведенные выше, LG означает отщепляемую группу, и R представляет собой низший алкил, циклоалкил или циклоалкил-(низший алкил). Подходящие условия реакции для проведения взаимодействия соединения формулы (VI) с соединением NHR2 R3 хорошо известны специалисту в данной области. Такие взаимодействия можно проводить в среде растворителя, например, такого как ДМФ, ацетонитрил, ТГФ, толуол, гептан, и в присутствии сильного основания, например, такого как триалкилалюминий, NaH, LiHMDS, KHMDS, при подходящей температуре, которую можно выбрать, например, из интервала -10°С – 120°С. Для всех вариантов общего описания реакции процесс омыления может быть исключен. Превращение сложного эфира в соответствующий амид также возможно для каждой из последовательности реакций от 2в) до 2е). Общая методика синтеза. 1. Синтез «строительных блоков» пирролидин-3,4-дикарбоновой кислоты: Общая методика. N-защищенное производное глицина, например, такое как N-бензилглицин, подвергают конденсации с источником формальдегида, например, таким как параформальдегид, в среде подходящего растворителя, например, такого как бензол, толуол, ксилол, ДМФ, ДМА, ДМСО или ацетонитрил, при повышенной температуре (60-150°С) с получением при этом соответствующего азометинилида. Это соединение претерпевает циклоприсоединение с подходящим сложным эфиром фумаровой кислоты, например, таким как соответствующий диэтиловый сложный эфир или диметиловый сложный эфир, в одну стадию с получением при этом соответствующей рацемической смеси N-защищенных сложных транс-диэфиров пирролидин-3,4-дикарбоновой кислоты. N-защитную группу заменяют на соответствующую Воc- или Z-защитную группу посредством отщепления первой N-защитной группы в результате, например, каталитического гидрирования. Для этого защищенный пирролидин растворяют в подходящем растворителе, например, таком как метанол, этанол, ТГФ или этилацетат, с последующим добавлением к смеси катализатора, например, такого как Pd/C (например, 10%). После этого подают водород и генерируют водородную атмосферу для того, чтобы отщепить первую N-защитную группу. Свободную аминогруппу затем защищают добавлением Вос2О или Z-Cl соответственно. Последняя стадия представляет собой полное омыление сложного диэфира до соответствующей дикислоты. Сложный диэфир пирролидина растворяют в подходящей системе растворителей, такой как метанол, этанол, ТГФ, 1,4-диоксан, вода или их смеси, и добавляют основание, например, такое как LiOH, NaOH, КОН, Na2CO3, К2СО3 или Cs2CO3. Моногидролиз можно осуществить, используя энантиоселективные ферменты или хиральные основания в подходящих растворителях, которые уже перечислены выше, или в водной буферной системе. 2. Модификация «строительных блоков» пирролидина: а) Используя в качестве исходного соединения М-Вос-пирролидин-3,4-дикарбоновую кислоту, введение R2-NH-R3 Общая методика. N-защищенную пирролидин-3,4-дикарбоновую кислоту растворяют в подходящем растворителе, например, таком как дихлорметан, ДМФ, ацетонитрил, ТГФ, N-МП, ДМА и т.п., и активируют амид, используя конденсирующий агент, например, такой как EDC, DIC, DCC, CDI, TBTU, HBTU, EEDQ, CIP, HOBt, HATU, PyBOP, PyBrOP, ВОР, ВОР-Cl, TFFH и т.п., при температуре -10°С – 120°С. При добавлении от одного до двух эквивалентов амина R2-NH-R3 после взаимодействия в течение 0,5-120 часов при температуре от -10°С до 120°С получают соответствующий моноамид. Повторение этой реакции с использованием тех же самых конденсирующих реагентов, как указывалось выше, или превращение кислоты в соответствующий хлорангидрид кислоты под действием оксалилхлорида, тионилхлорида, изобутилкарбамоилхлорида или соответствующих реагентов, с использованием R4-NH-Y, приводит к получению соответствующего диамида. После удаления защитной группы в обычных условиях, таких как обработка кислотами (например, с использованием HCl, трифторуксусной кислоты, HBr в ледяной уксусной кислоте) или гидрирование в случае Z-защитной группы, незащищенный пирролидин-1,3-дикарбоксамид взаимодействует с подходящими реагентами для введения R1. Подходящие реагенты LG-R1 включают алкилгалогениды (хлориды, бромиды, иодиды), трифлаты, паранитрофенолаты, мезилаты, хлориды кислот, хлориды сульфоновой кислоты, карбамоилхлориды, сульфамиды, сульфамидоилхлориды, альдегиды, кетоны и т.п., взаимодействие может проходить в среде растворителя, например, такого как дихлорметан, ТГФ, ацетонитрил, ДМФ, ДМА, ДМСО, N-МП и т.п., с добавлением основания, например, такого как ДИЭА, триэтиламин, пиридин, N-метилморфолин, Na2CO3, К2СО3, Cs2CO3 и т.п. б) Использование в качестве исходного соединения М-Вос-пирролидин-3,4-дикарбоновой кислоты, введение R4-NH-Y Общая методика. Как и 2а), но другая последовательность проведения реакций. в) Использование в качестве исходного соединения 3-этилового эфира R,R-N-Вос-пирролидин-3,4-дикарбоновой кислоты, введение R2-NH-R3 Общая методика. Как и 2а), но другая последовательность проведения реакций и омыление на стадии 2 таким образом, как описано для методики 1. г) Использование в качестве исходного соединения 3-этилового эфира R,R-N-Вос-пирролидин-3,4-дикарбоновой кислоты, введение R4-NH-Y Общая методика. Как и 2в), но другая последовательность проведения реакций. д) Использование в качестве исходного соединения 3-этилового эфира R,R-N-Вос-пирролидин-3,4-дикарбоновой кислоты, введение R2-NH-R3u R1 Общая методика. Как и 2в), но другая последовательность проведения реакций. е) Использование в качестве исходного соединения 3-этилового эфира R,R-N-Вос-пирролидин-3,4-дикарбоновой кислоты, введение R4-NH-Y и R1 Общая методика. Как и 2в), но другая последовательность проведения реакций. Аналогичные реакции можно проводить с использованием соответствующих S,S-энантиомеров. Если их получение не описано в примерах, то соединения формулы (I), a также промежуточные продукты могут быть получены аналогичными способами или в соответствии с методиками, приведенными выше. Исходные соединения являются коммерчески доступными или известны из предшествующего уровня техники. Кроме того, настоящее изобретение относится к соединения формулы (I), как определено выше, полученным согласно способу, который описан выше. В соответствии с другим вариантом осуществления настоящее изобретение относится к промежуточным соединениям, соединениям формулы (II), (III) или (IV)
где R1, R2, R3, R4, R5, R7, R8, R9 и Х имеют значения, приведенные выше. Как описано выше, соединения формулы (I) обладают активностью и ингибируют фактор коагуляции Ха. Эти соединения соответственно воздействуют как на активацию тромбоцитов, которую индуцируют эти факторы, так и на коагуляцию крови. Таким образом, эти соединения ингибируют образование тромбов и могут быть использованы для лечения и/или профилактики тромботических нарушений и расстройств, к числу которых относятся, например, артериальный и венозный тромбоз, глубокий венозный тромбоз, окклюзионное поражение периферической артерии (PAOD), нестабильная стенокардия, инфаркт миокарда, болезнь коронарных артерий, эмболия сосудов легких, инсульт (тромбоз сосудов головного мозга) вследствие фибрилляции предсердий, воспаление и артериосклероз. Соединения согласно настоящему изобретению также могут быть использованы для лечения последствий экстренного закрытия сосуда, связанного с тромболитической терапией и рестенозом (повторным сужением сосуда), например, после транслюминальной коронарной ангиопластики (РТСА) или шунтирования коронарных или периферических артерий и при поддержании возможности доступа к сосудам при проведении длительного гемодиализа у пациентов. Использование ингибиторов фактора Ха согласно настоящему изобретению может являться частью комбинационной терапии вместе с антикоагулянтами различного действия, или с ингибитором агрегации тромбоцитов, или с тромболитическим агентом. Кроме того, эти соединения оказывают воздействие на клетки опухолей и предотвращают метастазы. Они также могут быть использованы в качестве противоопухолевых агентов. Профилактика и/или лечение тромботических нарушений и расстройств, в особенности артериальных нарушений и расстройств или глубокого венозного тромбоза, являются предпочтительными показаниями. Кроме того, настоящее изобретение относится к фармацевтическим композициям, включающим соединение, которое определено выше, и фармацевтически приемлемый носитель и/или фармацевтически приемлемое вспомогательное вещество. Настоящее изобретение также включает соединения, которые описаны выше, предназначенные для применения в качестве терапевтически активных соединений, в особенности в качестве терапевтически активных соединений для лечения и/или профилактики заболеваний, которые опосредованы фактором коагуляции Ха, в частности в качестве терапевтически активных соединений для лечения и/или профилактики тромботических нарушений и расстройств, артериального тромбоза, венозного тромбоза, глубокого венозного тромбоза, окклюзионного поражения периферической артерии, нестабильной стенокардии, инфаркта миокарда, болезни коронарных артерий, эмболии сосудов легких, приступа вследствие фибрилляции предсердий (мерцательной аритмии), воспаления, артериосклероза, экстренного закрытия сосуда, связанного с тромболитической терапией или рестенозом (повторным сужением сосуда), и/или опухоли. В соответствии с другим предпочтительным вариантом осуществления настоящее изобретение относится к способу терапевтического и/или профилактического лечения заболеваний, опосредованных фактором коагуляции Ха, в частности для терапевтического и/или профилактического лечения тромботических нарушений и расстройств, артериального тромбоза, венозного тромбоза, глубокого венозного тромбоза, окклюзионного поражения периферической артерии, нестабильной стенокардии, инфаркта миокарда, болезни коронарных артерий, эмболии сосудов легких, приступа вследствие фибрилляции предсердий (мерцательной аритмии), воспаления, артериосклероза, экстренного закрытия сосуда, связанного с тромболитической терапией или рестенозом (повторным сужением сосуда), и/или опухоли, указанный способ включает введение соединения, как определено выше, человеку или животному. Настоящее изобретение также включает применение соединений, как определено выше, для терапевтического и/или профилактического лечения заболеваний, опосредованных фактором коагуляции Ха, в частности для терапевтического и/или профилактического лечения тромботических нарушений и расстройств, артериального тромбоза, венозного тромбоза, глубокого венозного тромбоза, окклюзионного поражения периферической артерии, нестабильной стенокардии, инфаркта миокарда, болезни коронарных артерий, эмболии сосудов легких, приступа вследствие фибрилляции предсердий (мерцательной аритмии), воспаления, артериосклероза, экстренного закрытия сосуда, связанного с тромболитической терапией или рестенозом (повторным сужением сосуда), и/или опухоли. Настоящее изобретение также относится к применению соединений, которые описаны выше, для получения лекарственных средств для терапевтического и/или профилактического лечения заболеваний, которые опосредованы фактором коагуляции Ха, в частности для терапевтического и/или профилактического лечения тромботических нарушений и расстройств, артериального тромбоза, венозного тромбоза, глубокого венозного тромбоза, окклюзионного поражения периферической артерии, нестабильной стенокардии, инфаркта миокарда, болезни коронарных артерий, эмболии сосудов легких, приступа вследствие фибрилляции предсердий (мерцательной аритмии), воспаления, артериосклероза, экстренного закрытия сосуда, связанного с тромболитической терапией или рестенозом (повторным сужением сосуда), и/или опухоли. Такие лекарственные средства включают соединение, которое описано выше. Ингибирование фактора коагуляции Ха при воздействии соединений согласно настоящему изобретению может быть показано посредством исследования с использованием хромогенного пептидного субстрата таким образом, как описано ниже. Активность фактора Ха измеряют спектрофотометрически в микротитрационном планшете при конечном объеме, составляющем 150 мкл, в следующих условиях: ингибирование фактора Ха человека («Enzyme Research Laboratories») тестируют при концентрации фермента 3 нМ с использованием хромогенного субстрата S-2222 («Chromogenix AB», Мельндаль, Швеция) при 200 нМ. Кинетика реакции фермента и субстрата линейна как по времени, так и по концентрации фермента. Ингибиторы растворяют в ДМСО и тестируют при различных концентрациях вплоть до 100 мкМ. Ингибиторы разбавляют буфером HNPT, состоящим из HEPES 100 мМ, NaCl 140 мМ, ПЭГ 6000 0,1% и Твин 80 0,02%, рН 7,8. Отщепление S-2222 при воздействии фактора Ха человека происходит при 405 нм в течение 5 минут при комнатной температуре. Скорость реакции оценивают с использованием автоматического аппарата для прочтения планшетов по тангенсу угла наклона графика линейной регрессии, построенного по 7 отсчетам (1 минута). Начальную скорость реакции для каждой концентрации ингибитора определяют по тангенсу угла наклона участка, построенного по меньшей мере по 4 точкам, соответствующим различным моментам времени для линейной фазы посредством аппроксимации линейной регрессии (mOD/мин2). Константу кажущейся диссоциации Кi вычисляют в соответствии с методикой Ченга и Прюсоффа [Cheng, Y.С.; Prusoff, W.Н. Relationship between the inhibition constant (Ki) and the концентрация of the inhibitor that causes 50 percent inhibition (IC50) of an enzyme reaction. Biochem. Pharmacol. 1973, 22, 3099-3108] на основе IC50 и соответствующего значения Km, определенного ранее (Ki=IC50/(1+S/Km)). Используемое значение Km для субстрата определяют в условиях теста для по меньшей мере 5 концентраций субстрата, варьирующихся от 0,5 до 15 кратного значения Km [Lottenberg R, Hall J.A, Blinder M, Binder E.P, Jackson C.M., The action ofthrombin on peptide и-nitroanilide substrates. Substrate selectivity and examination ofhydrolise under different reaction conditions. Biochim Biophys Acta. 1983 Feb 15; 742 (3):539-57], согласно следующей методике [Eadie G.S. The inhibition of cholinesterase by physostigmine and prostigmine. J. Biol. Chem. 1942, 146, 85-93]. Значение Km для S-2222 по данным вычислений составляет до 613 мкМ. Активность низкомолекулярных соединений может, однако, характеризоваться значением “протромбинового времени” (РТ) по данным определения времени свертывания крови. Соединения используют для приготовления раствора с концентрацией 10 мм в ДМСО и затем приготавливают необходимые разбавления в том же растворителе. Кроме того, 0,25 мл плазмы человека (получена из цельной крови с добавлением антикоагулянта – 1/10 объема 108 мМ цитрата натрия) помещают в специальный контейнер для образцов. В каждом из опытов 5 мкл каждого разбавления серийного разбавления соединения смешивают затем с указанной плазмой. Полученную смесь плазма/ингибитор инкубируют при 37°С в течение 2 минут. Затем смесь переносят с помощью специальной пипетки в полуавтоматическое устройство (ACL, Automated Coagulation Laboratory (Instrument Laboratory)) в количестве 50 мкл смеси плазма/ингибитор в контейнер для проведения измерения. Коагуляцию инициируют добавлением 0,1 мл реагента Dade® Innovin® (рекомбинантный тканевый фактор человека в сочетании с кальциевым буфером и синтетическими фосфолипидами, «Dade Behring, Inc.», номер по каталогу Cat. B4212-50). Время сшивания фибрином определяют фотооптическим методом с использованием описанного выше устройства ACL. Определяют концентрацию ингибитора, которая вызывает удвоение времени свертываемости (протромбинового времени РТ), посредством аппроксимации данных функцией экспоненциальной регрессии (XLfit). Соединения согласно настоящему изобретению, кроме того, могут быть описаны с помощью характеристики «активированное частичное тромбопластиновое время» (АРТТ сокр от англ. Activated Partial Thromboplastin time). Этот тест для оценки коагуляции может быть проведен с использованием автоматического анализатора – системы «ACL 300 Coagulation System» (Instrumentation Laboratory). Соединения используют в виде раствора с концентрацией 10 мм в ДМСО и далее готовят разбавления тем же растворителем. Тест проводят, используя реагент «Dade® Actin® FS Activated РТТ» (очищенные фосфатиды сои в 1,0х10-4 М эллаговой кислоты, стабилизатор и консервант, фирма «Dade Behring, Inc.», номер по каталогу Cat. B4218-100). Таким образом, аликвоту 0,25 мл плазмы человека (получена из цельной крови с добавлением антикоагулянта – 1/10 объема 108 мм цитрата натрия) с добавлением 5 мкл раствора тестируемого соединения с использованием по меньшей мере 6 концентраций. Инкубируют 50 мкл плазмы при 4°С, содержащей 1/50 об. ингибитора в растворителе вместе с 50 мкл реагента «Dade® Actin® FS Activated PIT» в воде при 37°С в течение 3 мин, затем добавляют 50 мкл CaCl2·2H2O 25 мм в воде при 37°С. Время сшивания фибрином определяют фотооптическим методом с использованием описанного выше устройства ACL. Определяют концентрацию ингибитора, которая вызывает удвоение времени свертываемости (активированное частичное тромбопластиновое время АРРТ), посредством аппроксимации данных функцией экспоненциальной регрессии (XLfit). Значения Ki для соединений, обладающих активностью согласно настоящему изобретению, предпочтительно, составляют приблизительно от 0,001 до 50 мкМ, в частности приблизительно от 0,001 до 1 мкМ. Значения «протромбинового времени» РТ составляют предпочтительно от приблизительно 1 до 100 мкМ, в особенности приблизительно от 1 до 10 мкМ. Значения активированного частичного тромбопластинового времени АРТТ предпочтительно составляют от приблизительно 1 до 100 мкМ, в частности от приблизительно от 1 до 10 мкМ.
Соединения формулы I и/или фармацевтически приемлемые соли и/или фармацевтически приемлемые сложные эфиры могут быть использованы в качестве лекарственных средств, например, в виде фармацевтических препаратов для энтерального, парентерального или местного введения. Они также могут быть введены, например, перорально, в частности в виде таблеток, таблеток с покрытием, драже, твердых и мягких желатиновых капсул, растворов, эмульсий или суспензий, ректально, например, в виде суппозиториев, парентерально, например, в виде растворов для инъекций, или растворов для вливания, или местно, например, в виде мазей, кремов или масел. Пероральное введение является предпочтительным. Получение фармацевтических препаратов может быть осуществлено с использованием способов, которые известны специалистам в данной области, посредством введения соединений формулы I и/или их фармацевтически приемлемых солей, необязательно в комбинации с другими терапевтически значимыми соединениями, в лекарственную форму, предназначенную для введения, вместе с подходящими, нетоксичными, инертными, терапевтически совместимыми твердыми или жидкими веществами-носителями, и, если необходимо, с обычными фармацевтическими вспомогательными веществами. Подходящие вещества-носители представляют собой не только неорганические вещества, но также и органические вещества. Так, например, в качестве веществ-носителей для таблеток, таблеток с покрытием, драже и твердых желатиновых капсул могут быть использованы лактоза, кукурузный крахмал или его производные, тальк, стеариновая кислота или ее соли. Подходящие вещества-носители для мягких желатиновых капсул представляют собой, например, растительные масла, воски, жиры и полутвердые и жидкие полиолы (однако в зависимости от природы активного ингредиента в случае мягких желатиновых капсул носитель может и не потребоваться). Подходящие вещества-носители для получения растворов и сиропов представляют собой, например, воду, полиолы, сахарозу, инвертный сахар и т.п. Подходящие носители для приготовления растворов для инъекций представляют собой, например, воду, спирты, полиолы, глицерин и растительные масла. Подходящие носители для суппозиториев представляют собой, например, природные или отвержденные масла, воски, жиры и полутвердые или жидкие полиолы. Подходящие носители для местных препаратов представляют собой глицериды, полусинтетические и синтетические глицериды, гидрированные масла, жидкие воски, жидкие парафины, жидкие жирные спирты, стеролы, полиэтиленгликоли и производные целлюлозы. В качестве фармацевтически пригодных вспомогательных веществ следует рассматривать обычные стабилизаторы, консерванты, смачивающие и эмульгирующие агенты, агенты, улучшающие консистенцию, агенты, улучшающие вкус и запах, соли для регулирования осмотического давления, буферные вещества, солюбилизаторы, подкрашивающие вещества, маскирующие агенты и антиоксиданты. Дозировка соединений формулы I может варьироваться в широких пределах в зависимости от заболевания, которое подлежит контролю, возраста и конкретного состояния пациента и способа введения, и, безусловно, должна соответствовать индивидуальным потребностям в каждом отдельном случае. Для взрослых пациентов дневная дозировка составляет приблизительно от 1 до 1000 мг, в частности следует рассматривать дозировки приблизительно от 1 до 300 мг. В зависимости от степени выраженности симптомов заболевания и конкретного фармакокинетического профиля соединения соединение можно вводить в виде дозированных единиц один или несколько раз в день, например в виде от 1 до 3 единичных дозированных форм. Удобно для использования, если фармацевтически препараты содержат приблизительно 1-500 мг, предпочтительно 1-100 мг соединения формулы I. Приведенные ниже примеры служат для более подробной иллюстрации настоящего изобретения. Однако эти примеры не следует каким-либо образом рассматривать как ограничение объема настоящего изобретения. Примеры Пример 1 3-[(4-Хлорфенил)амид] 4-{[2-фтор-4-(2-оксо-2Н-пиридин-1-ил)фенил]амид}транс-(3RS,4RS)-1-метансульфонилпирролидин-3,4-дикарбоновой кислоты В соответствии с общей методикой 2а) Стадия 1: диэтиловый эфир транс-(3RS,4RS)-1-бензилпирролидин-3,4-дикарбоновой кислоты 1а Диэтиловый эфир фумаровой кислоты (21,6 г; 0,126 моль) растворяют в толуоле (900 мл) и нагревают при 105°С. Добавляют смесь N-бензилглицина (25 г; 0,151 моль) и параформальдегида (25,36 г; 0,844 моль) в виде 4 г порций при кипячении раствора с обратным холодильником. После завершения добавления полученную смесь нагревают в течение 18 часов при 105°С. Затем смесь упаривают досуха и суспендируют в н-гексане. Нерастворимое вещество отфильтровывают и оставшийся раствор упаривают досуха. Неочищенный продукт используют на следующей стадии без дополнительной очистки. Выход: 32,5 г (70,3%), масс-спектр (ионизация электроспреем): m/z=306 [М+Н]+. Стадия 2: трет-бутиловый эфир диэтиловый эфир транс-(3RS,4RS)пирролидин-1,3,4-трикарбоновой кислоты 1б В атмосфере аргона соединение 1а (32,5 г; 0,106 моль) и ди-трет-бутилдикарбонат (24,4 г; 0,112 моль) растворяют в этаноле (650 мл). После этого в атмосфере аргона добавляют палладий на активированном угле (10%; 3,4 г; 0,0034 моль), после чего аргон заменяют на водород. Через 2 часа при 25°С гидрирование завершают и палладий на активированном угле отфильтровывают.Фильтрат упаривают досуха и полученный остаток очищают экспресс-хроматографией на силикагеле (700 г), используя в качестве элюента смесь н-гептан/этилацетат (в соотношении 2:1). Выход: 25,4 г (75,7%), масс-спектр (ионизация электроспреем): m/z=316 [М+Н]+. Стадия 3: трет-бутиловый эфир транс-(3RS,4RS)пирролидин-1,3,4-трикарбоновой кислоты 1в Соединение 16 (1 г, 3,17 ммоль) растворяют в ТГФ (8 мл) и добавляют 80 мл воды. Реакционную смесь помещают на баню со смесью воды и льда и охлаждают до 0°С. К этой реакционной смеси добавляют небольшими порциями 96 мл 0,25 н. раствора NaOH при перемешивании до тех пор, пока не израсходуется весь диэфир (контроль по данным тонкослойной хроматографии). Реакционную смесь перемешивают при той же температуре в течение приблизительно от 30 минут до 1 часа, после чего реакционную смесь подкисляют 1 н. раствором HCl при 0°С, насыщают NaCl, экстрагируют этилацетатом четыре раза (каждый раз по 100 мл) и высушивают, используя сульфат натрия. Органическую фазу упаривают досуха и высушивают в вакууме. Выход: 0,68 г (82,7%), масс-спектр (ионизация электроспреем): m/z=258 [М-Н]+. Стадия 4: 1-трет-бутиловый эфир транс-(3RS,4RS)-4-(4-хлорфенилкарбамоил)пирролидин-1,3-дикарбоновой кислоты 1г Соединение 1в (2,25 г; 9 ммоль) суспендируют в ацетонитриле (30 мл) и добавляют N,N-диизопропилэтиламин (3,03 мл; 17 ммоль) при 25°С. Через 20 минут получают прозрачный раствор и добавляют 1-(3-диметил-аминопропил)-3-этилкарбодиимид гидрохлорид EDCI (2,0 г; 10 ммоль) и 1-гидроксибензотриазол HOBt (1,41 г; 10 ммоль). После перемешивания в течение 30 минут к реакционной смеси добавляют при 25°С 4-хлоранилин (1,11 г; 9 ммоль). Полученную смесь перемешивают в течение 18 часов при 25°С, упаривают досуха и растворяют в этилацетате (100 мл). Органическую фазу промывают 0,1 н. HCl (2×100 мл), водой и насыщенным раствором соли и высушивают над Na2SO4. Органическую фазу фильтруют и фильтрат упаривают досуха. Выход: 1,08 г (33,7%), масс-спектр (ионизация электроспреем): m/z=368 [М-Н]–, Cl-структура. Стадия 5: 1-(4-амино-3-фторфенил)-1Н-пиридин-2-он 1д 4-Бромо-2-фторанилин (13,0 г; 68 ммоль), 2-гидроксипиридин (9,11 г; 96 ммоль), 8-гидроксихинолин (1,5 г; 10 ммоль) растворяют в атмосфере аргона в ДМСО (40 мл). К этому раствору добавляют К2СО3 (10,4 г; 75 ммоль) и CuI (1,95 г; 10 ммоль) и затем полученную суспензию энергично перемешивают в атмосфере аргона при 150°С в течение 18 часов. Полученную смесь упаривают досуха при пониженном давлении и полученный остаток хроматографируют на силикагеле (400 г), используя в качестве элюента смесь дихлорметан/метанол. Полученный неочищенный продукт перекристаллизовывают из диэтилового эфира, получая при этом не совсем белое твердое вещество. Выход: 2,80 г (20,0%), масс-спектр (ионизация электроспреем): m/z=205 [М+Н]+. Стадия 6: 3-[(4-хлорфенил)амид] 4-{[2-фтор-4-(2-оксо-2Н-пиридин-1-ил)фенил]амид} гидрохлорид транс-(3RS,4RS)пирролидин-3,4-дикарбоновой кислоты 1е Соединение 1 г (0,8 г; 2 ммоль) растворяют в тионилхлориде (3,93 мл; 54 ммоль), через 30 минут при перемешивании добавляют при 25°С 1-(4-амино-3-фторфенил)-1Н-пиридин-2-он (соединение 1д, 0,443 г; 2 ммоль) с охлаждением. Полученную смесь перемешивают в течение 18 часов при 25°С, упаривают досуха и перекристаллизовывают из диэтилового эфира, получая при этом соль-гидрохлорид соединения 1е в виде светло-коричневого твердого вещества. Выход: 0,872 г (81,8%), масс-спектр (ионизация электроспреем): m/z=455 [М+Н]+, Cl-структура. Стадия 7: 3-[(4-хлорфенил)амид] 4-{[2-фтор-4-(2-оксо-2Н-пиридин-1-ил)фенил]амид} транс-(3RS,4RS)-1-метансульфонилпирролидин-3,4-дикарбоновой кислоты 1ж Соединение 1е (80,3 мг; 0,177 ммоль) растворяют в ацетонитриле (3 мл) при добавлении N,N-диизопропилэтиламина (45,75 мг; 61,8 мкл; 0,354 ммоль). Добавляют метансульфонилхлорид (40,6 мг; 0,354 ммоль) и полученную смесь перемешивают в течение 18 часов при 25°С. Реакционную смесь упаривают досуха и очищают препаративной хроматографией (ЖХВР). Выход: 11,2 мг (11,9%), масс-спектр (ионизация электроспреем): m/z=533 [М+Н], Cl-структура. Пример 2 3-[(4-Хлорфенил)амид] 4-{[2-фтор-4-(2-оксо-2Н-пиридин-1-ил)фенил]амид}транс-(3RS,4RS)-1-формилпирролидин-3,4-дикарбоновой кислоты. Соединение согласно примеру 2 получают таким образом, как описано в примере 1, за исключением стадии 7. Стадия 7: 3-[(4-хлорфенил)амид] 4-{[2-фтор-4-(2-оксо-2Н-пиридин-1-ил)фенил]амид} транс-(3RS,4RS)-1-формилпирролидин-3,4-дикарбоновой кислоты 2 Соединение 1е (80,3 мг; 0,177 ммоль) растворяют в ацетонитриле (3 мл) при добавлении N,N-диизопропилэтиламина (22,9 мг; 30,9 мкл; 0,177 ммоль). Добавляют 4-нитрофенилформиат (29,6 мг; 0,177 ммоль), после чего полученную смесь перемешивают в течение 18 часов при 25°С. Реакционную смесь упаривают досуха и затем очищают препаративной хроматографией (ЖХВР). Выход: 13,8 мг (16,1%), масс-спектр (ионизация электроспреем): m/z=483 [М+Н]+, Cl-структура. Пример 3 Этиловый эфир транс-(3RS,4RS)-{3-(4-хлорфенилкарбамоил)-4-[2-фтор-4-(2-оксо-2Н-пиридин-1-ил)фенилкарбамоил]пирролидин-1-ил}уксусной кислоты Соединение согласно примеру 3 получают таким образом, как описано в примере 1, за исключением стадии 7. Стадия 7: этиловый эфир транс-(3RS,4RS)-{3-(4-хлорфенилкарбамоил)-4-[2-фтор-4-(2-оксо-2Н-пиридин-1-ил)фенилкарбамоил]пирролидин-1-ил}уксусной кислоты 3 Соединение 1е (80,3 мг; 0,177 ммоль) и К2СО3 (69,0 мг; 0,5 ммоль) суспендируют в ацетонитриле (3 мл). После этого добавляют этиловый эфир бромуксусной кислоты (32,5 мг; 0,195 ммоль) и полученную смесь перемешивают в течение 18 часов при 25°С. Реакционную смесь упаривают досуха и очищают препаративной хроматографией (ЖХВР). Выход: 18,8 мг (19,6%), масс-спектр (ионизация электроспреем): m/z=541 [М+Н]+, Cl-структура. Пример 4 3-[(4-Хлорфенил)амид] 4-{[2-фтор-4-(2-оксо-2Н-пиридин-1-ил)фенил]-амид}транс-(3RS,4RS)-1-карбамоилметилпирролидин-3,4-дикарбоновой кислоты Соединение согласно примеру 4 получают таким образом, как описано в примере 1, за исключением стадии 7. Стадия 7: 3-[(4-хлорфенил)амид] 4-{[2-фтор-4-(2-оксо-2Н-пиридин-1-ил)фенил]амид}транс-(3RS,4RS)-1-карбамоилметилпирролидин-3,4-дикарбоновой кислоты 4 Соединение 1е (80,3 мг; 0,177 ммоль) и К2СО3 (69,0 мг; 0,5 ммоль) суспендируют в ацетонитриле (3 мл). После этого добавляют 2-бромацетамид (27,0 мг; 0,195 ммоль) и полученную смесь перемешивают в течение 18 часов при 25°С. Реакционную смесь упаривают досуха и очищают препаративной хроматографией (ЖХВР). Выход: 10,8 мг (11,9%), масс-спектр (ионизация электроспреем): m/z=512 [М+Н]+, Cl-структура. Пример 5 3-[(4-Хлорфенил)амид] 4-{[2-фтор-4-(2-оксо-2Н-пиридин-1-ил)фенил]амид}транс-(3RS,4RS)-1-цианометилпирролидин-3,4-дикарбоновой кислоты Соединение согласно примеру 5 получают таким образом, как описано в примере 1, за исключением стадии 7. Стадия 7: 3-[(4-Хлорфенил)амид] 4-{[2-фтор-4-(2-оксо-2Н-пиридин-1-ил)фенил]амид}транс-(3RS,4RS)-1-цианометилпирролидин-3,4-дикарбоновой кислоты 5 Соединение 1е (80,3 мг; 0,177 ммоль) и К2СО3 (69,0 мг; 0,5 ммоль) суспендируют в ацетонитриле (3 мл). После этого добавляют 2-бром-ацетонитрил (23,4 мг; 0,195 ммоль) и полученную смесь перемешивают в течение 18 часов при 25°С. Реакционную смесь упаривают досуха и очищают препаративной ЖХВР. Выход: 10,4 мг (11,9%), масс-спектр (ионизация электроспреем): m/z=494 [М+Н]+, Cl-структура. Пример 6 3-[(4-Хлорфенил)амид] 4-{[2-фтор-4-(2-оксо-2Н-пиридин-1-ил)фенил]амид}транс-(3RS,4RS)-1-(3,3,3-трифторпропил)пирролидин-3,4-дикарбоновой кислоты Соединение согласно примеру 6 получают таким образом, как описано в примере 1, за исключением стадии 7. Стадия 7: 3-[(4-Хлорфенил)амид] 4-{[2-фтор-4-(2-оксо-2Н-пиридин-1-ил)фенил]амид}транс-(3RS,4RS)-1-(3,3,3-трифторпропил)пирролидин-3,4-дикарбоновой кислоты 6 Соединение 1е (80,3 мг; 0,177 ммоль) и К2СО3 (69,0 мг; 0,5 ммоль) суспендируют в ацетонитриле (3 мл). После этого добавляют 3-бромо-1,1,1-трифторпропан (34,5 мг; 0,195 ммоль) и Ag2O (45,2 мг; 0,195 ммоль) и затем полученную смесь перемешивают в течение 18 часов при 80°С. Реакционную смесь упаривают досуха и очищают препаративной хроматографией (ЖХВР). Выход: 19,7 мг (20,2%), масс-спектр (ионизация электроспреем): m/z=551 [М+Н]+, Cl-структура. Пример 7 3-[(4-Хлорфенил)амид] 4-{[2-фтор-4-(2-оксо-2Н-пиридин-1-ил)фенил]амид} (3R,4R)-1-метансульфонилпирролидин-3,4-дикарбоновой кислоты В соответствии с общей методикой 2в) Стадия 1: 1-транс-бутиловый эфир 3-этиловый эфир (3R,4R)пирролидин-1,3,4-трикарбоновой кислоты 7а Стереоселективное моноомыление рацемической смеси соединения 1б с получением при этом соединения 7а и соответствующего S,S-энантиомера описано в статье: R.M.Rodriguez Sarmiento, В.Wirz, H.Iding, Tetrahedron Asymmetry, 14, 2003, 1547-1551. Стадия 2а: 1-трет-бутиловый эфир 3-этиловый эфир (3R,4R)-4-(4-хлорфенилкарбамоил)пирролидин-1,3-дикарбоновой кислоты 7б Соединение 7а (4,91 г; 17,1 ммоль) суспендируют в ацетонитриле (25 мл) и затем добавляют N,N-диизопропилэтиламин (3,58 мл; 20,5 ммоль) при 0°С. Добавляют в виде твердого вещества бис-(2-оксо-3-оксазолидинил)-фосфинхлорид ВОР-Cl (5,22 г; 20,5 ммоль) и после перемешивания в течение 30 минут добавляют к реакционной смеси при 0°С 4-хлоранилин (2,18 г; 17,1 ммоль). Полученную смесь перемешивают в течение 2 часов при 0°С, упаривают досуха и растворяют в этилацетате (мл). Органическую фазу промывают 0,1 н. раствором HCl (2 × мл), насыщенным водным раствором Na2CO3, водой и насыщенным раствором соли, и затем высушивают над Na2SO4. Органическую фазу фильтруют и фильтрат упаривают досуха. Неочищенный продукт очищают хроматографией на силикагеле. Выход: 4,7 г (69,3%), масс-спектр (ионизация электроспреем): m/z=395 [М-Н]–, Cl-структура. Стадия 2б: 1-трет-Бутиловый эфир (3R,4R)-4-(4-хлорфенилкарбамоил)-пирролидин-1,3-дикарбоновой кислоты 7в Сложный эфир, полученный на стадии 2а (4,07 г; 10,3 ммоль), растворяют в смеси ТГФ/вода (в соотношении 1:1; 40 мл). Добавляют к полученной смеси LiOH моногидрат (0,947 г; 22,6 ммоль), полного омыления достигают после перемешивания в течение 18 часов при 25°С. Полученную смесь подкисляют, используя 1 н. водный раствор HCl, и разбавляют этилацетат (100 мл). Органическую фазу промывают насыщенным раствором соли (100 мл) и высушивают над Na2SO4. Органическую фазу фильтруют и фильтрат упаривают досуха. Выход: 3,28 г (86,7%), масс-спектр (ионизация электроспреем): m/z=367 [М-Н]–, Cl-структура. Стадия 3: 3-[(4-Хлорфенил)амид] 4-{[2-фтор-4-(2-оксо-2Н-пиридин-1-ил)фенил]амид} гидрохлорид (3R,4R)пирролидин-3,4-дикарбоновой кислоты 7г Соединение 7в (2,2 г; 5,96 ммоль) растворяют в тионилхлориде (10 мл) и перемешивают при 25°С в течение 30 минут. После этого добавляют 1-(4-амино-3-фторфенил)-1Н-пиридин-2-он (соединение 1д; 1,22 г; 5,96 ммоль), полученную реакционную смесь перемешивают в течение 18 часов при температуре окружающей среды. Полученную смесь упаривают досуха и затем неочищенный продукт перекристаллизовывают несколько раз из простого диэтилового эфира, получая при этом соединение 7 г в виде светло-коричневого твердого вещества. Выход: 2,92 г (99,7%), масс-спектр (ионизация электроспреем): m/z=455 [М+Н]+, Cl-структура. Стадия 4: 3-[(4-Хлорфенил)амид] 4-{[2-фтор-4-(2-оксо-2Н-пиридин-1-ил)фенил]амид}(3R,4R)-1-метансульфонилпирролидин-3,4-дикарбоновой кислоты 7д Соединение 7 г (300 мг; 0,61 ммоль) растворяют в ацетонитриле (5 мл) при добавлении N,N-диизопропилэтиламина (210 мкл; 1,22 ммоль). Добавляют метансульфонилхлорид (140 мг; 1,22 ммоль) и затем полученную смесь перемешивают в течение 18 часов при 25°С. Реакционную смесь упаривают досуха и очищают препаративной ЖХВР. Выход: 170 мг (5,22%), масс-спектр (ионизация электроспреем): m/z=533 [М+Н]+, Cl-структура. Пример 8 3-[(4-Хлорфенил)амид] 4-{[2-фтор-4-(2-оксо-2Н-пиридин-1-ил)фенил]амид}(3R,4R)-1-этансульфонилпирролидин-3,4-дикарбоновой кислоты Соединение согласно примеру 8 получают в соответствии с методикой, описанной в примере 7. Масс-спектр (ионизация электроспреем): m/z=547 [М+Н]+, Cl-структура. Пример 9 3-[(4-Хлорфенил)амид] 4-{[2-фтор-4-(2-оксо-2Н-пиридин-1-ил)фенил]амид}(3R,4R)-1-пропансульфонилпирролидин-3,4-дикарбоновой кислоты Соединение согласно примеру 9 получают в соответствии с методикой, описанной в примере 7. Масс-спектр (ионизация электроспреем): m/z=561 [М+Н]+, Cl-структура. Пример 10 3-[(4-Хлорфенил)амид] 4-{[2-фтор-4-(2-оксо-2Н-пиридин-1-ил)фенил]амид}(3R,4R)-1-(пропан-2-сульфонил)пирролидин-3,4-дикарбоновой кислоты Соединение согласно примеру 10 получают в соответствии с методикой, описанной в примере 7. Масс-спектр (ионизация электроспреем): m/z=561 [М+Н]+, Cl-структура. Пример 11 3-[(4-Хлорфенил)амид] 4-{[2-фтор-4-(2-оксо-2Н-пиридин-1-ил)фенил]амид}(3R,4R)-1-(2,2,2-трифторэтансульфонил)пирролидин-3,4-дикарбоновой кислоты Соединение согласно примеру 11 получают в соответствии с методикой, описанной в примере 7. Масс-спектр (ионизация электроспреем): m/z=601 [М+Н]+, Cl-структура. Пример 12 4-{[2-Фтор-4-(2-оксо-2Н-пиридин-1-ил)фенил]амид} 3-[(4-хлорфенил)-амид](3R,4R)-1-диметилсульфамоилпирролидин-3,4-дикарбоновой кислоты Соединение согласно примеру 12 получают в соответствии с методикой, описанной в примере 7. Масс-спектр (ионизация электроспреем): m/z=562 [М+Н]+, Cl-структура. Пример 13 3-[(4-Хлорфенил)амид] 4-{[2-фтор-4-(2-оксо-2Н-пиридин-1-ил)фенил]амид}(3R,4R)-1-ацетилпирролидин-3,4-дикарбоновой кислоты Соединение согласно примеру 13 получают в соответствии с методикой, описанной в примере 7. Масс-спектр (ионизация электроспреем): m/z=497 [М+Н]+, Cl-структура. Пример 14 Метиловый эфир (3R,4R)-3-(4-хлорфенилкарбамоил)-4-[2-фтор-4-(2-оксо-2Н-пиридин-1-ил)фенилкарбамоил]пирролидин-1-карбоновой кислоты Соединение согласно примеру 14 получают в соответствии с методикой, описанной в примере 7. Масс-спектр (ионизация электроспреем): m/z=513 [М+Н]+, Cl-структура. Пример 15 3-[(4-Хлорфенил)амид] 4-{[2-фтор-4-(2-оксо-2Н-пиридин-1-ил)фенил]-амид}(3R,4R)-1-(2-фторэтил)пирролидин-3,4-дикарбоновой кислоты Соединение согласно примеру 15 получают в соответствии с методикой, описанной в примере 7, за исключением стадии 4. Стадия 4: Соединение 7 г (100 мг; 0,2 ммоль) растворяют в ацетонитриле (2 мл) при добавлении К2СО3 (56 мг; 0,4 ммоль). К реакционной смеси добавляют 2-фторэтилбромид (59 мг; 0,41 ммоль) и Ag2O (47 мг; 0,2 ммоль). Полученную смесь перемешивают при 80°С до тех пор, пока не произойдет полная конверсия согласно примеру 23. Реакционную смесь упаривают досуха и очищают препаративной ЖХВР. Выход: 20 мг (18,9%), масс-спектр (ионизация электроспреем): m/z=501 [М+Н]+, Cl-структура. Пример 16 Этиловый эфир (3R,4R)-3-(4-хлорфенилкарбамоил)-4-[2-фтор-4-(2-оксо-2Н-пиридин-1-ил)фенилкарбамоил]пирролидин-1-карбоновой кислоты Соединение согласно примеру 16 получают в соответствии с методикой, описанной в примере 7. Масс-спектр (ионизация электроспреем): m/z=527 [М+Н]+, Cl-структура. Пример 17 Пропиловый эфир (3R,4R)-3-(4-хлорфенилкарбамоил)-4-[2-фтор-4-(2-оксо-2Н-пиридин-1-ил)фенилкарбамоил]пирролидин-1-карбоновой кислоты Соединение согласно примеру 17 получают в соответствии с методикой, описанной в примере 7. Масс-спектр (ионизация электроспреем): m/z=541 [М+Н]+, Cl-структура. Пример 18 Изопропиловый эфир (3R,4R)-3-(4-хлорфенилкарбамоил)-4-[2-фтор-4-(2-оксо-2Н-пиридин-1-ил)фенилкарбамоил]пирролидин-1-карбоновой кислоты Соединение согласно примеру 18 получают в соответствии с методикой, описанной в примере 7. Масс-спектр (ионизация электроспреем): m/z=541 [М+Н]+, Cl-структура. Пример 19 3-[(4-Хлорфенил)амид] 4-{[2-фтор-4-(2-оксо-2Н-пиридин-1-ил)фенил]амид}(3R,4R)-1-(пирролидин-1-карбонил)пирролидин-3,4-дикарбоновой кислоты Соединение согласно примеру 19 получают в соответствии с методикой, описанной в примере 7. Масс-спектр (ионизация электроспреем): m/z=552 [М+Н]+, Cl-структура. Пример 20 3-[(4-Хлорфенил)амид] 4-{[2-фтор-4-(2-оксо-2Н-пиридин-1-ил)фенил]амид}(3S,4S)-1-метансульфонилпирролидин-3,4-дикарбоновой кислоты Соединение согласно примеру 20 получают в соответствии с методикой, описанной в примере 7, используя в качестве исходного соединения (3S,4S)-энантиомер. Масс-спектр (ионизация электроспреем): m/z=533 [М+Н]+, Cl-структура. Пример 21 3-[(4-Хлорфенил)амид] 4-{[2-фтор-4-(2-оксо-2Н-пиридин-1-ил)фенил]амид}(3R4R)-1-сульфамоилпирролидин-3,4-дикарбоновой кислоты Соединение согласно примеру 21 получают в соответствии с методикой, описанной в примере 7, за исключением стадии 4. Стадия 4: Соединение 7 г (100 мг; 0,2 ммоль) растворяют в диглиме (1 мл). Полученную смесь нагревают при 160°С и добавляют по каплям к реакционной смеси раствор сульфамида (23 мг; 0,24 ммоль) в диглиме (1 мл) в течение 5 минут. Реакционную смесь нагревают при 160°С до того, пока не произойдет полная конверсия в соединение согласно примеру 21. Реакционную смесь упаривают досуха и очищают препаративной ЖХВР. Выход: 4 мг (3,7%), масс-спектр (ионизация электроспреем): m/z=534 [М+Н]+, Cl-структура. Пример 22 3-[(4-Хлорфенил)амид] 4-{[2-фтор-4-(2-оксо-2Н-пиридин-1-ил)фенил]амид}(3R,4R)-1-формилпирролидин-3,4-дикарбоновой кислоты Соединение согласно примеру 22 получают в соответствии с методикой, описанной в примере 7, за исключением стадии 4. Стадия 4: Соединение 7 г (100 мг; 0,2 ммоль) растворяют в ацетонитриле (2 мл) при добавлении N,N-диизопропилэтиламина (30 мкл; 0,2 ммоль). К реакционной смеси добавляют 4-нитрофениловый эфир муравьиной кислоты (34 мг; 0,2 ммоль). Полученную смесь перемешивают при температуре окружающей среды, пока полностью не произойдет полная конверсия в соединение согласно примеру 22. Реакционную смесь упаривают досуха и очищают препаративной ЖХВР. Выход: 40,4 мг (41,1%), масс-спектр (ионизация электроспреем): m/z=483 [М+Н]+, Cl-структура. Пример 23 3-[(4-Хлорфенил)амид] 4-{[2-фтор-4-(2-оксо-2Н-пиридин-1-ил)фенил]амид}(3R,4R)-1-(2,2,2-трифторэтил)пирролидин-3,4-дикарбоновой кислоты Соединение согласно примеру 23 получают в соответствии с методикой, описанной в примере 7, за исключением стадии 4. Стадия 4: Соединение 7 г (80 мг; 0,16 ммоль) растворяют в дихлорметане (2 мл) при добавлении N,N-диизопропилэтиламина (60 мкл; 0,41 ммоль). Добавляют к реакционной смеси 2,2,2-трифторэтилтрифлат (57 мг; 0,24 ммоль). Полученную смесь перемешивают при температуре окружающей среды до тех пор, пока полностью не произойдет полная конверсия в соединение согласно примеру 23. Реакционную смесь упаривают досуха и очищают препаративной ЖХВР. Выход: 10,0 мг (11,4%), масс-спектр (ионизация электроспреем): m/z=537 [М+Н]+, Cl-структура. Пример 24 3-[(4-Хлорфенил)амид] 4-{[2-фтор-4-(2-оксо-2Н-пиридин-1-ил)фенил]амид}(3R,4R)-1-(2,2-дифторэтил)пирролидин-3,4-дикарбоновой кислоты Соединение согласно примеру 24 получают в соответствии с методикой, описанной в примере 7, за исключением стадии 4. Стадия 4: Соединение 7 г (100 мг; 0,2 ммоль) растворяют в ацетонитриле (2 мл) при добавлении К2СО3 (56 мг; 0,4 ммоль). Добавляют к реакционной смеси 2,2-дифторэтилбромид (59 мг; 0,41 ммоль) и Ag2O (47 мг; 0,2 ммоль). Полученную смесь перемешивают при 80°С до тех пор, пока полностью не произойдет полная конверсия в соединение согласно примеру 23. Реакционную смесь упаривают досуха и очищают препаративной ЖХВР. Выход: 20 мг (18,9%), масс-спектр (ионизация электроспреем): m/z=519 [М+Н]+, С1-структура. Пример 25 (3R,4R)-1-(2-Гидроксиэтил)пирролидин-3,4-дикарбоновой кислоты 3-[(4-хлорфенил)амид]4-{[2-фтор-4-(2-оксо-2Н-пиридин-1-ил)фенил]амид} Соединение согласно примеру 25 получают в соответствии с методикой, описанной в примере 24. Масс-спектр (ионизация электроспреем): m/z=500 [М+Н]+, Cl-структура. Пример 26 (3R,4R)-1-метилкарбамоилметилпирролидин-3,4-дикарбоновой кислоты 3-[(4-хлорфенил)амид]4-{[2-фтор-4-(2-оксо-2Н-пиридин-1-ил)фенил]амид} Соединение согласно примеру 26 получают в соответствии с методикой, описанной в примере 24. Масс-спектр (ионизация электроспреем): m/z=526 [М+Н]+, Cl-структура. Пример 27 3-[(4-Хлорфенил)амид] 4-{[2-фтор-4-(2-оксо-2Н-пиридин-1-ил)фенил]амид}(3R,4R)-1-изопропилпирролидин-3,4-дикарбоновой кислоты Соединение согласно примеру 27 получают в соответствии с методикой, описанной в примере 24, за исключением стадии 4. Стадия 4: Соединение 7 г (100 мг; 0,2 ммоль) растворяют в смеси метанола и уксусной кислоты (9:1; 2 мл). Добавляют ацетон (24 мг; 0,41 ммоль) и затем реакционную смесь перемешивают в течение 30 минут при 25°С. После этого добавляют к реакционной смеси NaBH3CN (45 мг; 0,71 ммоль). После перемешивания в течение 18 часов при температуре окружающей среды реакционную смесь обрабатывают еще раз ацетоном (24 мг; 0,41 ммоль) и NaBH3CN (45 мг; 0,71 ммоль) и затем перемешивают при 80°С в течение 18 часов. После этого полученную смесь упаривают досуха и очищают препаративной ЖХВР. Выход: 3 мг (3%), масс-спектр (ионизация электроспреем): m/z=497 [М+Н]+, Cl-структура. Пример 28 3-{[2-Фтор-4-(2-оксо-2Н-пиридин-1-ил)фенил]амид} 4-[(1Н-индол-5-ил)амид](3R,4R)-1-метансульфонилпирролидин-3,4-дикарбоновой кислоты В соответствии с общей методикой 2г Стадия 1: 1-трет-Бутиловый эфир 3-этиловый эфир (3R,4R)пирролидин-1,3,4-трикарбоновой кислоты 7а Стереоселективное моноомыление рацемической смеси соединения 1б с получением при этом соединения 7а и соответствующего 5,5-энантиомера описано в статье: R.M.Rodriguez Sarmiento, В.Wirz, H.Iding, Tetrahedron Asymmetry, 14, 2003, 1547-1551. Стадия 2: 1-трет-Бутиловый эфир 3-этиловый эфир (3R,4R)-4-[2-фтор-4-(2-оксо-2Н-пиридин-1-ил)фенилкарбамоил]пирролидин-1,3-дикарбоновой кислоты 28б Соединение 7а (1,85 г; 6 ммоль) суспендируют в ацетонитриле (20 мл) и добавляют N,N-диизопропилэтиламин (1,65 мл; 10 ммоль) при 25°С. Добавляют в качестве твердого вещества ВОР-Cl (2,46 г; 10 ммоль) и после перемешивания добавляют к реакционной смеси в течение 30 минут при 25°С 1-(4-амино-3-фторфенил)-1Н-пиридин-2-он (1,45 г; 7 ммоль). Полученную смесь перемешивают в течение 4 дней при 25°С, упаривают досуха и растворяют в этилацетате (200 мл). Органическую фазу промывают 2 н. HCl (50 мл), 10% водным раствором Na2CO3, водой и насыщенным раствором соли и высушивают над Na2SO4. Органическую фазу фильтруют и затем фильтрат упаривают досуха. Неочищенный продукт очищают хроматографией на силикагеле. Выход: 1,77 г (58,1%), масс-спектр (ионизация электроспреем): m/z=472 [М-Н]–. Стадия 3: этиловый эфир гидрохлорида (3R,4R)-4-[2-Фтор-4-(2-оксо-2Н-пиридин-1-ил)фенилкарбамоил]пирролидин-3-карбоновой кислоты 28в Соединение 286 (5,37 г; 11 ммоль) растворяют в 6 н. растворе HCl в изопропаноле (42 мл) и полученную смесь перемешивают в течение 2 часов при 25°С. Полученную смесь упаривают досуха и неочищенный продукт затем перекристаллизовывают несколько раз из диэтилового эфира, получая при этом соединение 28в в виде не совсем белого твердого вещества. Выход: 4,89 г (105,2%), масс-спектр (ионизация электроспреем): m/z=374 [М+Н]+. Стадия 4: этиловый эфир (3R,4R)-4-[2-Фтор-4-(2-оксо-2Н-пиридин-1-ил)фенилкарбамоил]-1-метан-сульфонилпирролидин-3-карбоновой кислоты 28 г Соединение 28в (3,1 г; 8 ммоль) суспендируют в ацетонитриле (20 мл) при добавлении N,N-диизопропилэтиламина (3,24 мл; 19 ммоль). Добавляют метансульфонилхлорид (1,3 г; 11 ммоль) и полученную смесь перемешивают в течение 18 часов при 25°С. Реакционную смесь упаривают досуха и очищают хроматографией на силикагеле. Выход: 3,5 г (102,5%), масс-спектр (ионизация электроспреем): m/z=450 [М-Н]–. Стадия 5: (3R,4R)-4-[2-Фтор-4-(2-оксо-2Н-пиридин-1-ил)фенилкарбамоил]-1-метансульфонилпирролидин-3-карбоновая кислота 28д Соединение 28 г (3,7 г; 8 ммоль) растворяют в смеси 1,4-диоксан/вода (в соотношении 1:1; 30 мл). Добавляют к полученной смеси LiOH моногидрат (1,03 г; 25 ммоль), полное омыление происходит после перемешивания в течение 24 часов при 25°С. Полученную смесь упаривают досуха и растворяют в этилацетате, после чего полученный продукт экстрагируют насыщенным водным раствором Na2CO3. Водную фазу охлаждают до 10°С и подкисляют 25%-ным водным раствором HCl до рН=1. Полученный продукт экстрагируют несколько раз этилацетатом (3×100 мл). Объединенные органические фазы промывают насыщенным раствором соли и высушивают над Na2SO4. После фильтрации органическую фазу упаривают досуха. Выход: 1,57 г (45,2%), масс-спектр (ионизация электроспреем): m/z=422 м [М-Н]–. Стадия 6: 3-{[2-Фтор-4-(2-оксо-2Н-пиридин-1-ил)фенил]амид} 4-[(1Н-индол-5-ил)амид](3R,4R)-1-метансульфонилпирролидин-3,4-дикарбоновой кислоты 28е Соединение 28д (100 мг; 0,236 ммоль) суспендируют в ацетонитриле (1 мл) и добавляют N,N-диизопропилэтиламин (60 мкл; 0,354 ммоль) при 25°С. Добавляют в виде твердого вещества ВОР-Cl (90 мг; 0. 354 ммоль) и после перемешивания в течение 30 минут при 25°С добавляют к реакционной смеси 5-аминоиндол (34 мг; 0,286 ммоль). Полученную смесь перемешивают в течение 18 часов при 25°С, упаривают досуха и очищают хроматографией на силикагеле. Выход: 88 мг (69,3%), масс-спектр (ионизация электроспреем): m/z=538 [М+Н]+. Пример 29 3-{[2-Фтор-4-(2-оксо-2Н-пиридин-1-ил)фенил]амид} 4-[(4-метоксифенил)амид](3R,4R)-1-метансульфонилпирролидин-3,4-дикарбоновой кислоты Соединение согласно примеру 29 получают в соответствии с методикой, описанной в примере 28. Масс-спектр (ионизация электроспреем): m/z=529 [M+H]+. Пример 30 3-[(3-Хлор-4-метоксифенил)амид] 4-{[2-фтор-4-(2-оксо-2Н-пиридин-1-ил)фенил]амид}(3R,4R)-1-метансульфонилпирролидин-3,4-дикарбоновой кислоты Соединение согласно примеру 30 получают в соответствии с методикой, описанной в примере 28. Масс-спектр (ионизация электроспреем): m/z=563 [М+Н]+, Cl-структура. Пример 31 3-[(3-Фтор-4-метоксифенил)амид] 4-{[2-фтор-4-(2-оксо-2Н-пиридин-1-ил)фенил]амид}(3R,4R)-1-метансульфонилпирролидин-3,4-дикарбоновой кислоты Соединение согласно примеру 31 получают в соответствии с методикой, описанной в примере 28. Масс-спектр (ионизация электроспреем): m/z=547 [M+H]+. Пример 32 3-[(4-Хлор-3-фторфенил)амид] 4-{[2-фтор-4-(2-оксо-2Н-пиридин-1-ил)фенил]амид}(3R,4R)-1-метансульфонилпирролидин-3,4-дикарбоновой кислоты Соединение согласно примеру 32 получают в соответствии с методикой, описанной в примере 28. Масс-спектр (ионизация электроспреем): m/z=551 [М+Н]+, Cl-структура. Пример 33 3-[(4-Хлор-2-фторфенил)амид] 4-{[2-фтор-4-(2-оксо-2Н-пиридин-1-ил)фенил]амид}(3R,4R)-1-метансульфонилпирролидин-3,4-дикарбоновой кислоты Соединение согласно примеру 33 получают в соответствии с методикой, описанной в примере 28. Масс-спектр (ионизация электроспреем): m/z=551 [М+Н]+, Cl-структура. Пример 34 3-[(2-Амино-4-хлорфенил)амид] 4-{[2-фтор-4-(2-оксо-2Н-пиридин-1-ил)фенил]амид}(3R,4R)-1-метансульфонилпирролидин-3,4-дикарбоновой кислоты Соединение согласно примеру 34 получают в соответствии с методикой, описанной в примере 28. Масс-спектр (ионизация электроспреем): m/z=548 [М+Н]+, Cl-структура. Пример 35 3-[(4-Хлорфенил)метиламид] 4-{[2-фтор-4-(2-оксо-2Н-пиридин-1-ил)фенил]амид}(3R,4R)-1-метансульфонилпирролидин-3,4-дикарбоновой кислоты Соединение согласно примеру 35 получают в соответствии с методикой, описанной в примере 28. Масс-спектр (ионизация электроспреем): m/z=547 [М+Н]+, Cl-структура. Пример 36 3-{[2-Фтор-4-(2-оксо-2Н-пиридин-1-ил)фенил] амид}4-[(1Н-индазол-5-ил)амид](3R,4R)-1-метансульфонилпирролидин-3,4-дикарбоновой кислоты Соединение согласно примеру 36 получают в соответствии с методикой, описанной в примере 28. Масс-спектр (ионизация электроспреем): m/z=539 [M+H]+. Пример 37 3-[(5-Хлорпиридин-2-ил)амид] 4-{[2-фтор-4-(2-оксо-2Н-пиридин-1-ил)фенил]амид}(3R,4R)-1-метансульфонилпирролидин-3,4-дикарбоновой кислоты Соединение согласно примеру 37 получают в соответствии с методикой, описанной в примере 28, за исключением стадии 6. Стадия 6: Соединение 28д (35 мг; 0,083 ммоль) растворяют в атмосфере аргона в тионилхлориде (0,03 мл; 0,413 ммоль) для получения соответствующего ацилхлорида. Полученную смесь перемешивают в течение 30 минут при 25°С. 2-Аминохлорпиридин растворяют в ТГФ и добавляют суспензию NaH в минеральном масле (55%; 24 мг; 0,58 ммоль) при выделении водорода. Полученную смесь перемешивают в течение 30 минут при 25°С. Соответствующий раствор ацилхлорида добавляют к реакционной смеси депротонированного 2-аминохлорпиридина. Объединенные суспензии перемешивают в течение 7 дней при 25°С. Реакционную суспензию упаривают досуха и очищают хроматографией на силикагеле. Выход: 36 мг (81,5%), масс-спектр (ионизация электроспреем): m/z=534 [М+Н]+, Cl-структура. Пример 38 3-(4-Хлорбензиламид) 4-{[2-фтор-4-(2-оксо-2Н-пиридин-1-ил)фенил]амид}(3R,4R)-1-метансульфонилпирролидин-3,4-дикарбоновой кислоты Соединение согласно примеру 38 получают в соответствии с методикой, описанной в примере 28. Масс-спектр (ионизация электроспреем): m/z=547 [М+Н]+, Cl-структура. Пример 39 3-[(4-Хлорфенил)амид] 4-{[2-фтор-4-(3-метокси-2-оксо-2Н-пиридин-1-ил)фенил]амид}(3R,4R)-1-метансульфонилпирролидин-3,4-дикарбоновой кислоты В соответствии с общей методикой 2д) Стадия 1: 1-трет-бутиловый эфир-3-этиловый эфир (3R,4R)пирролидин-1,3,4-трикарбоновой кислоты 7а Стереоселективное моноомыление рацемической смеси соединения 1б с получением при этом соединения 7а и соответствующего S,S-энантиомера описано в статье: R.M.Rodriguez Sarmiento, В.Wirz, H.Iding, Tetrahedron Asymmetry, 14, 2003, 1547-1551. Стадия 2а: 1-трет-Бутиловый эфир 3-этиловый эфир (3R,4R)-4-(4-хлорфенилкарбамоил)пирролидин-1,3-дикарбоновой кислоты 39б Соединение 7а (1 г; 3,48 ммоль) суспендируют в ацетонитриле (7 мл) и добавляют N,N-диизопропилэтиламин (1,22 мл; 6,96 ммоль) при 25°С. Добавляют ВОР-Cl в виде твердого вещества (1,772 г; 6,96 ммоль) и после перемешивания в течение 30 минут при 25°С добавляют к реакционной смеси 4-хлоранилин (0,444 г; 3,48 ммоль). Полученную смесь перемешивают в течение 18 часов при 25°С, упаривают досуха и растворяют в этилацетате (100 мл). Органическую фазу промывают насыщенным водным раствором Na2CO3 (100 мл), 2 н. HCl (50 мл), водой и насыщенным раствором соли и высушивают над Na2SO4. Органическую фазу фильтруют, после чего фильтрат упаривают досуха. Неочищенный продукт очищают хроматографией на силикагеле. Выход: 0,5 г (36,2%), масс-спектр (ионизация электроспреем): m/z=395 [М-Н]–, Cl-структура. Стадия 3: Этиловый эфир гидрохлорида (3R,4R)-4-(4-хлорфенилкарбамоил)пирролидин-3-карбоновой кислоты 39в Соединение 39б (1,6 г; 4,03 ммоль) растворяют в 6 н. растворе HCl в изопропаноле (12,5 мл) и затем реакционную смесь перемешивают в течение 2 часов при 25°С. Реакционную смесь упаривают досуха и неочищенный продукт перекристаллизовывают два раза из диэтилового эфира, получая при этом не совсем белое твердое вещество. Выход: 1,44 г (107,2%), масс-спектр (ионизация электроспреем): m/z=297 [М+Н]+, Cl-структура. Стадия 4: Этиловый эфир (3R,4R)-4-(4-хлорфенилкарбамоил)-1-метансульфонилпирролидин-3-карбоновой кислоты 39г Соединение 39в (1,44 г; 4,32 ммоль) растворяют в ацетонитриле (10 мл) при добавлении N,N-диизопропилэтиламина (2200 мкл; 12,96 ммоль). Добавляют метансульфонилхлорид (990 мг; 8,64 ммоль) и затем полученную смесь перемешивают в течение 18 часов при 25°С. Реакционную смесь упаривают досуха и очищают хроматографией на силикагеле. Выход: 0,895 г (55,3%), масс-спектр (ионизация электроспреем): m/z=375 [М+Н]+, Cl-структура. Стадия 5: (3R,4R)-4-(4-Хлорфенилкарбамоил)-1-метансульфонилпирролидин-3-карбоновая кислота 39д Соединение 39 г (0,9 г; 2,4 ммоль) растворяют в смеси 1,4-диоксан/вода (в соотношении 1:1; 15 мл). Добавляют LiOH моногидрат в виде твердого вещества (0,302 г; 7,2 ммоль) и затем полученную смесь перемешивают в течение 18 часов при 25°С. Полученную смесь упаривают досуха и растворяют в этилацетате, после чего полученный продукт экстрагируют насыщенным водным раствором Na2CO3. Водную фазу охлаждают до 10°С и подкисляют 25%-ным водным раствором HCl до рН=1. Полученный продукт экстрагируют несколько раз этилацетатом (3×100 мл). Объединенные органические фазы промывают насыщенным раствором соли и высушивают над Na2SO4. После фильтрации органическую фазу упаривают досуха. Выход: 0,7 г (84,1%), масс-спектр (ионизация электроспреем): m/z=345 [М-Н]–, Cl-структура. Стадия 6: 1-(4-Амино-3-фторфенил)-3-метокси-1Н-пиридин-2-он 39е Соединение 39е получают таким образом, как описано в случае соединения 1д. Масс-спектр (ионизация электроспреем): m/z=345 [М-Н]–. Стадия 7: 3-[(4-Хлорфенил)амид] 4-{[2-фтор-4-(3-метокси-2-оксо-2Н-пиридин-1-ил)фенил] амид} (3R,4R)-1-метансульфонилпирролидин-3,4-дикарбоновой кислоты 39ж Соединение 39д (80 мг; 0,23 ммоль) суспендируют в ацетонитриле (1 мл) и добавляют N,N-диизопропилэтиламин (47 мкл; 0,277 ммоль) при 25°С. Добавляют ВОР-Cl в виде твердого вещества (70,5 мг; 0,277 ммоль) и после перемешивания в течение 30 минут при 25°С добавляют к реакционной смеси 1-(4-амино-3-фторфенил)-3-метокси-1Н-пиридин-2-он (53,9 мг; 0,23 ммоль). Полученную смесь перемешивают в течение 3 дней при 25°С, упаривают досуха и очищают препаративной ЖХВР. Выход: 1,9 мг (1,5%), масс-спектр (ионизация электроспреем): m/z=562 [М+Н]+. Пример 40 3-[(4-Хлорфенил)амид] 4-{[2,6-дифтор-4-(2-оксо-2Н-пиридин-1-ил)фенил]амид}(3R,4R)-1-метансульфонилпирролидин-3,4-дикарбоновой кислоты Соединение согласно примеру 40 и 1-(4-амино-3,5-дифторфенил)-3-метокси-1Н-пиридин-2-он получают в соответствии с методикой, описанной в примере 39. Масс-спектр (ионизация электроспреем): m/z=550 [М+Н]+. Пример 41 3-[(4-Хлорфенил)амид] 4-{[2-фтор-4-(6-оксо-6Н-пиридазин-1-ил)фенил]амид}(3R,4R)-1-метансульфонилпирролидин-3,4-дикарбоновой кислоты Соединение согласно примеру 41 и 2-(4-амино-3-фторфенил)-2Н-пиридазин-3-он получают в соответствии с методикой, описанной в примере 39. Масс-спектр (ионизация электроспреем): m/z=533 [М+Н]+. Пример 42 3-[(4-Хлорфенил)амид] 4-{[2-фтор-4-(2-оксопиперидин-1-ил)фенил]амид}(3R,4R)-1-метансульфонилпирролидин-3,4-дикарбоновой кислоты Соединение согласно примеру 42 и 1-(4-амино-3-фторфенил)пиперидин-2-он получают в соответствии с методикой, описанной в примере 39. Масс-спектр (ионизация электроспреем): m/z=536 [М+Н]+, Cl-структура. Пример 43 3-[(4-Хлорфенил)амид] 4-[(3-фтор-4-морфолин-4-илфенил)амид](3R,4R)-1-метансульфонилпирролидин-3,4-дикарбоновой кислоты Соединение согласно примеру 43 получают в соответствии с методикой, описанной в примере 39. 3-Фтор-4-морфолин-4-илфениламин является коммерчески доступным соединением. Масс-спектр (ионизация электроспреем): m/z=525 [M+H]+, Cl-структура. Пример 44 3-[(4-Хлорфенил)амид] 4-{[3-фтор-4-(2-метил-имидазол-1-ил)фенил]амид}(3R,4R)-1-метансульфонилпирролидин-3,4-дикарбоновой кислоты Соединение согласно примеру 44 и 3-фтор-4-(2-метил-имидазол-1-ил)фениламин (CAS 209960-27-0) получают в соответствии с методикой, описанной в примере 39. Масс-спектр (ионизация электроспреем): m/z=519 [М+Н]+, Cl-структура. Пример 45 3-[(4-Хлорфенил)амид] 4-[(3-фтор-4-[1,2,4]триазол-1-илфенил)гидроксиамид](3R,4R)-1-метансульфонилпирролидин-3,4-дикарбоновой кислоты Соединение согласно примеру 45 получают в соответствии с методикой, описанной в примере 39. N-(3-Фтор-4-[1,2,4]триазол-1-илфенил)гидроксиламин получают согласно CAS: 181997-13-7. Масс-спектр (ионизация электроспреем): m/z=523 [М+Н]+, Cl-структура. Пример 46 3-{[2-Фтор-4-(2-оксо-2Н-пиридин-1-ил)фенил]амид} 4-[(4-метоксифенил)метиламид](3R,4R)-1-метансульфонилпирролидин-3,4-дикарбоновой кислоты Соединение согласно примеру 46 получают в соответствии с методикой, описанной в примере 28. Масс-спектр (ионизация электроспреем): m/z=543 [M+H]+. Пример 47 3-{[2-Фтор-4-(2-оксо-2Н-пиридин-1-ил)фенил]амид} 4-[(4-трифторметоксифенил)амид](3R,4R)-1-метансульфонилпирролидин-3,4-дикарбоновой кислоты Соединение согласно примеру 47 получают в соответствии с методикой, описанной в примере 28. Масс-спектр (ионизация электроспреем): m/z=583 [M+H]+. Пример 48 3-[(4-Хлорфенил)амид] 4-{[4-(2-оксо-2H-пиридин-1-ил)фенил]амид}(3R,4R)-1-метансульфонилпирролидин-3,4-дикарбоновой кислоты Соединение согласно примеру 48 получают в соответствии с методикой, описанной в примере 40. Масс-спектр (ионизация электроспреем): m/z=514 [M+H]+. Пример 49 3-[(4-Хлорфенил)амид] 4-{[2-фтор-4-(2-оксо-2Н-пиридин-1-ил)фенил]амид}(3R,4R)-1-циклопропилметилпирролидин-3,4-дикарбоновой кислоты Соединение согласно примеру 49 получают в соответствии с методикой, описанной в примере 24. Масс-спектр (ионизация электроспреем): m/z=508 [М+Н]+. Пример 50 3-[(4-Хлорфенил)амид] 4-[(3-фтор-2 Соединение согласно примеру 50 получают в соответствии с методикой, описанной в примере 7, используя соединение CAS 209732-08-1 в качестве амина. Масс-спектр (ионизация электроспреем): m/z=562 [М+Н]+. Пример 51 3-[(2 Соединение согласно примеру 51 получают в соответствии с методикой, описанной в примере 7, используя CAS 209919-51-7 в качестве амина. Масс-спектр (ионизация электроспреем): m/z=651 [М+Н]+. Пример 52 3-[(4-Хлорфенил)амид] 4-{[5-(2-метансульфонилфенил)пиридин-2-ил]амид}(3R,4R)-1-метансульфонилпирролидин-3,4-дикарбоновой кислоты Соединение согласно примеру 52 получают в соответствии с методикой, описанной в примере 7, используя соединение CAS 793650-93-8 в качестве амина. Масс-спектр (ионизация электроспреем): m/z=577 [М+Н]+. Пример 53 3-[(4-Хлорфенил)амид] 4-{[2-фтор-4-(3-метил-2-оксо-2H-пиридин-1-ил)фенил]амид}(3R,4R)-1-метансульфонилпирролидин-3,4-дикарбоновой кислоты Соединение согласно примеру 53 получают в соответствии с методикой, описанной в примере 7. Масс-спектр (ионизация электроспреем): m/z=547 [М+Н]+. Пример 54 3-[(4-Хлорфенил)амид] 4-[(3-фтор-2 Соединение согласно примеру 54 получают окислением соединения, полученного согласно примеру 50. Соединение согласно примеру 50 (39,53 мг; 0,07 ммоль) растворяют в этилацетате (2 мл) при 25°С. К этому раствору медленно добавляют mCPBA (30,34 мг; 2,5 экв.) и затем полученную смесь перемешивают при 25°С в течение 18 часов. Очищают препаративной ЖХВР. Выход: 8,15 мг (19,6%). ESI-MS: m/z=594 [М+Н]+. Пример 55 трет-Бутиловый эфир (3R,4R)-3-(5-хлорпиридин-2-илкарбамоил)-4-[2-фтор-4-(2-оксо-2Н-пиридин-1-ил)фенилкарбамоил]пирролидин-1-карбоновой кислоты 2-Хлор-5-аминопиридин (3,258 г; 25 ммоль) растворяют в толуоле (100 мл) в атмосфере аргона. В течение 10 минут медленно добавляют раствор AlMe3 в толуоле (2 н., 12,8 мл). Полученную смесь перемешивают в течение 1 часа при 25°С. Соединение 286 (10 г, 21 ммоль) добавляют в один прием и затем реакционную смесь кипятят с обратным холодильником в течение 2 часов. Полученную желтую суспензию охлаждают до 25°С и разбавляют, используя ТГФ (35 мл). Для проведения гидролиза добавляют уксусную кислоту (4,8 мл) и после этого полученную суспензию перемешивают в течение 18 часов. Полученный осадок отфильтровывают, промывают толуолом и ТВМЕ, затем высушивают в вакууме. Выход: 8,46 г (72%). Масс-спектр (ионизация электроспреем): m/z=556 [М+Н]+. Пример 56 3-[(5-Хлорпиридин-2-ил)амид] 4-{[2-фтор-4-(2-оксо-2Н-пиридин-1-ил)фенил]амид}(3R,4R)-1-этансульфонилпирролидин-3,4-дикарбоновой кислоты Соединение согласно примеру 56 получают в соответствии с методикой, описанной в примере 7, используя в качестве исходного соединение согласно примеру 55. Масс-спектр (ионизация электроспреем): m/z=547 [М+Н]+. Пример 57 3-[(5-Хлорпиридин-2-ил)амид] 4-{[2-фтор-4-(2-оксо-2Н-пиридин-1-ил)фенил]амид}(3R,4R)-1-(2,2-дифторэтил)пирролидин-3,4-дикарбоновой кислоты Соединение согласно примеру 57 получают в соответствии с методикой, описанной в примере 24, за исключением стадии 3 и стадии 4. Стадия 3: 3-[(5-Хлорпиридин-2-ил)амид] 4-{[2-фтор-4-(2-оксо-2Н-пиридин-1-ил)фенил]амид}(3R,4R)пирролидин-3,4-дикарбоновой кислоты (соединение 57а) Соединение согласно примеру 55 (8,4 г; 15 ммоль) суспендируют в диоксане (50 мл) и добавляют 4 н. раствор HCl в диоксане (50 мл). После перемешивания при 25°С в течение 50 минут завершается Вос-отщепление. Полученную смесь разбавляют, используя ТГФ, и нейтрализуют водным раствором Na2CO3. Свободное основание 3-[(5-хлорпиридин-2-ил)амид] 4-{[2-фтор-4-(2-оксо-2H-пиридин-1-ил)фенил]амид}(3R,4R)пирролидин-3,4-дикарбоновой кислоты экстрагируют несколько раз, используя смесь ТГФ/дихлорметан (в соотношении 1:1 по объему). Органическую фазу промывают насыщенным водным раствором NaCl, высушивают над Na2SO4 и упаривают досуха, получая при этом 4,1 г (выход 59,5%) соединения 57а. Масс-спектр (ионизация электроспреем): m/z=455 [М+Н]+. Стадия 4: 3-[(5-Хлорпиридин-2-ил)амид] 4-{[2-фтор-4-(2-оксо-2Н-пиридин-1-ил)фенил]амид}(3R,4R)-1-(2,2-дифторэтил)пирролидин-3,4-дикарбоновой кислоты Соединение 57а (0,41 г; 0,9 ммоль) растворяют в дихлорметане (4 мл) и добавляют ДИЭА (0,233 мл). К этой смеси добавляют в один прием 2,2-дифторэтиловый эфир фторметансульфоновой кислоты (0,338 мг; 1,6 ммоль), растворенный в 1 мл дихлорметана. Полученную смесь перемешивают при 25°С в течение 72 часов. Органическую фазу затем промывают водным раствором ацетата аммония и раствором NaCl, высушивают над Na2SO4 и упаривают досуха. Неочищенный продукт очищают экспресс-хроматографией на SiO2. Выход: 0,299 г (63,8%). Масс-спектр (ионизация электроспреем): m/z=519 [М+Н]+. Пример 58 3-[(4-Хлорфенил)амид] 4-{[4-(1,1-диоксо-[1,2]тиазинан-2-ил)фенил]амид}(3R,4R)-1-метансульфонилпирролидин-3,4-дикарбоновой кислоты Соединение согласно примеру 58 получают в соответствии с методикой, описанной в примере 7, используя амин CAS 37441-49-9. Масс-спектр (ионизация электроспреем): m/z=555 [М+Н]+. Пример 59 3-[(4-Хлорфенил)амид] 4-{[4-(1,1-диоксо-изотиазолидин-2-ил)фенил]амид}(3R,4R)-1-метансульфонилпирролидин-3,4-дикарбоновой кислоты Соединение согласно примеру 59 получают в соответствии с методикой, описанной в примере 7, используя амин CAS 90556-91-5. Масс-спектр (ионизация электроспреем): m/z=541 [М+Н]+. Пример 60 3-[(4-Хлорфенил)амид] 4-{[2-метил-4-(2-оксо-2H-пиридин-1-ил)фенил]амид}(3R,4R)-1-метансульфонилпирролидин-3,4-дикарбоновой кислоты Соединение согласно примеру 60 получают в соответствии с методикой, описанной в примере 7, используя в качестве амина 1-(4-амино-3-метилфенил)-1Н-пиридин-2-он. Масс-спектр (ионизация электроспреем): m/z=529 [М+Н]+. Пример 61 3-[(4-Хлорфенил)амид] 4-{[2-фтор-4-(3-оксо-морфолин-4-ил)фенил]амид}(3R,4R)-1 -метансульфонилпирролидин-3,4-дикарбоновой кислоты Соединение согласно примеру 61 получают в соответствии с методикой, описанной в примере 7, используя CAS 742073-22-9. Масс-спектр (ионизация электроспреем): m/z=539 [М+Н]+. Пример 62 3-[(5-Хлорпиридин-2-ил)амид] 4-{[2-фтор-4-(2-оксо-2H-пиридин-1-ил)фенил]амид}(3R,4R)-1-изопропилпирролидин-3,4-дикарбоновой кислоты Соединение согласно примеру 62 получают в соответствии с методикой, описанной в примере 27. Масс-спектр (ионизация электроспреем): m/z=498 [М+Н]+. Пример 63 3-[(4-Хлорфенил)амид] 4-{[2-фтор-4-(2-оксо-2H-пиридин-1-ил)фенил]амид}(3R,4R)-1-(4-фторбензил)пирролидин-3,4-дикарбоновой кислоты Соединение согласно примеру 63 получают в соответствии с методикой, описанной в примере 27. Масс-спектр (ионизация электроспреем): m/z=563 [М+Н]+. Пример 64 3-[(4-Хлорфенил)амид] 4-[(2-оксо-2H-[1,3 Соединение согласно примеру 64 получают в соответствии с методикой, описанной в примере 7, используя амин CAS 536747-63-4. Масс-спектр (ионизация электроспреем): m/z=516 [М+Н]+. Пример 65 3-[(4-Хлорфенил)амид] 4-{[2-фтор-4-(2-оксо-2H-пиридин-1-ил)фенил]амид}(3R,4R)-1-пиридин-2-илметилпирролидин-3,4-дикарбоновой кислоты Соединение согласно примеру 65 получают в соответствии с методикой, описанной в примере 27. Масс-спектр (ионизация электроспреем): m/z=546 [М+Н]+. Пример 66 3-[(4-Хлорфенил)амид] 4-{[2-фтор-4-(2-оксо-2H-пиридин-1-ил)фенил]амид}(3R,4R)-1-пиридин-3-илметилпирролидин-3,4-дикарбоновой кислоты Соединение согласно примеру 66 получают в соответствии с методикой, описанной в примере 27. Масс-спектр (ионизация электроспреем): m/z=546 [M+H]+. Пример 67 3-[(4-Хлорфенил)амид] 4-{[2-фтор-4-(2-оксо-2H-пиридин-1-ил)фенил]амид}(3R,4R)-1-пиридин-4-илметилпирролидин-3,4-дикарбоновой кислоты Соединение согласно примеру 67 получают в соответствии с методикой, описанной в примере 27. Масс-спектр (ионизация электроспреем): m/z=546 [М+Н]+. Пример 68 3-[(4-Хлорфенил)амид] 4-{[2-фтор-4-(2-оксо-2H-пиридин-1-ил)фенил]амид}(3R,4R)-1-(2-метоксиэтил)пирролидин-3,4-дикарбоновой кислоты Соединение согласно примеру 68 получают в соответствии с методикой, описанной в примере 24. Масс-спектр (ионизация электроспреем): m/z=513 [М+Н]+. Пример 69 3-[(4-Хлорфенил)амид] 4-{[2-фтор-4-(2-оксо-2H-пиридин-1-ил)фенил]амид}(3R,4R)-1-(2-фтор-1-метилэтил)пирролидин-3,4-дикарбоновой кислоты Соединение согласно примеру 69 получают в соответствии с методикой, описанной в примере 27. Масс-спектр (ионизация электроспреем): m/z=515 [M+H]+. Пример 70 Метиловый эфир 3-{(3R,4R)-3-(4-хлорфенилкарбамоил)-4-[2-фтор-4-(2-оксо-2H-пиридин-1-ил)фенилкарбамоил]пирролидин-1-ил}пропионовой кислоты Соединение согласно примеру 70 получают в соответствии с методикой, описанной в примере 24. Масс-спектр (ионизация электроспреем): m/z=541 [M+H]+. Пример 71 3-[(4-Хлорфенил)амид] 4-{[2-фтор-4-(2-оксо-2H-пиридин-1-ил)фенил]амид}(3R,4R)-1-(3-фтороксетан-3-илметил)пирролидин-3,4-дикарбоновой кислоты Соединение согласно примеру 71 получают в соответствии с методикой, описанной в примере 24, используя в качестве алкилирующего агента 3-бромометил-3-фтор-оксетан (соединение 71д). Масс-спектр (ионизация электроспреем): m/z=543 [М+Н]+. Синтез 3-бромометил-3-фтор-оксетана: а) 3-бензилокси-2-метилен-1-пропанол 71а: 2-Метиленпропан-1,3-диол (2,2 г; 24,96 ммоль) и оксид дибутилолова (6,85 г; 27,96 ммоль) кипятят с обратным холодильником в смеси хлороформ/ метанол (100 мл в соотношении 10:1) в течение 24 часов для того, чтобы получить прозрачный раствор. Растворитель удаляют при пониженном давлении, получая при этом производное – станноксан в виде белого твердого вещества. Добавляют фторид цезия (7,25 г; 47,7 ммоль) и затем полученную смесь высушивают в высоком вакууме. К этой реакционной смеси добавляют ДМФ (20 мл) и бензилбромид (3,27 мл; 27,5 ммоль) и затем реакционную смесь перемешивают в течение 24 часов при 25°С. После этого реакционную смесь нагревают при 50°С в течение 1 часа. Полученную смесь охлаждают до 25°С и разбавляют этилацетатом (100 мл) и водой (2 мл). Реакционную смесь энергично перемешивают в течение 30 минут и затем фильтруют через слой целита для того, чтобы удалить оксид дибутилолова. Фильтрат промывают водой и затем насыщенным раствором соли, высушивают над Na2SO3, после чего растворитель удаляют при пониженном давлении. Неочищенный продукт очищают колоночной хроматографией на силикагеле, используя в качестве элюента смесь 20% этилацетат/гексан и получая при этом 2,6 г (выход 60%) соединения 71а в виде маслянистого вещества. 1Н-ЯМР (CDCl3): б) 3-бромо-2-фтор-2-(бензилоксиметил)пропан-1-ол 71б: Раствор 71а (3,9 г; 21,91 ммоль) и комплекс триэтиламин·3HF (5,29 г; 5,35 мл; 32,86 ммоль) в дихлорметане (100 мл) обрабатывают, используя NBS (4,28 г; 24,1 ммоль), порциями при -10°С и затем перемешивают в течение 17 часов. После этого полученную смесь выливают в ледяную воду (100 мл) и нейтрализуют, используя 25%-ный водный раствор аммиака. Органический слой отделяют, промывают 0,1 н. раствором HCl, а затем 5%-ным водным раствором NaHCO3, высушивают и упаривают досуха. Неочищенное вещество очищают хроматографией на силикагеле (15% этилацетат/гексан), получая при этом 2,54 г (выход 42%) соединения 71б. 1Н-ЯМР (CDCl3: в) 3-Фтор-3-(бензилоксиметил)оксетан 71в: Смесь 71б (10 г; 36,10 ммоль) и карбонат калия (29,9 г; 216,9 ммоль) в сухом ацетонитриле (200 мл) кипятят с обратным холодильником в течение 72 часов. После этого реакционную смесь экстрагируют этилацетатом, промывают насыщенным раствором соли, высушивают над Na2SO4 и очищают колоночной хроматографией на силикагеле (10% этилацетат/гексан), получая при этом 2,12 г (выход 30%) соединения 71в. 1Н-ЯМР (CDCl3): г) 3-Фтор-3-(гидроксиметил)оксетан 71г: Раствор 71в (1,1 г; 5,61 ммоль) в ЕtOН (10 мл), содержащий Pd/C (200 мг, 10%) и уксусную кислоту (1 мл), перемешивают в течение 24 часов в атмосфере водорода (40 фунт/кв. дюйм). Катализатор отфильтровывают и затем фильтрат концентрируют при пониженном давлении, получая при этом соединение 71 г (410 мг; выход 70%). 1Н-ЯМР (CDCl3): д) 3-бромометил-3-фтороксетан 71д: К перемешиваемому раствору соединения 71 г (500 мг; 4,72 ммоль) добавляют порциями CBr4 (1,95 г; 5,89 ммоль) в дихлорметане (7 мл) и трифенилфосфин (1,85 г; 7,07 ммоль) при 0°С. После завершения добавления реакционную смесь перемешивают дополнительно в течение 2 часов, разбавляют пентаном и промывают 5%-ным водным раствором NaHCO3, насыщенным раствором соли, затем высушивают над Na2SO4. Растворитель удаляют при атмосферном давлении, получая при этом соединение 71д (406 мг, выход 51%). 1Н-ЯМР (CDCl3): Пример 72 Этиловый эфир 2-{(3R,4R)-3-(4-хлорфенилкарбамоил)-4-[2-фтор-4-(2-оксо-2H-пиридин-1-ил)фенилкарбамоил]пирролидин-1-илметил}- циклопропанкарбоновой кислоты Соединение согласно примеру 72 получают в соответствии с методикой, описанной в примере 24. Масс-спектр (ионизация электроспреем): m/z=581 [М+Н+]. Пример 73 3-[(4-Хлорфенил)амид] 4-{[2-фтор-4-(2-оксо-2H-пиридин-1-ил)фенил]амид}(3R,4R)-1-тиофен-2-илметилпирролидин-3,4-дикарбоновой кислоты Соединение согласно примеру 73 получают в соответствии с методикой, описанной в примере 27. Масс-спектр (ионизация электроспреем): m/z=551 [M+H]+. Пример 74 3-[(4-Хлорфенил)амид] 4-{[2-фтор-4-(2-оксо-2H-пиридин-1-ил)фенил]амид}(3R,4R)-1-тиофен-3-илметилпирролидин-3,4-дикарбоновой кислоты Соединение согласно примеру 74 получают в соответствии с методикой, описанной в примере 27. Масс-спектр (ионизация электроспреем): m/z=551 [M+H]+. Пример 75 3-[(4-Хлорфенил)амид] 4-{[2-фтор-4-(2-оксо-2H-пиридин-1-ил)фенил]амид}(3R,4R)-1-цианометилпирролидин-3,4-дикарбоновой кислоты Соединение согласно примеру 75 получают в соответствии с методикой, описанной в примере 24. Масс-спектр (ионизация электроспреем): m/z=494 [М+Н+]. Пример 76 3-[(4-Хлорфенил)метиламид] 4-{[2-фтор-4-(2-оксо-2H-пиридин-1-ил)фенил]метиламид}(3R,4R)-1-метилпирролидин-3,4-дикарбоновой кислоты Соединение согласно примеру 76 получают в соответствии с методикой, описанной в примере 24. Масс-спектр (ионизация электроспреем): m/z=494 [M+H]+. Пример 77 (3-[(4-Хлорфенил)амид] 4-{[2-фтор-4-(2-оксо-2H-пиридин-1-ил)фенил]амид}3R,4R)-1-(2-тетразол-1-илацетил)пирролидин-3,4-дикарбоновой кислоты Соединение согласно примеру 77 получают в соответствии с методикой, описанной в примере 13. Масс-спектр (ионизация электроспреем): m/z=565 [M+H]+. Пример 78 3-[(4-Хлорфенил)амид] 4-{[2-фтор-4-(2-оксо-2H-пиридин-1-ил)фенил]амид}(3R,4R)-1-(2-1H-тетразол-5-илацетил)пирролидин-3,4-дикарбоновой кислоты Соединение согласно примеру 78 получают в соответствии с методикой, описанной в примере 13. Масс-спектр (ионизация электроспреем): m/z=565 [М+Н]+. Пример 79 3-[(6-Хлорпиридазин-3-ил)амид] 4-{[2-фтор-4-(2-оксо-2H-пиридин-1-ил)фенил]амид}(3R,4R)-1-(2,2-дифторэтил)пирролидин-3,4-дикарбоновой кислоты Соединение согласно примеру 79 получают в соответствии с методикой, описанной в примере 57. Масс-спектр (ионизация электроспреем): m/z=521 [M+H]+. Пример 80 3-[(5-Хлорпиримидин-2-ил)амид]4-{[2-фтор-4-(2-оксо-2H-пиридин-1-ил)фенил]амид}(3R,4R)-1-(2,2-дифторэтил)пирролидин-3,4-дикарбоновой кислоты Соединение согласно примеру 80 получают в соответствии с методикой, описанной в примере 57. Масс-спектр (ионизация электроспреем): m/z=521 [М+Н]+. Пример 81 3-[(5-Хлортиофен-2-ил)амид] 4-{[2-фтор-4-(2-оксо-2H-пиридин-1-ил)фенил]амид}(3R,4R)-1-(2,2-дифторэтил)пирролидин-3,4-дикарбоновой кислоты Соединение согласно примеру 81 получают в соответствии с методикой, описанной в примере 57. Масс-спектр (ионизация электроспреем): m/z=525 [M+H]+. Пример 82 3-[(4-Хлорфенил)амид] 4-{[4-(3-оксо-морфолин-4-ил)фенил]амид} (3R,4R)-1-метансульфонилпирролидин-3,4-дикарбоновой кислоты Соединение согласно примеру 82 получают в соответствии с методикой, описанной в примере 7, используя в качестве амина соединение CAS 438056-69-0. Масс-спектр (ионизация электроспреем): m/z=521 [М+Н]+. Пример 83 Метиловый эфир (3R,4R)-3-(5-хлорпиридин-2-илкарбамоил)-4-[2-фтор-4-(2-оксо-2H-пиридин-1-ил)фенилкарбамоил]пирролидин-1-карбоновой кислоты Соединение согласно примеру 83 получают в соответствии с методикой, описанной в примерах 57 и 14. Масс-спектр (ионизация электроспреем): m/z=514 [M+H]+. Пример 84 3-[(5-Хлорпиридин-2-ил)амид] 4-{[2-фтор-4-(2-оксо-2H-пиридин-1-ил)фенил]амид}(3R,4R)-1-трифторметилпирролидин-3,4-дикарбоновой кислоты Соединение согласно примеру 84 получают в соответствии с методикой, описанной в примере 57. Масс-спектр (ионизация электроспреем): m/z=524 [M+H]+. Пример 85 3-[(5-Хлорпиридин-2-ил)амид] 4-{[2-фтор-4-(2-оксо-2H-пиридин-1-ил)фенил]амид}(3R,4R)-1-(2,2,2-трифторэтил)пирролидин-3,4-дикарбоновой кислоты Соединение согласно примеру 85 получают в соответствии с методикой, описанной в примере 57. Масс-спектр (ионизация электроспреем): m/z=538 [M+H]+. Пример А Таблетки с пленочным покрытием, содержащие указанные ниже ингредиенты, могут быть получены общепринятым способом:
Активный ингредиент просеивают и смешивают с микрокристаллической целлюлозой, затем полученную смесь гранулируют с использованием раствора поливинилпирролидона в воде. Полученные гранулы смешивают с натриевой солью гликолята крахмала и стеаратом магния, затем прессуют, получая при этом ядра таблеток массой 120 или 350 мг соответственно. На ядра таблеток наносят покрытие, используя водный раствор/суспензию вышеуказанных компонентов для получения пленочного покрытия. Пример Б Капсулы, содержащие приведенные ниже ингредиенты, могут быть получены общепринятым способом:
Компоненты просеивают, смешивают и помещают в капсулы размера 2. Пример В Приготавливают растворы для инъекций следующего состава:
Активный ингредиент растворяют в смеси полиэтиленгликоля 400 и части воды для инъекций. Значение рН доводят до величины 5,0 добавлением уксусной кислоты. Объем доводят до 1,0 мл добавлением остального количества воды. Раствор фильтруют, заполняют им флаконы подходящего объема и стерилизуют. Пример Г Мягкие желатиновые капсулы, содержащие указанные ниже ингредиенты, могут быть получены общепринятым способом:
Активный ингредиент растворяют в теплой размягченной смеси других ингредиентов и затем полученной смесью заполняют желатиновые капсулы подходящего размера. Заполненные мягкие желатиновые капсулы обрабатывают обычным образом. Пример Д Пакетики, содержащие указанные ниже ингредиенты, могут быть получены общепринятым способом:
Активный ингредиент смешивают с лактозой, микрокристаллической целлюлозой и натриевой солью карбоксиметилцеллюлозы и гранулируют со смесью поливинилпирролидона и воды. Полученные гранулы смешивают со стеаратом магния и добавками, улучшающими вкус и запах, затем заполняют пакетики.
Формула изобретения
1. Соединения формулы (I) 2. Соединения по п.1, где 3. Соединения по любому из пп.1 и 2, характеризующиеся формулой (Iа) 4. Соединения по любому из пп.1 и 2, где R1 представляет собой C1-7алкил, фтор-С1-7алкил, гидрокси-С1-7алкил, CN-С1-7алкил, НС(О)-, С1-7алкил-С(О)-, NH2-С(О)-С1-7алкил, NH2-SO2, С1-7алкил-SO2, фтор-С1-7алкил-SO2, N(С1-7алкил)2-SO2 или пирролидино-С(О)-. 5. Соединения по любому из пп.1 и 2, где R1 представляет собой С1-7алкил, фтор-С1-7алкил, С1-7алкил-SO2, фтор-С1-7алкил-SO2, N(С1-7алкил)2-SO2 или НС(О)-. 6. Соединения по любому из пп.1 и 2, где R1 представляет собой 2,2-дифторэтил, этансульфонил, метансульфонил, пропилсульфонил, изопропилсульфонил, 2,2,2-трифторэтилсульфонил, изопропил, N(CH3)2-SO2, этоксикарбонил или формил. 7. Соединения по любому из пп.1 и 2, где R2 представляет собой водород. 8. Соединения по любому из пп.1 и 2, где R3 представляет собой фенил, необязательно замещенный 1-3 заместителями, выбранными из группы, состоящей из галогена, NH2, С1-7алкокси и фтор-С1-7алкокси, или 9. Соединения по любому из пп.1 и 2, где R3 представляет собой фенил, замещенный галогеном, или R3 представляет собой пиридинил, замещенный галогеном. 10. Соединения по любому из пп.1 и 2, где R3 представляет собой 4-хлорфенил или 5-хлорпиридин-2-ил. 11. Соединения по любому из пп.1 и 2, где R4 представляет собой водород. 12. Соединения по любому из пп.1 и 2, где X представляет собой C-R6, и R6 является таким, как указано в п.1. 13. Соединения по любому из пп.1 и 2, где X представляет собой C-R6 и R5, R6, R7 и R8 независимо друг от друга выбирают из группы, состоящей из водорода и галогена. 14. Соединения по любому из пп.1 и 2, где X представляет собой C-R6, R6 представляет собой галоген, R5, R7 и R8 представляют собой водород. 15. Соединения по любому из пп.1 и 2, где X представляет собой C-R6, R6 представляет собой фтор, R5, R7 и R8 представляют собой водород. 16. Соединения по любому из пп.1 и 2, где R9 представляет собой арил, гетероциклил или гетероарил. 17. Соединения по любому из пп.1 и 2, где R9 представляет собой гетероарил. 18. Соединения по любому из пп.1 и 2, где R9 выбирают из группы, состоящей из пиридила, пиридазинила, оксопиридазинила, пиримидинила, 2-оксопиридинила, 2-оксопиримидинила, пиразинила, имидазолила, пирролила, пиразолила, триазолила, тиазолила, изотиазолила. 19. Соединения по любому из пп.1 и 2, где R9 представляет собой 2-оксо-2Н-пиридин-1-ил. 20. Соединения по любому из пп.1 и 2, выбранные из группы, которая состоит из следующих соединений: 21. Соединения по любому из пп.1 и 2, выбранные из группы, состоящей из следующих соединений: 22. Соединение по любому из пп.1 и 2, которое представляет собой 3-[(5-хлорпиридин-2-ил)амид]4-{[2-фтор-4-(2-оксо-2Н-пиридин-1-ил)фенил]амид}(3R,4R)-1-(2,2-дифторэтил)пирролидин-3,4-дикарбоновой кислоты. 23. Соединение по любому из пп.1 и 2, которое представляет собой 3-[(5-хлорпиридин-2-ил)амид]4-{[2-фтор-4-(2-оксо-2Н-пиридин-1-ил)фенил]амид}(3R,4R)-1-изопропилпирролидин-3,4-дикарбоновой кислоты. 24. Соединения формулы (II), (III) или (IV) 25. Фармацевтическая композиция, обладающая ингибирующей активностью в отношении фактора коагуляции Ха, включающая соединение по пп.1 и 2 и фармацевтически приемлемый носитель и/или вспомогательное вещество. 26. Соединения по пп.1 и 2, проявляющие ингибирующую активность в отношении фактора коагуляции Ха. 27. Соединения по пп.1 и 2 для применения для приготовления лекарственного средства, обладающего ингибирующей активностью в отношении фактора коагуляции Ха.
|
|||||||||||||||||||||||||||||||||||||||||||||||||||||||||||||||||||||||||||||||||||||||||||||||||||||||||||||||||

11

-O-, в которой R
-оксипропионовая) кислота, трифторуксусная кислота, лимонная кислота, фумаровая кислота, малеиновая кислота, винная кислота, янтарная кислота (бутандикислота) или салициловая кислота. Термин “фармацевтически приемлемые соли” относится к таким солям. Соединения формулы (I), в который присутствует группа СООН, кроме того, могут образовывать соли с основаниями. Примерами таких солей являются соли щелочных металлов, соли щелочно-земельных металлов и соли аммония, например соли натрия, калия, кальция и соли триметиламмония. Термин “фармацевтически приемлемые соли” также относится к таким солям.















7,36-7,28 (m, 5H), 5,20 (s, 1H), 5,15 (s, 1H), 4,51 (s, 2H), 4,19 (s, 2H),4,10 (s, 2H).
