|
|
(21), (22) Заявка: 2008111578/09, 25.03.2008
(24) Дата начала отсчета срока действия патента:
25.03.2008
(43) Дата публикации заявки: 27.09.2009
(46) Опубликовано: 10.01.2010
(56) Список документов, цитированных в отчете о поиске:
МАТЕЙ Д.Л, ЯНГ Л., ДЖОНС Е.М.Т. Фильтры СВЧ, согласующие цепи и цепи связи, т. 1. – М.: Связь раздел 8.09, рис.8.09.1. SU 367808 А, 07.07.1985. US 4879533 А, 07.11.1989. WO 98/31066 A1, 16.07.1998.
Адрес для переписки:
630092, г.Новосибирск, просп. К. Маркса, 20, Новосибирский государственный технический Университет (НГТУ)
|
(72) Автор(ы):
Горбачев Анатолий Петрович (RU), Комаров Константин Сергеевич (RU)
(73) Патентообладатель(и):
Государственное образовательное учреждение высшего профессионального образования Новосибирский государственный технический университет (RU)
|
(54) ПОЛОСНО-ПРОПУСКАЮЩИЙ ФИЛЬТР
(57) Реферат:
Изобретение относится к технике сверхвысоких частот. Техническим результатом изобретения является двукратный выигрыш в величине продольного размера фильтра в печатном исполнении при меньшем уровне диссипативных потерь. Согласно изобретению полосно-пропускающий фильтр содержит расположенные в металлическом заземленном корпусе разомкнутый на обоих концах полуволновый резонатор, выполненный в виде сплошного пустотелого проводника, и электромагнитно связанные с соответствующими половинами резонатора разомкнутые на одном конце четвертьволновые входное и выходное звенья, а также входную и выходную линии передачи. Коротким отрезком соединительной линии передачи, проходящей сквозь отверстие, выполненное в центре боковой поверхности резонатора, конец выходного звена соединен с началом выходной линии передачи. При этом резонатор полностью экранирует входное и выходное звенья от корпуса фильтра, а относительная диэлектрическая проницаемость диэлектрика внутри резонатора в 2,25 раза превышает относительную диэлектрическую проницаемость материала снаружи резонатора. Выходной конец выходного звена соединен со выходной линией передачи. 11 ил.
Предлагаемое устройство относится к области техники сверхвысоких частот (СВЧ) и может быть использовано в радиотехнических системах различного назначения для частотной фильтрации сигналов.
Актуальность разработки таких полосно-пропускающих фильтров (ППФ) обусловлена не снижающимися требованиями к устройствам фильтрации и частотного уплотнения мобильных систем связи, телекоммуникаций и радиолокации в отношении избирательности по соседнему каналу [зависящей от крутизны скатов амплитудно-частотной характеристики вносимого затухания LF( Б)], массогабаритных показателей и технологичности, определяемой должным уровнем адаптации проектируемого устройства к современным технологическим приемам микроэлектроники и/или полосковых печатных плат. Для обеспечения предъявляемых ныне требований по рациональному уплотнению частотных каналов дециметрового диапазона необходимо реализовать компактные ППФ с небольшими диссипативными потерями и избирательностью по соседнему каналу, эквивалентную избирательности классических (5 8)-резонаторных полосовых фильтров СВЧ.
Однако для обеспечения высокой избирательности по соседнему каналу необходимо использовать несколько резонаторов, число N которых может достигать 6 8. Большее число резонаторов использовать вряд ли целесообразно из-за получающихся неприемлемо высоких диссипативных потерь всего фильтра в полосе пропускания. В результате продольный размер АF фильтра будет составлять, как минимум, , где 0=3 108/f0 – центральная длина волны полосы пропускания, f0 – центральная частота полосы пропускания, r – относительная диэлектрическая проницаемость диэлектрика (среды), заполняющего корпус фильтра.
Таким образом, упомянутый ППФ характеризуется при числе резонаторов N продольным размером , что зачастую неприемлемо в мобильных радиотехнических системах.
Известен также ППФ (АС СССР 1411852, Н01Р 1/20, опубл. 23.07.1988 г.), содержащий соосные П-образные полуволновые проводники, являющиеся по существу разомкнутыми на обоих концах резонаторами и связанные один с другим по электрическому полю. При выборе длины параллельных участков П-образных полуволновых проводников надлежащим образом (см. Формулу изобретения к упомянутому АС СССР) электрическое СВЧ-поле в области связи между резонаторами равно нулю, и СВЧ-сигнал не проходит через упомянутые проводники. Этим достигается расширение полосы заграждения.
Однако в описании изобретения по данному АС СССР указывается, что « СВЧ-сигнал в полосе пропускания проходит через П-образные полуволновые проводники благодаря емкости связи между ними ». Поэтому упомянутому ППФ присущи те же ограничения, что и фильтру с непосредственной связью резонаторов, описанному в вышеупомянутом «Справочнике ». И хотя исполнение резонаторов в форме буквы «П» несколько сокращает их продольный геометрический размер, все равно вдоль оси разомкнутого с обеих сторон полуволнового резонатора должна формироваться стоячая волна напряжения, расстояние между узлами которой составляет половину длины волны 0 в диэлектрике. Иными словами, продольный размер АF фильтра определяется не геометрической длиной резонаторов [которая за счет исполнения резонатора в виде буквы «П» (или, например, «Н») будет несколько короче ], а равным количеству резонаторов N числом полуволн в диэлектрике, укладывающихся вдоль продольного размера фильтра.
Таким образом, описанный в АС СССР 1411852 ППФ характеризуется тем же продольным размером , что также существенно ограничивает его использование в мобильных системах связи и телекоммуникаций.
Более компактным является ППФ со связью разомкнутых на обоих концах резонаторов по их боковым сторонам, описанный в вышеупомянутом «Справочнике…», стр.196, рис.7.5. В этом фильтре полуволновые резонаторы связаны друг с другом на протяжении четверти длины волны, а для связи со входной (идущей от генератора СВЧ) и выходной (ведущей к нагрузке) линиями передачи используются четвертьволновые входное и выходное звенья. Такой ППФ называют также фильтром на параллельно связанных резонаторах, и он при печатном исполнении обеспечивает полосы пропускания до 30%.
Однако, как следует из вышеупомянутого рис.7.5, при числе резонаторов N этот фильтр имеет продольный размер , который, хотя и меньше продольного размера ППФ с непосредственной связью резонаторов, все равно является значительным и зачастую неприемлемым в мобильных радиотехнических системах.
Известен также ППФ (АС СССР 367808, Н01Р 1/20, опубл. 07.07.1985 г.), содержащий параллельно связанные полуволновые резонаторы, входное и выходное звенья, который допускает его подстройку в пределах заданной амплитудно-частотной характеристики (АЧХ). Подстройка достигается за счет того, что, как указывается в Описании данного изобретения, «…зазор между входным звеном и первым резонатором, а также между выходным звеном и последним резонатором выбирается примерно на порядок больше расчетного, а связь осуществляется посредством проводящей перемычки, положение которой определяет величину связи …».
Однако очевидно, что и этот фильтр имеет при числе резонаторов N только что упомянутый продольный размер , что также существенно сдерживает применение ППФ по АС СССР 367808 в мобильных радиотехнических системах.
Известен также ППФ с разомкнутыми на обоих концах полуволновыми резонаторами, расположенными в металлическом заземленном корпусе параллельно друг другу так, что смежные резонаторы электромагнитно связаны друг с другом на участке, равном половине их длины, описанный в работе: Матей Д.Л., Янг Л., Джонс Е.М.Т., «Фильтры СВЧ, согласующие цепи и цепи связи», том 1, М.: Связь, 1972, раздел 8.09, рис.8.09.1. Этот фильтр выбран в качестве прототипа предлагаемого изобретения и содержит кроме полуволновых резонаторов четвертьволновые входное и выходное звенья, а также входную и выходную линии передачи произвольной длины, соединенные соответственно со входным и выходным четвертьволновым звеном. Как указывается в упомянутой работе, «…. такая конструкция обеспечивает относительно сильную связь при заданном расстоянии между резонаторами и поэтому особенно удобна для фильтров в печатном исполнении при относительной ширине полосы пропускания вплоть до (10-15)%…». Изготовленный печатный образец описанного ППФ (см. рис.8.09.3 из упомянутой работы) с центральной длиной волны 0=25 см (f0=1200 МГц) при расстоянии между горизонтальными пластинами корпуса 10,25 мм, обеспечивая относительную полосу пропускания 10%, содержит 6 резонаторов. В результате при использовании в качестве диэлектрика, заполняющего корпус фильтра, полистирола с относительной диэлектрической проницаемостью r=2,55 данный фильтр, характеризующийся уже упоминавшимся ранее продольным размером , имеет длину порядка 28 см.
Таким образом, этот 6-резонаторный ППФ в печатном исполнении характеризуется заметным продольным размером АF и далеко не всегда может быть использован в мобильных радиотехнических системах.
Задачей предлагаемого изобретения является создание полосно-пропускающего фильтра, имеющего меньший продольный размер АF, при той же полосе пропускания и той же избирательности по соседнему каналу.
Решение поставленной задачи обеспечивается тем, что в известный полосно-пропускающий фильтр, содержащий расположенные в металлическом заземленном корпусе разомкнутый на обоих концах полуволновый резонатор и электромагнитно связанные с соответствующими половинами резонатора разомкнутые на одном конце четвертьволновые входное и выходное звенья, а также входную и выходную линии передачи, при этом входной конец входного звена расположен у смежного конца резонатора и соединен с входной линией передачи, а выходной конец выходного звена соединен с выходной линией передачи, дополнительно введена соединительная линия передачи, а резонатор выполнен в виде сплошного пустотелого проводника с отверстием посередине, полностью экранирующего входное и выходное звенья от корпуса, с относительной диэлектрической проницаемостью среды внутри резонатора, в 2,25 раза превышающей таковую снаружи, при этом выходной конец выходного звена расположен посередине резонатора и соединен с выходной линией передачи посредством проходящей сквозь указанное отверстие соединительной линии передачи.
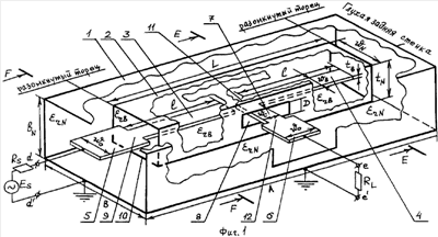
На фиг.1 изображен предлагаемый полосно-пропускающий фильтр; на фиг.2 – его частотная характеристика; на фиг.3 – восьмиполюсник, используемый для расчета волновых сопротивлений заявляемого фильтра; на фиг.4 – четырехполюсники, образованные при противофазном и синфазном возбуждении восьмиполюсника, изображенного на фиг.3; на фиг.5 – поперечное сечение предлагаемого фильтра плоскостью Е-Е; на фиг.6 – поперечное сечение прелагаемого фильтра плоскостью F-F; на фиг.7 – поперечное сечение изготовленной полосковой версии предлагаемого фильтра плоскостью Е*-Е*; на фиг.8 – поперечное сечение изготовленной полосковой версии предлагаемого фильтра плоскостью F*-F*; на фиг.9 – топология односторонне фольгированной заготовки G3 внутреннего слоя диэлектрика СТ-7 изготовленной полосковой версии предлагаемого фильтра; на фиг.10 – топология двухсторонне фольгированной заготовки G4 внутреннего слоя диэлектрика СТ-7 изготовленной полосковой версии предлагаемого фильтра; на фиг.11 – теоретическая и экспериментальная амплитудно-частотные характеристики вносимого затухания изготовленной полосковой версии предлагаемого фильтра.
Предлагаемый ППФ (фиг.1) содержит расположенные в металлическом заземленном корпусе 1 разомкнутый на обоих концах полуволновый резонатор 2, электромагнитно связанные с соответствующими половинами резонатора разомкнутые на одном конце четвертьволновые входное 3 и выходное 4 звенья, а также входную 5, выходную 6 и соединительную 7 линии передачи. При этом резонатор 2 выполнен в виде сплошного пустотелого проводника с отверстием 8 посередине, полностью экранирующего входное 3 и выходное 4 звенья от корпуса 1 фильтра. Входной конец 9 входного звена 3 расположен у смежного конца 10 резонатора 2 и соединен с входной линией передачи 5. Выходной конец 11 выходного звена 4 расположен посередине резонатора 1 внутри него и соединен с выходной линией передачи 6 посредством соединительной линии передачи 7, проходящей сквозь отверстие 8 посередине резонатора 2. Длина соединительной линии передачи 7 конкретизируется на этапе реализации полосковых печатных плат фильтра (см. пример далее). При этом диэлектрическая проницаемость rB диэлектрика внутри резонатора 2 в 2,25 раза превышает таковую, rN, для диэлектрика снаружи резонатора: rB=2,25 rN.
В результате входное 3 и выходное 4 звенья, находящиеся внутри сплошного пустотелого резонатора 2 в диэлектрике с проницаемостью rB, фактически представляют собой центральные проводники («жилы») четвертьволновых отрезков «прямоугольной» коаксиальной линии, наружным проводником («оплеткой») которых является внутренняя проводящая поверхность резонатора 2. Если пренебречь влиянием небольшого отверстия 8 в боковой поверхности резонатора 2 (обоснование этой возможности см. далее в описании принципа действия фильтра), то это позволяет охарактеризовать входное 3 и выходное 4 звенья заявляемого ППФ такими электрическими параметрами, как волновое сопротивление B и электрическая длина , где – текущая длина волны генератора; l – длина звеньев, составляющая половину длины L полуволнового резонатора 2 (фиг.1). В то же время сплошной проводящий полуволновой резонатор 2, если пренебречь влиянием небольшого отверстия 8, находящийся внутри металлического заземления корпуса 1 в диэлектрике с проницаемостью rN, может рассматриваться как внутренний проводник (то есть «жилой» является наружная проводящая поверхность резонатора 2) полуволнового отрезка «прямоугольной» коаксиальной линии, наружным проводником («оплеткой») которой является внутренняя поверхность корпуса 1. Такой полуволновый отрезок «прямоугольной» коаксиальной линии целесообразно охарактеризовать волновым сопротивлением N и электрической длиной , где – электрическая длина половины  резонатора 2 по диэлектрику с проницаемостью rN. Поэтому дальнейшее рассмотрение ведется для случая, когда:

При этом входная 5 и выходная 6 линии передачи, имеющие внутри металлического заземленного корпуса 1 волновые сопротивления O, располагаются в диэлектрике с проницаемостью rN. Электрическая длина этих линий не имеет принципиального значения (хотя чем они короче – тем лучше с точки зрения габаритов и диссипативных потерь), так как они предназначены для соединения входного конца 9 полностью экранированного от корпуса 1 входного звена 3 и выходного конца 11 также полностью экранированного от корпуса 1 выходного звена 4 с центральными выводами (штырьками) коаксиально-полосковых переходов (разъемов) соответственно генератора и нагрузки, установленных на заземленном корпусе 1 фильтра так, чтобы их резьбовой проводящий корпус имел бы надежный электрический контакт с корпусом фильтра (на фиг.1 разъемы условно не показаны). Как правило, в конструкциях дециметрового диапазона волн используются разъемы типа Э2-116/1, Э2-116/2, СРГ-50-751-ФВ и им подобные с волновым сопротивлением 50 Ом. Поэтому далее принимается, что входная 5 и выходная 6 линии передачи имеют в диэлектрике с проницаемостью rN волновое сопротивление O=50 Ом. Такое же волновое сопротивление имеют подводящие линии фильтра-прототипа.
Принцип действия заявляемого фильтра состоит в следующем. Пусть к входному концу 9 входного звена 3 через входную линию передачи 5 с волновым сопротивлением O от источника СВЧ-сигнала с вещественным внутренним сопротивлением RS= O подводится гармонически изменяющееся во времени относительно корпуса 1 фильтра напряжение , с комплексной амплитудой , где , текущая круговая частота; f – текущая циклическая частота; – начальная фаза напряжения . Будем полагать, что амплитуда U9max и начальная фаза 9 этого напряжения остаются неизменными в широкой полосе частот дециметрового диапазона. Тогда часть энергии входного сигнала за счет электромагнитной связи звеньев 3 и 4 с резонатором 2 поступит на выходное звено 4 и достигнет его выходного конца 11, расположенного посередине резонатора 2 внутри его диэлектрика с проницаемостью rB(фиг.1). Затем по короткому отрезку соединительной линии передачи 7, проходящей сквозь отверстие 8, выполненное в сплошном резонаторе 2 посередине его, сигнал поступит в начало 12 выходной линии передачи 6 и создаст здесь гармонически изменяющееся во времени относительно корпуса 1 фильтра напряжение u12(t)=U12max·cos( ·t+ 9+ F) с комплексной амплитудой , где F – набег фазы в заявляемом ППФ от входного конца 9 входного звена 3 до начала 12 выходной линии передачи 6. Далее сигнал поступит на выходной разъем в вещественную полезную нагрузку RL, равную внутреннему сопротивлению источника:

Следует отметить, что небольшое отверстие 8 произвольной формы в центре боковой поверхности резонатора 2 существенно не нарушает структуру гармонически изменяющегося во времени поперечного электромагнитного поля внутри диэлектрика резонатора 2, векторы напряженности электрической  и магнитной составляющих которого лежат в вертикальных (на фиг.1) плоскостях, перпендикулярных направлению распространения сигнала (энергии) в фильтре. Такая оценка правомерна, так как часть площади отверстия 8 (имеющего в данном случае прямоугольную форму с размерами C·D; на фиг.1 размер С не показан во избежание трудностей восприятия зрительной информации о структуре фильтра) перекрыта поперечным сечением (имеющим в данном случае размеры tВ·wC) отрезка соединительной линии передачи 7. Кроме того, в реальных полосовых конструкциях дециметрового диапазона волн длина С отверстия 8, как правило, много меньше длины l входного 3 и выходного 4 звеньев фильтра. И хотя высота D отверстия 8 может быть равна толщине tN резонатора 2 по его наружному размеру (см. пример далее), такое конструктивное решение также существенно не нарушает структуру электромагнитного поля внутри резонатора 2, так как в дециметровом диапазоне волн размер tN также будет меньше длины l звеньев 3 и 4. Поэтому подавляющая часть силовых линий электрического поля внутри резонатора 2 вблизи отверстия 8, начинаясь (заканчиваясь) на внутренней проводящей поверхности резонатора 2, заканчивается (начинается) на проводящей поверхности короткого отрезка соединительной линии передачи 7. В результате упомянутые силовые линии электрического поля не «выскальзывают» в отверстие 8 для того, чтобы закончиться (начаться) на внутренней проводящей поверхности металлического заземления корпуса 1 и «унести» часть энергии электрического поля из резонатора 2 в пространство вне его.
Что касается силовых линий магнитного поля внутри резонатора 2 вблизи отверстия 8, то эти линии, представляя собой замкнутые кривые, «охватывают» короткий отрезок соединительной линии передачи 7, концентрируясь вблизи него, и также практически не «провисают» в отверстие 8 и не «уносят» с собой часть энергии магнитного поля из внутреннего пространства резонатора 2, заполненного диэлектриком с проницаемостью . Если еще учесть, что при реализации заявляемого ППФ можно взять в качестве диэлектрика внутри металлического корпуса 1 воздух ( =1) или реализовать конструкцию на двух склеенных сравнительно тонких «подвешенных» диэлектрических подложках суммарной толщиной с диэлектрической проницаемостью rB=2 3.5, то тогда эффективная диэлектрическая проницаемость среды внутри корпуса 1 будет порядка (см., например, работу: «Справочник по расчету и конструированию СВЧ полосковых устройств» / Под ред. В.И.Вольмана, М.: Радио и связь, 1982, раздел 2.6 в части, относящейся к различному диэлектрическому заполнению). Поэтому будет вполне обоснованным принять, что доля электромагнитной энергии, «просачивающейся» из заполненного диэлектриком с rB> rN внутреннего пространства резонатора 2 сквозь отверстие 8 во внешнее относительно резонатора 2 пространство внутри корпуса 1, является пренебрежимо малой. Диэлектрик внутри резонатора 2 с большим значением rB более интенсивно концентрирует в себе уже по своим природным свойствам электромагнитную энергию, не «позволяя» ей ощутимо «просачиваться» сквозь отверстие 8 во вне. Поэтому влиянием небольшого отверстия 8 посередине сплошного резонатора 2 на рабочие характеристики заявляемого ППФ вполне можно пренебречь в дециметровом диапазоне. Последующие экспериментальные результаты подтверждают это положение.
В принципе, отверстие 8 можно выполнить также в верхней или нижней грани сплошного резонатора 2. Соответствующая компоновка выходного разъема на верхней или нижней плоскости корпуса 1 оправдана в ряде случаев при использовании заявляемого фильтра в составе антенных устройств подвижных мобильных радиосистем. Кроме того, такая компоновка удобнее при использовании заявляемого фильтра (в «безразъемном» исполнении) в составе компактных многослойных (многоуровневых; в англоязычной терминологии: «multi-layer/multi-level devices») устройств диапазона СВЧ. Предыдущие оценки степени влияния отверстия 8 на характеристики фильтра остаются вполне справедливыми и для такой компоновки.
Аналогично вполне обосновывается также факт пренебрежимо малого влияния в дециметровом диапазоне волн короткого отрезка соединительной линии передачи 7, обеспечивающей вывод сквозь отверстие 8 сформировавшегося в заявляемом фильтре СВЧ-сигнала от выходного конца 11 выходного звена 4 к началу 12 выходной линии передачи 6 и далее в полезную нагрузку.
Заметное влияние на характеристики фильтра отверстие 8 и отрезок соединительной линии передачи 7 оказывают в сантиметровом и еще более высокочастотном диапазонах. В этих диапазонах геометрические размеры основных элементов заявляемого ППФ при выбранных значениях проницаемостей rB и rN должны обязательно корректироваться и/или оптимизироваться (образно выражаясь, должна быть проведена «тонкая шлифовка» размеров) с привлечением систем трехмерного (3D) электродинамического моделирования, таких как: «Agilent HFSS 5.6», «Agilent HFSS 8.0», «Microware Office», «Sonnet», «CST Microware Studio», FIDELITY и т.п. Поэтому, структура заявляемого ППФ, показанная на фиг.1, должна рассматриваться в этих диапазонах, в первую очередь, как адекватное начальное приближение (образно выражаясь, фиг.1 характеризует облик фильтра), оптимизация размеров которого компьютерными системами трехмерного электродинамического моделирования позволит обеспечить существенно меньший продольный размер АF.
В результате, при соответствующем выборе (расчете) волновых сопротивлений B и рN частотная характеристика вносимого затухания

заявляемого ППФ, рассматриваемого как несимметричный обратимый четырехполюсник с парами полюсов «d-d’» и «e-e’» (причем полюсы со штрихами d’ и е’ – заземлены) и несимметричной матрицей рассеяния [SF] вида

имеет форму (фиг.2), позволяющую квалифицировать заявляемое устройство как полосно-пропускающий фильтр с тремя минимумами затухания в полосе пропускания при уровне пульсации Lar( Б) и тремя полюсами (всплесками) затухания на нулевой частоте и частотах f 1 и f 2 в полосе заграждения слева от полосы пропускания fL fR, отсчитываемой по уровню пульсаций Lar( Б).
В принципе, частотная характеристика LF может и не иметь пульсаций в полосе пропускания. Но такие сочетания волновых сопротивлений ( B, N) приводят к более узкополосным характеристикам с меньшей избирательностью по соседнему каналу и далее исключены из рассмотрения.
В соответствии с фиг.2 на частотах fS1(0s1 l) и fs2(f ls2 2) формируются соответственно конечные значения LSl( Б) и LS2( Б) вносимого затухания LF, значительно превышающие по величине уровень пульсаций Lar в полосе пропускания fL fR. При этом характеристика LF симметрична относительно вертикали, проходящей как через точку 2f0N, так и через точку 4f0N, где f0N – частота (соответствующая ей длина волны ), при которой электрическая длина резонатора 2 по диэлектрику с проницаемостью равна 180°:
.
Расчет волновых сопротивлений B и N производится по алгоритму, в основе которого лежит представление заявляемого ППФ в виде восьмиполюсника (четырехплечего устройства) с нумерацией плеч и вертикальной ориентацией согласно фиг.3. Восьмиполюсник образован двумя отрезками коаксиального кабеля длиной l с волновым сопротивлением B и диэлектрическим заполнением с проницаемостью rB. Отрезком проводящего цилиндрического проводника длиной lС, заполненного тем же диэлектриком, оплетки отрезков соединены гальванически. Отводы жил кабелей, формирующих плечи 1′ и 2′ восьмиполюсника, проходят сквозь небольшие отверстия в оплетках. Сформированная структура из двух отрезков далее рассматривается находящейся над заземленной плоскостью в безграничной среде с проницаемостью , в которой оплетка отрезка длиной (2·l+lС) может быть охарактеризована волновым сопротивлением N.
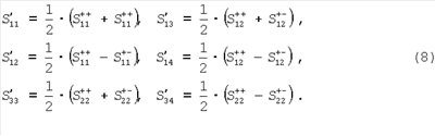
К полученному таким образом восьмиполюснику применяется метод суперпозиции синфазного и противофазного возбуждений, описанный в работе: Фельдштейн А.Л., Явич Л.Р., Смирнов В.П. «Справочник по элементам волноводной техники», М.: Советское Радио, 1967, раздел 2.10. Согласно этому методу в горизонтальной плоскости симметрии, перпендикулярной заземленной плоскости на фиг.3 и проходящей посередине проводящего цилиндра длиной lC, сначала размещается «электрическая» разделительная плоскость симметрии (противофазное возбуждение верхней и нижней половин фильтра), а затем «магнитная» (синфазное возбуждение половин). В обоих случаях находятся элементы матрицы рассеяния отрезка кабеля «над землей» с новой нумерацией плеч согласно фиг.4, нижний конец оплетки которого сначала закорочен на «землю» («электрическая» разделительная плоскость), а затем разомкнут («магнитная» разделительная плоскость). Верхний конец оплетки разомкнут в обоих случаях. Соответствующие этим случаям несимметричные матрицы рассеяния для противофазного (+-) и синфазного (++) возбуждений запишутся:

Несимметрия матриц объясняется тем, что плечо 1 в цепях на фиг.4 расположено с того края оплетки кабелей, где задействован цилиндрический проводник длиной lC/2.
Согласно методу суперпозиций упомянутых возбуждений элементы
матрицы рассеяния [S’] восьмиполюсника фиг.3 находятся как:

где

На заключительном этапе расчета к восьмиполюснику фиг.3 применяется условие, согласно которому его плечи 2′ и 3′ работают в режиме холостого хода с коэффициентами отражения Г’2=Г’3=1. Тогда оставшиеся плечи 1′ и 4′ на фиг.3 можно ассоциировать соответственно с плечами «e-e’» и «d-d’» заявляемого ППФ на фиг.1.
В результате использования методики расчета восьмиполюсников, два плеча которых разомкнуты, описанной в вышеупомянутом «Справочнике » А.Л.Фельдштейна, Л.Р.Явича и В.П.Смирнова, раздел 2.14, находятся выражения для элементов матрицы рассеяния (4) заявляемого ППФ.
Программирование вычислительных этапов описанного алгоритма не встречает затруднений. После обработки полученных результатов вычислений при условии, что lC< 1 и f 2 (фиг.2) обоих всплесков затухания от величин B и N, так что можно записать:,>

В то же время относительная полоса пропускания

а также частоты fS1 и fS2 минимумов затухания LS1 и LS2 в полосе затухания, так же как и сами минимумы, зависят от частоты. При этом структура заявляемого полосно-пропускающего фильтра, отличительной особенностью которого является полная экранировка резонатором 2 входного 3 и выходного 4 звеньев при различии относительных диэлектрических проницаемостей внутри и снаружи резонатора 2 в 2,25 раза ( rВ=2,25· rN), такова, что при выполнении условия

удается обеспечить при одинаковых с прототипом полосе пропускания 10% и практически той же крутизне скатов вносимого затухания 2-кратное уменьшение продольного размера за счет сокращения числа полуволновых резонаторов с 6 до 1 и формирования двух всплесков затухания в полосе заграждения. Сокращение числа резонаторов позволяет также уменьшить диссипативные потери в проводниках и диэлектрике фильтра в целом. Двукратное уменьшение продольного размера в заявляемом фильтре достигается притом, что в нем отсутствуют критичные к реализации малые зазоры между линиями, имеющиеся в прототипе. Это дает возможность существенно снизить требования к процессам травления медной фольги с пробельных мест на фольгированных заготовках фильтра. Кроме того, в заявляемом фильтре нагрузочный разъем, к которому подключается выходная линия передачи 6, расположен сбоку. Это способствует сокращению продольного размера еще больше.
Для экспериментального подтверждения изложенных результатов была выполнена печатная версия заявляемого ППФ с центральной частотой 1200 МГц и относительной полосой пропускания, равной 10%:

Такие же характеристики имеет и фильтр-прототип. Однако в отличие от прототипа, выполненного на двух облицованных медной фольгой листах полистирола, заявляемый ППФ был реализован на четырех листовых диэлектрических заготовках. Такая конкретизация конструктивного исполнения заявляемого ППФ обусловлена стремлением упростить технологию реализации достаточно сложной объемной структуры (фиг.1) в печатном исполнении с полной экранировкой входного 3 и выходного 4 звеньев от корпуса 1 и различным диэлектрическим заполнением пространства внутри ( rB) и вне ( rN) пустотелого резонатора 2 (фиг.5, фиг.6). Поэтому использовались следующие отечественные листовые фольгированные диэлектрики, облицованные медной фольгой толщиной tf=25 мкм:
– СТ-7, толщиной a=2 мм и относительной диэлектрической проницаемостью ra=7;
– СТ-3, толщиной b=3 мм и относительной диэлектрической проницаемостью rb=3.
Упомянутые и другие свойства этих диэлектриков приведены в работе: «Справочник по расчету и конструированию СВЧ полосковых устройств»/ Под ред. В.И.Вольмана, – М.: Радио и связь, 1982, табл.1.4.
В соответствии с этим подходом следует конкретизировать эффективные диэлектрические проницаемости отдельных фрагментов заявляемого ППФ, а также конкретизировать его сечения Е-Е и F-F.
Так, конкретизированное для данного исполнения сечение Е*-Е* (производное от сечения Е-Е на фиг.5) изображено на фиг.7 (толщина фольги tf условно увеличена по сравнению с толщиной а и b диэлектриков). Полная экранировка выходного звена 4, как и входного звена 3, от корпуса 1 фильтра теперь будет осуществляться двумя эквипотенциальными полосками, шириной wN, если выполнено условие:

Обоснованием этого условия могут служить рекомендации упомянутого «Справочника » под ред. В.И.Вольмана, стр.32-35, рис.2.5. Эквипотенциальность полосок обеспечивается пайкой сквозных металлизированных отверстий диаметром 0,8 мм в диэлектрике СТ-7 с ra=7 (на фиг.7 отверстия условно не показаны). Обоснованием использования таких отверстий могут служить материалы работы: Бушминский И.П., Морозов Г.В. «Технологическое проектирование микросхем СВЧ». – М.: Изд-во МГТУ им. Н.Э.Баумана, 2001, стр.192. Поэтому электромагнитное поле вокруг входного 3 и выходного 4 звеньев будет локализовано в диэлектрике СТ-7 и

Вследствие эквипотенциальности верхней и нижней полосок (фиг.7) электромагнитное поле вне резонатора 2 в пределах его длины L будет локализовано в основном в диэлектрике СТ-3 ( rb=3). Лишь небольшая часть внутренних краевых полей на внутренних продольных (т.е. вдоль размера L) кромках полосок (фиг.7) будет локализована в диэлектрике СТ-7 с ra=7. В результате, эффективная диэлектрическая проницаемость среды вне резонатора 2 в пределах его длины L будет отличаться от величины rb, т.е. . Из последующих расчетов будет следовать, что ширина wN составит порядка 10 мм. Применяя к этому значению «усиленное» условие 13 [т.е. заменяя в (13) множитель «2» на «5»], найдем размер В корпуса фильтра: . Имея в распоряжении размеры а=2 мм, b=3 мм, wN 10 мм, B=50 мм, а также значения проницаемостей ra=7 и rb=3, можно определить эффективную проницаемость с помощью одной из САПР трехмерных структур. В распоряжении Заявителя имеется свободно продающаяся на рынке программных продуктов САПР «WIPL-D, записанная на компакт-диске и прилагаемая к работе: В.М.Kolundzija, J.S.Ognjanovic, and Т.K.Sarkar, «WIPL-D: Microware Circuit and 3D EM Simulation for RF and Microware Applications. Software and User’s Manual», Norwood, MA: Artech House, 2005. Ее использование позволило определить, что:

Именно значение будет использоваться далее для расчета геометрических размеров wL и L резонатора 2. При этом именно сейчас становится понятным, что выбор проницаемостей ra и rB слоев может быть проведен только методом «проб и ошибок», когда отношение проницаемостей весьма близко к требуемому значению 2,25 в пределах длины L резонатора 2.
Следующим этапом расчетов является конкретизация сечения F-F (фиг.6) в области входной линии передачи 5 (фиг.1). Конкретизированное для данного исполнения сечение F*-F* изображено на фиг.8, причем в этой области вместо верхней и нижней граней резонатора 2 (шириной wN) останутся воздушные прослойки толщиной tf, а толщина tB входной линии передачи 5 шириной w0 равна: tB=tf=25 мкм. Поэтому, имея размеры a=2 мм, b=3 мм и В=50 мм, а также проницаемости ra=7 и rb=3, можно непосредственно с использованием САПР «WIPL-D» определить ширину w0 входной линии передачи 5 путем оптимизации по одной переменной х=w0 до достижения волнового сопротивления ро этой линии величины 50±0,5 Ома (т.е. точность достижения 50 Ом и окончание оптимизации составит ±0,5 Ом):

Такую же ширину будет иметь и выходная линия передачи 6 (фиг.1), т.к. она расположена в тех же слоях диэлектрика вне внешнего электромагнитного поля верхней и нижней граней резонатора 2 (фиг.7).
На заключительном этапе расчетов из условия (5) с учетом (12) и (15) определяется длина L разомкнутого резонатора 2:

Ширина wN граней резонатора 2 определяется по «Справочнику » под ред. А.Л.Фельдштейна. – М.: Связь, 1979, стр.9, рис.1.4, при условии, что N=24 Ом [выражения (11)], [выражение (15)], tN=2·a+3·tf=4,075 мм и bN=2·a+2·b+3·tf=10,075 мм (фиг.8). По графику рис.1.4 для tN/bN=0,4 и находится отношение wN/bN=0,805, откуда

Ширина wB входного 3 и выходного 4 звеньев определяется также по этому «Справочнику » (только берется рис.1.3 на стр.9) при условии, что B=53 Ом [выражение (11)], rB= ra=7 [выражение (14)], tB=tf=0,025 мм, bB=2·a+tB=4,025 мм (фиг.7). В результате, для tB/bB=0,006 и находится, что wB/bB=0,24, откуда

Ширина wC соединительной линии передачи 7 из соображений унификации выбирается равной wB, т.е.:

Высота D отверстия 8 в центре резонатора 2 (фиг.1) при данном конструктивном исполнении ППФ будет равна толщине tN резонатора 2:

Длину С этого отверстия 8 (на фиг.1 размер С, как уже отмечалось, условно не показан) целесообразно выбрать в 1,5 раза больше ширины w0:

Именно на этом расстоянии в зоне формирования соединительной линии передачи 7 должны располагаться два сквозных металлизированных отверстия, обеспечивающих эквивалентность верхней и нижней граней резонатора 2 (фиг.7) и формирующих вертикальные стенки отверстия 8 (фиг.1) высотой D. На противоположной продольной стороне граней резонатора 2 для обеспечения их эквипотенциальности достаточно сформировать 5 металлизированных отверстий с равномерным шагом L/4=35,5 мм.
В результате фильтр реализуется на четырех заготовках G1, G2, G3 и G4. Заготовки G1 и G2 идентичны, выполнены из диэлектрика СТ-3, имеют размеры В=50 мм, A=L+10 мм+15 мм=167 мм и полностью освобождаются от фольги с обеих сторон.
На заготовке G3 из диэлектрика СТ-7 выполняется только одна грань резонатора 2 с размерами wN=8,1 мм и L=142 мм и соответствующим числом (11 штук) сквозных металлизированных отверстий диаметром 0,8 мм (фиг.9). Для обеспечения последующего доступа паяльником к штыревым выводам разъемов в этой заготовке выполнены пазы.
На заготовке G4 из диэлектрика СТ-7 выполняются оставшаяся часть слоев и соответствующие число сквозных металлизированных отверстий того же диаметра 0,8 мм (фиг.10).
Фильтр собирается в следующей последовательности (основные этапы). Заготовки G3 и G4 совмещаются по сквозным металлизированным отверстиям, склеиваются по периферии и пропаиваются в отверстиях. В заранее изготовленный корпус укладывается заготовка G1. Затем укладывается «сэндвич» из пропаянных заготовок G3 и G4 с требуемой ориентацией выходной линии передачи 6 на место установки выходного разъема. Производится установка разъемов (в данном случае СРГ-50-751-ФВ) на корпус, их фиксация и герметизация пайкой, а затем штырьки разъемов припаиваются (ранее изготовленные пазы в заготовке G3 обеспечивают доступ паяльнику) к окончаниям входной 5 и выходной 6 линий передачи. Затем укладывается последняя заготовка G2 и крепится крышка корпуса.
Результаты экспериментальных исследований вносимого затухания данной печатной версии заявляемого ППФ [фиг.11, поз.13 (сплошные линии) – теория, поз.14 (штриховые линии, кружки) – эксперимент] свидетельствуют об успешном решении поставленной задачи – сокращении в 2 раза продольного размера, и о перспективности заявляемого ППФ для практического использования в мобильных системах радиосвязи и телекоммуникаций.
Формула изобретения
Полосно-пропускающий фильтр, содержащий расположенные в металлическом заземленном корпусе разомкнутый на обоих концах полуволновый резонатор и электромагнитно связанные с соответствующими половинами резонатора разомкнутые на одном конце четвертьволновые входное и выходное звенья, а также входную и выходную линии передачи, при этом входной конец входного звена расположен у смежного конца резонатора и соединен с входной линией передачи, а выходной конец выходного звена соединен с выходной линией передачи, отличающийся тем, что в него дополнительно введена соединительная линия передачи, а резонатор выполнен в виде сплошного пустотелого проводника с отверстием посередине, полностью экранирующего входное и выходное звенья от корпуса, с относительной диэлектрической проницаемостью среды внутри резонатора в 2,25 раза превышающей таковую снаружи, при этом выходной конец выходного звена расположен посередине резонатора и соединен с выходной линией передачи посредством проходящей сквозь указанное отверстие соединительной линии передачи.
РИСУНКИ
|
|