|
(21), (22) Заявка: 2008115061/09, 16.04.2008
(24) Дата начала отсчета срока действия патента:
16.04.2008
(46) Опубликовано: 10.01.2010
(56) Список документов, цитированных в отчете о поиске:
RU 2170471 C1, 10.07.2001. RU 2253167 C2, 27.05.2005. EP 0685869 A1, 06.12.1995. EP 0449284 A2, 02.10.1991. FR 2732159 A1, 27.09.1996.
Адрес для переписки:
410052, г.Саратов, пр. 50 лет Октября, 101, ФГУП “Научно-исследовательский институт “Волга”, директору Н.Д. Жукову
|
(72) Автор(ы):
Мещеряков Геннадий Михайлович (RU), Жуков Николай Дмитриевич (RU)
(73) Патентообладатель(и):
ФЕДЕРАЛЬНОЕ ГОСУДАРСТВЕННОЕ УНИТАРНОЕ ПРЕДПРИЯТИЕ “Научно-исследовательский институт “ВОЛГА” (ФГУП “НИИ “ВОЛГА”) (RU)
|
(54) КАТОДОЛЮМИНЕСЦЕНТНЫЙ ЭКРАН МАТРИЧНОГО ТИПА
(57) Реферат:
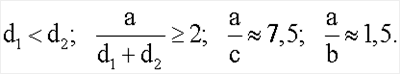
Изобретение относится к электронной технике и может быть использовано для создания вакуумных люминесцентных индикаторов плоского типа, отображающих текстовую, цифровую или графическую информацию. Технический результат – улучшение параметров, повышение надежности, низкой себестоимости и конкурентоспособности. Достигается это тем, что в известном катодолюминесцентном экране матричного типа, содержащем внутри прозрачного баллона, состоящего из анодной платы и крышки, анодную плату с расположенными на ней анодными электродами, покрытыми люминофором, прямонакальные катоды и управляющие электроды, выполненные в виде шин и расположенные на крышке баллона ортогонально анодным электродам, образующие светоизлучающие элементы – пиксели, соединенные токоведущими дорожками с внешними выводами через контактные площадки, прямонакальные катоды расположены параллельно управляющим электродам и между ними, количество прямонакальных катодов на единицу превышает количество строк пикселей, при этом расстояния между анодными электродами и прямонакальными катодами, между управляющими электродами и прямонакальными катодами связаны соотношениями:
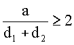
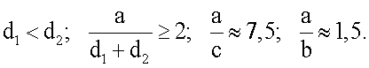
d1 d2; 
где d1 – расстояние от управляющих электродов до прямонакальных катодов; d2 – расстояние от анодных электродов до прямонакальных катодов; а – шаг строк пикселей. 2 з.п. ф-лы, 3 ил.
Изобретение относится к электронной технике и может быть использовано для создания вакуумных люминесцентных индикаторов плоского типа, отображающих текстовую, цифровую или графическую информацию.
Известны плоские вакуумно-люминесцентные индикаторы (ВЛИ) активного типа, к которым относится данное изобретение, анимационные, цифровые, буквенные, цифробуквенные, а также Х-У матричные, в которых используется анодная плата с люминофорным покрытием сегментов или пикселей с электрической разводкой на контакты, катодный узел, состоящий из катодных держателей, пакета прямонакальных катодов, покрытых оксидом, сеточного узла с электрической разводкой на контакты (в случае динамического управления), а также крышки баллона с полупрозрачным электропроводным покрытием с электрическим потенциалом, равным «0» относительно катодов (см. Горфинкель Б.И., Коровкин А.И., Медведев Р.С, Логинов А.П. Катодолюминесцентные индикаторы. – М.: Наука, 1983 г.; Знакосинтезирующая электроника: низковольтная катодолюминесценция. Горфинкель Б.И. Изд-во: Саратовский госуниверситет им. Н.Г.Чернышевского, 1988 г., с.19-33).
Такие вакуумные люминесцентные индикаторы (ВЛИ) (традиционные) обладают существенными недостатками, а именно: сложный сеточный узел – дорогое химическое фрезерование прецизионных сеток, штамповка их, монтаж на анодную плату с помощью паст и отжиг; сложное катодное полотно, которое в настоящее время вручную приваривается на держатели через тонкие армирующие никелевые пластинки, сложенные в пакет на концах катодов и представляют собой нестабильный узел по натягу, шагу и закреплению катодов.
Кроме того, это сугубо «ручная технология», которую практически невозможно механизировать, а современная технология должна быть машинной: значительное уменьшение КПД прибора за счет двух факторов, т.е.: а) значительный отбор электрической энергии на не участвующую в яркости свечения управляющую сетку; б) уменьшение яркости за счет загораживающего (экранирующего) свет эффекта управляющих сеток; катодная полосатость, или неравномерность свечения, или так называемый «эффект стиральной доски», предельная яркость прибора, а значит большой разброс конечных параметров, вследствие отсутствия технологического запаса (отсутствие можеторизации); в случае большой скважности индикаторы почти не имеют запаса по яркости; кроме этого, такие приборы имеют трудоемкие стеклянные штабики – рамку, покрытые герметиком и глазурованные, а также гетеры (газопоглотители).
Перечисленные выше недостатки являются причиной низкой конкурентоспособности такого индикатора.
Наиболее близким аналогом-прототипом по технической сущности является катодолюминесцентный экран матричного типа по патенту РФ 2170471, МКИ7: HOIJ 31/12, опубл. 10.07.2001 г., содержащий внутри прозрачной вакуумной оболочки плату с расположенными на ней анодными электродами в виде параллельных полосок, покрытых люминофором, прямонакальные катоды и управляющие электроды, закрепленные внутри вакуумной оболочки ортогонально анодным электродам, соединенным токоведущими дорожками с внешними выводами через контактные площадки, нанесенные на периферии платы. Управляющие электроды выполнены на прозрачной диэлектрической пластине в виде электропроводящих прозрачных тонкопленочных полосок и расположены с диаметрально противоположной стороны от прямонакальных катодов в сравнении с анодными электродами на расстоянии, определяемом соотношением

где d1, d2 – расстояние от управляющих и анодных электродов соответственно до прямонакальных катодов. Этот прибор во многом свободен от выше перечисленных недостатков, т.е.: отсутствие сеток. Роль таких сеток выполняют электропроводящие прозрачные тонкопленочные полоски, расположенные на крышке баллона с обратной от анодов стороны. Упрощенная анодная плата.
Однако этот экран имеет следующие свои недостатки.
При выключении всех строк, кроме одной, в данный момент включенной, в значительной степени «гасится» и включенная строка, уменьшая общую яркость прибора в динамическом режиме.
Значительное паразитное влияние на яркость включенного пикселя соседних пикселей по строке, т.е. если выключены соседние пиксели, то средний пиксель значительно уменьшает свою яркость.
Некоторая паразитная подсветка соседних, выключенных строк, вынуждающая применять очень сложную раздельную разводку четных и нечетных строк.
Чтобы погасить паразитную подсветку соседних строк потребуется на управляющие с крышки электроды соседних строк подать больший отрицательный электрический потенциал, но при этом происходит паразитное гашение включенной, рабочей строки.
При увеличении d1+d2 (по прототипу 2170471) требуется резко увеличивать напряжение управления с крышки прибора.
При гашении строки остается очень тонкая светящаяся полоска под катодом, а чтобы погасить эту паразитную полоску потребуется приблизительно в два раза больший отрицательный потенциал на шинах баллона.
Сущность изобретения заключается в следующем. Задача, на решение которой направлено заявляемое изобретение, заключается в улучшении параметров, повышении надежности, устранении вышеперечисленных недостатков при сохранении простоты индикатора, низкой себестоимости его, а также конкурентоспособности.
Указанный технический результат при осуществлении изобретения достигается тем, что в известном катодолюминесцентном экране матричного типа, содержащем внутри прозрачного баллона, состоящего из анодной платы и крышки, анодную плату с расположенными на ней анодными электродами, покрытыми люминофором, прямонакальные катоды и управляющие электроды, выполненные в виде шин и расположенные на крышке баллона ортогонально анодным электродам, образующие светоизлучающие элементы – пиксели, соединенные токоведущими дорожками с внешними выводами через контактные площадки, согласно изобретению прямонакальные катоды расположены параллельно управляющим электродам и между ними, количество прямонакальных катодов на единицу превышает количество строк пикселей, при этом расстояния между анодными электродами и прямонакальными катодами, между управляющими электродами и прямонакальными катодами связаны соотношениями:
d1 d2; 
где d1 – расстояние от управляющих электродов до прямонакальных катодов;
d2 – расстояние от анодных электродов до прямонакальных катодов;
а – шаг строк пикселей.
Кроме того, над каждым прямонакальным катодом и параллельно им на крышке баллона между управляющими электродами дополнительно расположены электрически соединенные узкие шины, при этом дополнительные шины гальванически отделены от управляющих электродов и имеют постоянный электрический потенциал ~5÷7 вольт, при этом выполняются следующие соотношения:

где
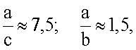
а – шаг строк пикселей;
с – расстояние между управляющими электродами, расположенными на крышке баллона;
b – ширина строки пикселей,
причем величину электрического потенциала определяют из следующих соотношений:
при q>h
или при q
где
q – расстояние от анодных электродов до прямонакальных катодов до изменения расположения прямонакальных катодов;
h – расстояние от анодного электрода до прямонакального катода после изменения расположения прямонакальных катодов;
U1 – напряжение питания анодный электрод-прямонакальный катод до изменения;
U2 – напряжение питания анодный электрод-прямонакальный катод после изменения при одинаковой яркости индикаторов; кроме того, расстояние между управляющим электродом и дополнительной шиной – m, ширина дополнительных шин – F, шаг прямонакальных катодов – а, ширина анодных электродов (строки анодных электродов) – b удовлетворяют следующим условиям:
m/F 0,75; 2m+F=a-b.
Изобретение поясняется графическими материалами, описанием и примером конкретного исполнения.
На фиг.1 схематично изображена конструкция катодолюминесцентного экрана матричного типа в разрезе – вид сбоку.
На фиг.2 схематично изображена крышка баллона – вид сбоку, на которой расположены дополнительные электрически соединенные между собой узкие шины.
На фиг.3 схематично изображена крышка баллона – вид сверху, на которой расположены дополнительные электрически соединенные между собой узкие шины.
На чертежах приняты следующие обозначения:
1 – катодолюминесцентный экран матричного типа;
2 – баллон;
3 – анодная плата;
4 – крышка баллона;
5 – анодные электроды;
6 – люминофор;
7 – прямонакальные катоды;
8 – управляющие электроды;
9 – контактные площадки;
10 – вывода внешние;
11 – шины дополнительные, расположенные на крышке баллона между управляющими электродами;
12 – герметик (изолятор);
13 – пиксель, образованный на пересечении ортогонально расположенных анодных электродов и управляющих шин;
14 – изолятор междустрочный, однослойный;
15 – траектории пролета электронов от прямонакальных катодов 7 к анодным электродам 5 и к управляющему электроду 8 на крышке баллона 4. Катодолюминесцентный экран матричного типа 1 содержит баллон 2, который состоит из анодной платы 3 и крышки баллона 4. На анодной плате 3 расположены анодные электроды 5, покрытые люминофором 6. Внутри баллона 2 расположены прямонакальные катоды 7, а на крышке баллона 4 ортогонально анодным электродам 3 расположены управляющие электроды 8 в виде шин, образующие светоизлучающие элементы – пиксели 13. Управляющие электроды 8 соединены токоведущими дорожками через контактные площадки 9 с внешними выводами 10. Прямонакальные катоды 7 расположены параллельно управляющим электродам 8 и между управляющими электродами 8, причем количество прямонакальных катодов 7 равно количеству строк пикселей плюс единица.
Устройство работает следующим образом.
Под действием электрического поля электронный поток, эмитируемый двумя прямонакальными катодами 7, управляемый электродом 8, проникает на анодный электрод 5 и в зависимости от распределения потенциала на анодных электродах 5 бомбардирует с соответствующим распределением интенсивности люминофор 6, вызывая соответствующее оптически видимое изображение.
Возможен второй вариант конструкции катодолюминесцентного экрана, когда на крышке баллона 4 над каждым прямонакальным катодом 7 и параллельно ему расположены дополнительные электрически соединенные между собой узкие шины 11, которые увеличивают эмиссию двух прямонакальных катодов 7 включенной строки (см. фиг.2, фиг.3, позицию 11). При этом дополнительные шины 11 отделены гальванически от управляющих электродов 8 и имеют небольшой положительный электрический потенциал (см. фиг.3, позицию 11), не увеличивая трудоемкость изготовления крышки 4. Дополнительные шины 11 электрически соединены между собой на крышке баллона 4 с помощью разводки ФЛГ и имеют один отдельный вывод 10 (см. фиг.3, позиция 10).
На управляющую шину включенной строки подается положительный потенциал и при выключении всех строк, кроме одной, не происходит «гашения» включенной строки, яркость катодолюминесцентного вакуумного индикатора не уменьшается, то есть устраняется один из недостатков. При этом образуется ярко выраженный «коридор» для пролета электронов к включенной строке. Яркость строки при этом значительно увеличивается. Исключается паразитное влияние на яркость включенного пикселя соседних пикселей по строке. Током в положительную шину можно пренебречь в виду его незначительности.
Для этого чтобы избавиться от увеличения напряжения управления с крышки баллона 4, прямонакальные катоды 7 и крышка баллона 4 значительно приближены к анодной плате 3, при этом и напряжение запирания шинами (управляющими электродами) крышки баллона 4 значительно уменьшается.
Количество прямонакальных катодов равно количеству строк анодных электродов плюс один, а располагаются они над изоляторами между строк анодных электродов.
При этом исчезает паразитная полоска, а катодолюминесцентный экран матричного типа приобретает еще дополнительные преимущества:
– большую яркость при большей скважности;
– такой прибор гораздо легче получить полноцветным;
– разводку пикселей анодной платы можно делать, например, серебряной пастой с помощью дешевой и производительной сеткографии (по сравнению с фотолитографией по напыленному алюминию);
– анодная плата становится простой по топологии и имеет всего три слоя (серебряная паста, изолятор и люминофор);
– можно применить «низкие» прямонакальные катоды без сварки, но с запрессовкой в держатели с механизацией процесса;
– малый зазор (меньше 1 мм) между анодной платой и крышкой баллона позволяет обойтись без штабиков с применением только герметика;
– низкие напряжения питания позволяют применять для управления прибором дешевые драйверы, используемые для управления жидкокристаллическими индикаторами;
– низковольтное питание прибора позволяет обойтись без высокой степени вакуума, а значит и без газопоглотителей (гетеров), так как не ионизирует оставшийся в баллоне газ, и, тем более, что оксид бария катодов тоже является поглотителем газа;
– металл прямонакальных катодов, медленно испаряясь, в конце срока службы индикатора образует под прямонакальным катодом тонкую черную полоску из напыленного металла, ухудшающую внешний вид прибора, если она приходится на люминофор. В предлагаемом катодолюминесцентном экране матричного типа такой полоски не видно, так как она приходится на черный изолятор между строк.
Чтобы предлагаемый катодолюминесцентный экран матричного типа имел лучшие параметры, следует соблюдать следующие условия:

Примечание: все размеры рассчитываются относительно основного рекомендуемого размера – шага «а»=1,5 мм.
В данном приборе, безсеточном варианте катодолюминесцентного экрана матричного типа, величину электрического потенциала U2 определяют из следующих соотношений:
или при q>h,
или при q
Возможен второй вариант индикатора, когда на крышке баллона над каждым катодом и параллельно ему расположены дополнительные электрически соединенные между собой узкие шины 11, которые увеличивают эмиссию двух прямонакальных катодов 7 включенной строки (см. фиг.2, поз.11). При этом дополнительные шины 11 отделены гальванически от управляющих электродов и имеют постоянный небольшой положительный электрический потенциал (см. фиг.3, поз.13), не увеличивая трудоемкость изготовления крышки. Дополнительные шины 11 электрически соединены между собой на крышке с помощью разводки ФЛГ и имеют один отдельный вывод (см. фиг.3, поз.13).
На фиг.2 изображен вид катодолюминесцентного экрана матричного типа: вид сбоку.
При этом m, F, a, b удовлетворяют условиям:

где:
m – расстояние между управляющим электродом 8 и шиной 11, вытягивающей электроны и увеличивающей эмиссию прямонакальных катодов 7;
F – ширина дополнительных шин 11, расположенных на крышке баллона 4;
а – шаг прямонакальных катодов;
b – ширина анодных электродов (ширина строк анодных электродов).
В случае катодолюминесцентного экрана матричного типа со знакоместами, например «восьмерками», в динамическом режиме управление знаками с крышки баллона 4 может происходить аналогично матричному варианту, только вместо последовательного переключения строк происходит последовательное переключение знакомест (восьмерок).
Данное изобретение позволяет:
– исключить рамку, а также изготовление ее без рамочных штабиков;
– исключить газопоглотитель;
– исключить паразитное влияние соседних строк и соседних пикселей;
– создать технологический запас по эмиссии катодов (можеторизации) для обеспечения стабильности параметров индикатора;
– получить возможность производства более простой и дешевой анодной платы посредством сеткографии, так как упрощена топология ее;
– исключить в конце срока службы паразитное запыление люминофора испаряемым в вакууме металлом катода, так как такое запыление происходит не на люминофоре, а на изоляторе между строк.
Формула изобретения
1. Катодолюминесцентный экран матричного типа, содержащий внутри прозрачного баллона, состоящего из анодной платы и крышки, анодную плату с расположенными на ней анодными электродами, покрытыми люминофором, прямонакальные катоды и управляющие электроды, выполненные в виде шин и расположенные на крышке баллона ортогонально анодным электродам, образующие светоизлучающие элементы – пиксели, соединенные токоведущими дорожками с внешними выводами через контактные площадки, отличающийся тем, что прямонакальные катоды расположены параллельно управляющим электродам и между ними, количество прямонакальных катодов на единицу превышает количество строк пикселей, при этом расстояния между анодными электродами и прямонакальными катодами, между управляющими электродами и прямонакальными катодами связаны соотношениями d1 d2;
, где d1 – расстояние от управляющих электродов до прямонакальных катодов; d2 – расстояние от анодных электродов до прямонакальных катодов; а – шаг строк пикселей.
2. Катодолюминесцентный экран матричного типа по п.1, отличающийся тем, что над каждым прямонакальным катодом и параллельно им на крышке баллона между управляющими электродами дополнительно расположены электрически соединенные узкие шины, при этом дополнительные шины гальванически отделены от управляющих электродов и имеют постоянный электрический потенциал ~5÷7 В, при этом выполняются следующие соотношения:
 где а – шаг строк пикселей; с – расстояние между управляющими электродами, расположенных на крышке баллона; b – ширина строки пикселей, причем величину электрического потенциала U2 определяют из следующих соотношений:
при q>h; или при qгде q – расстояние от анодных электродов до прямонакальных катодов до изменения расположения катодного узла; h – расстояние от анодного электрода до прямонакального катода после изменения расположения прямонакальных катодов; U1 – напряжение питания анодный электрод – прямонакальный катод до изменения; U2 – напряжение питания анодный электрод – прямонакальный катод после изменения при одинаковой яркости индикаторов.;
3. Катодолюминесцентный экран матричного типа по п.1 или 2, отличающийся тем, что расстояние между управляющим электродом и шиной – m, ширина дополнительных шин на крышке баллона – F, шаг прямонакальных катодов – а, ширина анодных электродов (ширина строки анодных электродов) – b удовлетворяют следующим условиям: m/F 0,75; 2m+F=a-b.
РИСУНКИ
,
|