|
(21), (22) Заявка: 2006136787/09, 18.03.2005
(24) Дата начала отсчета срока действия патента:
18.03.2005
(30) Конвенционный приоритет:
18.03.2004 DE 102004013807.9
(43) Дата публикации заявки: 27.04.2008
(46) Опубликовано: 10.01.2010
(56) Список документов, цитированных в отчете о поиске:
WO 03063088 А2, 31.07.2003. RU 2141738 C1, 20.11.1999. KR 20010037832 А, 15.05.2001. RU 2117991 С1, 20.08.1998. DE 10200495 А1, 10.07.2003. RU 2124271 С1, 27.12.1998. DE 10032409 А1, 08.02.2001.
(85) Дата перевода заявки PCT на национальную фазу:
18.10.2006
(86) Заявка PCT:
DE 2005/000512 20050318
(87) Публикация PCT:
WO 2005/091229 20050929
Адрес для переписки:
103735, Москва, ул.Ильинка, 5/2, ООО “Союзпатент”, пат.пов. С.В.Истомину
|
(72) Автор(ы):
АЛЬФЕРТ Буркхард (DE), БАРТ Рольф-Эдгар (DE), КЕРНДЛЬМАЙЕР Вальтер (DE)
(73) Патентообладатель(и):
Т-МОБИЛЕ ИНТЕРНАЦИОНАЛЬ АГ УНД КО. КГ (DE)
|
(54) ЭЛЕКТРОННАЯ СИСТЕМА СБОРА ДОРОЖНОЙ ПОШЛИНЫ ДЛЯ ПУТЕЙ СООБЩЕНИЯ И СПОСОБ ЕЕ ФУНКЦИОНИРОВАНИЯ
(57) Реферат:
Изобретение относится к электронной системе сбора дорожной пошлины для проезжих дорог и процессу ее функционирования. Техническим результатом является использование для сбора дорожной пошлины имеющихся в наличии систем мобильной радиосвязи и имеющихся у клиентов стандартных мобильных телефонов GSM/UMTS или сравнимых с ними аппаратов, таких как PDA (персональное информационное устройство), автомобильный радиотелефон и прочие, с функцией GSM без произведения изменения программного обеспечения. В каждой сети мобильной радиосвязи посредством организационного канала на радиотелефон передаются данные соответствующих радиоячеек. Доставленная стационарными радиостанциями информация используется для того, чтобы регистрировать в радиотелефоне проезжаемые клиентом системы сбора дорожной пошлины радиоячейки. Собранные вместе данные передаются на центральный пост системы сбора дорожной пошлины. На основании последовательности пройденных радиоячеек, переданной оконечным устройством клиента, которому подлежит оплата дорожной пошлины, можно путем сравнения с банком данных имеющихся в наличии путей сообщения с высокой точностью сделать вывод о том, какой путь сообщения, облагаемый дорожной пошлиной, использовало транспортное средство. 2 н. и 22 з.п. ф-лы, 6 ил.
Область техники, к которой относится изобретение
Изобретение касается электронной системы сбора дорожной пошлины для путей сообщения и способа ее функционирования.
Уровень техники
В Европе возникла интенсивная дискуссия по вопросу оптимальной системы сбора дорожной пошлины, чьи системы готовы для ввода в действие в международном масштабе и чьи системы являются очень рентабельными и гибко универсальными. Данные вопросы касательно желаемых свойств системы до сих пор не могли быть согласованы, так как каждая страна и каждый оператор инфраструктуры имеют свои представления о том, какие системные технологии он хочет использовать или запланирует для исчисления дорожной пошлины.
Все же было бы желательно, и для потребителя путей сообщения в Европе очень выгодно, по меньшей мере, в рамках ЕС добиться согласования действующей системы сбора дорожной пошлины. В частности, страны-участницы ЕС также заняты вопросом о том, какие системы и технологии они должны создать в будущем для исчисления дорожной пошлины.
ЕС стремится, в общем и целом, к внедрению системы сбора информации в отношении владельца транспортного средства и водителя транспортного средства и, соответственно, взаиморасчетов, базирующейся на устройстве, находящемся внутри транспортного средства, т.е. системы внутри транспортного средства, и совместного подсчета всех подлежащих оплате дорожной пошлиной пройденных участков внутри зоны ЕС на базе условий контракта, к примеру, на родине. Лицо, которому подлежит оплата пошлины, должно на основании законодательных и частных условий оплатить свои пошлины/возмещения, если оно хочет воспользоваться транспортной инфраструктурой, облагаемой дорожной пошлиной, или уже воспользовалось ею. Это означает, что лицо, которому подлежит оплата пошлины, имеет обязательства по уплате дорожной пошлины и выбор в отношении того, какой системой воспользоваться для расчетов размера дорожной пошлины.
Одним из значительных успехов в развитии технологий, стандартизации и внедрении на рынок этих новых технологий и продуктов в Европе и во всем мире стал мобильный коммуникационный стандарт GSM. На это развитие, в значительной степени, оказало влияние сотрудничество стран, таких как Франция и Германия, и телекоммуникационной индустрии, что совместно привело к мировому успеху. Таким образом, система GSM исключительно подходит в качестве коммуникационного носителя для системы сбора дорожной пошлины, базирующейся на транспортном средстве.
Документ DE 10104499 А1 раскрывает систему сбора информации по плате за право проезда автомашины по автомагистрали с помощью устройства, установленного на транспортном средстве, для автономного предназначенного для данного транспортного средства определения дорожного сбора для транспортного средства, находящегося внутри зоны расчета за право пользования. С центрального поста оператора, по необходимости, посредством коммуникационного устройства данные, необходимые для определения дорожного сбора, передаются на устройство транспортного средства. Устройство транспортного средства непрерывно определяет приходящийся на данный период времени текущий дорожный сбор за пройденный участок пути и общий дорожный сбор за поездку, посредством сложения отдельных значений текущих дорожных сборов. По достижении конечного пункта поездки или по другим заданным критериям устройство транспортного средства передает определенные на этот момент времени данные по общему дорожному сбору посредством коммуникационного устройства на центральный пост оператора для подведения итогов.
В известной системе сбора дорожной пошлины большую роль играет точность, особенно точное определение местонахождения транспортного средства с помощью спутниковой навигации. Большая часть технологий, частично специально созданных для расчета дорожных пошлин, предназначена для расчетов с высокой точностью. Исчисление пошлины производится в устройстве транспортного средства, что дает поводы для придирок.
Варьируемый способ исчисления дорожной пошлины раскрыт в документе WO 03/063088 А. Этот способ основывается на определении подлежащего оплате отрезка пути, пройденного транспортным средством, посредством определения местоположения с помощью мобильного оконечного устройства, причем здесь точное определение отрезка пути, пройденного транспортным средством, облагаемым пошлиной, также необходимо для последующего расчета дорожной пошлины.
Документы DE 10032409 А1 и WO 01/011571 А1 раскрывают аналогичные системы и способы для расчета дорожной пошлины для транспортных средств, причем здесь осуществляется точное определение местоположения транспортного средства посредством спутниковой локации.
Документ DE 10200495 А1 раскрывает способ автоматического и точного сбора информации данных перемещения автомашин посредством определения местоположения с помощью спутниковой локации.
Сущность изобретения
Задачей изобретения является создание электронной системы сбора дорожной пошлины для путей сообщения, базирующейся на уже имеющихся и широко распространенных технологиях, и может быть широко, быстро и, не требуя больших затрат, реализована во многих странах, а также способ функционирования данной системы.
Эта задача решается в соответствии с изобретением посредством способа, согласно пункту 1 формулы изобретения, а также посредством системы, согласно пункту 17 формулы изобретения.
Предпочтительный вариант исполнения и дальнейшие предпочтительные признаки изобретения представлены в зависимых пунктах формулы изобретения.
Изобретение базируется на идее создания электронной системы сбора дорожной пошлины на базе стандартных мобильных телефонов GSM/UMTS или сравнимых с ними устройств, таких как PDA (персональное информационное устройство), автомобильный радиотелефон и проч. с функцией GSM. Основной идеей является использование для коммуникации клиентов системы сбора дорожных пошлин и оператора системы сбора дорожной пошлины на сегодняшний день уже широко используемой на международном уровне системы мобильной радиосвязи, к примеру, GSM. В соответствии с изобретением в имеющейся системе мобильной радиосвязи и в оконечных приборах не должно производиться никаких изменений технического обеспечения. Имеющиеся оконечные приборы мобильной радиосвязи, радиотелефоны и проч., как правило, имеются у клиента системы сбора дорожной пошлины и могут быть им использованы. Имеющиеся системные интерфейсы для передачи данных, для расчетов пошлин (биллинг) и проч. могут быть использованы без существенных изменений.
В каждой сети мобильной радиосвязи через организационный канал на радиотелефон передаются данные соответствующей радиоячейки (соты), то есть радиотелефон постоянно получает информацию о том, в какой радиоячейке он в данный момент удерживается. Эта передаваемая стационарными радиостанциями информация используется, в соответствии с изобретением, для того, чтобы записывать в радиотелефоне радиоячейки, которые проехал клиент системы сбора дорожной пошлины. Затем собранные данные передаются по различным параметрам, к примеру по времени, online, по запросу клиента и проч., на центральный пост системы сбора дорожной пошлины.
На основании переданного оконечным прибором транспортного средства, облагаемого дорожной пошлиной, перечня пройденных радиоячеек можно путем сравнения с банком данных имеющихся в наличии путей сообщения с высокой точностью выявить, какой дорогой, облагаемой дорожной пошлиной, воспользовалось транспортное средство. Чем длиннее пройденный отрезок пути, тем выше точность учета пройденного пути.
Короткие участки пути, к примеру, на автострадах часто не позволяют производить измерения или позволяют производить их относительно неточно, даже если оператор мобильной радиосети оптимизирует структуру своей сети на представляющихся важными участках автострад. Проверка достоверности, все же, возможна всегда.
Как только будут иметься в распоряжении оконечные устройства со встроенными приемниками спутниковой навигации, к примеру GPS, Galileo, системой спутниковой навигации смогут быть охвачены с высокой точностью и короткие участки дороги. Уже сейчас точность местоположения внутри зоны действия радиоячейки в случае надобности может быть повышена посредством измерений продолжительности движения радиосигнала, передаваемого на оконечное устройство системы сбора дорожной пошлины.
Четкое разделение между операторами транспортной инфраструктуры (при известных условиях монополизированной), действующими на конкурентной основе международными операторами системы по сбору дорожной пошлины, а также национальными и осуществляющими сотрудничество на международном поле операторами сети/сервисными провайдерами является следующим преимуществом изобретения.
В системе сбора дорожной пошлины, в соответствии с изобретением, точность местоположения и, соответственно, использованного лицом, которому подлежит оплата дорожной пошлины, участка дороги, облагаемого дорожной пошлиной, играет зависимую роль, так как основывается на том, что лицо, которому подлежит оплата дорожной пошлины, само отмечает предназначенные для проезда и облагаемые дорожной пошлиной участки дороги, а системе нужно лишь проверить правильность этих данных.
На коротких участках дорог точный расчет с системой сбора дорожной пошлины, в соответствии с изобретением, является сложным. Поэтому на коротких участках дорог либо не взимается дорожная пошлина, так как издержки на процедуру взимания слишком велики, либо взимается определенная сумма.
На длинных участках дорог можно абсолютно достоверно воспроизвести тот факт, что клиент системы сбора дорожной пошлины проехал участок дороги, подлежащий оплате дорожной пошлиной. На длинных участках дорог пошлина будет взиматься посредством предложенной системы сбора дорожной пошлины в качестве конкурентной альтернативы существующим компаниям, осуществляющим сбор дорожной пошлины.
Конечно, участвующие в системе сбора дорожной пошлины органы могут брать на себя многофункциональные роли, к примеру, оператор системы сбора дорожной пошлины может выступать одновременно как GSM – сервисный провайдер и наоборот.
Взимание дорожной пошлины с клиента системы сбора дорожной пошлины осуществляется, предпочтительным образом, через счет мобильного телефона клиента системы сбора дорожной пошлины. Взимание дорожной пошлины может также производиться напрямую оператором системы сбора дорожной пошлины через учет или списание суммы со счета клиента системы дорожной пошлины.
Во время поездки, облагаемой дорожной пошлиной, оператором системы сбора дорожной пошлины могут быть произведены проверки достоверности данных о пройденном отрезке пути, к примеру, посредством обработки данных пройденных радиоячеек и, соответственно, выборочным определением местоположений мобильного оконечного устройства.
В предпочтительном варианте для этого предусмотрены промежуточные контрольные пункты (Checkpoints), которые в отличие от других контрольно-пропускных пунктов очень легко определяются. Промежуточные контрольные пункты могут быть по количеству и по месту определены индивидуально для каждой поездки, подлежащей оплате пошлиной, без уведомления об этом водителей транспортных средств, облагаемых дорожной пошлиной. Это в значительной степени препятствует мошенничеству и вредительству в отношении существующих систем.
Улучшенная проверка достоверности данных о поездке, подлежащей оплате пошлиной, возможна, к примеру, благодаря установке так называемых «запрещающих промежуточных контрольных пунктов» (Blacklist-Checkpoints), то есть контрольных пунктов (радиоячеек), которые клиент системы сбора дорожной пошлины не может проехать на своем транспортном средстве. Центральный пост системы сбора дорожной пошлины может призвать оконечное устройство незамедлительно уведомить его о случайном проезде определенных «слабых» мест, не принадлежащих к заявленному участку дороги, облагаемого пошлиной.
В дальнейшем допустимо наличие архитектуры, при которой в обход оператора системы сбора дорожной пошлины, могут быть задействованы прямые интерфейсы между операторами инфраструктуры и операторами мобильной радиосвязи, к примеру, для точного определения местоположения транспортного средства. Может быть предусмотрена архитектура, при которой информационный центр в конкурентных ситуациях будет различать коммутации, соответственно, различных операторов мобильной радиосвязи и операторов системы сбора дорожной пошлины и/или операторов системы сбора дорожной пошлины и операторов инфраструктуры.
Для коммуникации между клиентами системы сбора дорожной пошлины и центральным постом системы сбора дорожной пошлины может служить любая комбинация используемых механизмов мобильной радиосвязи, таких как SMS, GPRS, Voice. К примеру, может быть предусмотрена облегченная передача данных посредством языкового меню или IVR-портала (Interactive Voice Recognition) с ответом в форме «SMS-конфигурации или SMS-подтверждения».
Возможны разнообразнейшие системные расширения посредством использования дополнительных функций. К примеру, информация о временном прекращении движения или изменении маршрута может передаваться через оконечное устройство на центральный пост системы сбора дорожной пошлины.
Переданная клиентом системы сбора дорожной пошлины на центральный пост системы сбора дорожной пошлины информация по заявке может быть переконфигурирована через Интернет-портал для того, чтобы защитить и облегчить последующую передачу данных через мобильный телефон. К примеру, часто проезжаемые клиентом системы сбора дорожной пошлины участки пути могут быть жестко зафиксированы и затребованы по справочному номеру. Потом будет достаточно только передачи справочного номера на центральный пост системы сбора дорожной пошлины для того, чтобы отметить точный маршрут.
С другой стороны, базирующиеся на мобильной радиосвязи коммуникационные отношения между центральным постом системы сбора дорожной пошлины и оконечным прибором системы сбора дорожной пошлины могут быть использованы для передачи транспортной информации, информации по управлению движением (к примеру, льготная цена для специальных маршрутов), информации о погоде и проч. на оконечное устройство клиента системы сбора дорожной пошлины.
В зависимости от потребности в качестве оконечного устройства системы сбора дорожной пошлины может быть задействован стандартный мобильный телефон или специальный мобильный телефон, то есть мобильный телефон со специальным удобным обслуживанием для клиентов или недорогой мобильный телефон с меньшим набором функций.
Выгодным образом проявляет себя распространенная на территории ЕС и выходящая за его пределы функция коммуникационных компонентов без затрат на инфраструктуру посредством использования существующих механизмов SMS-роуминга с тем преимуществом, что при нахождении за границей не требуется никаких специфических устройств (On-Board Units) для взаимодействия с системой сбора дорожной пошлины.
Соединение между оператором мобильной радиосвязи и оператором системы сбора дорожной пошлины для сбора данных и взимания платы может полностью осуществляться через уже имеющиеся в среде мобильной радиосвязи интерфейсы.
Клиент системы сбора дорожной пошлины может использовать существующий стандарт договоров услуг мобильной радиосвязи для учета дорожной пошлины. Для этого подходят договора на услуги мобильной связи различных форм, такие как договора кредита/аванса, индивидуальные договора, к примеру, для частных предпринимателей и для дорожной пошлины на легковые автомобили, типовые договора для транспортно-экспедиционных агентств и т.д.
Оператор системы сбора дорожной пошлины может также в системе функционирования провайдера GSM-сервиса выдавать собственные карты системы сбора дорожной пошлины (SIM-карты) без необходимости создания собственной GSM-инфраструктуры.
Чистое распределение ролей между GSM-оператором, оператором системы сбора дорожной пошлины и оператором инфраструктуры позволяет широкомасштабное соревнование с ориентированием на клиента, как касательно отношений с GSM-клиентами, так и касательно отношений с клиентами системы сбора дорожной пошлины.
Система может быть также выгодным образом введена в действие как дополнение к существующим системам сбора дорожной пошлины, однако также предназначена служить в качестве базисного компонента для стран без существующей инфраструктуры системы сбора дорожных пошлин, так как устанавливается быстро и с малыми затратами.
Краткое описание чертежей
Пример исполнения изобретения описывается далее более подробно на основании чертежей. Из данного описания выявляются дальнейшие признаки, преимущества и возможности для применения изобретения.
Фиг.1 демонстрирует схематичное изображение сторон, участвующих в системе сбора дорожных пошлин, в соответствии с изобретением;
Фиг.2 демонстрирует схему последовательности операций по учету дорожной пошлины;
Фиг.3-6 демонстрируют различные показательные примеры результатов окончательной обработки списка пройденных радиоячеек, представленного оконечным прибором системы сбора дорожной пошлины на центральный пост системы сбора дорожной пошлины.
Подробное описание изобретения
Говоря об описанной системе сбора дорожной пошлины, речь идет о системе сбора дорожной пошлины, базирующейся на используемой в международном пространстве системе мобильной радиосвязи. Здесь могут быть использованы GSM, UMTS или другие аналогичные сотовые системы мобильной радиосвязи, которые в дальнейшем будут как синоним обозначаться GSM. Система сбора дорожной пошлины подходит для всех видов путей сообщения, как, например, для проезжей части улицы или автомагистрали, водных путей, рельсовых путей, и для всех видов транспортных средств, которые используют эти пути сообщения. Система сбора дорожной пошлины может быть выстроена как самостоятельная система или как надстроечная система по отношению к существующей системе сбора дорожной пошлины.
Для реализации системы сбора дорожной пошлины предусмотрены следующие составляющие:
Устройство сбора дорожной пошлины:
В качестве устройства сбора дорожной пошлины преимущественным образом применяется оконечное устройство мобильной радиосвязи стандарта GSM клиента мобильной радиосвязи, который используется для учета дорожной пошлины в транспортном средстве, которому подлежит оплата дорожной пошлины. Мобильный телефон в качестве оконечного устройства транспортного средства (On-Board Unit) содержит приложение для клиентов системы сбора дорожной пошлины в альтернативных вариантах:
– на стандартной SIM (SAT-приложение)
– на специальной SIM
– в качестве приложения к программному обеспечению в мобильном телефоне (к примеру, Java Applet)
– в качестве специфического микропрограммного обеспечения прибора (в случае специальных оконечных приборов системы сбора дорожной пошлины)
– как дополнительный модуль аппаратного обеспечения/программного обеспечения.
Устройство системы сбора дорожной пошлины имеет следующие задачи:
– уведомление о начале и конце (Stop/Start) поездки, облагаемой дорожной пошлиной (вручную или автоматически)
– учет пройденных радиоячеек и передача списка учтенных радиоячеек на центральный пост системы сбора дорожной пошлины. В качестве информации о местоположении радиоячеек в GSM используется Cell Global ID (CGI) и, соответственно, в UMTS Service Area ID (SAI). Уведомление может происходить через регулярные интервалы, по требованию и/или по окончании поездки.
– уведомление о проезде точек контрольных пунктов радиоячеек, которые были обозначены центральным постом системы сбора дорожной пошлины при уведомлении о начале поездки или во время поездки
– в случае необходимости, своевременное уведомление о местоположении по запросу через центральный пост системы сбора дорожной пошлины.
Центральный пост системы сбора дорожной пошлины:
Центральный пост системы сбора дорожной пошлины является техническим устройством оператора системы сбора дорожной пошлины, которое предоставляет технические интерфейсы участвующим в системе сбора дорожной пошлины партнерам, в особенности операторам мобильной сети радиосвязи, операторам транспортной инфраструктуры, контролирующим службам (постам обязательного исполнения) и т.д.
Центральный пост системы сбора дорожной пошлины выполняет функции:
– участника процесса коммуникации для клиента системы для записи поездок, подлежащих оплате дорожной пошлиной,
– расчета пошлины/возмещения в отношении клиента системы сбора дорожной пошлины и взимание пошлины, к примеру, через оператора мобильной связи,
– расчета дорожной пошлины в отношении операторов дорожной инфраструктуры,
– предоставления информации об учтенных поездках, подлежащих оплате дорожной пошлиной/проездах через пункты контроля операторам дорожной инфраструктуры касательно контролируемых служб (пунктов обязательного исполнения).
Сети мобильной радиосвязи:
Осуществляется использование существующих сетей мобильной радиосвязи для:
– международно-функционирующей коммуникации между оконечным устройством системы сбора дорожной пошлины и оператором системы сбора дорожной пошлины
– сообщения о местонахождении оконечного устройства системы сбора дорожной пошлины
– расчета поездки, подлежащей оплате дорожной пошлиной, к примеру, через расчет мобильной радиосвязи.
Промежуточные контрольные пункты:
Промежуточный контрольный пункт (Checkpoint) – это место контроля оператора инфраструктуры. При обычных системах сборов за проезд ими являются, к примеру, автодорожные эстакады с камерами для автоматического учета номерных знаков всех проходящих транспортных средств. В рамках этого изобретения, в принципе, любая ячейка мобильной радиосвязи может служить в качестве контрольного пункта и может индивидуально определяться для каждого клиента системы и для каждой поездки. Как правило, на небольшом расстоянии сзади контрольного пункта предусматривается место принудительного исполнения (выезд или стоянка), на которое могут быть отведены провинившиеся по оплате дорожной пошлины или неоднозначно идентифицированные транспортные средства.
Фиг.1 показывает, как вышеуказанные составляющие взаимодействуют в плане модульной архитектуры со сторонами-участниками процесса, задачами и интерфейсами:
Клиент 1 мобильной радиосвязи:
Клиентом 1 мобильной радиосвязи является клиент по договору оператора сети GSM или сервисного провайдера, через учет мобильной радиосвязи которого должен осуществляться расчет дорожной пошлины.
Клиент 2 системы сбора дорожной пошлины:
Клиентом 2 системы сбора дорожной пошлины является владелец/водитель транспортного средства, которому подлежит оплата дорожной пошлины и который, как правило, идентичен или находится в тесной связи с клиентом мобильной радиосвязи 1. Клиент системы сбора дорожной пошлины является временным партнером по договору оператора системы сбора дорожной пошлины на время поездки, облагаемой дорожной пошлиной. Клиент системы сбора дорожной пошлины предварительно регистрирует поездку, облагаемую дорожной пошлиной, и сообщает о начале и окончании поездки на центральный пост системы сбора дорожной пошлины.
Оператор 3 сети мобильной радиосвязи:
Оператором 3 сети мобильной радиосвязи является оператор сети страны проживания клиента мобильной радиосвязи, который имеет с последним договорные отношения. Он предоставляет в распоряжение оператора системы сбора дорожной пошлины технические интерфейсы и позволяет осуществлять передачу данных (к примеру, через SMS, GPRS или Voice) или биллинг (к примеру, через интерфейс PayPerEvent). Оператор сети мобильной радиосвязи при поездках за границу осуществляет роуминг в другие сети мобильной радиосвязи.
Оператор 3а сети роуминга:
Оператором 3а сети роуминга является оператор сети, через сеть которого производится коммуникация с устройством системы сбора дорожной пошлины, когда транспортное средство находится за границей. Между оператором 3 сети страны проживания и операторами 3а сети роуминга распространяются договора роуминга стандарта GSM касательно технической связи и международных операционных расчетов. Оператор сети роуминга осуществляет соединение посредством мобильной радиосвязи с оконечным устройством системы сбора дорожной пошлины за границей и осуществляет далее передачу данных оператору сети страны проживания. Он рассчитывается с оператором сети страны проживания по существующим системам работы роуминга.
Оператор 4 системы сбора дорожной пошлины:
Оператор 4 системы сбора дорожной пошлины задействует один или несколько центральных постов системы сбора дорожной пошлины и осуществляет операции по сбору дорожной пошлины в отношении клиента 1 системы сбора дорожной пошлины посредством оператора 3 сети мобильной радиосвязи страны проживания и в отношении оператора 5 транспортной инфраструктуры. На время продолжительности поездки, облагаемой дорожной пошлиной, он имеет договорные отношения с клиентом 1 системы сбора дорожной пошлины, к примеру, посредством подтверждения через купон SMS. Далее оператор системы сбора дорожной пошлины имеет договорные отношения и обслуживает технические интерфейсы тех операторов сети мобильной радиосвязи, через которых он хочет осуществить операции в системе сбора дорожной пошлины. Кроме того, оператор системы сбора дорожной пошлины имеет договорные отношения со всеми значимыми операторами 5 инфраструктуры и вознаграждает их за все осуществленные через них поездки, подлежащие оплате дорожной пошлиной, и предоставляет все технические интерфейсы для поддержки «принудительного исполнения», к примеру, посредством уведомления о проездах контрольных пунктов, запроса касательно специальных транспортных средств и купона дорожной пошлины. Оператор системы сбора дорожной пошлины может установить отдельные контрольные пункты, к примеру, также по требованию/по заданию оператора инфраструктуры.
Оператор 5 транспортной инфраструктуры:
Операторы 5 транспортной инфраструктуры устанавливают уличную инфраструктуру и осуществляют независимую или гражданско-правовую задачу «принудительного исполнения», т.е. задачу контроля транспортного средства в местах принудительного исполнения либо по собственной инициативе, либо они уполномочены на это юридически.
Место 6 принудительного исполнения:
Место 6 принудительного исполнения проводит транспортный контроль на месте для идентификации нарушителей по оплате дорожной пошлины и принятия мер против них; в городской инфраструктуре данные функции, к примеру, выполняет автодорожная полиция.
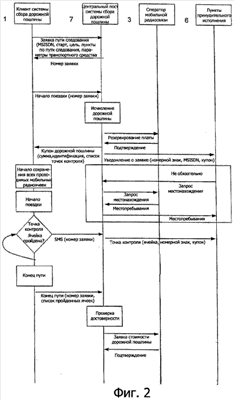
На основании Фиг.2 дается описание принципиальной последовательности процесса учета дорожной пошлины:
Перед началом каждой поездки, предусматривающей прохождение участков пути, облагаемых дорожной пошлиной, клиент 1 системы сбора дорожной пошлины сообщает запланированный маршрут поездки на центральный пост 7 системы сбора дорожной пошлины оператора 4 системы сбора дорожной пошлины. Эта «заявка» может производиться через различные коммуникационные входы. Среди прочего, в данном случае, возможна передача SMS, соединение через каналы передачи данных сети мобильной радиосвязи, использование голосового входа с IVR-системой или доступ через Интернет. При уведомлении/заявке клиент передает преимущественным образом следующее содержание:
– свою идентичность, к примеру, в форме номера мобильного телефона (MSISDN) или в форме другой, понятной оператору системы сбора дорожной пошлины ссылки на идентичность или на MSISDN (номер участника мобильной радиосвязи в стационарной телефонной сети) клиента системы сбора дорожной пошлины
– существенные для исчисления дорожной пошлины данные транспортного средства, к примеру тип транспортного средства, количество мостов, вес, класс огнеопасности и т.д., или понятная оператору системы ссылка на эти данные
– номерной знак, регистрационный номер или другой характерный для страны или изначально однозначный признак транспортного средства
– исходная точка поездки
– в случае необходимости пункты на пути следования для идентификации альтернативного маршрута
– местоположение конечной точки поездки
– запланированное время начала поездки.
Если время подачи заявки и запланированное время начала поездки по времени значительно отстоят друг от друга, то клиенту с центрального поста 7 системы сбора дорожной пошлины на надлежащее оконечное устройство передается ссылка по заявке.
Непосредственно перед началом поездки клиент 1 системы сбора дорожной пошлины передает ссылку по заявке на центральный пост 7 системы сбора дорожной пошлины.
Если заявка производится непосредственно перед началом поездки, то передача ссылки по заявке клиенту 1 системы сбора дорожной пошлины может не производиться. В этом случае можно продолжать движение непосредственно на следующем участке пути.
При получении ссылки по заявке или при заявке непосредственно перед началом пути центральный пост 7 системы сбора дорожной пошлины рассчитывает предназначенную для взимания дорожную пошлину и передает клиенту системы сбора дорожной пошлины посредством SMS или по каналу передачи данных сети мобильной радиосвязи следующие данные:
– размер дорожной пошлины
– перечень данных, именуемый далее как «купон дорожной пошлины», который содержит существенную информацию по заявке (по меньшей мере, исходную точку начала поездки, местоположение цели, номерной знак) и защищен от махинаций посредством признанного надежным на сегодняшний момент механизма (цифровая подпись оператора системы сбора дорожной пошлины)
– список мобильных радиоячеек (идентифицированных, к примеру, через CGI), которые определяются как «контрольные точки».
Поскольку дорожная пошлина рассчитывается посредством расчета мобильной радиосвязи клиента мобильной радиосвязи, то оператор системы сбора дорожной пошлины со стороны центрального поста системы сбора дорожной пошлины испрашивает подтверждающее уведомление о резервировании оплаты (предварительное обещание о предоставлении страхового обеспечения), что на сегодняшний момент позволяют осуществить PayPerEvent-интерфейсы в качестве 1-го шага «2-фазной платежной сделки».
Во время поездки оконечный прибор регистрирует и сохраняет идентификационные данные (CGI) всех пройденных мобильных радиоячеек.
Если оконечный прибор регистрирует мобильную радиоячейку, которая указана в списке контрольных пунктов, то он безотлагательно передает содержание купона дорожной пошлины на центральный пост 7 системы сбора дорожной пошлины. Последний направляет все принятые купоны далее на актуальные для соответствующего контрольного пункта места принудительного исполнения. Это позволяет пунктам принудительного исполнения на основании переданных данных (особенно номерного знака автомобиля) надежно идентифицировать все транспортные средства, которые оплатили дорожную пошлину.
Если клиент хочет изменить маршрут движения, то он может сделать это посредством передачи следующих данных на центральный пост системы сбора дорожной пошлины:
– купон дорожной пошлины
– измененные пункты следования по сравнению с предыдущим маршрутом движения. В альтернативном варианте запасные маршруты могут быть представлены еще в заявке или могут быть предложены центральным постом системы сбора дорожной пошлины. Соответственно, тогда следует только передать ссылку.
Во время поездки пункты принудительного исполнения могут по местоположению клиента системы сбора дорожной пошлины через оператора мобильной радиосвязи установить, включил ли клиент свое оконечное устройство и поддерживается ли он идентифицируемой мобильной радиоячейкой. Пеленгация может быть усовершенствована посредством применения известных способов определения времени пробега или посредством спутниковой навигации.
Когда клиент достигает цели, то он передает на центральный пост системы сбора дорожной пошлины сообщение следующего содержания:
– купон дорожной пошлины
– список всех пройденных мобильных радиоячеек.
На центральном посту 7 системы сбора дорожной пошлины с помощью пройденных сот может быть проверена достоверность маршрута следования. Надежность проверки достоверности повышается с увеличением количества пройденных сот. Если проверка достоверности дает негативный результат, то соответствующие пункты принудительного исполнения 6 могут быть проинформированы об этом.
Если проверка достоверности произведена успешно, дорожная пошлина может быть удержана через оператора мобильной радиосвязи 3, как правило, в качестве 2-го шага «2-фазной платежной сделки». В альтернативном варианте оператор системы сбора дорожной пошлины может напрямую рассчитаться с клиентом.
На Фиг. с 3 по 6 представлены различные ситуации, которые могут выявлять окончательную обработку представленного оконечным прибором на центральный пост системы сбора дорожной пошлины списка пройденных сот. Соответственно предполагается, что клиент системы сбора дорожной пошлины отметил участок АВ. Отдельные радиоячейки (соты) изображены кругами или овалами. Зарегистрированные прибором системы сбора дорожной пошлины, т.е. действительно пройденные клиентом системы сбора дорожной пошлины, радиоячейки отмечены серым цветом.
Фиг.3 демонстрирует случай успешной проверки достоверности. Список представленных прибором системы сбора дорожной пошлины ячеек сопрягается в рамках допустимого дробления (точности) с указанным отрезком пути АВ.
Фиг.4 демонстрирует случай, при котором проверка достоверности выявляет более длинный, чем первоначально указанный в заявке, отрезок пути. Список обратно уведомленных ячеек однозначно показывает в рамках допустимого дробления, что был пройден следующий участок пути, сверх указанных первоначально. В этом случае клиент системы сбора дорожной пошлины производит оплату за фактически пройденные участки пути.
Согласно Фиг.5 проверка достоверности показывает, что во время поездки порой не производился учет дорожной пошлины оконечным устройством системы сбора дорожной пошлины, к примеру, из-за преднамеренного отключения (отсутствует более длинный промежуточный участок), из-за краткосрочной потери покрытия сети (отсутствуют отдельные соты) или вследствие порчи устройства системы сбора дорожной пошлины. В зависимости от конкретной ситуации оператор системы сбора дорожной пошлины может реагировать различным образом. Если контрольные пункты находились на неучтенных участках, то местные службы принудительного исполнения могут быть автоматически призваны для контроля клиента, так как оконечное устройство системы сбора дорожной пошлины не уведомил о проезде, как было согласовано (не было поступления определенного чека, который бы предоставлял право свободного проезда).
Согласно Фиг.6 проверка достоверности показывает, что наряду с заявленным участком АВ были пройдены другие промежуточные участки, которые в представленном примере были учтены как «сверхштатные» радиоячейки. В зависимости от количества уведомленных сверхштатных радиоячеек, оператор системы сбора дорожной пошлины может сделать вывод о том, что подлежащий оплате дорожной пошлиной участок пути был покинут только кратковременно, к примеру, в целях заправки или отдыха, или же был использован другой, не заявленный участок дороги, подлежащий оплате дорожной пошлиной.
Формула изобретения
1. Способ функционирования электронной системы сбора дорожной пошлины для путей сообщения при использовании, по меньшей мере, сотовой, содержащей в себе большое количество мобильных радиоячеек мобильной коммуникационной системы, оконечного устройства системы сбора дорожной пошлины у клиента (1) системы сбора дорожной пошлины совместимое с мобильной коммуникационной системой и, по меньшей мере, центрального поста (7) системы сбора дорожной пошлины, предназначенного для проведения операций по сбору дорожной пошлины между клиентом (1) системы сбора дорожной пошлины и оператором (4) системы сбора дорожной пошлины, причем процесс включает в себя следующие этапы: регистрацию клиента (1) системы сбора дорожной пошлины, с помощью оконечного устройства системы сбора дорожной пошлины, на центральном посту (7) системы сбора дорожной пошлины перед началом поездки по участкам пути, подлежащим оплате дорожной пошлиной, посредством передачи данных идентификации клиента (1) системы сбора дорожной пошлины, и заявки участка пути, подлежащего оплате дорожной пошлиной, посредством передачи данных о запланированном участке пути, причем данные включают в себя, по меньшей мере, исходную точку начала пути и цель поездки, учет и сохранение в оконечном устройстве системы сбора дорожной пошлины списка достаточного количества пройденных во время поездки мобильных радиоячеек для дальнейшей проверки заявленного участка пути, подлежащего оплате дорожной пошлиной, передача сообщения с оконечного устройства системы сбора дорожной пошлины на центральный пост (7) системы сбора дорожной пошлины по окончании поездки, причем сообщение включает в себя список учтенных и сохраненных мобильных радиоячеек, проверка заявленного участка пути, подлежащего оплате дорожной пошлиной, центральным постом (7) системы сбора дорожной пошлины на основании сравнения списка мобильных радиоячеек и данных о маршруте пути, подлежащего оплате дорожной пошлиной, и расчет дорожной пошлины, взимаемой с клиента (1) системы сбора дорожной пошлины на основании заявленного участка пути и заданных тарификационных данных.
2. Способ по п.1, отличающийся тем, что после того, как клиент (1) системы сбора дорожной пошлины зарегистрировался на центральном пункте (7) системы сбора дорожной пошлины, на оконечное устройство системы сбора дорожной пошлины с центрального поста (7) системы сбора дорожной пошлины передается информация по заявке и/или по дорожной пошлине.
3. Способ по одному из пп.1 или 2, отличающийся тем, что центральный пост (7) системы сбора дорожной пошлины при получении информации по заявке или при заявке непосредственно перед началом поездки рассчитывает величину взимаемой дорожной пошлины и передает ее вместе с купоном дорожной пошлины на оконечное устройство системы сбора дорожной пошлины клиента (1) системы сбора дорожной пошлины.
4. Способ по п.3, отличающийся тем, что купон дорожной пошлины содержит важную информацию заявки в форме исходной точки начала пути, цели поездки, номерного знака.
5. Способ по п.1, отличающийся тем, что при регистрации с оконечного устройства системы сбора дорожной пошлины клиента (1) системы сбора дорожной пошлины на центральный пост системы сбора дорожной пошлины передаются следующие дополнительные данные: данные по транспортному средству для расчета величины дорожной пошлины; однозначная идентификация транспортного средства; при необходимости, пункты по пути следования для идентификации альтернативных маршрутов; запланированное время начала поездки.
6. Способ по п.1, отличающийся тем, что с центрального поста (7) системы сбора дорожной пошлины (7) вдоль заявленных участков пути, подлежащих оплате дорожной пошлиной, определяются один или несколько промежуточных контрольных пунктов (Checkpoints), которые соответствуют одной или нескольким находящимся на отрезке пути, подлежащем оплате дорожной пошлиной, мобильным радиоячейкам, причем список промежуточных контрольных пунктов передается на оконечное устройство системы сбора дорожной пошлины.
7. Способ по п.1, отличающийся тем, что центральным постом (7) системы сбора дорожной пошлины определяются запрещенные промежуточные контрольные пункты, которые не должны быть пройдены клиентом (1) системы сбора дорожной пошлины.
8. Способ по одному из пп.6 или 7, отличающийся тем, что оконечное устройство системы сбора дорожной пошлины при учете мобильной радиоячейки, соответствующей промежуточному контрольному пункту или запрещенному промежуточному контрольному пункту, своевременно передает содержание купона дорожной пошлины или другую однозначную ссылку на заявленный участок пути, облагаемый дорожной пошлиной, на центральный пост (7) системы сбора дорожной пошлины.
9. Способ по п.8, отличающийся тем, что центральный пост (7) системы сбора дорожной пошлины передает полученный купон дорожной пошлины или часть его данных, имеющих для пункта (6) принудительного исполнения важное значение, далее на пункт (6) принудительного исполнения, относящийся к соответствующему промежуточному контрольному пункту.
10. Способ по п.6, отличающийся тем, что изменение заявленного отрезка пути, облагаемого дорожной пошлиной, осуществляется клиентом (1) системы сбора дорожной пошлины посредством передачи купона дорожной пошлины и в зависимости от пунктов следования, измененных по отношению с прежнему отрезку пути.
11. Способ по п.6, отличающийся тем, что переданное при достижении цели поездки на центральный пост (7) системы сбора информации сообщение включает в себя дополнительно купон дорожной пошлины.
12. Способ по п.1, отличающийся тем, что передача информации между оконечным устройством системы сбора дорожной пошлины и центральным постом (7) системы сбора дорожной пошлины осуществляется посредством мобильной коммуникационной системы и/или других беспроводных или проводных информационных систем.
13. Способ по п.1, отличающийся тем, что размер дорожной пошлины вычисляется посредством расчета мобильной радиосвязи соединенного с клиентом (1) системы сбора дорожной пошлины клиента (2) мобильной радиосвязи.
14. Способ по п.1, отличающийся тем, что по определению местоположения оконечного прибора системы сбора дорожной пошлины через оператора (3) мобильной радиосвязи устанавливается, включил ли клиент (1) системы сбора дорожной пошлины свое оконечное устройство системы сбора дорожной пошлины и находится ли он в идентифицируемой ячейке.
15. Способ по п.14, отличающийся тем, что определение местоположения оконечного устройства системы сбора дорожной пошлины осуществляется посредством измерения времени распространения мобильных радиосигналов.
16. Способ по п.14, отличающийся тем, что определение местоположения оконечного устройства системы сбора дорожной пошлины осуществляется посредством спутниковой локации.
17. Электронная система сбора дорожной пошлины для путей сообщения, использующая, по меньшей мере, сотовую, содержащую в себе большое количество мобильных радиоячеек мобильную коммуникационную систему, и состоящая, по меньшей мере, из оконечного устройства системы сбора дорожной пошлины со стороны клиента (1) системы сбора дорожной пошлины, совместимой с мобильной коммуникационной системой оконечного прибора и центрального поста (7) системы сбора дорожной пошлины, предназначенного для проведения операций по сбору дорожной пошлины между клиентом (1) системы сбора дорожной пошлины и оператором (4) системы сбора дорожной пошлины, отличающаяся тем, что система включает в себя следующие компоненты. накопитель данных на центральном посту (7) системы сбора дорожной пошлины, предназначенный для сохранения идентификационных данных клиента (1) системы сбора дорожной пошлины и заявленного участка пути, облагаемого дорожной пошлиной, на основании данных о запланированном участке пути, причем данные, содержат в себе, по меньшей мере, информацию об исходной точке начала пути и местоположении цели поездки, накопитель данных в оконечном устройстве системы сбора дорожной пошлины, предназначенный для сохранения списка достаточного количества мобильных радиоячеек, пройденных во время поездки и учтенных оконечным устройством системы сбора дорожной пошлины, для дальнейшей проверки заявленного участка пути, облагаемого дорожной пошлиной, устройство передачи в оконечном приборе системы сбора дорожной пошлины, предназначенное для передачи на центральный пост (7) системы сбора дорожной пошлины списка учтенных и сохраненных мобильных радиоячеек, устройство обработки данных на центральном посту (7) системы сбора дорожной пошлины, предназначенное для проверки заявленного клиентом системы сбора дорожной пошлины участка пути, облагаемого дорожной пошлиной, на основании сравнения списка мобильных радиоячеек и данных о маршруте пути, облагаемом дорожной пошлиной, и вычислительное устройство, предназначенное для расчета взимаемой с клиента (1) системы сбора дорожной пошлины суммы дорожной пошлины на основании заявленного участка пути, облагаемого дорожной пошлиной, и заданных тарификационных данных.
18. Система по п.17, отличающаяся тем, что используемое клиентом (1) системы сбора дорожной пошлины оконечное устройство содержит SIM-карту, снабженную прикладной программой для клиента системы сбора дорожной пошлины (Maul-Client Applikation) для учета пройденных радиоячеек и передачи списка учтенных радиоячеек на центральный пост системы сбора дорожной пошлины.
19. Система по п.17, отличающаяся тем, что используемое клиентом (1) системы сбора дорожной пошлины оконечное устройство содержит SIM-карту стандарта SIM, прикладная программа которой для клиента системы сбора дорожной пошлины (Maw-Client Applikation) реализована в форме прикладной программы SAT (SAT-Applikation).
20. Система по п.17, отличающаяся тем, что используемое клиентом системы сбора дорожной пошлины (1) оконечное устройство содержит в себе прикладное программное обеспечение, предназначенное для работы с системой сбора дорожной пошлины, в частности, Java Applet.
21. Система по п.17, отличающаяся тем, что передаваемая клиентом (1) системы сбора дорожной пошлины на центральный пост (7) системы сбора дорожной пошлины информация по заявке переконфигурируется через Интернет-портал для того, чтобы поддержать и облегчить дальнейший ввод данных посредством оконечного устройства системы сбора дорожной пошлины.
22. Система по любому из пп.17-21, отличающаяся тем, что часто проезжаемые клиентом (1) системы сбора дорожной пошлины участки дороги, облагаемые дорожной пошлиной, на центральном посту (7) системы сбора дорожной пошлины жестко фиксируются и могут быть затребованы по справочному номеру.
23. Система по п.17, отличающаяся тем, что для перепроверки соблюдения заявленного участка пути, облагаемого дорожной пошлиной, предназначены промежуточные контрольные пункты (Checkpoints), которые определены в количестве и месте соответственно индивидуально для каждого участка дороги, облагаемого дорожной пошлиной, без предоставления сведений об этом клиенту (1) системы сбора дорожной пошлины.
24. Система по п.17, отличающаяся тем, что для перепроверки соблюдения заявленного участка пути, облагаемого дорожной пошлиной, содержит устройства, предназначенные для предоставления информации об учтенных поездках, облагаемых дорожной пошлиной, и/или о проездах контрольных пунктов операторов (5) уличной инфраструктуры (5) относительно контролируемых служб (пункты принудительного исполнения 6).
РИСУНКИ
|