|
(21), (22) Заявка: 2008123343/28, 09.06.2008
(24) Дата начала отсчета срока действия патента:
09.06.2008
(46) Опубликовано: 10.01.2010
(56) Список документов, цитированных в отчете о поиске:
RU 2178629 C1, 20.01.2002. RU 2196341 C1, 10.01.2003. RU 2329474 C2, 20.07.2008. RU 28257 U1, 10.03.2003. US 4173008 A, 30.10.1973.
Адрес для переписки:
690950, г.Владивосток, ул. Суханова, 5а, ИПМТ ДВО РАН, отдел интеллектуальной собственности
|
(72) Автор(ы):
Матвиенко Юрий Викторович (RU), Рылов Николай Иванович (RU), Рылов Роман Николаевич (RU)
(73) Патентообладатель(и):
Институт проблем морских технологий Дальневосточного отделения Российской академии наук (статус государственного учреждения) (ИПМТ ДВО РАН) (RU)
|
(54) СПОСОБ ОПРЕДЕЛЕНИЯ ГОРИЗОНТАЛЬНЫХ КООРДИНАТ НЕПОДВИЖНОГО ПОДВОДНОГО ИСТОЧНИКА ГИДРОАКУСТИЧЕСКИХ НАВИГАЦИОННЫХ СИГНАЛОВ
(57) Реферат:
Изобретение относится к средствам подводной навигации, в частности к определению местоположения или для точной координатной привязки точек постановки стационарных маяков гидроакустических навигационных систем, стартовых точек или точек зависания автономных подводных роботов и других подводных технических средств, оснащенных источниками навигационных сигналов. Способ определения горизонтальных координат неподвижного подводного источника гидроакустических навигационных сигналов заключается в том, что в окрестности места постановки источника гидроакустических навигационных сигналов буксируют гидроакустическую приемную антенну. Измеряют время распространения гидроакустических навигационных сигналов в точках нахождения приемной антенны. Фиксируют текущие координаты буксируемой антенны в момент приема навигационных сигналов. Полученную информацию записывают и по ней вычисляют координаты неподвижного подводного источника. При этом буксируемую гидроакустическую приемную антенну перемещают произвольными галсами, охватывающими с различных направлений окрестность места постановки неподвижного подводного источника гидроакустических навигационных сигналов. Зафиксированные координаты приемной антенны, полученные на произвольных галсах, формируют в группы, равноудаленные от неподвижного подводного источника навигационных сигналов в соответствии с измеренными временами распространения навигационных сигналов. Затем для каждой группы равноудаленных координатных отсчетов, если их число не менее трех, оценивают горизонтальные координаты источника Хk, Yk. Технический результат заявленного изобретения заключается в снижении погрешности определения горизонтальных координат неподвижного подводного источника гидроакустических навигационных сигналов в условиях неопределенной гидрологии и уменьшении времени выполнения координирования. 1 ил.
Изобретение относится к средствам подводной навигации, в частности к определению местоположения или для точной координатной привязки точек постановки стационарных маяков гидроакустических навигационных систем, стартовых точек или точек зависания автономных подводных роботов и других подводных технических средств, оснащенных источниками гидроакустических навигационных сигналов.
Общеизвестен способ определения координат мест установки стационарных донных гидроакустических маяков, оснащенных источником гидроакустических навигационных сигналов, в котором определение координат выполняется с борта обеспечивающего судна с использованием судовой гидроакустической антенны для приема этих гидроакустических навигационных сигналов. В известном способе синхронно измеряются текущие координаты судовой антенны, буксируемой движущимся судном, и наклонные дальности между источником и приемной антенной. Для реализации способа судно выполняет специальные прямолинейные галсы вблизи точки постановки маяка и рассчитывают координаты маяка по алгоритмам, связывающим измеренные дальности и координаты буксируемой антенны [1].
Недостатками такого способа являются необходимость выполнения жестко заданных галсов судна и необходимость точного измерения наклонной дистанции. Последнее включает необходимость точного измерения времени распространения гидроакустического навигационного сигнала и необходимость точного определения эффективной скорости распространения сигнала в районе работ, причем значение эффективной скорости в существенной степени определяется вертикальным распределением скорости звука (ВРСЗ) в районе работ и является различным для разных значений наклонной дальности, что существенно усложняет и увеличивает продолжительность выполнения работы из-за необходимости измерения гидрологических характеристик района и глубины установки маяков.
Известен способ определения координат донных навигационных объектов, основанный на измерении наклонной дальности источника от буксируемой приемной судовой антенны и текущих координат буксируемой судовой антенны обеспечивающего судна [2], в котором для уменьшения времени координатной привязки маяков процедура определения наклонной дальности упрощена за счет предварительного расчета эффективной скорости звука путем ее аппроксимации от времени распространения сигнала для заданных глубин установки судовой антенны и источника гидроакустических навигационных сигналов. Эффективная скорость аппроксимируется полиномом второй степени времени распространения навигационного сигнала
ce=a0+a1t+a2t2.
Коэффициенты полинома а0, a1, а2 определяются существующими гидрологическими и геометрическими условиями работы. Это позволяет получать относительно точные значения наклонной дальности
D=cet
в широком диапазоне изменений времени распространения, при принятых гидрологических и геометрических условиях работы. Для известного способа при выполнении произвольных галсов судна в районе постановки маяков координаты объекта рассчитываются на основе обработки информации, которая включает текущие координаты судовой антенны по данным судовой спутниковой навигационной системы и точное время распространения навигационного сигнала. Эффективная скорость распространения гидроакустического навигационного сигнала предварительно устанавливается как функция гидрологических характеристик района работ.
Известный способ по своему функциональному назначению, по своей технической сущности и достигаемому техническому результату наиболее близок к заявляемому способу и принят за прототип.
Недостатками такого способа являются длительное время координирования за счет необходимости измерения гидрологии и необходимость определения эффективной скорости, а также недостаточная точность координирования за счет погрешности определения эффективной скорости и систематических погрешностей измерения времени распространения.
В основу изобретения поставлена задача – снижение погрешности определения горизонтальных координат неподвижного подводного источника гидроакустических навигационных сигналов в условиях неопределенной гидрологии и уменьшение времени выполнения координирования.
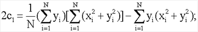
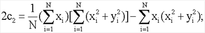
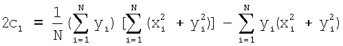
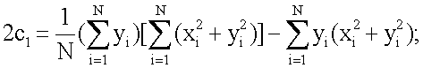
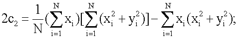
Поставленная задача решается тем, что в способе определения горизонтальных координат неподвижного подводного источника гидроакустических навигационных сигналов, при котором в окрестности места постановки названного источника гидроакустических навигационных сигналов буксируют, посредством обеспечивающего судна, гидроакустическую приемную антенну, измеряют время распространения гидроакустических навигационных сигналов в точках нахождения приемной антенны, фиксируют текущие координаты буксируемой антенны в момент приема навигационных сигналов, полученную информацию записывают и по ней вычисляют координаты неподвижного подводного источника, буксируемую гидроакустическую приемную антенну посредством обеспечивающего судна перемещают произвольными галсами, охватывающими с различных направлений окрестность места постановки неподвижного подводного источника гидроакустических навигационных сигналов, зафиксированные координаты приемной антенны, полученные на произвольных галсах, формируют в группы, равноудаленные от неподвижного подводного источника гидроакустических навигационных сигналов в соответствии с измеренными временами распространения навигационных сигналов, затем для каждой группы равноудаленных координатных отсчетов, если их число не менее трех, оценивают горизонтальные координаты источника Xk, Yk по формулам
 
и вычисляют горизонтальные координаты Х, Y неподвижного подводного источника гидроакустических навигационных сигналов после осреднения оценок по всем равноудаленным зонам:
 
где  



{xi, yi} – группа координатных отсчетов буксируемой антенны, равноудаленных от источника, сформированная для времени распространения навигационного сигнала tk при установленной ширине временного окна t,
N – число координатных отсчетов, принятых при расчете в k-той зоне дальности;
i=1, N;
– число зон дальности;
t={tmax, tmin} – временной интервал распространения гидроакустических навигационных сигналов, зафиксированный при перемещении приемной гидроакустической антенны.
В заявляемом техническом решении определение горизонтальных координат неподвижного подводного источника гидроакустических навигационных сигналов решается как задача определения геометрического центра окружности, радиус которой – горизонтальная дальность приемной антенны от источника. Горизонтальная дальность приемной антенны в общем случае является функцией глубин излучающей и приемной антенн, эффективной скорости и времени распространения навигационного сигнала. Для ряда установленных точек этой окружности положение центра находится методами статистической обработки, например методом наименьших квадратов по приведенным формулам. Расчетные значения координат объекта оказываются зависимыми только от координат приемной антенны, фиксированных в равноудаленных зонах, и независимыми от значений эффективной скорости, поскольку при равном времени распространения (что задается условиями расчета путем формирования равноудаленных зон) и заданных глубинах установки антенн источника и приемника скорость распространения сигналов в различных точках акватории (по различным горизонтальным направлениям) является одинаковой.
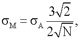
Для примера, предположим, что буксируемая приемная антенна движется по окружности, в центре которой установлен источник гидроакустических навигационных сигналов. Условием такого движения является равенство времени распространения навигационного сигнала, принимаемого в каждой точке траектории. Точное значение времени не имеет значения. Наличие систематической погрешности измерения времени не влияет на результат координирования. Для принятой модели расчета в этом случае погрешность определения координат неподвижного источника гидроакустических навигационных сигналов М определяется только погрешностью измерения координат буксируемой антенны А и связана с ней зависимостью 
N – число отсчетов координат, взятых для выбранного значения времени распространения. Если погрешность определения координат буксируемой антенны определяется погрешностью систем спутниковой навигации и составляет 5-10 м, то погрешность определения координат источника может быть меньше 1 м при числе наблюдений несколько сотен. Такой объем данных для координирования легко достигается при движении судна по акватории различными галсами и формированием нескольких десятков равноудаленных зон. Например, при периоде следования навигационных сигналов 10 с, за один час координирования накапливаются 360 координатных отсчетов, и этих данных достаточно для определения координат с ошибкой менее 1 м.
В заявленном способе определения горизонтальных координат неподвижного подводного источника гидроакустических навигационных сигналов общими существенными признаками для него и для его прототипа являются:
– в окрестности места постановки подводного источника гидроакустических сигналов буксируют посредством обеспечивающего судна гидроакустическую приемную антенну;
– измеряют время распространения гидроакустических навигационных сигналов в точках нахождения приемной антенны;
– фиксируют текущие координаты буксируемой антенны в момент приема навигационных сигналов;
– записывают полученную информацию и по ней вычисляют координаты неподвижного подводного источника гидроакустических навигационных сигналов.
Сопоставительный анализ существенных признаков заявляемого технического решения и прототипа показывает, что первый в отличие от прототипа имеет следующие отличительные признаки:
– перемещают буксируемую гидроакустическую приемную антенну посредством обеспечивающего судна произвольными галсами, охватывающими с различных направлений окрестность места постановки неподвижного подводного источника гидроакустических навигационных сигналов;
– зафиксированные координаты приемной антенны, полученные на произвольных галсах, формируют в группы, равноудаленные от неподвижного подводного источника гидроакустических навигационных сигналов в соответствии с измеренными временами распространения навигационных сигналов;
– для каждой группы равноудаленных координатных отсчетов, если их число не менее трех, оценивают горизонтальные координаты источника Xk, Yk;
– вычисляют горизонтальные координаты X, Y неподвижного подводного источника гидроакустических навигационных сигналов после осреднения оценок по всем равноудаленным зонам.
Сопоставительный анализ заявляемого технического решения и прототипа показывает, что отсутствие необходимости измерения гидрологических характеристик района работ и определения вертикального распределения скорости звука в районе работ при выполнении координирования является существенным признаком, определяющим уменьшение затрат на определение координат и уменьшающих погрешность координирования, поскольку итоговая погрешность зависит только от погрешности координатных отсчетов судовой антенны и уменьшается с увеличением числа наблюдений или соответственно увеличением числа обрабатываемых кольцевых равноудаленных зон.
Таким образом, в заявленном способе уменьшается число измеряемых параметров, для координатных отсчетов, формирующих равноудаленные зоны от источника сигнала, вычисляются координаты источника по формулам, содержащим в качестве исходных данных только координатные данные судовой приемной антенны.
Сущность изобретения поясняется чертежом, на котором показана схема координирования.
На основании изложенного можно заключить, что совокупность существенных признаков заявленного изобретения имеет причинно-следственную связь с достигнутым техническим результатом, т.е. благодаря данной совокупности существенных признаков изобретения стало возможным решить поставленную задачу.
Следовательно, заявляемое изобретение является новым, обладает изобретательским уровнем, т.е. оно явным образом не следует из известных технических решений и пригодно для использования.
Сущность заявленного изобретения поясняется чертежом, на котором показана схема координирования. На чертеже приняты следующие обозначения:
tk – равноудаленные зоны;
{хi, yi} – координатные отсчеты;
i=1, N, N – число координатных отсчетов, принятых при расчете в k-той зоне дальности.
Заявляемый способ определения горизонтальных координат неподвижного подводного источника гидроакустических навигационных сигналов осуществляется следующим образом.
Судно с буксируемой судовой антенной, положение которой точно определяется надводными навигационными средствами, например DGPS, совершает произвольные маневры в окрестности точки установки маяка, измеряя время распространения гидроакустического навигационного сигнала, излучаемого объектом координирования при различном удалении от источника. Далее выбираются совокупности координатных отсчетов, которые зафиксированы при одном и том же времени распространения сигнала в различных точках акватории и находятся по приведенным формулам координаты геометрической точки, которая с наименьшей ошибкой соответствует условию равноудаленности этой точки от выбранных координатных отсчетов.
Таким образом, в сравнении с прототипом, заявленный способ позволяет уменьшить время выполнения координирования и снизить ошибку координирования за счет отсутствия зависимости определяемых координат от значения скорости распространения гидроакустического навигационного сигнала.
Способ определения координат неподвижного подводного источника гидроакустических навигационных сигналов, предложенный в настоящем изобретении, применяется в Институте проблем морских технологий в составе гидроакустических навигационных систем автономных необитаемых подводных аппаратов.
Используемая литература
1. Касаткин Б.А., Косарев Г.В. «Использование траверзного метода для определения абсолютных координат маяков-ответчиков». – Морские технологии, вып.2, Владивосток: Дальнаука, 1998 г., с.65-69.
2. А.Е.Волков, А.И.Галошин, А.А.Густов «Руководство по использованию гидроакустических навигационных систем для определения места судна и подводных технических средств при выполнении морских геологоразведочных работ». – Мин. Природных ресурсов, Санкт-Петербург: Севморгео, 1998 г., 33-37 с. – прототип.
Формула изобретения
Способ определения горизонтальных координат неподвижного подводного источника гидроакустических навигационных сигналов, при котором в окрестности места постановки названного источника гидроакустических навигационных сигналов буксируют посредством обеспечивающего судна гидроакустическую приемную антенну, измеряют время распространения гидроакустических навигационных сигналов в точках нахождения приемной антенны, фиксируют текущие координаты буксируемой антенны в момент приема навигационных сигналов, полученную информацию записывают и по ней вычисляют координаты неподвижного подводного источника, отличающийся тем, что буксируемую гидроакустическую приемную антенну посредством обеспечивающего судна перемещают произвольными галсами, охватывающими с различных направлений окрестность места постановки неподвижного подводного источника гидроакустических навигационных сигналов, зафиксированные координаты приемной антенны, полученные на произвольных галсах, формируют в группы, равноудаленные от неподвижного подводного источника навигационных сигналов в соответствии с измеренными временами распространения навигационных сигналов, затем для каждой группы равноудаленных координатных отсчетов, если их число не менее трех, оценивают горизонтальные координаты источника Хk, Yk по формулам
  и вычисляют горизонтальные координаты X, Y неподвижного подводного источника навигационных сигналов после осреднения оценок по всем равноудаленным зонам:
, , где ; ;
;

 {xi, уi} – группа координатных отсчетов буксируемой антенны, равноудаленных от источника, сформированная для времени распространения навигационного сигнала tk при установленной ширине временного окна t; N – число координатных отсчетов принятых при расчете в k-той зоне дальности; i=1, N,
– число зон дальности; t={tmax, tmin} – временной интервал распространения навигационных сигналов, зафиксированный при перемещении приемной гидроакустической антенны.
РИСУНКИ
|