|
|
(21), (22) Заявка: 2008124064/09, 16.06.2008
(24) Дата начала отсчета срока действия патента:
16.06.2008
(46) Опубликовано: 10.01.2010
(56) Список документов, цитированных в отчете о поиске:
RU 2285937 С2, 20.10.2006. RU 2003113464 А, 10.11.2004. RU 2133481 С1, 20.07.1999. RU 2298805 С2, 10.05.2007. ЕР 0834748 А1, 04.04.1998. WO 2007142532 А1, 13.12.2007. US 7268728 В1, 11.09.2007. WO 2007054724 А2, 18.05.2007.
Адрес для переписки:
394052, г.Воронеж, ул. Краснознаменная, 153, ФГУ “ФГНИИЦ РЭБ ОЭСЗ” Минобороны России
|
(72) Автор(ы):
Ванясов Артем Владимирович (RU), Скляднев Владимир Петрович (RU)
(73) Патентообладатель(и):
Федеральное государственное учреждение “Федеральный государственный научно-исследовательский испытательный центр радиоэлектронной борьбы и оценки эффективности снижения заметности” Министерства обороны Российской Федерации (RU)
|
(54) СПОСОБ ОБНАРУЖЕНИЯ И ОПРЕДЕЛЕНИЯ КООРДИНАТ ИСТОЧНИКА РАДИОИЗЛУЧЕНИЯ
(57) Реферат:
Изобретение может быть использовано в системах пассивной радиолокации для обнаружения и определения координат источников радиоизлучения. Достигаемый технический результат: повышение вероятности правильного обнаружения источников радиоизлучения на фоне гауссовских шумов неизвестной интенсивности. Указанный результат достигается за счет того, что в способе обнаружения и определения координат источника радиоизлучения, включающем прием радиоизлучения источника не менее чем в трех пространственно разнесенных пунктах приема с передачей принятых радиосигналов на центральный пункт, определение квадрата модуля комплексных взаимных корреляционных функций и взаимного запаздывания моментов прихода электромагнитных волн в каждую пару пунктов приема, измерение значения энергии принятых радиосигналов, определение попарных произведений значений энергии различных радиосигналов, дополнительно определяют квадраты модулей комплексных автокорреляционных функций и квадраты значений энергий принятых радиосигналов в каждом пункте приема, определяют сумму отношений квадратов модулей комплексных взаимных корреляционных функций к попарным произведениям значений энергии радиосигналов и отношений квадратов модулей автокорреляционных функций к квадратам значений энергий принятых радиосигналов в каждом пункте приема и по максимуму суммы путем сравнения с порогом обнаружения и ее положению определяют наличие излучения и координаты источника. 7 ил.
Изобретение относится к радиолокации и может быть использовано в системах пассивной радиолокации для обнаружения и определения координат источников радиоизлучения, например, в системах радиотехнической разведки высокой точности.
Известен способ обнаружения и определения координат источника радиоизлучения, включающий прием радиоизлучения источника не менее чем в трех пространственно разнесенных пунктах приема с последующей передачей принятых радиосигналов на центральный пункт, измерение взаимных задержек между принятыми сигналами, вычисление координат по взаимным задержкам при равенстве нулю их суммы на замкнутом через пункты приема контуре, причем измерение задержек выполняют путем определения положения максимума квадрата модуля комплексных взаимных корреляционных функций каждой пары принятых радиосигналов, а вычисление координат – по положению минимума среднего по совокупности пар пунктов приема квадрата разности измеренных задержек и расчетного взаимного запаздывания моментов прихода электромагнитных волн из каждой точки пространства в каждую пару пунктов приема (патент России 2013785, МПК G01S 13/00, 1994 г.).
Недостатками способа являются низкая вероятность обнаружения и точность определения координат источника радиоизлучения. Это связано с тем, что из-за различного удаления источника радиоизлучения от пунктов приема и различной интенсивности шумов у пунктов приема различаются и соответствующие значения отношений сигнал-шум, которые в способе не учитываются, что снижает вероятность обнаружения и точность определения координат. Низкое отношение сигнал-шум хотя бы в одном из пунктов приема приводит к аномальным погрешностям измерений и к пропуску в обнаружении источника радиоизлучения.
Наиболее близким к предлагаемому по технической сущности и достигаемому положительному эффекту является способ обнаружения и определения координат источника радиоизлучения, включающий прием радиоизлучения источника не менее чем в трех пространственно разнесенных пунктах приема с последующей передачей принятых радиосигналов на центральный пункт, определение квадрата модулей комплексных взаимных корреляционных функций и взаимного запаздывания моментов прихода электромагнитных волн, измерение значения энергии принятых радиосигналов, определение попарных произведений значений энергии различных радиосигналов, определение значений квадратов модулей комплексных взаимных корреляционных функций, которые усредняются по совокупности пар радиосигналов, находят отношение усредненных квадратов модулей комплексных взаимных корреляционных функций к усредненным попарным произведениям значений энергии радиосигналов, по максимуму которого путем сравнения с порогом обнаружения и его положению определяют наличие излучения и координаты источника, причем значение порога обнаружения устанавливают исходя из допустимого уровня ложной тревоги, времени и количества пунктов приема (патент России патент 2285937, МПК G01S 5/04, 2006 г.).
Недостатком способа является относительно низкая вероятность обнаружения источника радиоизлучения вследствие неучета информации, заключенной в сумме отношений квадратов модулей комплексных автокорреляционных функций к квадратам значений энергий принятых радиосигналов в каждом пункте приема.
Задачей данного изобретения является повышение вероятности обнаружения источников радиоизлучения.
Решение поставленной задачи достигается тем, что в известном способе обнаружения и определения координат источника радиоизлучения, включающем прием радиоизлучения источника не менее чем в трех пространственно разнесенных пунктах приема с последующей передачей принятых радиосигналов на центральный пункт, определение квадрата модулей комплексных взаимных корреляционных функций и взаимного запаздывания моментов прихода электромагнитных волн в каждую пару пунктов приема, измерение значения энергии принятых радиосигналов, определение попарных произведений значений энергии различных радиосигналов, дополнительно определяют квадраты модулей комплексных автокорреляционных функций и квадраты значений энергий принятых радиосигналов в каждом пункте приема, определяют сумму отношений квадратов модулей комплексных взаимных корреляционных функций к попарным произведениям значений энергии радиосигналов и отношений квадратов модулей комплексных автокорреляционных функций к квадратам значений энергий принятых радиосигналов в каждом пункте приема и по максимуму суммы путем сравнения с порогом обнаружения и ее положению определяют наличие излучения и координаты источника, причем значение порога обнаружения устанавливают исходя из допустимого уровня вероятности ложной тревоги.
Сравнение предлагаемого решения с прототипом показывает, что предложенный способ отличается от известного наличием, во-первых, новых действий над сигналом: определяют отношения квадратов модулей комплексных взаимных корреляционных функций к попарным произведениям энергий радиосигналов во всех парах пунктов приема и отношения квадратов модулей комплексных автокорреляционных функций к квадратам значений энергий принятых радиосигналов в каждом пункте приема, во-вторых, нового порядка выполнения действий, в-третьих, новых условий осуществления действий: наличие излучения и координаты источника определяют по максимуму и положению суммы отношений квадратов модулей комплексных взаимных корреляционных функций к попарным произведениям значений энергии радиосигналов и отношений квадратов модулей комплексных автокорреляционных функций к квадратам значений энергий принятых радиосигналов в каждом пункте приема, значение порога обнаружения устанавливают исходя из допустимого уровня вероятности ложной тревоги.
Анализ других известных технических решений в данной области техники показал, что указанная совокупность признаков, отличающая изобретение от прототипа, является новой.
Статистический анализ оптимального обнаружителя радиосигналов в многопозиционной системе пассивной радиолокации на фоне независимых пунктов приема гауссовских шумов показал, что выходной сигнал данного обнаружителя должен быть равным логарифму отношения правдоподобия. В рассматриваемых условиях логарифм отношения правдоподобия (решающая статистика) представляет собой сумму не только отношений квадратов модулей комплексных взаимных корреляционных функций к попарным произведениям значений энергии радиосигналов, но также и отношений квадратов модулей комплексных автокорреляционных функций к квадратам значений энергий принятых радиосигналов в каждом пункте приема. Представление решающей статистики в виде суммы указанных отношений обеспечивает ее инвариантность к интенсивности шумов на входах приемников системы пассивной локации, что позволяет устанавливать порог обнаружения исходя из допустимого уровня вероятности ложной тревоги, а использование в решающей статистике информации не только о совокупности взаимных корреляционных функций, но также информации и о совокупности автокорреляционных функций позволяет повысить по сравнению с прототипом вероятность правильного обнаружения источника радиоизлучения.
На фиг.1 приведена структурная схема системы определения координат, реализующей предложенный способ, на фиг.2 – амплитудный спектр радиосигнала, на фиг.3 – квадрат модуля взаимной корреляционной функции, на фиг.4 – пространственное изображение решающей статистики, на фиг.5 – программа исследовательской модели в системе Mathcad 13, на фиг.6, 7 – результаты оценки положительного эффекта предлагаемого способа.
Система, реализующая предложенный способ, содержит пространственно разнесенные пункты приема 1.1-1.М, каждый из которых включает приемную антенну 2.1 (2.М), подключенную к первому входу цифрового радиоприемного устройства 3.1 (3.М), выходом подключенного к первому входу аппаратуры передачи данных 4.1 (4.М), и центральный пункт 5, содержащий аппаратуру передачи данных 6, подключенный к ее первому выходу входом процессор быстрого преобразования Фурье 7, умножитель 8, процессор обратного преобразования Фурье 9, блок определения энергий принимаемых радиосигналов 10, умножитель 11, блок определения квадратов модулей комплексных корреляционных функций 12, делитель 13, сумматор 14, блок определения взаимных задержек распространения радиосигналов до каждой пары приемных пунктов 1.1-1.М в дискретных точках рабочей зоны системы 15, блок определения значений решающей статистики в дискретных точках рабочей зоны системы 16, блок определения максимума решающей статистики 17 и пороговое устройство 18.
Первые выходы аппаратуры передачи данных 4.1 (4.М) каждого из пунктов приема 1.1-1.М связаны линиями связи с входом аппаратуры передачи данных 6 центрального пункта 5. Второй выход аппаратуры передачи данных 6 связан со вторыми входами аппаратуры передачи данных 4.1 (4.М), вторые выходы которых соединены со вторыми входами цифровых радиоприемных устройств 3.1 (3.М). Процессор быстрого преобразования Фурье 7 выходом подключен к умножителю 8, подключенному к процессору обратного быстрого преобразования Фурье, который первым выходом подключен к блоку определения энергий принимаемых радиосигналов 10, а вторым выходом – к блоку определения квадратов модулей корреляционных функций 12. Блок определения энергий принимаемых радиосигналов 10 подключен к умножителю 11. Умножитель 11 и блок определения квадратов модулей корреляционных функций 12 подключены к делителю 13, подключенному к сумматору 14. Сумматор 14 подключен к блоку определения взаимных задержек радиосигналов до каждой пары приемных пунктов в дискретных точках рабочей зоны системы 15, подключенному к блоку определения значений решающей статистики в дискретных точках рабочей зоны системы 16, который подключен к блоку определения максимума решающей статистики 17, подключенному к пороговому устройству 18, выход которого является первым выходом системы. Вторым выходом системы является второй выход блока определения максимума решающей статистики 17.
Цифровые радиоприемные устройства 3.1-3.М настроены на ожидаемую частоту обнаруживаемого радиосигнала, управляются и синхронизируются по управляющему (второму) входу сигналами, поступающими от аппаратуры передачи данных 6 центрального пункта 5 через вторые выходы аппаратуры передачи данных 4.1-4.М пунктов приема.
Принцип функционирования системы, реализующий предлагаемый способ, состоит в следующем.
Перед началом работы осуществляют синхронизацию, определяют и устанавливают исходные параметры элементов системы.
1. Период дискретизации Тd в приемных устройствах 3.1-3.М устанавливают согласно теореме Котельникова , где f – полоса пропускания приемных устройств, время накопления Т обнаруживаемого сигнала устанавливают не менее удвоенного значения времени распространения электромагнитных волн между пунктами приема max с максимальным взаимным удалением, объем выборки N задают равным [Т/Тd], где [А] – операция выбора целой части числа А.
2. Число М 3 пространственно разнесенных пунктов приема, их координаты Хm, Ym (m=0, 1, , М-1).
3. Параметры рабочей зоны системы: координаты центра Xc, Yc, максимальное отклонение R от центра по осям координат, шаг квантования пространства из условия обеспечения требуемой инструментальной точности, число градаций по осям координат Jmax=[2R/ ].
Точки пространства в пределах рабочей зоны нумеруют k,1=0,1, , Jmax-1 соответственно по оси абсцисс и оси ординат, при этом (k,1)-я точка имеет координаты

Взаимные задержки im (k,1) сигнала источника от (k,1)-й точки пространства до пары i, m пунктов приема (i, m=0,1, , М-1, i m) определяют из соотношения

где с – скорость света;
Dm(k,1)={(xk-Xm)2+(у1-Ym)2}1/2 – расстояние от (k,1)-й точки до m-го пункта приема.
После завершения этапа подготовки радиоизлучение источника S(t) синхронно во всех пунктах приема 1.1-1.М принимают с помощью антенн 2.1-2.М и цифровых радиоприемных устройств 3.1-3.М, преобразуя в совокупность дискретных временных отчетов радиосигнала

где Аcm – амплитуда сигнала, Ашm – амплитуда гауссовского шума n(t) у m-го приемного пункта, k=0,1, N-1 – номер временного отсчета, m – задержка радиосигнала при распространении до m-го приемного пункта.
Принятые радиосигналы передают с помощью аппаратуры передачи данных 4.1-4.М, 6 на центральный пункт 5.
Далее с использованием быстрого преобразования Фурье в процессоре 7 определяют комплексные амплитудные спектры

где j – мнимая еденица, k=0,1, N-1.
Вид модуля амплитудного спектра радиосигнала с линейной частотной модуляцией показан на фиг.2.
С помощью амплитудных спектров в умножителе 8 находят взаимные энергетические спектры с использованием операции

где i, m=0,1, , М-1; =0,1, , N-1; * – символ комплексного сопряжения.
С использованием обратного быстрого преобразования Фурье в процессоре 9 определяют комплексные корреляционные функции

аргумента (- max   max); i, m=0,1, , M-1.
С помощью корреляционных функций Rim( ) в блоке 10 находят энергии принятых радиосигналов

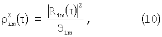
в блоке 12 – квадраты модулей корреляционных функций

а в умножителе 11 – взаимные энергии радиосигналов

Далее с помощью делителя 13 определяют отношения квадратов модулей корреляционных функций к взаимным энергиям радиосигналов

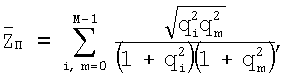
которые в сумматоре 14 используют для формирования решающей статистики

После определения в блоке 15 взаимных задержек im(k,l) радиосигнала с использованием соотношения (2) в дискретных точках пространства с координатами хk, у1 (соотношение (1)) в блоке 16 находят значения решающей статистики в указанных точках

где k,l=0,1, , Jmax-1.
В блоке 17 по совокупности дискретных точек пространства определяют максимальное значение решающей статистики и положение ее максимума


Максимальное значение решающей статистики в пороговом устройстве 18 сравнивают с порогом

где l0=Ф-1 (0,5-РF), РF – вероятность ложной тревоги,
х=Ф-1 (у) – функция, обратная функции у=Ф(х),



– отношение энергии обнаруживаемого радиосигнала
Эсi к спектральной плотности мощности шума Ni, определяемое из выражения

i, m, l – номера пунктов приема (i, m, l=0,1, , М-1, i m 1),

При превышении порога принимают решение о наличии радиоизлучения с выдачей на выход системы результата обнаружения и координат источника (со второго выхода блока 17) в виде номеров точек пространства (14) или пересчитанных в прямоугольную систему координат по формуле (1) при  
Эффективность изобретения выражается в повышении вероятности правильного обнаружения источников радиоизлучения. Для оценки количественных значений выполнено моделирование способа. Моделировалась система (обнаружитель) из 3-х пунктов приема, равномерно распределенных на окружности радиуса R0. Источник излучения размещался в центре системы (xц=0, уц=0) и на границе рабочей зоны системы (xц=5R0, уц=5R0). Приняты следующие значения основных параметров: минимальная частота принимаемых радиосигналов 300 МГц, полоса пропускания приемных устройств 20 МГц, период дискретизации 0,025 мкс, излучаемый сигнал имеет линейную частотную модуляцию с девиацией частоты 3 МГц, мощность 1 Вт, длительность излучения 1 мс, вероятность ложной тревоги 10-3.
Программа модели приведена на фиг.5.
Для оценки положительного эффекта предлагаемого изобретения по сравнению со способом-прототипом запишем выходные сигналы обнаружителей (решающие статистики) в виде

где индексы суммирования пробегают следующие значения

Х – выходной сигнал обнаружителя прототипа;

выходной сигнал предлагаемого обнаружителя.
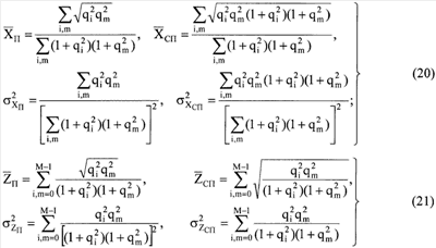
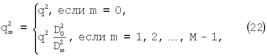
Анализ показал, что в рассматриваемых условиях (М 3, шумы у приемных пунктов независимые гауссовские) законы распределения вероятностей случайных величин X, Z могут быть аппроксимированы нормальными со следующими математическими ожиданиями , и дисперсиями , :

В соотношениях (20), (21) индекс «П» соответствует гипотезе приема только шумов, индекс «СП» – гипотезе приема смеси сигналов и шумов.
В соотношениях (20) индексы i, m пробегают значения, определенные правилом (18).
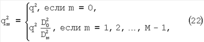
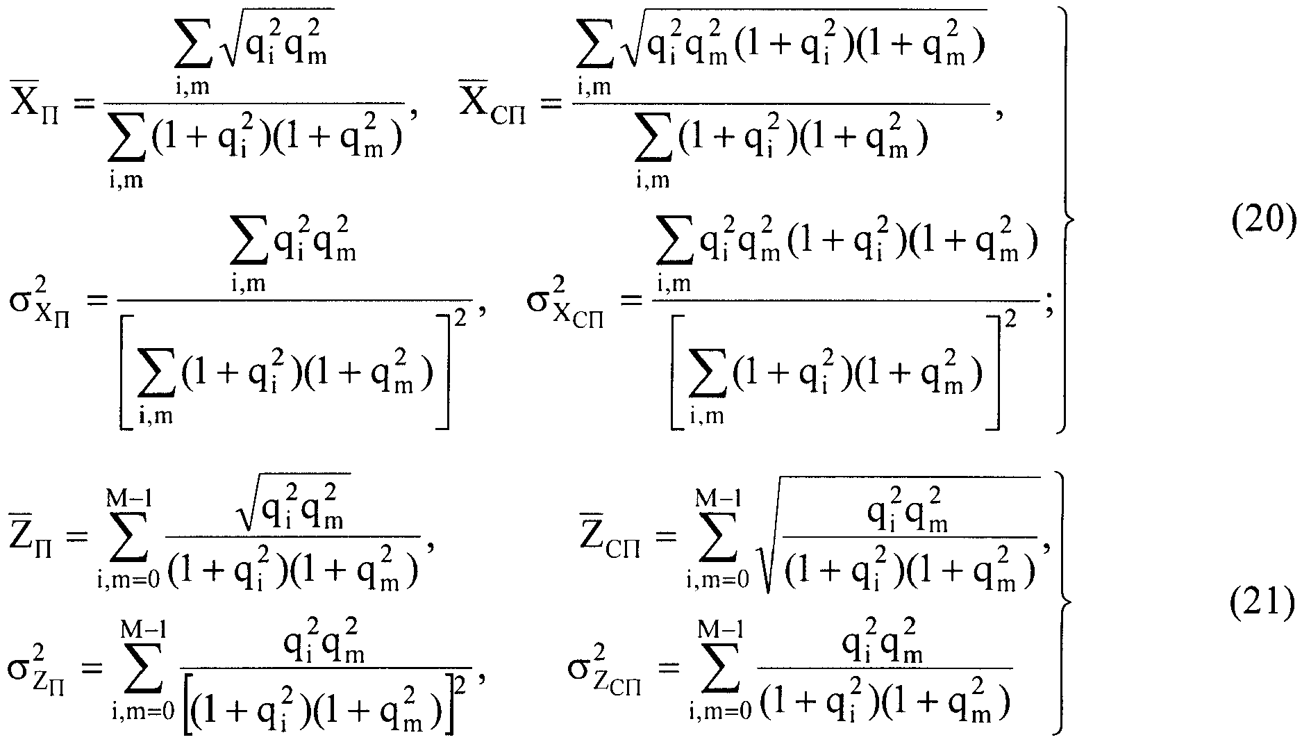
Отношения сигнал-шум удобно преобразовать к виду

где q2 – отношение сигнал-шум у центрального пункта;
– квадрат расстояния от источника излучения до m-го приемного пункта.
При нормальных законах распределения вероятностей выходных сигналов обнаружителей X, Z вероятность правильного их обнаружения определяется из соотношений:

Зависимости вероятности правильного обнаружения источника радиоизлучения М-позиционной системой от отношения сигнал-шум представлены на фиг.6, 7. Сплошные кривые соответствуют способу-прототипу, пунктирные – предлагаемому способу.
Анализ полученных результатов показывает, что предлагаемый обнаружитель значительно превосходит обнаружитель-прототип по пороговому значению отношения сигнал-шум. В рассматриваемых условиях выигрыш составляет 2 2,5 раза (при вероятности обнаружения 0,8) и 3 5 раз (при вероятности обнаружения 0,9).
Формула изобретения
Способ обнаружения и определения координат источника радиоизлучения, включающий прием радиоизлучения источника не менее чем в трех пространственно разнесенных пунктах приема с последующей передачей принятых радиосигналов на центральный пункт, определение квадрата модуля комплексных взаимных корреляционных функций и взаимного запаздывания моментов прихода электромагнитных волн в каждую пару пунктов приема, измерение значения энергии принятых радиосигналов, определение попарных произведений значений энергии различных радиосигналов, отличающийся тем, что дополнительно определяют квадраты модулей комплексных автокорреляционных функций и квадраты значений энергий принятых радиосигналов в каждом пункте приема, определяют сумму отношений квадратов модулей комплексных взаимных корреляционных функций к попарным произведениям значений энергии радиосигналов и отношений квадратов модулей автокорреляционных функций к квадратам значений энергий принятых радиосигналов в каждом пункте приема и по максимуму суммы, путем сравнения с порогом обнаружения, и по положению максимума суммы, определяемого по совокупности значений суммы в дискретных точках пространства, определяют наличие излучения и координаты источника, причем значение порога обнаружения устанавливают, исходя из допустимого уровня вероятности ложной тревоги.
РИСУНКИ
|
|