Патент на изобретение №2166731
|
||||||||||||||||||||||||||
(54) СПОСОБ ОПРЕДЕЛЕНИЯ ФИЗИЧЕСКОЙ ПЛОЩАДИ ЗЕМЕЛЬНОГО УЧАСТКА
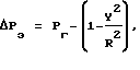
(57) Реферат: Изобретение относится к геодезическим работам в землеустройстве и может быть использовано при определении площадей сельскохозяйственных угодий, городских земельных участков, а также иных землепользований. Способ заключается в том, что определяют средние продольный и поперечный углы наклона земельного участка или его секций по линиям, взаимно перпендикулярным и, как правило, параллельным осям абсцисс и ординат, а физическую площадь вычисляют по формуле через непосредственно измеренную геодезическую площадь с учетом суммарной поправки, учитывающей переход на поверхность эллипсоида и на поверхность средней отметки участка, а также за влияние рельефа. Технический результат: повышение точности определения физической площади земельных участков. Изобретение относится к области геодезических работ в землеустройстве и может быть использовано при определении площадей сельскохозяйственных угодий, городских земельных участков, а также иных землепользований. ![]() или Pэ = Pг– Pэ,здесь ![]() где Pэ – площадь на поверхности эллипсоида; Pг – площадь в проекции Гаусса или геодезическая площадь; Pэ – поправка за переход от поверхности проекции Гаусса к поверхности эллипсоида;Y – среднее значение ординаты участка (расстояние от осевого меридиана до середины участка); R – радиус эллипсоида для средней широты участка (в вычислении поправки обычно берут радиус шара). Для земельных участков, находящихся на значительном расстоянии (высоте) над поверхностью эллипсоида, площадь оказывается несколько уменьшенной, поэтому в нее вводят поправку за рельеф, выражаемую формулой: ![]() или Pн = Pэ+ Pнздесь ![]() где Pн – площадь с учетом поправки за рельеф; Pн – поправка за переход с поверхности эллипсоида на поверхность средней отметки участка;H – средняя высота (отметка) участка над поверхностью эллипсоида. Хотя поправка ( Pн) часто называется поправкой за рельеф, по сути таковой не является. Правильнее ее следует называть поправкой за среднюю высоту (отметку) над поверхностью эллипсоида. Смысл этой поправки в том, что поверхность эллипсоида перемещается на уровень средней отметки участка и практически эта поверхность относимости будет для любого земельного участка горизонтальной плоскостью, проведенной на средней отметке. Введение этой поправки не позволяет перейти к физической (фактической) площади земельного участка, характеризующегося разнообразными формами рельефа, такими, например, как овраг, склон, котловина, холм и так далее, которые не учитываются в значениях определяемой площади.
Таким образом, рассматриваемый способ не позволяет определить физическую площадь земельного участка, что является его существенным недостатком.
Известен способ определения физической площади земельного участка, учитывающего рельеф местности путем введения поправки за угол наклона плоскости участка (Маслов В. А. , Юнусов А.Г., Горохов Г.Н. Геодезические работы при землеустройстве. М. – Недра, 1990, с. 32). В этом способе, принятом за прототип, физическая площадь с учетом поправки за рельеф находят по формуле:![]() или Pф = Pн+ Pф,здесь ![]() где Pф – физическая площадь; Pф – поправка за рельеф; – угол наклона плоскости земельного участка.
Физическая площадь будет всегда больше, чем на поверхности эллипсоида или на горизонтальной плоскости.
Однако область применения этого способа крайне ограничена. Его можно применять только при определении площадей земельных участков, имеющих односторонний и одинаковый уклон, что в действительности встречается крайне редко.
Использование этого способа для определения физической площади земельных участков с разнообразными формами рельефа, имеющими различные уклоны поверхностей, невозможно, так как даст лишь приближенные результаты, что и является основным недостатком рассматриваемого способа.
Техническая задача, на решение которой направлено изобретение – повышение точности определения физической площади земельных участков. Задача решается тем, что в отличие от известного способа, принятого за прототип, определяют средние продольный и поперечный углы наклона земельного участка или его секций по линиям, взаимно перпендикулярным и, как правило, параллельным осям абсцисс и ординат, а физическую площадь вычисляют по формуле:![]() или Pф = Pн+ Pф,здесь ![]() где Pф – физическая площадь участка или секции; Pн – площадь, исправленная за переход на поверхность эллипсоида и за переход к поверхности, отнесенной к средней отметке участка; Pф – поправка к площади за рельеф; 1 – средний продольный угол наклона земельного участка (или его секции); 2 – средний поперечный угол наклона земельного участка (или его секции).
Формула вычисления физической площади земельного участка может быть преобразована к виду:![]() Средние продольные и поперечные углы наклона определяются по линиям, расположенным перпендикулярно друг другу. Углы находятся по формуле: ![]() где h – превышения, определенные по горизонталям плана (карты) для каждой из линий; d – горизонтальные проложения линий, определенные по плану (карте). Средние углы наклона находят по формулам: ![]() где ![]() пр – сумма продольных углов наклона;![]() поп = – сумма поперечных углов наклона;n – число углов (или линий); Конкретное число линий, по которым определяются средние углы наклона, зависит от размеров участка и частоты сменяемости форм рельефа на нем. Чем меньше участок, тем с большей точностью его поверхность будет аппроксимирована поверхностями, образованными взаимно перпендикулярными линиями, а следовательно, с большей точностью будет определена его физическая площадь. При значительных размерах участка его необходимо разбивать на секции с однородными продольными и поперечными уклонами. В случаях, когда на какой-либо линии, намеченной для определения угла наклона, наблюдаются его изменения на отдельных участках, эту линию разбивают на участки и определяют углы наклона по участкам, а затем вычисляют угол наклона для всей линии как среднюю арифметическую величину. Способ определения площадей реализуем как в традиционных методиках, так и при автоматизированном определении цифровой модели местности. Для удобства практического применения приведем формулу вычисления физической площади к виду, в котором ее вычисляют через непосредственно измеренную геодезическую площадь с учетом суммарной поправки, учитывающей переход на поверхность эллипсоида и на поверхность средней отметки участка, а также за влияние рельефа. Формула имеет вид: ![]() В случаях, когда учитывать ту или иную поправку нет необходимости по причине ее пренебрежимо малой величины, в общей формуле соответственная часть поправки (в скобках) вырождается в ноль. Способ может быть применен во всех случаях определения площадей земельных участков. Формула изобретения
![]() где Рф – физическая площадь земельного участка; Рг – геодезическая площадь земельного участка; 1 и 2 – соответственно средние продольный и поперечный углы наклона;Y – среднее значение ординаты участка (расстояние от осевого меридиана до середины участка); R – радиус земного эллипсоида для средней широты участка; H – средняя высота (отметка) участка. MM4A Досрочное прекращение действия патента Российской Федерации на изобретение из-за неуплаты в установленный срок пошлины за поддержание патента в силе
Дата прекращения действия патента: 07.05.2003
Извещение опубликовано: 10.01.2005 БИ: 01/2005
|
||||||||||||||||||||||||||


Pэ,




– угол наклона плоскости земельного участка.
Физическая площадь будет всегда больше, чем на поверхности эллипсоида или на горизонтальной плоскости.
Однако область применения этого способа крайне ограничена. Его можно применять только при определении площадей земельных участков, имеющих односторонний и одинаковый уклон, что в действительности встречается крайне редко.
Использование этого способа для определения физической площади земельных участков с разнообразными формами рельефа, имеющими различные уклоны поверхностей, невозможно, так как даст лишь приближенные результаты, что и является основным недостатком рассматриваемого способа.
Техническая задача, на решение которой направлено изобретение – повышение точности определения физической площади земельных участков. Задача решается тем, что в отличие от известного способа, принятого за прототип, определяют средние продольный и поперечный углы наклона земельного участка или его секций по линиям, взаимно перпендикулярным и, как правило, параллельным осям абсцисс и ординат, а физическую площадь вычисляют по формуле:







1 и