|
|
(21), (22) Заявка: 2008145818/03, 19.11.2008
(24) Дата начала отсчета срока действия патента:
19.11.2008
(46) Опубликовано: 10.01.2010
(56) Список документов, цитированных в отчете о поиске:
RU 2254426 C1, 20.06.2005. RU 2140625 C1, 27.10.1999. SU 1777018 A1, 23.11.1992. RU 2307896 C1, 10.10.2007. RU 2292433 C1, 27.01.2007. JP 9088110 A, 31.03.1997. МАРТЕМЬЯНОВ Ф.И. Способы восстановления зданий и сооружений, поврежденных землетрясением. – М.: Стройиздат, 1978, с.11-52.
Адрес для переписки:
614013, г.Пермь, ул. Ак. Королева, 1, Институт механики сплошных сред УрО РАН
|
(72) Автор(ы):
Шардаков Игорь Николаевич (RU), Матвеенко Валерий Павлович (RU), Цветков Роман Валерьевич (RU), Голотина Людмила Александровна (RU)
(73) Патентообладатель(и):
Институт механики сплошных сред Уральского отделения Российской Академии наук (RU)
|
(54) СПОСОБ МОНИТОРИНГА ЗДАНИЯ, НАХОДЯЩЕГОСЯ ПОД ДЕЙСТВИЕМ ВОЗМУЩЕНИЙ ОТ СМЕЩЕНИЯ ЕГО ФУНДАМЕНТА
(57) Реферат:
Изобретение относится к строительству и может быть использовано для мониторинга сооружений, к которым предъявляются повышенные требования безопасности при эксплуатации. Способ мониторинга здания находящегося под действием возмущений от смещения его фундамента включает прием, обработку и оценку контролируемых параметров с датчиков, установленных на здании, характеризующих текущее состояние здания, и прогнозирование возможной дальнейшей эксплуатации путем определения ресурса времени до достижения критического значения по контролируемым параметрам. Сначала определяют схему расположения датчиков путем определения напряженно-деформированного состояния всех элементов конструкции здания на математической модели здания методом конечных элементов при воздействии на модель здание-грунт возмущения от смещения каждой сваи фундамента на величину 1 см и более последовательно, попеременно и в сочетании, с увеличением смещения с шагом 0,1-0,5 см, имитируя смещения свай фундамента и выявления точек с максимальным эквивалентным напряжением в элементах конструкции при минимальных смещениях свай. Далее на ростверке в местах расположения опор здания на сваи фундамента или близких к ним, давших на модели при их смещениях максимальные эквивалентные напряжения, в элементах конструкции располагают датчики вертикальных перемещений, например гидростатического нивелирования. Принятые сигналы с датчиков в эксплуатационном режиме статистически обрабатывают в последовательных равных интервалах t времени 15-60 мин. Определяют текущие среднеквадратические значения напряженно-деформированного состояния в критических точках здания, установленные на модели в этих интервалах, а скорость изменения среднеквадратического значения параметра в каждой критической точке за интервал времени t определяют по приведенной зависимости, при этом оставшийся ресурс времени Т до достижения предельного критического значения эквивалентного напряжения в критической точке здания определяют по приведенной зависимости. Технический результат состоит в повышении точности и надежности прогнозирования ресурса времени до достижения критического состояния здания и снижении стоимости и трудоемкости мониторинга. 5 ил.
Изобретение относится к строительству и может быть использовано для мониторинга сооружений, к которым предъявляются повышенные требования безопасности при эксплуатации.
Наиболее близким техническим решением к предлагаемому является способ мониторинга здания, находящегося под действием возмущений от смещения его фундамента, заключающийся в приеме, обработке и оценке контролируемых параметров с датчиков, установленных на здании, характеризующих текущее состояние здания, и прогнозировании возможной дальнейшей эксплуатации путем определения ресурса времени до достижения критического значения по контролируемым параметрам (см. патент RU 2254426, опубл. 20.06.2005).
Недостатком его является неточность определения ресурса времени до достижения критических значений деформаций элементов конструкции здания, а также высокая трудоемкость и стоимость способа.
Технической задачей предлагаемого способа является повышение точности и надежности прогнозирования ресурса времени до достижения критического состояния здания и снижения стоимости и трудоемкости мониторинга.
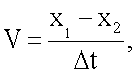
Для решения поставленной технической задачи мониторинг здания, находящегося под действием возмущений от смещения его фундамента, заключается в приеме, обработке и оценке контролируемых параметров с датчиков, установленных на здании, характеризующих текущее состояние здания, и прогнозировании возможной дальнейшей эксплуатации путем определения ресурса времени до достижения критического значения по контролируемым параметрам, при этом сначала определяют схему расположения датчиков путем определения напряженно-деформированного состояния всех элементов конструкции здания на математической модели здание-грунт методом конечных элементов при воздействии на здание возмущения от смещения каждой сваи фундамента на величину 1 см и более последовательно, попеременно и в сочетании, с увеличением смещения с шагом 0,1-0,5 см, имитируя смещения свай фундамента, и выявления точек с максимальным эквивалентным напряжением в элементах конструкции при минимальных смещениях свай, далее на ростверке в местах расположения опор здания на сваи фундамента или близких к ним, давших на модели при их смещениях максимальные эквивалентные напряжения, в элементах конструкции располагают датчики вертикальных перемещений, например гидростатического нивелирования, принятые сигналы с датчиков в эксплуатационном режиме статистически обрабатывают в последовательных равных интервалах t времени 15-60 мин, определяют текущие среднеквадратические значения напряженно-деформированного состояния в критических точках здания, установленные на модели в этих интервалах, а скорость изменения среднеквадратического значения параметра в каждой критической точке за интервал времени t определяют по формуле:

где x1 и х2 – среднеквадратические значения эквивалентного напряжения в критической точке в заданных интервалах времени, а оставшийся ресурс времени Т до достижения предельного критического значения эквивалентного напряжения в критической точке здания определяют по формуле:

где хпр. – предельное эквивалентное напряжение в контролируемой точке конструкции, определенное на модели здание-грунт.
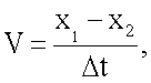
Отличительной особенностью предлагаемого способа является то, что сначала определяют схему расположения датчиков путем определения напряженно-деформированного состояния всех элементов конструкции здания на математической модели здание-грунт методом конечных элементов при воздействии на здание возмущения от смещения каждой сваи фундамента на величину 1 см и более последовательно, попеременно и в сочетании, с увеличением смещения с шагом 0,1-0,5 см, имитируя смещения свай фундамента, и выявления точек с максимальным эквивалентным напряжением в элементах конструкции при минимальных смещениях свай, далее на ростверке в местах расположения опор здания на сваи фундамента или близких к ним, давших на модели при их смещениях максимальные эквивалентные напряжения, в элементах конструкции располагают датчики вертикальных перемещений, например гидростатического нивелирования, принятые сигналы с датчиков в эксплуатационном режиме статистически обрабатывают в последовательных равных интервалах t времени 15-60 мин, определяют текущие среднеквадратические значения напряженно-деформированного состояния в критических точках здания, определенные на модели в этих интервалах, а скорость изменения среднеквадратического значения параметра в каждой критической точке за интервал времени t определяют по формуле:

где x1 и х2 – среднеквадратические значения эквивалентного напряжения в критической точке в заданных интервалах времени, а оставшийся ресурс времени Т до достижения предельного критического значения эквивалентного напряжения в критической точке здания определяют по формуле:

где хпр. – предельное эквивалентное напряжение в контролируемой точке конструкции, определенное на модели здание-грунт.
Сущность способа заключается в следующем.
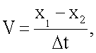
Сначала определяют схему расположения датчиков путем определения напряженно-деформированного состояния всех элементов конструкции здания на математической модели здание-грунт методом конечных элементов (см. Зенкевич О. Метод конечных элементов в технике. – М.: Мир, 1975. – 541 с.) при воздействии на модель здания возмущения от смещения каждой сваи фундамента на величину 1 см и более последовательно, попеременно и в сочетании, с увеличением смещения с шагом 0,1-0,5 см, имитируя смещения свай фундамента, и выявления точек с максимальным эквивалентным напряжением (см. Справочник проектировщика промышленных, жилых и общественных зданий и сооружений. Под ред. д.т.н. А.А.Уманского. Госуд. изд-во литературы по строительству, архитектуре и строительным материалам, М., 1960, стр.141) в элементах конструкции при минимальных смещениях свай. Далее на ростверке в местах расположения опор здания на сваи фундамента или близких к ним, давших на модели при их смещениях максимальные эквивалентные напряжения, в элементах конструкции располагают датчики вертикальных перемещений, например гидростатического нивелирования (см. ГОСТ 24846-81. Грунты. Методы измерения деформаций оснований зданий и сооружений), принятые сигналы с датчиков в эксплуатационном режиме статистически обрабатывают в последовательных равных интервалах t времени 15-60 мин, определяют текущие среднеквадратические значения напряженно-деформированного состояния в критических точках здания, установленные на модели в этих интервалах. Частотность опроса зависит от временных процессов разрушения. Выбранный интервал времени 15-60 мин укладывается в характерное время процессов разрушения строительных элементов конструкции здания. Такой выбор позволяет отследить наступление предкритического состояния здания. Скорость изменения среднеквадратического значения параметра в каждой критической точке за интервал времени t определяют по формуле:

где x1 и х2 – среднеквадратические значения эквивалентного напряжения в критической точке в заданных интервалах времени, а оставшийся ресурс времени Т до достижения предельного критического значения эквивалентного напряжения в критической точке здания определяют по формуле:

где хпр. – предельное эквивалентное напряжение в контролируемой точке конструкции, определенное на модели здание-грунт.
Пример
По предлагаемому способу проводился мониторинг здания в г.Кунгуре Пермского края.
Объектом мониторинга являлся жилой 87-квартирный пятиэтажный бескаркасный дом с техническим подпольем по ул. Коммуны, 45.
Участок г.Кунгура, на котором построено здание, отнесен к категории 1-В по карстоопасности с возможным образованием провалов до 10 м, а при техногенных воздействиях – до 15 м. Данные геологические процессы в целом характерны для территории Пермского региона и, в частности, для Кунгурского района.
Этот дом был построен в 1987 году в междуречье рек Сылва и Ирень, в 300 м к западу от русла реки, над засыпанной старицей, проходящей под средней частью дома. Здание запроектировано из 4 блок-секций типовой серии: 3 секции 85-04/1 и одна секция 85-08/1. Несущие конструкции здания: фундаменты – свайные; наружные стены – из керамического кирпича с облицовкой из силикатного; внутренние стены – из керамического кирпича на цементно-песчаном растворе; перекрытия – сборные железобетонные из многопустотных плит. Площадка под дом была отсыпана привозным грунтом с Филипповского карьера.
Для мониторинга использовался датчик перемещения LVP-100-GA-5-SA фирмы Micro-Epsilon, основанный на индукционном принципе. Данный датчик имеет диапазон измерения 100 мм.
Линейность характеристик датчика составляет 0,25% от полного диапазона. Датчик фиксирует перемещения штока с разрешением 0,03 мм, что гарантированно обеспечит необходимую точность.
На фиг.1. представлена математическая модель системы «здание-грунт» (конечноэлементное представление), на фиг.2 – схема расположения датчиков по периметру здания, на фиг.3 – результаты измерения осадок для трех различных дат, на фиг.4 – эволюция вертикальных осадок фундамента в точках, соответствующих датчикам 4, 5, 6, 7 и 14, 15, 16, 17, на фиг.5 – результаты расчета напряженно-деформированного состояния здания по математической модели для трех различных дат. Расчеты произведены с использованием данных наблюдений, представленных на фиг.3, 4. Результаты расчета эквивалентных напряжений (частично представленных на фиг.5), которые вычисляются с той же частотностью по времени, что и реализация измерений в системе мониторинга (частотность опроса датчиков в экспериментах равнялась 60 минутам), позволяют оценить скорости роста эквивалентных напряжений в наиболее критичных местах здания. Знание этих скоростей, достигнутый уровень эквивалентных напряжений и их предельно допустимые значения позволяют оценить остаточный временной ресурс безопасной эксплуатации здания. Для ситуации, представленной на фиг.5, анализ остаточного ресурса был осуществлен. Для представленного здания критичной является срединная часть. Установлено, что при достигнутых скоростях изменения эквивалентных напряжений эта часть здания перейдет в предельное состояние через 15 месяцев.
Формула изобретения
Способ мониторинга здания, находящегося под действием возмущений от смещения его фундамента, заключающийся в приеме, обработке и оценке контролируемых параметров с датчиков, установленных на здании, характеризующих текущее состояние здания и прогнозирование возможной дальнейшей эксплуатации путем определения ресурса времени до достижения критического значения по контролируемым параметрам, отличающийся тем, что сначала определяют схему расположения датчиков путем определения напряженно-деформированного состояния всех элементов конструкции здания на математической модели здания методом конечных элементов при воздействии на модель здание-грунт возмущения от смещения каждой сваи фундамента на величину 1 см и более последовательно, попеременно и в сочетании, с увеличением смещения с шагом 0,1-0,5 см, имитируя смещения свай фундамента и выявления точек с максимальным эквивалентным напряжением в элементах конструкции при минимальных смещениях свай, далее на ростверке в местах расположения опор здания на сваи фундамента или близких к ним, давших на модели при их смещениях максимальные эквивалентные напряжения, в элементах конструкции располагают датчики вертикальных перемещений, например, гидростатического нивелирования, принятые сигналы с датчиков в эксплуатационном режиме статистически обрабатывают в последовательных равных интервалах t времени 15-60 мин, определяют текущие среднеквадратические значения напряженно-деформированного состояния в критических точках здания, установленные на модели в этих интервалах, а скорость изменения среднеквадратического значения параметра в каждой критической точке за интервал времени t определяют по формуле
 где х1 и х2 – среднеквадратические значения эквивалентного напряжения в критической точке в заданных интервалах времени, а оставшийся ресурс времени Т до достижения предельного критического значения эквивалентного напряжения в критической точке здания определяют по формуле
 где хпр. – предельное эквивалентное напряжение в контролируемой точке конструкции, определенное на модели здание-грунт.
РИСУНКИ
|
|