|
|
(21), (22) Заявка: 2007127647/04, 20.12.2005
(24) Дата начала отсчета срока действия патента:
20.12.2005
(30) Конвенционный приоритет:
21.12.2004 US 60/637642
(43) Дата публикации заявки: 27.01.2009
(46) Опубликовано: 10.01.2010
(56) Список документов, цитированных в отчете о поиске:
US 4536315 А, 20.08.1985. ЕР 05232287 A1, 20.01.1993. ЕР 0820762 А1, 28.01.1998. RU 2141998 C1, 27.11.1999.
(85) Дата перевода заявки PCT на национальную фазу:
23.07.2007
(86) Заявка PCT:
US 2005/046154 20051220
(87) Публикация PCT:
WO 2006/069061 20060629
Адрес для переписки:
101000, Москва, М.Златоустинский пер., 10, кв.15, “ЕВРОМАРКПАТ”, пат.пов. И.А.Веселицкой, рег. 11
|
(72) Автор(ы):
ФРАНК Питер (US)
(73) Патентообладатель(и):
ДЕГУССА ГМБХ (DE)
|
(54) СИСТЕМА ДОСТАВКИ ДУШИСТЫХ ВЕЩЕСТВ
(57) Реферат:
Использование: в моющих средствах. Сущность: система доставки душистых веществ включает: а) водонерастворимые частицы носителя, содержащие на поверхности силанольные группы. По крайней мере часть указанных силанольных групп замещена органическими остатками с помощью прививки по крайней мере одного кремнийорганического соединения и по крайней мере часть указанных органических остатков содержит положительно заряженные функциональные группы, включающие алкилированный атом азота с положительным зарядом, и б) ароматизатор, адсорбированный на указанных частицах носителя или абсорбированный в указанных частицах носителя. Частицы носителя предпочтительно включают диоксид кремния, силикат, алюмосиликаты или их смесь. Описывается также способ получения системы доставки душистых веществ. Композиция для смягчения ткани включает систему доставки душистых веществ и одно или более активных соединений четвертичного аммония для смягчения ткани. Композиция для стирки включает систему доставки душистых веществ и одно или более ПАВ. Технический результат – повышение интенсивности и устойчивости аромата при меньшем количестве душистых веществ в композициях для стирки. 4 н. и 14 з.п. ф-лы, 4 табл.
Перекрестные ссылки на родственные заявки
В настоящей заявке испрашивается приоритет и преимущество в связи с предварительной заявкой на выдачу патента US 60/637642, поданной 21 декабря 2004, содержание которой в полном объеме включено в настоящее описание в качестве ссылки.
Область техники, к которой относится изобретение
Настоящее изобретение относится к системам доставки душистых веществ, включающим частицы нерастворимого носителя, содержащие силанолы на поверхности, привитые кремнийорганическим соединением, содержащие остатки с положительно заряженными функциональными группами и душистые вещества, адсорбированные на поверхности частиц или в частицах носителя. Системы доставки душистых веществ придают устойчивый аромат тканям, обработанным композициями, содержащими системы доставки душистых веществ.
Предпосылки создания настоящего изобретения
Продукты для обработки ткани, такие как ПАВ или смягчители ткани, обычно содержат душистые вещества, которые одновременно маскируют неприятные запахи некоторых продуктов, предназначенных для ухода за тканями, и придают приятный запах обработанным тканям. Душистые вещества являются наиболее дорогостоящими ингредиентами продуктов для обработки ткани, поэтому существует необходимость сохранять максимально возможное количество душистых веществ в обработанной ткани. Такое условие является прежде всего важным для продуктов для обработки ткани, которые применяют в воде, таких как ПАВ для стирки или смягчители ткани для полоскания. При использовании таких продуктов существует необходимость в разработке систем доставки душистых веществ, которые удерживаются на волокнах, т.е. приклеиваются к волокнам в процессе обработки ткани и не смываются с нее при стирке или полоскании. Такие системы доставки душистых веществ должны также обеспечивать замедленное высвобождение душистых веществ для придания обработанным тканям устойчивого аромата, начиная со среднего уровня интенсивности запаха, который не воспринимается как неприятный.
В патенте Великобритании GB 1306924 описаны тонкодисперсный диоксид кремния и тонкодисперсный силикагель, применяемые в качестве частиц носителя для душистых масел. С использованием таких частиц носителя жидкие душистые масла перерабатывают в составы в виде свободно текущих порошков, включающих не более 70 мас.% душистого масла.
В патенте US 5840668 описаны ароматизированные стиральные порошки на основе ПАВ. Описанные ПАВ содержат душистые вещества, нанесенные на систему носителя, включающую в качестве носителя аморфный диоксид кремния. Эксперименты, описанные в тексте (столбец 7, строка 58 – столбец 9, строка 26), свидетельствуют о том, что душистые вещества, адсорбированные на частицах носителя – диоксида кремния – быстро высвобождаются в водную среду в присутствии даже небольших количеств ПАВ. Таким образом, система доставки душистых веществ не является эффективной для доставки душистых веществ в ткань, обработанную описанными ПАВ.
В патенте US 4954285 описано включение частиц диоксида кремния, содержащих адсорбированные душистые вещества, в композиции твердого смягчителя ткани, активируемого при сушке. В патенте описано (столбец 4, строки 53-55), что ароматизированные частицы диоксида кремния высвобождают душистые вещества при смачивании водной жидкостью. Соответственно в патенте описаны частицы композиции смягчителя ткани, включающие ароматизированные частицы диоксида кремния с дополнительным водонерастворимым покрытием для применения смягчителя ткани в воде.
В патенте US 4536315 описан ароматизированный носитель, состоящий из частиц смектита или цеолита, при этом душистые вещества адсорбированы на частицах, содержащих покрытие из адгезива для ткани, которым предпочтительно является соединение четвертичного аммония. Систему доставки душистых веществ используют в средствах для стирки и в патенте описана повышенная интенсивность запаха в тканях, выстиранных в таких средствах для стирки, по сравнению с тканями, выстиранными с использованием средства для стирки, содержащего душистые вещества без системы носителя. Однако недостаток системы доставки душистых веществ, описанной в патенте US 4536315, заключается в том, что применение ПАВ или диспергирующих агентов приводит к быстрому удалению покрытия частиц в процессе обработки ткани, что, в свою очередь, приводит к снижению эффективности доставки душистых веществ.
В патенте US 5476660 описаны композиции, предназначенные для нанесения активного компонента, такого как душистое вещество, на поверхность-мишень, такую как ткань, содержащие частицы носителя с катионной поверхностью, содержащей положительно заряженные углеродсодержащие органические группы, и активный компонент, абсорбированный или адсорбированный на частицы носителя. Частицы носителя получают нанесением на твердый материал, такой как частицы пористого диоксида кремния, цеолита или латекса, полимера с боковыми положительно заряженными группами. Другой способ получения частиц носителя заключается в прививке одного или более полимеров, включающих бифункциональные углеродсодержащие органические группы, на твердый материал с поверхностными реакционноспособными группами. Для прививки, описанной в патенте US 547660, требуются двухфункциональные полимеры, которые являются относильно труднодоступными.
Таким образом, существует необходимость в разработке систем доставки душистых веществ, которые обеспечивают эффективную прямую доставку душистых веществ на поверхность ткани и удерживание их в ткани за счет прилипания к волокнам, а также придают ткани длительный устойчивый аромат. В идеальном случае способ получения такой системы доставки душистых веществ должен быть простым, а сами системы должны быть нечувствительными к ПАВ или диспергирующим агентам в том смысле, что функциональные группы, способствующие доставке душистых веществ к волокнам ткани, не должны удаляться в присутствии ПАВ или диспергирующего агента. Объектом настоящего изобретения является система доставки душистых веществ, характеризующаяся указанными свойствами.
Краткое описание вариантов осуществления настоящего изобретения
Настоящее изобретение относится к системе доставки душистых веществ, включающей водонерастворимые частицы носителя, содержащие на поверхности силанольные группы, при этом по крайней мере часть силанольных групп замещена органическими остатками при прививке по крайней мере одного кремнийорганического соединения, в котором по крайней мере часть органических остатков содержит положительно заряженные функциональные группы, и душистое вещество, адсорбированное или абсорбированное на указанных частицах носителя. В настоящем изобретении также предлагается способ получения системы доставки душистых веществ по настоящему изобретению.
В первом варианте осуществления настоящего изобретния способ получения системы доставки душистых веществ по настоящему изобретению включает следующие стадии:
а) взаимодействие частиц водонерастворимого носителя, содержащего на поверхности силанольные группы, с кремнийорганическим соединением, содержащим по крайней мере одну функциональную группу, включающую основный атом азота, с получением частиц носителя, в которых по крайней мере часть указанных силанольных групп замещена органическими остатками, содержащими указанную функциональную группу,
б) взаимодействие частиц, полученных на стадии а), с алкилирующим агентом, с получением частиц носителя, в которых по крайней мере часть указанных органических остатков содержит по крайней мере одну функциональную группу, включающую алкилированный атом азота с положительным зарядом, и
в) контактирование частиц, полученных на стадии б), с душистым веществом, при этом указанное душистое вещество адсорбируется на указанных частицах или абсорбируется в указанных частицах.
Во втором варианте осуществления настоящего изобретения способ получения системы доставки душистых веществ по настоящему изобретению включает следующие стадии:
а) взаимодействие кремнийорганического соединения, содержащего по крайней мере одну функциональную группу, включающую основный атом азота, с алкилирующим агентом, с получением кремнийорганического соединения, содержащего по крайней мере одну функциональную группу, включающую алкилированный атом азота с положительным зарядом,
б) взаимодействие продукта, полученного на стадии а), с частицами водонерастворимого носителя с силанольными группами на поверхности, в которых по крайней мере часть указанных силанольных групп замещена органическими остатками, содержащими указанную функциональную группу, включающую алкилированный атом азота с положительным зарядом, и
в) контактирование частиц, полученных на стадии б), с душистым веществом, при этом указанное душистое вещество адсорбируется на указанных частицах или абсорбируется в указанных частицах.
В третьем варианте осуществления настоящего изобретния способ получения системы доставки душистых веществ по настоящему изобретению включает следующие стадии:
а) взаимодействие частиц водонерастворимого носителя, содержащего на поверхности силанольные группы, с кремнийорганическим соединением, содержащим по крайней мере одну функциональную группу, включающую основный атом азота или гидроксильный радикал, с получением частиц носителя, в которых по крайней мере часть указанных силанольных групп замещена органическими остатками, содержащими указанную функциональную группу,
б) взаимодействие частиц, полученных на стадии а), с соединением четвертичного аммония, включающими эпокси- или хлоргидрино-функциональную группу, с получением частиц носителя, в которых по крайней мере часть указанных органических остатков содержит по крайней мере одну функциональную группу, включающую четвертичную аммонийную группу, несущую положительный заряд, и
в) контактирование частиц, полученных на стадии б), с душистым веществом, при этом указанное душистое вещество адсорбируется на указанных частицах или абсорбируется в указанных частицах.
В настоящем изобретении предлагаются также композиции для смягчения ткани, включающие систему доставки душистых веществ по настоящему изобретению и одно или более активных соединений четвертичного аммония для смягчения ткани, а также композиции средств для стирки, включающие систему доставки душистых веществ по настоящему изобретению и одно или более ПАВ.
Подробное описание вариантов осуществления настоящего изобретения
А. Частицы носителя
Система доставки душистых веществ по настоящему изобретению включает частицы водонерастворимого носителя, которые изначально содержат на поверхности силанольные группы. Такими поверхностными силанольными группами являются гидроксигруппы, напрямую присоединенные к атомам кремния в составе частиц носителя, являющиеся поверхностно-доступными и способные вступать в реакции конденсации. Частицами носителя являются как неорганические материалы, так и гибридные органо-неорганические полисилоксаны, содержащие силанольные группы на поверхности. Предпочтительно частицами носителя являются неорганические частицы, которые выбирают из диоксидов кремния, сикагелей, силикатов или алюмосиликатов. Частицами носителя в составе системы доставки душистых веществ по настоящему изобретению могут являться также смеси указанных материалов. Силикаты и алюмосиликаты, используемые в качестве частиц носителя по настоящему изобретению для компенсации избыточного отрицательного заряда в материале, предпочтительно содержат ионы щелочных или щелочно-земельных металлов. Предпочтительно отрицательные заряды компенсируются ионами натрия.
В предпочтительном варианте осуществления настоящего изобретения частицами носителя являются диоксиды кремния, которые выбирают из группы, включающей осажденные диоксиды кремния, мелкодисперсные диоксиды кремния и силикагели. В другом предпочтительном варианте осуществления настоящего изобретения нерастворимыми частицами носителя являются алюмосиликаты с цеолитной структурой. Наиболее предпочтительно цеолитом является крупнопористый цеолит, который выбирают из группы, включающей цеолит X, цеолит Y и несодержащий алюминий цеолит Y.
Частицы водонерастворимого носителя предпочтительно характеризуются высокой удельной площадью поверхности более 30 м2/г и предпочтительно более 100 м2/г. Частицами носителя могут являться пористые частицы, такие как осажденные диоксиды кремния, в которых удельная поверхность в основном связана с наличием пор в частицах. Частицами водонерастворимого носителя могут являться также непористые частицы, такие как мелкодисперсные диоксиды кремния, в которых частицы состоят из первичных частиц небольшого размера с большой площадью поверхности.
Частицами нерастворимого носителя могут являться частицы небольшого размера от 0,1 до 10 мкм. В другом варианте используют крупные частицы, размер которых составляет от 10 до 100 мкм и которые образуются при агломерации частиц меньшего размера. При использовании системы доставки душистых веществ в форме жидкой композиции с низкой вязкостью во избежание оседания частиц предпочтительно использовать частицы носителя меньшего размера. Частицы большого размера являются предпочтительными для удобства обработки системы доставки душистых веществ и во избежание пылеобразования при обработке.
Силанольные группы на поверхности частиц нерастворимого носителя частично или полностью замещены органическими остатками при прививке по крайней мере одного кремнийорганического соединения. Термин «кремнийорганическое соединение», использованный в данном контексте, означает соединение кремния, содержащее по крайней мере один органический остаток, присоединенный к атому кремния связью кремний – углерод и содержащий по крайней мере одну реакционноспособную группу, связанную с атомом кремния и способную вступать в реакцию с силанольной группой при прививке. Реакция прививки означает реакцию, приводящую к образованию ковалентной мостиковой связи Si-O-Si между атомом кремния в составе частицы носителя и атомом кремния в составе кремнийорганического соединения. Реакция прививки приводит к образованию устойчивой ковалентной связи между органическим остатком кремнийорганического соединения и поверхностью частиц носителя.
Кремнийорганические соединения, используемые для прививки, предпочтительно включают две или три функциональные группы, участвующие в реакциях прививки, такие как хлорид, алкоксид или гидроксид, присоединенные к атому кремния и обеспечивающие образование множества связей между кремнийорганическим соединением и поверхностью частицы в процессе прививки. С целью получения требуемого органического остатка, привитого на поверхность частицы носителя, используют смеси двух или более кремнийорганических соединений.
По крайней мере часть органических остатков, привитых на поверхности частиц носителя, содержит положительно заряженные функциональные группы, такие как функциональные группы аммония, фосфония, сульфония, амидиния, гуанидиния или пиридиния. Предпочтительными положительно заряженными функциональными группами являются функциональные группы с устойчивым положительным зарядом, независимым от величины рН среды, окружающей частицы носителя. Наиболее предпочтительными положительно заряженными функциональными группами являются четвертичные аммонийные группы. В предпочтительном варианте каждый органический остаток содержит по крайней мере одну положительно заряженную функциональную группу. Органические остатки содержат одну положительно заряженную группу в составе одного остатка или несколько положительно заряженных функциональных групп. Положительные заряды функциональных групп обычно компенсируются противоионами, такими как хлорид, бромид, сульфат, фосфат, карбонат, гидрокарбонат, метилсульфат и т.п.
При проведении прививки в кремнийорганические соединения перед их взаимодействием с силанольными группами на поверхности частиц носителя можно включать положительно заряженные функциональные группы. В другом варианте на частицы носителя прививают кремнийорганическое соединение, содержащее одну или более незаряженных функциональных групп, которые превращают в положительно заряженные функциональные группы после прививки кремнийсодержащего соединения на поверхности частиц носителя. Примером такого варианта является частица носителя, на которую сначала прививают кремнийорганическое соединение, содержащее одну или более аминогрупп, которые после прививки алкилируют, при этом по крайней мере часть аминогрупп превращается в четвертичные аммонийные группы.
Размер и состав органических остатков, привитых на поверхности частиц носителя, выбирают в широком диапазоне таким образом, чтобы по крайней мере часть органических остатков содержала положительно заряженную функциональную группу. Предпочтительные органические остатки включают от 2 до 20 атомов углерода.
Частицы носителя и по крайней мере одно из кремнийорганических соединений предпочтительно выбирают таким образом, чтобы обеспечить после прививки смачиваемость частицы носителя с гидрофильной поверхностью при контактировании с водой. Преимущество частиц носителя с гидрофильной поверхностью заключается также в высокой скорости их диспергирования в водных композициях.
Б. Ароматизатор (пахучие вещества)
Система доставки душистых веществ по настоящему изобретению включает кроме того ароматизатор, адсорбированный на поверхности или в частицах носителя, нерастворимых в воде. Ароматизатор включает одно или более душистых веществ, а также может включать один или более пригодных растворителей и других добавок, таких как антиоксиданты. Ароматизатор наносят на частицы носителя в жидком виде в индивидуальной форме или в виде раствора в одном или более пригодных растворителей. Нанесение ароматизатора на частицы носителя осщуствляют любым пригодным способом, таким как распыление ароматизатора или раствора ароматизатора на частицы носителя в смесителе или в псевдоожижженном слое. Если система доставки душистых веществ включает непористые частицы носителя, то ароматизатор адсорбируется на поверхности таких частиц носителя. Если система доставки душистых веществ включает пористые частицы носителя, то ароматизатор адсорбируется в порах таких частиц носителя. Состав ароматизатора и природу пахучих веществ выбирают, без ограничения перечисленным, в широком диапазоне таким образом, чтобы ароматизирующие вещества сохраняли устойчивость при контактировании с материалом частиц носителя, нерастворимых в воде. При использовании системы доставки душистых веществ в виде водных композиций или в водных системах душистые вещества, содержащиеся в ароматизаторе, предпочтительно выбирают из соединений с низкой раствормостью в воде.
Примеры пригодных ароматизирующих веществ включают адоксаль (2,6,10-триметил-9-ундецен-1-аль), амилацетат, амилсалицилат, анисовый альдегид, (4-метоксибензальдегид), бакданол (2-этил-4-(2,2,3-триметил-3-циклопентен-1-ил)-2-бутен-1-ол), бензальдегид, бензофенон, бензилацетат, бензилсалицилат, 3-гексен-1-ол, цеталокс (додекагидро-3А,6,6,9А-тетраметилнафто[2,1В]фуран), цис-3-гексенилацетат, цис-3-гексенилсалицилат, цитронеллол, кумарин, циклогексилсалицилат, цималь (2-метил-3-(4-изопропилфенил)пропиональдегид), децилальдегид, этилванилин, этил-2-метилбутират, этиленбрассилат, эвкалиптол, эвгенол, эксалтолид (циклопентадеканолид), флоргидраль (3-(3-изопропилфенил)бутаналь), галаксолид (1,3,4,6,7,8-гексагидро-4,6,6,7,8,8-гексаметилциклопента- -2-бензопиран), -декалактон, -додекалактон, гераниол, геранилнитрил, гелионал ( -метил-3,4-(метилендиокси)гидрокоричный альдегид), гелиотропин, гексилацетат, гексилкоричный альдегид, гексилсалицилат, гидроксиамбран (2-циклододецилпропанол), гидроксицитронеллаль, изо-Е-супер (7-ацетил-1,2,3,4,5,6,7,8-октагидро-1,1,6,7-тетраметилнафталин), изо-эвгенол, изо-жасмон, коавон (ацетилдиизоамилен), лауриновый альдегид, Irg 201 (метиловый эфир 2,4-дигидрокси-3,6-диметилбензойной кислоты), лираль (4-(4-гидрокси-4-метилфенил)-3-циклогексен-1-карбоксальдегид), маянтол (2,2-диметил-3-(3-метилфенил)пропанол), майол (4-(1-метилэтил)циклогексанметанол), метилантранилат, метил- -нафтилкетон, метилцедрилон (метилцедренилкетон), метилчавикол (1-метилокси-4,2-пропен-1 -илбензол), метилдигидрожасмонат, метилнонилацетальдегид, мускусный инданон (4-ацетил-6-трет-бутил-1,1-диметилиндан), нерол, ноналактон (лактон 4-гидроксинонановой кислоты), норлимбанол (1-(2,2,6-триметилциклогексил)-3-гексанол), Р.Т. bucinal (2-метил-3-(4-трет-бутилфенил)пропиональдегид), пара-гидроксифенилбутанон, пачули, фенилацетальдегид, фенилэтилацетат, фенилэтиловый спирт, фенилэтилфенилацетат, фенилгексанол/феноксанол (3-метил-5-фенилпентанол), полисантол (3,3-диметил-5-(2,2,3-триметил-3-циклопентен-1-ил)-4-пентен-2-ол), розафен (2-метил-5-фенилпентанол), сандаловое дерево, -терпинен, тоналид/мускус плюс (7-ацетил-1,1,3,4,4,6-гексаметилтетралин), ундекалактон, ундекавертол (4-метил-3-децен-5-ол), ундециловый альдегид, ундецениловый гликолят, ванилин, аллиламилгликолят, аллилантранилат, аллилбензоат, аллилбутират, аллилкапрат, аллилкапроат, аллилциннамат, аллилциклогексанацетат, аллилциклогексанбутират, аллилциклогексанпропионат, аллилгептоат, аллилнонаноат, аллилсалицилат, амилциннамилацетат, амилциннамилформиат, циннамилформиат, циннамилацетат, циклогалбанат, геранилацетат, геранилацетоацетат, геранилбензоат, геранилциннамит, металлилбутират, металлилкапроат, нерилацетат, нерилбутират, амилциннамилформиат, -метилциннамилацетат, метилгеранилтиглат, мертенилацетат, фарнезилацетат, фенхилацетат, геранилантранилат, геранилбутират, геранилизобутират, геранилкапроат, геранилкаприлат, геранилэтилкарбонат, геранилформиат, геранилфуроат, геранилгептоат, геранилметоксиацетат, геранилпеларгонат, геранилфенилацетат, геранилфталат, геранилпропионат, геранилизопропоксиацетат, геранилвалерат, геранилизовалерат, транс-2-гексенилацетат, транс-2-гексенилбутират, транс-2-гексенилкапроат, транс-2-гексенилфенилацетат, транс-2-гексенилпропионат, транс-2-гексенилтиглат, транс-2-гексенилвалерат, -пентенилацетат, -фенилаллилацетат, пренилацетат, трихлорметилфенилкарбинилацетат, втор-н-амилацетат, орто-трет-амилциклогексилацетат, изоамилбензилацетат, втор-н-амилбутират, амилвинилкарбинилацетат, амилвинилкарбинилпропионат, циклогексилсалицилат, дигидронорциклопентадиенилацетат, дигидронорциклопентадиенилпропионат, изоборнилацетат, изоборнилсалицилат, изоборнилвалерат, флорацетат, фрутен, 2-метилбутен-2-ол-4-ацетат, метилфенилкарбинилацетат, 2-метил-3-фенилпропан-2-илацетат, пренилацетат, 4-трет-бутилциклогексилацетат, вердокс (2-трет-бутилциклогексилацетат), вертенекс (4-трет-бутилциклогексилацетат), Violiff (4-циклооктен-1-илметиловый эфир угольной кислоты), этенилизоамилкарбинилацетат, фенхилацетат, фенхилбензоат, фенхил-н-бутират, фенхилизобутират, левоментилацетат, DL-ментилацетат, ментилантранилат, ментилбензоат, ментилизобутират, ментилформиат, левоментилфенилацетат, ментилпропионат, ментилсалицилат, ментилизовалерат, циклогексилацетат, циклогексилантранилат, циклогексилбензоат, циклогексилбутират, циклогексилизобутират, циклогексилкапроат, циклогексилциннамат, циклогексилформиат, циклогексилгептоат, циклогексилоксалат, циклогексилпеларгонат, циклогексилфенилацетат, циклогексилпропионат, циклогексилтиогликолят, циклогексилвалерат, циклогексилизовалерат, метиламилацетат, метилбензилкарбинилацетат, метилбутилгексанилацетат, 5-метил-3-бутилтетрагидропиран-4-илацетат, метилцитрат, метилизокамфолят, 2-метилциклогексилацетат, 4-метилциклогексилацетат, 4-метилциклогексилметилкарбинилацетат, метилэтилбензилкарбинилацетат, 2-метилгептанол-6-ацетат, метилгептенилацетат, -метил-н-гексилкарбинилформиат, метил-2-метилбутират, метилнонилкарбинилацетат, метилфенилкарбинилацетат, метилфенилкарбинилантранилат, метилфенилкарбинилбензоат, метилфенилкарбинил-н-бутират, метилфенилкарбинилизобутират, метилфенилкарбинилкапроат, метилфенилкарбинилкаприлат, метилфенилкарбинилциннамат, метилфенилкарбинилформиат, метилфенилкарбинилфенилацетат, метилфенилкарбинилпропионат, метилфенилкарбинилсалицилат, метилфенилкарбинилизовалерат, 3-нонилацетат, 3-ноненилацетат, нонандиол-2,3-ацетат, нонинолацетат, 2-октилацетат, 3-октилацетат, н-октилацетат, втор-октилизобутират, -пентенилацетат, -фенилаллилацетат, фенилэтилметилкарбинилизовалерат, фенилэтиленгликольдифенилацетат, фенилэтилэтилкарбинилацетат, фенилгликольдиацетат, втор-фенилгликольмоноацетат, фенилгликольмонобензоат, изопропилкапрат, изопропилкапроат, изопропилкаприлат, изопропилциннамат, пара-изопропилциклогексилацетат, пропилгликольдиацетат, пропиленгликольдиизобутират, пропиленгликольдипропионат, изопропил-н-гептоат, изопропил-н-гепт-1-инкарбонат, изопропилпеларгонат, изопропилпропионат, изопропилундециленат, изопропил-н-валерат, изопропил-изовалерат, изопропилсебацинат, изопулегилацетат, изопулегилацетоацетат, изопулегилизобутират, изопулегилформиат, тимилпропионат, -2,4-триметилциклогексанметилацетат, триметилциклогексилацетат, ванилинтриацетат, ванилилидендиацетат, ванилилваниллат, трет-амилацетат, кариофилленацетат, цедренилацетат, цедрилацетат, дигидромирценилацетат, дигидротерпинилацетат, диметилбензилкарбинилацетат, диметилбензилкарбинилизобутират, диметилгептенилацетат, диметилгептенилформиат, диметилгептенилпропионат, диметилгептенилизобутират, диметилфенилэтилкарбинилацетат, диметилфенилэтилкарбинилизобутират, диметилфенилэтилкарбинилизовалерат, дигидронордициклопентадиенилацетат, диметилбензилкарбинилбутират, диметилбензилкарбинилформиат, диметилбензилкарбинилпропионат, диметилфенилэтилкарбинил-н-бутират, диметилфенилэтилкарбинилформиат, диметилфенилэтилкарбинилпропионат, элемилацетат, этинилциклогексилацетат, эйдесмилацетат, эвгенилциннамат, эвгенилформиат, изоэвгенилформиат, эвгенилфенилацетат, изоэвгенилфенилацетат, гваяилацетат, гидроксицитронеллилэтилкарбонат, линаллилацетат, линаллилантранилат, линаллилбензоат, линаллилбутират, линаллилизобутират, линаллилкапроат, линаллилкаприлат, линаллилциннамат, линаллилцитронеллат, линаллилформиат, линаллилгептоат, линаллил-N-метилантранилат, линаллилметилтиглат, линаллилпеларгонат, линаллилфенилацетат, линаллилпропионат, линаллилпируват, линаллилсалицилат, линаллил-н-валерат, линаллилизовалерат, метилциклопентенолонбутират, метилциклопентенолонпропионат, метилэтилфенилкарбинилацетат, метилгептинилкарбонат, метилникотинат, мирценилацетат, мирценилформиат, мирценилпропионат, цис-оцименилацетат, фенилсалицилат, терпинилацетат, терпинилантранилат, терпинилбензоат, терпинил-н-бутират, терпинилизобутират, терпинилциннамат, терпинилформиат, терпинилфенилацетат, терпинилпропионат, терпинил-н валерат, терпинилизовалерат, трибутилацетилцитрат, амилвинилкарбинилацетат, амилвинилкарбинилпропионат, гексилвинилкарбинилацетат, 3-ноненилацетат, 4-гидрокси-2-гексенилацетат, линаллилантранилат, линаллилбензоат, линаллилбутират, линаллилизобутират, линаллилкарпроат, линаллилкаприлат, линаллилциннамат, линаллилцитронеллат, линаллилформиат, линаллилгептоат, линаллил-N-метилантранилат, линаллилметилтиглат, линаллилпеларгонат, линаллилфенилацетат, линаллилпропионат, линаллилпируват, линаллилсалицилат, линаллил-н-валерат, линаллилизовалерат, миртенилацетат, неролидилацетат, неролидилбутират, -пентенилацетат, -фенилаллилацетат, ацетилфуран, аллетролон, аллилионон, аллилпулегон, амилциклопентенон, бензилиденацетон, бензилиденацетофенон, -изометилионон, 4-(2,6,6-триметил-1 -циклогексен-1-ил)-3-бутен-2-он, -дамаскон (1-(2,6,6-триметилциклогексен-1-ил)-2-бутен-1-он), дамаскенон (1-(2,6,6-триметил-1,3-циклогексадиен-1-ил)-2-бутен-1-он), 5-дамаскон (1-(2,6,6-триметил-3-циклогексен-1-ил)-2-бутен-1-он), -ионон (4-(2,6,6-триметил-1-циклогексенил-1-ил)-3-бутен-2-он), -ионон (4-(2,6,6-триметил-1-циклогексен-1-ил)-3-бутен-2-он), -метилионон (4-(2,6,6-триметил-2-циклогексил-1-ил)-3-метил-3-бутен-2-он), пулегон, бензил- -метоксиэтилацеталь ацетальдегида, ди-изоамилацеталь ацетальдегида, дипентандиолацеталь ацетальдегида, ди-н-пропилацеталь ацетальдегида, этил-транс-3-гексенилацеталь ацетальдегида, фенилэтиленгликольацеталь ацетальдегида, фенилэтил-н-пропилацеталь ацетальдегида, диметилацеталь коричного альдегида, бензил- -метоксиэтилацеталь ацетальдегида, диэтилацеталь ацетальдегида, ди-цис-3-гексенилацеталь ацетальдегида, дипентандиолацеталь ацетальдегида, ди-н-пропилацеталь ацетальдегида, этил-транс-3-гексенилацеталь ацетальдегида, фенилэтиленгликольацеталь ацетальдегида, фенилэтил-н-пропилацеталь ацетальдегида, ацетилванилилдиметилацеталь, диизопропилацеталь -амилкоричного альдегида, диэтилацеталь пара-трет-амилфеноксиацетальдегида, диэтилацеталь анисового альдегида, диметилацеталь анисового альдегида, изоапиол, диэтилацеталь бензальдегида, ди(этиленгликольмонобутиловый эфир)ацеталь бензальдегида, диметилацеталь бензальдегида, этиленгликольацеталь бензальдегида, глицерилацеталь бензальдегида, пропиленгликольацеталь бензальдегида, диэтилацеталь коричного альдегида, диэтилацеталь цитраля, диметилацеталь цитраля, пропиленгликольацеталь цитраля, диэтилацеталь -метилкоричного альдегида, диметилацеталь -коричного альдегида, 2,3-бутиленгликольацеталь фенилацетальдегида, цитронеллилметилацеталь фенилацетальдегида, диаллилацеталь фенилацетальдегида, диамилацеталь фенилацетальдегида, дибензилацеталь фенилацетальдегида, дибутилацеталь фенилацетальдегида, диэтилацеталь фенилацетальдегида, дигеранилацеталь фенилацетальдегида, диметилацеталь фенилацетальдегида, этиленгликольацеталь фенилацетальдегида, глицерилацеталь фенилацетальдегида, цикломоногликольацеталь цитронеллаля, диэтилацеталь цитронеллаля, диметилацеталь цитронеллаля, дифенилэтилацеталь цитронеллаля, диэтилацеталь гераноксиацетальдегида, ацетондиэтилкеталь, ацетондиметилкеталь, ацетофенондиметилкеталь, метиламилкатехолкеталь, метилбутилкатехолкеталь, метилантранилат анисового альдегида, аурантиол (метилантранилат гидроксицитронеллаля), вердантиол (метилантранилат 4-трет-бутил- -метилдигидроксикоричного альдегида), вертозин (2,4-диметил-3-циклогексенкарбальдегид), этилантранилат гидроксицитронеллаля, линаллилантранилат гидроксицитронеллаля, метил-N-(4-(4-гидрокси-4-метилпентил)-3-циклогексенилметилиден)антранилат, метилантранилат метилнафтилкетона, метилантранилат метилнонилацетальдегида, метил-N-(3,5,5-триметилгексилиден)антранилат, ванилинметилантранилат, амилацетат, амилпропионат, анетол, анисовый альдегид, анизол, бензальдегид, бензилацетат, бензилацетон, бензиловый спирт, бензилбутират, бензилформиат, бензил-изовалерат, бензилпропионат, камфорная камедь, карвакрол, левокарвеол, d-карвон, лево-карвон, цитраль (нераль), цитронеллол, цитронеллилацетат, цитронеллилизобутират, цитронеллилнитрил, цитронеллилпропионат, пара-крезол, пара-крезилметиловый эфир, циклогексилэтилацетат, куминовый спирт, куминовый альдегид, циклаль С (3,5-диметил-3-циклогексен-1-карбоксальдегид), пара-цимен, децилальдегид, диметилбензилкарбинол, диметилоктанол, дифенилоксид, додекалактон, этилацетат, этилацетоацетат, этиламилкетон, этилбензоат, этилбутират, этилгексилкетон, этилфенилацетат, эвкалиптол, эвгенол, фенхиловый спирт, гераниол, геранилнитрил, гексенол, – -гексенол, гексенилацетат, цис-3-гексенилацетат, гексенилизобутират, цис-3-гексенилтиглат, гексилацетат, гексилформиат, гексилнеопентаноат, гексилтиглат, гидратроповый спирт, гидроксицитронеллаль, индол, -ирон, изоамиловый спирт, изобутилбензоат, изоментон, изононилацетат, изонониловый спирт, изобутилхинолин, изоментол, пара-изопропилфенилацетальдегид, изопулегол, изопулегилацетат, изохинолин, цис-жасмон, лауриновый альдегид (додеканаль), лигустраль (2,4-диметил-3-циклогексен-1-карбоксальдегид), линалоол, линалоолоксид, ментон, метилацетофенон, пара-метилацетофенон, метиламилкетон, метилантранилат, метилбензоат, метилбензилацетат, метилчавикол, метилэвгенол, метилгептенон, метилгептинкарбонат, метилгептилкетон, метилгексилкетон, метилнонилацетальдегид, метилоктилацетальдегид, метилсалицилат, мирцен, нераль, нерол, -ноналактон, нонилацетат, нонилальдегид, аллооцимен, 2-октанол, октилальдегид, d-лимонен, феноксиэтанол, фенилацетальдегид, фенилэтилацетат, фенилэтиловый спирт, фенилэтилдиметилкарбинол, пропилбутират, розеноксид, 4-терпиненол, -терпинеол, терпинолен, тоналид (6-ацетил-1,1,3,4,4,6-гексаметилтетрагидронафталин), ундеценаль, вератрол (1,2-диметоксибензол), амброкс (1,5,5,9-тетраметил-1,3-оксатрициклотридекан), анетол, бакданол (2-этил-4-(2,2,3-триметил-3-циклопентен-1-ил)-2-бутен-1-ол), бензилацетон, бензилсалицилат, бутилантранилат, калон, цеталокс (2-этил-4-(2,2,3-триметил-3-циклопентен-1-ил)-2-бутен-1-ол), коричный спирт, кумарин, циклаль С (3,5-диметил-3-циклогексен-1-карбоксальдегид), цималь (2-метил-3-(4-изопропилфенил)пропиональдегид), 4-деценаль, дигидроизожасмонат, -додекалактон, эбанол, этилантранилат, этил-2-метилбутират, этилванилин, эвгенол, флоргидраль (3-(3-изопропилфенил)бутанол), фруктон (этил-2-метил-1,3-диоксолан-2-ацетат), гелиотропин, гербаверт (3,3,5-триметилциклогексилэтиловый эфир), цис-3-гексенилсалицилат, индол, изоциклоцитраль, изоэвгенол, -изометилионон, кеон, лилиаль (пара-трет-бутил- -метилгидрокоричный альдегид), линалоол, лираль (4-(4-гидрокси-4-метилпентил)циклогексен-1 -карбоксальдегид), метилгептинкарбонат, метилантранилат, метилдигидрожасмонат, метилизобутенилтетрагидропиран, метил- -нафтилкетон, метилнонилкетон, -нафтолметиловый эфир, нерол, пара-анисовый альдегид, пара-гидроксифенилбутанон, фенилацетальдегид, -ундекалактон и ундециленовый альдегид. Используют также природные душистые растения, животные масла, эксудаты и экстракты, выделенные из растительного и животного материала.
Массовое соотношение душистого вещества и частиц носителя изменяется в широком интервале и предпочтительно составляет от 0,01 до 5 и наиболее предпочтительно от 0,2 до 3. Массовое соотношение выбирают в зависимости от площади поверхности и объема пор частиц носителя таким образом, чтобы основная часть душистого вещества адсорбировалась на поверхности или в частицах носителя, с получением системы доставки душистых веществ в виде сухого свободно текущего порошка.
В. Способ получения системы доставки душистых веществ
В настоящем изобретении предлагается также способ получения системы доставки душистых веществ по настоящему изобретению. В первом варианте способ включает следующие стадии:
а) взаимодействие частиц нерастворимого в воде носителя, содержащих на поверхности силанольные группы, с кремнийорганическим соединением, включающим по крайней мере одну функциональную группу, содержащую основный атом азота, с получением частиц носителя, в которых по крайней мере часть указанных силанольных групп замещена органическими остатками, включающими указанную функциональную группу,
б) взаимодействие частиц, полученных на стадии а), с алкилирующим агентом, с получением частиц носителя, в которых по крайней мере часть указанных органических остатков содержит по крайней мере одну функциональную группу, включающую положительно заряженный алкилированный атом азота, и
в) контактирование частиц, полученных на стадии б), с душистым веществом, при этом указанное душистое вещество адсорбируется на поверхности или в указанных частицах.
Функциональными группами, включающими основные атомы азота, являются функциональные группы, содержащие атомы азота, которые протонируются в присутствии воды. Примеры таких функциональных групп включают функциональные группы амино, амидино, гуанидино, пиридино, имидазоло и имидазолино. Предпочтительной функциональной группой является аминогруппа.
Кремнийорганическое соединение, взаимодействующее с частицами носителя на стадии а), предпочтительно характеризуется формулой
(R1O)3-nR2 nSi(CH2)3Z,
где R1 и R2 независимо означают метил, этил, н-пропил или н-бутил,
n равно 0 или 1,
Z означает NR3R4, имидазолил или 2-имидазолинил,
R3 и R4 независимо означают водород, метил, этил, С3-С20алкил, С7-С26аралкил, (СН2СН2O)mR5 или (CH2CH2NH)mR5,
m равно от 1 до 4 и
R5 означает водород, метил, этил, С3-С20алкил или С7-С26аралкил.
Наиболее предпочтительными кремнийорганическими соединениями являются (MeO)3Si(CH2)3NH2, (ЕtO)3Si(СН2)3NН2, (МеО)2МеSi(СН2)3NН2, (EtO)3MeSi(CH2)3NH2, (MeO)3Si(CH2)3NH(CH2)3CH3, (EtO)3Si(CH2)3NH(CH2)3CH3, (MeO)2MeSi(CH2)3NH(CH2)3CH3, (EtO)2MeSi(CH2)3NH(CH2)3CH3,
(MeO)3Si(CH2)3NH(CH2)2NH2, (EtO)3Si(CH2)3NH(CH2)2NH2, (MeO)2MeSi(CH2)3NH(CH2)2NH2, (EtO)2MeSi(CH2)3NH(CH2)2NH2, (MeO)3Si(CH2)3NH(CH2)2NHCH2Ph, (EtO)3Si(CH2)3NH(CH2)2NHCH2Ph, (MeO)2MeSi(CH2)3NH(CH2)2NHCH2Ph,
(EtO)2MeSi(CH2)3NH(CH2)2NHCH2Ph, (MeO)3Si(CH2)3NH(CH2)2NH(CH2)2NH2, (EtO)3Si(CH2)3NH(CH2)2NH(CH2)2NH2, (MeO)2MeSi(CH2)3NH(CH2)2NH(CH2)2NH2, (EtO)2MeSi(CH2)3NH(CH2)2NH(CH2)2NH2, (MeO)3Si(CH2)3Im, (EtO)3Si(CH2)3Im, (МеО)2МеSi(СН2)3Im, (ЕtO)2МеSi(СН2)3Im, где Me означает метил, Et означает этил, Ph означает фенил и Im означает 2-имидазолин-1-ил.
На стадии а) указанного способа кремнийорганическое соединение предпочтительно взаимодействует с частицами носителя в массовом соотношении от 1:1 до 1:100. Более предпочтительное массовое соотношение кремнийорганического соединения и частиц носителя составляет от 1:5 до 1:50.
Кремнийорганическое соединение взаимодействует с частицами носителя в пригодном растворителе в отсутствии воды. Реакцию проводят в течение пригодного времени для обеспечения прививки силана на частицы носителя. Температуру реакционной среды выбирают в зависимости от природы реакционноспособных групп у атома кремния в составе кремнийорганического соединения предпочтительно в интервале от 20 до 100°С.
Кремнийорганическое соединение взаимодействует также с частицами носителя в присутствии воды. В данном случае кремнийорганическое соединение или раствор кремнийорганического соединения распыляют на частицы носителя и полученную смесь высушивают для завершения реакции прививки, предпочтительно при температуре от 100 до 200°С, прежде всего от 100 до 150°С.
Алкилирующим агентом, используемым на стадии б), является любое соединение, способное переносить алкильную группу или 2-гидроксиалкильную группу на основный атом азота. Алкилирующий агент предпочтительно выбирают из группы, включающей диметилсульфат, диэтилсульфат, диметилкарбонат, хлористый метил, бромистый метил и хлористый бензил.
На стадии б) реакцию проводят в любом пригодном растворителе, не взаимодействующим в значительной степени с алкилирующим агентом в течение времени, за которое достигается по крайней мере частичное алкилирование основного атома азота. Температуру реакционной среды выбирают в зависимости от природы и реакционной способности алкилирующего агента предпочтительно в интервале от 40 до 150°С.Если кремнийорганическое соединение, используемое на стадии а), включает один или более атомов водорода, присоединенных к основному атому азота, то для обеспечения полного алкилирования основного атома азота в реакционную смесь предпочтительно добавляют один экв. дополнительного основания на каждый такой атом водорода. Дополнительным основанием предпочтительно является соединение, которое не взаимодействует с алкилирующим агентом или взаимодействует с ним намного медленнее по сравнению с основным атомом азота.
На стадии в) контактирование частиц, полученных на стадии б), с душистым веществом предпочтительно проводят при распылении душистого вещества или раствора душистого вещества в одном или более пригодных растворителей на частицы носителя, находящихся в свободно текущем состоянии. Распыление проводят в смесителе, в котором частицы перемещаются за счет механического воздействия, или в псевдоожижженом слое, в котором частицы движутся под действием сжиженного газа. При использовании растворителя его обычно (необязательно) удаляют на стадии распыления.
Во втором варианте способ получения системы доставки душистых веществ включает следующие стадии:
а) взаимодействие кремнийорганического соединения, включающего по крайней мере одну функциональную группу, содержащую основный атом азота, с алкилирующим агентом, с получением кремнийорганического соединения, содержащего по крайней мере одну функциональную группу, включающую положительно заряженный алкилированный атом азота,
б) взаимодействие продукта, полученного на стадии а), с частицами нерастворимого в воде носителя, содержащими на поверхности силанольные группы, с получением частиц носителя, в которых по крайней мере часть указанных силанольных групп замещена органическими остатками, включающими указанную функциональную группу, содержащую положительно заряженный алкилированный атом азота, и
в) контактирование частиц, полученных на стадии б), с душистым веществом, при этом указанное душистое вещество адсорбируется на поверхности частиц или в указанных частицах.
Во втором варианте способа получения системы доставки душистых веществ по настоящему изобретению стадии прививки кремнийорганического соединения на частицах носителя и алкилирования основного атома азота функциональной группы в составе кремнийорганического соединения проводят в обратном порядке. Таким образом, на стадии а) второго варианта используют такие же кремнийорганические соединения, как и на стадии а) первого варианта, и такие же алкилирующеие агенты, как и на стадии б) первого варианта. Условия реакции на стадии а) предпочтительно аналогичны условиям реакции на стадии б) первого варианта, а условия реакции на стадии б) предпочтительно аналогичны условиям реакции на стадии а) первого варианта. Стадию в) проводят аналогично тому, как описано в первом варианте.
В третьем варианте способ получения системы доставки душистых веществ включает следующие стадии:
а) взаимодействие частиц нерастворимого в воде носителя, содержащих на поверхности силанольные группы, с кремнийорганическим соединением, включающим по крайней мере одну функциональную группу, содержащую основный атом азота или гидроксильный радикал, с получением частиц носителя, в которых по крайней мере часть указанных силанольных групп замещена органическими остатками, включающими указанную функциональную группу,
б) взаимодействие частиц, полученных на стадии а), с соединением четвертичного аммония, содержащим эпокси- или хлоргидринную функциональную группу, с получением частиц носителя, в которых по крайней мере часть указанных органических остатков содержит по крайней мере одну функциональную группу, включающую четвертичную аммонийную группу, и
в) контактирование частиц, полученных на стадии б), с душистым веществом, при этом указанное душистое вещество адсорбируется на поверхности частиц или в указанных частицах.
В третьем варианте способа получения системы доставки душистых веществ по настоящему изобретению стадию а) проводят аналогично стадии а) первого варианта и используют аналогичные условия реакции. Используют аналогичные кремнийорганические соединения, содержащие по крайней мере одну функциональную группу с основным атомом азота. Предпочтительными являются кремнийорганические соединения, описанные в первом варианте. Однако в третьем варианте можно также использовать кремнийорганические соединения, содержащие по крайней мере одну функциональную группу, включающую гидроксильный радикал.
На стадии б) частицы, полученные на стадии а), взаимодействуют с соединением четвертичного аммония, содержащего эпокси- или хлоргидринную функциональную группу. Эпокси- или хлоргидринная функциональная группа в составе указанного соединения взаимодействует по крайней мере с частью основных атомов азота или гидроксильных радикалов в реакции нуклеофильного замещения, при этом четвертичная аммонийная группа присоединяется к органическим остаткам, привитым на поверхности частиц носителя на стадии а). На стадии б) третьего варианта используют условия реакции, аналогичные условиям реакции стадии б) первого варианта. Если соединение четвертичного аммония содержит хлоргидринную функциональную группу, то предпочтительно добавляют аналогичное дополнительное основание. Предпочтительным соединением четвертичного аммония, включающим функциональную эпоксигруппу, предпочтительно является хлорид триметил-1-(2,3-эпоксипропил)аммония. Предпочтительным соединением четвертичного аммония, включающим функциональную хлоригидринную группу, является хлорид триметил-1-(3-хлор-2-гидроксипропил)аммония.
Стадию в) третьего варианта проводят аналогично стадии в) первого варианта.
Г. Смягчающие композиции для ткани
В настоящем изобретении предлагаются также смягчающие композиции для ткани, включающие систему доставки душистых веществ по настоящему изобретению и одно или более активных соединений четвертичного аммония для смягчения ткани. Активным соединением четвертичного аммония для смягчения ткани является соединение четвертичного аммония, которое при контактировании с тканью придает ей мягкость.
Приемлемыми активными соединениями четвертичного аммония для смягчения ткани являются соединения формулы (I): , где
R6 каждый независимо означает C1-С6алкил, C1-С6 гидроксиалкил или бензил и предпочтительно метил,
R7 независимо означает водород, С11-С22алкил с прямой цепью, С11-С22алкил с разветвленной цепью, С11-С22алкенил с прямой цепью или С11-С22алкенил с разветвленной цепью, при условии, что по крайней мере один из R7 отличен от водорода,
Q независимо выбирают из группы, включающей -О-С(О)-, -С(O)O-,
-NR8-С(O)-, -C(O)-NR8-, -O-C(O)-O-, -CHR9-O-C(O)- или -СH(ОСОR7)-СН2-O-С(O)-,
где R8 означает водород, метил, этил, пропил или бутил, а R9 означает водород или метил, и предпочтительно Q означает -О-С(О)- или -NH-C(O)-,
m равно от 1 до 4 и предпочтительно 2 или 3,
n равно от 1 до 4 и предпочтительно 2, и
Х– означает анион, совместимый со смягчителем, например хлорид, бромид, метилсульфат, этилсульфат, сульфат или нитрат, предпочтительно хлорид или метилсульфат.
Активными соединениями четвертичного аммония для смягчения ткани формулы (I) являются смеси соединений, в которых число групп R7 на молекулу, не означающих водород, равно от 1 до m. Предпочтительно такие смеси в среднем включают от 1,2 до 2,5 групп R7 на молекулу, которые не означают водород. Более предпочтительное число групп R7, не означающих водород, составляет от 1,4 до 2,0 и наиболее предпочтительно от 1,6 до 1,9.
Наиболее предпочтительными соединениями формулы (I) являются соединения формул (II)-(IV):



где R6, R7 и Х имеют значения, как указано при описании формулы (I) выше, при условии, что R7 отличен от водорода.
Предпочтительно группа -C(O)R7 является остатком жирной кислоты. Пригодные остатки жирных кислот получают из природных источников триглицеридов, предпочтительно таллового масла, растительных масел, частично гидрированного таллового масла и частично гидрированных растительных масел. Пригодными источниками триглицеридов являются соевое масло, талловое масло, частично гидрированное талловое масло, пальмовое масло, косточковое пальмовое масло, рапсовое масло, свиной жир, кокосовое масло, масло канола, сафлоровое масло, кукурузное масло, рисовое масло и талловое масло. В зависимости от требуемых физических и эксплуатационных свойств конечного смягчителя для ткани можно использовать любые упомянутые выше источники остатков жирных кислот или в другом варианте можно использовать смесь источников триглицеридов.
Специалистам в области масел и жиров представляется очевидным, что в случае растительных масел состав остатков жирных кислот зависит от вида используемой сельскохозяйственной культуры или от используемого источника растительного масла. Группы R7 в большинстве случаев являются смесями насыщенных и ненасыщенных жирных кислот с прямыми и разветвленными цепями.
Доля ненасыщенных групп R7 в такой смеси предпочтительно составляет по крайней мере 10%, более предпочтительно по крайней мере 25% и наиболее предпочтительно от 40 до 70%. Доля полиненасыщенных групп R7 в такой смеси предпочтительно составляет менее 10%, более предпочтительно менее 5% и наиболее предпочтительно менее 3%. При необходимости минимизации уровня полиненасыщенных жиров для повышения стабильности (например, запаха, цвета и т.п.) конечного продукта можно использовать частичное гидрирование.
Уровень ненасыщенности, т.е. йодное число предпочтительно составляет от 5 до 150 и более предпочтительно от 5 до 50. Соотношение цис- и трансизомеров двойных связей в ненасыщенных группах R предпочтительно составляет более 1:1 и наиболее предпочтительно от 4:1 до 50:1.
Предпочтительные примеры соединений формулы (I) включают
хлорид N,N-ди(таллоуилоксиэтил)-N,N-диметиламмония,
хлорид N,N-ди(канолилоксиэтил)-N,N-диметиламмония,
метилсульфат N,N-ди(таллоуилоксиэтил)-N-метил, N-(2-гидроксиэтил)аммония,
метилсульфат N,N-ди(канолилоксиэтил)-N-метил,
N-(2-гидроксиэтил)аммония,
метилсульфат N,N-ди(таллоуиламидоэтил)-N-метил, N-(2-гидроксиэтил)аммония,
хлорид N,N-ди(2-таллоуилокси-2-оксоэтил)-N,N-диметиламмония,
хлорид N,N-ди(2-канолилокси-2-оксоэтил)-N,N-диметиламмония,
хлорид N,N-ди(2-таллоуилоксиэтилкарбонилоксиэтил)-N,N-диметиламмония,
хлорид N,N-ди(2-канолилоксиэтилкарбонилоксиэтил)-N,N-диметиламмония,
хлорид N-(2-таллоуилокси-2-этил)-N-(2-таллоуилокси-2-окслэтил)-N,N-диметиламмония,
хлорид N-(2-канолилокси-2-этил)-N-(2-канолилокси-2-окслэтил)-N,N-диметиламмония,
хлорид N,N,N-три(таллоуилоксиэтил)-N-метиламмония, хлорид N,N,N-три(канолилоксиэтил)-N-метиламмония,
хлорид 1,2-диталлоуилокси-3-N,N,N-триметиламмониопропана и
хлорид 1,2-диканолилокси-3-N,N,N-триметиламмониопропана.
Пригодными активными соединениями четвертичного аммония для смягчения ткани являются также соединения формулы (V): , где R6, R7 и Х имеют значения, указанные при описании формулы (I) выше, при условии, что R7 отличен от водорода.
Предпочтительные примеры соединений формулы (V) включают хлорид диталлоудиметиламмония, метилсульфат диталлоудиметиламмония, хлорид ди(гидроталлоу)диметиламмония, хлорид дистеарилдиметиламмония и хлорид дибегенилдиметиламмония.
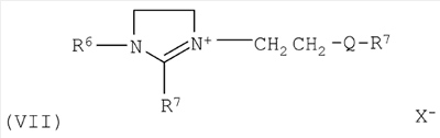
Другими пригодными смягчающими активными соединениями четвертичного аммония для ткани являются также соединения формул (VI) и (VII):


где R6, R7 и Х имеют значения, указанные при описании формулы (I) выше, при условии, что R7 отличен от водорода, a Q означает -О-С(О)- или -NH-C(O)-.
Используемые в качестве смягчителей при полоскании композиции для смягчения ткани по настоящему изобретению предпочтительно включают от 0,1 до 5 мас.% системы доставки душистых веществ, от 1 до 50 мас.% активных соединений четвертичного аммония для смягчения ткани и дополнительно воду. Более предпочтительные композиции для смягчения ткани включают от 0,2 до 2 мас.% системы доставки душистых веществ и наиболее предпочтительные – от 0,3 до 1,0 мас.%.
Кроме системы доставки душистых веществ, одного или более активных соединений четвертичного аммония для смягчения ткани и воды такие композиции для смягчения ткани включают другие добавки, известные специалистам в области получения водных композиций для смягчения ткани, такие как загустители и диспергирующие агенты, стабилизаторы, грязеотталкивающие агенты, бактерициды, неионные смягчители, красители, консерванты, блескообразователи, агенты, придающие матовость, кондиционеры для ткани, ПАВ, агенты, препятствующие усадке ткани, агенты, препятствующие сминанию ткани, агенты, придающие ткани жесткость, пятновыводители, фунгициды, противокоррозионные агенты и/или пеногасители. Пригодные добавки описаны в патенте US 6737392, столбец 8, строка 1, столбец 14, строка 6, включенном в настоящее описание в качестве ссылки.
Используемые в качестве смягчителей при высушивании композиции для смягчения ткани по настоящему изобретению предпочтительно включают смесь, содержащую от 0,1 до 5 мас.% системы доставки душистых веществ и от 1 до 99 мас.% активных соединений четвертичного аммония для смягчения ткани, нанесенных на абсорбирующее изделие. Более предпочтительные композиции для смягчения ткани включают от 0,2 до 2 мас.% системы доставки душистых веществ и наиболее предпочтительно – от 0,3 до 1,0 мас.%.
Абсорбирующие изделия, содержащие нанесенный на них активный материал для смягчения ткани и используемый в качестве смягчителей при высушивании, и способы нанесения композиции для смягчения ткани на пригодное абсорбирующее изделие известны в предшествующем уровне техники. Предпочтительное абсорбирующее изделие имеет форму листа, содержащего тканый или нетканый материал. Наиболее предпочтительно лист является листом бумаги или нетканого полотна или ткани из целлюлозы, восстановленной целлюлозы или полиэфирных волокон. Пригодные листы ткани и нетканых волоконных материалов и способы нанесения композиций для смягчения ткани на указанные листы описаны в патенте US 3686025, включенном в настоящее описание в качестве ссылки. В таком варианте композиции для смягчения ткани наносят на поверхность листа или предпочтительно между волокнами листа. В другом варианте абсорбирующее изделие включает губкоподобный материал или пенопластоподобный жесткий материал с открытыми порами, содержащий композицию для смягчения ткани в порах губки или пенопласта.
Кроме активных соединений четвертичного аммония для смягчения ткани композиции для смягчения ткани, предназначенные для использования в качестве смягчителей при высушивании, включают также один или более ко-смягчителей, которые являются солями карбоновых кислот и третичных аминов формулы
R10R11R12NH+R13COO–
где R10 означает длинноцепную алкильную или алкенильную группу, содержащую от приблизительно 8 до приблизительно 30 атомов углерода, R11 и R12 являются одинаковыми или различными и их выбирают из группы, включающей алкильные группы, содержащие от 1 до 30 атомов углерода, гидроксиалкильные группы, содержащие от 2 до 30 атомов углерода, и алкилэфирные группы формулы R14(OCHR15СН2)n, где R14 означает водород, алкильную группу, содержащую от 1 до 30 атомов углерода, или алкенильную группу, содержащую от 3 до 30 атомов углерода, R15 означает водород или метил, а n равно от 1 до 30, где R10, R11, R12 и R14 означают группы, прерывающие эфирные группы, и где R13 означает алкил, алкенил, арил, алкарил или аралкил, включающие от 8 до 30 атомов углерода. Цепи амина и кислоты, используемые для получения соли амина, характеризуются различной длиной, а не одинаковой, при этом цепи включают материалы, полученные из природных жиров и масел или синтетических продуктов, содержащих цепи различной длины. Температура плавления ко-смягчителей предпочтительно составляет от 35°С до 100°С.
Предпочтительными третичными аминами, используемыми в качестве исходных материалов для получения солей третичных аминов (ко-смягчителей), являются лаурилдиметиламин, миристилдиметиламин, стеарилдиметиламин, таллоудиметиламин, коконатдиметиламин, дилаурилметиламин, дистеарилметиламин, диталлоуметиламин, олеилдиметиламин, диолеилметиламин, лаурилди(3-гидроксипропил)амин, стеарилди(2-гидроксиэтил)амин, трилауриламин и лаурилэтилметиламин. Предпочтительными карбоновыми кислотами, используемыми в качестве исходных материалов для получения солей третичных аминов (ко-смягчителей), являются стеариновая кислота, олеиновая кислота, лауриновая кислота, миристиновая кислота и пальмитиновая кислота.
Кроме системы доставки душистых веществ, одного или более активных соединений четвертичного аммония для смягчения ткани и абсорбирующих субстратов такие композиции для смягчения ткани при высушивании включают также другие добавки, известные специалистам в области получения смягчителей ткани, такие как неионные ПАВ, жирные кислоты и алкоксилированные жирные кислоты, стабилизаторы, грязеотталкивающие агенты, бактерициды, неионные смягчители, красители, консерванты, блескообразователи, кондиционеры для ткани, ПАВ, агенты, препятствующие усадке ткани, агенты, препятствующие сминанию ткани, агенты, придающие тканям жесткость, пятновыводители, фунгициды и/или противокоррозионные агенты. Пригодные добавки описаны в патенте US 6737392, столбец 9, строка 47, столбец 14, строка 6, включенном в настоящее описание в качестве ссылки.
Композиции для смягчения ткани по настоящему изобретению придают более интенсивный и устойчивый аромат тканям, обработанным указанными композициями, по сравнению с тканями, обработанными композициями, включающими системы доставки душистых веществ, описанными в предшествующем уровне техники. Такие композиции содержат меньшее количество душистых веществ по сравнению с композициями, описанными в предыдшествующем уровне техники.
Д. Композиции средств для стирки
В настоящем изобретении предлагаются также композиции средств для стирки, включающие систему доставки душистых веществ по настоящему изобретению и одно или более ПАВ. Термин «композиции для стирки», использованный в данном контексте, означает все композиции, которые можно использовать для стирки ткани в водной моющей жидкости.
Композиции средств для стирки по настоящему изобретению являются твердыми композициями. Такие твердые композиции представляют собой порошки, грануляты или формованные частицы. Композиции в виде гранулятов или формованных частиц включают систему доставки душистых веществ в форме частиц отдельно от гранулята или формованных частиц. В другом варианте система доставки душистых веществ включена в состав гранулята или формованных частиц, содержащих также другие компоненты композиции средств для стирки. Формованные частицы имеют форму экструдатов, пеллетов, брикетов или таблеток. Такие формованные частицы получают спеканием под давлением, таким как, например, экструзия, брикетирование или таблетирование. Композиции средств для стирки в виде формованных под давлением частиц могут содержать дополнительные связующие агенты для улучшения прочности формованных частиц. Однако композиции на основе ПАВ для стирки в форме формованных под давлением частиц предпочтительно получают в отсутствии дополнительных связующих агентов, но с использованием одного из активных моющих компонентов, предпочтительно неионного ПАВ, действующего в качестве связующего агента.
В другом варианте композиции средств для стирки по настоящму изобретению являются жидкими или гелеобразными композициями, в которых система доставки душистых вешеств по настоящему изобретению диспергирована в жидкости или в геле. Кроме системы доставки душистых веществ другие твердые компоненты ПАВ диспергированы в жидкости или в геле. Реологические свойства жидкой или гелеобразной композиции предпочтительно выбирают таким образом, чтобы обеспечить диспергированное состояние всех твердых компонентов в жидкости или геле при хранении без образования осадка. Предпочтительные жидкие или гелеобразные композиции характеризуются тиксотропным или псевдопластическим течением. Такие текучие свойства обеспечиваются за счет добавок, таких как диспергируемые глины, прежде всего монтмориллониты, осажденные или пирогенные диоксиды кремния, растительные камеди, прежде всего ксантаны, и синтетические полимерные загустители, такие как виниловые полимеры, всключающие карбоксильные группы.
Композиции средств для стирки по настоящему изобретению включают одно или более ПАВ, предпочтительно анионные, неионные или катионные ПАВ или их комбинации. Пригодными анионными ПАВ являются, например, ПАВ с сульфонатными группами, предпочтительно алкилбензолсульфонаты, алкансульфонаты, -олефинсульфонаты, сложные эфиры -сульфосодержащих жирных кислот или сульфосукцинаты. Предпочтительные алкилбензолсульфонаты включают алкильную группу с прямой или разветвленной цепью, содержащую от 8 до 20 атомов углерода, прежде всего от 10 до 16 атомов углерода. Предпочтительные алкансульфонаты включают алкильную группу с линейной цепью, содержащую от 12 до 18 атомов углерода. Предпочтительные -олефинсульфонаты являются продуктами сульфирования -олефинов, содержащих от 12 до 18 атомов углерода. Предпочтительные сложные эфиры -сульфосодержащих жирных кислот являются продуктами сульфирования сложных эфиров жирных кислот, содержащих от 12 до 18 атомов углерода и низших спиртов, которые выбирают из метанола, этанола, 1-пропанола и 2-пропанола.
Другой класс пригодных анионных ПАВ включает ПАВ с сульфатными группами, предпочтительно алкилсульфаты и сульфоэфиры. Предпочтительные алкилсульфаты содержат алкильную группу с прямой цепью, содержащую от 12 до 18 атомов углерода. Пригодными также являются -разветвленные алкилсульфаты и алкилсульфаты, содержащие одно или более разветвлений от центра алкильной группы. Предпочтительные сульфоэфиры являются продуктами этоксилирования спиртов с прямой цепью, содержащих от 12 до 18 атомов углерода, 2-6 этиленоксидными звеньями с последующим сульфированием.
Еще один класс пригодных анионных ПАВ включает мыла, такие как, например, соли щелочных металлов и лауриновой кислоты, миристиновой кислоты, пальмитиновой кислоты, стеариновой кислоты или их смеси, а также соли щелочных металлов и смесей природных жирных кислот, таких как, например, жирных кислот из кокосового масла, ядер плодов пальмы или таллового масла.
Пригодными неионными ПАВ являются, например, алкоксилированные соединения, прежде всего этоксилированные и пропоксилированные соединения. Предпочтительными являются продукты конденсации алкилфенолов или жирных спиртов с 1-50 экв. этиленоксида, пропиленоксида или их смесей, и прежде всего продукты конденсации с использованием 1-10 экв. Другой класс пригодных неионных ПАВ включает амиды полигидроксижирных кислот, в которых атом азота в составе амида замещен органическим остатком, содержащим одну или более гидроксильных групп, которые можно дополнительно алкоксилировать. Еще один класс пригодных неионных ПАВ включает алкилгликозиды, содержащие алкильную группу с прямой или разветвленной цепью, содержащую от 8 до 22 атомов углерода, прежде всего от 12 до 18 атомов углерода, и моно- или дигликозидный остаток, который предпочтительно является производным глюкозы.
Пригодными катионными ПАВ являются, например, моноалкоксилированные или диалкоксилированные соединения четвертичного аммония, содержащие одну или две гидроксиалкильных групп и алкильную группу, содержащую от 6 до 18 атомов углерода, присоединенные к атому азота.
Композиции средств для стирки по настоящему изобретению включают также другие компоненты, такие как, например, модифицирующие добавки, щелочные агенты, отбеливатели, активаторы отбеливания, ферменты, хелатные агенты, ингибиторы потемнения, ингибиторы пенообразования, блескообразователи или красители. Пригодными модифицирующими добавками являются все соединения или композиции, способные связывать ионы кальция или магния в водном растворе. Предпочтительными модифицирующими добавками являются фосфаты щелочных металлов и полифосфаты щелочных металлов, прежде всего пентанатрий трифосфат, водорастворимые или водонерастворимые силикаты натрия, прежде всего слоистые силикаты формулы Na5Si2O5, цеолиты типа А, Х и Р, их смеси и тринатрий цитрат.Кроме модифицирующих добавок используют дополнительные модифицирующие добавки, такие как, например, полиакриловая кислота, полиаспарагиновая кислота и сополимеры акриловой и метакриловой кислот, акролеин или сульфированные виниловые мономеры и их соли щелочных металлов, а также смеси указанных соединений.
Пригодные щелочные компоненты для композиций средств для стирки по настоящему изобретению обеспечивают величину рН водной моющей жидкости в интервале от 8 до 12 при используемой концентрации моющих средств для стирки. Предпочтительными щелочными компонентами являются карбонат натрия, сесквикарбонат натрия и метасиликат натрия. Пригодными также являются другие растворимые силикаты щелочных металлов.
Пригодными отбеливателями для композиций средств для стирки по настоящему изобретению являются пероксисоединения, такие как пербораты щелочных металлов, пергидраты карбонатов щелочных металлов, персиликаты щелочных металлов, персульфаты щелочных металлов, пероксофосфаты щелочных металлов, пероксопирофосфаты щелочных металлов, диацилпероксиды, ароматические пероксикислоты и алифатические пероксикислоты. Предпочтительными отбеливателями являются тетрагидрат пербората натрия, моногидрат пербората натрия, пергидрат карбоната натрия, пероксилауриновая кислота, пероксистеариновая кислота, -фталимидопероксикарбоновые кислоты, 1,12-дипероксидодекандиоевая кислота, 1,9-дипероксиазелаиновая кислота и 2-децилдипероксибутан-1,4-диоевая кислота. Наиболее предпочтительными являются тетрагидрат пербората натрия, моногидрат пербората натрия и пергидрат карбоната натрия с покрытием. Пергидрат карбоната натрия с покрытием, пригодный для применения в композициях на основе жидких ПАВ, описан в зявке WO 2004/056955, которая включена в настоящее описание в качстве ссылки.
Пригодными активаторами отбеливания для композиций средств для стирки по настоящему изобретению являются соединения, содержащие ацильные группы, присоединенные к атому азота или кислорода и вступающие в реакцию пергидролиза с пероксидом водорода в водном растворе с образованием пероксикарбоновой кислоты. Предпочтительными соединениями такого типа являются перацилированные алкилендиамины, преджде всего тетраацетилэтилендиамин (TAED), ацилированные триазиноны, прежде всего 1,5-диацетил-2,4-диоксогексагидро-1,3,5-триазин (DADHT), ацилированные гликолурилы, прежде всего тетраацетилгликолурил (TAGU), N-ацилимиды, прежде всего N-нонаноилсукцинимид (NOSI), ацилированные фенолсульфонаты, прежде всего соли н-нонаноилоксибензолсульфоната и изо-нонаноилоксибензилсульфоната (n-NOBS и iso-NOBS), ангидриды карбоновых кислот, такие как фталевый ангидрид, ацилированные многоатомные спирты, такие как диацетат этиленгликоля, 2,5-диацетокси-2,5-дигидрофуран, ацилированные сорбит и маннит, и ацилированные сахара, такие как пентаацетилглюкоза, N-ацилированные лактамы, прежде всего N-ацетилкапролактам, N-ацетилвалеролактам, N-нонаноилкапролактам и N-нонаноилвалеролактам.
Другим классом пригодных активаторов отбеливания являются нитрилы, содержащие аминогруппы или группы четвертичного аммония, описанные в статье Tenside Surf. Det., т.34 (6), сс.404-409 (1997), включенной в настоящее описание в качестве ссылки.
Еще одним классом пригодных активаторов отбеливания являются комлексы переходных металлов, способные активировать пероксид водорода для выведения пятен. Пригодные комплексы переходных металлов описаны в следующих документах: ЕР-А 0544490, стр.2, строка 4 – стр.3, строка 57; WO 00/52124, стр.5, строка 9 – стр.8, строка 7 и стр.8, строка 19 – стр.11, строка 14; WO 04/039932, стр.2, строка 25 – стр.10, строка 21; WO 00/12808, стр.6, строка 29 – стр.33, строка 29; WO 00/60043, стр.6, строка 9 – стр.17, строка 22; WO 00/27975, стр.2, строки 1-18 и стр.3, строка 7 – стр.4, строка 6; WO 01/05925, стр.1, строка 28 – стр.3, строка 14; WO 99/64156, стр.2, строка 25 – стр.9, строка 18 и GB-A 2309976, стр.3, строка 1 – стр.8, строка 32, включенные в настоящее описание в качестве ссылки.
Композиции средств для стирки по настоящему изобретению включают также ферменты, повышающие моющий эффект, предпочтительно липазы, кутиназы, амилазы, нейтральные и щелочные протеазы, эстеразы, целлюлазы, пектиназы, лактазы и пероксидазы, а также их смеси. Используют ферменты с покрытием или ферменты, адсорбированные на одном или более компонентов носителя для предотвращения потери ферментативной активности.
Композиции средств для стирки по настоящему изобретению включают также хелатные агенты, способные связывать ионы переходных металлов и ингибировать разложение пероксидных соединений в композициях на основе ПАВ и в моющей жидкости при использовании композиций на основе ПАВ. Предпочтительными хелатными агентами являются фосфоновые кислоты, прежде всего гидроксиэтан-1,1-дифосфонат, нитрилотриметиленфосфонат, диэтилентриаминпента(метиленфосфонат), этилендиаминтетра(метиленфосфонат) и гексаметилендиаминтетра(метиленфосфонат), нитрилотриуксусная кислота, полиаминокарбоновые кислоты, прежде всего этилендиаминтетрауксусная кислота, диэтилентриаминпентауксусная кислота, этилендиамин-N,N’-диянтарная кислота, метилглициндиуксусная кислота и полиаспарагиновая кислота, поливалентные карбоновые кислоты и гидроксикарбоновые кислоты, прежде всего винная кислота и лимонная кислота, соли щелочных металлов и соли аммония указанных предпочтительных хелатных агентов.
Композиции средств для стирки по настоящему изобретению включают также ингибиторы потемнения, которые удерживают частицы грязи в суспедированном состоянии в моющей жидкости и замедляют оседание грязи на волокна ткани. Пригодными ингибиторами потемнения ткани являются, например, простые эфиры целлюлозы и соли щелочных металлов, метилцеллюлоза, гидроксиэтилцеллюлоза, гидроксипропилцеллюлоза и поливинилпирролидон.
Композиции средств для стирки по настоящему изобретению включают также ингибиторы ценообразования, уменьшающие образование пены в моющей жидкости при использовании. Пригодными ингибиторами ценообразования являются, например, поликремнийорганические соединения, предпочтительно полидиметилсилоксан, парафины, воски, а также их смеси с частицами диоксида кремния небольшого размера. Такие ингибиторы ценообразования известны в данной области техники.
Композиции средств для стирки по настоящему изобретению включают также блескообразователи, которые компенсируют пожелтение волокон за счет адсорбции на них, поглощения УФ-излучения и флуоресцентного излучения голубого цвета. Пригодными блескообразователями являются, например, производные диаминостильбенсульфоновой кислоты, такие как 4,4′-бис(2-анилино-4-морфолино-1,3,5-триазинил-6-амино)стильбен-2,2′-дисульфоновая кислота и ее соли щелочных металлов, или дизамещенные дифенилстирилы, такие как 4,4′-бис(2-сульстирил)дифенил или его соли щелочных металлов.
Композиции средств для стирки по настоящему изобретению включают также красители для придания композициям более приятного внешнего вида.
Композиции средств для стирки по настоящему изобретению в форме жидкостей или гелей включают также не более 30 мас.% органического растворителя, предпочтительно метанол, этанол, н-пропанол, изопропанол, н-бутанол, этиленгликоль, 1,2-пропиленгликоль, 1,3-пропиленгликоль, 1,4-бутиленгликоль, глицерин, диэтиленгликоль, метиловый эфир этиленгликоля, этаноламин, диэтаноламин или триэтаноламин или их смеси.
Композиции средств для стирки по настоящему изобретению придают более интенсивный и устойчивый аромат тканям, обработанным указанными композициями, по сравнению с тканями, обработанными композициями, включающими системы доставки душистых веществ, описанными в предшествующем уровне техники. Такие композиции на основе ПАВ для стирки содержат меньшее количество душистых веществ по сравнению с композициями, описанными в предшествующем уровне техники.
Е. Другие способы применения
Системы доставки душистых веществ по настоящему изобретению можно использовать также для доставки душистых веществ на другие поверхности в отличие от ткани, такие как кожа, волосы или твердые поверхности. Таким образом указанные системы можно использовать в продуктах личной гигиены, таких как шампуни для волос, кондиционеры для волос, средства для мытья тела, гели для душа, мыла, кремы и лосьоны для ухода за кожей, кондиционеры для ухода за кожей, солнцезащитные кремы, дезодоранты, антиперспиранты и косметические средства. Их можно использовать в средствах для мытья унитазов, гелях для унитазов, средствах для мытья машин и средствах для полоскания.
Примеры
Ниже приведены примеры для иллюстрации настоящего изобретения, не ограничивающие его объем.
Пример 1
Получение катионного кремнийорганического соединения
157,4 г 3-Аминопропилтриэтоксисилана (продукт Dynasilane фирмы АМЕО) и 124 г деионизированной воды помещали в реактор Парра объемом 600 мл. Реактор вакуумировали и продували азотом, указанные операции повторяли трижды для удаления воздуха. Реактор нагревали до 70°С, закрывали и в течение 30 мин в него добавляли 36 г хлористого метила. После завершения исходного выделения тепла реакционную смесь нагревали при 90°С до завершения реакции. После снижения давления внутри реактора менее до 0,34 бар (5 фунтов на кв. дюйм) в него добавляли 127,8 г 22,3 мас.% водного раствора гидроксида натрия и смесь перемешивали в течение 30 мин. Затем добавляли еще 36 г хлористого метила и смесь перемешивали до снижения давления внутри реактора до менее 0,34 бар (5 фунтов на кв. дюйм), добавляли вторую порцию 127,8 г 22,3 мас.% водного раствора гидроксида натрия и смесь перемешивали в течение 30 мин. Затем добавляли третью порцию хлористого метила и смесь перемешивали до снижения давления внутри реактора до менее 0,34 бар (5 фунтов на кв. дюйм). Реакционную смесь охлаждали до температуры окружающей среды и полученный осадок отфильтровывали, при этом получали водный раствор катионного кремнийорганического соединения.
Пример 2
Прививка катионного кремнийорганического соединения на диоксид кремния
4,44 г Раствора катионного кремнийорганического соединения, полученного в примере 1, разбавляли 10 мл деионизированной воды и порциями по 1 мл добавляли в 20 г осажденного диоксида кремния Sipernat 22 фирмы Degussa AG при комнатной температуре при непрерывном перемешивании диоксида кремния. Для удаления воды и завершения реакции прививки полученный продукт нагревали в течение 15 ч при 110°С в печи с нагнетаемым воздухом.
Пример 3
Прививка катионного кремнийорганического соединения на диоксид кремния
Повторяли методику, описанную в примере 2, но вместо осажденного диоксида кремния Sipernat 22 использовали гранулированный мелкодисперсный диоксид кремния Аеrореrl 300/30 фирмы Degussa AG.
Пример 4
Получение системы доставки душистых веществ
1 г Высушенного продукта, полученного в примере 2, помещали в смеситель и при перемешивании привитого диоксида кремния медленно добавляли 2 г жидкой душистой композиции 5862-HBH-LFS фирмы International Flavors & Fragnances Inc. В результате получали систему душистое вещество на носителе, включающую 67 мас.% душистого вещества на носителе в виде свободно текущего порошка.
Пример 5
Получение системы доставки душистых веществ
Повторяли методику, описанную в примере 4, но вместо высушенного продукта, полученного в примере 2, использовали высушенный продукт, полученный в примере 3.
Пример 6
Прививка аминосилана на диоксид кремния (пример для сравнения)
2 г 3-Аминопропилтриэтоксисилана (продукт Dynasilane фирмы АМЕО) растворяли в 10 мл деионизированной воды и в полученный раствор при комнатной температуре добавляли 3,25 г 10 мас.% водного раствора хлористоводородной кислоты. Полученный раствор порциями по 1 мл добавляли в 20 г осажденного диоксида кремния Sipernat 22 фирмы Degussa AG при комнатной температуре при непрерывном перемешивании диоксида кремния. Для удаления воды и завершения реакции прививки полученный продукт нагревали в течение 15 ч при 110°С в печи с нагнетаемым воздухом.
Пример 7
Прививка аминосилана на диоксид кремния (пример для сравнения)
Повторяли методику, описанную в примере 6, но вместо осажденного диоксида кремния Sipernat 22 использовали гранулированный мелкодисперсный диоксид кремния Aeroperl 300/30 фирмы Degussa AG.
Пример 8
Получение системы доставки душистых веществ (пример для сравнения)
Повторяли методику, описанную в примере 4, но вместо высушенного продукта, полученного в примере 2, использовали высушенный продукт, полученный в примере 6.
Пример 9
Получение системы доставки душистых веществ (пример для сравнения)
Повторяли методику, описанную в примере 4, но вместо высушенного продукта, полученного в примере 2, использовали высушенный продукт, полученный в примере 7.
Пример 10
Композиция для смягчения ткани
В качестве активной композиции для смягчения ткани использовали продукт Varisoft WE 16, который является 90 мас.% раствором в изопропаноле продукта реакции гидрированной жирной кислоты из таллового масла с триэтаноламином, кватернизованным диметилсульфатом. Продукт Varisoft WE 16 содержал в качестве основного компонента метилсульфат N,N-ди(таллоуилоксиэтил)-N-метил-N-(2-гидроксиэтил)аммония. 33 г Продукта Varisoft WE 16 нагревали до 40°С и медленно при перемешивании добавляли в 165,4 г деионизированной воды. Одновременно для контроля вязкости системы добавляли 0,66 г 25 мас.% раствора хлорида кальция. Полученную дисперсию охлаждали до комнатной температуры и в нее при перемешивании добавляли 2,09 г системы доставки душистых веществ, полученной в примере 4. Для равномерного распределения системы доставки душистых веществ в дисперсии смесь медленно перемешивали в течение 2 ч. Полученная дисперсия содержала приблизительно 15 мас.% активных компонентов для смягчения ткани и приблизительно 0,7 мас.% душистого вещества, включенного в состав системы доставки душистых веществ. Величина рН дисперсии составляла 4,5, а вязкость, измеренная с использованием вискозиметра Брукфильда и шпинделя 2 при комнатной температуре, составляла от 40 до 170 сПа.
Пример 11
Композиция для смягчения ткани
Повторяли методику, описанную в примере 10, но вместо системы доставки душистых веществ, полученной в примере 4, использовали систему доставки душистых веществ, описанную в примере 5.
Пример 12
Композиция для смягчения ткани (пример для сравнения)
Повторяли методику, описанную в примере 10, но вместо системы доставки душистых веществ, полученной в примере 4, использовали систему доставки душистых веществ, описанную в примере 8.
Пример 13
Композиция для смягчения ткани (пример для сравнения)
Повторяли методику, описанную в примере 10, но вместо системы доставки душистых веществ, полученной в примере 4, использовали систему доставки душистых веществ, описанную в примере 9.
Пример 14
Композиция для смягчения ткани (пример для сравнения)
Повторяли методику, описанную в примере 10, но вместо системы доставки душистых веществ, полученной в примере 4, использовали 1,44 г жидкой душистой композиции 5862-HBH-LFS фирмы International Flavors & Fragnances Inc.
Испытания композиций для смягчения ткани
Четыре полотенца из хлопка и три простыни (состав: 50% хлопка – 50% полиэфира), общая масса которых составляла приблизительно 1700 г, стирали в стандартной стиральной машине Kenmore в режиме стирки и полоскания в холодной воде с использованием 50 г стандартного ПАВ 1993 ААТСС (American Accociation of Textile Chemists and Colorists). В начале цикла полоскания в стиральную машину добавляли 22,7 г композиции для смягчения ткани. Выстиранные ткани сушили в течение 1 ч в стандартной сушке Kenmore. Высушенные хлопковые полотенца хранили при комнатной температуре и оценивали интенсивность запаха после хранения в течение 12 ч и 7 сут.
Интенсивность запаха оценивали попарным сравнительным методом ранжирования, описанным в справочнике Sensory Evaluation Techniques, M. Meilgaard, G.V. Civille, B.T. Carr, изд. CRC Press, cc. 88-91, 254 и 268, с использованием группы, включающей 4 или 5 экспертов.
Оценивали 2 набора композиций для смягчения ткани:
Набор 1:
Пример 12 (пример для сравнения)
Пример 10
Пример 14 (пример для сравнения)
Набор 2:
Пример 13 (пример для сравнения)
Пример 11
Пример 14 (пример для сравнения)
Результаты попарного сравнительного ранжирования показаны в табл.1-4, где цифры означают число ранжирований, в которых композиции, указанные в колонках, характеризовались ароматом большей интенсивности по сравнению с композициями, указанными в рядах.
Во всех ранжированиях композиции для смягчения ткани, описанные в примерах 10 и 11 и включающие систему доставки душистых веществ по настоящему изобретению, характеризовались значительно более высокой интенсивностью запаха по сравнению с композициями для смягчения ткани, описанными в примере 14 и не содержащими системы носителя, или описанными в примерах 12 и 13, содержащими систему носителя на основе аминосилана, привитого на диоксид кремния. Применение системы доставки душистых веществ по настоящему изобретению придает тканям более интенсивный и стабильный аромат.
Формула изобретения
1. Система доставки душистых веществ, включающая а) водонерастворимые частицы носителя, содержащие на поверхности силанольные группы, причем по крайней мере часть указанных силанольных групп замещена органическими остатками с помощью прививки по крайней мере одного кремнийорганического соединения, и по крайней мере часть указанных органических остатков содержит положительно заряженные функциональные группы, включающие алкилированный атом азота с положительным зарядом, и б) ароматизатор, адсорбированный на указанных частицах носителя или абсорбированный в указанных частицах носителя.
2. Система доставки душистых веществ по п.1, в которой частицы носителя включают диоксид кремния, силикат, алюмосиликаты или их смесь.
3. Система доставки душистых веществ по п.2, в которой диоксид кремния выбирают из группы, по существу, включающей осажденные диоксиды кремния, мелкодисперсные диоксиды кремния и силикагели.
4. Система доставки душистых веществ по п.2, в которой алюмосиликат является цеолитом.
5. Система доставки душистых веществ по п.4, в которой цеолит выбирают из группы, по существу, включающей цеолит X, цеолит Y и несодержащий алюминий цеолит Y.
6. Система доставки душистых веществ по п.1, в которой практически все органические остатки содержат по крайней мере одну указанную положительно заряженную функциональную группу.
7. Система доставки душистых веществ по п.1, в которой положительно заряженные функциональные группы являются группами четвертичного аммония.
8. Система доставки душистых веществ по п.1, в которой массовое соотношение ароматизатора и частиц носителя составляет от 0,01 до 5.
9. Способ получения системы доставки душистых веществ по п.1, включающий следующие стадии: а) взаимодействие кремнийорганического соединения, содержащего по крайней мере одну функциональную группу, включающую основный атом азота, с алкилирующим агентом, с получением кремнийорганического соединения, содержащего по крайней мере одну функциональную группу, включающую алкилированный атом азота с положительным зарядом, б) взаимодействие продукта, полученного на стадии а), с частицами водонерастворимого носителя, содержащего силанольные группы на поверхности, с получением частиц носителя, в которых по крайней мере часть указанных силанольных групп замещена органическими остатками, содержащими указанную функциональную группу, включающую алкилированный атом азота с положительным зарядом, и в) контактирование частиц, полученных на стадии б), с ароматизатором, при этом указанный ароматизатор адсорбируется на указанных частицах или абсорбируется в указанных частицах.
10. Способ по п.9, в котором кремнийорганическое соединение, используемое на стадии а), характеризуется формулой (R1O)3-nR2 nSi(CH2)3Z, где R1 и R2 независимо означают метил, этил, н-пропил или н-бутил, n равно 0 или 1, Z означает NR3 R4, имидазолил или 2-имидазолин-1-ил, R3 и R4 независимо означают водород, метил, этил, С3-С20алкил, С7-С26аралкил, (CH2CH2O)mR5 или (CH2CH2NH)mR5, m равно от 1 до 4, и R5 означает водород, метил, этил, С3-С20алкил или С7-С26аралкил.
11. Способ по п.9, в котором алкилирующий агент выбирают из группы, включающей в основном диметилсульфат, диэтилсульфат, диметилкарбонат, хлористый метил, бромистый метил и хлористый бензил.
12. Композиция для смягчения ткани, включающая систему доставки душистых веществ по любому из пп.1-8 и одно или более активных соединений четвертичного аммония для смягчения ткани.
13. Композиция для смягчения ткани по п.12, включающая одно или более активных соединений четвертичного аммония для смягчения ткани формулы (I)
 где R6 каждый независимо означает С1-С6алкил, C1-С6гидроксиалкил или бензил, R7 независимо означает водород, С11-С22алкил с прямой цепью, C11-C22алкил с разветвленной цепью, С11-С22алкенил с прямой цепью или С11-С22алкенил с разветвленной цепью, при условии, что по крайней мере один из R7 отличен от водорода, Q независимо выбирают из группы, включающей -O-С(O)-, -С(O)O-, -NR8-C(O)-, -C(O)-NR8-, -O-C(O)-O-, -CHR9O-C(O)- или -CH(OCOR7)-CH2-O-С(O)-, где R8 означает водород, метил, этил, пропил или бутил, а R9 означает водород или метил, m равно от 1 до 4, n равно от 1 до 4, и X– означает анион, совместимый со смягчителем.
14. Композиция для смягчения ткани по п.12, где R6 означает метил, Q означает -О-С(О)- или -NH-C(O)-, m равно 2 или 3, n равно 2, и X– означает хлорид или метилсульфат.
15. Композиция для смягчения ткани по п.12, включающая одно или более активных соединений четвертичного аммония для смягчения ткани, которые выбирают из группы, включающей соединения формул (II)-(VII):





 где R6 каждый независимо означает C1-С6алкил, C1-С6гидроксиалкил или бензил, R7 независимо означает С11-С22алкил с прямой цепью, С11-С22алкил с разветвленной цепью, С11-С22алкенил с прямой цепью или С11-С22алкенил с разветвленной цепью, Q означает -О-С(О)- или -NH-C(O)-, и X– означает анион, совместимый со смягчителем.
16. Композиция для смягчения ткани по п.12, включающая от 0,1 до 5 мас.% системы доставки душистых веществ, от 1 до 50 мас.% активных соединений четвертичного аммония для смягчения ткани и дополнительно включает воду.
17. Композиция для смягчения ткани по п.16, включающая смесь, содержащую от 0,1 до 5 мас.% системы доставки душистых веществ и от 1 до 99 мас.% активных соединений четвертичного аммония для смягчения ткани, нанесенную на абсорбирующее изделие.
18. Композиция средства для стирки, включающая систему доставки душистых веществ по любому из пп.1-8 и одно или более ПАВ.
PD4A – Изменение наименования обладателя патента СССР или патента Российской Федерации на изобретение
(73) Новое наименование патентообладателя:
Эвоник Дегусса ГмбХ (DE)
Адрес для переписки:
101000, Москва, М. Златоустинский пер., 10, кв.15, “ЕВРОМАРКПАТ”
Извещение опубликовано: 10.07.2010 БИ: 19/2010
|
|