|
(21), (22) Заявка: 2008124236/04, 16.06.2008
(24) Дата начала отсчета срока действия патента:
16.06.2008
(46) Опубликовано: 10.01.2010
(56) Список документов, цитированных в отчете о поиске:
RU 2233857 C1, 10.08.2004. К.SAKAMOTO ET AL. Soc. Dyes and Colourists. – 1998, v.112, p.369-374. МАЙЗЛИШ B.E. И ДР. Изв. ВУЗОВ, Серия «Химия и химическая технология, 1986, т.28, вып.1, с.3-20. RU 2183635 С2, 20.06.2002.
Адрес для переписки:
153000, г.Иваново, пр. Ф. Энгельса, 7, ИГХТУ, патентный отдел
|
(72) Автор(ы):
Борисов Альберт Валерьевич (RU), Криушкина Мария Александровна (RU), Майзлиш Владимир Ефимович (RU), Шапошников Геннадий Павлович (RU)
(73) Патентообладатель(и):
Государственное образовательное учреждение высшего профессионального образования “Ивановский государственный химико-технологический университет” (ИГХТУ) (RU)
|
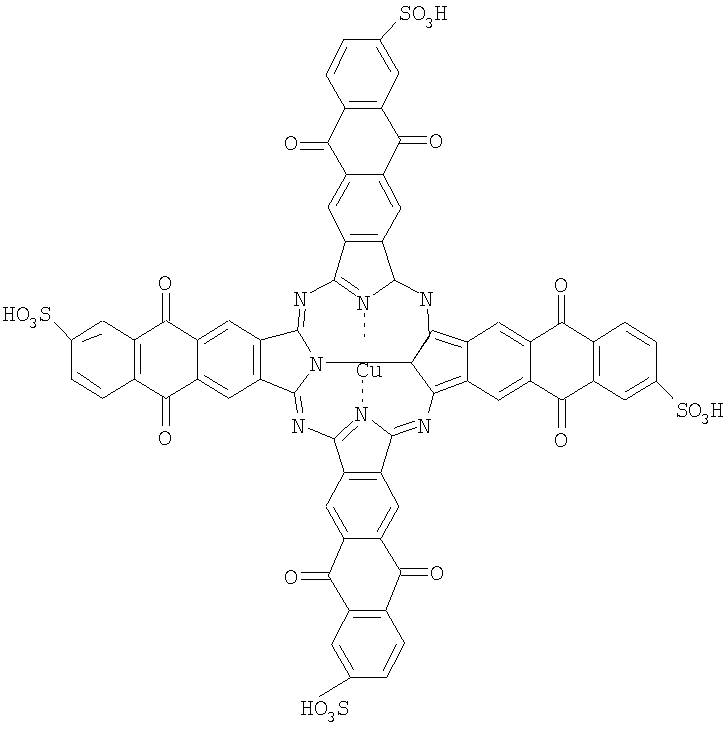
(54) ТЕТРА-[(10-СУЛЬФО)БЕНЗО[ ]]АНТРАХИНОНОПОРФИРАЗИН МЕДИ
(57) Реферат:
Изобретение относится к химической промышленности, а именно к новому производному металлопорфиразина-тетра-[(10-сульфо)бензо[ ]]антрахинонопорфиразину меди формулы

Предложенный тетра-[(10-сульфо)бензо[ ]]антрахинонопорфиразин меди может быть использован в качестве красителя как для полимерных материалов, так и для крашения хлопчатобумажных и льняных тканей. 4 ил.
Введение
Изобретение относится к химической промышленности, а именно к получению нового производного металлопорфиразина-тетра-[(10-сульфо)бензо[ ]]антрахинонопорфиразина меди, который может быть использован в качестве красителя для полимерных материалов и для хлопчатобумажных и льняных тканей.
Уровень техники
Богатейшая возможность химической модификации соединений порфиразинового ряда позволяет использовать их по различному назначению, например в качестве светопрочных красителей и пигментов.
22. 10.08.2004], являющееся наиболее близким структурным аналогом заявляемого соединения – тетрасульфокислота тетра-9,10-антрахинон-2,3-порфиразина меди формулы:

Данное соединение может применяться в качестве прямого и кубового красителей для хлопчатобумажных и вискозных тканей, но не может быть использовано в качестве красителя для полимерных материалов и льняных тканей.
Сущность изобретения
Изобретательская задача состояла в поиске нового производного металлопорфиразина, которое обладало бы одновременно свойствами прямого и кубового красителя для хлопчатобумажных и льняных тканей, а также красителя для полимерных материалов.
Поставленная задача решена тетра-[(10-сульфо)бензо[ ]]антрахинонопорфиразином меди формулы:

Структура этого соединения доказана данными элементного анализа, ИК и электронной спектроскопии.
-1 отмечена полоса поглощения, характерная для сульфогрупп.
В электронных спектрах поглощения тетра-[(10-сульфо)бензо[ ]]-антрахинонопорфиразина меди наблюдается интенсивное поглощение при 749 нм в концентрированной серной кислоте, при 681 нм в диметилсульфоксиде, при 677 нм в водно-щелочном растворе (фиг.2, 3,4).
Тетра-[(10-сульфо)бензо[ ]]антрахинонопорфиразин меди представляет собой вещество темно-синего цвета, обладающее растворимостью в концентрированной серной кислоте, диметилсульфоксиде, в водно-щелочных растворах, обладает свойствами красителя для полимерных материалов и может быть использовано для крашения полиамида, гидратцеллюлозы, хлопчатобумажных и льняных тканей.
Сведения, подтверждающие возможность осуществления изобретения.
Для реализации способа используют следующие вещества:
– диангидрид пиромеллитовой кислоты – ТУ 6-14-786-72;
– нафталин – ГОСТ 16106-82
– гептан – ГОСТ 25828-83
– безводный хлористый алюминий – ОСТ 6-01-300-74;
– концентрированная соляная кислота – ГОСТ 857-95
– концентрированная серная кислота – ГОСТ 4204-77;
– мочевина – ГОСТ 2081-92
– ацетат меди – ГОСТ 5852-70
– хлорид аммония – ГОСТ 2210-73
– молибдат аммония – ГОСТ 2677-78
– хлорсульфоновая кислота – ГОСТ 2121-87
Пример 1. Синтез тетра-[(10-сульфо)бензо[ ]]антрахинонопорфиразина меди
Стадия 1. Синтез 5-(нафтил-1)тримеллитовой кислоты.
В трехгорловую колбу емкостью 100 мл, снабженную мешалкой, обратным холодильником и термометром, помещают 10.0 г (0.046 моль) диангидрида пиромеллитовой кислоты, 6.54 г (0.051 моль) нафталина и 20 мл гептана. Массу нагревают до 50°С и при перемешивании прибавляют 16.12 г (0.119 моль) безводного хлористого алюминия. Выдерживают 3 часа при кипении реакционной массы ( 100°С), а после отгонки гептана еще 6 часов при 120÷130°С. К охлажденной массе осторожно прибавляют 50 мл воды и 10 мл концентрированной соляной кислоты и перемешивают 12 часов. Полученную суспензию фильтруют, осадок промывают горячей водой и кипятят осадок 30÷40 минут в 10%-ном растворе соды. Горячий раствор фильтруют, осадок обрабатывают подобным образом еще 3-4 раза и утилизируют. Объединенный фильтрат подкисляют соляной кислотой до рН 4 и охлаждают до 10÷15°С. Выпавший осадок отфильтровывают, промывают водой до нейтральной реакции. Сушат при 80°С.
Выход: 5-(нафтил-1)тримеллитовой кислоты 6.8 г.
Стадия 2. Синтез 2,3-дикарбоксибензо[ ]антрахинона.
В трехгорловую колбу емкостью 50 мл, снабженную мешалкой, обратным холодильником и термометром, помещают 20.0 мл концентрированной серной кислоты и нагревают до 130°С. Затем в течение 15 минут при интенсивном перемешивании вносят 5.0 г 5-(нафтил-1)тримеллитовой кислоты. Температуру поднимают до 150°С и выдерживают в течение 5 часов. Массу при перемешивании выливают в 200 мл воды, фильтруют, осадок промывают водой до нейтральной среды, растворяют в 100 мл 10%-ного содового раствора, проводят очистную фильтрацию, фильтрат, содержащий целевой продукт, подкисляют соляной кислотой до рН 4. Выпавший осадок отфильтровывают и промывают водой до отсутствия в фильтрате хлорид-ионов.
Сушат осадок при 100°С.
Выход 2,3-дикарбоксибензо[ ]антрахинона 3.51 г.
Стадия 3. Синтез тетрабензо[ ]антрахинонопорфиразина меди.
В кварцевую ампулу помещают растертую смесь 0.21 г (0.60 ммоль) 2,3-дикарбоксибензо[ ]антрахинона, 0.24 г (4.00 ммоль) мочевины, 0.02 г (0.18 ммоль) ацетата меди, 0.02 г (0.40 ммоль) хлорида аммония и 0.01 г (0.01 ммоль) молибдата аммония. Массу медленно нагревают до 180°С в течение часа и выдерживают 3 часа. После охлаждения реакционную массу измельчают, переносят на фильтр Шота, промывают 5%-ой соляной кислотой и водой до тех пор, пока в промывной жидкости, при нанесении ее капли на предметное стекло и выпаривании, не остается твердого остатка. Сушат при 100°С. Затем переосаждают из концентрированной серной кислоты и промывают в аппарате Сокслета ацетоном в течение 10 часов. Сушат при 100°С.
Выход тетрабензо[ ]антрахинонопорфиразина меди 0.13 г.
Стадия 4. Синтез тетра-[(10-сульфо)бензо[ ]]антрахинонопорфиразина меди.
В двугорлую колбу объемом 25 мл, снабженную мешалкой, термометром и обратным холодильником, загружают 0.32 г (0.2 ммоль) тетрабензо[ ]антрахинонопорфиразина меди и добавляют 10.4 г (0.9 ммоль) хлорсульфоновой кислоты. Реакционную массу выдерживают 4 часа при температуре кипения (около 110°С), затем, после охлаждения, медленно выливают при интенсивном перемешивании на лед с хлористым натрием (температура смеси не должна превышать 0-3°С). Осадок отфильтровывают и гидролизуют полученный хлорангидрид сульфокислоты 6 мл 10%-ного водного раствора едкого натра, раствор выливают в 80 мл воды и подкисляют раствор 1%-ной соляной кислотой до рН 3. Выпавший осадок промывают 0,5%-ным раствором соляной кислоты и сушат при температуре 100°С.
Выход тетра-[(10-сульфо)бензо[ ]]антрахинонопорфиразина меди 0.12 г. Полученное соединение представляет собой темно-синее вещество, обладающее растворимостью в диметилформамиде, водно-щелочных растворах, концентрированной серной кислоте.
ЭСП в серной кислоте, max, нм: 749 нм (фиг.2).
ЭСП в диметилсульфоксиде, max, нм: 681 нм (фиг.3).
ЭСП в водно-щелочном растворе, max, нм: 677 нм (фиг.4).
Найдено, %: С 59.41; Н 1.91; N 7.02; S 7.84. C80H32N8S4O20Cu.
Вычислено, %: С 59.43; Н 1.99; N 6.93; S 7.93.
Использование тетра-[(10-сульфо)бензо[ ]]-антрахинонопорфиразина меди в качестве красителя.
Пример 2.
Крашение полиамида. Пленку полиамида помещают в 5 мл раствора диметилсульфоксида, в котором растворено 0.002 г тетра-[(10-сульфо)бензо[ ]]антрахинонопорфиразина меди, кипятят в течение 3 минут, после чего пленку извлекают из раствора и промывают водой.
Образец прилагается.
Пример 3.
Крашение гидратцеллюлозы. Пленку гидратцеллюлозы помещают в 5 мл раствора диметилсульфоксида, в котором растворено 0.002 г тетра-[(10-сульфо)бензо[ ]]антрахинонопорфиразина меди, кипятят в течение 3 минут, после чего пленку извлекают из раствора и промывают водой.
Пример 4.
Крашение хлопчатобумажной ткани.
Образец ткани массой 1 г смачивают в течение 0.5 мин, отжимают до 100% привеса и помещают в красильную ванну состава (г/л):
Тетра-[(10-сульфо)бензо[ ]]антрахинонопорфиразин меди |
2 |
| Сульфосид 31 |
0.5 |
| Хлористый натрий |
5 |
| Модуль ванны |
50 |
и в течение 15-30 мин. нагревают до кипения и выдерживают 1 час. Затем образец отжимают, тщательно промывают теплой, затем холодной водой, сушат. Образец прилагается.
Пример 5.
Крашение льняной ткани.
Образец ткани массой 1 г смачивают в течение 0.5 мин. при температуре 40°С, отжимают до 100% привеса и помещают в красильную ванну состава (г/л):
Тетра-[(10-сульфо)бензо[ ]]антрахинонопорфиразин меди |
2 |
| Сульфосид 31 |
0.5 |
| Хлористый натрий |
5 |
| Модуль ванны |
50 |
и в течение 15-30 мин нагревают до кипения и выдерживают при этой температуре 40 минут и 20 минут в остывающей до 30°С ванне. Затем образец отжимают, тщательно промывают теплой, затем холодной водой, сушат.
Пример 6.
Крашение хлопчатобумажной ткани (кубовый метод).
Порядок крашения.
Вначале готовят 50 мл концентрированного раствора натриевой соли лейкосоединения тетра-[(10-сульфо)бензо[ ]]антрахинонопорфиразина меди путем восстановления красителя дитионитом натрия в щелочной среде.
Состав концентрированного раствора на 1 л:
тетра-[(10-сульфо)бензо[ ]]антрахинонопорфиразин меди |
2 г |
| глицерин |
8 мл |
| натрия гидроксид |
24 мл |
| натрия дитионит |
6 г |
| вода |
до 1 л. |
Образец ткани массой 1 г окрашивают в приготовленной красильной ванне (модуль 50) в течение 30-45 минут при температуре 50-60°С. После крашения и отжима образец не менее 5 минут оставляют на воздухе, затем промывают проточной водой для окисления лейкосоединения до исходного кубового красителя. После окисления образец промывают теплой водой, раствором синтетического моющего средства при температуре, близкой к кипению в течение 5 минут, затем теплой, холодной водой и высушивают.
Формула изобретения
Тетра-[(10-сульфо)бензо[ ]]антрахинонопорфиразин меди формулы:

РИСУНКИ
|