Патент на изобретение №2378293
|
||||||||||||||||||||||||||||||||||||||||
(54) АМФИФИЛЬНЫЕ ПОЛИМЕРНЫЕ КОМПОЗИЦИИ И ИХ ПРИМЕНЕНИЕ
(57) Реферат:
Изобретение относится к амфифильной полимерной композиции, используемой в композициях действующих веществ для защиты растений от поражения патогенными, фитопатогенными или разрушающими древесину грибами, насекомыми и т.п., или в композициях добавок к пищевым продуктам. Данную композицию получают взаимодействием (i) по меньшей мере одного гидрофобного полимера Р1, который выполнен из этиленовоненасыщенных мономеров M1, и (ii) по меньшей мере одного гидрофильного полимера Р2, который представляет собой простые алифатические полиэфиры, состоящие по меньшей мере на 50 вес.% из этиленоксидных групп, с (iii) по меньшей мере одним содержащим изоцианатные группы соединением V, который имеет по отношению к изоцианатным группам функциональность от 1,5 до 4,5 и выбирается из алифатических, циклоалифатических и ароматических ди- и полиизоцианатов, а также из изоциануратов, аллофанатов, уретдионов и биуретов. Этиленовоненасыщенные мономеры M1 включают: (а1) от 50 до 99 вес.%, в пересчете на общее количество мономеров M1, мономеров M1a общей формулы I
а2) от 1 до 50 вес.%, в пересчете на общее количество мономеров M1, нейтральных моноэтиленовоненасыщенных мономеров M1b, которые отличны от мономеров M1а, и выбираются из винилароматических мономеров, С11-С20алкилакрилатов и С11-С20алкилметакрилатов. Амфифильная полимерная композиция способствует эффективной солюбилизации и стабилизации нерастворимых в воде действующих веществ в водной среде, что приводит к повышению стабильности таких композиций действующих веществ в отношении процессов деэмульгирования при длительном хранении, при добавке электролита и при разбавлении водой. 11 н. и 14 з.п. ф-лы, 2 табл.
Настоящее изобретение относится к амфифильным полимерным композициям, к способу их получения, а также к их применению для получения водных композиций нерастворимых в воде действующих веществ, в особенности действующих веществ для защиты растений. Действующие вещества, т.е. вещества, которые также и в малой концентрации уже могут развивать физиологическое действие, часто приготавливаются в форме водных препаративных композиций. Так приготавливаются и сбываются, например, в области защиты растений, применяемые для борьбы с вредителями действующие вещества, т.е. инсектициды, фунгициды и гербициды, однако также и регуляторы роста, часто как водные концентраты, которые перед их применением разбавляются посредством добавки большого количества воды на желаемую концентрацию для применения (так называемые “растворы для опрыскивания”). Водные композиции действующих веществ проявили себя также и для фармацевтически и косметически активных веществ, а также для добавок к пищевым продуктам, например витамины, провитамины и т.п. То же самое действительно для композиций эффекторных веществ, т.е. низкомолекулярных соединений, которые уже при малых количествах применения проявляют определенное технической действие, например красителей и УФ-стабилизаторов. Принципиальная проблема при водных композициях действующих веществ заключается, как правило, в малой водорастворимости действующих веществ, которая часто составляет менее чем 10 г/л при 23°С/1013 мбар. Водные композиции подобных действующих веществ поэтому являются гетерогенными системами, причем действующее вещество имеется как эмульгированная, соответственно, диспергированная фаза в сплошной водной фазе. Для стабилизации этих метастабильных систем обычно применяются эмульгаторы или диспергаторы. Их стабилизирующее действие, однако, часто является неудовлетворительным, так что часто может наступать осаждение действующего вещества, например отстаивание или седиментация действующего вещества, в особенности, если водная композиция хранилась продолжительное время при повышенной температуре или вблизи точки замерзания. Эта проблема особенно тогда четко выражена, когда действующее вещество склонно к кристаллизации. Часто применяются также и органические растворители для получения водных композиций нерастворимых в воде действующих веществ. Так, например, часто применяют смешиваемые с водой растворители в качестве посредника растворимости, т.е. для повышения растворимости действующего, соответственно, эффекторного вещества в водной фазе. Не смешиваемые с водой растворители служат для того, чтобы переводить твердое при температуре применения действующее вещество в жидкую фазу, которую потом можно легче эмульгировать. В отличие от суспензий твердого действующего вещества в эмульсиях действующее вещество молекулярно растворено в каплях растворителя и поэтому при применении лучше доступно и поэтому более эффективно. Применение более крупных количеств растворителя не желательно вследствие известной проблематики рабочей гигиены, аспектов окружающей среды и частично также из токсикологических соображений. Другим недостатком известных водных композиций действующих веществ является сравнительно большой размер частиц суспендированных, соответственно, эмульгированных в водной фазе частиц действующего вещества, соответственно, капелек действующего вещества, которые, как правило, составляют несколько микрометров. Желательны, однако, водные композиции, в которых действующее вещество имеется по возможности в тонко распределенной форме, чтобы с одной стороны обеспечить равномерное распределение в композиции и этим лучшую возможность обращения и одновременно, чтобы повысить возможность биоиспользования действующего вещества в композиции. Желательны при этом композиции, в которых содержащая действующее вещество фаза имеет среднюю величину частиц ниже 500 нм и в особенности ниже 300 нм. В некоторых случаях предлагалось применение амфифильных блоксополимеров для солюбилизации нерастворимых в воде действующих веществ в водном разбавителе. Понятие “солюбилизирование” обозначает достигнутое при применении придающих растворимость веществ (вспомогательных веществ) стабильное равномерно распределение водорастворимого действующего, соответственно, эффекторного вещества в водной фазе, причем частицы дисперсной фазы действующего вещества часто настолько малы, что они едва рассеивают видимый свет и поэтому кажутся более или менее прозрачными. Амфифильные блоксопилимеры имеют при этом, как правило, по меньшей мере, один гидрофильный полимерный блок и, по меньшей мере, один гидрофобный полимерный блок. Так, например, документ US 2003/0009004 предлагает для этой цели амфифильные блоксополимеры, которые включают гидрофильный полиэтиленовый блок и один гидрофобный блок из биологически разлагаемого алифатического полиэфира. Недостаток при этом заключается в том, что требуются сравнительно большие количества полимера, в пересчете на действующее вещество, чтобы получить стабильные композиции действующих веществ. Документ US 2003/0157170 описывает не содержащие воду композиции действующих веществ, которые имеют один амфифильный диблоксопилимер со сложным полиэфиром в качестве гидрофобной части и один аддитив. Композиции образуют при разбавлении водой содержащие действующие вещества мицеллы. Недостатком также и здесь является то, что требуются сравнительно большие количества полимера в пересчете на действующее вещество. Документ WO 02/82900 описывает применение амфифильных блоксолспимеров для получения водных суспензий водонерастворимых действующих веществ защиты растений. Примененные блоксополимеры могут быть получены посредством “живой”, соответственно, “контролированной” радикальной блоксополимеризации этиленовоненасыщенных мономеров. Наряду с тем, что подобные способы сравнительно сложны, водные композиции действующих веществ содержат большие количества водорастворимых органических растворителей. Кроме того, способ требует применения токсических катализаторов на основе переходных металлов, которые остаются в продукте. Кроме того, блоксополимеры склонны к окрашиванию в бурый цвет. Документ US 4888389 описывает блоксополимеры, которые имеют полиизобутеновый блок и гидрофильный блок, например полиэфирный блок. Собственные исследования, однако, показали, что описанные в документе блоксополимеры не пригодны к получению тонких композиций действующих веществ. Подытоживая можно сказать, что несмотря на принципиальные преимущества, которые имеют амфифильные блоксополимеры для создания композиций водорастворимых действующих и эффекторных веществ в воде или в водных средах, известные из уровня техники блоксополимеры не являются полностью удовлетворительными, их получение является очень сложным, стабильность водных композиций действующих веществ не удовлетворительна, на активность действующих веществ оказывается негативное влияние или требуются большие количества полимеров, в пересчете на действующее вещество, что наряду с высокими затратами также и при применении подобных композиций может оказать негативное действие. В основу настоящего изобретения поэтому была положена задача разработать вещества, которые позволяют эффективную солюбилизацию нерастворимых в воде действующих веществ в водной среде. Эти вещества должны, в частности, быть пригодны, обеспечивать водные композиции действующих веществ нерастворимых в воде действующих веществ, которые совсем не имеют или имеют только очень малое содержание летучих органических веществ. Далее желательна высокая стабильность полученных при применении этих веществ водных композиций действующих веществ в отношении процессов деэмульгирования при длительном хранении, при добавке электролита и при разбавлении водой. Эта задача решается неожиданным образом с помощью композиций составов полимеров, которые могут быть получены взаимодействием а) по меньшей мере, одного гидрофобного полимера P1, который имеет реакционно-способные по отношению к изоцианатным группам функциональные группы RP1 и который выполнен из этиленовоненасыщенных мономеров M1, включающих: а1) по меньшей мере, 10 вес.%, в пересчете на общее количество мономеров M1, мономеров M1а общей формулы I
где Х означает кислород или группу N-R4; R1 означает C1-C10-алкил, C5-С10-циклоалкил, фенил или фенил-С1-С4-алкил; R2 означает водород или С1-С4-алкил; R3 означает водород или С1-С4-алкил; и R4 означает водород или С1-С4-алкил; а2) до 90 вес.%, в пересчете на общее количество мономеров M1, нейтральных моноэтиленовоненасыщенных мономеров M1b, водорастворимость которых при 25°С составляет менее чем 50 г/л и которые отличны от мономеров M1а; и а3) до 30 вес.%, в пересчете на общее количество мономеров M1, этиленовоненасыщенных мономеров M1с, которые отличны от мономеров М1а и M1b, b) по меньшей мере, одного гидрофильного полимера P2, который имеет реакционноспособные по отношению к изоцианатным группам группы RP2, с) с по меньшей мере, одним содержащим изоцианатные группы соединением V, которое имеет по отношению к изоцианатным группам функциональность, по меньшей мере, 1,5. Таким образом, изобретение относится к описанным здесь амфифильным полимерным композициям, а также к способу их получения. Амфифильные полимерные композиции согласно изобретению предпочтительно пригодны стабилизировать действующие и эффекторные вещества, которые плохо растворимы или вообще нерастворимы в воде, в водной фазе и поэтому позволяют получение водных композиций подобных действующих и эффекторных веществ. В отличие от описанных в уровне техники блоксополимеров ими можно солюбилизировать в водной фазе большие количества действующего вещества в пересчете на полимер. Объектом настоящего изобретения является, поэтому также и применение описанных амфифильных полимерных композиций для стабилизации в водной среде действующих, соответственно, эффекторных веществ, которые плохо растворимы или совсем нерастворимы в воде. Объектом настоящего изобретения является, поэтому также и применение описанных амфифильных полимерных композиций для получения композиций нерастворимых в воде или плохо растворимых в воде действующих, соответственно, эффекторных веществ, которые далее обозначаются также как композиция действующего вещества, соответственно композиция эффекторного вещества. Плохая растворимость в этой связи означает растворимость действующего, соответственно эффекторного вещества в воде ниже 10 г/л, часто ниже 5 г/л, в особенности ниже 1 г/л и специально ниже 0,1 г/л при 25°С и 1013 мбар. Объектом изобретения являются также композиции действующего, соответственно, эффекторного вещества, которые содержат, по меньшей мере, одно плохо растворимое, соответственно, нерастворимое в воде действующее вещество и/или эффекторное вещество и, по меньшей мере, одну амфифильную полимерную композицию, описанную ниже. Композиции действующего вещества, соответственно эффекторного вещества могут быть твердыми или жидкими. Предпочтительная форма выполнения подобной композиции относится к водной, т.е. жидкой композиции действующего вещества, которая имеет одну водную среду в качестве сплошной среды и, по меньшей мере, одну дисперсную среду, содержащую, по меньшей мере, одно действующее вещества и/или эффекторное вещество, которое имеет в воде при 25°С/1013 мбар растворимость ниже 10 г/л и, по меньшей мере, одну амфифильную полимерную композицию. Полученные при применении амфифильных блоксополимеров согласно изобретению водные композиции действующих веществ плохо растворимых, соответственно, не растворимых в воде действующих, соответственно, эффекторных веществ включают наряду с водной средой в качестве сплошной фазы, по меньшей мере, одну содержащую действующее, соответственно, эффекторное вещество фазу, в которой действующее, соответственно, эффекторное вещество и амфифильная полимерная композиция имеются в форме агрегатов из действующего вещества, соответственно, эффекторного вещества и полимерных компонентов амфифильной полимерной композиции. Эта содержащая действующее, соответственно эффекторное вещество фаза, таким образом, образует дисперсную фазу, которая содержит действующее, соответственно, эффекторное вещество и, по меньшей мере, одну амфифильную полимерную композицию согласно изобретению. Дисперсная фаза в этой связи является крайне тонкой, т.е. частицы дисперсной фазы имеют размер четко ниже 1 мкм. Как правило, средний диаметр частиц, который можно определить светорассеянием, не более 500 нм, часто не более чем 300 нм и находится часто в интервале от 10 до 300 нм, предпочтительно в интервале от 10 до 250 нм, в особенности в интервале от 20 до 200 нм или от 20 до 150 нм и особенно предпочтительно в интервале от 30 до 100 нм. В принципе фазовые частицы могут иметь еще более малый средний диаметр до молекулярно-дисперсного распределения с величиной частиц ниже регистрированных светорассеянием границ (например, >10 нм). Еще одна предпочтительная форма выполнения изобретения относится к неводной, как правило, твердой или полутвердой композиции действующего вещества, которая имеет, по меньшей мере, одно действующее вещество и/или эффекторное вещество, которое имеет в воде при 25°С/1013 мбар растворимость ниже 10 г/л, и содержит, по меньшей мере, одну амфифильную полимерную композицию, и которая в основном не содержит или содержит только малые количества, т.е. <10 вес.% воды. В качестве дальнейших компонентов эти композиции могут содержать типичные для соответствующей цели применения вспомогательные средства и аддитивы. Композиции согласно изобретению, т.е. как водные, так и неводные композиции, дают при разбавлении водные приготовления действующего, соответственно, эффекторного вещества, включающие водную сплошную фазу и, по меньшей мере, одну содержащую действующее, соответственно, эффекторное вещество фазу со средним размером частиц четко ниже 1 мкм, типичным образом не более чем 500 нм, часто не более чем 300 нм, например, в интервале от 10 до 300 нм, предпочтительно в интервале от 10 до 250 нм, в частности, в интервале от 20 до 200 нм или от 20 до 150 нм и особенно предпочтительно в интервале от 30 до 100 нм. Указанные размеры частиц являются средневесовыми размерами частиц, которые могут быть определены динамическим светорассеянием. Способ для этого известен специалисту, и описан, например, в публикациях Н.Wiese D.Distler, Wässige Polymerdispersionen, Wiley-VCH 1999, Kapitel 4.2.1, S. 40ff und dort zitierte Literatur sowie Н.Auweter, D.Horn, J.Colloid Interf. Sci. 105 (1985) 399, D.Lilge, D.Horn, Colloid Polym. Sci. 269 (1991) 704 или Н.Wiese, D.Horn, J.Chem. Phys. 94 (1991) 6429. Термин “водная среда” и Понятие “функциональность” означает здесь и далее среднее число соответствующих функциональных групп на молекулу, соответственно, на полимерную цепь. Водные композиции действующих веществ согласно изобретению характеризуются крайне высокой стабильностью по отношению к деэмульгированию. Они могут храниться без деэмульгирования несколько месяцев также и при повышенной температуре и/или при сильно изменяющихся температурах. К тому же концентрированные дисперсии можно без проблем разбавлять водой, без того, что это приводит к феноменам деэмульгирования, таким как коагуляция, кристаллизация, флокуляция или седиментация. Кроме того, композиции имеют высокую толерантность к электролитам. К тому же вследствие крайне тонкого распределения, соответственно очень низкого диаметра частиц дисперсной фазы повышена активность действующих веществ по сравнению с обычными водными препаративными формами. Другое преимущество состоит в том, что водные композиции действующих веществ согласно изобретению могут составляться с малым содержанием растворителя (содержание летучих растворителей <10 вес.%, в пересчете на вес композиции действующего вещества) или даже свободны от растворителя (содержание летучих растворителей <1 вес.%, в пересчете на вес композиции действующего вещества). Примененные для получения амфифильных полимерных композиций согласно изобретению гидрофобные полимеры P1, а также гидрофильные полимеры P2 имеют реакционно-способные по отношению к изоцианатных группам функциональные группы RP1, соответственно, RP2, которые при образовании связи реагируют с изоцианатной группой соединения V. Примерами для пригодных функциональных групп являются гидроксильные группы, меркаптогруппы (SH) и первичные и вторичные аминогруппы. Предпочтительными функциональными группами являются гидроксильные группы, в особенности, присоединенные к алифатическому или циколалифатическому С-атому гидроксильные группы. В связи с тем, что содержащие изоцианатные группы соединения V в среднем на молекулу имеют, по меньшей мере, 1,5 изоцианатные группы, при взаимодействии соединения V с полимером P1 и полимером P2 образуются, по меньшей мере, частично блоксополимеры, которые имеют как, по меньшей мере, один гидрофобный полимерный блок, который производится от гидрофобного полимера P1, так и, по меньшей мере, один гидрофильный полимерный блок, который производится от гидрофильного полимера P2. В отличие от амфифильных блоксополимеров согласно уровню техники при этом блоки связаны не непосредственно друг с другом, а через связывающее звено, которое имеет, по меньшей мере, две группы уретана и/или мочевины. В отличие от блоксополимеров согласно уровню техники, полученные амфифильные полимерные композиции, как правило, еще в подчиненной мере непрореагироваший полимер P1 и/или полимер P2, а также симметричные продукты взаимодействия, которые имеют или исключительно произведенные от полимеров P1 полимерные блоки или исключительно произведенные от полимеров P2 полимерные блоки. Все-таки предпочтительные амфифильные свойства полимерной композиции сохраняются. В качестве гидрофобных полимеров Р1 пригодны в принципе все выполненные из этиленовоненасыщенных мономеров M1 полимеры, которые содержат заполимеризированными на, по меньшей мере, 10 вес.%, предпочтительно на, по меньшей мере, 30 вес.%, в особенности на, по меньшей мере, 50 вес.%, особенно предпочтительно на, по меньшей мере, 60 вес.%, в пересчете на общее количество, мономера M1, мономера M1а и которые имеют требуемое количество реакционно-способных групп RP1. Предпочтительными мономерами M1а являются такие, при которых R3 в формуле I означает водород. R2 означает предпочтительно водород или метил. Х означает предпочтительно О, NH, NCH3 или NC2H5. R1 означает предпочтительно – C1-C10-алкил, такой как метил, этил, н-пропил, изо-пропил, н-бутил, 2-бутил, изобутил, трет-бутил, 1-пентил, 2-пентил, неопентил, н-гексил, 2-гексил, н-окстил, 2-этилгексил, 2-пропилгептил или н-децил, причем R2 означает = Н и R1 в особенности отличен от метила; – C5-C10-циклоалкил, такой как циклопентил, циклогексил или метилциклогексил, или – фенил-C1-C4-алкил, такой как бензил, 1- или 2-фенилэтил, 1-, 2- или 3-фенилпропил. В особенности R1 означает C1-C10-алкил, причем R2=HR1 в особенности отличен от метила. Особенно предпочтительными мономерами M1а являются сложные эфиры акриловой кислоты с C2-C10-алканолами (=C2-C10-алкилакрилаты), такие как этилакрилат, н-бутилакрилат, изобутилакрилат, трет-бутилакрилат, н-гексилакрилат, 2-этилгексилакрилат и 3-пропилгептилакрилат, сложные эфира метакриловой кислоты с C1-C10-алканолами, такие как метилметакрилат, этилметакрилат, н-бутилметакрилат, изобутиметакрилат, трет-бутилметакрилат и н-гексилметакрилат. Кроме того, предпочтительными мономерами M1а являются N-(C2-С10-алкил)-амиды акриловой кислоты и метакриловой кислоты, а также N-(C1-C2-алкил)-N-(C2-C10-алкил)-амиды акриловой кислоты и метакриловой кислоты, например N-этилакриламид, N,N-диэтилакриламид, N-бутилакриламид, N-метил-N-пропилакриламид, N-(н-гексил)акриламид, N-(н-октил)акриламид и соответствующие метакриламиды. В частности, мономеры M1а включают, по меньшей мере, 50 вес.%, в особенности, по меньшей мере, 70 вес.%, в пересчете на общее количество мономеров M1а, по меньшей мере, одного C1-C4-алкилметакрилата (R1=C1-C4-алкил, R2=СН3 и R3=Н), и среди них особенно предпочтительно метилметакрилат. Наряду с мономерами M1а гидрофобный полимер Р1 может также содержать вполимеризированными отличные от мономеров M1а мономеры M1b в количестве до 90 вес.%, предпочтительно до 70 вес.%, в частности до 50 вес.%, и особенно предпочтительно до 40 вес.%, в пересчете на общее количество мономеров M1. При этом речь идет о моноэтиленовоненасыщенных мономерах с водорастворимостью <50 г/л и часто <20 г/л при 25°С и при 1013 мбар. Примерами для подобных мономеров являются винилароматические мономеры, такие как стирол, Наряду с мономерами M1а и в случае необходимости, M1b полимеры Р1 могут содержать полимеризированными до 30 вес.%, часто не более чем 20 вес.%, в особенности не более чем 10 вес.% или не более чем 5 вес.%, в пересчете на общее количество мономеров M1, этиленовоненасыщенных мономеров M1с, которые отличны от мономеров М1а и M1b. Мономеры M1с предпочтительно выбраны среди нейтральных моноэтиленовоненасыщенных мономеров M1c.1, водорастворимость которых при 25°С составляет, по меньшей мере, 50 г/л, в особенности, по меньшей мере, 100 г/л и моноэтиленовненасыщенных мономеров M1с.2, которые имеют, по меньшей мере, одну ионную или ионизируемую группу. Примерами для мономеров M1c.1 являются амиды вышеназванных этиленовоненасыщенных карбоновых кислот, в особенности акрилакмид и метакриламид, а также N-гидроксиалкиламиды, в особенности N-гидроксиметиламиды вышеназванных этиленовоненасыщенных карбоновых кислот, в особенности, N-метилолакриламид и N-метилолметакриламид, этиленовоненасыщенные нитрилы, такие как метакрилнитрил и акрилнитрил, сложные гидроксиалкиловые эфиры названных К мономерам M1с.2 причисляются, в особенности, моноэтиленовоненасыщенные мономеры M1с.2s, которые имеют, по меньшей мере, одну кислотную группу или, по меньшей мере, одну анионовую группу, в особенности мономеры, которые имеют одну сульфокислотную группу, фосфоновокислотную группу или одну или две карбоновокислотные группы, а также соли подобных мономеров, в особенности, соли щелочных металлов, например соли натрия или калия, а также соли аммония. К ним причисляют этиленовоненасыщенные сульфоновые кислоты, в особенности винилсульфокислота, 2-акриламидо-2-метилпропансульфокислота, 2-акрилоксиэтансульфокислота и 2-метакрилоксиэтансульфокислота, 3-акрилокси- и 3-метакрилоксипропансульфокислота, винилбензолсульфокислота и ее соли, этиленовоненасыщенные пропионовые кислоты, такие как винилфосфоновая кислота и сложные диметиловые эфиры винилфосфоновой кислоты и их соли и К полимерам M1с.2 причисляются далее моноэтиленовоненасыщенные мономеры M1с.2k, которые имеют, по меньшей мере, одну катионовую группу и/или одну способную к протонированию в воде группу. К мономерам M1с.2k причисляются, в основном такие, которые содержат способную к протонированию аминогруппу, четвертичную аммониевую группу, способную к протонированию иминогруппу или квитернизированную иминогруппу. Примерами для мономеров с кватернизированной иминогруппой являются N-винилимидазол и винилпиридин. Примерами для мономеров с кватернизированной иминогруппой являются соли N-алкилвинилпридиния и соли N-алкил-N’-винилимидазолидиния, такие как хлорид N-метил-N’-винилимидазолиния или метосульфат. Среди мономеров M1с.2k в особенности предпочтительны мономеры общей формулы II
где R5 означает водород или C1-C4-алкил, в особенности водород или метил, R6, R7 означают независимо друг от друга C1-C4-алкил, в особенности метил, и R8 означает водород иди C1-C4-алкил, в особенности водород или метил, Y означает кислород, NH или NR9, где R9 означает С1-C4-алкил, А означает С2-С8-алкилен, например 1,2-этандиил, 1,2- или 1,3-пропандил, 1,4-бутандиил или 2-метил-1,2-пропандиил, который в случае необходимости может быть прерван 1, 2 или 3 несмежными атомами кислорода, и Z– означает эквивалент аниона, например Cl–, HSO4 и R8 означает Н свободные основания мономеров формулы II. Примерами таких мономеров M1с.2k являются 2-(N,N-диметиламино)этилакрилат, 2-(М,М-диметиламино)этилметакрилат, 2-(N,N-диметиламино)этилакриламид, 3-(N,N-диметиламино)пропилариламид, 3-(N,N-диметиламино)пропилметилакриламид, 2-(N,N-диметиламино)этилметакриламид, 2-(N,N,N-триметиламмоний)этилакрилат-хлорид, 2-(N,N,N-триметиламмоний)этилметакрилат-хлорид, 2-(N,N,N-триметиламмоний)этилметакриламид-хлорид, 3-(N,N,N-триметиламмоний)пропилакриламид-хлорид, 3-(N,N,N-триметиламмоний)пропилметкриламид-хлорид, 2-(N,N,N-триметиламмоний)этилакриламид-хлорид, а также соответствующие метосульфаты и сульфаты. Другими пригодными мономерами M1с.2k являются винилпиридины винилимидазол и их продукты кватеринизирования. Доля мономеров M1с.2k составляет предпочтительно не более чем 20 вес.%, например, от 0,1 до 20 вес.%, в особенности от 0,5 до 15 вес.%, и особенно предпочтительно от 1 до 10 вес.%, в пересчете на общее количество мономеров M1. При одной предпочтительной форме выполнения полимер Р1 не содержит состоянии или содержит в полимеризированном не более чем 0,1 вес.% мономеров M1c.2k. К мономерам М1с относятся также и мономеры М1с.3, которые имеют две или более не конъюгированных этиленовоненасыщенных двойных связей. Доля подобных мономеров М1с.3 составляет, как правило, не более чем 2 вес.% и в особенности не более чем 0,5 вес.%, в пересчете на общее количество мономеров M1. Примерами для этого являются сложные виниловые и аллиловые эфиры моноэтиленовоненасыщенных карбоновых кислот, такие как аллилакрилат и аллилметакрилат, ди- и полиакрилаты ди- или полиолей, такие как этиленгликольдиакрилат, этиленгликольметакрилат, бутандиолдиакрилат, бутандиолдиметакрилат, гексадиолдиакрилат, гексадиолдиметакрилат, триэтиленогликольдиакрилат, триэтиленгликольтриметакрилат, трис(гидроксиметил)этантриакрилат и -триметакрилат, пентаэритриттриакрилат и -триметакрилат, далее сложные аллиловые и металлиловые эфиры полифункциональных карбоновых кислот, такие как диаллилмалеат, диаллилфумарат, диаллилфталат.Типичными мономерами М1с.3 являются также такие соединения как дивинилбензол, дивинилмочевина, диаллилмочевина, триаллилцианурат, N,N’-дивинил- и N,N’-диаллилимидазолидин-2-он, а также метиленбисакриламид и метиленбисметакриламид. Согласно изобретению полимеры Р1 несут реакционно-способные функциональные группы RP1, которые реагируют с изоцианатными группами при образовании связей. Среднее число подобных групп на молекулу полимера (функциональность), как правило, составляет не более чем две и лежит предпочтительно в интервале от 0,5 до 1,5 и, особенно в интервале от 0,6 до 1,4. Функциональная группа RP1 может быть расположена в полимерной цепи и находится предпочтительно на конце полимерной цепи. При учете применения амфифильных полимерных композиций согласно изобретению для действующих веществ гидрофобный полимер Р1 имеет предпочтительно среднечисленный молекулярный вес в интервале от 500 до 20000 дальтон и, в особенности в интервале от 1500 до 15000 дальтон. Полимеры Р1 в принципе известны из уровня техники, например, из US 5,556,918 и ЕР-А 742238. Их получение осуществляется, как правило, радикальной полимеризацией в растворе мономеров M1 в присутствии инициатора и, в случае необходимости, регулятора, с условием, что инициатор при распаде содержит гидроксил-радикал (ОН-радикал) и/или регулятор содержит ОН-группу или NH2-группу. Пригодными инициаторами являются органические гидропероксиды, такие как трет-бутилгидропероксид, тетрагидрофурангидропероксид, гумолгидропероксид или 2,2′-азобис(2-метил-N-(2-гидроксиэтил)пропионамид). Пригодными регуляторами являются аминоспирты, аминофенолы и в особенности тиоалканолы, такие, как 3-гидроксипропантиол, сложный 2-гидроксиэтил-3-меркаптопропионовой кислоты и, прежде всего, 2-гидроксиэтантиол (меркаптоэтанол). Если применяется один из таких регуляторов, полимеризация может быть проведена в присутствии известного инициатора, например азостартера или органического пероксида, таких, как азобис-(изобутиронитрил), ди-(трет-бутил)пероксид, дидеканоилпероксид, дибензоилпероксид, сложный трет-бутиловый эфир перуксусной кислоты или сложный трет-бутиловый эфир 2-метилперпропионовой кислоты. Если полимеризацию осуществляют в присутствии одного из вышеприведенных регуляторов, регулятор применяют, как правило, в количестве от 0,1 до 5 вес.%, часто от 0,2 до 4 вес.% и в особенности от 0,5 до 3 вес.%, в пересчете на общее количество мономеров Ml. Инициаторы применяются, как правило, в количестве предпочтительно от 0,05 до 5 вес.%, часто от 0,1 до 4 вес.% и особенно предпочтительно в количестве от 0,2 до 3 вес.%, в пересчете на полимеризирующие мономеры M1. Относительно этих подробностей в особенности дается ссылка на стр.3 документа ЕР 742238. Гидрофильные полимеры Р2, которые имеют реакционно-способные группы RP2, в принципе известны специалисту. При этом речь идет, как правило, о полимерах, которые растворимы в воде. Водорастворимость полимеров может быть обеспечена за счет гидрофильных групп, таких как карбоксамидные группы, этергруппы, лактамгруппы, оксазолидингруппы, анионных групп, соответственно, кислотных групп, например карбоксилатгруппы, сульфонатгруппы или фосфатгруппы, основных групп, например, за счет первичных или вторичных аминогрупп, имидазоловых групп, пиридиновых групп или за счет катионных групп, например кватернизированных аммониевых групп, кватернизированных пиримидиновых групп или кватернизированных имидазоловых групп. В зависимости от вида групп различают между неионными гидрофобными полимерами Р2, анионными, соответственно, кислотными полимерами Р2 и основными, соответственно, катионными полимерами Р2. При полимерах Р” речь идет предпочтительно о не ионных полимерах, т.е. доля ионных групп, соответственно, кислотных ли, основных групп составляет не более чем 0,5, мол/кг полимера P2 и в особенности не более чем 0,1 мол/кг полимера P2. Примерами неионных полимеров P2 являются: – простые алифатические полиэфиры, по меньшей мере, на 50 вес.% и в особенности, по меньшей мере, на 70 вес.% состоят из этиленоксидных единиц, – гомо- и сополимеры этиленовоненасыщенных мономеров, которые содержат в полимеризированной форме, по меньшей мере, 50 вес.%, в особенности, по меньшей мере, 70 вес.%, в пересчете на общее количество мономеров М2, по меньшей мере, один моноэтиленовоненасыщенный мономер М2а, который имеет водорастворимость >50 г/л и особенно >100 г/л при 25°С/1013 мбар. Пригодными мономерами М2а являются названные как мономеры M1c.1 мономеры, в особенности, N-виниллактамы, такие как N-винилпирролидон и N-винилкапролактам, вышеприведенные амиды моноэтиленовоненасыщенных монокарбоновых кислот, такие как метакриламид, акриамид, вышеназванные сложные гидроксиалкиловые эфиры моноэтиленовоненасыщенных монокарбоновых кислот, такие как гидроксиэтилакрилат и гидроксиэтилметакрилат, винил- и аллиловые эфиры полиэтиленгликоля и алкилполиэтиленгликолей, а также сложные эфиры акриловой кислоты и метакриловой кислоты с полиэтиленгликолями или алкилполиэтиленгликолями. – поли(2-метилоксазолин) и поли(2-этилоксазолин), и – сложные эфиры поли( Примерами для пригодных анионных полимеров Р2 являются такие, которые содержат в заполимеризированной форме, по меньшей мере, 30 вес.% и предпочтительно, по меньшей мере, 50 вес.%, в пересчете на общее количество полимера Р2, моноэтиленовоненасыщенных мономеров М2b, которые имеют кислотную группу, например карбоксильную группу, сульфокислотную группу, фосфатную группу или фосфонокислотную группу. Примерами пригодных мономеров М2b являются названные в связи с полимерами Р1 мономеры M1c.2s, например, Примерами для пригодных катионных полимеров Р2 являются гомо- и сополимеры вышеприведенных моноэтиленовоненасыщенных мономеров M1с.2k, а также сополимеры мономеров M1с.2k с моноэтиленовоненасыщенными нейтральными мономерами M1c.1. Среди полимеров Р2 особенно предпочтительны такие, которые относительно функциональных групп RP2 имеют функциональность F2 в диапазоне от 0,5 до 3 и особенно в диапазоне от 0,6 до 2,5. Среднечисленный молекулярный вес полимеров Р2, определенный с помощью GPC обычными методами, составляет, предпочтительно, в диапазоне от 500 до 20000 дальтон и в особенности в диапазоне от 800 до 15000 дальтон. Среди полимеров Р2 особенно предпочтительны алифатические полиэфиры, которые выполнены, по меньшей мере, на 50 вес.% и в особенности, по меньшей мере, на 70 вес.% и в особенности, по меньшей мере, на 90 вес.%, в пересчете на общий вес, из этиленоксидных единиц. Наряду с этим алифатические полиэфиры могут содержать структурные единицы, которые производятся от С3-С4-алкиленоксидов. Полиэфиры могут иметь также отличную от водорода конечную группу. Особенно предпочтительные простые полиэфиры имеют следующую общую формулу III Ra означает водород, C1-C20-алкил или бензил, X означает кислород или NH, Rb означает водород или метил, причем, по меньшей мере, 50 мол.%, в особенности, по меньшей мере, 70 мол.% и предпочтительно, по меньшей мере, 90 мол.% групп R2 означают водород, p означает целое число, среднее значение которого находится в диапазоне от 10 до 500, предпочтительно, от 20 до 250 и, в частности, от 25 до 100. Пригодные гидрофильные полимеры P2 известны специалисту в данной области и в большинстве случаев коммерчески приобретаемы, например, под торговым наименованием Pluriol® и Pluronic® (фирмы BASF-Aktiengesellschaft), Sokalan®, Kollidon® (гомо- и сополимеры мономеров М2а, М2b и M1с.2k), или могут быть получены известными методами. Общая доля гидрофобных полимеров Р1 в амфифильной полимерной композиции, т.е. общее количество из превращенного и не превращенного полимера Р1, составляет от 20 до 68 вес.% общего веса полимера P1, полимера P2 и соединения V. Общая доля гидрофильных полимеров Р2 в амфифильной полимерной композиции, т.е. общее количество из превращенного и не превращенного полимера Р2, составляет от 30 до 78 вес.% общего веса полимера Р1, полимера Р2 и соединения V. Общая доля гидрофобных соединения V в амфифильной полимерной композиции, т.е. общее количество примененного соединения V, составляет от 2 до 20 и особенно от 2 до 15 вес.% общего веса полимера Р1, полимера Р2 и соединения V. Весовое соотношение полимера Р1 и Р2 в амфифильной полимерной композиции, каждый раз рассчитанная как общее количество примененных для получения полимеров, находится в интервале от 1:10 до 10:1 и в частности, в интервале от 1:4 до 2,2:1. Пригодные соединения V с функциональностью относительно изоцианатной группы, по меньшей мере, 1,5, в особенности от 1,5 до 4,5 и в частности от 1,8 до 3,5 включают алифатические, циклоалифатические и ароматические ди- и полиизоцианаты, а также изоцианураты, аллофанаты, уретдионы и биуреты алифатических, циклоалифатических и ароматических диизоцианатов. Предпочтительно соединения V имеют в среднем от 1,8 до 3,5 изоцианатных групп на молекулу. Примерами для пригодных соединений V являются ароматические диизоцианаты, такие как толуол-2,4-диизоцианат, толуол-2,6-диизоцинаты, коммерчески приобретаемые смеси толуол-2,4- и -2,6-диизоцианта (TDI), н-фенилендиизоцианат, 3,3′-дифенил-4,4′-бифенилендизоцианат, 4,4′-бифенилендиизоцианат, 4,4′-дифенилметандиизоцианат, 3,3′-дихлор-4,4′-бифенилендиизоцианат, кумен-2,4-диизоцианат, 1,5-нафталиндиизоцианат, п-ксилилендиизоцианат, п-фенилендиизоцианат, 4-метокси-1,3-фенилендиизоцианат, 4-хлор-1,3-фенилендиизоцианат, 4-этокси-1,3-фенилендиизоцианат, 2,4-диметилен-1,3-фенилендиизцианат, 5,6-диметил-1,3-фенилендиизоцианат, простой 2,4-дизоцианатодифениловый эфир, алифатические диизоцианаты, такие как этилендиизоцианат, этилидендиизоцианат, пропилен-1,2-диизоцианат, 1,6-гексаметилендиизоцианат, 1,4-тетраметилендиизоцианат, 1,10-декаметилендиизоцианат и циклоалифатические диизоцианаты, такие как изофорондиизоцианат (IPDI), циклогексилен-1,2-диизоцианат, циклогексилен-1,4-диизоцианат и бис(4,4′-изоцианатоциклогексил)метан. Среди дизоцианатов предпочтительны такие, изоцианатные группы которых различаются в реакционно-способности, такие как толуол-2,4-диизоцианат, толуол-2,6-диизоцианат, их смеси и цис- и транс-изофорондиизоцианат. При другой предпочтительной форме выполнения изобретения для получения амфифильный композиций согласно изобретению применяют биурет или изоцианурат алифатического или циклоалифатического соединения диизоцианата, например цианурат тетраметилдиизоцианата или гексаметилдиизоцианата. Для получения амфифильной композиции согласно изобретению гидрофобный полимер Р1 и гидрофильный полимер Р2 подвергают взаимодействию последовательно или одновременно с соединением V при условиях, при которых группы RP1, соответственно, RP2 реагируют с изоцианатными группами при образовании связи. Взаимодействие может осуществляться в присутствии или в отсутствие малых количеств обычных для этого катализаторов, которые способствуют образованию уретанов, соответственно, мочевины. Пригодными катализаторами являются, например, третичные амины, например, триэтиламин, три-н-пропиламин, N-метилпирролидин, N-метилпиперидин и диазабициклооктан (DABCO), оловоорганические соединения, в особенности соли диалкилолова (IV) алифатических карбоновых кислот, такие, как дибутилоловодилаурат и дибутилоловодиоктоат, диалканоаты олова (II), такие как диоктоат олова, а также соли цезия, такие как ацетат цезия. Если желательно, катализатор применяют в количестве не более чем 0,1 вес.%, в пересчете на соединение V, например, в количестве от 0,01 до 0,1 вес.%, в особенности до 0,05 вес.%. Требуемая температура реакции зависит от реакционноспособности функциональных групп RP1, соответственно, RP2, а также от изоцианатного соединения V и, если применяется, от вида и количества катализатора, она составляет, как правило, от 10 до 120°С и особенно от 15 до 85°С. Само собой разумеется, что взаимодействие полимеров Р1 и Р2 с изоцианатным соединением V осуществляется в отсутствие влажности (содержание воды предпочтительно <10000 млн.ч. и в особенности <2000 млн.ч.). Взаимодействие может происходить в веществе или в органическом растворителе, который инертен к азоцианатным группам соединения V. Примерами для пригодных растворителей являются алифатические кетоны, такие как ацетон, метилэтилкетон, циклогексанон, сожные алкиловые эфиры алифатических карбоновых кислот, например метилацетат, этилацетат, метилпропионат, этилпропионат, н-буталацетат, алифатические и циклические простые эфиры, такие как диэтиловый эфир, диизопропиловый эфир, метил-трет-бутиловый эфир, тетрагидрофуран, ароматические, алифатические и алициклические углеводороды, такие как толуол, ксилол, гексан, циклогексан, а также N-алкиллактамы, такие как N-метилпирролидон и смеси этих растворителей. Взаимодействие полимера Р1 и полимера Р2 с соединением V может осуществляться последовательно ли одновременно, т.е. полимеры Р1 и Р2 могут взаимодействовать с соединением V последовательно или одновременно. Если полимеры Р1 и Р2 подвергают взаимодействию с соединением V последовательно, то может взаимодействовать сначала полимер Р1 с соединением V и затем полимер Р2 с соединением V, а также наоборот. Если полимеры Р1 и Р2 подвергают взаимодействию с соединением V последовательно, то взаимодействие проводят предпочтительно таким образом, что после оконченного взаимодействия с первым полимером Р1 или Р2, по меньшей мере, 10 мол.% до 90 мол.%, в особенности от 20 мол.% до 80 мол.% изоцианатных групп в соединении V реагировали с функциональными группами R1, соответственно, R2 и 10 до 90 мол.%, в особенности, от 20 до 80 мол.% имеющихся изоцианатных групп еще имеются. В заключение проводят взаимодействие со вторым полимером Р1 или Р2. Предпочтительно первый полимер Р1 или Р2 превращается в количестве, что молярное соотношение реакционноспособных групп RP1, соответственно, RP2 к числу изоцианатных групп на молекулу соединения V находится в интервале от 0,1:1 до 0,9:1 и особенно в интервале от 0,2:1 до 0,8:1. Затем полученный таким образом продукт подвергают взаимодействию со вторым полимером, причем второй полимер Р1 или Р2 применяют в таком количестве, что общее количество реакционно-способных групп RP1+RP2 соответствует, по меньшей мере, числу изоцианатных групп соединения V. Предпочтительно соотношение RP1+RP2 к общему количеству изоцианатных групп не превышает значения 1,2:1. Если полимеры Р1 и Р2 подвергают взаимодействию с изоцианатным соединением V одновременно, предпочтительно полимеры Р1 и Р2 применяют в таком количестве, что молярное отношение реакционно-способных групп RP1+RP2 к изоцианатным группам составляет, по меньшей мере, 1:1. Предпочтительно соотношение RP1+RP2 к общему количеству изоцианатных групп не превышает значения 1,2:1. Изоцианатное соединение V может применяться в реакции взаимодействия как таковое. Однако возможно также применение изоцианатного соединения V в такой форме, при которой часть изоцианатных групп обратимо блокирована защитной группой. Соединения, которые блокируют изоцианатные группы (маскировать или защищать), описаны в литературе (ср., например, публикации W. Wicks, Prog. Org. Coat. 3(1975) 73-99, а также 9(1981) 3-28 или Houben-Weyl, Methoden der Organischen Chemie Bd. XIV/2, S.61 ff., Georg Thieme Verlag, Stuttgart 1963). В качестве средства блокировки изоцианатных групп следует назвать, например, фенолы, капролактам, имидазолы, пиразолы, пиразолиноны, 1,2,4-триазолы, дикетопиперазины, сложный эфир малоновой кислоты или оксимы, Для достижения успеха согласно изобретению однако не требуется применение частично обратимо блокированных изоцианатов. При одной особенно предпочтительной форме выполнения изобретения получают на первой реакционной стадии гидрофобный полимер Р1 радикальной полимеризацией в растворе вышеописанным образом и проводят в полученной таким образом реакционной смеси взаимодействие с изоцианатом V описанным образом, без изолирования до этого полимера Р1. Затем полученную реакционную смесь подвергают взаимодействию с полимером Р2, предпочтительно полиэфиром. Альтернативно можно желаемое количество полимера Р2 подавать к полученным полимерам Р1 и затем проводить взаимодействие с соединением V. Для получения водных композиций действующих веществ полученная согласно изобретению полимерная композиция может быть выделена из реакционной смеси, также возможно применять реакционную смесь как таковую. При еще одной предпочтительной форме выполнения изобретения примененный для получения полимерной композиции растворитель заменяют частично или полностью водой, вследствие чего получают водную дисперсию амфифильной полимерной композиции. Это может осуществляться, например, за счет того, что растворитель сначала отгоняют и затем остаток диспергируют в воде или в водной среде. Также к раствору полимерной композиции можно добавлять воду и растворитель удалять под конец добавки воды или параллельно к этому. Получение композиции действующего вещества, соответственно, эффекторного вещества согласно изобретению может осуществляться различным путем. Типичным образом получение композиции действующего вещества, соответственно, эффекторного вещества согласно изобретению включает получение, соответственно, предоставление в распоряжение гомогенной, неводной смеси, включающей амфифильну. полимерную композицию и, по меньшей мере, одно действующее вещество и/или эффекторное вещество. В первой форме выполнения настоящего изобретения водную композицию действующих веществ получают таким образом, что сначала получают гомогенную, не водную смесь, состоящую из амфифильной полимерной композиции и действующего вещества и/или эффекторного вещества и полученную таким образом смесь диспергируют в воде или в водной среде. Для получения гомогенной, не водной смеси, как правило, действующее вещество врабатывают в жидкую форму амфифильной полимерной композиции, например расплав или предпочтительно раствор в органическом растворителе. Если применяют растворитель, в заключение его в основном или по возможности полностью удаляют, причем получают раствор действующего вещества в амфифильной полимерной композиции. Пригодным для этого растворителем является такой, который может растворять как действующее вещество, так и полимер, например алифатические нитрилы, такие как ацетонитрил и пропионитрил, N,N-диалкиламиды алифатических карбоновых кислот, такие как диметилформамид и диметилацетамид, N-алкиллактамы, такие как N-метилпирролидон, вышеприведенные алифатические и алициклические эфиры, например тетрагидрофуран, галогенированные углеводороды, такие как дихлорметан, дихлорэтан и смеси названных растворителей. Для получения водной композиции согласно изобретению в заключение полученный твердый раствор действующего вещества диспергируют перемешиванием. Перемешиванием может осуществляться при температурах окружающей среды, а также при повышенной температуре, например, в интервале от 10 до 80°С и, особенно в интервале от 20 до 50°С. При второй форме выполнения настоящего изобретения получение водной композиции действующего вещества осуществляется вработкой действующего вещества и/или эффекторного вещества в водный раствор/дисперсию амфифильной полимерной композиции. Для этого, как правило, поступают таким образом, что вработку проводят при температуре, которая лежит выше температуры плавления действующего, соответственно, эффекторного вещества и предпочтительно при температуре, при которой расплав действующего, соответственно, эффекторного вещества низковязкий, т.е. имеет вязкость в интервале от 1 до 1000 мПа·с (по стандарту Германии DIN 53019-2 при 25°С). Предпочтительно вработка осуществляется при применении сильных срезающих усилий, например, в Ultraturrax. При третьей форме выполнения настоящего изобретения получение водной композиции действующего вещества осуществляется способом, включающим следующие стадии от а до с: a) получение раствора действующего вещества и/или эффекторного вещества и, в случае необходимости, амфифильной полимерной композиции в органическом растворителе, который имеет точку кипения ниже точки кипения воды, и b) смешение раствора действующего вещества и/или эффекторного вещества с водой или с водным раствором амфифильного сополимера и c) удаление растворителя. При этом альтернативно можно поступать таким образом, что раствор действующего вещества содержит амфифильную полимерную композицию, и этот раствор смешивают с водой или раствор действующего вещества содержит только часть амфифильной полимерной композиции или не содержит амфифильной полимерной композиции и этот раствор смешивают с водным раствором или дисперсией амфифильной полимерной композиции. Смешивание может осуществляться в пригодной смесителе, причем можно подать воду или водный раствор амфифильной полимерной композиции и к нему подать раствор действующего или эффекторного вещества и или альтернативно подать раствор действующего или эффекторного вещества и к нему воду, соответственно, водный раствор амфифильной полимерной композиции. В заключение удаляют растворитель, например, дистилляцией, причем в случае необходимости добавляют воду. При одном предпочтительном варианте этой формы выполнения настоящего изобретения раствор действующего вещества и воду, соответственно, водный раствор амфифильной полимерной композиции подают непрерывно в смесительную зону и из нее выбирают смесь, из которой в заключение удаляют растворитель. Смесительная зона может быть выполнена по-любому. В принципе для этого пригодна вся аппаратура, которая позволяет непрерывное смешение потоков жидкостей. Подобная аппаратура известна, например, из публикации Continuous Mixing of Fluids (J.-H. Henzler) в Ullmann’s Encyclopedia 5 th ed. on CD-Rom, Wiley-VCH. Смесительные зоны могут быть выполнены как статические или динамические смесителе или смесительные формы. В качестве смесительных зон пригодны, в особенности, Jet-смесители или подобные смесители с соплами. В предпочтительной форме выполнения при смесительных зонах речь идет об описанных в справочнике “Handbook of Industrial Crystallization” (A.S.Myerson, 1993 Butterworth-Heinemann, Seite 139, ISBN 0-7506-9155-7) аппаратах или сравнимых аппаратах. Объемное соотношение раствора действующего вещества к воде, соответственно, водному раствору амфифильной полимерной композиции может варьироваться в широком диапазоне и составляет предпочтительно от 10:1 до 1:20 и в особенности, от 5:1 до 1:10. Естественно растворитель должен быть пригодным для растворения амфифильной полимерной композиции и действующего вещества в желаемом количественном соотношении. Пригодный растворитель может быть установлен специалистом. Примерами для пригодного растворителя являются С2-C4-алканолы, такие как этанол, н-пропанол, н-бутанол, изобутанол, вышеназванные алифатические и алициклические эфиры, такие как диэтиловый эфир, диизопропиловый эфир, метил-трет-бутиловый эфир, диоксан, тетрагидрофуран, кетоны, такие как ацетон, метилэтилкетон. При еще одной форме выполнения настоящего изобретения получают неводную композицию действующего вещества таким образом, что получают гомогенную, неводную смесь из амфифильной полимерной композиции и действующего вещества и/или эффекторного вещества. Эта композиция, если она не содержит жидких компонентов, как правило, является твердой. Относительно получения таких композиций действительно сказанное относительно первой формы выполнения гомогенной неводной смеси, состоящей из амфифильной полимерной композиции и действующего вещества и/или эффекторного вещества, однако здесь могут быть вработаны в случае необходимости желательные аддитивы и вспомогательные агенты в композицию. Этот вариант пригоден для получения неводных композиций. Для композиций действующего вещества согласно изобретению имеет преимущество, если весовое соотношение действующего вещества и/или эффекторного вещества к амфифильной полимерной композиции находится в интервале от 1:10 до 3:1 и особенно в интервале от 1:5 до 2:1. Содержание действующего и/или эффекторного вещества может варьироваться в широких пределах. В особенности амфифильные полимерные композиции позволяют получение так называемых концентратов действующего вещества, которые содержат действующее вещество в количестве, по меньшей мере, 5 вес.%, например, в количестве от 5 до 50 вес.% и особенно в количестве от 5 до 20 вес.%, в пересчете на общий вес композиции, Предпочтительно композиции согласно изобретению, в особенности водные композиции действующего вещества, могут быть составлены без растворителя или с малым количеством растворителя, т.е. доля летучих компонентов в композиции действующего вещества составляет часто не более чем 10 вес.%, в особенности, не более чем 5 вес.% и в частности не более чем 1 вес.%, в пересчете на общий вес композиции. Летучие компоненты представляют собой при этом такие, которые при нормальном давлении имеют точку кипения ниже 200°С. В композициях согласно изобретению могут быть вработаны множество различных действующих и эффекторных веществ. Особенная форма выполнения настоящего изобретения относится к действующим вещества для защиты растений, т.е. к таким, как гербициды, фунгициды, нематициды, акарициды, инзектициды, а также действующим веществам, которые регулируют рост растений. Примеры для фунгицидных действующих веществ, которые имеются в композициях согласно изобретению, включают: – ацилаланины, такие как беналаксил, металаксил, офураце, оксадиксил; – производные амина, такие как альдиморф, додины, додеморф, фенпропиморф, фенпропидин, гуазатин, иминоктадин, спироксамин, тридеморф; – анилинопиримидины, такие как пириметанил, мепанипирим или циродинил; – антибиотики, такие как циклогексимин, гризеовулфин, казугамицин, натамицин, полиоксин, стрептомицин и валидамицин А; – азолы, такие как битертанол, бромуконазол, циазофамид, ципроконазол, дифеноконазол, динитроконазол, эпоксиконазол, этридазол, фенбуконазол, флуквинконазол, флузалазол, флутриафол, фуберидазол, гексаконазол, гимексазол, имазалил, ипконазол, имибенконазол, метконазол, миклобутанил, пенкрназол, перфуазорат, пропиконазол, прохлорац, протиоконазол, симеконазол, тебуконазол, тетраконазол, тиабендазол, триадимефон, тридименол, трифлумизол, тритиконазол, 2-бутокси-6-йод-3-пропилхромен-4-он, 3-(3-бром-6-фтор-2-метилиндол-1-сульфонил)-[1,2,4]триазол-1-сульфокислота-диметиламид; – 2-метоксибензофеноны, такие как описанные в ЕР-А 897904 общей формулой I, например метрафенон; – дикарбоксимиды, такие как ипродион, миклозолин, процимидон, винклозолин; – дитиокарбаматы, такие как ферьам, набам, манеб, манкозеб, метам, метирам, пропинеб, поликарбамат, тирам, зирам, занеб; – гетероциклические соединения, такие как анилазины, беномил, боскалид, карбендазим, карбоксин, оксикарбоксин, циазофамид, дазомет, дитианон, этиримол, диметиримол, фамоксадон, фенамидон, фенаримол, фуберидазол, флутоланил, фураметпир, изопроптиолан, мепронил, нуаримол, октилинон, пикобезамид, пробеназол, проквиназид, пирифенокс, пироквиилон, квиноксифен, силтиофам; тиабендазол, трифлузамид, тиофанат-метил, тиадинил, трициклазол, трифорин, 3-[5-(4-хлорфенил)-2,3-диметил-изоксазолидин-3-ил]-пиридин и бупиримат; – производные нитрофенила, такие как бинапакрил, динокап, динобутон, нитрофтал-изопропил; – фенилпирролы, такие как фенпиклонил, а также флудиоксонал; не классифицированные фунгициды, такие как ацибензолар-S-метил, бентиаваликарб, карпропамид, хлороталонил, цифлефенамид, цимоксанил, дикломезин, диклоцимет, дитофенкарб, эдифенфос, этабоксам, фенгексамид, фентин-ацетат, феноксанил, феримзон, флуазинам, фосетил, фосетил-алюминий, ипваликарб, гексахлоробензол, метрафенон, пенцикурон, пропамокарб, фталид, толоклофос-метил, квинтозен, зоксамид, изопроптиолан, флупиколид (пикобензамид); карпропамид, мандипропамид, N-(2-{4-[3-(4-хлорфенил)-проп-2-инилокси]-3-метоксифенил}этил)-2-метансульфониламино-3-метил-бутирамид, N-(2-{4-[3-(4-хлорфенил)-проп-2-инилокси]-3-метоксифенил}-этил)-2-этансульфониламино-3-метилбутирамид; фураметпир, тифлузамид, фентиопирад, фенгексамид, (2-цианофенил)-амид 3,4-дихлоризотиазол-5-карбоновой кислоты, флубентиаваликарб, 3-сложный метиловый эфир (4-хлорфенил)-3-(2-изопропоксикарбониламино-3-метил-бутириламино)-пропионовой кислоты, сложный метиловый эфир {2-хлор-5-[1-(6-метилпиридин-2-илметоксиимино)-этил]-бензил}-карбаминовой кислоты, сложный метиловый эфир {2-хлор-5-[1-(3-метилбензилоксиимино)-этил]-бензил}-карбаминовой кислоты, флузулфамид, амид формулы
где Х означает CHF2 или СН3; и R1, R2 означают независимо друг от друга галоген, метил или галогенметил, например СF3; – стробилурины, такие как описанные в WO 03/075663 общей формулой I, например азоксистробин, димоксистробин, флуксастробин, крезоксим-метил, метоминомстробин, оризастробин, пикоксистробин, пираклостробин, а также трифлоксистробин; – производные сульфокислоты, такие как каптафол, каптан, дихлорфлуанид, фолпет, толилфлуанид; – амиды коричной кислоты и аналоги, такие как диметоморф, флумтовер, флуморп; – 6-арил-[1,2,4]триазоло[1,5-a]пиримидины, описанные, например, в документах WO 98/46608, WO 99/41255 или WO 03/004465 общей формулой I, например 5-хлор-7-(4-метилпиперидин-1-ил)-6-(2,4,6-трифторфенил)-[1,2,4]триазоло[1,5-а]пиримидин; – фунгициды на основе амида, такие как циклофенамид, а также (Z)-N-[ Примерами для гербицидов, которые могут содержаться в композициях согласно изобретению, являются следующие: – 1,3,4-тиадиазолы, такие как бутидазол и ципразол; – амиды, такие как аллидохлор, бензоилпропэтил, бромобутид, хлортиамид, димепиперат, диметенамид, дифенамид, этобензанид, флампропмэтил, фозамин, изохабен, метазахлор, моналид, напталам, пронамид, пропанил; – аминофосфорные кислоты, такие как биланафос, буминафос, глюфосинатеаммоний, глифосат, сульфосат; – аминотриазолы, такие как амитрол, – анилиды, такие как анилофос, мефенасет; – арилоксиалкановая кислота, такая как 2,4-D, 2,4-DB, кломепроп, дихлорпроп, дихлорпроп-Р, фенопроп, флуроксипир, МСРА, МСРВ, мекопроп, мекопроп-Р, напропамид, напроанилид, триклопир; – бензойные кислоты, такие как хлорамбен, дикамба; – бензотиадиазиноны, такие как бентазон; отбеливатели, такие как кломазон, дифлюфеникан, флюорохлоридон, флюпоксам, флюридон, пиразолат, сулькотрион; – карбаматы, такие как карбетамид, хлорфурам, хлорпрофам, десмедифам фенмедифан, вернолат; – хинолиновые кислоты такие, как хинклорак, хинмерак; – дихлорпропионовые кислоты такие, как далапон; – дигидробензофураны, такие как этофумезат; – дигидрофуран-3-он, такой как флуртамон; – динитроанилиды, такие как динитроанилин, бенефин, бутралин, диниттрамин, эталфлюралин, флюхлоралин, изопропалин, нитралин, оризалин, пендиметалин, продиамин, профлюралин, трифлюралин, – динитрофенолы, такие как бромофеноксим, динозеб, динозеб-ацетат, динотерб, DNOC, минотерб-ацетат; – простые дифениловые эфиры, такие как ацифлюорфен-натрия, аклонифен, бифенокс, хлорнитрофен, дифенксирон, этоксифен, флюородифен, флюородифен-этил, фомесафен, фурилоксифен, лактофен, нитрофен, нитрофлюорфен, оксифлюорофен; – дипиридилы, такие как циперкьюат, дифенцокьюат-метилсульфат, дикьюат, паракьюат-дихлорид; – имидазолы, такие как изокарбамид; – имидазолиноны, такие как имазаметапир, имазапир, имацакьюин, имацетабенц-метил, имацетапир, имацапик, имацамокс; – оксадиазолы, такие как метазол, оксадиаргил, оксадиацон; – оксираны, такие как тридифан; – фенолы, такие как бромоксинил, иоксинил; – феноксипропионовые эфиры, такие как клодинафоп, цихалофоп-бутил, дихлофоп-метил, феноксапроп-этил, феноксапроп-п-этил, фентиапропэтил, флюацифоп-бутил, флюацифоп-п-бутил, галоксифоп-этокси-этил, галоксифоп-метил, галоксифоп-п-метил, изоксапирифоп, пропакьюицафоп, кьюицафоп-этил, кьюицафоп-п-этил, кьюицалофор-тефурил; – фенилуксусные кислоты, такие как хлорфенак; – фенилпропионовые кислоты, такие как хлорофенпроп-метил; – ppi-действующие вещества, такие как бензофенап, флюмиклорак-пентил, флюмиоксацин, флюмипропин, флюпропацил, пирацоксифен, сульфентрацон, тидиацимин; – пиразолы, такие как нипираклофен; – пиридазины, такие как хлоридацон, малеиновый гидразид, норфлюрацон, пиридат; – пиридинкарбоновые кислоты, такие как клопиралид, дитиопир, пиклорам, тиацопир; – простые пиримидиловые эфиры, такие как пиритиобаксур, пиритиобак-натрия, KIH-2023, KIH-6127; сульфонамиды, такие как флюметсулам, метосулам; – триазолкарбоксимиды, такие как триазофенамид; – урацилы, такие как бромацил, ленацил, тербацил; – далее беназолин, бенфлюрезат, бенсулид, бензофлюр, бентазон, бутамифос, кафенсерол, хлортал-диметил, цинметил, дихлобенил, эндоталл, флюорбентранил, мефлюидид, перфлюидион, пиперофоз, топрамезоне и прогексадион-кальция; – сульфонилмочевины, такие как амидосульфорон, ацимсульфорон, бенсульфорон-метил, хлоримурон-этил, хлорсульфорон, циносульфорон, циклосульфамирон, этаметсульфорон-метил, флазасульфорон, галосульфорон-метил, имазосульфорон, метсульфурон-метил, никосульфурон, примисульфорон, просульфурон, пиразосульфорон-этил, римсульфорон, сульфометурон-метил, тифенсульфорон-метил, триасульфорон, трибенурон-метил, трифлюсульфорон-метил, тритосульфорон; – действующие вещества защиты растений типа циклогексенона, такие как аллоксидим, клетодим, клопроксидим, циклоксидим, сетоксидим и тралкоксидим. Особенно предпочтительными гербицидными действующими веществами являются гербицидные действующие вещества типа циклогексенона: тепралоксидим (ср. AGROW, Nr. 243, 3.11.95, Seite 21, Caloxydim) и 2-(1-[2-{4-хлорфенокси}пропил-оксиимино]бутил)-3-гидрокси-5-(2Н-тетрагидротиопиран-3-ил)-2-циклогексен-1-он и типа сульфонилмочевины: N-(((4-метокси-6-[трифторометил]-1,3,5-триазин-2-ил)амино)карбонил)-2-(трифторметил)-бензолсульфамид. Примеры для инсектицидов, которые могут содержаться в композициях действующих веществ согласно изобретению, включают: – органо(тио)фосфаты, такие как ацефат, азаметифос, Azinphos-тэтил, азинфос-метил, хлорпирифос, хлорпирифос-метил, хлорфенвинфос, дихлорфос, диметилвинфос, диоксабензофос, дикротофос, диметоат, дисульфотон, этион, EPN, фенитротион, фентион, изоксатион, малатион, метамидофос, метидатион, метил-паратион, мевинфос, монокротофос, оксидименон-метил, параоксон, папатион, фентоат, фозалон, фосмет, фосфамидон, форат, фоксим, пиримифос-метил, профенофос, протиофос, примифос-этил, пираклофос, пиридафентион, сульпрофос, триазофос трихлорофон тетрахлорвинфос, вамидотион, – карбаматы, такие как аланикарб, бенфуракарб, бендиокарб, карбарил, карбофуран, карбосульфан, феноксикарб, фуратиокарб, индоксакарб, метиокарб, метомил, оксамил, пиримикарб, пропоксюр, тиодикарб, триазамат; пиретроиды, такие как аллетрин, бифентрин, цифлутрин, цифенотрин, циклопротрин, циперметрин, дельтаметрин, эсфенвалерат, этофенпрокс, фенпропатрин, фенвалерат, цигалотрин, лямбда-цигалотрин, имипротрин, перметрин, праллетрин, пиретрин I, пиретрин II, силафлуофен, тау-флувалинат, тефлутрин, тралометрин, трансфлутрин, альфа-циперметрин, зета-циперметрин, перметрин; атроподные регуляторы роста: как а) ингибиторы синтеза цитина, например бензоилмочевины, такие как хлорфлуазурон, циромацин, дифлубензурон, флуциклоксурон, флуфеноксурон, гексафлумурон, люфенурон, новалурон, тефлубензурон, трифлумурон; бупрофезин, диофенолан, гекситиазокс, этоксизол, клофентазин; b) эктизонные антагонисты, такие как галофенозид, метоксифенозид; тебуфенозид; с) ювеноиды, такие как пирипроксифен, метопрен, феноксикарб; d) ингибиторы биосинтеза липидов, такие как спиродиклофен; – неоникотиноиды, такие как неоникотиноиды, такие как флоникамид, клотиадинидин, динотефуран, имидаклоприд, тиаметоксам, нитенпирам, нитиазин, ацетамиприд, тиаклопроид; Другие некласифицированные инсектицтды, такие как абамектин, ацехиноцил, ацетамиприд, амитраз, азадирахтин, бенсултап, бифеназат, картап, хлорфенапир, хлордимеформ, циромазин, диафентиурон, динетофуран, диофенолан, эмамектин, эндосульфан, этипропил, феназахин, фипронил, форметанат, форметанат гидрохлорид, гамма-НСН гидраметинон, имидахлоприд, индоксакарб, изопрокарб, метолкарб, пиридабен, пиметрозин, спинозад, тебуфенпирад, тиаметиксам, тиоциклам, пиридалил, флоникамид, флюаципирим, милбемектин, спиромезифен, флюпиразофос, NC 512, толфенпирад, флибендиамид, бистрифлюрон, бенклотиаз, пирафлюпрол, пирипрол, амидофлюмет, флюфенерим, цифлюметофен, ацехиноцил, лепимектин, профлютрин, димефлутрин, амидразон, метафлумизон, N-R’-2,2-дигало-1-R”-циклопропанкарбоксамид-2-(2,6-дихлор-
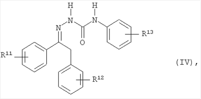
аминоизотриазолы формулы где R означает -CH2O-СН3 или Н и R’ означеат -CF2CF2 CF3; антраниламиды формулы
где R означеат С1-С4-алкил, такой как метил, этил, изопропил или н-бутил, и соединение формулы
– N-фенилсемикарбазоны, описанные в ЕР-А 462456 общей формулой I, в особенности соединения общей формулы IV где R11 и R12 независимо друг от друга означают водород, галоген, CN, С1-С4-алкил, С1-С4-алкокси, С1-С4-галоалкил или С1-С4-галоалкоси и R13 означает С1-С4-алкокси, С1-С4-галоалкил или С1-С4-галоалкокси, например соединение IV, где R11 означает 3-CF3 и R12 означает 4-CN, и R13 означает 4-ОСF3 (метафлумизон). Приемлемыми регуляторами роста являются, например, хлормекват-хлорид, мепикватхлорид, прогексадион-кальций или группа гиббереллинов. К ним относятся, напрмер, гиббереллиные GA1, GA3, GA4, GA5 и GA7 и т.п. и соответствующие эксо-16,17-дигидрогиббереллины, а также их производные. например, сложные эфиры с С1-С4-кабоновыми кислотами. Согласно изобретению предпочтителен эксо-16,17-дигидро-GA5-13-ацетат, далее 1-нафтилацетамид, 1-нафтилуксусная кислота, 2-нафтилоксиуксусная кислота, 3-СРА, 4-СРА, анцимидон, антрахинон, ВАР, бутифос; трибуфос, бутралин, далее хлорфлуренол, клофенцет, цикланилид, диаминозид, дикамба, дикегулак натрия, диметипин, хлорфенетол, этацелазил, этефон, этиклозат, фенопроп, 2,4,5-ТР, флуоридамид, флюрпримидол, флутриафол, гуазатин, имазалил, индолилмаслянная кислота, индолилуксусная кислота, каретазан, кинетин, лактидихлор-этил, малеиновый гидразид, мефлуидин, напталам, паклобутразол, хинмерак, синтофен, тетциклациз, тридиазурон, трииодобезоикакаид, триапентенол, триазетан, трибуфос, тринексапас-этил и юниконазол. Предпочтительная форма выполнения изобретения относится к применению амфифильных полимерных композиций согласно изобретению для получения водных композиций действующих веществ, таких, как фунгициды, в частности стробилуринов, азолов и 6-арилтриазоло[1,5-a]пиримидинов, описанных, например, в WO 98/46608, WO 99/41255 или WO 03/004465 общей формулой I, в особенности для действующих веществ общей формулы V,
где Rx означает группу NR14R15 или неразветвленный или разветвленный C1-C8-алкил, который в случае необходимости, замещен галогеном, ОН, C1-C4-алкокси, фенилом или С3-С6-циклоалкилом, С2-С6-алкенил, С3-С6-циклоалкил, С3-С6-циклоалкенил, фенил или нафтил, причем 4 названных последними остатка могут иметь 1, 2, 3 или 4 заместителя, выбранных из группы, включающей галоген, ОН, С1-С4-алкил, С1-С4-галогеналкокси, C1-С4-алкокси и С1-С4-галогеналкил; R14, R15 независимо друг от друга означают водород, C1-C8-алкил, C1-C8-галогеналкил, С3-С10-циклоалкил, С3-С6-галогенциклоалкил, С2-C8-алкенил, С4-С10-алкадиенил, С2-С8-галогеналкенил, С3-С6-циклоалкенил, С2-С8-галогенциклоалкенил, С2-С8-алкинил, C2-C8-галогеналкинил или С3-С6-циклоалкинил, R14 и R15 вместе с атомом азота, к которому они присоединены, образуют пяти- до восьмичленный гетероциклил, который присоединен через N и содержит два или три дальнейших гетероатома из группы О, N и S в качестве кольцевых членов и/или может иметь один или несколько заместителей, выбранных из группы, включающей галоген, C1-С6-алкил, C1-С6-галогеналкил, С2-С6-алкенил, С2-С6-галогеналкенил, C1-С6-алкокси, C1-С6-галогеалкокси, С3-С6-алкенилокси, С3-С6-галогеналкенилокси, (эксо)-С1-С6-алкилен и окси-С1-С3-алкиленокси; L выбран из группы, включающей галоген, циано, C1-С6-алкил, С1-С4-галогеналкил, C1-С6-алкокси, С1-С4-галогеналкокси и C1-С6-алкоксикарбонил; L1 означает галоген, C1-С6-алкил или C1-С6-галогеналкил и в особенности фтор или хлор; Х означает галоген, С1-С4-алкил, циано, С1-С4-алкокси или С1-С4-галогеналкил и предпочтительно галоген или метил и в особенности хлор. Примерами для соединений формулы V являются 5-хлор-7-(4-метилпиперидин-1-ил)-6-(2,4,6-трифторфенил)-[1,2,4]триазоло[1,5-а]пиримидин, 5-хлор-7-(4-метилпиперазин-1-ил)-6-(2,4,6-трифторфенил)-[1,2,4]триазоло[1,5-а]пиримидин, 5-хлор-7-(морфолин-1-ил)-6-(2,4,6-трифторфенил)-[1,2,4]триазоло[1,5-а]пиримидин, 5-хлор-7-(пиперидин-1-ил)-6-(2,4,6-трифторфенил)-[1,2,4]триазоло[1,5-a]пиримидин, 5-хлор-7-(морфолин-1-ил)-6-(2,4,6-трифторфенил)-[1,2,4]триазоло[1,5-a]пиримидин, 5-хлор-7-(изопропиламино)-6-(2,4,6-трифторфенил)-[1,2,4]триазоло[1,5-a]пиримидин, 5-хлор-7-(циклопентиламино)-6-(2,4,6-трифторфенил)-[1,2,4]триазоло[1,5-a]пиримидин, 5-хлор-7-(2,2,2-трифторэтиламино)-6-(2,4,6-трифторфенил)-[1,2,4]триазоло[1,5-a]пиримидин, 5-хлор-7-(1,1,1-трифторпропан-2-иламино)-6-(2,4,6-трифторфенил)-[1,2,4]триазоло[1,5-a]пиримидин, 5-хлор-7-(3,3-диметилбутан-2-иламино)-6-(2,4,6-трифторфенил)-[1,2,4]триазоло[1,5-a]пиримидин, 5-хлор-7-(циклогексилметил)-6-(2,4,6-трифторфенил)-[1,2,4]триазоло[1,5-a]пиримидин, 5-хлор-7-(циклогексил)-6-(2,4,6-трифторфенил)-[1,2,4]триазоло[1,5-a]пиримидин, 5-хлор-7-(2-метилбутан-3-ил)-6-(2,4,6-трифторфенил)-[1,2,4]триазоло[1,5-a]пиримидин, 5-хлор-7-(3-метилбутан-1-ил)-6-(2,4,6-трифторфенил)-[1,2,4]триазоло[1,5-a]пиримидин, 5-хлор-7-(4-метилциклогексан-1-ил)-6-(2,4,6-трифторфенил)-[1,2,4]триазоло[1,5-a]пиримидин, 5-хлор-7-(гексан-3-ил)-6-(2,4,6-трифторфенил)-[1,2,4]триазоло[1,5-a]пиримидин, 5-хлор-7-(2-метилбутан-1-ил)-6-(2,4,6-трифторфенил)-[1,2,4]триазоло[1,5-a]пиримидин, 5-хлор-7-(3-метилбутан-1-ил)-6-(2,4,6-трифторфенил)-[1,2,4]триазоло[1,5-a]пиримидин, 5-хлор-7-(1-метилпропан-1-ил)-6-(2,4,6-трифторфенил)-[1,2,4]триазоло[1,5-a]пиримидин, 5-метил-7-(4-метилпиперидин-1-ил)-6-(2,4,6-трифторфенил)-[1,2,4]триазоло[1,5-a]пиримидин, 5-метил-7-(4-метилпиперазин-1-ил)-6-(2,4,6-трифторфенил)-[1,2,4]триазоло[1,5-a]пиримидин, 5-метил-7-(морфолин-1-ил)-6-(2,4,6-трифторфенил)-[1,2,4]триазоло[1,5-a]пиримидин, 5-метил-7-(пиперидин-1-ил)-6-(2,4,6-трифторфенил)-[1,2,4]триазоло[1,5-a]пиримидин, 5-метил-7-(морфолин-1-ил)-6-(2,4,6-трифторфенил)-[1,2,4]триазоло[1,5-a]пиримидин, 5-метил-7-(изопропиламино)-6-(2,4,6-трифторфенил)-[1,2,4]триазоло[1,5-a]пиримидин, 5-метил-7-(циклопентиламино)-6-(2,4,6-трифторфенил)-[1,2,4]триазоло[1,5-a]пиримидин, 5-метил-7-(2,2,2-трифтопентиламино)-6-(2,4,6-трифторфенил)-[1,2,4]триазоло[1,5-a]пиримидин, 5-метил-7-(1,1,1-трифторпропан-2-иламино)-6-(2,4,6-трифторфенил)-[1,2,4]триазоло[1,5-a]пиримидин, 5-метил-7-(3,3-диметилбутан-2-иламино)-6-(2,4,6-трифторфенил)-[1,2,4]триазоло[1,5-a]пиримидин, 5-метил-7-(циклогексилметил)-6-(2,4,6-трифторфенил)-[1,2,4]триазоло[1,5-a]пиримидин, 5-метил-7-(циклогексил)-6-(2,4,6-трифторфенил)-[1,2,4]триазоло[1,5-а]пиримидин, 5-метил-7-(2-метилбутан-3-ил)-6-(2,4,6-трифторфенил)-[1,2,4]триазоло[1,5-a]пиримидин, 5-метил-7-(3-метилпропан-1-ил)-6-(2,4,6-трифторфенил)-[1,2,4]триазоло[1,5-а]пиримидин, 5-метил-7-(4-метилциклогексан-1-ил)-6-(2,4,б-трифторфенил)-[1,2,4]триазоло[1,5-а]пиримидин, 5-метил-7-(гексан-3-ил)-6-(2,4,6-трифторфенил)-[1,2,4]триазоло[1,5-a]пиримидин, 5-метил-7-(2-метилбутан-1-ил)-6-(2,4,6-трифторфенил)-[1,2,4]триазоло[1,5-а]пиримидин, 5-метил-7-(3-метилбутан-1-ил)-6-(2,4,6-трифторфенил)-[1,2,4]триазоло[1,5-a]пиримидин и 5-метил-7-(1-метилпропан-1-ил)-6-(2,4,6-трифторфенил)-[1,2,4]триазоло[1,5-a]пиримидин. Другая предпочтительная форма выполнения изобретения относится к применению амфифильных полимерных композиций согласно изобретению для получения водных композиций действующих веществ, в особенности водных композиций инсектицидов, в частности арилпирролов, таких как хлорфенапир, пиретриодов, таких как бифентрин, цифлутрин, циклопротрин, циперметрин, дельтаметрин, эсфенвалерат, этофенпрокс, фенпропатрин, фенвалерат, цигалотрин, лямбда-цигалотрин, перметрин, силафлуофен, тау-флувалинат, тефлутрин, тралометрин, фльфа-циперметрин, зета-циперметрин и перметрин, неоникотиноидов и семикарбазонов формулы IV. Кроме того, амфифильные полимерные композиции согласно изобретению пригодны для получения водных композиции фармацевтических действующих веществ и пролекарств. К ним причисляются бензодиазепины, антигипертензивы, витамины, цитостатики, в особенности таксол, анестетики, нейролептические средства, антидепрессанты, антибиотики, антимитотики, фунгициды, химотерапевтические средства, урологические средства, ингибиторы агрегации тромбоцитов, сульфонамиды, спазмолитикческие средства, гормоны, иммуноглобулины, сера, лечебные средства для щитовидной железы, психофармацевтические средства, средства против паркинзонизма и другие гипертензивные средства, офтальмичкские средства, неврапатические препараты, кальциевые регуляторы обмена веществ, миорелаксанты, наркозные средства, средства, понижающие уровень липидов в крови, средства для лечения печени, коронарные средства, сердечные средства, иммунотерапевтические средства, регуляторные пептиды и их ингибиторные вещества, снотворные средства, седативные средства, гинекологические средства, средства против подагры, фибринолизные средства, ферментативные препараты и транспортные белки, ферментативные ингибиторы, рвотные средства, средства, способствующие кровообращению, мочегонные средства, диагностические средства, кортикоиды, холинэргические средства, средства для лечения желчных путей, противоасматические средства, бронхосредства, бета-блокаторы, антагонисты кальция, АСЕ-ингибиторы, средств против артериосклероза, противовоспалительные средства, антисвертывающие средства, антигипотонические средства, антигипогликемические средства, антигипертонические средства, антифибринолитические средства, антиэпилептические средства, противорвотные средства, противоядовые средства, противодиабетические средства, антиаритмические средства, антианемические средства, антиаллергические средства, противоглистные средства, анальгетики, аналептические средства, антагонисты альдостерона, средства для похудения. Примерами для пригодных фармацевтических действующих веществ являются приведенные в абзацах 0105 до 0131 документа US 2003/0157170 действующие вещества. Далее амфифильные полимерные композиции согласно изобретению пригодны для получения водных композиций косметических действующих веществ, в особенности косметических масел и жиров, таких как арахисовое масло, жожоба масло, масло кокосового ореха, миндальное масло, оливковое масло, пальмоядровое масло, касторовое масло, соевое масло или пшеничное ядровое масло, эфирные масла, такие как сосновое масло, лавандовое масло, розмариновое масло, еловое масло, сосновое, эвкалиптовое масло, мятное масло, шалфейное масло, бергамотное масло, терпентиновое масло, мелиссовое масло, можжевельниковое масло, лимонное масло, анисовое масло, кардамоновое масло, камфорное масло и.п.т.или смесей из этих масел. Кроме того, амфифильные полимерные композиции согласно изобретению пригодны для получения композиций, в особенности водных композиций дополнительных средств к пищевым продуктам, таких как нерастворимые в воде витамины и провитамины, такие как витамин А, витамин А-ацетат, витамин D, витамин Е, производные токоферола, такие как токоферолацетат и витамин К. Примерами для эффекторных веществ, которые могут содержаться в композициях согласно изобретению, являются следующие: красители: например описанные в документе DE-A 10245209 красители, а также обозначаемые согласно цветовому индексу как дисперсные красители или как растворители-красители соединения, которые обозначаются также как дисперсионные красители. Обзор пригодных дисперсионных красителей можно найти, например, в публикации Ullmanns Enzyklopädie der technischen Chemie, 4. Auflage, Bd.10, S.155-165 (см. также том 7, стр.585 и далее – антрахиноновые красители; том 8, стр.244 и далее азокрасители; том 9, стр.313 и далее – хинофталонкрасители). На этот литературный источник и названные в нем соединения дается соответствующая ссылка. Пригодные согласно изобретению дисперсионные красители и растворители-красители включают различные классы красителей с различными хромофорами, например антрахиноновые красители, моноазо- и диазокрасители, хинофталоны, метин- и азаметикрасители, нафталимидкрасители, нафтохинонкрасители и нитрокрасители. Примерами для пригодных согласно изобретению красителей являются дисперсионные красители следующего перечня цветового индекса: С.I. Disperse Yellow I – 228, С.I. Disperse Orange 1-148, С.I. Disperse Red 1-349, С.I. Disperse Violet 1-97, С.I. Disperse Blue 1-349, С.I. Disperse Green 1-9, С.I. Disperse Brown 1-21, С.I. Disperse Black 1-36. Примерами для пригодных согласно изобретению растворителей-красителей являются соединения следующего перечня цветового индекса: С.I. Solvent Yellow 2-191, С.I. Solvent Orange 1-113, С.I. Solvent Red 1-248, С.I. Solvent Violet 2-61, С.I. Solvent Blue 2-143, С.I. Solvent Green 1-35, С.I. Solvent Brown 1-63, С.I. Solvent Black 3-50. Далее пригодными согласно изобретению красителями являются производные нафталина, антрацена, пери лена, терилена, квартерилена, а также красители на основе дикетопирролопиррола, перинонкрасители, кумаринкрасители, изоиндолин- и изоиндолинонкрасители, порфиринкрасители, фталоцианин- и нафталоцианинкрасители; и абсорберы ультрафиолетовых лучей: в особенности соединения из приведенных ниже групп: 4) 4,4-диарилбутадиены, 5) сложный эфир коричной кислоты, 6) бензотриазолы, 7) гидроксибензофеноны, 8) дифенилцианакрилаты, 9) оксамиды, 10) 2-фенил-1,3,5-триазины; К группе 4) 4,4-диарилбутадиенов причисляются, например, соединения формулы А. Соединения известны из документа ЕР-А-916 335. Заместители R10 и/или R11 предпочтительно означают C1-C8-алкил или С5-С8-циклоалкил. К группе 5) эфиров коричной кислоты причисляются, например, сложный 2-изоамиловый эфир эфир 4-метоксикоричной кислоты, сложный 2-этилгексиловый эфир 4-метоксикоричной кислоты, метил- К группе 6) бензотриазолов причисляются, например, 2-(2′-гидроксифенил)-бензотриазолы, такие как 2-(2′-гидрокси-5′-метилфенил)-бензотриазол, 2-(3′,5′-ди-трет-бутил-2′-гидроксифенил)бензотриазол, 2-(5′-трет-бутил-2′-гидроксифенил)-бензотриазол, 2-(2′-гидрокси-5′-(1,1,3,3-тетраметилбутил)фенил)бензотриазол, 2-(3′,5′-ди-трет-бутил-2′-гидроксифенил)-5-хлор-бензотриазол, 2-(3′-трет-бутил-2′-гидрокси-5′-метилфенил)-5-хлор-бензотриазол, 2-(3′-втор-бутил-5′-трет-бутил-2′-гидроксифенил)-бензотриазол, 2-(2′-гидpoкcи-4′-oкcтилoкcифeнил)-бeнзoтpиaзoл, 2-(3′,5′-ди-трет-амил-2′-гидроксифенил)-бензотриазол, 2-(3′,5′-бис-( К группе 7) гидроксибензофенонов причисляются, например, 2-гидроксибензофеноны, такие как 2-гидрокси-4-метоксибензофенон, 2,2′-дигидрокси-4-метоксибензофенон, 2,4-дигидроксибензофенон, 2,2′,4,4′-тетрагидроксибензофенон, 2,2′-дигидрокси-4,4′-диметоксибензофенон, 2,2′-дигидрокси-4,4′-диметоксибензофенон, 2-гидрокси-4-(2-этил-гексилокси)бензофенон, 2-гидрокси-4-(н-окстилокси)бензофенон, 2-гидрокси-4-метокси-4′-метилбензофенон, 2-гидрокси-3-карбоксибензофенон, 2-гидрокси-4-метоксибензофенон-5-сульфокислота и ее натриевая соль, 2,2′-дигидрокси-4,4′-диметоксибензофенон-5,5′-биссульфокислота и ее натриевая соль. К группе 8) дифенилцианакрилатам относятся, например, этил-2-циан-3,3-дифенилакрилат, который может быть приобретен под названием Uvinul® 3035 фирмы BASF AG, Ludwigshafen, 2-этилгексил-2-циан-3,3-дифенилакрилат, который может быть приобретен под названием Uvinul® 3039 фирмы BASF AG, Ludwigshafen, и 1,3-бис-[(2′-циано-3′,3′-дифенилакрилоил)окси]-2,2-бис{[2′-циано-3′,3′-дифенилакрилоил)окси]метил} пропан, который может быть приобретен под названием Uvinul® 3030 фирмы BASF AG, Ludwigshafen. К группе 9) оксамидов относятся, например, 4,4′-диоктилоксиоксанилид, 2,2′-диэтоксиоксанилид, 2,2′-диоктилокси-5,5′-ди-трет-бутоксанилид, 2,2′-дидодецилокси-5,5′-ди-трет-бутоканилид, 2-этокси-2′-этилоксанилид, N,N’-бис(3-диметиламинопропил)оксамид, 2-этокси-5-трет-бутил-2′-этоксанилид и его смеси с 2-этокси-2′-этил-5,4′-ди-третбутоксанилидом. а также смеси орто-, пара-метокси-дизамещенных оксанилидов и смеси орто- и пара-этокси дизамещенных оксанилидов. К группе 10) 2-фенил-1,3,5-триазинов относятся, например, 2-(2-гидроксифенил)-1,3,5-триазины, такие как 2,4,6-трис(2-гидрокси-4-октилоксифенил)-1,3,5-триазин, 2-(2-гидрокси-4-октилоксифенил)-4,6-бис(2,4-диметилфенил)-1,3,5-триазин, 2-(2,4-дигидроксифенил)-4,6-бис(2,4-диметилфенил)-1,3,5-триазин, 2,4-бис(2-гидрокси-4-пропилоксифенил)-6-(2,4-диметилфенил)-1,3,5-триазин, 2-(2-гидрокси-4-октилоксифенил)-4,6-бис(4-метилфенил)-1,3,5-триазин, 2-(2-гидрокси-4-додецилоксифенил)-4,6-бис(2,4-диметилфенил)-1,3,5-триазин, 2-(2-гидрокси-4-тридецилоксифенил)-4,6-бис(2,4-диметилфенил)-1,3,5-триазин, 2-[2-гидрокси-4-(2-гидрокси-3-бутилокси-пропокси)фенил]-4,6-бис(2,4-диметил)-1,3,5-триазин, 2-[2-гидрокси-4-(2-гидрокси-3-октилокси-пропокси)фенил]-4,6-бис(2,4-диметил)-1,3,5-триазин, 2-[4-(додецилокси/тридецилокси-2-гидроксипропокси)-2-гидроксифенил]-4,6-бис(2,4-диметилфенил)-1,3,5-триазин, 2-[2-гидрокси-4-(2-гидрокси-3-додецилоксипропокси)фенил]-4,6-бис-(2,4-диметилфенил)-1,3,5-триазин, 2-(2-гидрокси-4-гексилоксифенил)-4,6-дифенил-1,3,5-триазин, 2-(2-гидрокси-4-метоксифенил)-4,6-дифенил-1,3,5-триазин, 2,4,6-трис[2-гидрокси-4-(3-бутокси-2-гидрокси-пропокси)фенил]-1,3,5-триазин и 2-(2-гидроксифенил)-4-(4-метоксифенил)-6-фенил-1,3,5-триазин. Наряду с перечисленными выше компонентами водные композиции действующих веществ согласно изобретению могут содержать также и обычные поверхностно-активные вещества и прочие аддитивы. К поверхностно-активным веществам относятся тензиды, диспергаторы и смачиватели. К прочим аддитивам относятся в особенности загустители, пеноудалители, консерванты, антифризы, стабилизаторы и т.п.. В принципе приемлемыми являются анионные, котонные, неанионные и амфотерные поверхностно-активные вещества, причем полимерные поверхностно-активные вещества, а также поверхностно-активные вещества с гетероатомами в гидрофобной группе. К анионным поверхностно-активным веществам относятся, например, карбоксилаты, в особенности, щелочные, щелочноземельные, аммониевые соли жирных кислот, например стеарат калия, которые обычно обозначаются как мыло; ацилглютанаты; саркозинаты, например лаурилсаркозинат натрия; таураты; метицеллюлозы; алкилфосфаты, в особенности сложные алкиловые эфиры моно-и дифосфорной кислоты; сульфаты, в особенности алкилсульфаты и алкилэфирсульфаты; сульфонаты, другие алкил- и алкиларилсульфонаты, в особенности щелочные, щелочноземельные и аммониевые соли арилсульфокислот, а также алкилзамещенных арилсульфокислот, алкилбензолсульфокислоты, такие как, например, лигнин- и фенолсульфокислоты, нафталин- и дибутилнафталинсульфокислоты или додецилбензолсульфонаты, алкилнафталинсульфонаты, сульфонаты сложных алкилметиловых эфиров, продукты конденсации сульфонированного нафталина и их производных с формальдегидом, продукты конденсации нафталинсульфокислот, фенол- и/или фенолсульфокислот с формальдегидом или с мочевиной, сульфонаты сложных эфиров моно- или диалкилянтарной кислоты, а также гидролизаты белка и лигнин-сульфитный отработанный щелок. Названные выше сульфокислоты применяются предпочтительно в форме их нейтральных или в случае необходимости, основных солей. К катионным поверхностно-активным веществам относятся, например, кватернизированные аммониевые соединения, в особенности, галогениды и алкилсульфаты алкилтриметиламмония и диалкилдиметиламмония, а также производные пиримидина и имидазолина, в особенности алкилпиридиния. К неионным поверхностно-активным вещества причисляются, например: – сложные полиоксиэтиловые эфиры спиртов жирного ряда, например полиоксиэтиленэфирацетат лаурилового спирта, – простой алкил-полиоксиэтиленовый и полиоксипропиленовый эфир, например изо-тридециловый спирт и простой полиоксиэтиленовый эфир спирта жирного ряда, – простой полиоксиэтиленовый эфир алкиларилспиртов, например простой октиофенол-полиоксиэтиленовый эфир, – алкоксилированные животные и/или растительные жиры и/или масла, например, этоксилаты кукурузного масла, этоксилаты касторового масла, этоксилаты жира, – сложные глицериновые эфиры, глицеринмоностеарат, – алкоксилаты спиртов жирного ряда и алкоксилаты оксоспиртов, в особенности типа RO-(R18O)r(R19O)sR20, где R18 и R19 независимо друг от друга означают С2H4, С3Н6, C4H8 и R20 означает Н, или C1-C12-алкил, R означает С3-С30-алкил или С6-С30-алкенил, r и s независимо друг от друга означают число от 0 до 50, причем оба не могут означать 0, такие, как изо-тридециловый спирт и простой полиоксиэтиленовый эфир олеиловых спиртов, – алкилфенолалкоксилаты, как например, этоксилированный изо-окстил-, окстил- или нонил-фенол, простой трибутилфенол-полиоксиэтиленовый эфир, – алкоксилаты амина жирного ряда, амидалкоксилаты жирной кислоты и диэтанол-амидалкоксилаты жирной кислоты, в особенности их этоксилаты, – сахарные поверхностно-активные вещества, сорбитановый эфир, например сложный эфир сорбитановой жирной кислоты (сорбитанмоноолеат, сорбитантристеарат), сложный эфир полиоксиэтиленсорбитанжирной кислоты, алкилполигликоззиды, N-алкилглюконамиды, – алкилметилсульфоксиды, – алкилдиметилфосфиноксиды, например – тетрадецилдиметилфосфиноксид. К амфотерным поверхностно-активным веществам относятся, например, сульфобетаины, карбоксибетаины и алкилдиметиламиноксиды, например тетрадецилдиметиламиноксид. Другими поверхностно-активными веществами, которые должны быть названы, являются перфтортензиды, силиконовые тензиды, фосфолипиды, как например, лецитин или химически модифицированные летицины, тензиды аминокислоты, например N-лауроилглютамат. Если они не были специфицированы, при алкильных цепях вышеприведенных поверхностно-активных веществ речь идет о неразветвленных или разветвленных остатках с числом атомов углерода от 8 до 20. В одной предпочтительной форме выполнения изобретения водные композиции действующих веществ согласно изобретению содержат не более чем 10 вес.%, предпочтительно не более чем 5 вес.% и особенно не более чем 3 вес.%, например от 0,01 до 5 вес.% или от 0,1 до 3 вес.% обычных поверхностно-активных веществ, каждый раз в пересчете на общее количество действующего вещества и полимерной композиции. Обычные поверхностно-активные вещества составляют тогда предпочтительно не более чем 5 вес.% и особенно не более чем 3 вес.%, например от 0,01 до 5 вес.% или от 0,1 до 3 вес.%, в пересчете на общий вес композиции. В зависимости от применения может иметь преимущество, если композиции действующих веществ согласно изобретению составлены с поверхностно-активными веществами. Тогда доля обычного поверхностно-активного вещества составляет часто в интервале от 0,5 до 30 вес.%, в особенности в интервале от 1 до 20 вес.%, в пересчете на общее количество действующего вещества и полимерной композиции, соответственно, в интервале от 0,2 до 20 вес.% и особенно в интервале от 0,5 до 15 вес.%, в пересчете на общее количество составленной композиции. Также если преимущество композиций согласно изобретению заключается в малом содержании летучих органических веществ, может быть желательным для некоторых случаев применения, смешивать композиции согласно изобретению с органическими растворителями, маслами и жирами, предпочтительно такими растворителями или маслами и жирами, которые приемлемы в отношении окружающей среды и биосовместимы, например, приведенные выше смешиваемые с водой растворители или растворители, масла и жиры, которые не смешиваемы или только ограниченно смешиваемы с водой, например с такими, как: – парафиновые масла, ароматические углеводороды и ароматические смеси углеводородов, например ксилолы, Solvesso 100, 150 или 200, и т.п., – фенолы и алкилфенолы, например фенол, гидрохинон, нонилфенол и т.п. – кетоны с более чем 4 атома углерода, такие как циклогексанон, изофорон, изоферон, ацетофенон, ацетонафтон, – спирты с более чем 4 атома углерода, такие, как ацетилированный ланолиновый спирт, цетиловый спирт, 1-деканол, 1-гептанол, 1-гексанол, изоокстадеканол, изопропиловый спирт, олеиловый спирт, бензиловый спирт, – сложный эфир катбоновой кислоты, например, сложный диалкиловый эфир адипиновой кислоты, такой как сложный бис(2-этилгексил)эфир адипиновой кислоты, сложный диалкиловый эфир фталовой кислоты, такой, как бис(2-этилгексил)эфир фталовой кислотыг, сложный алкиловый эфир уксусной кислоты (также разветвленные алкильные группы), такой как этилацетат и сложный этиловый эфир ацетоуксусной кислоты, стеараты, такие как бутилстеарат, глицеримоностеарат, цитраты, такие как ацетилтрибутилситрат, далее цетилоктаноат, метилолеат, метил-п-гидроксибкезоат, метилтетрадеканоат, пропил-п-гидроксибензоат, метилбензоат, сложный эфир молочной кислоты, такой как изопропиллактат, бутиллактат и 2-этилгексиллактат, – растительные масла, такие как пальмовое масло, рапсовое масло, касторовое масло и их производные, как например, оксидированные, кокосовое масло, рыбий жир, кукурузное масло, соевое масло, масло льняных семян, оливковое масло, арахисовое масло, масло красильного сафлора, кунтужное масло, помпельмусное масло, базиликовое масло, абрикосовое масло, имбирьное масло, гераниевое масло, апельсиновое масло, розмариновой масло, макадимиамасло, луковое масло, мандариновое масло, сосновое масло, подсолнечное масло, – гидрогенированные растительные масла, такие как гидрогенированное пальмное масло, гидрогенированное рапсовое масло, соевое масло, – животные масла, такие как масло свиного жира, рыбные масла, диалкиламиды средне- до длинноцепочечных кислот жирного ряда, например галлкомиды, а также – сложные эфиры растительных масел, такие как сложный метиловый эфир рапсового масла. Пригодными сгустителями являются соединения, которые придают композиции псевдопластичное свойство, т.е. высокую вязкость в состоянии покоя и низкую вязкость в подвижном состоянии. Здесь следует назвать, например, полисахариды, соответственно, органические слоистые минералы, такие как Xanthan Gum® (Kelzan® фирмы Keico), Rhodopol® 23 (Rhone Poulenc) или Veegum® (фирмы R.T. Vanderbilt) или Attaclay® (фирмы Engelhardt), причем Xanthan-Gum® применяется предпочтительно. В качестве пригодных для дисперсий согласно изобретению антивспенивателей следует назвать, например, силиконовые эмульсии (как, например, Silikon® SRE, фирмы Wacker или Rhodorsil® фирмы Rhodia), длинноцепочечные спирты, спирты жирного ряда, фторорганические соединения и из смеси. Бактерициды могут применяться для стабилизации композиций согласно изобретению против поражения микроорганизмами. Пригодными бактерицидами являются, например, Proxel® фирмы ICI или Acticide® RS фирмы Thor Chemie и Kathon® МК фирмы Rohm & Haas. Пригодными антифризами являются органические многоатомные спирты, например этиленгликоль, пропиленгликоль или глицерин. Они обычно применяются в количестве не более, чем 10 вес.%, в пересчете на общий вес композиции действующегт вещества, чтобы не превышать желаеое содержание летучих соединений. В одной форме выполнения изобретения доля отличных от них летучих органических соединений составляет, предпочтительно, не более чем 1 вес.%, в особенности не более чем 1000 млн.ч. В случае необходимости, композиции действующих веществ согласно изобретению могут содержать от 1 до 5 вес.% буфера, в пересчете на общее количество изготовленной композиции для регулирования значения рН, причем количество и вид этого буфера ориентируется на химические свойства действующего вещества, соответственно, действующих веществ. Примерами для буфера являются щелочные соли слабых неорганических или органических кислот, таких как фосфорная кислота, борная кислота, уксусная кислота, пропионовая кислота, лимонная кислота, фумаровая кислота, винная кислота, щавелевая кислота и янтарная кислота. В зависимости от вида содержащегося действующего вещества, соответственно, эффекторного вещества композиции действующих веществ, соответственно, эффекторных веществ согласно изобретению могут применяться в обычных препаративных формах и композиция действующего вещества, соответственно, эффекторного вещества. Например, композиции действующего вещества, которые содержат, по меньшей мере, одно инсектицидное, акарицидное или нематодное действующее вещество, применяются для борьбы против инсектов, акарицидов или нематодов. Если композиции действующего вещества согласно изобретению содержат, по меньшей мере, одно фунгицидное действующее вещество, они могут применяться для борьбы с патогенными грибами. Если композиции действующего вещества согласно изобретению содержат гербицидное действующее вещество, они могут применяться для борьбы с бесполезными злаками и подобными сорняками. В зависимости от вида действующего вещества композиции действующего вещества согласно изобретению применяются в особенности для защиты растений от поражения патогенными горбами и тому подобными, такими как инсекты, акрициды, нематоды, или для защиты от поражения фитопатогенными грибами и т.п. или при обработке посевного материала или при защите материалов, например, для защиты лигноцеллюлозных материалов, таких как древесина, от поражения патогенными инсектами, такими как поедающие древесину жуки, термиты, муравьи и т.п., или от поражения окрашивающими или разрушающими древесину грибами. Само собой разумеется, композиции согласно изобретению могут также применяться в косметике ли в медицине или в технических областях. Изобретение поясняется ниже более подробно с помощью следующих примеров. I. Получение амфифильной полимерной композиции. I.1 Пример получения 1. 1444 г тетрагидрофурана нагревают с обратным холодильником. В течение 2 часов подают одновременно приток 1а, состоящий из 2109 г метилметакрилата и 703 г стирола, а также приток 1b, состоящий из 1444 г тетрагидрофуруна (THF), 18,6 г азобисизобутиронитрила (AIBN) и 58,4 г меркаптоэтанола и смесь держат в течение 24 ч под нагревом с обратным холодильником. Потом подают 430 г имеющегося в продаже биурета гексаметилендиизоцианата (NCO-содержание 22%, вязкость при 23°С 4,0 Па·с) и 0,1 г дилаурата дибутилолова и реакционную смесь перемешивают при сохранении температуры до тех пор, пока содержание NCO смеси не падает до 1,02%. затем к смеси добавляют 3000 г метил-терминированного полиэтиленоксида (среднечисленный молекулярный вес 2000 дальтон, число КОН 33 мг/г (твердого вещества) и перемешивают реакционную смесь при сохранении температуры до тех пор, пока содержание NCO не достигнет 0%. Потом добавляют в течение 30 минут 14,7 кг воды и отгоняют тетрагидрофуран при сниженном давлении. Таким образом, получают 30 вес.%-ную водную дисперсию амфифильной полимерной композиции со средним размером частиц 50 нм (определенным динамическим светорассеянием). I.2 Пример получения 2. 1444 г тетрагидрофурана нагревают с обратным холодильником. В течение 2 часов подают одновременно приток 1а, состоящий из 2109 г метилметакрилата и 703 г стирола, а также приток 1b, состоящий из 1444 г тетрагидрофуруна (THF), 18,6 г азобисизобутиронитрила (AIBN) и 58,4 г меркаптоэтанола и смесь держат в течение 24 ч под нагревом с обратным холодильником. Потом добавляют 167 г изофорондиизоцианата и 0,7 г дилаурата дибутилолово и реакционную смесь перемешивают при сохранении температуры до тех пор, пока содержание NCO не упадет до 0,53%. Затем к смеси добавляют 500 г метил-терминированного полиэтиленоксида (среднечисленный молекулярный вес 2000 дальтон, число КОН 33 mg/g Festsubstanz) и перемешивают реакционную смесь при сохранении температуры до тех пор, пока содержание NCO не достигнет 0%. Потом добавляют в течение 30 минут 10, 6 кг воды и отгоняют тетрагидрофуран при сниженном давлении. Таким образом, получают 30 вес.%-ную водную дисперсию амфифильной полимерной композиции со средним размером частиц 52 нм (определенным динамическим светорассеянием). I.3 Пример получения 3. 1444 г тетрагидрофурана нагревают с обратным холодильником. В течение 2 часов подают одновременно приток 1а, состоящий из 2109 г метилметакрилата и 703 г стирола, а также приток 1b, состоящий из 1444 г тетрагидрофуруна (THF), 18,6 г азобисизобутиронитрила (AIBN) и 58,4 г меркаптоэтанола и смесь держат в течение 24 ч под нагревом с обратным холодильником. Потом подают 430 г имеющегося в продаже биурета гексаметилендиизоцианата (NCO-содержание 22%, вязкость при 23°С 4,0 Па·с) и 3000 г метил-терминированного полиэтиленоксида (среднечисленный молекулярный вес 2000 дальтон, число КОН 33 мг/г твердого вещества) и 0, 86 г дилаурата дибутиолова и перемешивают реакционную смесь при сохранении температуры до тех пор, пока содержание NCO не достигнет 0%. Потом добавляют в течение 30 минут 14,76 кг воды и отгоняют тетрагидрофуран при сниженном давлении. Таким образом, получают 30 вес.%-ную водную дисперсию амфифильной полимерной композиции со средним размером частиц 52 нм (определенным динамическим светорассеянием). I.4 Пример получения 4. 430 г примененного в примере получения 1 обычного в продаже биурета гексаметилендиизоцианата, 3000 г иметилен-терминированного полиэтиленоксида (ОН-число 33 мг КОН/г твердого вещества) и 117 мг дилаурата дибутиолова растворяют в 3430 г тетрагидрофурана. Раствор перемешивают при температуре обратного холодильника до тех пор, пока содержание NCO не составит 0,46%. 1444 г тетрагидрофурана нагревают с обратным холодильником. В течение 2 часов подают одновременно приток 1а, состоящий из 2109 г метилметакрилата и 703 г стирола, а также приток 1b, состоящий из 1444 г тетрагидрофуруна (THF), 18,6 г азобисизобутиронитрила (AIBN) и 58,4 г меркаптоэтанола и смесь держат в течение 24 ч под нагревом с обратным холодильником. Потом добавляют между тем полученный продукт взаимодействия из биурета гексаметилендиизоцианата с метилтерминированным полиэтиленоксидом и реакционную смесь перемешивают при сохранении температуры до тех пор, пока содержание NCO не составит 0%. Потом добавляют в течение 30 минут 14,7 кг воды и отгоняют в вакууме тетрагидрофуран. Таким образом, получают 30 вес.%-ную водную дисперсию амфифильной полимерной композиции со средним размером частиц 52 нм (определенным динамическим светорассеянием). II. Получение водных композиций действующего вещества согласно изобретению. II.1 Аналитика. Приведенная в описании вязкость была определена ротационным вискозиметром по стандарту DIN 53019-2. Определение среднего диаметра частиц осуществлялось по методу статического светорассеяния на разбавленной пробе водной композиции согласно изобретению при 20°С. Для проверки стабильности хранения водную композицию действующего вещества хранили 2 недели при 54°С и 2 недели при 5°С. Кроме того, композиции согласно изобретению замораживали и снова размораживали. Стабильность при хранении имеется тогда, когда при этих условиях не наблюдается ни седиментации, ни расслаивания. II.2 Общие правила получения. 1. Метод солюбилизировния (жидкие действующие вещества и расплавы действующих веществ). 10 г действующего вещества вмешивают в 90 г водной дисперсии амфифильной полимерной композиции, содержащей 30 г полимера, при температуре, при которой действующее вещество имеется как низковязкий расплав. В зависимости от вязкости полимерного раствора и расплава действующего вещества осуществляют смешивание при применении магнитной мешалки или Ultraturrax. Требуемое время до равновесия солюбилизирования зависит от полимерной композиции и от действующего вещества и может составлять несколько секунд или же несколько часов. Равновесие солюбилизирования достигается тогда, когда действующее вещество равномерно распределено в смеси и, несмотря на дальнейшее введение энергии, не наблюдается никаких изменений размеров частиц. 2. Метод фазовой инверсии. 10 г жидкого или твердого действующего вещества и 30 г амфифильной полимерной композиции (содержание полимеров >95 вес.%) растворяют в органическом растворителе, который имеет точку кипения ниже 100°С (например, тетрагидрофуран). Потом при перемешивании добавляют воду, и затем органический растворитель отгоняют. Добавляют столько воды, что результирующая водная композиция имеет 10 вес.% действующего вещества и 30 вес.% полимера. 3. Метод твердого раствора. 0.5 г амфифильной полимерной композиции (содержание полимера >95 вес.%) и 0,1 г действующего вещества растворяют в прибл. 20 мл диметилформамида. Затем растворитель полностью удаляют (например, в ротационном испарителе), так что остается твердый раствор из гидрофобного действующего вещества и амфифильной полимерной композиции. К реакционной смеси добавляют водный раствор с буфером (100 мл, рН 6,8) и смесь перемешивают в течение 24 часов. После фильтрации раствор анализируют с помощью HPLC (детектор ультрафиолетовых лучей) и определяют концентрацию действующего вещества. 4. Дозовая седиментация. 30%-ую водную полимерную дисперсию смешивают вместе с 40%-ым раствором действующего вещества и тетрагидрофурана посредством двух насосов в смесительном устройстве через смесительное сопло. Расход полимерной дисперсии составляет 12 кг/ч, расход раствора тетрагидрофурана составляет 3 кг/ч, так что общий расход составляет 15 кг/ч. Смесительное устройство сравнимо с описанным в публикации II.3 Пример составления композиции 1: солюбилизирование пираклостробина по методу фазовой инверсии (общие приемы см. 2). 10 г пираклостробина растворяют вместе с 30 г амфифильной полимерной композиции из примера 2 в 100 г тетрагидрофурана. Потом при перемешивании добавляют воду и удаляют тетрагидрофуран при сниженном давлении. Количество воды выбирают таким образом, что результирующая водная композиция содержит 10 вес.% действующего вещества и 30 вес.% амфифильной полимерной композиции. Полученная композиция действующего вещества была гомогенной, почти визуально прозрачной, по меньшей мере, несколько месяцев стабильной к седиментации и могла разбавляться водой (как полностью обессоленной водой, так и водой 10°рН), без наступления седиментации или кристаллизации действующего вещества. Дисперсная фаза (частицы полимера/действующего вещества) имела сферическую структуру и средний диаметр, определенный светорассеянием, прибл. 30 нм. II.4 Пример составления композиции 2: солюбилизирование пираклостробина по методу солюбилизировния (общие приемы 1). Пираклостробин является при 70°С хорошо текучим расплавом (вязкость 2200 мПа·с) и составляется в композицию согласно приему 1 при температуре 70°С. Полученная композиция действующего вещества была гомогенной, почти визуально прозрачной, стабильной к седиментации, по меньшей мере, несколько месяцев и могла разбавляться водой (как полностью обессоленной водой, так и водой 10°рН), без наступления седиментации или кристаллизации действующего вещества. Дисперсная фаза (частицы полимера/действующего вещества) имела сферическую структуру и средний диаметр, определенный светорассеянием, прибл. 30 нм. II.5 Пример составления композиции 3: солюбилизирование пираклостробина по методу дозовой седиментации (общий прием 4). Пираклостробин переводится в композицию согласно общему приему 4. Полученная композиция действующего вещества была гомогенной, почти визуально прозрачной, стабильной к седиментации, по меньшей мере, несколько месяцев и могла разбавляться водой (как полностью обессоленной водой, так и водой 10°рН), без наступления седиментации или кристаллизации действующего вещества II.6 Пример составления композиции 4: солюбилизирование метконазола методу фазовой инверсии (общий прием 2). 10 г метконазола, твердого вещества с точкой плавления от 110 до 113°С, растворяют вместе с 30 г амифифльной полимерной композицией из примера 1 в 100 г тетрагидрофурана. Потом при перемешивании добавляют воду. Удаляют тетрагидрофуран при пониженном давлении. Количество воды выбирают так, что результирующая композиция содержит 10 вес.% действующего вещества и 30 вес.% амфифильной полимерной композиции. Полученная композиция действующего вещества была гомогенной, почти визуально прозрачной, стабильной к седиментации, по меньшей мере, несколько месяцев и могла разбавляться водой (как полностью обессоленной водой, так и водой 10°рН), без наступления седиментации или кристаллизации действующего вещества. Дисперсная фаза (частицы полимера/действующего вещества) имела сферическую структуру и средний диаметр, определенный светорассеянием, прибл. 30 нм. Аналогичным образом могут быть получены и другие, представленные в таблице 1 композиции действующих веществ.
II.7 Пример составления композиции 5: солюбилизирование ацетат витамина А по методу фазовой инверсии (общий прием 2). 10 г ацетата витамина А вместе с 30 г амфифильной полимерной композиции из примера 2 растворяют в 100 г тетрагидрофурана. Потом при перемешивании добавляют воду и удаляют при пониженном давлении тетрагидрофуран. Количество воды выбирают так, что результирующая композиция содержит 10 вес.% действующего вещества и 30 вес.% амфифильной полимерной композиции. Полученная композиция действующего вещества была гомогенной, почти визуально прозрачной, стабильной к седиментации, по меньшей мере, несколько месяцев и могла разбавляться водой (как полностью обессоленной водой, так и водой 10°рН), без наступления седиментации или кристаллизации действующего вещества. III Технические испытания. III. 1 Проверка фунгицидной активности. Водную композицию действующего вещества из примера составления композиции 1 сравнивают с двумя коммерчески приобретаемыми композициями того же действующего вещества пираклостробина относительно их активности против Phytophthora infestans на томатах в теплице согласно следующими приемам (превентивный эксперимент, проективная активность): Композиции действующего вещества разбавляют водопроводной водой на желаемую концентрацию (между 4 и 250 млн.ч.). Применение на томатах осуществляют в камере для опрыскивания емкостью 25 мл, которая соответствует обычному на практике количеству воды прибл. 500 л/га. Патогенный гриб (Phytophthora infestans) инокулируют 7 дней после обработки. Растения ставят в теплицу при 18 до 20°С и 90% относительной влажности воздуха. Через 5 дней после инокуляции определяют процентное поражение листьев. Результаты биологического эксперимента представлены в таблице 2. Результаты показывают, что стабилизированное в полимерных частицах действующее вещество имеет фунгицидную активность на уровне коммерчески приобретаемых продуктов.
1) ЕС-композиция: 23,5 вес.% пираклостробина, 4,7 вес.% анионного смачивателя и 4,7 вес.% неанионного смачивателя в 67,1 вес.% неорганического растворителя.
Формула изобретения
1. Амфифильная полимерная композиция, используемая в композициях действующих веществ для защиты растений или в композициях добавок к пищевым продуктам, получаемая взаимодействием 2. Полимерная композиция по п.1, где гидрофобный полимер имеет по отношению к функциональным группам RP1 функциональность F1 в интервале от 0,5 до 1,5. 3. Полимерная композиция по одному из предыдущих пунктов, где гидрофобный полимер P1 имеет среднечисленный молекулярный вес в интервале от 500 до 20000 Да. 4. Полимерная композиция по одному из предыдущих пп.1 или 2, где гидрофильный полимер не имеет ионных групп. 5. Полимерная композиция по п.4, где гидрофильный полимер P2 представляет собой простой алифатический полиэфир, который, по меньшей мере, на 70 вес.% выполнен из этиленоксидных групп. 6. Полимерная композиция по одному из пп.1 или 2, где гидрофильный полимер P2 относительно функциональных групп RP2 имеет функциональность F2 в интервале от 0,5 до 3,0. 7. Полимерная композиция по одному из пп.1 или 2, где гидрофильный полимер P2 имеет среднечисленный молекулярный вес в интервале от 500 до 20000 Да. 8. Полимерная композиция по одному из пп.1 или 2, где гидрофобный полимер P1 и гидрофильный полимер P2 применен в весовом соотношении P1:P2 в интервале от 1:10 до 10:1. 9. Способ получения амфифильной полимерной композиции по одному из предыдущих пунктов, включающий взаимодействие 10. Способ по п.9, где полимер P1 и полимер P2 подвергают взаимодействию с соединением V последовательно. 11. Способ по п.9, где полимер P1 и полимер P2 подвергают взаимодействию с соединением V за один прием. 12. Применение амфифильной полимерной композиции по одному из пп.1 и 2 для стабилизации в водной среде действующих веществ, которые имеют растворимость в воде при 25°С/1013 мбар ниже 10 г/л, причем действующее вещество это вещество для защиты растений или добавка к пищевым продуктам. 13. Применение амфифильной полимерной композиции по одному из пп.1 и 2 для получения композиций действующих веществ, которые имеют растворимость в воде при 25°С/1013 мбар ниже 10 г/л, причем действующее вещество это вещество для защиты растений или добавка к пищевым продуктам. 14. Применение амфифильной полимерной композиции по одному из пп.1 и 2 для получения водных композиций действующих веществ, которые имеют растворимость в воде при 25°С/1013 мбар ниже 10 г/л, причем действующее вещество это вещество для защиты растений или добавка к пищевым продуктам. 15. Композиция действующего вещества для защиты растений или добавок к пищевым продуктам, включающая, по меньшей мере, одно действующее вещество, которое имеет растворимость в воде при 25°С/1013 мбар ниже 10 г/л и, по меньшей мере, одну амфифильную полимерную композицию по одному из пп.1 и 2, причем действующее вещество это вещество для защиты растений или добавки к пищевым продуктам. 16. Композиция действующего вещества по п.15, содержащая действующее вещество и амфифильную полимерную композицию в весовом соотношении от 1:10 до 3:1. 17. Композиция действующего вещества по одному из пп.15 или 16 с содержанием летучих органических соединений менее, чем 10 вес.%, в пересчете на общий вес композиции. 18. Водная композиция действующего вещества для защиты растений или добавок к пищевым продуктам, включающая водную среду в качестве сплошной фазы и, по меньшей мере, одну дисперсную фазу, содержащую, по меньшей мере, одно действующее вещество, которое имеет растворимость в воде при 25°С/1013 мбар ниже 10 г/л, и, по меньшей мере, одну амфифильную полимерную композицию по одному из пп.1 и 2, причем действующее вещество это вещество для защиты растений или добавки к пищевым продуктам. 19. Композиция действующего вещества по п.18, причем частицы дисперсной фазы имеют средний размер, определенный с помощью динамического светорассеяния, не более, чем 300 нм. 20. Композиция действующего вещества по п.18 или 19, содержащая действующее вещество и амфифильную полимерную композицию в весовом соотношении от 1:10 до 3:1. 21. Композиция действующего вещества по п.18 с содержанием летучих органических соединений менее, чем 10 вес.%, в пересчете на общий вес композиции. 22. Способ получения композиции действующего вещества по одному из пп.15 или 18, включающий получение гомогенной, неводной смеси, включающей амфифильную полимерную композицию и, по меньшей мере, одно действующее вещество. 23. Способ получения водной композиции действующего вещества по п.18, включающий: 24. Способ получения водной композиции действующего вещества по п.18, включающий: 25. Способ получения водной композиции действующего вещества по п.18, включающий врабатывание действующего вещества в водный раствор амфифильной полимерной композиции при температуре выше температуры плавления действующего вещества.
|
||||||||||||||||||||||||||||||||||||||||

и
водная фаза” включают здесь и в описании ниже воду, водные смеси воды с до 10 вес.%, в пересчете на смесь, органических растворителей, которые смешиваемы с водой, и растворы из твердых веществ в воде или в водных смесях. Примеры для смешиваемых с водой растворителей включают С3-С4-кетоны, такие, как ацетон и метилэтилкетон, циклические простые эфиры, такие, как диоксан и тетрагидрофуран, С1-С4-алканолы, такие как метанол, этанол, н-пропанол, изопропанол, н-бутанол, трет-бутанол, полиолы (многоатомные спирты) и их простые моно- и диметиловые эфиры, такие как гликоль, пропандиол, простой этиленгликольмонометиловый эфир, диэтиленгликоль, простой диэтиленгликольмонометиловый эфир, простой диэтиленгликольдиметиловый эфир, глицерин, далее C2-C3-нитрилы, такие как ацетонитрил и пропионитрил, диметилсульфоксид, диметилформамид, формамид, ацетамид, диметилацетамид, бутиролактон, 2-пирролидон и N-метилпирролидон.
-метилстирол, винилтолуол, и т.п.олефины с числом атомов углерода от 2 до 10, предпочтительно
-олефины с числом атомов углерода от 3 до 10, такие как пропен, 1-бутен, 1-пентен, 1-гексен, 1-октен и 1-децен, сложные виниловые эфиры алифатических карбоновых кислот, такие как винилацетат, винилпропионат, виниллаурат, винилнонаноат, винилдеканоат, виниллаурат и винилстеарат, ненасыщенные нитрилы, такие как акрилнитрил и метарилнитрил, галогенированные олефины, такие, как винилхлорид, сложные C11-C20-алкиловые эфиры моноэтиленовоненасыщенных монокарбоновых кислот с числом атомов углерода предпочтительно от 3 до 6, например C11-C20-алкилакрилаты и C11-C20-алкилметакрилаты, такие как лаурилакрилат, лаурилметакрилат, изотридецилакрилат, изотридецилметакрилат, стеарилакрилат, стеарилметакрилат, сложные ди-C1-C20-алкиловые эфиры этиленовоненасыщенных дикарбоновый кислот с числом атомов углерода предпочтительно от 4 до 8, например, сложные ди-C1-C20-алкиловые эфиры фумаровой кислоты или малеиновой кислоты, такие как диметилфумарат, диметилмалеат, дибутилфумарат и дибутилмалеат, сложные глициловые эфиры моноэтиленовоненасыщенных монокарбоновых кислот с числом атомов углерода предпочтительно от 3 до 6, такие как глицидилакрилат и глицидилметакрилат. Предпочтительными мономерами M1b являются винилароматические мономеры и среди них особенно стирол. В одной форме выполнения доля мономеров M1b составляет от 1 до 90 вес.%, предпочтительно от 5 до 70 вес.%, в особенности от 7 до 50 вес.%, и особенно предпочтительно от 10 до 40 вес.%, в пересчете на общее количество мономеров M1. Предпочтительно общее количество мономеров M1а и M1b составляет, по меньшей мере, 80 вес.%, в особенности, по меньшей мере, 90 вес.%, и особенно предпочтительно, по меньшей мере, 95 вес.% мономеров M1.
–, 1/2 SO4







