|
|
(21), (22) Заявка: 2008131580/04, 30.07.2008
(24) Дата начала отсчета срока действия патента:
30.07.2008
(46) Опубликовано: 10.01.2010
(56) Список документов, цитированных в отчете о поиске:
WO 2004/058787 А2, 15.07.2004. RU 2004107449 A, 10.09.2005. WO 94/28008 A1, 08.12.1994. STN ON THE WEB, БД СА; AN 149:4025530; “Synthesis of N-alkyl-N’-(2-benzothiazolyl)-N”-( -D-galactopyranosyl)- -D-glucopyranosyl)guanidme and N-aryl-N’-(2-benzothiazolyl)-N”-( -D-galactopyranosyl)- -D-glucopyranosyl)guanidine derivatives”(TIAN, XIAO-HONG ET AL), YOUJI HUAXUE, 27(11), 1386-1391 (CHINESE) 2007; см. RN 1061633-20-2, 1061633-21-3, 1061633-22-4, 1061633-24-6, 1061633-25-7.
Адрес для переписки:
188300, Ленинградская обл., Гатчина, Орлова Роща, Петербургский институт ядерной физики им.Б.П.Константинова РАН
|
(72) Автор(ы):
Бобрикова Дина Робертовна (RU), Ронжина Наталья Леонидовна (RU), Шабалин Константин Александрович (RU), Кульминская Анна Алексеевна (RU)
(73) Патентообладатель(и):
Петербургский институт ядерной физики им. Б.П. Константинова РАН (государственное учреждение) (RU), Кульминская Анна Алексеевна (RU), Бобрикова Дина Робертовна (RU)
|
(54) СУБСТРАТЫ ИЗ КЛАССА ОЛИГОСАХАРИДОВ, МОДИФИЦИРОВАННЫХ ФЛУОРЕСЦЕНТНОЙ ГРУППОЙ, ДЛЯ ДЕТЕКТИРОВАНИЯ ФЕРМЕНТОВ ЦЕЛЛЮЛАЗНОГО КОМПЛЕКСА НА ТВЕРДЫХ СРЕДАХ
(57) Реферат:
Изобретение относится к субстратам из класса олигосахаридов, модифицированных флуоресцентной группой (см. общую структурную формулу, приведенную ниже), обладающим растворимостью в воде, для детектирования ферментов целлюлазного комплекса на твердых (агаризованных) средах, где n (степень полимеризации) равна 2-4, а в качестве флуоресцентной группы использован 2-(2′-гидроксифенил)-бензотиазол. 1 табл., 2 ил.

Изобретение относится к биотехнологии и касается получения новых высокочувствительных субстратов для поиска на твердых средах ферментов целлюлазного комплекса, используемых при производстве различных биологически активных продуктов из целлюлозы и/или дешевых лигноцеллюлозных материалов (древесных опилок, стеблей кукурузы, травы, коры деревьев).
В процессе разложения (гидролиза) целлюлозы участвуют такие ферменты, как целлюлазы экзо- и эндодействия, различные бета-глюканазы и бета-глюкозидазы. Целлюлазы являются относительно дорогими ферментами, чтобы быть широко использованными для крупномасштабных производств биопродуктов и, в частности, биоэтанола. Кроме того, часто производство конкретных биопродуктов диктует необходимость в использовании узкоспецифичных целлюлаз со строго заданными свойствами. Поэтому поиск новых продуцентов этих жизненно важных ферментов или генные модификации уже известных необходимы для нужд производства, оптимизации процессов их получения и, следовательно, крайне важны для снижения коммерческой стоимости биопродуктов. Одним из важных инструментов в решении этой задачи является разработка адекватного метода высокочувствительного, относительно простого и недорогого поиска микробных продуцентов целлюлазного комплекса, который, как правило, осуществляется на твердых (агаризованных) средах.
Для детектирования ферментов целлюлазного комплекса на твердых средах традиционно используют субстраты, представляющие собой полисахариды (карбоксиметилцеллюлоза или целлюлоза). Целлюлазную активность детектируют визуально по появлению так называемых «ореолов» вокруг микробов – продуцентов ферментов целлюлазного комплекса после окрашивания поверхности среды специальными красителями (например, Конго красным) и ее промывания [1]. Такой способ является неколичественным и его существенным недостатком является недостаточная корреляция между активностью фермента и размером ореола, и, как следствие, плохая чувствительность [2]. В качестве альтернативы было предложено использовать субстраты, представляющие собой олигосахариды (так называемый гликон, гликоновая часть или углеводный блок), модифицированные хромофорными/флуорофорными группами (агликон). Основным принципом метода с использованием таких субстратов является детектирование продуктов ферментативного гидролиза этих соединений путем визуализации высвободившихся хромофорных или флуорофорных групп (агликоновой части). Для целлюлаз традиционно используемыми субстратами являются целлобиосахариды, несущие на восстанавливающем концевом остатке разнообразные хромогенные (пара-нитрофенил, орто-нитрофенил, 4-хлоронитрофенил, динитрофенил и др.) или флуорогенные (метилумбеллиферил-, трифторметилумбеллиферил, 6,8-дифторо-4-метилумбеллиферил, 4-пентафтороэтилумбеллиферил, флюоресцеин, 5-хлорометилфлюоресцеин и др.) группы.
Как правило, спектрофлуорометрическое детектирование гидролиза субстратов, модифицированных флуоресцентными группами, дает на порядок большую чувствительность, чем при использовании хромофорных групп. Однако применение флуоресцентных субстратов имеет ряд существенных недостатков. Во-первых, максимум флуоресценции или оптической плотности традиционных меток находится в области pH 8-10, в то время как большинство целлюлаз имеют оптимум активности при pH 7 или ниже, т.е. эти субстраты неудобны для спектрометрического анализа ферментативной реакции. Во-вторых, все эти субстраты совершенно непригодны для in situ определения ферментативной активности в образцах тканей или на агаризованных средах, т.к. детектируемые продукты гидролиза растворимы и легко диффундируют из точки проявления активности.
Попытки решить вышеперечисленные проблемы привели к разработке ряда методов, обеспечивающих образование нерастворимого осадка в точке гидролиза субстрата, основанных на использовании дополнительных реагентов, образующих с детектируемым продуктом гидролиза нерастворимое соединение. Так, один из подходов основан на способности ряда агликонов хелатировать ионы металлов с образованием нерастворимого флуорогенного (производные бета-нафтола в присутствии азо-соединений хелатируют ионы Zn2+) или хромогенного (субстраты на основе ализарина, 8-гидроксихинолина, 3,4-циклогексеноэскулетина и т.д. образуют окрашенный осадок в присутствии ионов железа) комплекса.
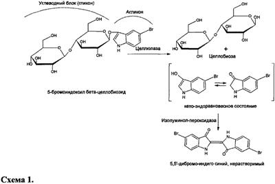
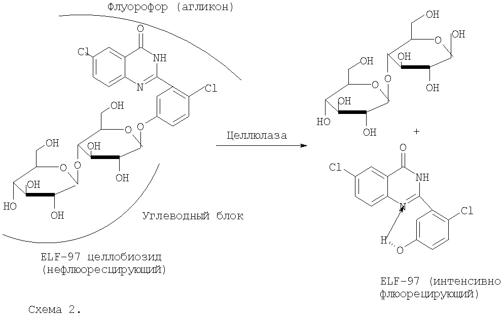
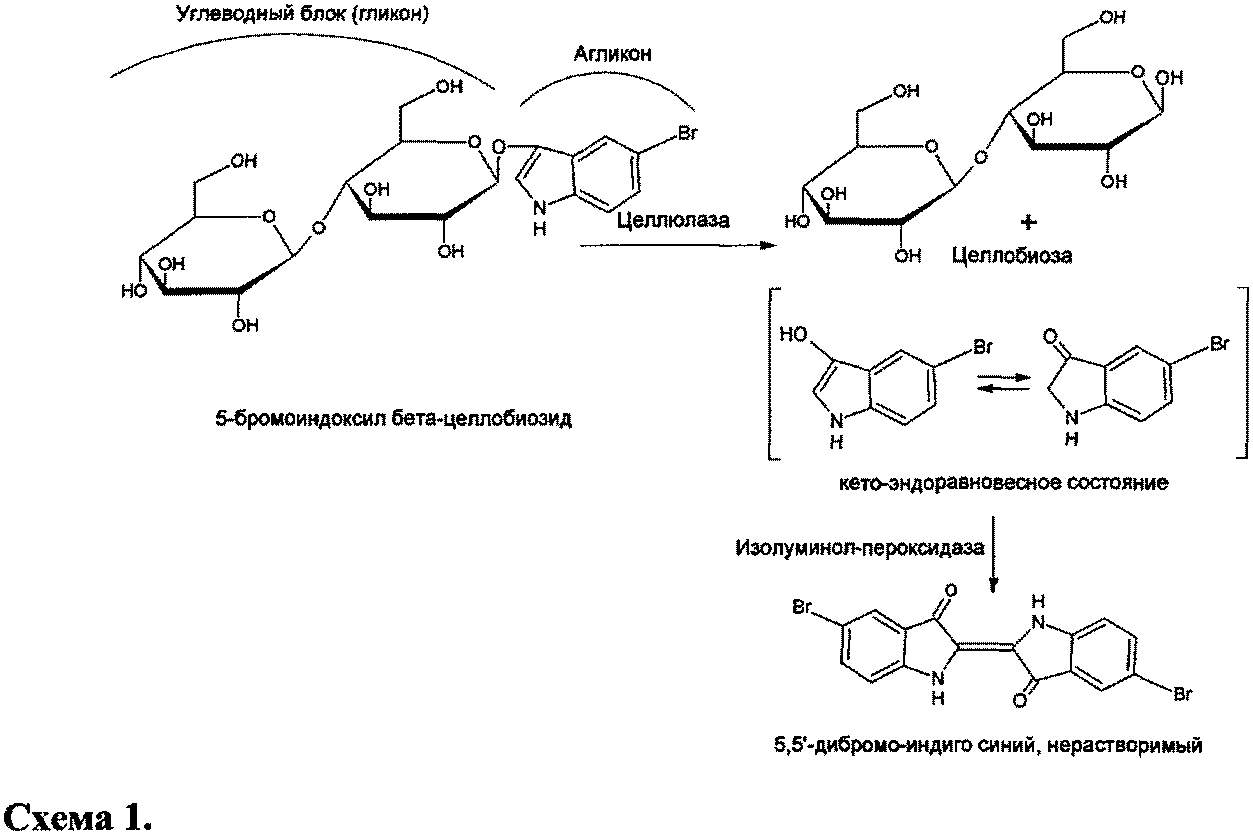
Известен субстрат для целлюлаз, 5-бромоиндоксил-бета-D-целлобиозид [3], при ферментативном гидролизе которого выделяется свободная хромофорная метка (агликон), легко окисляющаяся до индиго-производного с одновременным образованием перекиси водорода. Образовавшуюся перекись водорода детектируют хемилюминесцентно, используя изолуминол-микропероксидазу. Пример использования подобного субстрата приведен на схеме 1.

В данном случае о наличии искомой целлюлазной активности судят по образованию нерастворимого осадка, который становится видимым невооруженным взглядом после обработки поверхности среды раствором изолуминол-микропероксидазы. Такие двухступенчатые процедуры часто приводят к неправильной локализации целлюлазной активности из-за возможного перемещения первичных продуктов реакции. Кроме того, синтез гликозилированных производных 5-бромоиндоксила является весьма трудоемким, ввиду сложности приготовления как предшественников хромогенной группы, так и самих гликозилированных производных, являющихся к тому же довольно лабильными соединениями, склонными к легкому окислению и гидролизу.
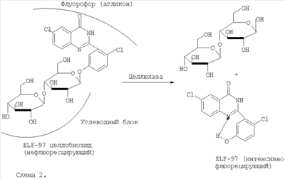
Наиболее близким к заявляемым субстратам является субстрат из класса олигосахаридов, модифицированный флуоресцентной группой, для детектирования ферментов целлюлазного комплекса на твердых средах, так называемый ELF-97 целлобиозид [4]. Данный субстрат (ELF-97 целлобиозид) имеет в качестве флуорофора 2-(2′-гидроксифенил)-4(3Н)-хиназолинон и является бесцветным и нефлуоресцентным. При его гидролизе ферментами целлюлазного комплекса образуется интенсивно флюоресцирующий и фотостабильный, нерастворимый в воде осадок непосредственно в месте проявления ферментативной активности. Реакция ферментативного расщепления ELF-97 бета-D-целлобиозида приведена на схеме 2.

Однако подобный субстрат является нерастворимым в воде, поэтому при определении целлюлазной активности на твердых средах необходимо использование таких растворителей, как диметилсульфоксид, диметиформамид или ацетонитрил. Уже 15%-ная концентрация этих растворителей приводит к частичной или полной денатурации фермента, что значительно уменьшает эффективность поиска микробных продуцентов искомых целлюлаз.
Задачей данного изобретения является создание растворимых высокочувствительных флуорогенных субстратов для детектирования ферментов целлюлазного комплекса на твердых средах для повышения эффективности поиска микробных продуцентов этих ферментов. При этом субстраты должны отвечать следующим требованиям:
– образование нерастворимого продукта ферментативной реакции при достаточной растворимости субстрата;
– максимум флуоресценции при физиологических значениях pH;
– устойчивость субстратов;
– удобный и воспроизводимый метод синтеза.
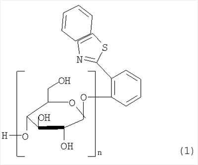
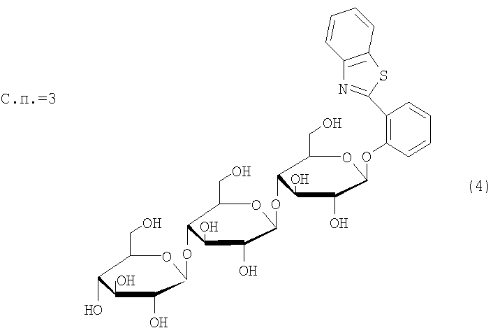
Данная задача достигается тем, что предлагаются субстраты из группы олигосахаридов, модифицированных флуоресцентной группой, для детектирования ферментов целлюлазного комплекса на твердых средах, общей формулы (1):

где n (степень полимеризации) равна 2-4, а в качестве флуоресцентной группы использован 2-(2′-гидроксифенил)-бензотиазол, соответствующий формуле (2)

обладающие растворимостью в воде.
Новым в изобретении является использование новой флуоресцентной группы, 2-(2′-гидроксифенил)-бензотиазола, выпадающей в осадок после гидролиза исходного субстрата ферментами целлюлазного комплекса, и использование в качестве гликоновой части целлоолигосахаридов со степенью полимеризации (с.п.) больше 2. Введение новой флуоресцентной группы и использование целлоолигосахаридов со степенью полимеризации больше 2 позволило преодолеть ограничения, свойственные субстрату-прототипу, где в качестве флуоресцентной группы был использован 2-(2′-гидроксифенил)-4(3H)-хиназолинон, а в качестве олигосахаридной части – целлобиозид (с.п.2). При этом сохранились все его положительные характеристики, а именно высокая интенсивность флуоресценции в осадке и нерастворимость высвобождаемого флуорофора в воде, но повысилась растворимость в воде исходных субстратов. Заявляемые субстраты позволяют эффективно проводить поиск новых специфических ферментов целлюлазного комплекса из природных источников и генетически модифицированных форм известных ферментов, т.к. дают возможность определять ферментативную активность не только в растворе, но и на твердых (агаризованных) средах.
Заявленная совокупность признаков не обнаружена в научно-технической и патентной литературе и выявлена опытным путем.
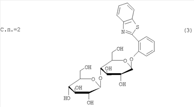
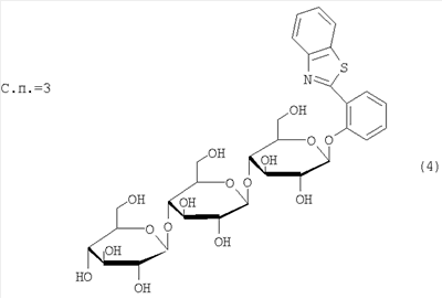
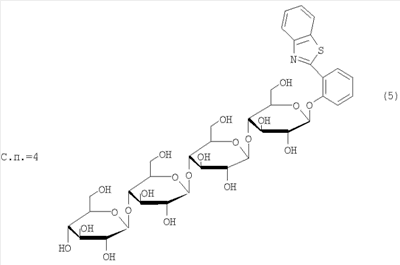
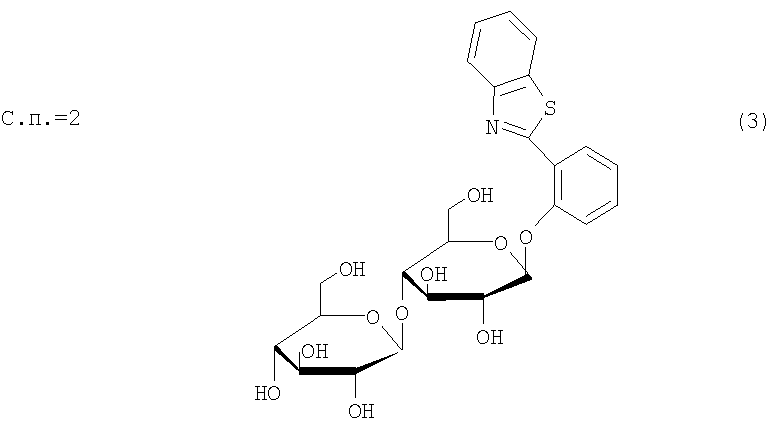
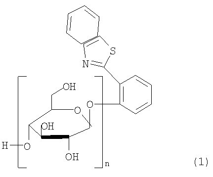
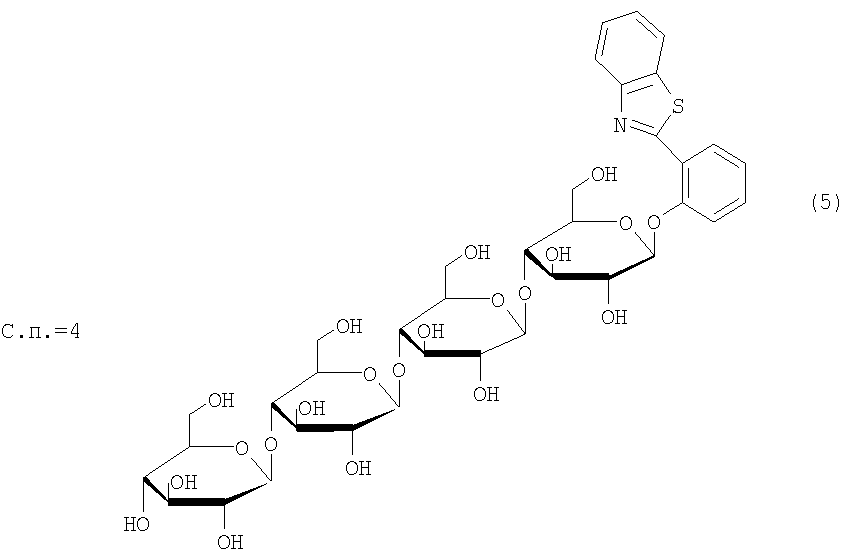
Помимо 2-(2-гидроксифенил)-бензотиазолил целлобиозида (3) были синтезированы 2-(2-гидроксифенил)-бензотиазолил целлотриозид (4) и 2-(2-гидроксифенил)-бензотиазолил целлотетраозид (5).

2-(2′-гидроксифенил)-бензотиазолил целлобиозид

2-(2′-гидроксифенил)-бензотиазолил целлотриозид
С.п.=4

2-(2′-гидроксифенил)-бензотиазолил целлотетраозид
Синтез 2-(2′-гидроксифенил)-бензотиазолил целлоолигосахаридов со с.п.2-4
Общая схема синтеза патентуемых субстратов имеет две основные стадии:
1. получение соответствующего углеводного блока;
2. реакция гликозилирования с образованием субстрата.
Углеводные блоки представляют собой ацетоцеллоолигосахариды со степенью полимеризации (с.п.) от 2 до 4. Перацетилированные целлоолигосахирды были получены в результате ацетолиза целлюлозы с последующим разделением целлоолигосахаридов на колонке с силикагелем по стандартному протоколу Вольфрома и Томпсона [5]. Выходы -целлобиозы октаацетата, -целлобиозы ундека-ацетата и -целлотетераозы тетрадека-ацетата составили, соответственно, 12.0, 8.0 и 6.2%. Для получения соответствующих ацетобромоцеллолигосахаридов перацетат каждого из целлоолигосахаридов был обработан 33% раствором HBr в уксусной кислоте, промыт подходящими растворителями и водой и высушен под вакуумом.
Реакции гликозилирования проводили по модифицированному методу Кенигса-Кнорра. Полностью защищенный углеводный блок, активированный переводом в галогенированную форму обрабатывали флуорофором в присутствии неорганической соли (карбоната серебра) и ненуклеофильного основания (коллидина) в безводных условиях. После выделения защищенного гликозида защитные группы удаляли методом, соответствующим использованным защитным группам. Выходы полученных 2-(2-гидроксифенил)-бензотиазолил целлоолигосахаридов составили 60% для 2-(2-гидроксифенил)-бензотиазолил целлобиозида, 53% для 2-(2-гидроксифенил)-бензотиазолил целлотриозида, 39% для 2-(2-гидроксифенил)-бензотиазолил целлотетраозида.
Определение структуры субстратов
Все 1H и 13C ЯМР спектры регистрировали с использованием спектрометра АМХ-500 Bruker ( при 500.13 МГц, при 125.13 МГц) при комнатной температуре для растворов в различных растворителях. В качестве внешнего стандарта использовали тетраметилсилан, калибровали с использованием сигналов остаточных протонов растворителей. Химические сдвиги ( в ppm) даны относительно сдвигов для ( H 7.25), 30% раствор CD3CN в D2O( Н 2.21), 30% раствор (CD3)2CO в D2O ( Н 2.19); значения J даны в Гц. Одномерные , одномерные спектры эффекта Оверхаузера, 13С и фазово-чувствительные двумерные спектры (COSY-DQF, NOESY и протон-углеродные корреляционные спектры) регистрировали с использованием стандартных импульсных программ при 20°С и 50°С. Результаты анализировали с использованием пакета программ XWINNMR (Bruker). Соотнесение сигналов индивидуальных сахарных остатков основывалось на двумерной фазово-чувствительной спектроскопии COSY. Определение последовательности остатков основывалось на крос-пиках эффекта Оверхаузера в двумерном NOESY эксперименте (время смешения 180 мс) и наблюдении эффекта Оверхаузера между аномерными протонами и протоном при замещенном положении.
Масс-спектры полученных субстратов были сняты в режиме регистрации положительных ионов на Micromass Q-TOF2 (ортогонально ускоряющий квадруполь/времяпролетный масс-спектрометр), соединенном с нанофлоу источником ионов (Micromass, Manchester, UK), (Королевский институт биотехнологии, Швеция). Типичное разрешение однозарядных ионов в режиме работы времяпролетного анализатора составляло 9500 FWHM ширины на половине высоты. Калибровка масс-времяпролетного анализатора проводилась в диапазоне m/z 130-1980, используя растворы NaJ (2 г/л) и CsJ (0,05 г/л) в системе изопропанол-вода 1:1 в качестве стандартов.
Растворы 2-(2-гидроксифенил)-бензотиазолил целлоолигосахаридов в концентрации 10-50 мкМ в системе метанол-вода 1:1, содержащей 0,5 мМ NaCl, вводились в масс-спектрометр через насос со скоростью 500 нл/мин. Для оптимизации интенсивности (М +Na) ионного сигнала напряжение на капилляре электроспрея поддерживалось 3 кВ, и напряжение на конусе варьировалось (40-80 В). Давление аргона в столкновительной камере составляло 3,6-3,7 мБар (ANALYSER Penning gauge) в MS и MS/MS экспериментах. Для достижения оптимального баланса между интенсивностями родительских и фрагментированных ионов в MS/MS экпериментах энергия столкновения изменялась в диапазоне 26-50 В в зависимости от стойкости (М+Na) ионов. Время сканирования 2,5 сек с задержкой между сканами 0,1 сек использовалось во всех экспериментах. Данные регистрировались до приемлемого отношения сигнал-шум. Для создания центроидного спектра использовали 60-80 индивидуальных MS/MS спектров. Для калибровки MS/MS спектров была использована масса моноизотопного фрагментарного иона В-2 (287.0743 массовой единицы).
Данные ЯМР и масс-спектрометрического анализа полученных субстратов
2-(2′-гидроксифенил)-бензотиазолил- -целлобиоза 1ЭС ЯМР (126 МГц, ) ппм 131.43 (1С, s, С3), 128.06 (1С, s, С5), 125.43 (1С, s, С10), 124.22 (1С, s, С11), 121.68 (1С, s, С9), 121.35 (1С, s, С4), 120.99 (1С, s, С12), 114.14 (1С, s, С2), 102.33 (1С, s, C1), 99.01 (1С, s, ), 78.82 (1С, s, ), 75.97 (1С, s, C5), 75.97 (1С, s, C3), 74.43 (1С, s, ), 74.41 (1С, s, ), 72.58 (1С, s, C2), 72.30 (1С, s, ), 69.36 (1С, s, C4), 60.33 (1С, s, C6), 59.16 (1С, s, C6′).
ESI+MS [M+Na]+m/z 574.554 расч. для C25H29NO11S, наблюдаемое: 574.133.
2-(2′-гидроксифенил)-бензотиазолил – -целлотриоза 13С ЯМР (126 МГц, ДМСОd6) ппм 162.40 (1С, s,C8), 154.52 (1С, s,Cl), 151.45 (1С, s, С7), 135.72 (1С, s,C3), 132.08 (1С, s, С10), 128.72 (1С, s, C11), 126.09 (1С, s, C13), 124.87 (1С, s, C6), 122.40 (1С, s, C9), 122.04 (1С, s, C12), 121.67 (2C, s, C4), 114.80 (1С, s, C2), 103.17 (1С, s, C1), 102.56 (1С, s, ), 99.64 (1С, s, ), 80.31 (1С, s, ), 79.34 (1С, s, ), 76.74 (1С, s, C3), 76.40 (1С, s, ), 75.07 (1С, s, C2), 75.01 (1С, s, ), 74.83 (1С, s, ), 74.79 (1С, s, ), 73.20 (2C, s, C3′, ), 72.96 (2C, s, ), 69.97 (1С, s, C4), 60.97 (1С, s, C6), 60.30 (1С, s, C6′), 59.76 (1С, s, C6”).
ESI+ MS [M+H+] m/z 714.712 расч. для C31H39NO16S, наблюдаемое: 714.197.
2-(2′-гидроксифенил)-бензотиазолил- -целлотетраоза ЯМР (400 МГц, ), ппм: 5.37 (1H, d, J 7.78 Hz, H1”’), 4.41 (1Н, d, J 7.87 Hz, ), 4.25 (1H, d, J 7.83 Hz, ), 4.34 (1H, d, J 7.95 Hz, H1).
ESI+ MS [M+H]+ m/z 876.853 расч. для C37H49NO21S, наблюдаемое: 876.226.
Апробирование заявляемых субстратов
В лаборатории энзимологии отделения молекулярной и радиационной биофизики Петербургского института ядерной физики им. Б.П.Константинова РАН была проведена проверка заявляемых субстратов из класса олигосахаридов, модифицированных флуоресцентной меткой, при поиске ферментов целлюлазного комплекса на твердых средах. Флуорогенные субстраты, соответствующие формулам (3-5), оказались нефлуоресцентны и растворимы в воде, однако образуют высокофлуоресцентный нерастворимый в воде продукт при реакции со специфическим ферментом (целлюлазой).
Поскольку бактериальные целлюлазы не выделяются в среду, а остаются связанными с поверхностью клеток, обнаруживать их значительно сложнее, чем грибные ферменты целлюлазного комплекса. Поэтому, прежде всего, все полученные соединения были протестированы с бактериальной культурой Bacillus polymyxa LMG 13294, о наличии ферментов целлюлазного комплекса которой было известно из литературы.
Для детектирования ферментов целлюлазного комплекса на твердой среде раствор 2-(2′-гидроксифенил)-бензотиазолил целлобиозида, 2-(2′-гидроксифенил)-бензотиазолил целлотриозида, 2-(2′-гидроксифенил)-бензотиазолил целлотетраозида и 4-метилумбеллиферил целлобиозида были добавлены к агаризованной среде, содержащей карбоксиметилцеллюлозу и неорганические соли. Конечная концентрация флуоресцентных субстратов составляла 60 микромоль. Значение pH среды составило 5.0. Чашки с нанесенной культурой инкубировали при 30°С и визуально инспектировали с помощью УФ-света ежедневно в течение 3 дней. Было показано, что использование 2-(2-гидроксифенил)-бензотиазолил целлоолигосахаридов со с.п.2-4 приводит к точной локализации ферментативной активности на чашке, т.к. высвобождаемый продукт (флуорофор) не диффундирует в среде в течение времени, в отличие от известного, коммерчески доступного субстрата 4-метилумбеллиферил целлобиозида (Sigma-Aldrich, кат. М6018), который был протестирован для сравнения. Данные представлены в иллюстративных материалах.
Кроме того, заявляемые субстраты были протестированы при поиске ферментов целлюлазного комплекса среди коллекции дрожжевых штаммов из собственной коллекции ПИЯФ. Из 30 проверенных культур 18 штаммов продемонстрировали способность гидролизовать 2-(2′-гидрксифенил)-бензотиазолил- -целлоолигосахариды со степенью полимеризации 2-4, что выразилось в появлении желтого флуоресцентного осадка на поверхности агаризованной среды, который не диффундировал со временем. Для проверки наличия ферментов целлюлазного комплекса в этих культурах все 18 культур были выращены в жидкой среде и удельные активности трех ферментов, входящих в целлюлазный комплекс, были определены с помощью традиционных субстратов (Табл.1).
Таким образом, показано, что новые субстраты позволяют детектировать активность ферментов целлюлазного комплекса в минимальных количествах, при физиологических значениях pH и предварительно оценивать уровень продукции ферментов в культуре.
Источники информации
1. Y.-H.P.Zhang, M.E.Himmel, J.R.Mielenz. Outlook for cellulose improvement: Screening and selection strategies. Biotechnol. Adv., 24 (2006): 452-481.
2. K.R.Sharrock. Cellulase assay methods: a review. J. Biochem. Biophys. Methods 17 (1988): 81-105.
3. V.M.Chernoglazov, O.V.Ermolova, Ya.V.Vozny, A.A.Klyosov. A method for detection of cellulases in polyacrylamide gels using 5-bromoindoxyl-beta-D-cellobioside: High sensitivity and resolution. Anal. Biochem. 182, (1989): 250-252).
4. Enzymatic analysis using substrates that yield fluorescent precipitates. (1994) US Patent 5316906.
5. M.L.Wolfrom, A. Thompson, Methods Carbohydr. Chem., 1963, 3, 143-150. Acetolysis. In: Whistler RL, Green JW, Be Miller JN, Wolfrom ML (eds) Methods in carbohydrate chemistry, vol 3. Academic Press, New York London, pp 143-150.
6. Т.К.Ghose. Measurement of cellulose activities. Pure Appl. Chem. 59 (1987):257-268.
7. M.G.Tuohy, D.J.Walsh, P.G.Murray, M.Claeyssens, M.M.Cuffe, A.V.Savage, et al. Kinetic parameters and mode of action of the cellobiohydrolases produced by Talaromyces emersonii. Biochim. Biophys. Acta. 1596 (2002): 366-380.
8. M.J.Arrizubieta, J.Polaina. Increased thermal resistance and modification of the catalytic properties of a beta-glucosidase by random mutagenesis and in vitro recombination. J. Biol. Chem. 275 (2000):28843-28848.
Формула изобретения
Субстраты из класса олигосахаридов, модифицированных флуоресцентной группой, для детектирования ферментов целлюлазного комплекса на твердых средах, соответствующие общей формуле
 где n (степень полимеризации) равна 2-4, а в качестве флуоресцентной группы использован 2-(2′-гидроксифенил)-бензотиазол, обладающий растворимостью в воде.
РИСУНКИ
|
|