Патент на изобретение №2378273
|
||||||||||||||||||||||||||
(54) СПОСОБ ПОЛУЧЕНИЯ 3,4-ДИТИЕНИЛЗАМЕЩЕННЫХ МАЛЕИНОВЫХ АНГИДРИДОВ ИЛИ МАЛЕИМИДОВ
(57) Реферат:
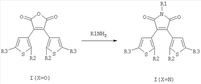
Изобретение относится к способу получения новых 3, 4-дитиенилзамещенных малеиновых ангидридов или малеимидов общей формулы I:
где Х=O или NR1; R1 и R2=алкилC1-C4; R3=алкилC1-C4, либо азот- и/или серусодержащий гетроциклический заместитель, который заключается в том, что соответствующую 2,5-дизамещенную 3-тиенилуксусную кислоту подвергают взаимодействию с соответствующими 2,5-дизамещенными 3-галогенацетилтиофенами при нагревании в присутствии основания в среде инертного органического растворителя в атмосфере кислорода воздуха с последующим выделением целевого продукта общей формулы I, где Х=O, либо, в случае необходимости, последний переводят в соединение общей формулы I, где X=NR1, где R1 имеет вышеуказанные значения, путем обработки его соответствующим амином. Эти соединения могут быть использованы в качестве фотохромов, которые находят широкое практическое применение в качестве оптических переключателей в носителях информации большой емкости, используемых для записи, обработки и хранения данных. Технический результат состоит в универсальности способа, т.е. возможности получения соединений как с эквивалентными гетероциклическими заместителями, так и с неэквивалентными, а использование при этом доступных тиенилуксусных кислот и галогенкетонов тиофенового ряда, что позволяет существенно расширить ассортимент органических фотохромных дитиенилэтенов. 3 з.п. ф-лы.
Изобретение относится к области получения органических фотохромов, в частности новых неописанных в литературе фотохромных дитиенилэтенов, содержащих в качестве мостикового звена фрагмент малеинового ангидрида или малеимида. Фотохромные продукты этого класса находят широкое практическое применение в качестве оптических переключателей в носителях информации большой емкости, используемых для записи, обработки и хранения данных. Фотохромные соединения, которые могут быть использованы в этом качестве, должны обладать определенным набором эксплуатационных характеристик: термической необратимостью обеих форм, высоким квантовым выходом фотопревращения, а также высокой цикличностью. Одним из классов фотохромов, удовлетворяющих этим условиям, являются 1,2-тиенилэтены, в частности продукты, содержащие в качестве этенового мостика малеиновоангидридный или малеимидный фрагмент. В литературе описано несколько способов получения фотохромных дитиенилэтенов, содержащих в качестве мостикового звена фрагмент малеинового ангидрида. Так, известен способ получения целевых 3,4-дитиенилзамещенных малеиновых ангидридов, который включает в себя обработку производных циклобут-3-ен-1,2-диона 90% пероксидом водорода в ацетонитриле при 30-40°С. (Фотохромные дигетарилэтены. 8. Новый подход к синтезу 3,4-бис(2,5-диметил-3-тиенил)фуран-2,5-диона как потенциального фотохрома. Ширинян В.З., Краюшкин М.М., Беленький Л.И., Воронцова Л.Г., Старикова З.А., Мартынкин А.Ю., Иванов В.Л., Ужинов Б.М., ХГС, 37(1), 2001, 81-88). Однако этот способ не позволяет получать целевые соединения с неэквивалентными тиофеновыми фрагментами. Кроме того, этот способ применим для очень узкого круга исходных соединений. Существенным недостатком этого способа также является использование взрывчатого концентрированного пероксида водорода. Известен также способ получения 3,4-дитиенилзамещенных малеиновых ангидридов, основанный на обработке 3,4-дитиенилзамещенных производных динитрила малеиновой кислоты щелочью в моноэтиловом эфире этиленгликоля при длительном кипячении. (Thermally irreversible photochromic systems. Reversible photocyclization of diarylethene derivatives. Irie M., Mohri M., J. Org. Chem., 53 (4), 1988, 803-808). Следует отметить, что этот способ также не универсален, так как не применим для синтеза фотохромных продуктов с неэквивалентными гетероциклическими заместителями. Кроме этого, целевой малеиновый ангидрид образуется в этом случае с достаточно низким выходом (20%). В литературе описано несколько способов получения фотохромных 3,4-дитиенилзамещенных малеимидных производных на основе соответствующих малеиновых ангидридов. Так, известен способ получения малеимидов, заключающийся в обработке малеинового ангидрида метиламином в метаноле при комнатной температуре (Фотохромные дигетарилэтены: XVII. Новый синтез фотохромных N-алкилдитиенилмалеимидов. Краюшкин М.М., Ширинян В.З., Беленький Л.И., Шимкин А.А., Мартынкин А.Ю., Ужинов Б.М., ЖОрХ, 38(9), 2002, 1390-1393). Однако этот способ не применим для синтеза фотохромных 3,4-дитиенилзамещенных малеимидных производных с неэквивалентными гетероциклическими заместителями ввиду отсутствия соответствущих исходных ангидридов. Задачей настоящего изобретения является разработка универсального способа получения органических фотохромов, в частности дитиенилэтенов, содержащих в качестве мостикового звена фрагмент малеинового ангидрида или малеимида, позволяющего расширить ассортимент органических фотохромов, т.е. получить соединения как с эквивалентными, так и с неэквивалентными гетероциклическими заместителями. Поставленная задача достигается предложенным способом получения 3,4-дитиенилзамещенных малеиновых ангидридов или малеимидов общей формулы I:
где Х=О или NR1 R1 и R2=алкилC1-C4 R3=алкилC1-C4, либо азот- и/или серусодержащий гетроциклический заместитель, заключающийся в том, что соответствующую 2,5-дизамещенную 3-тиенилуксусную кислоту подвергают взаимодействию с соответствующими 2,5-дизамещенными 3-галогенацетилтиофенами при нагревании в присутствии основания в среде инертного органического растворителя в атмосфере кислорода воздуха. Целевой продукт общей формулы I, где Х=О, выделяют известным способом, либо, в случае необходимости, последний переводят в соединение общей формулы I, где Х=NR1, где R1 имеет вышеуказанные значения, путем обработки его соответствующим амином. Процесс протекает по следующей схеме: В качестве основания для проведения вышеуказанной конденсации могут быть использованы карбонаты щелочных металлов, предпочтительно использование карбоната калия. Карбонат калия берут в 3-5 кратном избытке по отношению к исходным реагентам. В предлагаемом способе получения впервые для подобного типа реакций основание использовано одновременно как в качестве конденсирующего агента, так и циклизующего агента и катализатора окисления. Процесс проводят в среде инертного органического растворителя, например, в диметилформамиде. Процесс необходимо проводить при нагревании, например, в диапазоне температур от 70 до 90°С. При более низких температурных условиях проведения процесса (<70°С) реакция протекает медленно, а повышение температуры выше 90°С приводит к снижению выхода целевого продукта в результате осмоления реакционной смеси. Ключевой особенностью предлагаемого способа является проведение процесса в атмосфере кислорода воздуха, который является окислителем для превращения промежуточно образующихся соединений. Предлагаемый способ позволяет синтезировать малеимидные производные общей формулы I (X=NR1) рециклизацией соответствующих производных малеинового ангидрида формулы I (Х=O) под действием алифатического амина. Предпочтительно применение амина в 3-5 кратном избытке по отношению к малеиновому ангидриду. Процесс проводят по известной методике в среде инертного органического растворителя, например, в этаноле при нагревании, предпочтительно в диапазоне температур от 70 до 90°С в атмосфере кислорода воздуха. Более низкие температурные условия проведения процесса (<70°С) снижают скорость протекания реакции, а повышение температуры выше 90°С приводит к снижению выхода целевого продукта в результате осмоления реакционной смеси. Способ иллюстрируется следующими примерами. Пример 1 Получение 3,4-бис-[2-метил-5-(2-метилтиазол-4-ил)-тиофен-3-ил]-фуран-2,5-диона формулы: Смесь 0.16 г (0.622 ммоль) [2-метил-5-(2-метилтиазол-4-ил)-3-тиофен-3-ил]-уксусной кислоты, 0.17 г (0.622 ммоль) 1-[2-метил-5-(2-метилтиазол-4-ил)-3-тиофен-3-ил]-2-хлорэтанона и 0.28 г (2 ммоль) безводного карбоната калия в 4 мл диметилформамида перемешивают при температуре от 70 до 90°С в атмосфере кислорода воздуха, в темноте, в течение 16 часов. Затем реакционную массу выливают в воду и экстрагируют этилацетатом (2*30 мл), органический слой отбрасывают, водный раствор подкисляют 10% соляной кислотой до рН 2-3, добавляют 30 мл этилацетата и перемешивают 3 часа при комнатной температуре. Затем органический слой отделяют, водный слой экстрагируют этилацетатом (2*30 мл), сушат над Na2SO4. Растворитель упаривают, остаток хроматографируют на силикагеле, элюент: петролейный эфир (60-80°С) – этилацетат – 3:1, и перекристаллизовывают из эфира. Выход 0.11 г (35%), т.пл. 173-175°С. Спектр ЯМР 1Н ( Пример 2 Получение 3-(2,5-диметилтиофен-3-ил)-4-[2-метил-5-(2-метилтиазол-4-ил)-тиофен-3-ил]-фуран-2,5-диона формулы:
Получен по методике, представленной в примере 1, из (2,5-диметилтиофен-3-ил)-уксусной кислоты и 1-[2-метил-5-(2-метилтиазол-4-ил)-тиофен-3-ил]-2-хлорэтанона. Выход 56%, т.пл. 181-183°С. Спектр ЯМР 1Н ( Пример 3 Получение N-(4-{4-[4-(2,5-диметилтиофен-3-ил)-2,5-диоксо-2,5-дигидрофуран-3-ил]-5-метилтиофен-2-ил}-тиазол-2-ил)-ацетамида формулы:
Получен по методике, представленной в примере 1, из (2,5-диметилтиофен-3-ил)-уксусной кислоты и N-{4-[4-(2-хлороацетил)-5-метилтиофен-2-ил]-тиазол-2-ил}-ацетамида. Выход 48%, т.пл. 257-259°С. Спектр ЯМР 1Н ( Пример 4 Получение 3-(2,5-диметилтиофен-3-ил)-4-[2-метил-5-(2-морфолин-4-илтиазол-4-ил)-тиофен-3-ил]-фуран-2,5-диона формулы:
Получен по методике, представленной в примере 1, из (2,5-диметилтиофен-3-ил)-уксусной кислоты и 1-[2-метил-5-(2-морфолин-4-илтиазол-4-ил)-тиофен-3-ил]-2-хлорэтанона. Выход 41%, т.пл. 231-233°С. Спектр ЯМР 1H( Пример 5 Получение 1-метил-3,4-бис-[2-метил-5-(2-метилтиазол-4-ил)-тиофен-3-ил]-пиррол-2,5-диона формулы: 0.24 г (0.5 ммоль) 3,4-бис-[2-метил-5-(2-метилтиазол-4-ил)-тиофен-3-ил]-фуран-2,5-диона в 5 мл двумолярного раствора метиламина в этаноле кипятят с обратным холодильником в течение 16 часов. Затем реакционную массу выливают в воду и экстрагируют этилацетатом (3*30 мл), органическую фазу промывают водой, сушат над Na2SO4. Растворитель упаривают, остаток хроматографируют на силикагеле, элюент: петролейный эфир (60-80°С) – этилацетат – 3:1, и перекристаллизовывают из эфира. Выход 0.16 г (67%), т.пл. 188-190°С. Спектр ЯМР 1Н ( Таким образом, предложен удобный универсальный способ получения новых не описанных в литературе фотохромных дитиенилэтенов с малеиновоангидридным и малеимидным мостиковыми фрагментами как с эквивалентными, так и с неэквивалентными гетероциклическими заместителями, основанный на использовании доступных тиенилуксусных кислот и галогенкетонов тиофенового ряда. Особым достоинством предлагаемого способа по сравнению с известными ранее является возможность получения фотохромных продуктов с неэквивалентными гетероциклическими заместителями. Предлагаемый способ может быть использован, как для синтеза описанных ранее фотохромных дитиенилэтенов этого типа, так и для получения новых продуктов с различным сочетанием гетероциклических фрагментов. Предлагаемый способ позволяет получать соединения с достаточно хорошими выходами. Значительным преимуществом предлагаемого способа по сравнению с известными ранее является получения фотохромных малеиновых ангидридов из доступных тиенилуксусных кислот и галогенкетонов тиофенового ряда, что позволяет существенно расширить ассортимент органических фотохромных дитиенилэтенов.
Формула изобретения
1. Способ получения 3,4-дитиенилзамещенных малеиновых ангидридов или малеимидов общей формулы I: 2. Способ по п.1, отличающийся тем, что в качестве основания используют карбонат калия. 3. Способ по п.1, отличающийся тем, что в качестве растворителя используют диметилформамид. 4. Способ по п.1, отличающийся тем, что процесс проводят при температуре от 70 до 90°С.
|
||||||||||||||||||||||||||








, м.д.) (DMSO-d6): 1.98 (с, 6Н, 2СН3), 2.68 (с, 6Н, 2СН3), 7.48 (с, 2Н, 2CHHet), 7.79 (с, 2Н, 2CHHet).



