Патент на изобретение №2378271
|
||||||||||||||||||||||||||
(54) СПОСОБЫ ПОЛУЧЕНИЯ ИНГИБИТОРОВ ТРИПТАЗЫ
(57) Реферат:
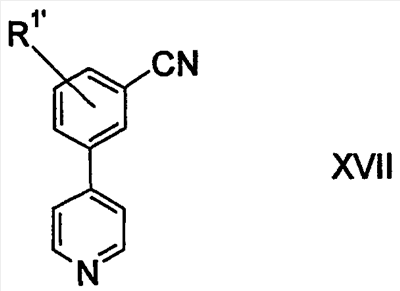
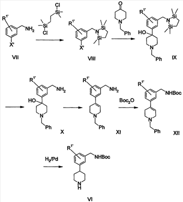
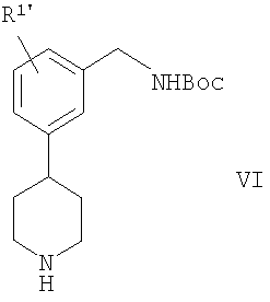
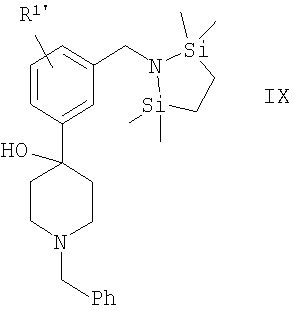
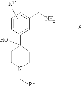
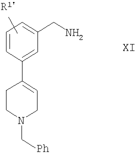
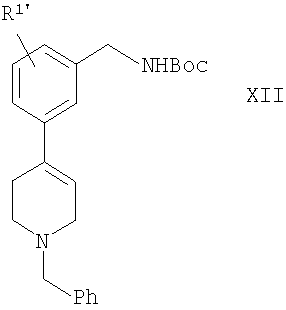
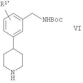
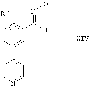
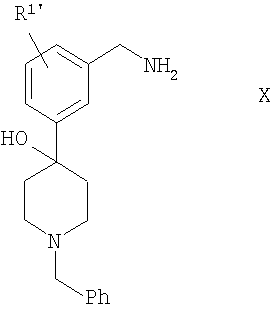
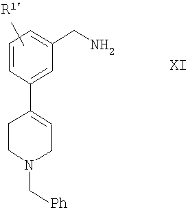
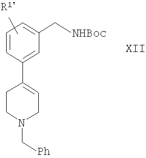
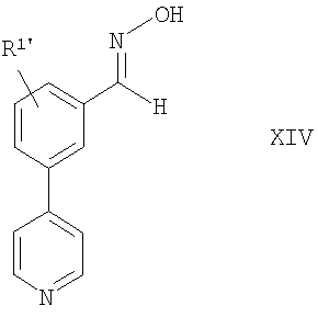
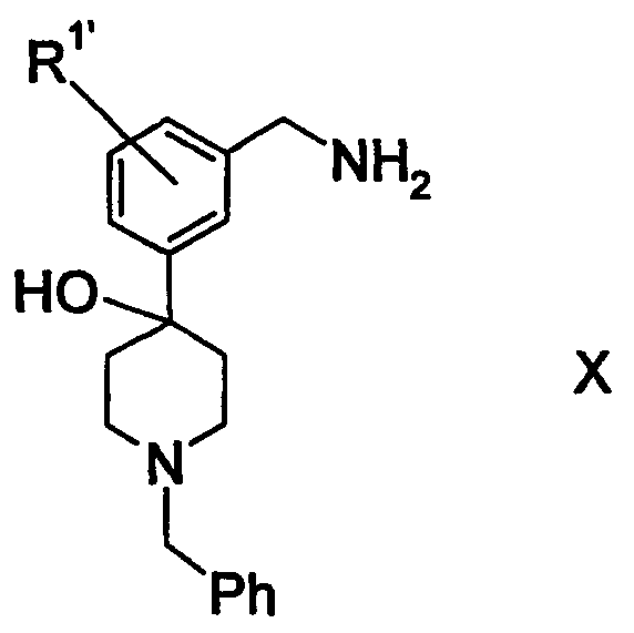
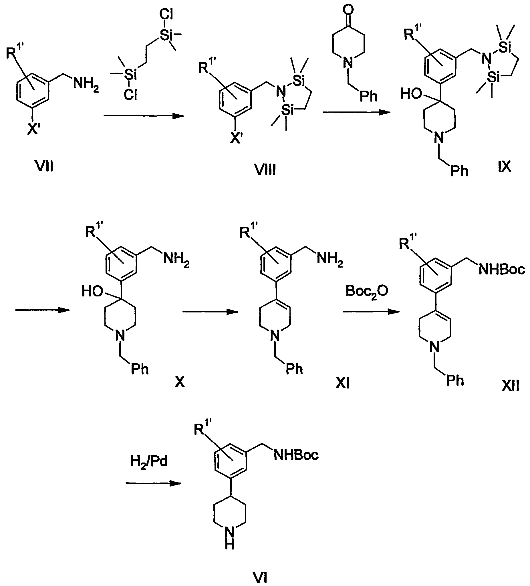
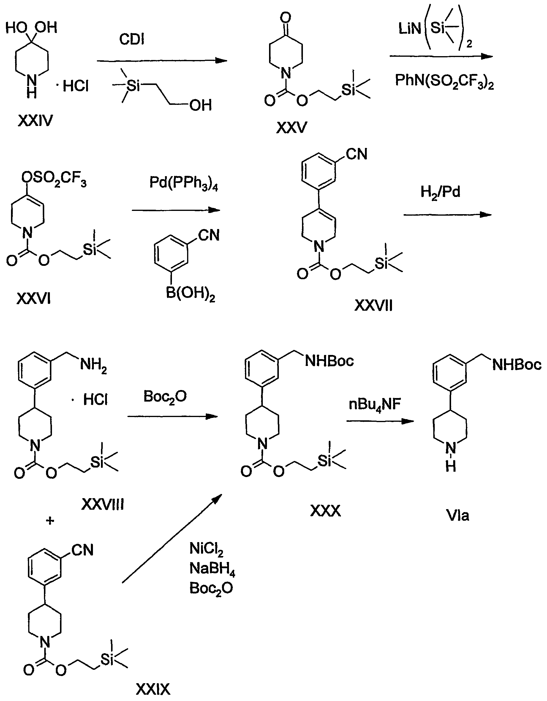
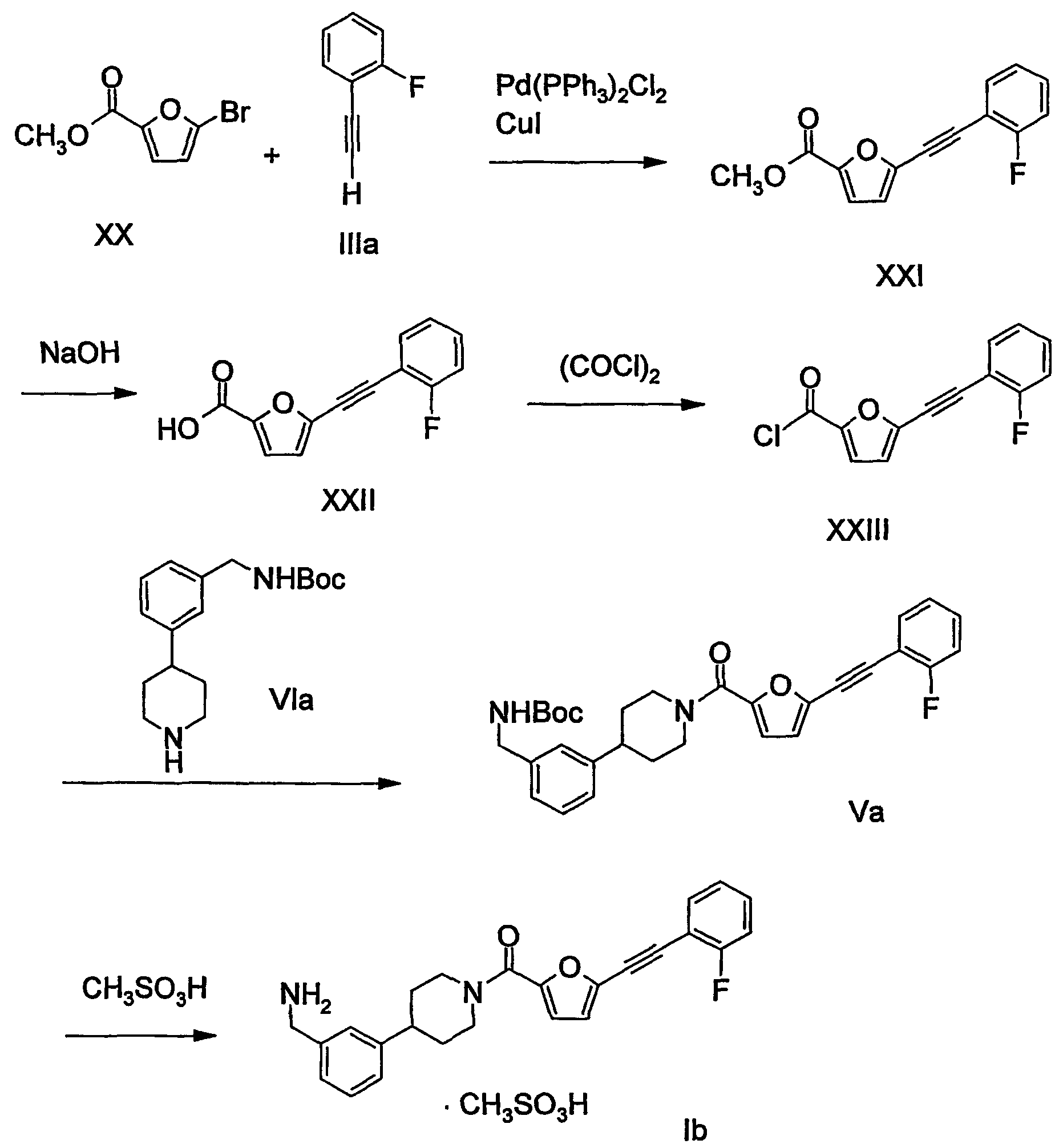
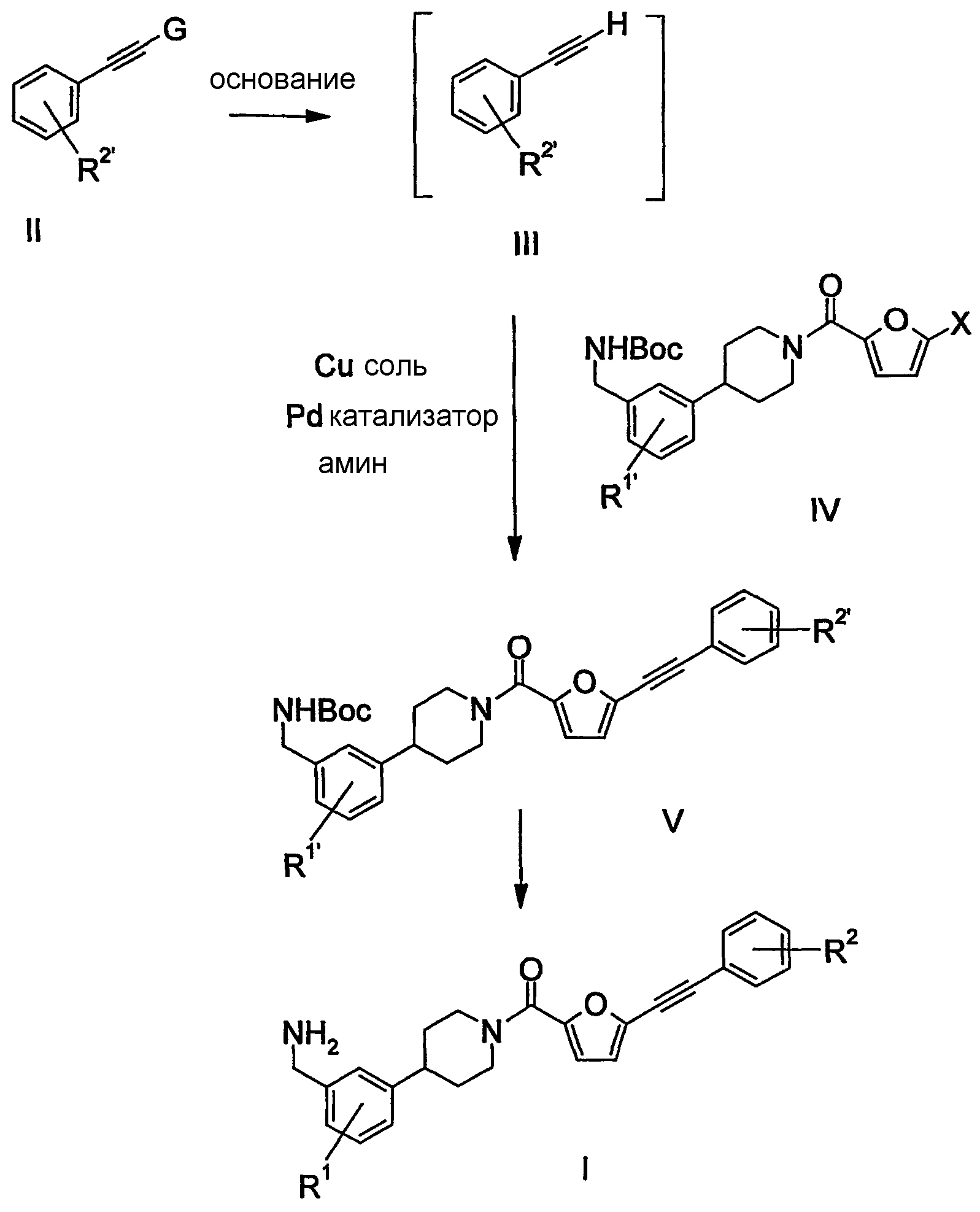
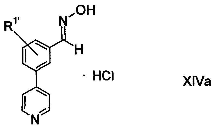
Изобретение относится к способам получения соединений формулы I и их солей, где R1′ представляет собой Н или F; и Воc представляет собой трет-бутоксикарбонил. Эти соединения полезны в качестве промежуточных продуктов для получения ингибиторов триптазы. Изобретение также относится к промежуточным продуктам, которые могут применяться для получения указанных соединений, способам получения таких промежуточных продуктов и их применению для получения указанных соединений. 10 н. и 10 з.п. ф-лы.
Данное изобретение относится к способам получения соединений, которые полезны в качестве ингибиторов триптазы, промежуточным продуктам, которые могут применяться в получении указанных соединений, способам получения таких промежуточных продуктов и их применению для получения указанных соединений. Уровень техники Опосредованные тучными клетками воспалительные заболевания, в частности астма, представляют собой проблему здравоохранения, приобретающую все большую важность. Астма часто характеризуется прогрессирующим развитием повышенной чувствительности трахеи и бронхов как к иммуноспецифическим аллергенам, так и к обычным химическим и физическим раздражителям, что приводит к развитию хронического воспаления. Лейкоциты, содержащие IgE-рецепторы, в особенности тучные клетки и базофилы, присутствуют в эпителии и в расположенных под ним тканях гладких мышц бронхов. Сначала эти лейкоциты активируются посредством связывания специфических, попадающих в организм при вдохе антигенов с IgE-рецепторами, и затем выделяют ряд химических медиаторов. Например, дегрануляция тучных клеток приводит к выделению протеогликанов, пероксидазы, арилсульфатазы B, химазы и триптазы, в результате чего происходит сужение бронхиолы. Триптаза хранится в секреторных гранулах тучных клеток и является основной секреторной протеазой тучных клеток человека. Триптаза участвует в разнообразных биологических процессах, включая разложение сосудорасширяющих и бронхорелаксирующих нейропептидов (Caughey et al., J. Pharmacol. Exp. Ther., 1988, 244, стр. 133-137; Franconi et al., J. Pharmacol. Exp. Ther., 1988, 248, стр. 947-951; и Tam et al., Am. J. Respir. Cell Mol. Biol., 1990, 3, стр. 27-32) и модуляцию бронхиальной чувствительности к гистамину (Sekizawa et al., J. Clin. Invest., 1989, 83, стр. 175-179). Таким образом, считается, что ингибиторы триптазы могут использоваться в качестве противовоспалительных средств (K. Rice, P.A. Sprengler, Current Opinion in Drug Discovery and Development, 1999, 2, стр. 463-474), в частности, для лечения хронической астмы (M.Q. Zhang, H. Timmerman, Mediators Inflamm., 1997, 112, стр. 311-317), а также для лечения и профилактики аллергического ринита (S.J. Wilson et al., Clin. Exp. Allergy, 1998, 28, стр. 220-227), воспалительной болезни кишечника (S.C. Bischoff et al., Histopathology, 1996, 28, стр. 1-13), псориаза (A. Naukkarinen et al., Arch. Dermatol. Res., 1993, 285, стр. 341-346), конъюнктивита (A.A. Irani et al., J. Allergy Clin. Immunol., 1990, 86, стр. 34-40), атопического дерматита (A. Jarvikallio et al., Br. J. Dermatol., 1997, 136, стр. 871-877), ревматоидного артрита (L.C Tetlow et al., Ann. Rheum. Dis., 1998, 54, стр. 549-555), остеоартрита (M.G. Buckley et al., J. Pathol., 1998, 186, стр. 67-74), подагрического артрита, ревматоидного спондилита и заболеваний с разрушением хрящей суставов. Кроме того, было показано, что триптаза является сильным митогеном для фибробластов, что указывает на ее возможное участие в пневмофиброзе при астме и интерстициальных легочных способах (Ruoss et al., J. Clin. Invest., 1991, 88, стр. 493-499). Поэтому считается, что ингибиторы триптазы могут использоваться для лечения и профилактики фиброзных заболеваний (J.A. Cairns, A.F. Walls, J. Clin. Invest., 1997, 99, стр. 1313-1321), например фиброза, склеродермии, пневмофиброза, цирроза печени, миокардиального фиброза, нейрофибром и гипертрофических рубцов. Кроме того, считается, что ингибиторы триптазы могут использоваться для лечения и профилактики инфаркта миокарда, удара, стенокардии и прочих последствий разрыва атеросклеротических бляшек (M. Jeziorska et al., J. Pathol., 1997, 182, стр. 115-122). Также было обнаружено, что триптаза активирует простромелизин, который, в свою очередь, активирует коллагеназу, таким образом инициируя разрушение хрящевой и периодонтальной соединительной ткани соответственно. Поэтому считается, что ингибиторы триптазы могут использоваться для лечения и профилактики артрита, периодонтальных заболеваний, диабетической ретинопатии и роста опухолей (W.J. Beil et al., Exp. Hematol., 1998, 26, стр. 158-169). Кроме того, считается, что ингибиторы триптазы могут использоваться для лечения анафилаксии (L.B. Schwarz et al., J. Clin. Invest., 1995, 96, стр. 2702-2710), рассеянного склероза (M. Steinhoff et al., Nat. Med. (N. Y.), 2000, 6, стр. 151-158), язвы желудка и двенадцатиперстной кишки и вирусных заболеваний синцития. Соединения формулы I были описаны как полезные в качестве ингибиторов триптазы, например, в WO 01/90101 и WO 2004/060884 (международная заявка PCT/US2003/040653). Также там описаны способы получения соединений формулы I, которые, тем не менее, имеют существенные недостатки и могут быть опасными, особенно в случае, когда требуется получить большое количество соединения формулы I. Настоящее изобретение представляет усовершенствованные способы, которые полезны для получения соединений формулы I и позволяют избавиться от недостатков и обойти опасности, присущие способам, представленным в уровне техники. Сущность изобретения Настоящее изобретение относится к способам получения соединений формулы I, где R1 представляет собой H, F, CF3, OCF3, (C1-C8)алкил, (C3-C10)циклоалкил, 3-10-членный гетероциклоалкил, содержащий один, два или три одинаковых или различных гетероатома в кольце, выбранных из азота, кислорода и серы, (C6-C14)арил, (C1-C8)алкокси, (C3-C10)циклоалкокси, (C6-C14)арилокси, ди((C1-C8)алкил)амино, ди((C3-C10)циклоалкил)амино или ди((C6-C14)арил)амино; и R2 представляет собой H, F, CF3, OCF3, (C1-C8)алкил, (C3-C10)циклоалкил, 3-10-членный гетероциклоалкил, содержащий один, два или три одинаковых или различных гетероатома в кольце, выбранных из азота, кислорода и серы, (C6-C14)арил, 5-10-членный гетероарил, содержащий один, два или три одинаковых или различных гетероатома в кольце, выбранных из азота, кислорода и серы, (C1-C8)алкокси, (C3-C10)циклоалкокси, (C6-C14)арилокси, 5-10-членный гетероарилокси, содержащий один, два или три одинаковых или различных гетероатома в кольце, выбранных из азота, кислорода и серы ди((C1-C8)алкил)амино, ди((C3-C10)циклоалкил)амино или ди((C6-C14)арил)амино; а также их солей. Данное изобретение также относится к промежуточным продуктам, используемым в получении соединений формулы I, способам получения таких промежуточных продуктов и их применению для получения указанных соединений. Подробное описание изобретения Первый аспект данного изобретения представляет способ получения соединения формулы I где R1 представляет собой H, F, CF3, OCF3, (C1-C8)алкил, (C3-C10)циклоалкил, 3-10-членный гетероциклоалкил, содержащий один, два или три одинаковых или различных гетероатома в кольце, выбранных из азота, кислорода и серы, (C6-C14)арил, (C1-C8)алкокси, (C3-C10)циклоалкокси, (C6-C14)арилокси, ди((C1-C8)алкил)амино, ди((C3-C10)циклоалкил)амино или ди((C6-C14)арил)амино; и R2 представляет собой H, F, CF3, OCF3, (C1-C8)алкил, (C3-C10)циклоалкил, 3-10-членный гетероциклоалкил, содержащий один, два или три одинаковых или различных гетероатома в кольце, выбранных из азота, кислорода и серы, (C6-C14)арил, 5-10-членный гетероарил, содержащий один, два или три одинаковых или различных гетероатома в кольце, выбранных из азота, кислорода и серы, (C1-C8)алкокси, (C3-C10)циклоалкокси, (C6-C14)арилокси, 5-10-членный гетероарилокси, содержащий один, два или три одинаковых или различных гетероатома в кольце, выбранных из азота, кислорода и серы, ди((C1-C8)алкил)амино, ди((C3-C10)циклоалкил)амино или ди((C6-C14)арил)амино; либо его соли, включающий стадии а) обработки соединения фенилэтинилсилана формулы II, где G представляет собой триметилсилил, триэтилсилил, триизопропилсилил или диметил-трет-бутилсилил, и R2′ представляет собой R2, как определено выше, или его защищенное производное или группу-предшественник, в растворителе, таком как алифатический спирт или смесь алифатического спирта и простого эфира, например метанол или смесь метанола и тетрагидрофурана, с гидроксидом, карбонатом или алкоголятом щелочного металла или алкоголятом щелочно-земельного металла, с образованием раствора фенилэтина формулы III; и b) смешивания полученного раствора фенилэтина с соединением формулы IV, где X представляет собой бром или йод, R1′ представляет собой R1, как определено выше, или его защищенное производное или группу-предшественник, Boc представляет собой трет-бутоксикарбонил, в присутствии гомогенизированного палладиевого катализатора, соли меди и пространственно-затрудненного амина в растворителе, таком как эфир или смесь эфира и алифатического спирта, например тетрагидрофуран или смесь тетрагидрофурана и метанола, с образованием защищенного соединения формулы V, где R1′ и R2′ представляет собой R1 и R2 соответственно, как определено выше, или их защищенные производные или их группы-предшественники, и Boc представляет собой трет-бутоксикарбонил, или его соли. В конкретных вариантах воплощения первого аспекта настоящего изобретения G представляет собой триметилсилил, и/или X представляет собой бром, и/или гомогенным палладиевым катализатором является хлорид бис(трифенилфосфин)палладия(II), и/или солью меди (I) является иодид меди (I), и/или пространственно-затрудненным амином является триэтиламин. Конкретное воплощение первого аспекта настоящего изобретения предусматривает дальнейшее удаление трет-бутоксикарбонильной группы из защищенного соединения формулы V и, если это необязательно, удаление любой из остальных защитных групп и/или преобразование групп-предшествеников, которые могут присутствовать в R1′ и/или R2′ в соединении формулы V, стандартными методами в растворителе, например алифатическом спирте или эфире, с образованием соединения формулы I или его соли. Другое конкретное воплощение первого аспекта настоящего изобретения предусматривает удаление трет-бутоксикарбонильной группы из защищенного соединения формулы V, в частности из соединения, где R1′ и R2′ представляет собой R1 и R2 соответственно, в присутствии кислоты, в частности физиологически приемлемой кислоты, например метансульфоновой кислоты, в растворителе, например алифатическом спирте или эфире, таком как изопропанол, с образованием соединения формулы I или его соли. Второй аспект данного изобретения представляет способ получения 4-[3-(аминометил)фенил]-1-[5-(2-фторфенилэтинил)-2-фураноил]пиперидина, т.е. соединения формулы Ia, либо его соли, включающий стадии а) обработки 2-фторфенилэтинилсилильного соединения формулы IIa, где G представляет собой триметилсилил, триэтилсилил, триизопропилсилил или диметил-трет-бутилсилил, в растворителе, таком как алифатический спирт или смесь алифатического спирта и эфира, например метанол или смесь метанола и тетрагидрофурана, гидроксидом, карбонатом или алкоголятом щелочного металла или алкоголятом щелочно-земельного металла, например карбонатом калия в метаноле, с образованием раствора 2-фторфенилэтина; и b) смешивания полученного раствора 2-фторфенилэтина с соединением формулы IVа, где X представляет собой бром или йод, Boc представляет собой трет-бутоксикарбонил, в присутствии гомогенизированного палладиевого катализатора, соли меди и пространственно-затрудненного амина в растворителе, таком как эфир или смесь эфира и алифатического спирта, например тетрагидрофуран или смесь тетрагидрофурана и метанола, с образованием 4-[3-(трет-бутоксикарбониламинометил)фенил]-1-[5-(2-фторфенилэтинил)-2-фураноил]пиперидина, т.е. соединения формулы Va, где Boc представляет собой трет-бутоксикарбонил. В конкретных вариантах воплощения второго аспекта настоящего изобретения G представляет собой триметилсилил, и/или X представляет собой бром, и/или гомогенным палладиевым катализатором является хлорид бис(трифенилфосфин)палладия(II), и/или солью меди(I) является иодид меди(I), и/или пространственно-затрудненным амином является триэтиламин. Конкретное воплощение второго аспекта настоящего изобретения предусматривает дальнейшее удаление трет-бутоксикарбонильной группы из 4-[3-(трет-бутоксикарбониламинометил)фенил]-1-[5-(2-фторфенилэтинил)-2-фураноил]пиперидина формулы Va в растворителе с образованием соединения формулы Ia или его соли. Другое конкретное воплощение второго аспекта данного изобретения предусматривает удаление трет-бутоксикарбонильной группы из 4-[3-(трет-бутоксикарбониламинометил)фенил]-1-[5-(2-фторфенилэтинил)-2-фураноил]пиперидина формулы Va в присутствии кислоты, в частности физиологически приемлемой кислоты, например метансульфоновой кислоты, в растворителе, например алифатическом спирте или эфире, таком как изопропанол, с образованием соединения формулы Ia или его соли, например соли метансульфоновой кислоты и 4-[3-(аминометил)фенил]-1-[5-(2-фтофенилэтинил)-2-фураноил]пиперидина. Третий аспект данного изобретения представляет способ получения соединения формулы IV, где R1′ представляет собой H, F, CF3, OCF3, (C1-C8)алкил, (C3-C10)циклоалкил, 3-10-членный гетероциклоалкил, содержащий один, два или три одинаковых или различных гетероатома в кольце, выбранных из азота, кислорода и серы, (C6-C14)арил, (C1-C8)алкокси, (C3-C10)циклоалкокси, (C6-C14)арилокси, ди((C1-C8)алкил)амино, ди((C3-C10)циклоалкил)амино или ди((C6-C14)арил)амино или их замещенное производное или группу-предшественник; и X представляет собой бром или йод, включающий стадии a) активации 5-бром-2-фуранкарбоновой кислоты или 5-йод-2-фуранкарбоновой кислоты, например, посредством ее преобразования в активированное производное кислоты, которое можно получить in situ или выделить, такое как галоидангидрид, в частности хлорангидрид, активированный эфир или ангидрид или смешанный ангидрид, например, обработкой галогенирующим агентом, таким как тионилхлорид или оксалилхлорид, в растворителе, таком как углеводород или хлорированный углеводород, например, в толуоле, при температуре от около 0°C до около 120°C, например, при температуре дефлегмации растворителя, или обработкой алкилхлоркарбонатом, таким как этилхлоркарбонат или изобутилхлоркарбонат, и основанием, например, триэтиламином, в растворителе, например галогенированном углеводороде или эфире, таком как тетрагидрофуран, при температуре от около от -10° до около 30°C, или обработкой его конденсирующим агентом или агентом сочетания, которые обычно используются для образования амидных связей в химии пептидов, например, таким карбодиимидом, как дициклогексилкарбодиимид или диизопропилкарбодиимид, или таким карбонилдиазолом, как карбонилдиимидазол или тетрафторборат O-((циано(этоксикарбонил)метилен)амино)-N,N,N’,N’-тетраметилурония (TOTU), или пропилфосфоновым ангидридом, необязательно в присутствии вспомогательного вещества, такого как 1-гидроксибензотриазол, например, в растворителе, например галогенированном углеводороде, эфире или амиде, таком как тетрагидрофуран или диметилформамид, при температуре от около 0°C до около 30°C, с получением активированной формы 5-бром-2-фуранкарбоновой кислоты или 5-йод-2-фуранкарбоновой кислоты, например 5-бром-2-фуроилхлорида или 5-йод-2-фуроилхлорида соответственно, активированную форму которых можно получить и в дальнейшем использовать в виде раствора, например в толуоле; и b) смешивания полученной активированной формы 5-бром-2-фуранкарбоновой кислоты или 5-йод-2-фуранкарбоновой кислоты с соединением формулы VI, где R1′ имеет такие же значения, как определено для формулы IV, и Boc представляет собой трет-бутоксикарбонил, в растворителе, например углеводороде, хлорированном углеводороде или эфире, таком как толуол или дихлорметан, необязательно в присутствии основания, например третичного амина, такого как триэтиламин. Дальнейшее воплощение третьего аспекта предусматривает способ получения соединения формулы IV, где X представляет собой бром, т.е. соединения формулы IVb, где R1′ представляет собой H, F, CF3, OCF3, (C1-C8)алкил, (C3-C10)циклоалкил, 3-10-членный гетероциклоалкил, содержащий один, два или три одинаковых или различных гетероатома в кольце, выбранных из азота, кислорода и серы, (C6-C14)арил, (C1-C8)алкокси, (C3-C10)циклоалкокси, (C6-C14)арилокси, ди((C1-C8)алкил)амино, ди((C3-C10)циклоалкил)амино или ди((C6-C14)арил)амино или их замещенное производное или группу-предшественник; и Boc представляет собой трет-бутоксикарбонил, включающий стадии a) активации 5-бром-2-фуранкарбоновой кислоты с получением активированной формы 5-бром-2-фуранкарбоновой кислоты; и b) смешивания полученной активированной формы 5-бром-2-фуранкарбоновой кислоты с соединением формулы VI в растворителе, необязательно в присутствии основания, где к этому воплощению относятся все приведенные выше объяснения по третьему аспекту настоящего изобретения. Например, 5-бром-2-фуранкарбоновая кислота может быть активирована обработкой тионилхлоридом в кипящем с обратным холодильником толуоле с получением раствора 5-бром-2-фуроилхлорида в толуоле, который затем подвергают взаимодействию с соединением формулы VI в присутствии основания, такого как третичный амин, в толуоле или дихлорметане. Четвертый аспект настоящего изобретения представляет способ получения соединения формулы IV, где R1′ представляет собой водород, т.е. соединения формулы IVa, где X представляет собой бром или йод, и Boc представляет собой трет-бутоксикарбонил, включающий стадии a) активации 5-бром-2-фуранкарбоновой кислоты или 5-йод-2-фуранкарбоновой кислоты, например, посредством ее преобразования в активированное производное кислоты, которое можно получить in situ или выделить, такое как галоидангидрид, в частности хлорангидрид, активированный эфир или ангидрид или смешанный ангидрид, например, обработкой галогенирующим агентом, таким как тионилхлорид или оксалилхлорид, в растворителе, таком как углеводород или хлорированный углеводород, например, в толуоле, при температуре от около 0°C до около 120°C, например, при температуре дефлегмации растворителя, или обработкой алкилхлоркарбонатом, таким как этилхлоркарбонат или изобутилхлоркарбонат, и основанием, например триэтиламином, в растворителе, например в галогенированном углеводороде или эфире, таком как тетрагидрофуран, при температуре от около от -10° до около 30°C, или обработкой его конденсирующим агентом или агентом сочетания, которые обычно используются для образования амидных связей в химии пептидов, например, таким карбодиимидом, как дициклогексилкарбодиимид или диизопропилкарбодиимид, или таким карбонилдиазолом, как карбонилдиимидазол или тетрафторборат O-((циано(этоксикарбонил)метилен)амино)-N,N,N’,N’-тетраметилурония (TOTU), или пропилфосфоновым ангидридом, необязательно в присутствии вспомогательного вещества, такого как 1-гидроксибензотриазол, например, в растворителе, например в галогенированном углеводороде, эфире или амиде, таком как тетрагидрофуран или диметилформамид, при температуре от около 0°C до около 30°C, с получением активированной формы 5-бром-2-фуранкарбоновой кислоты или 5-йод-2-фуранкарбоновой кислоты, например 5-бром-2-фуроилхлорида или 5-йод-2-фуроилхлорида соответственно, активированную форму которых можно получить и в дальнейшем использовать в виде раствора, например в толуоле; и b) смешивания полученной активированной формы 5-бром-2-фуранкарбоновой кислоты или 5-йод-2-фуранкарбоновой кислоты с соединением формулы VIa, где Boc представляет собой трет-бутоксикарбонил, в растворителе, например углеводороде, хлорированном углеводороде или эфире, таком как толуол или дихлорметан, необязательно в присутствии основания, например третичного амина, такого как триэтиламин. Конкретное воплощение четвертого аспекта дает способ получения соединения формулы IVa, где X представляет собой бром, т.е. соединения формулы IVc, где Boc представляет собой трет-бутоксикарбонил, включающий стадии a) активации 5-бром-2-фуранкарбоновой кислоты с получением активированной формы 5-бром-2-фуранкарбоновой кислоты; и b) смешивания полученной активированной формы 5-бром-2-фуранкарбоновой кислоты с соединением формулы VIa где Boc представляет собой трет-бутоксикарбонил, в растворителе, необязательно в присутствии основания, где к этому конкретному воплощению относятся все приведенные выше объяснения по четвертому аспекту настоящего изобретения. Например, 5-бром-2-фуранкарбоновая кислота может быть активирована обработкой тионилхлоридом в кипящем с обратным холодильником толуоле с получением 5-бром-2-фуроилхлорида, предпочтительно в виде раствора в толуоле, который затем подвергают взаимодействию с соединением формулы VIa в присутствии основания, такого как третичный амин, в толуоле или дихлорметане. Пятый аспект настоящего изобретения представляет способ получения соединения формулы VI где R1′ представляет собой H, F, CF3, OCF3, (C1-C8)алкил, (C3-C10)циклоалкил, 3-10-членный гетероциклоалкил, содержащий один, два или три одинаковых или различных гетероатома в кольце, выбранных из азота, кислорода и серы, (C6-C14)арил, (C1-C8)алкокси, (C3-C10)циклоалкокси, (C6-C14)арилокси, ди((C1-C8)алкил)амино, ди((C3-C10)циклоалкил)амино или ди((C6-C14)арил)амино или их замещенное производное или группу-предшественник; и Boc представляет собой трет-бутоксикарбонил, либо его соли, включающий стадии а) обработки соли 3-галогенбензиламина формулы VII, 1,2-бис(хлордиметилсилил)этаном в растворителе, например галогенированном углеводороде, таком как дихлорметан, в присутствии основания, например третичного амина, такого как триэтиламин, с получением 1-(3-галогенбензил)-2,2,5,5-тетраметил-1-аза-2,5-дисилациклопентана формулы VIII; b) обработки полученного 1-(3-галогенбензил)-2,2,5,5-тетраметил-1-аза-2,5-дисилациклопентана формулы VIII в растворителе, таком как простой эфир, например тетрагидрофуран, алкиллитиевым соединением, например н-бутиллитием, и 1-бензил-4-пиперидоном при температуре от около от -80°C до около -40°C с получением спирта формулы IX; c) обработки полученного спирта формулы IX кислотой, например неорганической кислотой, такой как фосфорная кислота, в растворителе, например галогенированном углеводороде, таком как дихлорметан, с получением гидроксипиперидинилбензиламина формулы X в виде соли данной кислоты; d) обработки гидроксипиперидинилбензиламина формулы X или его соли концентрированной неокисляющей кислотой при температуре от около 70°C до около 150°C с последующим подщелачиванием с получением олефина формулы XI; e) обработки полученного олефина формулы XI ди-трет-бутилдикарбонатом в растворителе, например алифатическом спирте, таком как метанол, этилацетате, эфире, таком как тетрагидрофуран, галогенированном углеводороде, таком как дихлорметан, смеси двух или более таких растворителей или смеси одного или более таких растворителей с водой, в присутствии основания, например гидроксида, карбоната или алкоголята щелочного металла или третичного амина, такого как гидроксид натрия или триэтиламин, предпочтительно при температуре от около 0°C до около 40°C, с получением защищенного амина формулы XII где Boc представляет собой трет-бутоксикарбонил, Ph в формулах IX, X, XI и XII представляет собой фенил, X’ в формулах VII и VIII представляет собой бром или йод, R1′ в формулах VII, VIII, IX, X, XI и XII имеет значения, как определено выше для формулы VI. Конкретным воплощением пятого аспекта является воплощение, где X’ является бромом. Еще одно конкретное воплощение пятого аспекта предусматривает последующую обработку защищенного амина формулы XII, где Boc представляет собой трет-бутоксикарбонил, Ph представляет собой фенил, и R1′ имеет значения, как определено выше для формулы VI, водородом при давлении от примерно 200 кПа до примерно 3000 кПа в растворителе, например алифатическом спирте или этилацетате, в присутствии палладиевого катализатора, в присутствии органической или неорганической кислоты, например уксусной кислоты, с получением соединения формулы VI, где R1′ имеет значения, как определено выше для формулы VI, и Boc представляет собой трет-бутоксикарбонил, в форме его соли или, при необходимости, в форме свободного соединения формулы VI. Шестой аспект настоящего изобретения представляет способ получения соединения формулы VI, где R1′ представляет собой H, F, CF3, OCF3, (C1-C8)алкил, (C3-C10)циклоалкил, 3-10-членный гетероциклоалкил, содержащий один, два или три одинаковых или различных гетероатома в кольце, выбранных из азота, кислорода и серы, (C6-C14)арил, (C1-C8)алкокси, (C3-C10)циклоалкокси, (C6-C14)арилокси, ди((C1-C8)алкил)амино, ди((C3-C10)циклоалкил)амино или ди((C6-C14)арил)амино или их замещенное производное или группу-предшественник; и Boc представляет собой трет-бутоксикарбонил, либо его соли, включающий стадии а) обработки 3-(4-пиридил)бензальдегида формулы XIII, гидроксиламином или солью гидроксиламина в растворителе, например алифатическом спирте, необязательно в присутствии основания, при температуре от примерно 0°C до примерно 40°C с получением оксима формулы XIV или его соли; b) обработки полученного оксима формулы XIV или его соли водородом при давлении от около 300 кПа до около 1500 кПа в растворителе, например полярном органическом растворителе, таком как алифатический спирт, например метанол, в присутствии палладиевого катализатора, при температуре от около 20°C до около 50°C с получением 3-(4-пиридил)бензиламина формулы XV или его соли; c) обработки полученного 3-(4-пиридил)бензиламина формулы XV или его соли ди-трет-бутилдикарбонатом в растворителе, например алифатическом спирте, таком как метанол, этилацетате, эфире, таком как тетрагидрофуран, галогенированном углеводороде, таком как дихлорметан, смеси двух или более таких растворителей или смеси одного или более таких растворителей с водой, в присутствии основания, например гидроксида, карбоната или алкоголята щелочного металла или третичного амина, такого как гидроксид натрия или триэтиламин, предпочтительно при температуре от около 0°C до около 40°C, с получением Boc-защищенного 3-(4-пиридил)бензиламина формулы XVI, где Boc представляет собой трет-бутоксикарбонил, и d) обработки полученного Boc-защищенного 3-(4-пиридил)бензиламина формулы XVI водородом в растворителе, например алифатическом спирте, таком как этанол, при давлении от около 2000 кПа до около 6000 кПа, в присутствии платинового катализатора, в присутствии кислоты, такой как, например, хлористоводородная или серная кислота, с получением соединения формулы VI или его соли; где R1′ в формулах XIII, XIV, XV и XVI имеет значения, как определено выше для формулы VI. Одним из конкретных воплощений шестого аспекта является способ получения соединения формулы VI, где R1′ представляет собой H, F, CF3, OCF3, (C1-C8)алкил, (C3-C10)циклоалкил, 3-10-членный гетероциклоалкил, содержащий один, два или три одинаковых или различных гетероатома в кольце, выбранных из азота, кислорода и серы, (C6-C14)арил, (C1-C8)алкокси, (C3-C10)циклоалкокси, (C6-C14)арилокси, ди((C1-C8)алкил)амино, ди((C3-C10)циклоалкил)амино или ди((C6-C14)арил)амино или их замещенное производное или группу-предшественник; и Boc представляет собой трет-бутоксикарбонил, или его соли, включающий стадии а) обработки 3-(4-пиридил)бензальдегида формулы XIII гидрохлоридом гидроксиламина в растворителе, например алифатическом спирте, таком как метанол, при температуре от около 0°C до около 40°C с получением гидрохлорида оксима формулы XIVa; b) обработки полученного гидрохлорида оксима формулы XIVa водородом при давлении от около 300 кПа до около 1500 кПа в растворителе, например полярном органическом растворителе, таком как алифатический спирт, например метанол, в присутствии палладиевого катализатора, при температуре от около 20°C до около 50°C с получением гидрохлорида 3-(4-пиридил)бензиламина формулы XVa; c) обработки полученного гидрохлорида 3-(4-пиридил)бензиламина формулы XVa ди-трет-бутилдикарбонатом в растворителе, например алифатическом спирте, таком как метанол, этилацетате, эфире, таком как тетрагидрофуран, галогенированном углеводороде, таком как дихлорметан, смеси двух или более таких растворителей или смеси одного или более таких растворителей с водой, в присутствии основания, например гидроксида, карбоната или алкоголята щелочного металла или третичного амина, такого как гидроксид натрия или триэтиламин, предпочтительно при температуре от около 0°C до около 40°C, с получением Boc-защищенного 3-(4-пиридил)бензиламина формулы XVI, где Boc представляет собой трет-бутоксикарбонил, и d) обработки полученного Boc-защищенного 3-(4-пиридил)бензиламина формулы XVI водородом в растворителе, например алифатическом спирте, таком как этанол, при давлении от около 2000 кПа до около 6000 кПа, в присутствии платинового катализатора, в присутствии хлористоводородной или серной кислоты, с получением соединения формулы VI или его соли; где R1′ в формулах XIII, XIVa, XVa и XVI имеет значения, как определено выше для формулы VI. Седьмой аспект настоящего изобретения представляет способ получения соединения формулы VI где R1′ представляет собой H, F, CF3, OCF3, (C1-C8)алкил, (C3-C10)циклоалкил, 3-10-членный гетероциклоалкил, содержащий один, два или три одинаковых или различных гетероатома в кольце, выбранных из азота, кислорода и серы, (C6-C14)арил, (C1-C8)алкокси, (C3-C10)циклоалкокси, (C6-C14)арилокси, ди((C1-C8)алкил)амино, ди((C3-C10)циклоалкил)амино или ди((C6-C14)арил)амино или их замещенное производное или группу-предшественник; и Boc представляет собой трет-бутоксикарбонил, или его соли, включающий стадии а) обработки 3-(4-пиридил)бензонитрила формулы XVII, водородом в присутствии палладиевого катализатора при давлении от около 2000 кПа до около 6000 кПа в присутствии кислоты, например хлористоводородной кислоты, либо комплексным гидридом, таким как алюмогидрид лития, боргидрид лития или боргидрид натрия, необязательно в присутствии вспомогательного вещества, такого как кислота или хлортриметилсилан, в растворителе, например алифатическом спирте или эфире, таком как тетрагидрофуран, с получением 3-(4-пиридил)бензиламина формулы XV или его соли; b) обработки полученного 3-(4-пиридил)бензиламина формулы XV или его соли ди-трет-бутилдикарбонатом в растворителе, например алифатическом спирте, таком как метанол, этилацетате, эфире, таком как тетрагидрофуран, галогенированном углеводороде, таком как дихлорметан, смеси двух или более таких растворителей или смеси одного или более таких растворителей с водой, в присутствии основания, например гидроксида, карбоната или алкоголята щелочного металла или третичного амина, такого как гидроксид натрия или триэтиламин, предпочтительно при температуре от около 0°C до около 40°C, с получением Boc-защищенного 3-(4-пиридил)бензиламина формулы XVI, где Boc представляет собой трет-бутоксикарбонил, и c) обработки полученного Boc-защищенного 3-(4-пиридил)бензиламина формулы XVI водородом в растворителе, например алифатическом спирте, таком как этанол, при давлении от около 2000 кПа до около 6000 кПа, в присутствии платинового катализатора, в присутствии кислоты, такой как хлористоводородная или серная кислота, с получением соединения формулы VI или его соли; где R1′ в формулах XV, XVI и XVII имеет значения, как определено выше для формулы VI. Восьмой аспект настоящего изобретения представляет способ получения 4-[3-(трет-бутоксикарбониламинометил)фенил]пиперидина или его соли, включающий стадии а) обработки гидрохлорида 3-бромбензиламина или гидрохлорида 3-йодбензиламина 1,2-бис(хлордиметилсилил)этаном в галогенированном алифатическом углеводороде в присутствии третичного амина с получением соответствующего 1-(3-галогенбензил)-2,2,5,5-тетраметил-1-аза-2,5-дисилациклопентана, где галогеном является бром или йод; b) обработки полученного 1-(3-галогенбензил)-2,2,5,5-тетраметил-1-аза-2,5-дисилациклопентана в эфире алкиллитиевым соединением и 1-бензил-4-пиперидоном при температуре от около от -80°C до около -40°C с получением 1-[3-(1-бензил-4-гидроксипиперидин-4-ил)бензил]-2,2,5,5-тетраметил-1-аза-2,5-дисилациклопентана; c) обработки полученного 1-[3-(1-бензил-4-гидроксипиперидин-4-ил)бензил]-2,2,5,5-тетраметил-1-аза-2,5-дисилациклопентана неорганической кислотой в галогенированном углеводороде с получением 3-(1-бензил-4-гидроксипиперидин-4-ил)бензиламина в виде соли используемой неорганической кислоты; d) обработки полученного 3-(1-бензил-4-гидроксипиперидин-4-ил)бензиламина концентрированной неокисляющей кислотой при температуре от около 70°C до около 150°C, с последующим подщелачиванием с получением 3-(1-бензил-1,2,3,6-тетрагидропиридин-4-ил)бензиламина; и e) обработки полученного 3-(1-бензил-1,2,3,6-тетрагидропиридин-4-ил)бензиламина ди-трет-бутилдикарбонатом алифатическом спирте, таком как метанол, этилацетате, эфире, таком как тетрагидрофуран, галогенированном углеводороде, таком как дихлорметан, смеси двух или более таких растворителей или смеси одного или более таких растворителей с водой, в присутствии основания, например гидроксида, карбоната или алкоголята щелочного металла или третичного амина, такого как гидроксид натрия или триэтиламин, предпочтительно при температуре от около 0°C до около 40°C, с получением трет-бутилового эфира 3-(1-бензил-1,2,3,6-тетрагидропиридин-4-ил)бензилкарбаминовой кислоты. Одним из конкретных воплощений восьмого аспекта является способ получения 4-[3-(трет-бутоксикарбониламинометил)фенил]пиперидина или его соли, включающий стадии а) обработки гидрохлорида 3-бромбензиламина 1,2-бис(хлордиметилсилил)этаном в галогенированном алифатическом углеводороде в присутствии третичного амина с получением 1-(3-бромбензил)-2,2,5,5-тетраметил-1-аза-2,5-дисилациклопентана; b) обработки полученного 1-(3-бромбензил)-2,2,5,5-тетраметил-1-аза-2,5-дисилациклопентана в эфире алкиллитиевым соединением и 1-бензил-4-пиперидоном при температуре от около -80°C до около -40°C с получением 1-[3-(1-бензил-4-гидроксипиперидин-4-ил)бензил]-2,2,5,5-тетраметил-1-аза-2,5-дисилациклопентана; c) обработки полученного 1-[3-(1-бензил-4-гидроксипиперидин-4-ил)бензил]-2,2,5,5-тетраметил-1-аза-2,5-дисилациклопентана неорганической кислотой в галогенированном алифатическом углеводороде с получением 3-(1-бензил-4-гидроксипиперидин-4-ил)бензиламина в виде соли используемой неорганической кислоты; d) обработки полученного 3-(1-бензил-4-гидроксипиперидин-4-ил)бензиламина концентрированной неокисляющей кислотой при температуре от около 70°C до около 150°C с последующим подщелачиванием с получением 3-(1-бензил-1,2,3,6-тетрагидропиридин-4-ил)бензиламина; и e) обработки полученного 3-(1-бензил-1,2,3,6-тетрагидропиридин-4-ил)бензиламина ди-трет-бутилдикарбонатом алифатическом спирте, таком как метанол, этилацетате, эфире, таком как тетрагидрофуран, галогенированном углеводороде, таком как дихлорметан, смеси двух или более таких растворителей или смеси одного или более таких растворителей с водой, в присутствии основания, например гидроксида, карбоната или алкоголята щелочного металла или третичного амина, такого как гидроксид натрия или триэтиламин, предпочтительно при температуре от около 0°C до около 40°C, с получением трет-бутилового эфира 3-(1-бензил-1,2,3,6-тетрагидропиридин-4-ил)бензилкарбаминовой кислоты. Другое конкретное воплощение восьмого аспекта предусматривает дальнейшую обработку полученного трет-бутилового эфира 3-(1-бензил-1,2,3,6-тетрагидропиридин-4-ил)бензилкарбаминовой кислоты водородом при давлении от около 200 кПа до около 3000 кПа в алифатическом спирте или этилацетате в присутствии палладиевого катализатора, в присутствии органической или неорганической кислоты с получением 4-[3-(трет-бутоксикарбониламинометил)фенил]пиперидина в виде соли используемой органической или неорганической кислоты. Девятый аспект настоящего изобретения представляет способ получения 4-[3-(трет-бутоксикарбониламинометил)фенил]пиперидина или его соли, включающий стадии а) обработки 3-(4-пиридил)бензальдегида гидроксиламином или его солью в алифатическом спирте, необязательно в присутствии основания, при температуре от около 0°C до около 40°C с получением оксима 3-(4-пиридил)бензальдегида или его соли; b) обработки полученного оксима 3-(4-пиридил)бензальдегида или его соли водородом при давлении от около 300 кПа до около 1500 кПа в алифатическом спирте в присутствии палладиевого катализатора при температуре от около 20°C до около 50°C с получением 3-(4-пиридил)бензиламина или его соли; c) обработки полученного 3-(4-пимридил)бензиламина или его соли ди-трет-бутилдикарбонатом в алифатическом спирте, таком как метанол, этилацетате, эфире, таком как тетрагидрофуран, галогенированном углеводороде, таком как дихлорметан, смеси двух или более таких растворителей или смеси одного или более таких растворителей с водой, в присутствии гидроксида, карбоната или алкоголята щелочного металла или третичного амина, такого как гидроксид натрия или триэтиламин, предпочтительно при температуре от около 0°C до около -40°C, с получением трет-бутилового эфира 3-(4-пиридил)бензилкарбаминовой кислоты; и d) обработки полученного трет-бутилового эфира 3-(4-пиридил)бензилкарбаминовой кислоты водородом в алифатическом спирте при давлении от около 2000 кПа до около 6000 кПа в присутствии платинового катализатора, в присутствии кислоты, такой как хлористоводородная или серная кислота. Одним из конкретных воплощений девятого аспекта является способ получения 4-[3-(трет-бутоксикарбониламинометил)фенил]пиперидина или его соли, включающий стадии а) обработки 3-(4-пиридил)бензальдегида гидрохлоридом гидроксиламина в алифатическом спирте, при температуре от примерно 0°C до примерно 40°C с получением оксима гидрохлорида 3-(4-пиридил)бензальдегида; b) обработки оксима гидрохлорида 3-(4-пиридил)бензальдегида водородом при давлении от примерно 300 кПа до примерно 1500 кПа в алифатическом спирте в присутствии палладиевого катализатора при температуре от примерно 20°C до примерно 50°C с получением гидрохлорида 3-(4-пиридил)бензиламина; c) обработки гидрохлорида 3-(4-пимридил)бензиламина ди-трет-бутилдикарбонатом в алифатическом спирте, таком как метанол, этилацетате, эфире, таком как тетрагидрофуран, галогенированном углеводороде, таком как дихлорметан, смеси двух или более таких растворителей или смеси одного или более таких растворителей с водой, в присутствии гидроксида, карбоната или алкоголята щелочного металла или третичного амина, такого как гидроксид натрия или триэтиламин, предпочтительно при температуре от примерно 0°C до примерно 40°C, с получением трет-бутилового эфира 3-(4-пиридил)бензилкарбаминовой кислоты; и d) обработки трет-бутилового эфира 3-(4-пиридил)бензилкарбаминовой кислоты водородом в алифатическом спирте при давлении от примерно 2000 кПа до примерно 6000 кПа в присутствии платинового катализатора, в присутствии кислоты, такой как хлористоводородная или серная кислота. Десятый аспект настоящего изобретения представляет способ получения 4-[3-(трет-бутоксикарбониламинометил)фенил]пиперидина или его соли, включающий стадии a) обработки 3-(4-пиридил)бензонитрила водородом в присутствии палладиевого катализатора при давлении от около 2000 кПа до около 6000 кПа в алифатическом спирте или смеси алифатического спирта и воды, либо комплексным гидридом, таким как алюмогидрид лития, боргидрид лития или боргидрид натрия, в алифатическом спирте или эфире, таком как метанол или тетрагидрофуран, при температуре от около 0°C до около 50°C с получением 3-(4-пиридил)бензиламина или его соли; b) обработки полученного 3-(4-пиридил)бензиламина или его соли ди-трет-бутилдикарбонатом в алифатическом спирте, таком как метанол, этилацетате, эфире, таком как тетрагидрофуран, галогенированном углеводороде, таком как дихлорметан, смеси двух или более таких растворителей или смеси одного или более таких растворителей с водой, в присутствии гидроксида, карбоната или алкоголята щелочного металла или третичного амина, такого как гидроксид натрия или триэтиламин, предпочтительно при температуре от около 0° до около 40°C, с получением трет-бутилового эфира 3-(4-пиридил)бензилкарбаминовой кислоты; и c) обработки полученного трет-бутилового эфира 3-(4-пиридил)бензилкарбаминовой кислоты водородом в алифатическом спирте при давлении от около 2000 кПа до около 6000 кПа в присутствии платинового катализатора, в присутствии кислоты, такой как хлористоводородная или серная кислота. В настоящем изобретении также представлены новые промежуточные продукты, которые могут использоваться в соответствии с настоящим изобретением в способах получения соединения формулы I, где R1 представляет собой H, F, CF3, OCF3, (C1-C8)алкил, (C3-C10)циклоалкил, 3-10-членный гетероциклоалкил, содержащий один, два или три одинаковых или различных гетероатома в кольце, выбранных из азота, кислорода и серы, (C6-C14)арил, (C1-C8)алкокси, (C3-C10)циклоалкокси, (C6-C14)арилокси, ди((C1-C8)алкил)амино, ди((C3-C10)циклоалкил)амино или ди((C6-C14)арил)амино; и R2 представляет собой H, F, CF3, OCF3, (C1-C8)алкил, (C3-C10)циклоалкил, 3-10-членный гетероциклоалкил, содержащий один, два или три одинаковых или различных гетероатома в кольце, выбранных из азота, кислорода и серы, (C6-C14)арил, 5-10-членный гетероарил, содержащий один, два или три одинаковых или различных гетероатома в кольце, выбранных из азота, кислорода и серы, (C1-C8)алкокси, (C3-C10)циклоалкокси, (C6-C14)арилокси, 5-10-членный гетероарилокси, содержащий один, два или три одинаковых или различных гетероатома в кольце, выбранных из азота, кислорода и серы, ди((C1-C8)алкил)амино, ди((C3-C10)циклоалкил)амино или ди((C6-C14)арил)амино; либо его соли, включая соединение формулы VIII, где R1′ представляет собой H, F, CF3, OCF3, (C1-C8)алкил, (C3-C10)циклоалкил, 3-10-членный гетероциклоалкил, содержащий один, два или три одинаковых или различных гетероатома в кольце, выбранных из азота, кислорода и серы, (C6-C14)арил, (C1-C8)алкокси, (C3-C10)циклоалкокси, (C6-C14)арилокси, ди((C1-C8)алкил)амино, ди((C3-C10)циклоалкил)амино или ди((C6-C14)арил)амино или их замещенное производное или группу-предшественник; соединение формулы IX, где R1′ представляет собой H, F, CF3, OCF3, (C1-C8)алкил, (C3-C10)циклоалкил, 3-10-членный гетероциклоалкил, содержащий один, два или три одинаковых или различных гетероатома в кольце, выбранных из азота, кислорода и серы, (C6-C14)арил, (C1-C8)алкокси, (C3-C10)циклоалкокси, (C6-C14)арилокси, ди((C1-C8)алкил)амино, ди((C3-C10)циклоалкил)амино или ди((C6-C14)арил)амино или их замещенное производное или группу-предшественник; и Ph представляет собой фенил; соединение формулы X, где R1′ представляет собой H, F, CF3, OCF3, (C1-C8)алкил, (C3-C10)циклоалкил, 3-10-членный гетероциклоалкил, содержащий один, два или три одинаковых или различных гетероатома в кольце, выбранных из азота, кислорода и серы, (C6-C14)арил, (C1-C8)алкокси, (C3-C10)циклоалкокси, (C6-C14)арилокси, ди((C1-C8)алкил)амино, ди((C3-C10)циклоалкил)амино или ди((C6-C14)арил)амино или их замещенное производное или группу-предшественник; и Ph представляет собой фенил; или его соли; соединение формулы XI, где R1′ представляет собой H, F, CF3, OCF3, (C1-C8)алкил, (C3-C10)циклоалкил, 3-10-членный гетероциклоалкил, содержащий один, два или три одинаковых или различных гетероатома в кольце, выбранных из азота, кислорода и серы, (C6-C14)арил, (C1-C8)алкокси, (C3-C10)циклоалкокси, (C6-C14)арилокси, ди((C1-C8)алкил)амино, ди((C3-C10)циклоалкил)амино или ди((C6-C14)арил)амино или их замещенное производное или группу-предшественник; и Ph – фенил; или его соли; соединение формулы XII, где R1′ представляет собой H, F, CF3, OCF3, (C1-C8)алкил, (C3-C10)циклоалкил, 3-10-членный гетероциклоалкил, содержащий один, два или три одинаковых или различных гетероатома в кольце, выбранных из азота, кислорода и серы, (C6-C14)арил, (C1-C8)алкокси, (C3-C10)циклоалкокси, (C6-C14)арилокси, ди((C1-C8)алкил)амино, ди((C3-C10)циклоалкил)амино или ди((C6-C14)арил)амино или их замещенное производное или группу-предшественник; Boc представляет собой трет-бутоксикарбонил; и Ph представляет собой фенил; или его соли; соединение формулы XIV, где R1′ представляет собой H, F, CF3, OCF3, (C1-C8)алкил, (C3-C10)циклоалкил, 3-10-членный гетероциклоалкил, содержащий один, два или три одинаковых или различных гетероатома в кольце, выбранных из азота, кислорода и серы, (C6-C14)арил, (C1-C8)алкокси, (C3-C10)циклоалкокси, (C6-C14)арилокси, ди((C1-C8)алкил)амино, ди((C3-C10)циклоалкил)амино или ди((C6-C14)арил)амино или их замещенное производное или группу-предшественник; или его соли; соединение формулы XV, где R1′ представляет собой H, F, CF3, OCF3, (C1-C8)алкил, (C3-C10)циклоалкил, 3-10-членный гетероциклоалкил, содержащий один, два или три одинаковых или различных гетероатома в кольце, выбранных из азота, кислорода и серы, (C6-C14)арил, (C1-C8)алкокси, (C3-C10)циклоалкокси, (C6-C14)арилокси, ди((C1-C8)алкил)амино, ди((C3-C10)циклоалкил)амино или ди((C6-C14)арил)амино или их замещенное производное или группу-предшественник; или его соли; соединение формулы XVI, где R1′ представляет собой H, F, CF3, OCF3, (C1-C8)алкил, (C3-C10)циклоалкил, 3-10-членный гетероциклоалкил, содержащий один, два или три одинаковых или различных гетероатома в кольце, выбранных из азота, кислорода и серы, (C6-C14)арил, (C1-C8)алкокси, (C3-C10)циклоалкокси, (C6-C14)арилокси, ди((C1-C8)алкил)амино, ди((C3-C10)циклоалкил)амино или ди((C6-C14)арил)амино или их замещенное производное или группу-предшественник; и Boc представляет собой трет-бутоксикарбонил; или его соли; и соединение формулы IVb, где R1′ представляет собой H, F, CF3, OCF3, (C1-C8)алкил, (C3-C10)циклоалкил, 3-10-членный гетероциклоалкил, содержащий один, два или три одинаковых или различных гетероатома в кольце, выбранных из азота, кислорода и серы, (C6-C14)арил, (C1-C8)алкокси, (C3-C10)циклоалкокси, (C6-C14)арилокси, ди((C1-C8)алкил)амино, ди((C3-C10)циклоалкил)амино или ди((C6-C14)арил)амино или их замещенное производное или группу-предшественник; и Boc представляет собой трет-бутоксикарбонил; или его соли; и в другом аспекте настоящего изобретения, применение каждого из указанных соединений в качестве промежуточных продуктов, в частности, в качестве промежуточных продуктов для получения соединения формулы I, где R1 и R2 определены выше, или его соли. В конкретном воплощении настоящее изобретение также представляет новые промежуточные продукты, которые могут использоваться в способах настоящего изобретения для получения 4-[3-(аминометил)фенил]-1-[5-(2-фторфенилэтинил)-2-фураноил]пиперидина или его соли, включая 1-(3-бромбензил)-2,2,5,5-тетраметил-1-аза-2,5-дисилациклопентан; 1-[3-(1-бензил-4-гидроксипиперидин-4-ил)бензил]-2,2,5,5-тетраметил-1-аза-2,5-дисилациклопентан; 3-(1-бензил-4-гидроксипиперидин-4-ил)бензиламин или его соли; 3-(1-бензил-1,2,3,6-тетрагидропиридин-4-ил)бензиламин или его соли; трет-бутиловый эфир 3-(1-бензил-1,2,3,6-тетрагидропиридин-4-ил)бензилкарбаминовой кислоты или его соли; оксим 3-(4-пиридил)бензальдегида или его соли; 3-(4-пиридил)бензиламин или его соли; трет-бутиловый эфир 3-(4-пиридил)бензилкарбаминовой кислоты или его соли и 4-[3-(трет-бутоксикарбониламинометил)фенил]-1-[5-бром-2-фураноил]пиперидин; и в другом конкретном воплощении настоящего изобретения применение каждого из указанных соединений в качестве промежуточных продуктов для получения 4-[3-(аминометил)фенил]-1-[5-(2-фторфенилэтинил)-2-фураноил]пиперидина или его соли. Как использовано в настоящем описании, если не указано иное, следующие термины следует понимать в следующих значениях. «Алкил» означает остаток алифатической насыщенной углеводородной группы, которая может быть линейной или разветвленной и иметь от 1 до 8 атомов углерода, например 1, 2, 3, 4, 5, 6, 7 или 8 атомов углерода. Предпочтительны алкильные остатки, имеющие от 1 до 6 атомов углерода, особенно имеющие от 1 до 4 атомов углерода. К примерам алкильных остатков относятся метил, этил, н-пропил, изопропил, н-бутил, изобутил, втор-бутил, трет-бутил, н-пентил, 3-пентил, гептил и октил. “Циклоалкил” означает остаток насыщенной моноциклической или бициклической кольцевой системы, содержащей от 3 до 10 атомов углерода в кольце, например 3, 4, 5, 6, 7, 8, 9 или 10 атомов углерода. Предпочтительными являются циклоалкильные остатки, имеющие от 3 до 7 атомов углерода. Примерами циклоалкильных остатков являются циклопропил, циклобутил, циклопентил, циклогексил, циклогептил и циклооктил. «Гетероциклоалкил» означает 3-10-членный остаток, например 3-, 4-, 5-, 6-, 7-, 8-, 9- или 10-членную, насыщенную моноциклическую или полициклическую гетероциклическую кольцевую систему, которая имеет 1, 2 или 3 одинаковых или различных гетероатома в кольце, выбранных из азота, кислорода и серы, которые могут быть соединены через любой допускающий такую связь атом углерода или азота в кольце, и где атомы азота независимо друг от друга могут иметь присоединенный остаток, выбранный из водорода, (C1-C8)алкила, (C6-C14)арила и (C6-C14)арил-(C1-C4)алкила. К гетероциклоалкилам относятся, например, (i) 3-7-членная циклоалкильная группа, где 1, 2 или 3 атома кольца являются гетероатомами, выбранными из азота, кислорода или серы, т.е. насыщенная моноциклическая гетероциклическая группа, и (ii) остаток насыщенной полициклической, например бициклической или трициклической, 6-10-членной гетероциклической группы, где 1, 2 или 3 атома кольца являются гетероатомами, выбранными из азота, кислорода и серы, в которой насыщенная моноциклическая гетероциклическая группа конденсирована с одной или более, например с одной или двумя циклоалкильными группами и/или насыщенными моноциклическими гетероциклическими группами с образованием полициклической структуры. Примерами гетероциклоалкильных групп являются пиперидинил, пирролидинил, морфолинил, тетрагидропиранил или тетрагидротиенил. «Арил» в виде группы или части группы означает остаток моноциклической или полициклической кольцевой системы, имеющей от 6 до 14 атомов углерода в кольце, например 6, 8, 9, 10, 12, 13 или 14 атомов углерода в кольце. К арилам относятся: (i) остаток моноциклической или полициклической, например бициклической или трициклической ароматической карбоциклической группы, имеющей от примерно 6 до примерно 14 атомов углерода в кольце, все кольца которой ароматические, такие как фенил или нафтил; или (ii) остаток частично насыщенной полициклической, например бициклической или трициклической ароматической карбоциклической группы, в которой арильная группа и циклоалкильная группа конденсированы в циклическую структуру, такую как тетрагидронафтильный или инданильный остаток. «Гетероарил» означает 5-10-членный остаток, например 5-, 6-, 8-, 9- или 10-членную, гетероароматическую кольцевую систему, которая имеет 1, 2 или 3 одинаковых или различных гетероатома в кольце, выбранных из азота, кислорода и серы, которые могут быть соединены через любой допускающий такую связь атом углерода или азота в кольце, и где атомы азота независимо друг от друга могут иметь присоединенный остаток, выбранный из водорода, (C1-C8)алкила, (C6-C14)арила и (C6-C14)арил-(C1-C4)алкила-. К гетероарилам относятся: (i) остаток моноциклической или бициклической ароматической гетероциклической группы, все кольца которой ароматические, включая, например, такие остатки, как бензимидазолил, бензотиазолил, бензоксазолил, бензотиенил, фурил, имидазолил, индолил, индолизинил, изоксазолил, изохинолинил, изотиазолил, оксадиазолил, пиразинил, пиридазинил, пиразолил, пиридил, пиримидинил, пирролил, хиназолинил, хинолинил, 1,3,4-тиадиазолил, тиазолил, тиенил или триазолил, или (ii) остаток частично насыщенной бициклической гетероароматической группы, в которой гетероарильная группа и циклоалкильная группа, или арильная группа и гетероциклоалкильная группа, или гетероарильная и гетероциклоалкильная группа конденсированы в циклическую структуру, например пиринданильный остаток. «Алкокси» означает остаток алкил-O-, в котором алкильная группа имеет указанные выше значения. Примерами алкоксигрупп являются метокси, этокси, н-пропокси, изопропокси, н-бутокси, изобутокси, трет-бутокси и гептокси. «Циклоалкокси» означает остаток циклоалкил-O-, в котором циклоалкильная группа имеет указанные выше значения. «Арилокси» означает остаток арил-O-, в котором арильная группа имеет указанные выше значения. «Гетероарилокси» означает остаток гетероарил-O-, в котором гетероарильная группа имеет указанные выше значения. “Диалкиламино” означает остаток -N(алкил)(алкил), в котором алкильные группы могут быть одинаковыми или различными и имеют указанные выше значения. “Дициклоалкиламино” означает остаток -N(циклоалкил)(циклоалкил), в котором циклоалкильные группы могут быть одинаковыми или различными и имеют указанные выше значения. “Диариламино” означает остаток -N(арил)(арил), в котором арильные группы могут быть одинаковыми или различными и имеют указанные выше значения. В способах и соединениях настоящего изобретения группы R1, R1′, R2 и R2′, которые присоединены к бензольным кольцам, изображенным в приведенных в данном описании формулах, могут независимо друг от друга присутствовать один или несколько раз, например один, два или три раза. Предпочтительно, если они независимо друг от друга присутствуют один или два раза. Еще более предпочтительно, если присутствует одна из групп R1 или R1′ и одна из групп R2 или R2′. Когда какая-либо из групп R1, R1′, R2 или R2′ присутствует более чем один раз, они могут независимо друг от друга иметь указанные выше значения, которые могут быть одинаковыми или различными. В положениях бензольных колец, изображенных в приведенных в данном описании формулах, в которых нет группы R1, R1′, R2 или R2′ или какой-либо другой группы, изображенных в формулах, расположены атомы водорода. Т.е., в соединении формулы I, где присутствует одна группа R1 и одна группа R2, бензольное кольцо, к которому присоединена группа R1, имеет три атома водорода в дополнение к группе R1 и группе -CH2NH2, и бензольное кольцо, к которому присоединена группа R2, имеет четыре атома водорода в дополнение к группе R2. В соединении формулы I, в котором присутствуют две группы R2, бензольное кольцо, к которому присоединена группа R2, имеет три атома водорода в дополнение к группе R2. Группы R1, R1′, R2 и R2′ могут присутствовать в любых положениях. Например, в соединении формулы I, в котором присутствует одна группа R2, отличная от водорода, R2 может присутствовать в положениях 2, 3 или 4 по отношению к этиновой группе, которая, по определению, расположена в положении 1. Если присутствуют две группы R2, отличные от водорода, они могут присутствовать в положениях 2,3-, 2,4-, 2,5-, 2,6-, 3,4- или 3,5-. Аналогично, если присутствует одна группа R1, отличная от водорода, она может присутствовать в положениях 2, 3, 4 и 6 относительно положения пиперидинового остатка, который расположен в положении 1, если положение группы -CH2NH2 в соединении формулы I или производной от нее группы в других соединениях настоящего изобретения обозначено как положение 5 (если положение группы -CH2-NH2 обозначено как положение 3, группа R1 может присутствовать в положениях 2, 4, 5 и 6). Соли какого-либо соединения настоящего изобретения или относящегося к нему, т.е. любого соединения, которое используется в каком-либо способе, или получено в каком-либо способе, или участвует в качестве промежуточного продукта в каком-либо из описываемых способов, включая любое соединение, которое, по сути, является объектом настоящего изобретения, которое содержит одну или несколько основных групп, т.е. протонируемых групп, таких как аминогруппы, пиперидинильные группы, пиридинильные группы и/или другие основные гетероциклические группы, являются, в частности, кислотно-аддитивными солями, образуемыми соответствующим соединением и неорганическими или органическими кислотами, включая минеральные кислоты и органические карбоновые кислоты и сульфоновые кислоты. К кислотам, которые могут образовывать такие соли, относятся хлористоводородная кислота, бромистоводородная кислота, йодистоводородная кислота, серная кислота, сульфаминовая кислота, азотная кислота, ортофосфорная кислота, муравьиная кислота, уксусная кислота, пропионовая кислота, щавелевая кислота, малоновая кислота, лимонная кислота, трифторуксусная кислота, молочная кислота, винная кислота, фумаровая кислота, малеиновая кислота, метансульфокислота, этансульфокислота, бензолсульфокислота, п-толуолсульфокислота и т.д. Соединения, которые содержат две или несколько основных групп, могут образовывать кислотно-аддитивные соли с одним эквивалентом кислоты или с двумя или несколькими эквивалентами кислоты. В частности, в случае соединений формул I и Ia, которые предназначены для использования в производстве фармацевтических композиций или для применения в качестве фармакологически активных ингредиентов, предпочтительными солями являются физиологически приемлемые соли или фармацевтически приемлемые соли, которые нетоксичны и обладают подходящими для их назначения свойствами. Тем не менее, в настоящее изобретение входят также соли, которые вследствие низкой физиологической совместимости не могут непосредственно использоваться в фармацевтических препаратах, но могут использоваться, например, в качестве промежуточных продуктов в химических реакциях получения физиологически приемлемых солей, например, при помощи ионного обмена. Соли могут быть получены при помощи любого из описываемых способов или обычными способами, известными специалистам в данной области, например реакцией основного соединения с кислотой в растворителе или путем ионного обмена с другой солью. Аналогично, применяя обычные способы, такие как реакция соли с основанием в растворителе, соль можно в случае необходимости превратить в свободное основание, например, если промежуточный продукт, который был выделен в виде соли, необходим для последующей стадии реакции в виде свободного основания. В способах и соединениях настоящего изобретения и особенно в случае различных значений R1 и R2 может быть выгодно или необходимо защитить химически активные функциональные группы в тех случаях, когда они должны остаться в конечном продукте, либо ввести их сначала в качестве групп-предшественников, которые впоследствии будут превращены в желаемую группу, чтобы избежать их нежелательного участия в реакциях в соответствии со способами настоящего изобретения. Стандартные защитные группы и группы-предшественники, а также способы их введения и удаления либо превращения в желаемые группы могут использоваться в соответствии со стандартными методами, известными специалистам в данной области, например описанными T.W. Greene and P.G.M. Wuts in “Protective Groups in Organic Chemistry”, John Wiley and Sons, 1991. В способах и соединениях настоящего изобретения R1 и R1′ предпочтительно представляют собой H, F, CF3, OCF3, (C1-C4)алкил, (C3-C7)циклоалкил, фенил, (C1-C4)алкокси, фенокси или ди((C1-C4)алкил)амино, более предпочтительно H, F, CF3, OCF3, (C1-C4)алкил, (C1-C4)алкокси или ди((C1-C4)алкил)амино, особенно предпочтительно H, F, CF3, OCF3, (C1-C4)алкил или (C1-C4)алкокси, еще более предпочтительно H, F, CF3, OCF3, CH3 или OCH3, в особенности предпочтительно H или F, наиболее предпочтительно являются H. В случае если присутствует один остаток R1 или R1′, который представляет собой F, этот атом фтора предпочтительно должен располагаться в положении 2 относительно пиперидинового остатка, который расположен в положении 1, если положение группы -CH2-NH2 в соединении формулы I или ее производной группы в других соединениях настоящего изобретения, обозначено как положение 5. R2 и R2′ предпочтительно представляют собой H, F, CF3, OCF3, (C1-C4)алкил, (C3-C7)циклоалкил, фенил, (C1-C4)алкокси, фенокси или ди((C1-C4)алкил)амино, более предпочтительно H, F, CF3, OCF3, (C1-C4)алкил, (C1-C4)алкокси или ди((C1-C4)алкил)амино, особенно предпочтительно H, F, CF3, OCF3, (C1-C4)алкил или (C1-C4)алкокси, еще более предпочтительно H, F, CF3, OCF3, CH3 или OCH3, в особенности предпочтительно являются H или F. В случае, когда присутствует один из остатков R2 или R2′, в наиболее предпочтительном воплощении настоящего изобретения R2 или R2′ представляет собой F, в частности атом фтора в ортоположении по отношению к этиновой группе. Способы настоящего изобретения обычно осуществляют в растворителе (или разбавителе), но, в зависимости от каждого конкретного случая, могут быть также проведены и без добавления растворителя. В качестве растворителей могут использоваться неорганические растворители, например вода, и органические растворители. Примерами органических растворителей являются углеводороды, включая алифатические и ароматические углеводороды, например пентан, гексан, гептан, петролейный эфир, лигроин, циклогексан, метилциклогексан, бензол, толуол или ксилол, галогенированные углеводороды, включая галогенированные алифатические и ароматические углеводороды, например дихлорметан, трихлорметан, четыреххлористый углерод, дихлорэтан, трихлорэтан, хлорбензол или дихлорбензол, простые эфиры, включая алифатические эфиры и циклические эфиры, например диэтиловый эфир, ди-н-пропиловый эфир, диизопропиловый эфир, дибутиловый эфир, диметиловый эфир этиленгликоля, диметиловый эфир диэтиленгликоля, тетрагидрофуран или диоксан, сложные эфиры, например этилацетат, бутилацетат или диметилкарбонат, амиды, например диметилформамид, диметилацетамид или N-метилпирролидон, спирты, включая алифатические спирты, например метанол, этанол, пропанол, включая н-пропанол и изопропанол, бутанол, включая н-бутанол и изобутанол, или этиленгликоль, кислоты, включая алифатические кислоты, например муравьиная кислота, уксусная кислота или трифторуксусная кислота, и другие, например ацетон, бутанон, диметилсульфоксид или ацетонитрил. Термин «растворитель» в данном описании может означать не только одиночный растворитель, но и смесь двух или более растворителей, которые могут быть смешивающимися, частично смешивающимися или несмешивающимися и могут образовывать две или несколько фаз. Таким образом, термин «растворитель» может означать смеси двух или нескольких органических растворителей, такие как смеси эфира и спирта или смеси эфира и углеводорода, а также смеси одного, двух или нескольких органических растворителей, например метанола, тетрагидрофурана и дихлорметана, с водой. Выбор подходящего растворителя, оптимального для конкретного способа, будет сделан специалистом в данной области с учетом особенностей используемой реакции и получаемых соединений, а также технических и других аспектов. Как правило, используют инертные растворители, которые не вступают в нежелательные реакции с используемыми соединениями и веществами и/или получаемыми соединениями. В конкретных случаях может оказаться предпочтительным использовать растворитель, в котором растворяются используемые соединения и вещества и/или получаемые соединения, или растворитель, в котором лишь до какой-то степени растворяются используемые соединения и вещества и/или получаемые соединения, или растворитель, в котором очень слабо растворяются используемые соединения и вещества и/или получаемые соединения. Примеры подходящих растворителей приведены выше, а также ниже в пояснениях к способам настоящего изобретения. В различных способах настоящего изобретения используется основание, например, для проведения химического превращения или депротонирования какого-либо соединения, выделения основного исходного соединения из его соли или связывания кислоты, образующейся во время реакции. К основаниям, которые могут использоваться, относятся органические основания, например амины, включая третичные амины, такие как триэтиламин, трибутиламин, этилдиизопропиламин или N-метилморфолин, а также неорганические основания. Неорганические основания обычно представляют собой основные соединения щелочных металлов – лития, натрия и калия, и щелочно-земельных металлов – магния и кальция, и включают гидроксиды, например гидроксид лития, гидроксид натрия, гидроксид калия или гидроксид кальция, карбонаты и гидрокарбонаты, например карбонат натрия, гидрокарбонат натрия или карбонат калия, алкоголяты, например метанолят натрия, этанолят натрия, трет-бутанолят натрия, метанолят калия, этанолят калия, трет-бутанолят калия, метанолят магния, этанолят магния, метанолят кальция или этанолят кальция, и другие, например гидрид натрия, амид натрия, диизопропиламид лития, Na2HPO4, Na3PO4 или ацетат натрия. Кроме одного основания также могут использоваться смеси двух или более оснований. Выбор подходящего основания, оптимального для конкретного способа, будет сделан специалистом в данной области с учетом особенностей реакции, используемых и получаемых соединений, а также технических и других аспектов. Примеры подходящих оснований представлены выше, а также ниже в пояснениях к способам настоящего изобретения. Далее приведены подробные пояснения к способам настоящего изобретения. На приведенных ниже схемах такие группы, как R1, R2, R1′ и R2′ понимаются согласно данным выше определениям, Boc представляет собой трет-бутоксикарбонил, Ph представляет собой фенил, и nBu представляет собой н-бутил. Соединения формулы I получают по способам настоящего изобретения, как показано на схеме 1. Схема 1 Фенилэтинилсилильное соединение формулы II, где G представляет собой триметилсилил, триэтилсилил, триизопропилсилил или диметил-трет-бутилсилил, обрабатывают гидроксидом, карбонатом или алкоголятом щелочного металла, например соответствующим соединением натрия или калия, или алкоголятом щелочно-земельного металла, например алкоголятом магния или кальция, предпочтительно карбонатом калия, в растворителе, таком как алифатический спирт или смесь алифатического спирта и эфира, например в метаноле или этаноле или смеси метанола и тетрагидрофурана, при температуре от около 0°C до около 50°C, предпочтительно от 10°C до 30°C, с получением раствора соответствующего фенилэтинильного соединения формулы III, где фенилэтинильное соединение не выделяют, что позволяет избежать риска, связанного с обработкой нестабильного фенилэтинильного соединения. Основание можно использовать в каталитическом количестве, например в количестве от около 0,02 до около 0,05 моль на моль соединения формулы II, или в большем количестве, вплоть до примерно эквивалентного количества, например от 0,02 до 1,1 моль одновалентного основания на моль соединения формулы II. Раствор фенилэтинильного соединения смешивают с амидом формулы IV в растворителе, таком как эфир, например тетрагидрофуран, диоксан или 1,2-диметоксиэтан, или диметилкарбонат, или смесь эфира и алифатического спирта, такого как метанол или этанол, и проводят реакцию в присутствии гомогенизированного палладиевого катализатора, например Pd(PPh3)2Cl2, соли меди (I), например иодида меди (I), бромида меди (I), хлорида меди (I) или трифторметансульфоната меди (I), где соль меди может также быть образована in situ из соли двухвалентной меди, например ацетата меди (II), и пространственно-затрудненного амина, например триэтиламина, трибутиламина, этилдиизопропиламина, диэтиламина, пирролидина или пиперидина, при температуре от около 30°C до около 70°C. Соединение формулы III или II соответственно предпочтительно использовать в небольшом избытке, например в количестве примерно 1-1,5 моль на моль соединения формулы IV. Используемые количества палладиевого катализатора и соли меди (I) оба предпочтительно должны быть в концентрации от около 0,005 до около 0,2, и еще более предпочтительно от 0,005 до 0,05 моль на моль соединения формулы IV, и количество пространственно-затрудненного амина составляет предпочтительно от 1 до 10, и еще более предпочтительно от 1 до 5 моль на моль соединения формулы II. Подготовка реакционной смеси может быть выполнена при помощи обычных методов применительно ко всем способам настоящего изобретения, включая обработки органической фазы насыщенным раствором соли, разбавленной хлористоводородной кислотой и водным карбонатом натрия с получением Boc-защищенного соединения формулы V. Неожиданным аспектом настоящего изобретения является то, что реагенты, присутствующие в растворе в результате обработки фенилэтинилсилильного соединения формулы II, не влияют на последующую реакцию сочетания с соединением формулы IV. Boc-защищенное соединение формулы V может использоваться, например, в качестве предназначенной для хранения формы соединения формулы I. Если требуется получить само соединение формулы I или его соль, у соединения формулы V затем удаляют защитные Boc-группы и, когда это применимо, удаляют любые другие защитные группы и/или проводят превращение групп-предшественников, которые могут присутствовать в R1′ и/или R2′. Предпочтительно удалять защитные группы у соединения формулы V в кислотных условиях, в частности у соединений, где R1′ и R2′ представляют собой R1 и R2, лучше всего при помощи физиологически приемлемой кислоты, такой как метансульфокислота, например, в растворителе, таком как изопропанол, например, при температуре от около 10°C до около 80°C, с получением соединения формулы I или его соли, предпочтительно соли кислоты, использовавшейся на стадии удаления защитных групп. Соединение формулы IV можно получить, как показано на схеме 2. Когда исходным веществом является 5-бром-2-фуранкарбоновая кислота или 5-йод-2-фуранкарбоновая кислота формулы XVIII, где X представляет собой бром или йод, кислоту сначала активируют, как указано выше, с получением активированного производного кислоты формулы XIX, где X представляет собой бром или йод, и A представляет собой уходящую группу, например хлор или бром, либо соединение формулы XIX представляет собой аддукт, получаемый из кислоты и конденсирующего агента, такого как карбодиимид, либо смешанный ангидрид, полученный из кислоты и алкилхлоркарбоната. Кислоту формулы XVIII предпочтительно обрабатывают тионилхлоридом в кипящем с обратным холодильником толуоле до прекращения газовыделения с получением раствора хлорангидрида формулы XIX, где A представляет собой хлор, который может быть в случае необходимости использован на последующей стадии без выделения хлорангидрида. Активированное производное кислоты формулы XIX смешивают с 4-[3-(трет-бутоксикарбониламинометил)фенил]пиперидином формулы VI в растворителе, необязательно в присутствии основания, например третичного амина, такого как триэтиламин, с получением соответствующего амида формулы IV, как правило, при температуре от около -10 до около 40°C, предпочтительно 10°C-30°C. 4-[3-(трет-бутоксикарбониламинометил)фенил]пиперидин формулы VI может быть выделен из соли соединения формулы VI, например соли п-толуолсульфоновой кислоты, обработкой основанием, например гидроксидом или алкоголятом щелочного металла, таким как гидроксид натрия, и экстрагированием соединения формулы VI растворителем, таким как, например, толуол или дихлорметан, с последующей сушкой раствора. Схема 2 Описанные выше способы получения соединений формулы I включают способ получения конкретного соединения – соли 4-[3-(аминометил)фенил]-1-[5-(2-фторфенилэтинил)-2-фураноил]пиперидина и метансульфоновой кислоты, который описан в WO 2004/060884 (международная заявка PCT/US2003/040653) и показан на схеме 3. Схема 3 Согласно ранее описанному способу, 2-фторфенилэтин формулы IIIa подвергают сочетанию с метил-5-бром-2-фуроатом формулы XX, протекающему в присутствии палладия. Обработка и хроматография дают метил 5-(2-фторфенилэтинил)-2-фуроат формулы XXI, который омыляют, перекристаллизовывают и получают соответствующую кислоту формулы XXII. Превращение кислоты в хлорангидрид формулы XXIII достигается при помощи оксалилхлорида. Ацилирование хлорангидридом 4-[3-(трет-бутоксикарбониламинометил)фенил]пиперидина формулы VIa, который в соответствии с известным способом получают в результате трудоемкого способа с использованием дорогостоящих реагентов, как описано ниже, дает N-Boc-защищенный 4-[3-(аминометил)фенил]-1-[5-(2-фторфенилэтинил)-2-фураноил]пиперидин формулы Va. Неочищенный продукт очищают флэш-хроматографией с последующим растиранием в смеси диэтиловый эфир/пентан либо перекристаллизацией. Обработкой метансульфоновой кислотой удаляют Boc-группу и получают соль метансульфоновой кислоты 4-[3-(аминометил)фенил]-1-[5-(2-фторфенилэтинил)-2-фураноил]пиперидина формулы Ib. Значительным недостатком ранее разработанных способов является использование в качестве исходных веществ фенилэтинов, известных своей нестабильностью. Например, 2-фторфенилэтин бурно распадается при примерно 120°C. Использование фенилэтинов таким образом представляет опасность, особенно при крупномасштабном производстве. В настоящем изобретении представлены более выгодные способы, которые могут использоваться для получения соединений формулы I и отличаются получением фенилэтина из силильного соединения in situ без необходимости выделения фенилэтина, что позволяет избежать обработки опасными соединениями. 4-[3-(трет-Бутоксикарбониламинометил)фенил]пиперидины формулы VI, которые могут использоваться в качестве промежуточных продуктов в способах настоящего изобретения, могут быть получены по способам настоящего изобретения, например, как показано на схеме 4. Схема 4 Соответственно, 3-йодбензиламин или 3-бромбензиламин формулы VII в форме его соли, например гидрохлорида, в растворителе, например галогенированном алифатическом углеводороде, таком как дихлорметан, обрабатывают примерно эквимолярным количеством 1,2-бис(хлордиметилсилил)этана в присутствии основания, например третичного амина, такого как триэтиламин, предпочтительно при температуре от около 10°C до около 30°C. Обработку реакционной смеси можно осуществлять фильтрованием, выпариванием фильтрата и обработкой остатка алифатическим или ароматическим углеводородом, например пентаном, для удаления любой остаточной аминной соли, что дает соответствующее 3-галогенбензильное соединение формулы VIII, т.е. соответствующий 1-(3-бромбензил)-2,2,5,5-тетраметил-1-аза-2,5-дисилациклопентан или 1-(3-йодобензил)-2,2,5,5-тетраметил-1-аза-2,5-дисилациклопентан. Соединение формулы VIII затем обрабатывают алкиллитиевым соединением, например н-бутиллитием, вторичным бутиллитием, трет-бутиллитием или гексиллитием, в растворителе, например эфире, таком как диэтиловый эфир или тетрагидрофуран, и затем 1-бензил-4-пиперидоном при пониженной температуре, такой как температура от около -80°C до около -40°C, например при примерно -60°C, и получают соответствующий спирт формулы IX, который, при необходимости, можно использовать далее без дополнительной очистки. Алкиллитиевое соединение и 1-бензил-4-пиперидон обычно используют в количестве от примерно 1 до примерно 1,2 и от примерно 1 до примерно 1,1 моль соответственно, на моль соединения формулы VIII. Спирт формулы IX затем обрабатывают неорганической кислотой, например серной, хлористоводородной или ортофосфорной кислотой, предпочтительно ортофосфорной кислотой, которая может быть разбавленной или концентрированной, в растворителе, например галогенированном алифатическом углеводороде, таком как дихлорметан, в присутствии воды при температуре от около 10°C до около 30°C и получают соответствующий бензиламин формулы X в виде соли используемой кислоты, который, при необходимости, можно использовать далее без дополнительной очистки. Полученную соль бензиламина формулы X затем дегидратируют концентрированной неокисляющей сильной кислотой, например ортофосфорной кислотой, серной кислотой, трифторуксусной кислотой или толуолсульфоновой кислотой, предпочтительно ортофосфорной кислотой при повышенной температуре, например при температуре от около 70°C до около 150°C, предпочтительно при примерно 100°C, с последующим подщелачиванием основанием, таким как гидроксид, карбонат или алкоголят щелочного металла, например гидроксид натрия, и получают соответствующий олефин формулы XI, который, при необходимости, может использоваться далее без дополнительной очистки. Соединение формулы XI затем обрабатывают ди-трет-бутилдикарбонатом (Boc2O), который обычно используют в небольшом избытке, примерно 1-1,2 моль-эквивалента, в растворителе, например алифатическом спирте, таком как метанол, этилацетате, эфире, таком как тетрагидрофуран, галогенированном углеводороде, таком как дихлорметан, смеси двух или более таких растворителей или смеси одного или более таких растворителей с водой, в присутствии основания, например гидроксида, карбоната или алкоголята щелочного металла или третичного амина, такого как гидроксид натрия или триэтиламин, предпочтительно при температуре от около 0°C до около 40°C, предпочтительно при температуре 10°C-30°C, и получают Boc-защищенный амин формулы XII. В благоприятном случае, когда достигается одновременное восстановление олефиновой двойной связи и удаление бензильной группы, Boc-защищенный амин формулы XII можно затем обработать водородом при давлении от около 200 кПа до около 3000 кПа в растворителе, например алифатическом спирте, таком как метанол, этанол или изопропанол, или этилацетате в присутствии палладиевого катализатора, например палладия на углероде или гидроксида палладия на углероде, например катализатора Перлмана, и органической или неорганической кислоты, например уксусной кислоты, при температуре от около 10°C до около 40°C и получить соответствующий пиперидин формулы VI в виде соли используемой кислоты. Если необходимо, эту соль можно затем превратить в 4-[3-(трет-бутоксикарбониламинометил)фенил]пиперидин формулы VI обработкой основанием, например гидроксидом, карбонатом или алкоголятом щелочного металла. Как указано выше, в способе получения соединений формул XII и VI согласно настоящему изобретению есть выгодная возможность использовать многие промежуточные продукты на следующей стадии реакции, при необходимости, без отдельной стадии очистки и промежуточного выделения. 4-[3-(трет-Бутоксикарбониламинометил)фенил]пиперидины, которые могут использоваться в качестве промежуточных продуктов в способах настоящего изобретения, могут быть также получены по способам настоящего изобретения, например, как показано на схеме 5. Схема 5 Соответственно, 3-(4-пиридил)бензальдегид формулы XIII обрабатывают гидроксиламином или солью гидроксиламина, например хлоридом, сульфатом или фосфатом гидроксиламмония, в растворителе, например алифатическом спирте, таком как метанол, этанол или изопропанол, необязательно в присутствии основания, например третичного амина, такого как триэтиламин, карбоната щелочного металла, такого как карбонат натрия, или гидрокарбоната щелочного металла, такого как гидрокарбонат натрия, при температуре от около 0°C до около 40°C, предпочтительно при температуре 10°C-30°C, и получают соответствующий оксим формулы XIV или его соль. Раствор полученного оксима может далее использоваться, при необходимости, без дополнительной очистки. Оксим формулы XIV или его соль в растворителе, например полярном органическом растворителе, таком как алифатический спирт или карбоновая кислота, например метанол, этанол, изопропанол или уксусная кислота, затем обрабатывают водородом при давлении от около 300 кПа до около 1500 кПа, например при 500 кПа, в присутствии палладиевого катализатора, например палладия на углероде или гидроксида палладия, при температуре около 20°C-50°C, например, при примерно 35°C и получают соответствующий бензиламин формулы XV или его соль. После фильтрования с целью удаления катализатора полученный раствор может использоваться, при необходимости, без дополнительной очистки в следующей стадии. Бензиламин формулы XV или его соль затем обрабатывают ди-трет-бутилдикарбонатом (Boc2O), который обычно используют в небольшом избытке, примерно 1-1,2 моль-эквивалента, в растворителе, например алифатическом спирте, таком как метанол, этилацетате, эфире, таком как тетрагидрофуран, галогенированном углеводороде, таком как дихлорметан, смеси двух или более таких растворителей или смеси одного или более таких растворителей с водой, в присутствии основания, например гидроксида, карбоната или алкоголята щелочного металла или третичного амина, такого как гидроксид натрия или триэтиламин, предпочтительно при температуре от около 0°C до около 40°C, предпочтительно при температуре 10°C-30°C, и получают соответствующий Boc-защищенный амин формулы XVI, который может использоваться, при необходимости, без дополнительной очистки в следующей стадии. Трет-бутиловый эфир 3-(4-пиридил)бензилкарбаминовой кислоты формулы XVI в растворителе, например алифатическом спирте, таком как этанол или изопропанол, затем обрабатывают водородом при давлении от около 2000 кПа до около 6000 кПа в присутствии платинового катализатора, например платины на углероде или оксида платины, например, в присутствии 5% платины на углероде, при температуре от около 20°C до около 80°C, например, примерно при 50°C, в присутствии кислоты, например минеральной кислоты, такой как хлористоводородная или серная кислота. Неожиданным аспектом настоящего изобретения является то, что Boc-защищенная группа остается нетронутой несмотря на присутствие кислоты в восстановительной смеси. Когда поглощение водорода завершено, для обработки растворитель может быть удален в вакууме, после чего смесь обрабатывают водным основанием, например водным гидроксидом натрия, и экстрагируют органическим растворителем, например дихлорметаном или толуолом. После выпаривания растворителя остаток, при необходимости, можно обработать кислотой, например п-толуолсульфоновой кислотой, и получить нужный пиперидин формулы VI в виде соли, например соли п-толуолсульфоновой кислоты. Как описано выше, вместо получения амина формулы XV из пиридилбензальдегида формулы XIII посредством его превращения в оксим и гидрирования оксимной функции амин формулы XV или его соль можно далее получать из пиридилбензонитрила формулы XVII восстановлением нитрильной функции, например, путем каталитического гидрирования в присутствии палладиевого катализатора, такого как палладий на древесном угле, или при помощи комплексного гидрида в качестве восстановителя. Каталитическое гидрирование нитрильной функции предпочтительно проводить в растворителе, например алифатическом спирте, таком как метанол, или смеси алифатического спирта и воды при температуре около 10°C-40°C при давлении водорода около 2000-6000 кПа в присутствии кислоты, например минеральной кислоты, такой как хлористоводородная кислота. Восстановление нитрильной функции при помощи комплексного гидрида предпочтительно проводить в растворителе, таком как апротонный растворитель, например алифатический спирт, такой как метанол или этанол, если используется комплексный гидрид, такой как боргидрид натрия, или апротонный растворитель, например эфир, такой как тетрагидрофуран, если используется комплексный гидрид, такой как алюмогидрид лития, при температуре от около 0°C до около 50°C. Амин формулы XV или его соль можно использовать, при необходимости, без дополнительной очистки на следующей стадии, на которой его обрабатывают ди-трет-бутилдикарбонатом, как описано выше. Исходные соединения формул XIII и XVII коммерчески доступны, а также могут быть получены методами, описанными в литературе или аналогичными им, например, как описано в WO 98/21210, Z.Y. Wang et al., Chin. Chem. Lett. 2003, 14, стр. 13-16, или M.A. Massa et al., Bioorg. Med. Chem. Lett. 2001, 11, стр. 1625-1628. Как указано выше, в способе получения соединения формулы VI из соединений формул XIII или XVII согласно настоящему изобретению есть выгодная возможность использовать промежуточные продукты на следующей стадии реакции, при необходимости, без отдельной стадии очистки и промежуточного выделения. В соответствии со способами настоящего изобретения 4-[3-(трет-бутоксикарбониламинометил)фенил]пиперидины формулы VI можно получать значительно более простым способом и с использованием более дешевых реагентов, чем при помощи ранее описанных способов. Описанные ранее способы получения 4-[3-(трет-бутоксикарбониламинометил)фенил]пиперидинов включают способ, показанный на схеме 6, который описан в WO 2004/060884 (международная заявка PCT/US2003/040653). Схема 6 Первой стадией описанного ранее способа является защита производного 4-пиперидона формулы XXIV в виде N-Teoc (2-(триметилсилил)этоксикарбонильного) производного формулы XXV с получением in situ карбамата, образованного из 1,1′-карбонилдиимидазола (CDI) и 2-(триметилсилил)этанола, требует высоковакуумной дистилляции продукта при 156-160°C, а также использования дорогостоящего реагента 2-(триметилсилил)этанола. Енолизация кетона формулы XXV требует проведения реакции с бис(триметилсилил)амидом лития в тетрагидрофуране при температуре -78°C с последующим гашением енолята N-фенил-бис(трифторметансульфонимидом), являющимся еще одним дорогостоящим реагентом, с получением винилтрифлата формулы XXVI. Трифлат формулы XXVI используется в реакции сочетания Сузуки с дорогостоящим реагентом – 3-цианофенилбороновой кислотой, в присутствии дорогостоящего катализатора – тетракистрифенилфосфинпалладия(0), с получением нитрила формулы XXVII, который необходимо очищать хроматографией. Гидрирование как нитрильной функции, так и двойной связи при помощи Pd/C в присутствии хлористоводородной кислоты дает смесь гидрохлорида требуемого амина формулы XXVIII и частично восстановленного нитрила формулы XXIX. Амин необходимо промыть от нитрила и затем его превращают в Boc-защищенное производное формулы XXX в присутствии ди-трет-бутилбикарбоната (Boc2O). Остаточный нитрил формулы XXIX можно превратить в требуемый амин и его защищенное Boc-производное формулы XXX в присутствии NiCl2, являющегося токсичным реагентом, Boc2O и NaBH4. Boc-производное формулы XXX необходимо выделить и затем очистить растиранием в пентане, либо, альтернативно, перекристаллизовать из смеси циклогексан/гексан. Удаление группы N-Teoc при помощи фторида тетра-н-бутиламмония при 50°C дает после растирания в смеси диэтиловый эфир/пентан требуемый пиперидин формулы VIa, т.е. соединение формулы VI, где R1′ является водородом. Известный способ получения пиперидина формулы VIa требует низкотемпературных условий проведения реакции на одной стадии, несколько стадий хроматографирования и очистки, выделения промежуточных продуктов и использования токсичных и дорогостоящих реагентов. Описанные в данном описании способы настоящего изобретения позволяют получать соединения формулы VI, используя менее токсичные и менее дорогостоящие реагенты, с выделением меньшего количества промежуточных продуктов, с меньшим количеством стадий очистки, благодаря чему эти способы лучше подходят для производства таких соединений в промышленных объемах с учетом экономических и технических аспектов. Данное изобретение подробно поясняется и иллюстрируется приведенными далее примерами. Вместе с тем эти примеры ни в коем случае не следует рассматривать как ограничение объема настоящего изобретения. Пример 1 4-[3-(трет-Бутоксикарбониламинометил)фенил]пиперидин а) 1-(3-Бромбензил)-2,2,5,5-тетраметил-1-аза-2,5-дисилациклопентан К перемешиваемой суспензии гидрохлорида 3-бромбензиламина (310 г, 1,39 моль) в дихлорметане (2 л) добавляли триэтиламин (437 г, 4,32 моль) и затем раствор 1,2-бис(хлордиметилсилил)этана (300 г, 1,39 моль) в дихлорметане (700 мл). Полученную суспензию перемешивали в течение 30 минут и затем фильтровали. Фильтрат концентрировали в вакууме и добавляли пентан. После фильтрования растворитель удаляли в вакууме и получали указанное в заголовке соединение (435 г, 95%) в виде бесцветного маслянистого вещества. 1H ЯМР (CDCl3) b) трет-Бутиловый эфир 3-(1-бензил-1,2,3,6-тетрагидропиридин-4-ил)бензилкарбаминовой кислоты В раствор 1-(3-бромбензил)-2,2,5,5-тетраметил-1-аза-2,5-дисилациклопентана (435 г, 1,33 моль) в тетрагидрофуране (4 л) добавляли раствор 2,5 М н-бутиллития (n-BuLi) (609 мл, 1,52 моль) при -60°C. Через 30 минут при этой же температуре добавляли раствор 1-бензил-4-пиперидона (276 г, 1,46 моль) в тетрагидрофуране. После перемешивания в течение еще 30 минут реакционную смесь гасили добавлением метанола и затем давали нагреться до комнатной температуры. Раствор концентрировали в вакууме и получали неочищенный спирт в виде вязкого коричневого маслянистого вещества. Полученный выше неочищенный остаток растворяли в дихлорметане (1,5 л). К этому раствору добавляли концентрированную ортофосфорную кислоту (H3PO4) (1 эквив.) и полученную смесь концентрировали в вакууме. Желтоватый фосфат в твердом состоянии получали добавлением гептана и отделяли фильтрованием. Полученное выше сухое твердое вещество добавляли в концентрированную H3PO4 (1,5 л) и полученную смесь нагревали при 100°C в течение двух часов. После охлаждения до комнатной температуры раствор разбавляли водой и экстрагировали эфиром. Затем водный слой подщелачивали гидроксидом натрия. Осадок отделяли фильтрованием и использовали на следующей стадии без сушки. Полученное выше твердое вещество суспендировали в смеси метанола (4 л) и воды (2 л), содержащей гидроксид натрия (10,0 г, 0,25 моль). Добавляли Boc2O (290 г, 1,33 моль) и полученную смесь перемешивали в течение ночи при комнатной температуре. Твердое вещество отделяли фильтрованием, затем сушили в вакууме и получали указанное в заголовке соединение (390 г, 76%) в виде светло-желтого твердого вещества. 1H ЯМР (CDCl3) c) соль уксусной кислоты 4-[3-(трет-Бутоксикарбониламинометил)фенил]пиперидина Смесь трет-бутилового эфира 3-(1-бензил-1,2,3,6-тетрагидропиридин-4-ил)бензилкарбаминовой кислоты (190 г, 0,50 моль), катализатора Перлмана (Pd(OH)2/C) (9,5 г) и уксусной кислоты (60,2 г, 1,0 моль) в метаноле гидрировали в течение ночи при комнатной температуре при давлении водорода 345 кПа. После фильтрования и выпаривания полученное маслянистое вещество растворяли в диизопропиловом эфире, что приводило к осаждению продукта реакции. После сушки в вакууме выделяли чистое указанное в заголовке соединение (159 г, 90%) в виде желтоватого твердого вещества. 1H ЯМР (300 МГц, CDCl3) d) 4-[3-(трет-Бутоксикарбониламинометил)фенил]пиперидин Соль уксусной кислоты 4-[3-(трет-бутоксикарбониламинометил)фенил]пиперидина (147 г, 0,42 моль) растворяли в разбавленной хлористоводородной кислоте и полученный раствор экстрагировали эфиром. Водную фазу подщелачивали гидроксидом натрия и экстрагировали эфиром. Органическую фазу концентрировали в вакууме, полученный продукт осаждали из смеси пентан/эфир и получали указанное в заголовке соединение (105 г, 86%) в виде не совсем белого твердого вещества. 1H ЯМР (300 МГц, CDCl3) Пример 2 Соль п-толуолсульфоновой кислоты 4-[3-(трет-бутоксикарбониламинометил)фенил]пиперидина а) Гидрохлорид 3-(4-пиридил)бензальдегидоксима 3-(4-Пиридил)бензальдегид (100 г, 546 ммоль) растворяли в метаноле (500 мл) и затем добавляли в раствор гидрохлорида гидроксиламина (40,2 г, 573 ммоль) в метаноле (260 мл). После полного превращения небольшую пробу реакционной смеси концентрировали в вакууме. МС (DCI) m/z 181,1, 199,1, 200,2. 1H ЯМР (400 МГц, ДМСО-d6) b) Гидрохлорид 3-(4-пиридил)бензиламина Полученный выше раствор гидрохлорида 3-(4-пиридил)бензальдегидоксима в метаноле добавляли к палладию на древесном угле (13,1 г, 5% Pd/C). Смесь перемешивали при 35°C и давлении водорода 500 кПа до прекращения расхода водорода. Катализатор отфильтровывали. ВЭЖХ показала полное превращение. Небольшую пробу реакционного раствора концентрировали в вакууме. МС (DCI) m/z 185,2, 186,2. 1H ЯМР (400 МГц, ДМСО-d6) c) трет-Бутиловый эфир 3-(4-пиридил)бензилкарбаминовой кислоты Полученный выше раствор гидрохлорида 3-(4-пиридил)бензиламина в метаноле добавляли в NaHCO3 (109 г, 1,30 моль). Полученную смесь перемешивали до прекращения выделения газа. Добавляли раствор ди-трет-бутилбикарбоната (139 г, 623 ммоль) в метаноле (450 мл). Полученную смесь перемешивали при комнатной температуре, пока ВЭЖХ не показала полное превращение. Три четверти метанола отгоняли в вакууме. Добавляли воду (500 мл) и оставшийся метанол отгоняли в вакууме. Водный слой экстрагировали дихлорметаном. Растворитель удаляли в вакууме и остаток растворяли в этаноле (100 мл). Небольшую пробу реакционного раствора концентрировали в вакууме. МС (DCI) m/z 229,3, 285,4, 286,4, 287,4. 1H ЯМР (400 МГц, CDCl3) d) Соль п-толуолсульфоновой кислоты 4-[3-(трет-бутоксикарбониламинометил)фенил]пиперидина К половине полученного выше раствора трет-бутилового эфира 3-(4-пиридил)бензилкарбаминовой кислоты в этаноле добавляли древесный уголь (17 г). Полученную смесь перемешивали при комнатной температуре, фильтровали и фильтр промывали дополнительным количеством этанола (260 мл). Полученный раствор добавляли к платине на древесном угле (44,7 г, 5% Pt/C). Добавляли смесь концентрированной хлористоводородной кислоты (31 г) и этанола (250 мл). Реакционную смесь разбавляли этанолом (500 мл) и затем гидрировали при 50°C и давлении водорода 3000 кПа до прекращения расхода водорода. Катализатор отфильтровывали. ВЭЖХ показала полное превращение. Три четверти этанола удаляли в вакууме. Перед удалением остатка этанола в вакууме добавляли смесь воды (310 мл) и раствора гидроксида натрия (33%, 33 г). Водный раствор экстрагировали дихлорметаном. Растворитель удаляли в вакууме и остаток растворяли в изопропаноле (65 мл) и диизопропиловом эфире (2,8 л). Раствор охлаждали до 0°C и затем добавляли раствор п-толуолсульфоновой кислоты (57,5 г) в изопропаноле (260 мл). Полученную смесь затем перемешивали при 0°C в течение 1 часа. Остаток отфильтровывали, промывали диизопропиловым эфиром, сушили в вакууме и получали 94,5 г требуемого соединения в виде белого твердого вещества (полный выход по 4 стадиям: 77%). МС (ESI) m/z 291,26, 292,28, 293,28. 1H ЯМР (400 МГЦ, ДМСО-d6) Пример 3 Дигидрохлорид 3-(4-пиридил)бензиламина В раствор 3-(4-пиридил)бензонитрила (25,0 г, 139 ммоль) в смеси метанол/вода (1:1, 250 мл) добавляли хлористоводородную кислоту (34,0 г, 30% по массе) и палладий на древесном угле (12,0 г, 10% Pd/C). Полученную смесь перемешивали при комнатной температуре и давлении водорода 3000 кПа до прекращения расхода водорода. Катализатор отфильтровывали. ВЭЖХ показала полное превращение. Пробу реакционного раствора концентрировали в вакууме. МС (DCI) m/z 185,3. 1H ЯМР (400 МГЦ, ДМСО-d6) Пример 4 4-[3-(трет-Бутоксикарбониламинометил)фенил]-1-[5-бром-2-фураноил]пиперидин К суспензии соли п-толуолсульфоновой кислоты 4-[3-(трет-бутоксикарбониламинометил)фенил]пиперидина и (185 г, 0,40 моль) в толуоле добавляли водный гидроксид натрия (1,1 эквив.) и полученную смесь перемешивали при комнатной температуре в течение 30 минут. Фазы разделяли и толуольный слой промывали водой. Затем сушили азеотропной отгонкой части толуола. К полученному раствору добавляли триэтиламин (72 мл, 0,52 моль). Полученную смесь непосредственно использовали на следующей стадии. В кипящую с обратным холодильником суспензию 5-бром-2-фуранкарбоновой кислоты (80,8 г, 0,44 моль) в толуоле (400 мл) добавляли тионилхлорид (37 мл, 0,52 моль). Полученную смесь кипятили с обратным холодильником в течение еще 30 минут и затем концентрировали отгонкой части растворителя. Полученный раствор охлаждали до комнатной температуры и добавляли в раствор полученных выше аминов. После перемешивания в течение одного часа добавляли воду, органический слой отделяли и разбавляли гептаном. Твердое вещество отфильтровывали и сушили в вакууме. После перекристаллизации неочищенного продукта из смеси изопропанол/вода получали чистое указанное в заголовке соединение (143 г, 77%) в виде не совсем белого твердого вещества. 1H ЯМР (400 МГц, ДМСО-d6) Пример 5 4-[3-(трет-Бутоксикарбониламинометил)фенил]-1-[5-(2-фторфенилэтинил)-2-фураноил]пиперидин Раствор (2-фторфенилэтинил)триметилсилана (68,0 г, 0,35 моль) в метаноле (40 мл) добавляли к суспензии K2CO3 (0,76 г, 5,51 ммоль) в метаноле (40 мл). Полученный раствор перемешивали в течение 30 минут при комнатной температуре и затем добавляли к смеси 4-[3-(трет-бутоксикарбониламинометил)фенил]-1-[5-бром-2-фураноил]пиперидина (126 г, 0,27 моль), Pd(PPh3)2Cl2 (3,90 г, 5,56 ммоль), CuI (1,0 г, 5,25 ммоль) и триэтиламина (94 мл) в тетрагидрофуране (550 мл). Реакционную смесь кипятили с обратным холодильником в течение часа. Вводили водный раствор тринатриевой соли тримеркаптотриазина (0,2 эквив.) и смесь кипятили с обратным холодильником еще в течение часа. После охлаждения до комнатной температуры добавляли насыщенный раствор соли, органическую фазу отделяли и последовательно промывали разбавленной хлористоводородной кислотой и раствором карбоната натрия. Органическую фазу кипятили с обратным холодильником с древесным углем в течение 30 минут, фильтровали и концентрировали в вакууме. Образовавшееся коричневое маслянистое вещество растворяли в дихлорметане (400 мл) и перемешивали в течение ночи с Deloxan® THP II (135 г). После фильтрования растворитель выпаривали, продукт кристаллизовали из смеси изопропанол/диизопропиловый эфир и получали указанное в заголовке соединение (74,6 г, 55%) в виде желтого порошка. 1H ЯМР (300 МГц, CDCl3) Пример 6 Соль метансульфоновой кислоты 4-[3-(Аминометил)фенил]-1-[5-(2-фторфенилэтинил)-2-фураноил]пиперидина К раствору 4-[3-(трет-бутоксикарбониламинометил)фенил]-1-[5-(2-фторфенилэтинил)-2-фураноил]пиперидина (67,4 г, 0,13 моль) в изопропаноле (350 мл) добавляли метансульфоновую кислоту (13,5 г, 0,14 моль) при 70°C. Полученную смесь перемешивали при комнатной температуре в течение трех часов и затем медленно охлаждали до комнатной температуры. Осадок отфильтровывали, промывали ацетоном и сушили в вакууме. После перекристаллизации неочищенного продукта из водной смеси изопропанол/диизопропиловый эфир получали аналитически чистое указанное в заголовке соединение (56,5 г, 84%). 1H ЯМР (300 МГц, ДМСО-d6) Пример 7 4-[5-(трет-Бутоксикарбониламинометил)-2-фторфенил]пиперидин Указанное в заголовке соединение получали аналогично получению 4-[3-(трет-бутоксикарбониламинометил)фенил]пиперидина, описанному в примере 1. Кратко, на стадии а) гидрохлорид 3-бром-4-фторбензиламина превращают в 1-(3-бром-4-фторбензил)-2,2,5,5-тетраметил-1-аза-2,5-дисилациклопентан. На стадии b) последнее соединение подвергают взаимодействию с n-BuLi и 1-бензил-4-пиперидоном при температуре от -75°С до -70°С, с получением 1-[3-(1-бензил-4-гидроксипиперидин-4-ил)-4-фторбензил]-2,2,5,5-тетраметил-1-аза-2,5-дисиланиклопентана, который обработкой ортофосфорной кислотой превращают в 3-(1-бензил-4-гидроксипиперидин-4-ил)-4-фторбензилвмин (в виде соли ортофосфорной кислоты) и затем в 3-(1-бензил-1,2,3,6-тетрагидропиридин-4-ил)-4-фторбензиламин. Затем реакция с Вoс2-О дает трет-бутиловый эфир 3-(1-бензил-1,2,3,6-тетратидропиридин-4-ил)-4-фторбензилкароаминовой кислоты. На стадии с) последнее соединение гидрируют и получают соль уксусной кислоты 4-[5-(трет-бутоксикарбониламинометил)-2-фторфенил]пиперидина, которую очищают растиранием в трет-бутилметиловом эфире. На стадии d) соль уксусной кислоты превращают в 4-[5-(трет-бутоксикарбониламинометил)-2-фторфенил]пиперидин, который осаждают из пентана в виде белого твердого вещества. 1H ЯМР (300 МГц, CDCl3)
Формула изобретения
1. Способ получения соединения формулы VI 2. Способ по п.1 получения 4-[3-(трет-бутоксикарбониламинометил)фенил]пиперидина или его соли, включающий стадии: 3. Способ получения соединения формулы VI 4. Способ по п.3 получения 4-[3-(трет-бутоксикарбониламинометил)фенил] пиперидина или его соли, включающий стадии: 5. Способ получения соединения формулы VI 6. Способ по п.5 получения 4-[3-(трет-бутоксикарбониламинометил)фенил] пиперидина или его соли, включающий стадии: 7. Соединение формулы IX 8. Соединение по п.7, которое является 1-[3-(1-бензил-4-гидроксипиперидин-4-ил)бензил]-2,2,5,5-тетраметил-1-аза-2,5-дисилациклопентаном. 9. Соединение формулы X 10. Соединение по п.9, которое является 3-(1-бензил-4-гидроксипиперидин-4-ил)бензиламином или его солью. 11. Соединение формулы XI 12. Соединение по п.11, которое является 3-(1-бензил-1,2,3,6-тетрагидропиридин-4-ил)бензиламином или его солью. 13. Соединение формулы XII 14. Соединение по п.13, которое является трет-бутиловым эфиром 3-(1-бензил-1,2,3,6-тетрагидропиридин-4-ил)бензилкарбаминовой кислоты или его солью. 15. Соединение формулы XIV 16. Соединение по п.15, которое является оксимом 3-(4-пиридил)бензальдегида или его солью. 17. Соединение формулы XV 18. Соединение по п.17, которое является 3-(4-пиридил)бензиламином или его солью. 19. Соединение формулы XVI 20. Соединение по п.19, которое является трет-бутиловым эфиром 3-(4-пиридил)бензилкарбаминовой кислоты или его солью.
|
||||||||||||||||||||||||||





































=7,4-7,1 (м, 4H), 4,0 (с, 2H), 0,8 (т, 4H), 0,2 (с, 12H).


















