|
|
(21), (22) Заявка: 2006112599/04, 13.09.2004
(24) Дата начала отсчета срока действия патента:
13.09.2004
(30) Конвенционный приоритет:
16.09.2003 GB 0321620.7 19.03.2004 GB 0406163.6
(43) Дата публикации заявки: 10.11.2007
(46) Опубликовано: 10.01.2010
(56) Список документов, цитированных в отчете о поиске:
WO 02/092578 A1, 12.11.2002. WO 03/040109 A1, 15.05.2003. WO 00/31048 A1, 02 06 2000. WO 01/94341 A1, 13.12. 2001. WO 00/55141 A1, 21 09.2000. TSOU H-R ET AL. “6-SUBSTITUTED-4-(3-BROMOPHENYLAMINQ)QUINA ZOL1NES AS PUTATIVE IRREVERSIBLE INHIBITORS OF THE EPIDERMAL GROWTH FACTOR RECEPTOR (EGFR) AND HUMAN EPIDERMAL GROWTH FACTOR RECEPTOR (HER-2)TYROSINE KINASES WITH ENHANCED ANTITUMOR ACTIVITY” JOURNAL OF MEDICINAL CHEMISTRY, AMERICAN CHEMICAL SOCIETY, 2001, p.2719-2734. LAURENT F. HENNEQUIN ET AL.: “Novel4-anilinoquinazolines with c-7 Basic sidechalns: Deslgn and structure activityrelationship of a series of Potent, OrallyActive, VEGF; Receptor Tyrosine Kinase inhibitors “JOURNAL OF MEDICINAL CHEMISTRY.,2002,vol. 45, no. 6, p.1300-1312. JEFF B. SMALL ET AL.: “Tyrosine kinase Inhibitors. 17. Irreversible Inhibitors of the Epidermal Growth Factor Receptor”JOURNAL OF MEDICINAL CHEMISTRY.,2000,vol. 43, no. 7, 6, pages 1380-1397. WO 01/32651 A1, 10.05. 2001. MICHEAL D. GAUL et al. “Discovery and Biological Evaluation of Potent Dual Er8-2/Egfr [tyrosine Kinase Inhybitors: 6-thyazolylquinazolines “Bioorganic & Medicinal Chemistry Letters, 02.2003. v.13, p.637-640.
(85) Дата перевода заявки PCT на национальную фазу:
17.04.2006
(86) Заявка PCT:
GB 2004/003923 20040913
(87) Публикация PCT:
WO 2005/026150 20050324
Адрес для переписки:
101000, Москва, М.Златоустинский пер., 10, кв.15, “ЕВРОМАРКПАТ”, пат.пов. И.А.Веселицкой, рег. 11
|
(72) Автор(ы):
ЭННЕКЕН Лоран Франсуа Андре (FR), ХАЛСАЛЛ Кристофер Томас (GB)
(73) Патентообладатель(и):
АСТРАЗЕНЕКА АБ (CH)
|
(54) ПРОИЗВОДНЫЕ ХИНАЗОЛИНА В КАЧЕСТВЕ ИНГИБИТОРОВ ТИРОЗИНКИНАЗЫ
(57) Реферат:
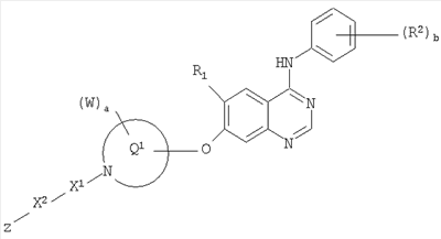
Изобретение относится к новым производным хиназолина формулы I или его фармацевтически приемлемым солям или сложным эфирам, обладающим свойствами ингибиторов тирозинкиназы и могут найти применение при лечении пролиферативных заболеваний, в частности при лечении злокачественного новообразования. В формуле I

R1 выбирают из гидрокси, С1-С4-алкокси, гидрокси(С2-С4-алкокси), С1-С3-алкокси-(С2-С4-алкокси) или из группы формулы: Q3-X3– в которой Х3 представляет собой О, и Q2 представляет собой азетидин-1-ил-С2-С4-алкил, пирролидин-1-ил-С2-С4-алкил, пиперидино-С2-С4-алкил, пиперазино-С2-С4-алкил или морфолино-С2-С4-алкил;
b представляет собой 1, 2 или 3; каждый R2, который может быть одинаковым или разным, выбран из фтора, хлора, брома, С1-С4-алкила, С2-С4-алкенила и С2-С4-aлкинилa; Ql пpeдcтaвляeт собой пиперидинил; а представляет собой 0; X1 обозначает СО; Х2 представляет собой группу формулы: -(СR12R13)p-(Q5)m-, где m представляет собой 0 или 1, р представляет собой 0, 1, 2, 3 или 4; каждый из R12 и R13, который может быть одинаковым или разным, выбирают из водорода, C1-С6-алкила, амино, C1-С6-алкиламино и ди-[С1-С6-алкил] амино, и Q5 представляет собой С3-С7циклоалкилен; Z выбирают из гидрокси, амино, C1-С6-алкиламино, ди-[С1-С6-алкил]амино, C1-С6-алкокси и группы формулы: Q6-X9-,в которой X9 представляет собой простую связь и Q6 представляет собой гетероциклил или гетероциклил-C1-С4алкил;при условии, что, если m и p представляют собой 0, то Z представляет собой гетероциклил. 12 н. и 20 з.п. ф-лы, 2 табл.
Текст описания приведен в факсимильном виде.                                                                                                                                                                
Формула изобретения
1. Производное хиназолина формулы I:
 где R1 выбирают из гидрокси, С1-С4-алкокси, гидрокси(С2-С4-алкокси), C1-С3-алкокси-(С2-С4-алкокси) или из группы формулы: Q2-X3-, в которой X3 представляет собой О, и Q2 представляет собой азетидин-1-ил-С2-С4-алкил, пирролидин-1-ил-С2-С4-алкил, пиперидино-С2-С4-алкил, пиперазино-С2-С4-алкил или морфолино-С2-С4-алкил; b представляет собой 1, 2 или 3; каждый R2, который может быть одинаковым или разным, выбран из фтора, хлора, брома, С1-С4-алкила, С2-С4-алкенила и С2-С4-алкинила; Q представляет собой пиперидинил; а представляет собой 0; X1 обозначает СО; Х2 представляет собой группу формулы: -(CR12R13)p-(Q5)m-, где m представляет собой 0 или 1, р представляет собой 0,1, 2, 3 или 4; каждый из R12 и R13, который может быть одинаковым или разным, выбирают из водорода, C1-С6-алкила, амино, C1-С6-алкиламино и ди-[С1-С6-алкил]амино, и Q5 представляет собой С3-С7циклоалкилен; Z выбирают из гидрокси, амино, C1-С6-алкиламино, ди-[С1-С6-алкил]амино, C1-С6-алкокси и группы формулы: Q6-Х9-, в которой X9 представляет собой простую связь, и Q6 представляет собой гетероциклил или гетероциклил-C1-С4алкил; при условии, что если m и p представляют собой 0, то Z представляет собой гетероциклил, и где любая СН2 или СН3 группа в пределах любой Z группы, отличающаяся от СН2 группы в пределах гетероциклического кольца, необязательно имеет на каждой указанной СН2 или СН3 группе заместитель, выбранный из гидрокси и C1-С6-алкокси, и где любая гетероциклическая группа в пределах Z заместителя выбрана из тетрагидрофуранила, 1,3-диоксоланила, тетрагидропиранила, 1,4-диоксанила, оксепанила, пирролидинила, морфолинила, пиперидинила, гомопиперидинила, пиперазинила и гомопиперазинила, и при этом любая гетероциклическая группа в пределах заместителя Z необязательно имеет один или несколько заместителей, которые могут быть одинаковыми или разными и которые выбирают из гидрокси, C1-С6-алкила, C1-С6-алкокси и С2-С6-алканоила, при условии, что: если 4-анилиногруппа в формуле I представляет собой 4-бром-2-фторанилино или 4-хлор-2-фторанилино, и R1 представляет собой C1-С3-алкокси, то а представляет собой 0, и Z выбирают из гидрокси, амино, C1-С6-алкиламино, ди-[С1-С6-алкил]амино, C1-С6-алкокси и группы формулы Q6-Х9-; или его фармацевтически приемлемая соль, или его фармацевтически приемлемый сложный эфир.
2. Производное хиназолина формулы I или его фармацевтически приемлемая соль или его фармацевтически приемлемый сложный эфир по п.1, в которой R1 выбирают из C1-C4-алкокси, гидрокси(С2-С4-алкокси) и С1-С3-алкокси-(С2-С3-алкокси).
3. Производное хиназолина формулы I или его фармацевтически приемлемая соль или его фармацевтически приемлемый сложный эфир по п.1, в которой R1 представляет собой C1-С3-алкокси.
4. Производное хиназолина формулы I или его фармацевтически приемлемая соль или его фармацевтически приемлемый сложный эфир по п.1, в которой R1 представляет собой метокси.
5. Производное хиназолина формулы I или его фармацевтически приемлемая соль или его фармацевтически приемлемый сложный эфир по любому из пп.1-4, в которой анилиногруппу в 4-м положении хиназолинового кольца в соединении формулы I выбирают из 3-хлор-4-фторанилино, 3-бром-2-фторанилино, 3-хлор-2-фторанилино, 2-фтор-5-хлоранилино, 3-этиниланилино и 3-броманилино.
6. Производное хиназолина формулы I или его фармацевтически приемлемая соль или его фармацевтически приемлемый сложный эфир по любому из пп.1-4, в которой анилиногруппу в 4-м положении хиназолинового кольца в соединении формулы I выбирают из 3-хлор-2-броманилино, 3-хлор-2-фторанилино, 3-этиниланилино и 3-броманилино.
7. Производное хиназолина формулы I или его фармацевтически приемлемая соль или его фармацевтически приемлемый сложный эфир по любому из пп.1-6, в которой: X2 выбирают из группы формул -СН2-, -CH2СН2-, -(CHR12a)-, -(СН12aСH2)-, -(C(R12a)2СН2)-, -(CH2C(R12a)2)- и -(CH2CHR12a)-, где каждый R12a, который может быть одинаковым или разным, представляет собой C1-С4-алкил.
8. Производное хиназолина формулы I или его фармацевтически приемлемая соль или его фармацевтически приемлемый сложный эфир по любому из пп.1-7, в которой: Z выбирают из гидрокси, амино, C1-С6-алкиламино, ди[С1-С6-алкил]амино, C1-С6-алкокси, гидрокси-С2-С6-алкокси, C1-C4-алкокси-С2-С6-алкокси и группы формулы: Q6-X9-, в которой X9 представляет собой простую связь, и Q6 представляет собой гетероциклил, и при условии, что если m и p представляют собой 0, то Z представляет собой гетероциклил, связанный с Х с помощью кольцевого атома углерода, и где любая гетероциклическая группа в Z выбрана из тетрагидрофуранила, 1,3-диоксоланила, тетрагидропиранила, 1,4-диоксанила, оксепанила, пирролидинила, морфолинила, пиперидинила, гомопиперидинила, пиперазинила и гомопиперазинила, и где любая гетероциклическая группа в пределах Z заместителя необязательно имеет один или несколько заместителей, которые могут быть одинаковыми или разными, выбранных из гидрокси, С1-С4-алкила, С1-С4-алкокси и С2-С4-алканоила.
9. Производное хиназолина формулы I или его фармацевтически приемлемая соль или его фармацевтически приемлемый сложный эфир по любому из пп.1-8, в которой: Z представляет собой гидрокси или С1-С4-алкокси; и сумма m+p равна по меньшей мере 1.
10. Производное хиназолина формулы I или его фармацевтически приемлемая соль или его фармацевтически приемлемый сложный эфир по любому из пп.1-6, в которой X2 выбирают из группы формул -СН2-, -CH2СН2-, -(CHR12a)-, -(СН12aСH2)-, -(C(R12a)2СН2)-, -(CH2C(R12a)2)- и -(CH2CHR12a)-, где каждый R12a, который может быть одинаковым или разным, представляет собой C1-С4-алкил; и Z представляет собой гидрокси или С1-С4-алкокси.
11. Производное хиназолина формулы I или его фармацевтически приемлемая соль или его фармацевтически приемлемый сложный эфир по любому из пп.1-10, в которой: Q1 представляет собой пиперидин-4-ил; и а равен 0.
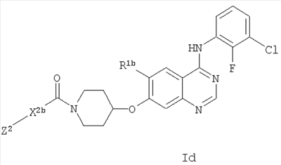
12. Производное хиназолина формулы I или его фармацевтически приемлемая соль или его фармацевтически приемлемый сложный эфир по п.1 формулы Id:
 в которой Rlb представляет собой С1-С4-алкокси, X2b выбирают из группы формул -CH2-, -CH2CH2-, -(CHR12)-, -(СНR12СН2)- и -(CH2CHR12)- где R12 представляет собой C1-С3-алкил; и Z2 выбирают из гидрокси, C1-С3-алкокси, гидрокси-С2-С3-алкокси, C1-С3-алкокси- С2-С3-алкокси, тетрагидрофуран-2-ила, тетрагидрофуран-3-ила, 1,3-диоксоланила, тетрагидропиранила и 1,4-диоксанила; и где любая гетероциклическая группа в пределах Z2-Х2b необязательно имеет 1 или 2 заместителя, которые могут быть одинаковыми или разными, выбранных из гидрокси, C1-С3-алкила, C1-С3-алкокси и С2-С3-алканоила; или его фармацевтически приемлемая соль, или его фармацевтически приемлемый сложный эфир.
13. Производное хиназолина по п.12 или его фармацевтически приемлемая соль или его фармацевтически приемлемый сложный эфир, в котором Z2 представляет собой гидрокси, и R12 представляет собой C1-C3-алкил.
14. Производное хиназолина по п.12 или его фармацевтически приемлемая соль или его фармацевтически приемлемый сложный эфир, в котором: R1b представляет собой C1-С3-алкокси; и группу Z2 -X2b – выбирают из гидроксиметила, метоксиметила, (S)-1-гидроксиэтила, (R)-1-гидроксиэтила, (S)-1-метоксиэтилаи (R)-1-метоксиэтила.
15. Производное хиназолина формулы I по п.1, выбранное из: N-(3-хлор-2-фторфенил)-7-({1-[(диметиламино)ацетил]пиперидин-4-ил} окси)-6-метоксихиназолин-4-амина; N-(3-хлор-2-фторфенил)-6-метокси-7-({1-[(2-метоксиэтокси)ацетил]пиперидин-4-ил}окси)хиназолин-4-амина; N-(3-хлор-2-фторфенил)-6-метокси-7-{[1-(метоксиацетил)пиперидин-4-ил]окси}хиназолин-4-амина; 2-[4-({4-[3-хлор-2-фторанилино]-6-метоксихиназолин-7-ил}окси)пиперидин-1-ил]-2-оксоэтанола; N-(3-хлор-2-фторфенил)-7-{[1-(этоксиацетил)пиперидин-4-ил]окси}-6-метоксихиназолин-4-амина; N-(3-хлор-2-фторфенил)-6-метокси-7-{[1-(3-метоксипропаноил)пиперидин-4-ил]окси}хиназолин-4-амина; 3-[4-({4-[3-хлор-2-фторанилино]-6-метоксихиназолин-7-ил}окси)пиперидин-1-ил]-3-оксопропан-1-ола; (2S)-1-[4-({4-[3-хлор-2-фторанилино]-6-метоксихиназолин-7-ил}окси)пиперидин-1-ил]-1-оксопропан-2-ола; (2S,3S)-1-[4-({4-[3-хлор-2-фторанилино]-6-метоксихиназолин-7-ил}окси)пиперидин-1-ил]-3-метил-1-оксопентан-2-ола; 4-[4-({4-[3-хлор-2-фторанилино]-6-метоксихиназолин-7-ил}окси)пиперидин-1-ил]-2-метил-4-оксобутан-2-ола; N-(3-хлор-2-фторфенил)-6-метокси-7-{[1-(тетрагидрофуран-2-илкарбонил)пиперидин-4-ил]окси}хиназолин-4-амина; 3-[4-({4-[3-хлор-2-фторанилино]-6-метоксихиназолин-7-ил}окси)пиперидин-1-ил]-2,2-диметил-3-оксопропан-1-ола; (3R,5S)-1-ацетил-5-{[4-({4-[3-хлор-2-фторанилино]-6-метоксихиназолин-7-ил}окси)пиперидин-1-ил]карбонил}пирролидин-3-ола; и N-(3-хлор-2-фторфенил)-6-метокси-7-({1-[(4-метилпиперазин-1-ил)ацетил]пиперидин-4-ил} окси)хиназолин-4-амина; или его фармацевтически приемлемой соли или его фармацевтически приемлемого сложного эфира.
16. Производное хиназолина формулы I, выбранное из: N-(3-хлор-2-фторфенил)-6-метокси-7-{[1-(метоксиацетил)пиперидин-4-ил]окси}хиназолин-4-амина; 2-[4-({4-[3-хлор-2-фторанилино]-6-метоксихиназолин-7-ил}окси)пиперидин-1-ил]-2-оксоэтанола; N-(3-хлор-2-фторфенил)-7-{[1-(этоксиацетил)пиперидин-4-ил]окси}-6-метоксихиназолин-4-амина; (2S)-1-[4-({4-[3-хлор-2-фторанилино]-6-метоксихиназолин-7-ил}окси)пиперидин-1-ил]-1-оксопропан-2-ола; 3-[4-({4-[3-хлор-2-фторанилино]-6-метоксихиназолин-7-ил}окси)пиперидин-1-ил]-2,2-диметил-3-оксопропан-1-ола; (2S)-1-[4-({4-[3-хлор-2-фторанилино]-6-метоксихиназолин-7-ил}окси)пиперидин-1-ил]-3,3-диметил-1-оксобутан-2-ола; N-(3-хлор-2-фторфенил)-6-метокси-7-{[1-(1-метил-L-пролил)пиперидин-4-ил]окси}хиназолин-4-амина; N-(3-хлор-2-фторфенил)-6-метокси-7-({1-[(2R)-тетрагидрофуран-2-илкарбонил]пиперидин-4-ил}окси)хиназолин-4-амина; (2R)-1-[4-({4-[3-хлор-2-фторанилино]-6-метоксихиназолин-7-ил}окси)пиперидин-1-ил]-1-оксопропан-2-ола; N-(3-хлор-2-фторфенил)-6-метокси-7-({1-[(2S)-2-метоксипропаноил]пиперидин-4-ил}окси)хиназолин-4-амина; N-(3-хлор-2-фторфенил)-6-метокси-7-({1-[(2R)-2-метоксипропаноил]пиперидин-4-ил}окси)хиназолин-4-амина; (2R)-3-[4-({4-[3-хлор-2-фторанилино]-6-метоксихиназолин-7-ил}окси)пиперидин-1-ил]-2-(диметиламино)-3-оксопропан-1-ола; (2S)-1-[4-({4-[(3-хлор-4-фторанилино]-6-метоксихиназолин-7-ил}окси)пиперидин-1-ил]-1-оксопропан-2-ола; (2S)-1-[4-({4-[3-броманилино]-6-метоксихиназолин-7-ил}окси)пиперидин-1-ил]-1-оксопропан-2-ола; (2S)-1-[4-({4-[3-бром-2-фторанилино]-6-метоксихиназолин-7-ил}окси)пиперидин-1-ил]-1-оксопропан-2-ола; (2R)-1-[4-({4-[3-бром-2-фторанилино]-6-метоксихиназолин-7-ил}окси)пиперидин-1-ил]-1-оксопропан-2-ола; и (2R)-1-[4-({4-[3-броманилино]-6-метоксихиназолин-7-ил}окси)пиперидин-1-ил]-1-оксопропан-2-ола; или его фармацевтически приемлемой соли или его фармацевтически приемлемого сложного эфира.
17. Производное хиназолина формулы I по п.1, которое представляет собой 2-[4-({4-[3-хлор-2-фторанилино]-6-метоксихиназолин-7-ил}окси)пиперидин-1-ил]-2-оксоэтанол или его фармацевтически приемлемую соль.
18. Производное хиназолина формулы I по п.1, которое представляет собой (2S)-1-[4-({4-[3-хлор-2-фторанилино]-6-метоксихиназолин-7-ил}окси)пиперидин-1-ил]-1-оксопропан-2-ол или его фармацевтически приемлемую соль.
19. Производное хиназолина формулы I по п.1, которое представляет собой (2S)-1-[4-({4-[3-бром-2-фторанилино]-6-метоксихиназолин-7-ил}окси)пиперидин-1-ил]-1-оксопропан-2-ол или его фармацевтически приемлемую соль.
20. Производное хиназолина формулы I по п.1, которое представляет собой (2R)-1-[4-({4-[3-бром-2-фторанилино]-6-метоксихиназолин-7-ил}окси)пиперидин-1-ил]-1-оксопропан-2-ол или его фармацевтически приемлемую соль.
21. Производное хиназолина формулы I по любому из пп.1-20 или его фармацевтически приемлемая соль.
22. Фармацевтическая композиция, обладающая антипролиферативным действием, которая содержит производное хиназолина формулы I или его фармацевтически приемлемую соль или его фармацевтически приемлемый сложный эфир по любому из пп.1-21 в сочетании с фармацевтически приемлемым разбавителем или носителем.
23. Применение производного хиназолина формулы I или его фармацевтически приемлемой соли или его фармацевтически приемлемого сложного эфира по любому из пп.1-21 для приготовления лекарственного средства для лечения пролиферативного заболевания.
24. Способ получения антипролиферативного действия, включающий введение эффективного количества производного хиназолина формулы I, его фармацевтически приемлемой соли или его фармацевтически приемлемого сложного эфира, как определено в любом из пп.1-21.
25. Способ лечения злокачественного новообразования, включающий введение эффективного количества производного хиназолина формулы I, его фармацевтически приемлемой соли или его фармацевтически приемлемого сложного эфира, как определено в любом из пп.1-21.
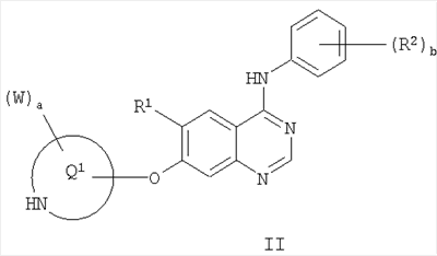
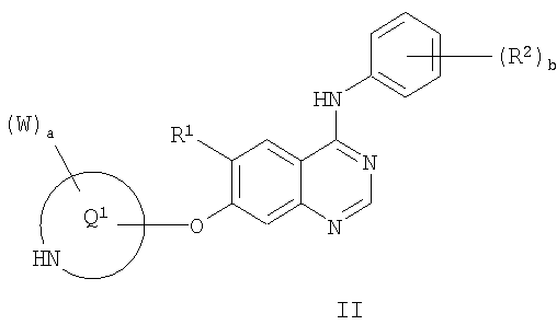
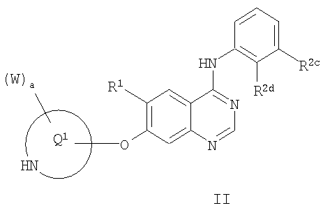
26. Способ получения производного хиназолина формулы I, как определено в п.1, который предусматривает сочетание хиназолина формулы II или его соли:
 где R1, R2, W, a, b и Q1 имеют значения, указанные в п.1, за исключением того, что любая функциональная группа, при необходимости, защищена, с кислотой формулы III или ее реакционноспособным производным IV:
или  где Z и X2 имеют значения, указанные в п.1, в которой L1 представляет собой вытесняемую группу, и Z, X1 и X2 имеют значения, указанные в п.1, за исключением того, что любая функциональная группа, при необходимости, защищена; и затем, при необходимости (в любой последовательности): удаление любых присутствующих защитных групп и образование фармацевтически приемлемой соли или фармацевтически приемлемого сложного эфира производного хиназолина формулы I.
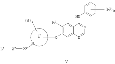
27. Способ получения производного хиназолина формулы I, как определено в п.1, который предусматривает: для получения тех производных хиназолина формулы I, в которых Z связан с X2 с помощью атома азота, взаимодействие соединения формулы V:
 в которой L2 представляет собой вытесняемую группу, и R1, R2, W, X1, X2, a, b и Q1 имеют значения, указанные в п.1, за исключением того, что любая функциональная группа, при необходимости, защищена, с соединением формулы ZH, где Z имеет значения, указанные выше, за исключением того, что любая функциональная группа, при необходимости, защищена; и затем, при необходимости (в любой последовательности): удаление любых присутствующих защитных групп и образование фармацевтически приемлемой соли или фармацевтически приемлемого сложного эфира производного хиназолина формулы I.
28. Способ получения производного хиназолина формулы I, как определено в п.1, который предусматривает: для получения тех производных хиназолина, которые имеют моно- или ди-С1-С6-алкиламиногруппу, восстановительное аминирование соответствующего производного хиназолина формулы I, который содержит N-H группу, с помощью формальдегида или C2-С6-алканолальдегида; и затем, при необходимости (в любой последовательности): удаление любых присутствующих защитных групп и образование фармацевтически приемлемой соли или фармацевтически приемлемого сложного эфира производного хиназолина формулы I.
29. Способ получения производного хиназолина формулы I, как определено в п.1, который предусматривает: для получения тех производных хиназолина формулы I, в которых R1 представляет собой гидрокси, расщепление производного хиназолина формулы I, в котором R1 представляет собой C1-С6-алкоксигруппу; и затем, при необходимости (в любой последовательности): удаление любых присутствующих защитных групп и образование фармацевтически приемлемой соли или фармацевтически приемлемого сложного эфира производного хиназолина формулы I.
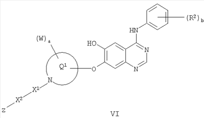
30. Способ получения производного хиназолина формулы I, как определено в п.1, который предусматривает: для получения тех производных хиназолина формулы I, в которых R1 связан с хиназолиновым кольцом с помощью атома кислорода, сочетание соединения формулы VI:
 где R2, W, X1, X2, Z, a, b и Q1 имеют значения, указанные в п.1, за исключением того, что любая функциональная группа, при необходимости, защищена, с соединением формулы R1′OH, в которой R1′О представляет собой одну из кислород-связанных групп, как определено для R1 в п.1, за исключением того, что любая функциональная группа, при необходимости, защищена; и затем, при необходимости (в любой последовательности): удаление любых присутствующих защитных групп и образование фармацевтически приемлемой соли или фармацевтически приемлемого сложного эфира производного хиназолина формулы I.
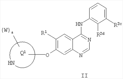
31. Производное хиназолина формулы II:
 в которой R1 и Q1 и а имеют значения, указанные в п.1; и R2c и R2d, которые могут быть одинаковыми или разными и представляют собой галоген; или его соль.
32. Производное хиназолина формулы II или его соль по п.32, в которой R1 обозначает метокси, R2d обозначает фтор, и R2c обозначает хлор.
РИСУНКИ
|
|