|
|
(21), (22) Заявка: 2008101661/04, 21.06.2006
(24) Дата начала отсчета срока действия патента:
21.06.2006
(30) Конвенционный приоритет:
24.06.2005 CN 200510027131.X
(43) Дата публикации заявки: 27.07.2009
(46) Опубликовано: 10.01.2010
(56) Список документов, цитированных в отчете о поиске:
Bulletin of the Chemical Society of Japan, 08.1993, vol.66, no.8, pages 2190-2195. CN 1626521 A, 15.06.2005. RU 2195443 C2, 27.12.2002.
(85) Дата перевода заявки PCT на национальную фазу:
24.01.2008
(86) Заявка PCT:
CN 2006/001410 20060621
(87) Публикация PCT:
WO 2006/136101 20061228
Адрес для переписки:
107061, Москва, Преображенская пл., 6, ООО Фирма патентных поверенных “ИННОТЭК”, пат.пов. О.Д.Запаре, рег. 735
|
(72) Автор(ы):
ВАН Мингвей (CN), ЛИ На (CN), ВАН Гуанчжин (CN), ЧЖИЕ Чжинь (CN), ЛИУ Чхин (CN), ЧЖОУ Кайхон (CN), НАНЬ Фаджунь (CN)
(73) Патентообладатель(и):
ШАНХАЙ ИНСТИТЬЮТ ОФ МАТЕРИА МЕДИКА, ЧАЙНИЗ АКЭДЕМИ ОФ САЙЕНСИЗ (CN)
|
(54) ЗАМЕЩЕННОЕ ЦИКЛИЧЕСКОЕ СОЕДИНЕНИЕ, СПОСОБ ЕГО ПОЛУЧЕНИЯ И ЕГО ЛЕКАРСТВЕННОЕ ПРИМЕНЕНИЕ
(57) Реферат:
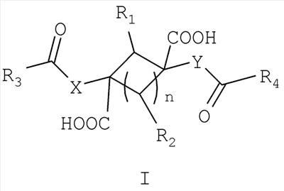
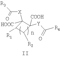
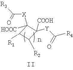
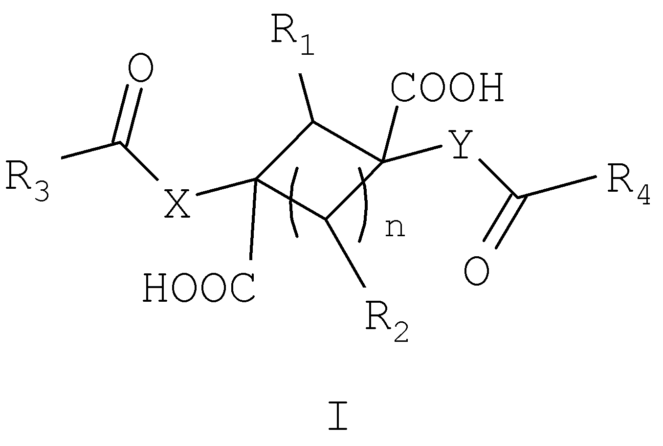
Изобретение относится к новым замещенным циклическим соединениям нижеследующей общей формулы I или II или к его фармацевтически приемлемым солям и ко всем его стереоизомерам и оптическим изомерам:
 
где n равно 1, Х и Y представляют собой NH; R1 и R2 независимо представляют собой один из заместителей, выбранных из группы, состоящей из арила; 2-, 3- или 4-пиридила; арила, замещенного одной, двумя или тремя группами, выбранными из С1-С4алкила, нитро, карбоксила, альдегида, алкокси, амино, амидо, карбамида, меркапто, метилтио, этилтио; 2-, 3- или 4-пиридила, замещенного одной, двумя или тремя группами, выбранными из С1-С4алкила, нитро, карбоксила, альдегида, алкокси, амино, амидо, карбамида, меркапто, метилтио, этилтио; R3 и R4 независимо представляют собой один из заместителей, выбранных из группы, состоящей из арила; 2-, 3- или 4-пиридила; арила, замещенного одной, двумя или тремя группами, выбранными из С1-С4алкила, нитро, карбоксила, альдегида, алкокси, амино, амидо, карбамида, меркапто, метилтио, этилтио; 2-, 3- или 4-пиридила, замещенного одной, двумя или тремя группами, выбранными из C1-С4алкила, нитро, карбоксила, альдегида, алкокси, амино, амидо, карбамида, меркапто, метилтио, этилтио. Изобретение также относится к способу получения ряда замещенных циклических соединений и их солей по любому из п.п.1-4, к фармацевтической композиции, к применению, к способу лечения или профилактики заболеваний, а также к набору. Технический результат – получение новых биологически активных соединений, пригодных для лечения или профилактики заболеваний или симптомов, вызванных или сопровождаемых нарушением секреции и/или функции инсулина. 6 н. и 7 з.п. ф-лы, 3 табл, 6 ил.
Область техники, к которой относится изобретение
Настоящее изобретение относится к замещенному циклическому соединению, способу его получения и его лекарственному применению в качестве регулятора рецептора подобного глюкагону пептида-1 (GLP-1R) при профилактике или лечении метаболических нарушений (включающих, но не ограничивающихся перечисленным, сахарный диабет, инсулинорезистентность и ожирение и так далее).
Уровень техники
Сахарный диабет является клиническим синдромом, вызванным сочетанием различных факторов, включающих в себя генетические особенности и окружающие условия. Диабет в прежде всего делят на тип I и тип II. Основной патофизиологический механизм сахарного диабета типа I относится к абсолютной гипосекреции инсулина, такой диабет лечат клинически в основном пополнением инсулина и поэтому его называют также инсулинзависимым сахарным диабетом. Свыше 95% пациентов страдают сахарным диабетом типа II. При клиническом исследовании обнаружено, что большинство пациентов, страдающих сахарным диабетом типа II, могут синтезировать нормальный или даже избыточный уровень инсулина, но поскольку восприимчивость клетки-мишени к инсулину снижена (которую называют также «инсулинорезистентность»), что вызывает относительную недостаточность инсулина, такой тип сахарного диабета называют также инсулиннезависимым сахарным диабетом. Инсулинорезистентность является ключевым фактором во время появления и развития сахарного диабета типа II.
Поскольку патогенезы указанных выше двух типов сахарного диабета являются разными, лекарственные средства для лечения их являются значительно разными. В настоящее время лекарственные средства для лечения сахарного диабета типа I в основном включают в себя экзогенный инсулин (включающий генетически рекомбинантный инсулин человека и инсулин животного), лекарственные средства, обладающие инсулиноподобным действием, инсулиноподобный фактор-1 роста и гипогликемическая таблетка Jin Qi и так далее. Лекарственные средства для лечения сахарного диабета типа II включают в себя сульфонилмочевины, бигуаниды, другие сенсибилизирующие инсулин агенты и вспомогательные средства и так далее.
После того как сульфонилмочевины как гипогликемические лекарственные средства связываются с рецепторами мембран -клеток панкреатического островка, каналы калиевых ионов закрываются, тем самым блокируя вытекание ионов калия и индуцируя деполяризацию мембраны клетки, так что каналы Са2+ открываются, позволяя внеклеточным ионам кальция втекать внутрь. Повышение концентрации внутриклеточных ионов кальция запускает механизм высвобождение инсулина. Сульфонилмочевинные гипогликемические лекарственные средства можно разделить на две генерации согласно их времени вступления в действие. Первая генерация включает в себя толпропамид и вторая генерация включает в себя глибенкламид (диабета), гликлазид (диамикрон), глипизид (минидиаб) и глихидон и так далее.
Бигуанидные гипогликемические лекарственные средства могут подавлять аппетит, повышать связывание инсулина с рецепторами, стимулировать анаэробный гликолиз глюкозы в клетках, ингибировать тканевое дыхание и ингибировать печеночный глюконеогенез. Бигуанидные гипогликемические лекарственные средства включают в себя метформин, фенформин и буформин.
Другие гипогликемические лекарственные средства в основном включают в себя тиазолидиендионовые лекарственные средства (такие как троглитазон, розиглитазон и пиоглитазон и так далее), регуляторы 3-адренорецептора, антагонисты рецептора глюкагона, агенты, препятствующие метаболизму жирных кислот, ингибиторы -гликозидазы (такие как акарбоза, воглибоза, миглитол и так далее) и ингибиторы альдозаредуктазы и тому подобное.
Интенсивное исследование по связанному с гликометаболизмом эндогенному пептидному гормону обеспечивает новую идею для лечения сахарного диабета. Когда организм человека потребляет питательные вещества, энтероэндокринные клетки высвобождают энтеропептидный гормон, в основном включающий в себя подобный глюкагону пептид-1 (GLP-1) и глюкозазависимый инсулинотропный пептид (GIP), который регулирует метаболизм организма посредством воздействия на генерацию инсулина, перистальтику желудочно-кишечного тракта, пролиферацию клеток панкреатических островков и так далее. GLP-1 секретируется брюшными клетками Лангерганса и активирует аденилатциклазу, тем самым повышая уровень цАМФ специфическим связыванием с рецептором GLP-1 -клеток панкреатических островков, так чтобы далее активировать протеинкиназу. Метаболический сигнал (гликометаболизм) и сигнал киназы (связывание с GLP-1) объединяются у уровня клеточной мембраны, чтобы в конце концов вызвать открытие Са2+-каналов и втекание потока Са2+-ионов внутрь, тем самым дополнительно стимулируя секрецию инсулина при ингибировании генерации глюкагона, так чтобы возникающая после приема пищи концентрация сахара в крови понижалась и сохранялась на постоянном уровне. Кроме того, GLP-1 обладает функцией нейрорегуляции и может замедлять опорожнение желудка и подавлять аппетит. Обычно действие GLP-1 на стимуляцию секреции инсулина зависит от концентрации сахара в крови. Когда концентрация глюкозы в крови снижается, влияние GLP-1 на стимуляцию секреции инсулина соответственно снижается, а именно проявляется самоограниченный гипогликемический эффект, и, таким образом, не будет иметь место гипогликемия. Лекарственные средства с действием, подобным действию GLP-1, являются очень желательными для лечения сахарного диабета.
GLP-1, который непосредственно инъецируют пациентам с диабетом в течение непрерывных 6 недель, может эффективно регулировать уровни сахара и свободных жирных кислот в крови и улучшать функцию -клеток. Поскольку период полувыведения GLP-1 из организма меньше, чем 5 минут, его клиническое применение является очень ограниченным. Аналог GLP-1, который связывается с альбумином и разработан Novo Nordisk Co., Danmark (Trade Name “Liraglutide”), может иметь период полувыведения из организма до 10 часов. Результат фазы I клинического исследования показал, что это лекарственное средство может несомненно улучшить симптомы сахарного диабета при отсутствии значительного вирулентного побочного действия. Можно прогнозировать, что вскоре будет проведена фаза III клинического исследования. Эксендин-4 (называемый также как АС2993, с фирменным названием эксенатид) является аналогом GLP-1 (полипептид, состоящий из 39 аминокислот), разработанным Amylin Medical Co., USA, и первоначально выделенным из слюны Американского ядозуба. При клинических исследованиях обнаружено, что у волонтеров с нормальным здоровьем эксендин-4 может задерживать опорожнение желудка, подавлять аппетит и стимулировать секрецию инсулина у пациентов с диабетом типа II4. Экстендин-4 может стимулировать секрецию инсулина и явно снижать концентрации сахара и глюкагона в крови после приема пищи и может снижать массу тела пациентов после длительного применения. Побочные действия, являющиеся результатом его применения, в основном включают в себя временные головные боли, тошноту и рвоту. Эксендин-4 был разрешен Американским FDA (Департамент по контролю за качеством пищевых продуктов, медикаментов и косметических средств) для продажи в качестве лекарственных средств для лечения диабета типа II в конце апреля 2005. Благодаря применению технологии Alkerme Co. регулируемого высвобождения медисорба препарат с регулируемым высвобождением на основе эксендина-4, AC2993LAR, который разработан Amylin Со. и который необходимо инъецировать только один раз в месяц, находится на фазе II клинического испытания. На основании действия агонистов GLP-1R по стимуляции роста и пролиферации -клеток панкреатических островков Американский NIH (Национальный институт здоровья) начал фазу I клинического испытания применения эксендина-4 9АС2993) для лечения сахарного диабета типа I. Поскольку полипептидные лекарственные средства являются неподходящими для перорального введения, различные международные фармацевтические организации сосредоточили свои усилия на изучении непептидных регуляторов GLP-1R и разработке новых типов лекарственных средств для лечения сахарного диабета, которые являются независимой интеллектуальной собственностью. Однако в настоящее время не имеется публикаций по непептидным регуляторам GLP-1R, за исключением GLP-1 и его аналогов.
Содержание изобретения
Задачей настоящего изобретения является предоставление соединения нижеследующей общей формулы I или II и его фармацевтически приемлемых солей.
Другой задачей настоящего изобретения является предоставление способа получения соединения нижеследующей общей формулы I или II.
Еще одной задачей настоящего изобретения является предоставление фармацевтической композиции, включающей в себя соединение нижеследующей общей формулы I или II.
Еще одной задачей настоящего изобретения является лекарственное применение соединения нижеследующей общей формулы I или II в качестве регулятора рецептора подобного глюкагону пептида-1 при профилактике или лечении метаболических нарушений (включающих в себя, но не ограничивающихся перечисленным, диабет, инсулинорезистентнось и ожирение и так далее).
Изобретение предлагает регуляторы рецептора подобного глюкагону пептида-1, тем самым добавляя члены к группе лекарственных средств для профилактики и лечения диабета. Изобретение относится к соединению нижеследующей общей формулы I или II и его фармацевтически приемлемым солям и всем его стереоизомерам и оптическим изомерам или его пролекарствам, имеющим одинаковое с ним фармакологическое действие, сложным эфирам, сольватам или комплексам металлов:
 
где n равно любому числу в диапазоне 0-3 и Х и Y независимо представляют собой О, S или N;
где R1 и R2 независимо представляют собой один из заместителей, выбранных из группы, состоящей из водорода, галогена, алкана, циклоалкана, гидроксила, нитро, карбоксила, альдегида, алкокси, амино, алкиламино, амидо, карбамида, меркапто, алкилтио, простого эфира, простого тиоэфира, арила, 2-, 3- или 4-пиридила. фурила, пиранила, тиенила, пирролила; арила, замещенного одной, двумя или тремя группами, выбранными из С1-С4алкила, нитро, карбоксила, альдегида, алкокси, амино, амидо, карбамида, меркапто, метилтио, этилтио; 2-, 3- или 4-пиридила, замещенного одной, двумя или тремя группами, выбранными из С1-С4алкила, нитро, карбоксила, альдегида, алкокси, амино, амидо, карбамида, меркапто, метилтио, этилтио; фурила, замещенного одной, двумя или тремя группами, выбранными из С1-С4алкила, нитро, карбоксила, альдегида, алкокси, амино, амидо, карбамида, меркапто, метилтио, этилтио; пиранила, замещенного одной, двумя или тремя группами, выбранными из С1-С4алкила, нитро, карбоксила, альдегида, алкокси, амино, амидо, карбамида, меркапто, метилтио, этилтио; тиенила, замещенного одной, двумя или тремя группами, выбранными из С1-С4алкила, нитро, карбоксила, альдегида, алкокси, амино, амидо, карбамида, меркапто, метилтио, этилтио; пирролила, замещенного одной, двумя или тремя группами, выбранными из С1-С4алкила, нитро, карбоксила, альдегида, алкокси, амино, амидо, карбамида, меркапто, метилтио, этилтио;
R3 и R4 независимо представляют собой один из заместителей, выбранных из группы, состоящей из водорода, алкана, циклоалкана, алкокси, амино, алкиламино, амидо, карбамида, алкилтио, арила, 2-, 3- или 4-пиридила, фурила, пиранила, тиенила, пирролила; арила, замещенного одной, двумя или тремя группами, выбранными из С1-С4алкила, нитро, карбоксила, альдегида, алкокси, амино, амидо, карбамида, меркапто, метилтио, этилтио; 2-, 3- или 4-пиридила, замещенного одной, двумя или тремя группами, выбранными из С1-С4алкила, нитро, карбоксила, альдегида, алкокси, амино, амидо, карбамида, меркапто, метилтио, этилтио; фурила, замещенного одной, двумя или тремя группами, выбранными из С1-С4алкила, нитро, карбоксила, альдегида, алкокси, амино, амидо, карбамида, меркапто, метилтио, этилтио; пиранила, замещенного одной, двумя или тремя группами, выбранными из С1-С4алкила, нитро, карбоксила, альдегида, алкокси, амино, амидо, карбамида, меркапто, метилтио, этилтио; тиенила, замещенного одной, двумя или тремя группами, выбранными из
C1-С4алкила, нитро, карбоксила, альдегида, алкокси, амино, амидо, карбамида, меркапто, метилтио, этилтио; пирролила, замещенного одной, двумя или тремя группами, выбранными из С1-С4алкила, нитро, карбоксила, альдегида, алкокси, амино, амидо, карбамида, меркапто, метилтио, этилтио.
Соединение формулы I и II, предпочтительно, характеризуется тем, что, когда n равно 0, R1 представляет собой один из заместителей, выбранных из группы, состоящей из водорода, галогена, алкана, циклоалкана, гидроксила, нитро, карбоксила, альдегида, алкокси, амино, алкиламино, амидо, карбамида, меркапто, алкилтио, простого эфира, простого тиоэфира, арила, 2-, 3- или 4-пиридила, фурила, пиранила, тиенила, пирролила; арила, замещенного одной, двумя или тремя группами, выбранными из С1-С4алкила, нитро, карбоксила, альдегида, алкокси, амино, амидо, карбамида, меркапто, метилтио, этилтио; 2-, 3- или 4-пиридила, замещенного одной, двумя или тремя группами, выбранными из С1-С4алкила, нитро, карбоксила, альдегида, алкокси, амино, амидо, карбамида, меркапто, метилтио, этилтио; фурила, замещенного одной, двумя или тремя группами, выбранными из С1-С4алкила, нитро, карбоксила, альдегида, алкокси, амино, амидо, карбамида, меркапто, метилтио, этилтио; пиранила, замещенного одной, двумя или тремя группами, выбранными из С1-С4алкила, нитро, карбоксила, альдегида, алкокси, амино, амидо, карбамида, меркапто, метилтио, этилтио; тиенила, замещенного одной, двумя или тремя группами, выбранными из С1-С4алкила, нитро, карбоксила, альдегида, алкокси, амино, амидо, карбамида, меркапто, метилтио, этилтио; пирролила, замещенного одной, двумя или тремя группами, выбранными из С1-С4алкила, нитро, карбоксила, альдегида, алкокси, амино, амидо, карбамида, меркапто, метилтио, этилтио;
R3 и R4 независимо представляют собой один из заместителей, выбранных из группы, состоящей из водорода, алкана, циклоалкана, алкокси, амино, алкиламино, амидо, карбамида, алкилтио, арила, 2-, 3- или 4-пиридила, фурила, пиранила, тиенила, пирролила; арила, замещенного одной, двумя или тремя группами, выбранными из С1-С4алкила, нитро, карбоксила, альдегида, алкокси, амино, амидо, карбамида, меркапто, метилтио, этилтио; 2-, 3- или 4-пиридила, замещенного одной, двумя или тремя группами, выбранными из С1-С4алкила, нитро, карбоксила, альдегида, алкокси, амино, амидо, карбамида, меркапто, метилтио, этилтио; фурила, замещенного одной, двумя или тремя группами, выбранными из С1-С4алкила, нитро, карбоксила, альдегида, алкокси, амино, амидо, карбамида, меркапто, метилтио, этилтио; пиранила, замещенного одной, двумя или тремя группами, выбранными из С1-С4алкила, нитро, карбоксила, альдегида, алкокси, амино, амидо, карбамида, меркапто, метилтио, этилтио; тиенила, замещенного одной, двумя или тремя группами, выбранными из С1-С4алкила, нитро, карбоксила, альдегида, алкокси, амино, амидо, карбамида, меркапто, метилтио, этилтио; пирролила, замещенного одной, двумя или тремя группами, выбранными из С1-С4алкила, нитро, карбоксила, альдегида, алкокси, амино, амидо, карбамида, меркапто, метилтио, этилтио; Х и Y независимо представляют собой О, S или N.
Более предпочтительно, когда n равно 1-3, R1 и R2 независимо представляют собой один из заместителей, выбранных из группы, состоящей из водорода, галогена, алкана, циклоалкана, гидроксила, нитро, карбоксила, альдегида, алкокси, амино, алкиламино, амидо, карбамида, меркапто, алкилтио, простого эфира, простого тиоэфира, арила, 2-, 3- или 4-пиридила, фурила, пиранила, тиенила, пирролила; арила, замещенного одной, двумя или тремя группами, выбранными из С1-С4алкила, нитро, карбоксила, альдегида, алкокси, амино, амидо, карбамида, меркапто, метилтио, этилтио; 2-, 3- или 4-пиридила, замещенного одной, двумя или тремя группами, выбранными из С1-С4алкила, нитро, карбоксила, альдегида, алкокси, амино, амидо, карбамида, меркапто, метилтио, этилтио; фурила, замещенного одной, двумя или тремя группами, выбранными из С1-С4алкила, нитро, карбоксила, альдегида, алкокси, амино, амидо, карбамида, меркапто, метилтио, этилтио; пиранила, замещенного одной, двумя или тремя группами, выбранными из С1-С4алкила, нитро, карбоксила, альдегида, алкокси, амино, амидо, карбамида, меркапто, метилтио, этилтио; тиенила, замещенного одной, двумя или тремя группами, выбранными из С1-С4алкила, нитро, карбоксила, альдегида, алкокси, амино, амидо, карбамида, меркапто, метилтио, этилтио; пирролила, замещенного одной, двумя или тремя группами, выбранными из С1-С4алкила, нитро, карбоксила, альдегида, алкокси, амино, амидо, карбамида, меркапто, метилтио, этилтио;
R3 и R4 независимо представляют собой один из заместителей, выбранных из группы, состоящей из водорода, алкана, циклоалкана, алкокси, амино, алкиламино, амидо, карбамида, алкилтио, арила, 2-, 3- или 4-пиридила, фурила, пиранила, тиенила, пирролила; арила, замещенного одной, двумя или тремя группами, выбранными из С1-С4алкила, нитро, карбоксила, альдегида, алкокси, амино, амидо, карбамида, меркапто, метилтио, этилтио; 2-, 3- или 4-пиридила, замещенного одной, двумя или тремя группами, выбранными из С1-С4алкила, нитро, карбоксила, альдегида, алкокси, амино, амидо, карбамида, меркапто, метилтио, этилтио; фурила, замещенного одной, двумя или тремя группами, выбранными из С1-С4алкила, нитро, карбоксила, альдегида, алкокси, амино, амидо, карбамида, меркапто, метилтио, этилтио; пиранила, замещенного одной, двумя или тремя группами, выбранными из С1-С4алкила, нитро, карбоксила, альдегида, алкокси, амино, амидо, карбамида, меркапто, метилтио, этилтио; тиенила, замещенного одной, двумя или тремя группами, выбранными из С1-С4алкила, нитро, карбоксила, альдегида, алкокси, амино, амидо, карбамида, меркапто, метилтио, этилтио; пирролила, замещенного одной, двумя или тремя группами, выбранными из С1-С4алкила, нитро, карбоксила, альдегида, алкокси, амино, амидо, карбамида, меркапто, метилтио, этилтио;
Х и Y независимо представляют собой О, S или N.
Более предпочтительно, соединение вышеуказанных формул I и II является циклическим соединением, характеризующимся тем, что, когда n равно 0; Х и Y независимо представляют собой О, S или N;
R1 представляет собой

где R5 представляет собой один из заместителей, выбранных из группы, состоящей из Н; C1-С6алкила; C1-С6алкила, замещенного одной, двумя или тремя группами, выбранными из галогена, С1-С6алкокси или гидроксила; С2-С6алкенила; С2-С6алкинила; С3-С6циклоалкила; С3-С6циклоалкила, замещенного одной, двумя или тремя группами, выбранными из галогена, С1-С6алкокси или гидроксила; арила; бензила; фурила; пиранила; тиенила; пирролила; 2-, 3- или 4-пиридила; арила, замещенного одной, двумя или тремя группами, выбранными из С1-С4алкила, нитро, карбоксила, альдегида, алкокси, амино, амидо, карбамида, меркапто, метилтио, этилтио; 2-, 3- или 4-пиридила, замещенного одной, двумя или тремя группами, выбранными из С1-С4алкила, нитро, карбоксила, альдегида, алкокси, амино, амидо, карбамида, меркапто, метилтио, этилтио; фурила, замещенного одной, двумя или тремя группами, выбранными из С1-С4алкила, нитро, карбоксила, альдегида, алкокси, амино, амидо, карбамида, меркапто, метилтио, этилтио; пиранила, замещенного одной, двумя или тремя группами, выбранными из С1-С4алкила, нитро, карбоксила, альдегида, алкокси, амино, амидо, карбамида, меркапто, метилтио, этилтио; тиенила, замещенного одной, двумя или тремя группами, выбранными из С1-С4алкила, нитро, карбоксила, альдегида, алкокси, амино, амидо, карбамида, меркапто, метилтио, этилтио; пирролила, замещенного одной, двумя или тремя группами, выбранными из C1-С6алкила, нитро, карбоксила, альдегида, алкокси, амино, амидо, карбамида, меркапто, метилтио, этилтио; C1-С6алканоила, замещенного одной, двумя или тремя группами, выбранными из галогена, C1-С6алкокси или гидроксила; C1-С6алкеноила; С2-С6алкиноила; С3-С6циклоалканоила; С3-С6циклоалканоила, замещенного одной, двумя или тремя группами, выбранными из галогена, C1-С6алкокси или гидроксила; адамантилформила; замещенного адамантилформила; ароила; бензоила; фуроила; пираноила; теноила; пирроила;
X1 представляет собой О, S или NH;
R3 и R4 независимо представляют собой

где R6 представляет собой один из заместителей, выбранных из группы, состоящей из Н; C1-С6алкила; C1-С6алкила, замещенного одной, двумя или тремя группами, выбранными из галогена, C1-С6алкокси или гидроксила; C2-С6алкенила; С2-С6алкинила; С3-С6циклоалкила; С3-С6циклоалкила, замещенного одной, двумя или тремя группами, выбранными из галогена, C1-С6алкокси или гидроксила; арила; бензила; фурила; пиранила; тиенила; пирролила; 2-, 3- или 4-пиридила; арила, замещенного одной, двумя или тремя группами, выбранными из С1-С4алкила, нитро, карбоксила, альдегида, алкокси, амино, амидо, карбамида, меркапто, метилтио, этилтио; 2-, 3- или 4-пиридила, замещенного одной, двумя или тремя группами, выбранными из C1-С4алкила, нитро, карбоксила, альдегида, алкокси, амино, амидо, карбамида, меркапто, метилтио, этилтио; фурила, замещенного одной, двумя или тремя группами, выбранными из С1-С4алкила, нитро, карбоксила, альдегида, алкокси, амино, амидо, карбамида, меркапто, метилтио, этилтио; пиранила, замещенного одной, двумя или тремя группами, выбранными из С1-С4алкила, нитро, карбоксила, альдегида, алкокси, амино, амидо, карбамида, меркапто, метилтио, этилтио; тиенила, замещенного одной, двумя или тремя группами, выбранными из С1-С4алкила, нитро, карбоксила, альдегида, алкокси, амино, амидо, карбамида, меркапто, метилтио, этилтио; пирролила, замещенного одной, двумя или тремя группами, выбранными из С1-С4алкила, нитро, карбоксила, альдегида, алкокси, амино, амидо, карбамида, меркапто, метилтио, этилтио; С1-С6алканоила, замещенного одной, двумя или тремя группами, выбранными из галогена, С1-С6алкокси или гидроксила; С2-С6алкеноила; С2-С6алкиноила; С3-С6циклоалканоила; С3-С6циклоалканоила, замещенного одной, двумя или тремя группами, выбранными из галогена, С1-С6алкокси или гидроксила; адамантилформила; замещенного адамантилформила; ароила; бензоила; фуроила, пираноила; теноила; пирроила;
X1 представляет собой О, S или NH;
или R3 и R4 независимо представляют собой

где R7 и R8 независимо представляют собой один из заместителей, выбранных из группы, состоящей из Н; C1-С6алкила; C1-С6алкила, замещенного одной, двумя или тремя группами, выбранными из галогена, C1-С6алкокси или гидроксила; С2-С6алкенила; С2-С6алкинила; С3-С6циклоалкила; С3-С6циклоалкила, замещенного одной, двумя или тремя группами, выбранными из галогена, C1-С6алкокси или гидроксила; арила; бензила; фурила; пиранила; тиенила; пирролила; 2-, 3- или 4-пиридила; арила, замещенного одной, двумя или тремя группами, выбранными из С1-С4алкила, нитро, карбоксила, альдегида, алкокси, амино, амидо, карбамида, меркапто, метилтио, этилтио; 2-, 3- или 4-пиридила, замещенного одной, двумя или тремя группами, выбранными из С1-С4алкила, нитро, карбоксила, альдегида, алкокси, амино, амидо, карбамида, меркапто, метилтио, этилтио; фурила, замещенного одной, двумя или тремя группами, выбранными из С1-С4алкила, нитро, карбоксила, альдегида, алкокси, амино, амидо, карбамида, меркапто, метилтио, этилтио; пиранила, замещенного одной, двумя или тремя группами, выбранными из С1-С4алкила, нитро, карбоксила, альдегида, алкокси, амино, амидо, карбамида, меркапто, метилтио, этилтио; тиенила, замещенного одной, двумя или тремя группами, выбранными из С1-С4алкила, нитро, карбоксила, альдегида, алкокси, амино, амидо, карбамида, меркапто, метилтио, этилтио; пирролила, замещенного одной, двумя или тремя группами, выбранными из С1-С4алкила, нитро, карбоксила, альдегида, алкокси, амино, амидо, карбамида, меркапто, метилтио, этилтио; С1-С6алканоила, замещенного одной, двумя или тремя группами, выбранными из галогена, С1-С6алкокси или гидроксила; С2-С6алкеноила; С2-С6алкиноила; С3-С6циклоалканоила, С3-С6циклоалканоила, замещенного одной, двумя или тремя группами, выбранными из галогена, С1-С6алкокси или гидроксила; адамантилформила; замещенного адамантилформила; ароила; бензоила; фуроила, пираноила; теноила; пирроила;
X1 представляет собой О, S или NH; Х2 представляет собой О, S или NH;
или R3 и R4 независимо представляют собой

где R9 представляет собой один из заместителей, выбранных из группы, состоящей из Н; С1-С6алкила; C1-С6алкила, замещенного одной, двумя или тремя группами, выбранными из галогена, С1-С6алкокси или гидроксила; С2-С6алкенила; С2-С6алкинила; С3-С6циклоалкила; С3-С6циклоалкила, замещенного одной, двумя или тремя группами, выбранными из галогена, C1-С6алкокси или гидроксила; арила; бензила; фурила; пиранила; тиенила; пирролила; 2-, 3- или 4-пиридила; арила, замещенного одной, двумя или тремя группами, выбранными из С1-С4алкила, нитро, карбоксила, альдегида, алкокси, амино, амидо, карбамида, меркапто, метилтио, этилтио; 2-, 3- или 4-пиридила, замещенного одной, двумя или тремя группами, выбранными из С1-С4алкила, нитро, карбоксила, альдегида, алкокси, амино, амидо, карбамида, меркапто, метилтио, этилтио; фурила, замещенного одной, двумя или тремя группами, выбранными из С1-С4алкила, нитро, карбоксила, альдегида, алкокси, амино, амидо, карбамида, меркапто, метилтио, этилтио; пиранила, замещенного одной, двумя или тремя группами, выбранными из С1-С4алкила, нитро, карбоксила, альдегида, алкокси, амино, амидо, карбамида, меркапто, метилтио, этилтио; тиенила, замещенного одной, двумя или тремя группами, выбранными из С1-С4алкила, нитро, карбоксила, альдегида, алкокси, амино, амидо, карбамида, меркапто, метилтио, этилтио; пирролила, замещенного одной, двумя или тремя группами, выбранными из С1-С4алкила, нитро, карбоксила, альдегида, алкокси, амино, амидо, карбамида, меркапто, метилтио, этилтио; С1-С6алканоила, замещенного одной, двумя или тремя группами, выбранными из галогена, С1-С6алкокси или гидроксила; С2-С6алкеноила; С2-С6алкиноила; С3-С6циклоалканоила; С3-С6циклоалканоила, замещенного одной, двумя или тремя группами, выбранными из галогена, С1-С6алкокси или гидроксила; адамантилформила; замещенного адамантилформила; ароила; бензоила; фуроила, пираноила; теноила; пирроила;
Х1 представляет собой О, S или NH;
или R3 и R4 независимо представляют собой

где R10 и R11 независимо представляют собой один из заместителей, выбранных из группы, состоящей из Н; С1-С6алкила; С1-С6алкила, замещенного одной, двумя или тремя группами, выбранными из галогена, C1-С6алкокси или гидроксила; С2-С6алкенила; С2-С6алкинила; С3-С6циклоалкила; С3-С6циклоалкила, замещенного одной, двумя или тремя группами, выбранными из галогена, C1-С6алкокси или гидроксила; арила; бензила; фурила; пиранила; тиенила; пирролила; 2-, 3- или 4-пиридила; арила, замещенного одной, двумя или тремя группами, выбранными из С1-С4алкила, нитро, карбоксила, альдегида, алкокси, амино, амидо, карбамида, меркапто, метилтио, этилтио; 2-, 3- или 4-пиридила, замещенного одной, двумя или тремя группами, выбранными из С1-С4алкила, нитро, карбоксила, альдегида, алкокси, амино, амидо, карбамида, меркапто, метилтио, этилтио; фурила, замещенного одной, двумя или тремя группами, выбранными из С1-С4алкила, нитро, карбоксила, альдегида, алкокси, амино, амидо, карбамида, меркапто, метилтио, этилтио; пиранила, замещенного одной, двумя или тремя группами, выбранными из С1-С4алкила, нитро, карбоксила, альдегида, алкокси, амино, амидо, карбамида, меркапто, метилтио, этилтио; тиенила, замещенного одной, двумя или тремя группами, выбранными из С1-С4алкила, нитро, карбоксила, альдегида, алкокси, амино, амидо, карбамида, меркапто, метилтио, этилтио; пирролила, замещенного одной, двумя или тремя группами, выбранными из С1-С4алкила, нитро, карбоксила, альдегида, алкокси, амино, амидо, карбамида, меркапто, метилтио, этилтио; С1-С6алканоила, замещенного одной, двумя или тремя группами, выбранными из галогена, С1-С6алкокси или гидроксила; С2-С6алкеноила; С2-С6алкиноила; С3-С6циклоалканоила; С3-С6циклоалканоила, замещенного одной, двумя или тремя группами, выбранными из галогена, С1-С6алкокси или гидроксила; адамантилформила; замещенного адамантилформила; ароила; бензоила; фуроила, пираноила; теноила; пирроила;
когда X1 представляет собой О, S или NH; X2 представляет собой О, S или NH;
когда R1 представляет собой

где R12 и R13 независимо представляют собой один из заместителей, выбранных из группы, состоящей из Н; C1-С6алкила; С1-С6алкила, замещенного одной, двумя или тремя группами, выбранными из галогена, С1-С6алкокси или гидроксила; С2-С6алкенила; С2-С6алкинила; С3-С6циклоалкила; С3-С6циклоалкила, замещенного одной, двумя или тремя группами, выбранными из галогена, С1-С6алкокси или гидроксила; арила; бензила; фурила; пиранила; тиенила; пирролила; 2-, 3- или 4-пиридила; арила, замещенного одной, двумя или тремя группами, выбранными из С1-С4алкила, нитро, карбоксила, альдегида, алкокси, амино, амидо, карбамида, меркапто, метилтио, этилтио; 2-, 3- или 4-пиридила, замещенного одной, двумя или тремя группами, выбранными из С1-С4алкила, нитро, карбоксила, альдегида, алкокси, амино, амидо, карбамида, меркапто, метилтио, этилтио; фурила, замещенного одной, двумя или тремя группами, выбранными из С1-С4алкила, нитро, карбоксила, альдегида, алкокси, амино, амидо, карбамида, меркапто, метилтио, этилтио; пиранила, замещенного одной, двумя или тремя группами, выбранными из C1-С4алкила, нитро, карбоксила, альдегида, алкокси, амино, амидо, карбамида, меркапто, метилтио, этилтио; тиенила, замещенного одной, двумя или тремя группами, выбранными из С1-С4алкила, нитро, карбоксила, альдегида, алкокси, амино, амидо, карбамида, меркапто, метилтио, этилтио; пирролила, замещенного одной, двумя или тремя группами, выбранными из С1-С4алкила, нитро, карбоксила, альдегида, алкокси, амино, амидо, карбамида, меркапто, метилтио, этилтио; C1-С6алканоила, замещенного одной, двумя или тремя группами, выбранными из галогена, С1-С6алкокси или гидроксила; С2-С6алкеноила; С2-С6алкиноила; С3-С6циклоалканоила; С3-С6циклоалканоила, замещенного одной, двумя или тремя группами, выбранными из галогена, C1-С6алкокси или гидроксила; адамантилформила; замещенного адамантилформила; ароила; бензоила; фуроила, пираноила; теноила; пирроила;
Х1 представляет собой О, S или NH; Х2 представляет собой О, S или NH;
R3 и R4 независимо представляют собой

где R6 представляет собой один из заместителей, выбранных из группы, состоящей из Н; C1-С6алкила; C1-С6алкила, замещенного одной, двумя или тремя группами, выбранными из галогена, С1-С6алкокси или гидроксила; C2-С6алкенила; С2-С6алкинила; С3-С6циклоалкила; С3-С6циклоалкила, замещенного одной, двумя или тремя группами, выбранными из галогена, С1-С6алкокси или гидроксила; арила; бензила; фурила; пиранила; тиенила; пирролила; 2-, 3- или 4-пиридила; арила, замещенного одной, двумя или тремя группами, выбранными из С1-С4алкила, нитро, карбоксила, альдегида, алкокси, амино, амидо, карбамида, меркапто, метилтио, этилтио; 2-, 3- или 4-пиридила, замещенного одной, двумя или тремя группами, выбранными из С1-С4алкила, нитро, карбоксила, альдегида, алкокси, амино, амидо, карбамида, меркапто, метилтио, этилтио; фурила, замещенного одной, двумя или тремя группами, выбранными из С1-С4алкила, нитро, карбоксила, альдегида, алкокси, амино, амидо, карбамида, меркапто, метилтио, этилтио; пиранила, замещенного одной, двумя или тремя группами, выбранными из С1-С4алкила, нитро, карбоксила, альдегида, алкокси, амино, амидо, карбамида, меркапто, метилтио, этилтио; тиенила, замещенного одной, двумя или тремя группами, выбранными из С1-С4алкила, нитро, карбоксила, альдегида, алкокси, амино, амидо, карбамида, меркапто, метилтио, этилтио; пирролила, замещенного одной, двумя или тремя группами, выбранными из С1-С4алкила, нитро, карбоксила, альдегида, алкокси, амино, амидо, карбамида, меркапто, метилтио, этилтио; C1-С6алканоила, замещенного одной, двумя или тремя группами, выбранными из галогена, С1-С6алкокси или гидроксила; С2-С6алкеноила; С2-С6алкиноила; С3-С6циклоалканоила; С3-С6циклоалканоила, замещенного одной, двумя или тремя группами, выбранными из галогена, C1-С6алкокси или гидроксила; адамантилформила; замещенного адамантилформила; ароила; бензоила; фуроила, пираноила; теноила; пирроила;
Х2 представляет собой О, S или NH;
или R3 и R4 независимо представляют собой

где R7 и R8 независимо представляют собой один из заместителей, выбранных из группы, состоящей из Н; С1-С6алкила; С1-С6алкила, замещенного одной, двумя или тремя группами, выбранными из галогена, С1-С6алкокси или гидроксила; С2-С6алкенила; С2-С6алкинила; С3-С6циклоалкила; С3-С6циклоалкила, замещенного одной, двумя или тремя группами, выбранными из галогена, C1-С6алкокси или гидроксила; арила; бензила; фурила; пиранила; тиенила; пирролила; 2-, 3- или 4-пиридила; арила, замещенного одной, двумя или тремя группами, выбранными из С1-С4алкила, нитро, карбоксила, альдегида, алкокси, амино, амидо, карбамида, меркапто, метилтио, этилтио; 2-, 3- или 4-пиридила, замещенного одной, двумя или тремя группами, выбранными из С1-С4алкила, нитро, карбоксила, альдегида, алкокси, амино, амидо, карбамида, меркапто, метилтио, этилтио; фурила, замещенного одной, двумя или тремя группами, выбранными из С1-С4алкила, нитро, карбоксила, альдегида, алкокси, амино, амидо, карбамида, меркапто, метилтио, этилтио; пиранила, замещенного одной, двумя или тремя группами, выбранными из С1-С4алкила, нитро, карбоксила, альдегида, алкокси, амино, амидо, карбамида, меркапто, метилтио, этилтио; тиенила, замещенного одной, двумя или тремя группами, выбранными из С1-С4алкила, нитро, карбоксила, альдегида, алкокси, амино, амидо, карбамида, меркапто, метилтио, этилтио; пирролила, замещенного одной, двумя или тремя группами, выбранными из С1-С4алкила, нитро, карбоксила, альдегида, алкокси, амино, амидо, карбамида, меркапто, метилтио, этилтио; С1-С6алканоила, замещенного одной, двумя или тремя группами, выбранными из галогена, C1-С6алкокси или гидроксила; С2-С6алкеноила; С2-С6алкиноила; С3-С8циклоалканоила; С3-С6циклоалканоила, замещенного одной, двумя или тремя группами, выбранными из галогена, С1-С6алкокси или гидроксила; адамантилформила; замещенного адамантилформила; ароила; бензоила; фуроила, пираноила; теноила; пирроила;
X1 представляет собой О, S или NH; Х2 представляет собой О, S или NH;
или R3 и R4 независимо представляют собой

где R9 представляет собой один из заместителей, выбранных из группы, состоящей из Н; С1-С6алкила; С1-С6алкила, замещенного одной, двумя или тремя группами, выбранными из галогена, C1-С6алкокси или гидроксила; C2-С6алкенила; С2-С6алкинила; С3-С6циклоалкила; С3-С6циклоалкила, замещенного одной, двумя или тремя группами, выбранными из галогена, С1-С6алкокси или гидроксила; арила; бензила; фурила; пиранила; тиенила; пирролила; 2-, 3- или 4-пиридила; арила, замещенного одним, двумя или тремя группами, выбранными из С1-С4алкила, нитро, карбоксила, альдегида, алкокси, амино, амидо, карбамида, меркапто, метилтио, этилтио; 2-, 3- или 4-пиридила, замещенного одной, двумя или тремя группами, выбранными из С1-С4алкила, нитро, карбоксила, альдегида, алкокси, амино, амидо, карбамида, меркапто, метилтио, этилтио; фурила, замещенного одной, двумя или тремя группами, выбранными из С1-С4алкила, нитро, карбоксила, альдегида, алкокси, амино, амидо, карбамида, меркапто, метилтио, этилтио; пиранила, замещенного одной, двумя или тремя группами, выбранными из С1-С4алкила, нитро, карбоксила, альдегида, алкокси, амино, амидо, карбамида, меркапто, метилтио, этилтио; тиенила, замещенного одной, двумя или тремя группами, выбранными из С1-С4алкила, нитро, карбоксила, альдегида, алкокси, амино, амидо, карбамида, меркапто, метилтио, этилтио; пирролила, замещенного одной, двумя или тремя группами, выбранными из С1-С4алкила, нитро, карбоксила, альдегида, алкокси, амино, амидо, карбамида, меркапто, метилтио, этилтио; C1-С6алканоила, замещенного одной, двумя или тремя группами, выбранными из галогена, C1-С6алкокси или гидроксила; С2-С6алкеноила; С2-С6алкиноила; С3-С6циклоалканоила; С3-С6циклоалканоила, замещенного одной, двумя или тремя группами, выбранными из галогена, C1-С6алкокси или гидроксила; адамантилформила; замещенного адамантилформила; ароила; бензоила; фуроила, пираноила; теноила; пирроила;
X1 представляет собой О, S или NH;
или R3 и R4 независимо представляют собой

где R10 и R11 независимо представляют собой один из заместителей, выбранных из группы, состоящей из Н; С1-С6алкила; С1-С6алкила, замещенного одной, двумя или тремя группами, выбранными из галогена, C1-С6алкокси или гидроксила; C2-С6алкенила; С2-С6алкинила; С3-С8циклоалкила; С3-С6циклоалкила, замещенного одной, двумя или тремя группами, выбранными из галогена, С1-С6алкокси или гидроксила; арила; бензила; фурила; пиранила; тиенила; пирролила; 2-, 3- или 4-пиридила; арила, замещенного одной, двумя или тремя группами, выбранными из С1-С4алкила, нитро, карбоксила, альдегида, алкокси, амино, амидо, карбамида, меркапто, метилтио, этилтио; 2-, 3- или 4-пиридила, замещенного одной, двумя или тремя группами, выбранными из С1-С4алкила, нитро, карбоксила, альдегида, алкокси, амино, амидо, карбамида, меркапто, метилтио, этилтио; фурила, замещенного одной, двумя или тремя группами, выбранными из С1-С4алкила, нитро, карбоксила, альдегида, алкокси, амино, амидо, карбамида, меркапто, метилтио, этилтио; пиранила, замещенного одной, двумя или тремя группами, выбранными из С1-С4алкила, нитро, карбоксила, альдегида, алкокси, амино, амидо, карбамида, меркапто, метилтио, этилтио; тиенила, замещенного одной, двумя или тремя группами, выбранными из С1-С4алкила, нитро, карбоксила, альдегида, алкокси, амино, амидо, карбамида, меркапто, метилтио, этилтио; пирролила, замещенного одной, двумя или тремя группами, выбранными из С1-С4алкила, нитро, карбоксила, альдегида, алкокси, амино, амидо, карбамида, меркапто, метилтио, этилтио; С1-С6алканоила, замещенного одной, двумя или тремя группами, выбранными из галогена, C1-С6алкокси или гидроксила; С2-С6алкеноила; С2-С6алкиноила; С3-С6циклоалканоила; С3-С6циклоалканоила, замещенного одной, двумя или тремя группами, выбранными из галогена, C1-С6алкокси или гидроксила; адамантилформила; замещенного адамантилформила; ароила; бензоила; фуроила, пираноила; теноила; пирроила;
X1 представляет собой О, S или NH; X2 представляет собой О, S или NH.
Кроме того, предпочтительно, когда R1 представляет собой

где R13 представляет собой один из заместителей, выбранных из группы, состоящей из Н; C1-С6алкила; C1-С6алкила, замещенного одной, двумя или тремя группами, выбранными из галогена, С1-С6алкокси или гидроксила; С2-С6алкенила; С2-С6алкинила; С3-С6циклоалкила; С3-С6циклоалкила, замещенного одной, двумя или тремя группами, выбранными из галогена, C1-С6алкокси или гидроксила; арила; бензила; фурила; пиранила; тиенила; пирролила; 2-, 3- или 4-пиридила; арила, замещенного одной, двумя или тремя группами, выбранными из С1-С4алкила, нитро, карбоксила, альдегида, алкокси, амино, амидо, карбамида, меркапто, метилтио, этилтио; 2-, 3- или 4-пиридила, замещенного одной, двумя или тремя группами, выбранными из С1-С4алкила, нитро, карбоксила, альдегида, алкокси, амино, амидо, карбамида, меркапто, метилтио, этилтио; фурила, замещенного одной, двумя или тремя группами, выбранными из С1-С4алкила, нитро, карбоксила, альдегида, алкокси, амино, амидо, карбамида, меркапто, метилтио, этилтио; пиранила, замещенного одной, двумя или тремя группами, выбранными из С1-С4алкила, нитро, карбоксила, альдегида, алкокси, амино, амидо, карбамида, меркапто, метилтио, этилтио; тиенила, замещенного одной, двумя или тремя группами, выбранными из С1-С4алкила, нитро, карбоксила, альдегида, алкокси, амино, амидо, карбамида, меркапто, метилтио, этилтио; пирролила, замещенного одной, двумя или тремя группами, выбранными из С1-С4алкила, нитро, карбоксила, альдегида, алкокси, амино, амидо, карбамида, меркапто, метилтио, этилтио; C1-С6алканоила, замещенного одной, двумя или тремя группами, выбранными из галогена, C1-С6алкокси или гидроксила; С2-С6алкеноила; С2-С6алкиноила; С3-С6циклоалканоила; С3-С6циклоалканоила, замещенного одной, двумя или тремя группами, выбранными из галогена, C1-С6алкокси или гидроксила; адамантилформила; замещенного адамантилформила; ароила; бензоила; фуроила, пираноила; теноила; пирроила;
когда X1 представляет собой О, S или NH;
R3 и R4 независимо представляют собой

где R6 представляет собой один из заместителей, выбранных из группы, состоящей из Н; C1-С6алкила; C1-С6алкила, замещенного одной, двумя или тремя группами, выбранными из галогена, C1-С6алкокси или гидроксила; C2-С6алкенила; С2-С6алкинила; С3-С6циклоалкила; С3-С6циклоалкила, замещенного одной, двумя или тремя группами, выбранными из галогена, C1-С6алкокси или гидроксила; арила; бензила; фурила; пиранила; тиенила; пирролила; 2-, 3- или 4-пиридила; арила, замещенного одной, двумя или тремя группами, выбранными из С1-С4алкила, нитро, карбоксила, альдегида, алкокси, амино, амидо, карбамида, меркапто, метилтио, этилтио; 2-, 3- или 4-пиридила, замещенного одной, двумя или тремя группами, выбранными из С1-С4алкила, нитро, карбоксила, альдегида, алкокси, амино, амидо, карбамида, меркапто, метилтио, этилтио; фурила, замещенного одной, двумя или тремя группами, выбранными из С1-С4алкила, нитро, карбоксила, альдегида, алкокси, амино, амидо, карбамида, меркапто, метилтио, этилтио; пиранила, замещенного одной, двумя или тремя группами, выбранными из С1-С4алкила, нитро, карбоксила, альдегида, алкокси, амино, амидо, карбамида, меркапто, метилтио, этилтио; тиенила, замещенного одной, двумя или тремя группами, выбранными из С1-С4алкила, нитро, карбоксила, альдегида, алкокси, амино, амидо, карбамида, меркапто, метилтио, этилтио; пирролила, замещенного одной, двумя или тремя группами, выбранными из С1-С4алкила, нитро, карбоксила, альдегида, алкокси, амино, амидо, карбамида, меркапто, метилтио, этилтио; С1-С6алканоила, замещенного одним, двумя или тремя группами, выбранными из галогена, С1-С6алкокси или гидроксила; С2-С6алкеноила; С2-С6алкиноила; С3-С6циклоалканоила; С3-С6циклоалканоила, замещенного одной, двумя или тремя группами, выбранными из галогена, C1-С6алкокси или гидроксила; адамантилформила; замещенного адамантилформила; ароила; бензоила; фуроила, пираноила; теноила; пирроила;
Х2 представляет собой О, S или NH;
или R3 и R4 независимо представляют собой

где R7 и R8 независимо представляют собой один из заместителей, выбранных из группы, состоящей из Н; С1-С6алкила; С1-С6алкила, замещенного одной, двумя или тремя группами, выбранными из галогена, C1-С6алкокси или гидроксила; C2-С6алкенила; С2-С6алкинила; С3-С6циклоалкила; С3-С6циклоалкила, замещенного одной, двумя или тремя группами, выбранными из галогена, C1-С6алкокси или гидроксила; арила; бензила; фурила; пиранила; тиенила; пирролила; 2-, 3- или 4-пиридила; арила, замещенного одной, двумя или тремя группами, выбранными из С1-С4алкила, нитро, карбоксила, альдегида, алкокси, амино, амидо, карбамида, меркапто, метилтио, этилтио; 2-, 3- или 4-пиридила, замещенного одной, двумя или тремя группами, выбранными из С1-С4алкила, нитро, карбоксила, альдегида, алкокси, амино, амидо, карбамида, меркапто, метилтио, этилтио; фурила, замещенного одной, двумя или тремя группами, выбранными из С1-С4алкила, нитро, карбоксила, альдегида, алкокси, амино, амидо, карбамида, меркапто, метилтио, этилтио; пиранила, замещенного одной, двумя или тремя группами, выбранными из С1-С4алкила, нитро, карбоксила, альдегида, алкокси, амино, амидо, карбамида, меркапто, метилтио, этилтио; тиенила, замещенного одной, двумя или тремя группами, выбранными из С1-С4алкила, нитро, карбоксила, альдегида, алкокси, амино, амидо, карбамида, меркапто, метилтио, этилтио; пирролила, замещенного одной, двумя или тремя группами, выбранными из С1-С4алкила, нитро, карбоксила, альдегида, алкокси, амино, амидо, карбамида, меркапто, метилтио, этилтио; C1-С6алканоила, замещенного одной, двумя или тремя группами, выбранными из галогена, С1-С6алкокси или гидроксила; С2-С6алкеноила; С2-С6алкиноила; С3-С6циклоалканоила; С3-С6циклоалканоила, замещенного одной, двумя или тремя группами, выбранными из галогена, C1-С6алкокси или гидроксила; адамантилформила; замещенного адамантилформила; ароила; бензоила; фуроила, пираноила; теноила; пирроила;
X1 представляет собой О, S или NH; X2 представляет собой О, S или NH;
или R3 и R4 независимо представляют собой

где R9 представляет собой один из заместителей, выбранных из группы, состоящей из Н; C1-С6алкила; C1-С6алкила, замещенного одной, двумя или тремя группами, выбранными из галогена, С2-С6алкокси или гидроксила; С2-С6алкенила; С2-С6алкинила; С3-С6циклоалкила; С3-С6циклоалкила, замещенного одной, двумя или тремя группами, выбранными из галогена, C1-С6алкокси или гидроксила; арила; бензила; фурила; пиранила; тиенила; пирролила; 2-, 3- или 4-пиридила; арила, замещенного одной, двумя или тремя группами, выбранными из С1-С4алкила, нитро, карбоксила, альдегида, алкокси, амино, амидо, карбамида, меркапто, метилтио, этилтио; 2-, 3- или 4-пиридила, замещенного одной, двумя или тремя группами, выбранными из С1-С4алкила, нитро, карбоксила, альдегида, алкокси, амино, амидо, карбамида, меркапто, метилтио, этилтио; фурила, замещенного одной, двумя или тремя группами, выбранными из С1-С4алкила, нитро, карбоксила, альдегида, алкокси, амино, амидо, карбамида, меркапто, метилтио, этилтио; пиранила, замещенного одной, двумя или тремя группами, выбранными из С1-С4алкила, нитро, карбоксила, альдегида, алкокси, амино, амидо, карбамида, меркапто, метилтио, этилтио; тиенила, замещенного одной, двумя или тремя группами, выбранными из С1-С4алкила, нитро, карбоксила, альдегида, алкокси, амино, амидо, карбамида, меркапто, метилтио, этилтио; пирролила, замещенного одной, двумя или тремя группами, выбранными из С1-С4алкила, нитро, карбоксила, альдегида, алкокси, амино, амидо, карбамида, меркапто, метилтио, этилтио; С1-С6алканоила, замещенного одной, двумя или тремя группами, выбранными из галогена, C1-С6алкокси или гидроксила; С2-С6алкеноила; С2-С6алкиноила; С3-С6циклоалканоила; С3-С6циклоалканоила, замещенного одной, двумя или тремя группами, выбранными из галогена, С1-С6алкокси или гидроксила; адамантилформила; замещенного адамантилформила; ароила; бензоила; фуроила, пираноила; теноила; пирроила;
Х1 представляет собой О, S или NH;
или R3 и R4 независимо представляют собой

где R10 и R11 независимо представляют собой один из заместителей, выбранных из группы, состоящей из Н; C1-С6алкила; C1-С6алкила, замещенного одной, двумя или тремя группами, выбранными из галогена, С1-С6алкокси или гидроксила; C2-С6алкенила; С2-С6алкинила; С3-С6циклоалкила; С3-С6циклоалкила, замещенного одной, двумя или тремя группами, выбранными из галогена, С1-С6алкокси или гидроксила; арила; бензила; фурила; пиранила; тиенила; пирролила; 2-, 3- или 4-пиридила; арила, замещенного одной, двумя или тремя группами, выбранными из С1-С4алкила, нитро, карбоксила, альдегида, алкокси, амино, амидо, карбамида, меркапто, метилтио, этилтио; 2-, 3- или 4-пиридила, замещенного одной, двумя или тремя группами, выбранными из С1-С4алкила, нитро, карбоксила, альдегида, алкокси, амино, амидо, карбамида, меркапто, метилтио, этилтио; фурила, замещенного одной, двумя или тремя группами, выбранными из С1-С4алкила, нитро, карбоксила, альдегида, алкокси, амино, амидо, карбамида, меркапто, метилтио, этилтио; пиранила, замещенного одной, двумя или тремя группами, выбранными из С1-С4алкила, нитро, карбоксила, альдегида, алкокси, амино, амидо, карбамида, меркапто, метилтио, этилтио; тиенила, замещенного одной, двумя или тремя группами, выбранными из С1-С4алкила, нитро, карбоксила, альдегида, алкокси, амино, амидо, карбамида, меркапто, метилтио, этилтио; пирролила, замещенного одной, двумя или тремя группами, выбранными из С1-С4алкила, нитро, карбоксила, альдегида, алкокси, амино, амидо, карбамида, меркапто, метилтио, этилтио; C1-С6алканоила, замещенного одной, двумя или тремя группами, выбранными из галогена, C1-С6алкокси или гидроксила; С2-С6алкеноила; С2-С6алкиноила; С3-С6циклоалканоила; С3-С6циклоалканоила, замещенного одной, двумя или тремя группами, выбранными из галогена, C1-С6алкокси или гидроксила; адамантилформила; замещенного адамантилформила; ароила; бензоила; фуроила, пираноила; теноила; пирроила;
X1 представляет собой О, S или NH; Х2 представляет собой О, S или NH.
Когда R1 представляет собой

где R11 и R12 независимо представляют собой один из заместителей, выбранных из группы, состоящей из Н; C1-С6алкила; С1-С4алкила, замещенного одной, двумя или тремя группами, выбранными из галогена, C1-С6алкокси или гидроксила; С2-С6алкенила; С2-С6алкинила; С3-С6циклоалкила; С3-С6циклоалкила, замещенного одной, двумя или тремя группами, выбранными из галогена, C1-С6алкокси или гидроксила; арила; бензила; фурила; пиранила; тиенила; пирролила; 2-, 3- или 4-пиридила; арила, замещенного одной, двумя или тремя группами, выбранными из С1-С4алкила, нитро, карбоксила, альдегида, алкокси, амино, амидо, карбамида, меркапто, метилтио, этилтио; 2-, 3- или 4-пиридила, замещенного одной, двумя или тремя группами, выбранными из С1-С4алкила, нитро, карбоксила, альдегида, алкокси, амино, амидо, карбамида, меркапто, метилтио, этилтио; фурила, замещенного одной, двумя или тремя группами, выбранными из С1-С4алкила, нитро, карбоксила, альдегида, алкокси, амино, амидо, карбамида, меркапто, метилтио, этилтио; пиранила, замещенного одной, двумя или тремя группами, выбранными из С1-С4алкила, нитро, карбоксила, альдегида, алкокси, амино, амидо, карбамида, меркапто, метилтио, этилтио; тиенила, замещенного одной, двумя или тремя группами, выбранными из С1-С4алкила, нитро, карбоксила, альдегида, алкокси, амино, амидо, карбамида, меркапто, метилтио, этилтио; пирролила, замещенного одной, двумя или тремя группами, выбранными из С1-С4алкила, нитро, карбоксила, альдегида, алкокси, амино, амидо, карбамида, меркапто, метилтио, этилтио; С1-С6алканоила, замещенного одной, двумя или тремя группами, выбранными из галогена, С1-С6алкокси или гидроксила; С2-С6алкеноила; С2-С6алкиноила; С3-С6циклоалканоила; С3-С6циклоалканоила, замещенного одной, двумя или тремя группами, выбранными из галогена, C1-С6алкокси или гидроксила; адамантилформила; замещенного адамантилформила; ароила; бензоила; фуроила, пираноила; теноила; пирроила;
X1 представляет собой О, S или NH; X2 представляет собой О, S или NH;
R3 и R4 независимо представляют собой

где R6 представляет собой один из заместителей, выбранных из группы, состоящей из Н; C1-С6алкила; C1-С6алкила, замещенного одной, двумя или тремя группами, выбранными из галогена, C1-С6алкокси или гидроксила; C2-С6алкенила; С2-С6алкинила; С3-С6циклоалкила; С3-С6циклоалкила, замещенного одной, двумя или тремя группами, выбранными из галогена, С1-С6алкокси или гидроксила; арила; бензила; фурила; пиранила; тиенила; пирролила; 2-, 3- или 4-пиридила; арила, замещенного одной, двумя или тремя группами, выбранными из С1-С4алкила, нитро, карбоксила, альдегида, алкокси, амино, амидо, карбамида, меркапто, метилтио, этилтио; 2-, 3- или 4-пиридила, замещенного одной, двумя или тремя группами, выбранными из С1-С4алкила, нитро, карбоксила, альдегида, алкокси, амино, амидо, карбамида, меркапто, метилтио, этилтио; фурила, замещенного одной, двумя или тремя группами, выбранными из С1-С4алкила, нитро, карбоксила, альдегида, алкокси, амино, амидо, карбамида, меркапто, метилтио, этилтио; пиранила, замещенного одной, двумя или тремя группами, выбранными из С1-С4алкила, нитро, карбоксила, альдегида, алкокси, амино, амидо, карбамида, меркапто, метилтио, этилтио; тиенила, замещенного одной, двумя или тремя группами, выбранными из С1-С4алкила, нитро, карбоксила, альдегида, алкокси, амино, амидо, карбамида, меркапто, метилтио, этилтио; пирролила, замещенного одной, двумя или тремя группами, выбранными из С1-С4алкила, нитро, карбоксила, альдегида, алкокси, амино, амидо, карбамида, меркапто, метилтио, этилтио; С1-С6алканоила, замещенного одной, двумя или тремя группами, выбранными из галогена, C1-С6алкокси или гидроксила; С2-С6алкеноила; С2-С6алкиноила; С3-С6циклоалканоила; С3-С6циклоалканоила, замещенного одной, двумя или тремя группами, выбранными из галогена, C1-С6алкокси или гидроксила; адамантилформила; замещенного адамантилформила; ароила; бензоила; фуроила, пираноила; теноила; пирроила;
Х2 представляет собой О, S или NH;
или R3 и R4 независимо представляют собой

где R7 и R8 независимо представляют собой один из заместителей, выбранных из группы, состоящей из Н; С1-С6алкила; C1-С6алкила, замещенного одной, двумя или тремя группами, выбранными из галогена, C1-С6алкокси или гидроксила; C2-С6алкенила; С2-С6алкинила; С3-С6циклоалкила; С3-С6циклоалкила, замещенного одной, двумя или тремя группами, выбранными из галогена, C1-С6алкокси или гидроксила; арила; бензила; фурила; пиранила; тиенила; пирролила; 2-, 3- или 4-пиридила; арила, замещенного одной, двумя или тремя группами, выбранными из С1-С4алкила, нитро, карбоксила, альдегида, алкокси, амино, амидо, карбамида, меркапто, метилтио, этилтио; 2-, 3- или 4-пиридила, замещенного одной, двумя или тремя группами, выбранными из С1-С4алкила, нитро, карбоксила, альдегида, алкокси, амино, амидо, карбамида, меркапто, метилтио, этилтио; фурила, замещенного одной, двумя или тремя группами, выбранными из С1-С4алкила, нитро, карбоксила, альдегида, алкокси, амино, амидо, карбамида, меркапто, метилтио, этилтио; пиранила, замещенного одной, двумя или тремя группами, выбранными из С1-С4алкила, нитро, карбоксила, альдегида, алкокси, амино, амидо, карбамида, меркапто, метилтио, этилтио; тиенила, замещенного одной, двумя или тремя группами, выбранными из С1-С4алкила, нитро, карбоксила, альдегида, алкокси, амино, амидо, карбамида, меркапто, метилтио, этилтио; пирролила, замещенного одной, двумя или тремя группами, выбранными из С1-С4алкила, нитро, карбоксила, альдегида, алкокси, амино, амидо, карбамида, меркапто, метилтио, этилтио; C1-С6алканоила, замещенного одной, двумя или тремя группами, выбранными из галогена, С1-С6алкокси или гидроксила; С2-С6алкеноила; С2-С6алкиноила; С3-С6циклоалканоила; С3-С6циклоалканоила, замещенного одной, двумя или тремя группами, выбранными из галогена, С1-С6алкокси или гидроксила; адамантилформила; замещенного адамантилформила; ароила; бензоила; фуроила, пираноила; теноила; пирроила;
Х1 представляет собой О, S или NH; X2 представляет собой О, S или NH;
или R3 и R4 независимо представляют собой

где R9 представляет собой один из заместителей, выбранных из группы, состоящей из Н; C1-С6алкила; С1-С6алкила, замещенного одной, двумя или тремя группами, выбранными из галогена, С1-С6алкокси или гидроксила; С2-С6алкенила; С2-С6алкинила; С3-С6циклоалкила; С3-С6циклоалкила, замещенного одной, двумя или тремя группами, выбранными из галогена, С1-С6алкокси или гидроксила; арила; бензила; фурила; пиранила; тиенила; пирролила; 2-, 3- или 4-пиридила; арила, замещенного одной, двумя или тремя группами, выбранными из С1-С4алкила, нитро, карбоксила, альдегида, алкокси, амино, амидо, карбамида, меркапто, метилтио, этилтио; 2-, 3- или 4-пиридила, замещенного одной, двумя или тремя группами, выбранными из С1-С4алкила, нитро, карбоксила, альдегида, алкокси, амино, амидо, карбамида, меркапто, метилтио, этилтио; фурила, замещенного одной, двумя или тремя группами, выбранными из С1-С4алкила, нитро, карбоксила, альдегида, алкокси, амино, амидо, карбамида, меркапто, метилтио, этилтио; пиранила, замещенного одной, двумя или тремя группами, выбранными из С1-С4алкила, нитро, карбоксила, альдегида, алкокси, амино, амидо, карбамида, меркапто, метилтио, этилтио; тиенила, замещенного одной, двумя или тремя группами, выбранными из С1-С4алкила, нитро, карбоксила, альдегида, алкокси, амино, амидо, карбамида, меркапто, метилтио, этилтио; пирролила, замещенного одной, двумя или тремя группами, выбранными из С1-С4алкила, нитро, карбоксила, альдегида, алкокси, амино, амидо, карбамида, меркапто, метилтио, этилтио; С1-С6алканоила, замещенного одной, двумя или тремя группами, выбранными из галогена, C1-С6алкокси или гидроксила; С2-С6алкеноила; С2-С6алкиноила; С3-С6циклоалканоила; С3-С6циклоалканоила, замещенного одной, двумя или тремя группами, выбранными из галогена, C1-С6алкокси или гидроксила; адамантилформила; замещенного адамантилформила; ароила; бензоила; фуроила, пираноила; теноила; пирроила;
X1 представляет собой О, S или NH;
или R3 и R4 независимо представляют собой

где R10 и R11 независимо представляют собой один из заместителей, выбранных из группы, состоящей из Н; C1-С6алкила; С1-С6алкила, замещенного одной, двумя или тремя группами, выбранными из галогена, С1-С6алкокси или гидроксила; С2-С6алкенила; С2-С6алкинила; С3-С6циклоалкила; С3-С6циклоалкила, замещенного одной, двумя или тремя группами, выбранными из галогена, С2-С6алкокси или гидроксила; арила; бензила; фурила; пиранила; тиенила; пирролила; 2-, 3- или 4-пиридила; арила, замещенного одной, двумя или тремя группами, выбранными из С1-С4алкила, нитро, карбоксила, альдегида, алкокси, амино, амидо, карбамида, меркапто, метилтио, этилтио; 2-, 3- или 4-пиридила, замещенного одной, двумя или тремя группами, выбранными из С1-С4алкила, нитро, карбоксила, альдегида, алкокси, амино, амидо, карбамида, меркапто, метилтио, этилтио; фурила, замещенного одной, двумя или тремя группами, выбранными из С1-С4алкила, нитро, карбоксила, альдегида, алкокси, амино, амидо, карбамида, меркапто, метилтио, этилтио; пиранила, замещенного одной, двумя или тремя группами, выбранными из С1-С6алкила, нитро, карбоксила, альдегида, алкокси, амино, амидо, карбамида, меркапто, метилтио, этилтио; тиенила, замещенного одной, двумя или тремя группами, выбранными из С1-С4алкила, нитро, карбоксила, альдегида, алкокси, амино, амидо, карбамида, меркапто, метилтио, этилтио; пирролила, замещенного одной, двумя или тремя группами, выбранными из С1-С4алкила, нитро, карбоксила, альдегида, алкокси, амино, амидо, карбамида, меркапто, метилтио, этилтио; C1-С6алканоила, замещенного одной, двумя или тремя группами, выбранными из галогена, C1-С6алкокси или гидроксила; С2-С6алкеноила; С2-С6алкиноила; С3-С6циклоалканоила; С3-С6циклоалканоила, замещенного одной, двумя или тремя группами, выбранными из галогена, С1-С6алкокси или гидроксила; адамантилформила; замещенного адамантилформила; ароила; бензоила; фуроила, пираноила; теноила; пирроила;
X1 представляет собой О, S или NH; X2 представляет собой О, S или NH.
Кроме того, предпочтительно, когда n равно любому числу в диапазоне 1-3; X и Y независимо представляют собой О, S или N; R1 и R2 независимо представляют собой

где R5 представляет собой один из заместителей, выбранных из группы, состоящей из Н; C1-С6алкила; C1-С6алкила, замещенного одной, двумя или тремя группами, выбранными из галогена, С1-С6алкокси или гидроксила; C2-С6алкенила; С2-С6алкинила; С3-С6циклоалкила; С3-С6циклоалкила, замещенного одной, двумя или тремя группами, выбранными из галогена, C1-С6алкокси или гидроксила; арила; бензила; фурила; пиранила; тиенила; пирролила; 2-, 3- или 4-пиридила; арила, замещенного одной, двумя или тремя группами, выбранными из С1-С4алкила, нитро, карбоксила, альдегида, алкокси, амино, амидо, карбамида, меркапто, метилтио, этилтио; 2-, 3- или 4-пиридила, замещенного одной, двумя или тремя группами, выбранными из С1-С4алкила, нитро, карбоксила, альдегида, алкокси, амино, амидо, карбамида, меркапто, метилтио, этилтио; фурила, замещенного одной, двумя или тремя группами, выбранными из С1-С4алкила, нитро, карбоксила, альдегида, алкокси, амино, амидо, карбамида, меркапто, метилтио, этилтио; пиранила, замещенного одной, двумя или тремя группами, выбранными из С1-С4алкила, нитро, карбоксила, альдегида, алкокси, амино, амидо, карбамида, меркапто, метилтио, этилтио; тиенила, замещенного одной, двумя или тремя группами, выбранными из С1-С4алкила, нитро, карбоксила, альдегида, алкокси, амино, амидо, карбамида, меркапто, метилтио, этилтио; пирролила, замещенного одной, двумя или тремя группами, выбранными из С1-С4алкила, нитро, карбоксила, альдегида, алкокси, амино, амидо, карбамида, меркапто, метилтио, этилтио; C1-С6алканоила, замещенного одной, двумя или тремя группами, выбранными из галогена, С1-С6алкокси или гидроксила; С2-С6алкеноила; С2-С6алкиноила; С3-С6циклоалканоила; С3-С6циклоалканоила, замещенного одной, двумя или тремя группами, выбранными из галогена, C1-С6алкокси или гидроксила; адамантилформила; замещенного адамантилформила; ароила; бензоила; фуроила, пираноила; теноила; пирроила;
X1 представляет собой О, S или NH;
R3 и R4 независимо представляют собой

где R6 представляет собой один из заместителей, выбранных из группы, состоящей из Н; C1-С6алкила; C1-С6алкила, замещенного одной, двумя или тремя группами, выбранными из галогена, С1-С6алкокси или гидроксила; C2-С6алкенила; С2-С6алкинила; С3-С6циклоалкила; С3-С6циклоалкила, замещенного одной, двумя или тремя группами, выбранными из галогена, С1-С6алкокси или гидроксила; арила; бензила; фурила; пиранила; тиенила; пирролила; 2-, 3- или 4-пиридила; арила, замещенного одной, двумя или тремя группами, выбранными из С1-С4алкила, нитро, карбоксила, альдегида, алкокси, амино, амидо, карбамида, меркапто, метилтио, этилтио; 2-, 3- или 4-пиридила, замещенного одной, двумя или тремя группами, выбранными из С1-С4алкила, нитро, карбоксила, альдегида, алкокси, амино, амидо, карбамида, меркапто, метилтио, этилтио; фурила, замещенного одной, двумя или тремя группами, выбранными из С1-С4алкила, нитро, карбоксила, альдегида, алкокси, амино, амидо, карбамида, меркапто, метилтио, этилтио; пиранила, замещенного одной, двумя или тремя группами, выбранными из С1-С4алкила, нитро, карбоксила, альдегида, алкокси, амино, амидо, карбамида, меркапто, метилтио, этилтио; тиенила, замещенного одной, двумя или тремя группами, выбранными из С1-С4алкила, нитро, карбоксила, альдегида, алкокси, амино, амидо, карбамида, меркапто, метилтио, этилтио; пирролила, замещенного одной, двумя или тремя группами, выбранными из С1-С4алкила, нитро, карбоксила, альдегида, алкокси, амино, амидо, карбамида, меркапто, метилтио, этилтио; C1-С6алканоила, замещенного одной, двумя или тремя группами, выбранными из галогена, С1-С6алкокси или гидроксила; С2-С6алкеноила; С2-С6алкиноила; С3-С6циклоалканоила; С3-С6циклоалканоила, замещенного одной, двумя или тремя группами, выбранными из галогена, C1-С6алкокси или гидроксила; адамантилформила; замещенного адамантилформила; ароила; бензоила; фуроила, пираноила; теноила; пирроила;
X2 представляет собой О, S или NH;
или R3 и R4 независимо представляют собой

где R7 и R8 независимо представляют собой один из заместителей, выбранных из группы, состоящей из Н; C1-С6алкила; C1-С6алкила, замещенного одной, двумя или тремя группами, выбранными из галогена, C1-С6алкокси или гидроксила; C2-С6алкенила; С2-С6алкинила; С3-С6циклоалкила; С3-С6циклоалкила, замещенного одной, двумя или тремя группами, выбранными из галогена, С1-С6алкокси или гидроксила; арила; бензила; фурила; пиранила; тиенила; пирролила; 2-, 3- или 4-пиридила; арила, замещенного одной, двумя или тремя группами, выбранными из С1-С4алкила, нитро, карбоксила, альдегида, алкокси, амино, амидо, карбамида, меркапто, метилтио, этилтио; 2-, 3- или 4-пиридила, замещенного одной, двумя или тремя группами, выбранными из С1-С4алкила, нитро, карбоксила, альдегида, алкокси, амино, амидо, карбамида, меркапто, метилтио, этилтио; фурила, замещенного одной, двумя или тремя группами, выбранными из С1-С4алкила, нитро, карбоксила, альдегида, алкокси, амино, амидо, карбамида, меркапто, метилтио, этилтио; пиранила, замещенного одной, двумя или тремя группами, выбранными из С1-С4алкила, нитро, карбоксила, альдегида, алкокси, амино, амидо, карбамида, меркапто, метилтио, этилтио; тиенила, замещенного одной, двумя или тремя группами, выбранными из С1-С4алкила, нитро, карбоксила, альдегида, алкокси, амино, амидо, карбамида, меркапто, метилтио, этилтио; пирролила, замещенного одной, двумя или тремя группами, выбранными из С1-С4алкила, нитро, карбоксила, альдегида, алкокси, амино, амидо, карбамида, меркапто, метилтио, этилтио; С1-С6алканоила, замещенного одной, двумя или тремя группами, выбранными из галогена, С1-С6алкокси или гидроксила; С2-С6алкеноила; С2-С6алкиноила; С3-С6циклоалканоила; С3-С6циклоалканоила, замещенного одной, двумя или тремя группами, выбранными из галогена, С1-С6алкокси или гидроксила; адамантилформила; замещенного адамантилформила; ароила; бензоила; фуроила, пираноила; теноила; пирроила;
X1 представляет собой О, S или NH; Х2 представляет собой О, S или NH;
или R3 и R4 независимо представляют собой

где R9 представляет собой один из заместителей, выбранных из группы, состоящей из Н; C1-С6алкила; C1-С6алкила, замещенного одной, двумя или тремя группами, выбранными из галогена, C1-С6алкокси или гидроксила; C2-С6алкенила; С2-С6алкинила; С3-С6циклоалкила; С3-С6циклоалкила, замещенного одной, двумя или тремя группами, выбранными из галогена, C1-С6алкокси или гидроксила; арила; бензила; фурила; пиранила; тиенила; пирролила; 2-, 3- или 4-пиридила; арила, замещенного одной, двумя или тремя группами, выбранными из С1-С4алкила, нитро, карбоксила, альдегида, алкокси, амино, амидо, карбамида, меркапто, метилтио, этилтио; 2-, 3- или 4-пиридила, замещенного одной, двумя или тремя группами, выбранными из С1-С4алкила, нитро, карбоксила, альдегида, алкокси, амино, амидо, карбамида, меркапто, метилтио, этилтио; фурила, замещенного одной, двумя или тремя группами, выбранными из С1-С4алкила, нитро, карбоксила, альдегида, алкокси, амино, амидо, карбамида, меркапто, метилтио, этилтио; пиранила, замещенного одной, двумя или тремя группами, выбранными из С1-С4алкила, нитро, карбоксила, альдегида, алкокси, амино, амидо, карбамида, меркапто, метилтио, этилтио; тиенила, замещенного одной, двумя или тремя группами, выбранными из С1-С4алкила, нитро, карбоксила, альдегида, алкокси, амино, амидо, карбамида, меркапто, метилтио, этилтио; пирролила, замещенного одной, двумя или тремя группами, выбранными из С1-С4алкила, нитро, карбоксила, альдегида, алкокси, амино, амидо, карбамида, меркапто, метилтио, этилтио; C1-С6алканоила, замещенного одной, двумя или тремя группами, выбранными из галогена, С1-С6алкокси или гидроксила; С2-С6алкеноила; С2-С6алкиноила; С3-С6циклоалканоила; С3-С6циклоалканоила, замещенного одной, двумя или тремя группами, выбранными из галогена, C1-С6алкокси или гидроксила; адамантилформила; замещенного адамантилформила; ароила; бензоила; фуроила, пираноила; теноила; пирроила;
Х1 представляет собой О, S или NH;
или R3 и R4 независимо представляют собой

где R10 и R11 независимо представляют собой один из заместителей, выбранных из группы, состоящей из Н; С1-С6алкила; C1-С6алкила, замещенного одной, двумя или тремя группами, выбранными из галогена, С1-С6алкокси или гидроксила; C2-С6алкенила; С2-С6алкинила; С3-С6циклоалкила; С3-С6циклоалкила, замещенного одной, двумя или тремя группами, выбранными из галогена, C1-С6алкокси или гидроксила; арила; бензила; фурила; пиранила; тиенила; пирролила; 2-, 3- или 4-пиридила; арила, замещенного одной, двумя или тремя группами, выбранными из С1-С4алкила, нитро, карбоксила, альдегида, алкокси, амино, амидо, карбамида, меркапто, метилтио, этилтио; 2-, 3- или 4-пиридила, замещенного одной, двумя или тремя группами, выбранными из С1-С4алкила, нитро, карбоксила, альдегида, алкокси, амино, амидо, карбамида, меркапто, метилтио, этилтио; фурила, замещенного одной, двумя или тремя группами, выбранными из С1-С4алкила, нитро, карбоксила, альдегида, алкокси, амино, амидо, карбамида, меркапто, метилтио, этилтио; пиранила, замещенного одной, двумя или тремя группами, выбранными из С1-С4алкила, нитро, карбоксила, альдегида, алкокси, амино, амидо, карбамида, меркапто, метилтио, этилтио; тиенила, замещенного одной, двумя или тремя группами, выбранными из С1-С4алкила, нитро, карбоксила, альдегида, алкокси, амино, амидо, карбамида, меркапто, метилтио, этилтио; пирролила, замещенного одной, двумя или тремя группами, выбранными из С1-С4алкила, нитро, карбоксила, альдегида, алкокси, амино, амидо, карбамида, меркапто, метилтио, этилтио; С1-С6алканоила, замещенного одной, двумя или тремя группами, выбранными из галогена, C1-С6алкокси или гидроксила; С2-С6алкеноила; С2-С6алкиноила; С3-С6циклоалканоила; С3-С6циклоалканоила, замещенного одной, двумя или тремя группами, выбранными из галогена, С1-С6алкокси или гидроксила; адамантилформила; замещенного адамантилформила; ароила; бензоила; фуроила, пираноила; теноила; пирроила;
Х1 представляет собой О, S или NH; X2 представляет собой О, S или NH.
Когда R1 и R2 независимо представляют собой

где R12 и R13 независимо представляют собой один из заместителей, выбранных из группы, состоящей из Н; С1-С6алкила; С1-С6алкила, замещенного одной, двумя или тремя группами, выбранными из галогена, С1-С6алкокси или гидроксила; С2-С6алкенила; С2-С6алкинила; С3-С6циклоалкила; С3-С6циклоалкила, замещенного одной, двумя или тремя группами, выбранными из галогена, C1-С6алкокси или гидроксила; арила; бензила; фурила; пиранила; тиенила; пирролила; 2-, 3- или 4-пиридила; арила, замещенного одной, двумя или тремя группами, выбранными из С1-С4алкила, нитро, карбоксила, альдегида, алкокси, амино, амидо, карбамида, меркапто, метилтио, этилтио; 2-, 3- или 4-пиридила, замещенного одной, двумя или тремя группами, выбранными из С1-С4алкила, нитро, карбоксила, альдегида, алкокси, амино, амидо, карбамида, меркапто, метилтио, этилтио; фурила, замещенного одной, двумя или тремя группами, выбранными из С1-С4алкила, нитро, карбоксила, альдегида, алкокси, амино, амидо, карбамида, меркапто, метилтио, этилтио; пиранила, замещенного одной, двумя или тремя группами, выбранными из С1-С4алкила, нитро, карбоксила, альдегида, алкокси, амино, амидо, карбамида, меркапто, метилтио, этилтио; тиенила, замещенного одной, двумя или тремя группами, выбранными из С1-С4алкила, нитро, карбоксила, альдегида, алкокси, амино, амидо, карбамида, меркапто, метилтио, этилтио; пирролила, замещенного одной, двумя или тремя группами, выбранными из С1-С4алкила, нитро, карбоксила, альдегида, алкокси, амино, амидо, карбамида, меркапто, метилтио, этилтио; C1-С6алканоила, замещенного одной, двумя или тремя группами, выбранными из галогена, С1-С6алкокси или гидроксила; С2-С6алкеноила; С2-С6алкиноила; С3-С6циклоалканоила; С3-С6циклоалканоила, замещенного одной, двумя или тремя группами, выбранными из галогена, C1-С6алкокси или гидроксила; адамантилформила; замещенного адамантилформила; ароила; бензоила; фуроила, пираноила; теноила; пирроила;
X1 представляет собой О, S или NH; Х2 представляет собой О, S или NH;
R3 и R4 независимо представляют собой

где R6 представляет собой один из заместителей, выбранных из группы, состоящей из Н; C1-С6алкила; C1-С6алкила, замещенного одной, двумя или тремя группами, выбранными из галогена, С1-С6алкокси или гидроксила; C2-С6алкенила; С2-С6алкинила; С3-С6циклоалкила; С3-С6циклоалкила, замещенного одной, двумя или тремя группами, выбранными из галогена, С1-С6алкокси или гидроксила; арила; бензила; фурила; пиранила; тиенила; пирролила; 2-, 3- или 4-пиридила; арила, замещенного одной, двумя или тремя группами, выбранными из С1-С4алкила, нитро, карбоксила, альдегида, алкокси, амино, амидо, карбамида, меркапто, метилтио, этилтио; 2-, 3- или 4-пиридила, замещенного одной, двумя или тремя группами, выбранными из С1-С4алкила, нитро, карбоксила, альдегида, алкокси, амино, амидо, карбамида, меркапто, метилтио, этилтио; фурила, замещенного одной, двумя или тремя группами, выбранными из С1-С4алкила, нитро, карбоксила, альдегида, алкокси, амино, амидо, карбамида, меркапто, метилтио, этилтио; пиранила, замещенного одной, двумя или тремя группами, выбранными из С1-С4алкила, нитро, карбоксила, альдегида, алкокси, амино, амидо, карбамида, меркапто, метилтио, этилтио; тиенила, замещенного одной, двумя или тремя группами, выбранными из С1-С4алкила, нитро, карбоксила, альдегида, алкокси, амино, амидо, карбамида, меркапто, метилтио, этилтио; пирролила, замещенного одной, двумя или тремя группами, выбранными из С1-С4алкила, нитро, карбоксила, альдегида, алкокси, амино, амидо, карбамида, меркапто, метилтио, этилтио; С1-С6алканоила, замещенного одним, двумя или тремя группами, выбранными из галогена, С1-С6алкокси или гидроксила; С2-С6алкеноила; С2-С6алкиноила; С3-С6циклоалканоила; С3-С6циклоалканоила, замещенного одной, двумя или тремя группами, выбранными из галогена, C1-С6алкокси или гидроксила; адамантилформила; замещенного адамантилформила; ароила; бензоила; фуроила, пираноила; теноила; пирроила;
Х2 представляет собой О, S или NH;
или R3 и R4 независимо представляют собой

где R7 и R8 независимо представляют собой один из заместителей, выбранных из группы, состоящей из Н; C1-С6алкила; C1-С6алкила, замещенного одной, двумя или тремя группами, выбранными из галогена, С1-С6алкокси или гидроксила; C2-С6алкенила; С2-С6алкинила; С3-С8циклоалкила; С3-С6циклоалкила, замещенного одной, двумя или тремя группами, выбранными из галогена, C1-С6алкокси или гидроксила; арила; бензила; фурила; пиранила; тиенила; пирролила; 2-, 3- или 4-пиридила; арила, замещенного одним, двумя или тремя группами, выбранными из С1-С4алкила, нитро, карбоксила, альдегида, алкокси, амино, амидо, карбамида, меркапто, метилтио, этилтио; 2-, 3- или 4-пиридила, замещенного одной, двумя или тремя группами, выбранными из С1-С4алкила, нитро, карбоксила, альдегида, алкокси, амино, амидо, карбамида, меркапто, метилтио, этилтио; фурила, замещенного одной, двумя или тремя группами, выбранными из С1-С4алкила, нитро, карбоксила, альдегида, алкокси, амино, амидо, карбамида, меркапто, метилтио, этилтио; пиранила, замещенного одной, двумя или тремя группами, выбранными из С1-С4алкила, нитро, карбоксила, альдегида, алкокси, амино, амидо, карбамида, меркапто, метилтио, этилтио; тиенила, замещенного одной, двумя или тремя группами, выбранными из С1-С4алкила, нитро, карбоксила, альдегида, алкокси, амино, амидо, карбамида, меркапто, метилтио, этилтио; пирролила, замещенного одной, двумя или тремя группами, выбранными из С1-С4алкила, нитро, карбоксила, альдегида, алкокси, амино, амидо, карбамида, меркапто, метилтио, этилтио; C1-С6алканоила, замещенного одной, двумя или тремя группами, выбранными из галогена, C1-С6алкокси или гидроксила; С2-С6алкеноила; С2-С6алкиноила; С3-С6циклоалканоила; С3-С6циклоалканоила, замещенного одной, двумя или тремя группами, выбранными из галогена, С1-С6алкокси или гидроксила; адамантилформила; замещенного адамантилформила; ароила; бензоила; фуроила, пираноила; теноила; пирроила;
Х1 представляет собой О, S или NH; X2 представляет собой О, S или NH;
или R3 и R4 независимо представляют собой

где R9 представляет собой один из заместителей, выбранных из группы, состоящей из Н; C1-С6алкила; С1-С6алкила, замещенного одной, двумя или тремя группами, выбранными из галогена, C1-С6алкокси или гидроксила; C2-С6алкенила; С2-С6алкинила; С3-С6циклоалкила; С3-С6циклоалкила, замещенного одной, двумя или тремя группами, выбранными из галогена, С1-С6алкокси или гидроксила; арила; бензила; фурила; пиранила; тиенила; пирролила; 2-, 3- или 4-пиридила; арила, замещенного одной, двумя или тремя группами, выбранными из С1-С4алкила, нитро, карбоксила, альдегида, алкокси, амино, амидо, карбамида, меркапто, метилтио, этилтио; 2-, 3- или 4-пиридила, замещенного одной, двумя или тремя группами, выбранными из С1-С4алкила, нитро, карбоксила, альдегида, алкокси, амино, амидо, карбамида, меркапто, метилтио, этилтио; фурила, замещенного одной, двумя или тремя группами, выбранными из С1-С4алкила, нитро, карбоксила, альдегида, алкокси, амино, амидо, карбамида, меркапто, метилтио, этилтио; пиранила, замещенного одной, двумя или тремя группами, выбранными из С1-С4алкила, нитро, карбоксила, альдегида, алкокси, амино, амидо, карбамида, меркапто, метилтио, этилтио; тиенила, замещенного одной, двумя или тремя группами, выбранными из С1-С4алкила, нитро, карбоксила, альдегида, алкокси, амино, амидо, карбамида, меркапто, метилтио, этилтио; пирролила, замещенного одной, двумя или тремя группами, выбранными из С1-С4алкила, нитро, карбоксила, альдегида, алкокси, амино, амидо, карбамида, меркапто, метилтио, этилтио; C1-С6алканоила, замещенного одним, двумя или тремя группами, выбранными из галогена, С1-С6алкокси или гидроксила; С2-С6алкеноила; С2-С6алкиноила; С3-С6циклоалканоила; С3-С6циклоалканоила, замещенного одной, двумя или тремя группами, выбранными из галогена, C1-С6алкокси или гидроксила; адамантилформила; замещенного адамантилформила; ароила; бензоила; фуроила, пираноила; теноила; пирроила;
X1 представляет собой О, S или NH;
или R3 и R4 независимо представляют собой

где R10 и R11 независимо представляют собой один из заместителей, выбранных из группы, состоящей из Н; С1-С4алкила; С1-С6алкила, замещенного одной, двумя или тремя группами, выбранными из галогена, С1-С6алкокси или гидроксила; C2-С6алкенила; С2-С6алкинила; С3-С6циклоалкила; С3-С6циклоалкила, замещенного одной, двумя или тремя группами, выбранными из галогена, С1-С6алкокси или гидроксила; арила; бензила; фурила; пиранила; тиенила; пирролила; 2-, 3- или 4-пиридила; арила, замещенного одной, двумя или тремя группами, выбранными из С1-С4алкила, нитро, карбоксила, альдегида, алкокси, амино, амидо, карбамида, меркапто, метилтио, этилтио; 2-, 3- или 4-пиридила, замещенного одной, двумя или тремя группами, выбранными из С1-С4алкила, нитро, карбоксила, альдегида, алкокси, амино, амидо, карбамида, меркапто, метилтио, этилтио; фурила, замещенного одной, двумя или тремя группами, выбранными из С1-С4алкила, нитро, карбоксила, альдегида, алкокси, амино, амидо, карбамида, меркапто, метилтио, этилтио; пиранила, замещенного одной, двумя или тремя группами, выбранными из С1-С4алкила, нитро, карбоксила, альдегида, алкокси, амино, амидо, карбамида, меркапто, метилтио, этилтио; тиенила, замещенного одной, двумя или тремя группами, выбранными из С1-С4алкила, нитро, карбоксила, альдегида, алкокси, амино, амидо, карбамида, меркапто, метилтио, этилтио; пирролила, замещенного одной, двумя или тремя группами, выбранными из С1-С4алкила, нитро, карбоксила, альдегида, алкокси, амино, амидо, карбамида, меркапто, метилтио, этилтио; C1-С6алканоила, замещенного одной, двумя или тремя группами, выбранными из галогена, C1-С6алкокси или гидроксила; С2-С6алкеноила; С2-С6алкиноила; С3-С6циклоалканоила; С3-С6циклоалканоила, замещенного одной, двумя или тремя группами, выбранными из галогена, C1-С6алкокси или гидроксила; адамантилформила; замещенного адамантилформила; ароила; бензоила; фуроила, пираноила; теноила; пирроила;
X1 представляет собой О, S или NH; X2 представляет собой О, S или NH.
Кроме того, предпочтительно, когда R1 и R2 независимо представляет собой

где R13 представляет собой один из заместителей, выбранных из группы, состоящей из H; С1-С6алкила; С1-С6алкила, замещенного одной, двумя или тремя группами, выбранными из галогена, C1-С6алкокси или гидроксила; С2-С6алкенила; С2-С6алкинила; С3-С6циклоалкила; С3-С6циклоалкила, замещенного одной, двумя или тремя группами, выбранными из галогена, С1-С6алкокси или гидроксила; арила; бензила; фурила; пиранила; тиенила; пирролила; 2-, 3- или 4-пиридила; арила, замещенного одной, двумя или тремя группами, выбранными из С1-С4алкила, нитро, карбоксила, альдегида, алкокси, амино, амидо, карбамида, меркапто, метилтио, этилтио; 2-, 3- или 4-пиридила, замещенного одной, двумя или тремя группами, выбранными из С1-С4алкила, нитро, карбоксила, альдегида, алкокси, амино, амидо, карбамида, меркапто, метилтио, этилтио; фурила, замещенного одной, двумя или тремя группами, выбранными из С1-С4алкила, нитро, карбоксила, альдегида, алкокси, амино, амидо, карбамида, меркапто, метилтио, этилтио; пиранила, замещенного одной, двумя или тремя группами, выбранными из С1-С4алкила, нитро, карбоксила, альдегида, алкокси, амино, амидо, карбамида, меркапто, метилтио, этилтио; тиенила, замещенного одной, двумя или тремя группами, выбранными из С1-С4алкила, нитро, карбоксила, альдегида, алкокси, амино, амидо, карбамида, меркапто, метилтио, этилтио; пирролила, замещенного одной, двумя или тремя группами, выбранными из С1-С4алкила, нитро, карбоксила, альдегида, алкокси, амино, амидо, карбамида, меркапто, метилтио, этилтио; С1-С6алканоила, замещенного одной, двумя или тремя группами, выбранными из галогена, C1-С6алкокси или гидроксила; С2-С6алкеноила; С2-С6алкиноила; С3-С6циклоалканоила; С3-С6циклоалканоила, замещенного одной, двумя или тремя группами, выбранными из галогена, C1-С6алкокси или гидроксила; адамантилформила; замещенного адамантилформила; ароила; бензоила; фуроила, пираноила; теноила; пирроила;
когда X1 представляет собой О, S или NH;
R3 и R4 независимо представляют собой

где R6 представляет собой один из заместителей, выбранных из группы, состоящей из Н; C1-С6алкила; C1-С6алкила, замещенного одной, двумя или тремя группами, выбранными из галогена, C1-С6алкокси или гидроксила; С2-С6алкенила; С2-С6алкинила; С3-С6циклоалкила; С3-С6циклоалкила, замещенного одной, двумя или тремя группами, выбранными из галогена, С1-С6алкокси или гидроксила; арила; бензила; фурила; пиранила; тиенила; пирролила; 2-, 3- или 4-пиридила; арила, замещенного одной, двумя или тремя группами, выбранными из С1-С4алкила, нитро, карбоксила, альдегида, алкокси, амино, амидо, карбамида, меркапто, метилтио, этилтио; 2-, 3- или 4-пиридила, замещенного одной, двумя или тремя группами, выбранными из С1-С4алкила, нитро, карбоксила, альдегида, алкокси, амино, амидо, карбамида, меркапто, метилтио, этилтио; фурила, замещенного одной, двумя или тремя группами, выбранными из С1-С4алкила, нитро, карбоксила, альдегида, алкокси, амино, амидо, карбамида, меркапто, метилтио, этилтио; пиранила, замещенного одной, двумя или тремя группами, выбранными из С1-С4алкила, нитро, карбоксила, альдегида, алкокси, амино, амидо, карбамида, меркапто, метилтио, этилтио; тиенила, замещенного одной, двумя или тремя группами, выбранными из С1-С4алкила, нитро, карбоксила, альдегида, алкокси, амино, амидо, карбамида, меркапто, метилтио, этилтио; пирролила, замещенного одной, двумя или тремя группами, выбранными из С1-С4алкила, нитро, карбоксила, альдегида, алкокси, амино, амидо, карбамида, меркапто, метилтио, этилтио; С1-С6алканоила, замещенного одной, двумя или тремя группами, выбранными из галогена, С1-С6алкокси или гидроксила; С2-С6алкеноила; С2-С6алкиноила; С3-С6циклоалканоила; С3-С6циклоалканоила, замещенного одной, двумя или тремя группами, выбранными из галогена, C1-С6алкокси или гидроксила; адамантилформила; замещенного адамантилформила; ароила; бензоила; фуроила, пираноила; теноила; пирроила;
X2 представляет собой О, S или NH;
или R3 и R4 независимо представляют собой

где R7 и R8 независимо представляют собой один из заместителей, выбранных из группы, состоящей из Н; С1-С6алкила; С1-С6алкила, замещенного одной, двумя или тремя группами, выбранными из галогена, С1-С6алкокси или гидроксила; С2-С6алкенила; С2-С6алкинила; С3-С6циклоалкила; С3-С6циклоалкила, замещенного одной, двумя или тремя группами, выбранными из галогена, C1-С6алкокси или гидроксила; арила; бензила; фурила; пиранила; тиенила; пирролила; 2-, 3- или 4- пиридила; арила, замещенного одной, двумя или тремя группами, выбранными из С1-С4алкила, нитро, карбоксила, альдегида, алкокси, амино, амидо, карбамида, меркапто, метилтио, этилтио; 2-, 3- или 4-пиридила, замещенного одной, двумя или тремя группами, выбранными из С1-С4алкила, нитро, карбоксила, альдегида, алкокси, амино, амидо, карбамида, меркапто, метилтио, этилтио; фурила, замещенного одной, двумя или тремя группами, выбранными из С1-С4алкила, нитро, карбоксила, альдегида, алкокси, амино, амидо, карбамида, меркапто, метилтио, этилтио; пиранила, замещенного одной, двумя или тремя группами, выбранными из С1-С4алкила, нитро, карбоксила, альдегида, алкокси, амино, амидо, карбамида, меркапто, метилтио, этилтио; тиенила, замещенного одной, двумя или тремя группами, выбранными из С1-С4алкила, нитро, карбоксила, альдегида, алкокси, амино, амидо, карбамида, меркапто, метилтио, этилтио; пирролила, замещенного одной, двумя или тремя группами, выбранными из С1-С4алкила, нитро, карбоксила, альдегида, алкокси, амино, амидо, карбамида, меркапто, метилтио, этилтио; С1-С6алканоила, замещенного одной, двумя или тремя группами, выбранными из галогена, С1-С6алкокси или гидроксила; С2-С6алкеноила; С2-С6алкиноила; С3-С6циклоалканоила; С3-С6циклоалканоила, замещенного одной, двумя или тремя группами, выбранными из галогена, C1-С6алкокси или гидроксила; адамантилформила; замещенного адамантилформила; ароила; бензоила; фуроила, пираноила; теноила; пирроила;
X1 представляет собой О, S или NH; Х2 представляет собой О, S или NH;
или R3 и R4 независимо представляют собой

где R9 представляет собой один из заместителей, выбранных из группы, состоящей из Н; C1-С6алкила; C1-С6алкила, замещенного одной, двумя или тремя группами, выбранными из галогена, C1-С6алкокси или гидроксила; С2-С6алкенила; С2-С6алкинила; С3-С6циклоалкила; С3-С6циклоалкила, замещенного одной, двумя или тремя группами, выбранными из галогена, C1-С6алкокси или гидроксила; арила; бензила; фурила; пиранила; тиенила; пирролила; 2-, 3- или 4-пиридила; арила, замещенного одной, двумя или тремя группами, выбранными из С1-С4алкила, нитро, карбоксила, альдегида, алкокси, амино, амидо, карбамида, меркапто, метилтио, этилтио; 2-, 3- или 4-пиридила, замещенного одной, двумя или тремя группами, выбранными из С1-С4алкила, нитро, карбоксила, альдегида, алкокси, амино, амидо, карбамида, меркапто, метилтио, этилтио; фурила, замещенного одной, двумя или тремя группами, выбранными из С1-С4алкила, нитро, карбоксила, альдегида, алкокси, амино, амидо, карбамида, меркапто, метилтио, этилтио; пиранила, замещенного одной, двумя или тремя группами, выбранными из С1-С4алкила, нитро, карбоксила, альдегида, алкокси, амино, амидо, карбамида, меркапто, метилтио, этилтио; тиенила, замещенного одной, двумя или тремя группами, выбранными из С1-С4алкила, нитро, карбоксила, альдегида, алкокси, амино, амидо, карбамида, меркапто, метилтио, этилтио; пирролила, замещенного одной, двумя или тремя группами, выбранными из С1-С4алкила, нитро, карбоксила, альдегида, алкокси, амино, амидо, карбамида, меркапто, метилтио, этилтио; C1-С6алканоила, замещенного одной, двумя или тремя группами, выбранными из галогена, C1-С6алкокси или гидроксила; С2-С6алкеноила; С2-С6алкиноила; С3-С6циклоалканоила; С3-С6циклоалканоила, замещенного одной, двумя или тремя группами, выбранными из галогена, C1-С6алкокси или гидроксила; адамантилформила; замещенного адамантилформила; ароила; бензоила; фуроила, пираноила; теноила; пирроила;
X1 представляет собой О, S или NH;
или R3 и R4 независимо представляют собой

где R10 и R11 независимо представляют собой один из заместителей, выбранных из группы, состоящей из Н; С1-С6алкила; C1-С6алкила, замещенного одной, двумя или тремя группами, выбранными из галогена, С1-С6алкокси или гидроксила; С2-С6алкенила; С2-С6алкинила; С3-С6циклоалкила; С3-С6циклоалкила, замещенного одной, двумя или тремя группами, выбранными из галогена, С1-С6алкокси или гидроксила; арила; бензила; фурила; пиранила; тиенила; пирролила; 2-, 3- или 4-пиридила; арила, замещенного одной, двумя или тремя группами, выбранными из С1-С4алкила, нитро, карбоксила, альдегида, алкокси, амино, амидо, карбамида, меркапто, метилтио, этилтио; 2-, 3- или 4-пиридила, замещенного одной, двумя или тремя группами, выбранными из С1-С4алкила, нитро, карбоксила, альдегида, алкокси, амино, амидо, карбамида, меркапто, метилтио, этилтио; фурила, замещенного одной, двумя или тремя группами, выбранными из С1-С4алкила, нитро, карбоксила, альдегида, алкокси, амино, амидо, карбамида, меркапто, метилтио, этилтио; пиранила, замещенного одной, двумя или тремя группами, выбранными из С1-С4алкила, нитро, карбоксила, альдегида, алкокси, амино, амидо, карбамида, меркапто, метилтио, этилтио; тиенила, замещенного одной, двумя или тремя группами, выбранными из С1-С4алкила, нитро, карбоксила, альдегида, алкокси, амино, амидо, карбамида, меркапто, метилтио, этилтио; пирролила, замещенного одной, двумя или тремя группами, выбранными из С1-С4алкила, нитро, карбоксила, альдегида, алкокси, амино, амидо, карбамида, меркапто, метилтио, этилтио; C1-С6алканоила, замещенного одной, двумя или тремя группами, выбранными из галогена, С1-С6алкокси или гидроксила; С2-С6алкеноила; С2-С6алкиноила; С3-С6циклоалканоила; С3-С6циклоалканоила, замещенного одной, двумя или тремя группами, выбранными из галогена, С1-С6алкокси или гидроксила; адамантилформила; замещенного адамантилформила; ароила; бензоила; фуроила, пираноила; теноила; пирроила;
X1 представляет собой О, S или NH; Х2 представляет собой О, S или NH.
Когда R1 и R2 независимо представляют собой

где R11 и R12 независимо представляют собой один из заместителей, выбранных из группы, состоящей из Н; С1-С6алкила; С1-С6алкила, замещенного одной, двумя или тремя группами, выбранными из галогена, С1-С6алкокси или гидроксила; С2-С6алкенила; С2-С6алкинила; С3-С6циклоалкила; С3-С6циклоалкила, замещенного одной, двумя или тремя группами, выбранными из галогена, С1-С6алкокси или гидроксила; арила; бензила; фурила; пиранила; тиенила; пирролила; 2-, 3- или 4-пиридила; арила, замещенного одной, двумя или тремя группами, выбранными из С1-С4алкила, нитро, карбоксила, альдегида, алкокси, амино, амидо, карбамида, меркапто, метилтио, этилтио; 2-, 3- или 4-пиридила, замещенного одной, двумя или тремя группами, выбранными из С1-С4алкила, нитро, карбоксила, альдегида, алкокси, амино, амидо, карбамида, меркапто, метилтио, этилтио; фурила, замещенного одной, двумя или тремя группами, выбранными из С1-С4алкила, нитро, карбоксила, альдегида, алкокси, амино, амидо, карбамида, меркапто, метилтио, этилтио; пиранила, замещенного одной, двумя или тремя группами, выбранными из С1-С4алкила, нитро, карбоксила, альдегида, алкокси, амино, амидо, карбамида, меркапто, метилтио, этилтио; тиенила, замещенного одной, двумя или тремя группами, выбранными из С1-С4алкила, нитро, карбоксила, альдегида, алкокси, амино, амидо, карбамида, меркапто, метилтио, этилтио; пирролила, замещенного одной, двумя или тремя группами, выбранными из С1-С4алкила, нитро, карбоксила, альдегида, алкокси, амино, амидо, карбамида, меркапто, метилтио, этилтио; C1-С6алканоила, замещенного одной, двумя или тремя группами, выбранными из галогена, С2-С6алкокси или гидроксила; С2-С6алкеноила; С2-С6алкиноила; С3-С6циклоалканоила; С3-С6циклоалканоила, замещенного одной, двумя или тремя группами, выбранными из галогена, С1-С6алкокси или гидроксила; адамантилформила; замещенного адамантилформила; ароила; бензоила; фуроила, пираноила; теноила; пирроила;
X1 представляет собой О, S или NH; X2 представляет собой О, S или NH;
R3 и R4 независимо представляют собой

где R6 представляет собой один из заместителей, выбранных из группы, состоящей из Н; С1-С6алкила; C1-С6алкила, замещенного одной, двумя или тремя группами, выбранными из галогена, C1-С6алкокси или гидроксила; C2-С6алкенила; С2-С6алкинила; С3-С6циклоалкила; С3-С6циклоалкила, замещенного одной, двумя или тремя группами, выбранными из галогена, C1-С6алкокси или гидроксила; арила; бензила; фурила; пиранила; тиенила; пирролила; 2-, 3- или 4-пиридила; арила, замещенного одной, двумя или тремя группами, выбранными из С1-С4алкила, нитро, карбоксила, альдегида, алкокси, амино, амидо, карбамида, меркапто, метилтио, этилтио; 2-, 3- или 4-пиридила, замещенного одной, двумя или тремя группами, выбранными из С1-С4алкила, нитро, карбоксила, альдегида, алкокси, амино, амидо, карбамида, меркапто, метилтио, этилтио; фурила, замещенного одной, двумя или тремя группами, выбранными из С1-С4алкила, нитро, карбоксила, альдегида, алкокси, амино, амидо, карбамида, меркапто, метилтио, этилтио; пиранила, замещенного одной, двумя или тремя группами, выбранными из С1-С4алкила, нитро, карбоксила, альдегида, алкокси, амино, амидо, карбамида, меркапто, метилтио, этилтио; тиенила, замещенного одной, двумя или тремя группами, выбранными из С1-С6алкила, нитро, карбоксила, альдегида, алкокси, амино, амидо, карбамида, меркапто, метилтио, этилтио; пирролила, замещенного одной, двумя или тремя группами, выбранными из С1-С4алкила, нитро, карбоксила, альдегида, алкокси, амино, амидо, карбамида, меркапто, метилтио, этилтио; C1-С6алканоила, замещенного одной, двумя или тремя группами, выбранными из галогена, C1-С6алкокси или гидроксила; С2-С6алкеноила; С2-С6алкиноила; С3-С6циклоалканоила; С3-С6циклоалканоила, замещенного одной, двумя или тремя группами, выбранными из галогена, C1-С6алкокси или гидроксила; адамантилформила; замещенного адамантилформила; ароила; бензоила; фуроила, пираноила; теноила; пирроила;
Х2 представляет собой О, S или NH;
или R3 и R4 независимо представляют собой

где R7 и R8 независимо представляют собой один из заместителей, выбранных из группы, состоящей из Н; С1-С6алкила; C1-С6алкила, замещенного одной, двумя или тремя группами, выбранными из галогена, C1-С6алкокси или гидроксила; С2-С6алкенила; С2-С6алкинила; С3-С6циклоалкила; С3-С6циклоалкила, замещенного одной, двумя или тремя группами, выбранными из галогена, C1-С6алкокси или гидроксила; арила; бензила; фурила; пиранила; тиенила; пирролила; 2-, 3- или 4-пиридила; арила, замещенного одной, двумя или тремя группами, выбранными из С1-С4алкила, нитро, карбоксила, альдегида, алкокси, амино, амидо, карбамида, меркапто, метилтио, этилтио; 2-, 3- или 4-пиридила, замещенного одной, двумя или тремя группами, выбранными из С1-С4алкила, нитро, карбоксила, альдегида, алкокси, амино, амидо, карбамида, меркапто, метилтио, этилтио; фурила, замещенного одной, двумя или тремя группами, выбранными из С1-С4алкила, нитро, карбоксила, альдегида, алкокси, амино, амидо, карбамида, меркапто, метилтио, этилтио; пиранила, замещенного одной, двумя или тремя группами, выбранными из С1-С4алкила, нитро, карбоксила, альдегида, алкокси, амино, амидо, карбамида, меркапто, метилтио, этилтио; тиенила, замещенного одной, двумя или тремя группами, выбранными из С1-С4алкила, нитро, карбоксила, альдегида, алкокси, амино, амидо, карбамида, меркапто, метилтио, этилтио; пирролила, замещенного одной, двумя или тремя группами, выбранными из С1-С4алкила, нитро, карбоксила, альдегида, алкокси, амино, амидо, карбамида, меркапто, метилтио, этилтио; C1-С6алканоила, замещенного одним, двумя или тремя группами, выбранными из галогена, C1-С6алкокси или гидроксила; С2-С6алкеноила; С2-С6алкиноила; С3-С6циклоалканоила; С3-С6циклоалканоила, замещенного одной, двумя или тремя группами, выбранными из галогена, C1-С6алкокси или гидроксила; адамантилформила; замещенного адамантилформила; ароила; бензоила; фуроила, пираноила; теноила; пирроила;
X1 представляет собой О, S или NH; Х2 представляет собой О, S или NH;
или R3 и R4 независимо представляют собой

где R9 представляет собой один из заместителей, выбранных из группы, состоящей из Н; С1-С6алкила; C1-С6алкила, замещенного одной, двумя или тремя группами, выбранными из галогена, С1-С6алкокси или гидроксила; С2-С6алкенила; С2-С6алкинила; С3-С6циклоалкила; С3-С6циклоалкила, замещенного одной, двумя или тремя группами, выбранными из галогена, C1-С6алкокси или гидроксила; арила; бензила; фурила; пиранила; тиенила; пирролила; 2-, 3- или 4-пиридила; арила, замещенного одной, двумя или тремя группами, выбранными из С1-С4алкила, нитро, карбоксила, альдегида, алкокси, амино, амидо, карбамида, меркапто, метилтио, этилтио; 2-, 3- или 4-пиридила, замещенного одной, двумя или тремя группами, выбранными из С1-С4алкила, нитро, карбоксила, альдегида, алкокси, амино, амидо, карбамида, меркапто, метилтио, этилтио; фурила, замещенного одной, двумя или тремя группами, выбранными из С1-С4алкила, нитро, карбоксила, альдегида, алкокси, амино, амидо, карбамида, меркапто, метилтио, этилтио; пиранила, замещенного одной, двумя или тремя группами, выбранными из С1-С4алкила, нитро, карбоксила, альдегида, алкокси, амино, амидо, карбамида, меркапто, метилтио, этилтио; тиенила, замещенного одной, двумя или тремя группами, выбранными из С1-С4алкила, нитро, карбоксила, альдегида, алкокси, амино, амидо, карбамида, меркапто, метилтио, этилтио; пирролила, замещенного одной, двумя или тремя группами, выбранными из С1-С4алкила, нитро, карбоксила, альдегида, алкокси, амино, амидо, карбамида, меркапто, метилтио, этилтио; C1-С6алканоила, замещенного одной, двумя или тремя группами, выбранными из галогена, С1-С6алкокси или гидроксила; С2-С6алкеноила; С2-С6алкиноила; С3-С6циклоалканоила; С3-С6циклоалканоила, замещенного одной, двумя или тремя группами, выбранными из галогена, С1-С4алкокси или гидроксила; адамантилформила; замещенного адамантилформила; ароила; бензоила; фуроила, пираноила; теноила; пирроила;
X1 представляет собой О, S или NH;
или R3 и R4 независимо представляют собой

где R10 и R11 независимо представляют собой один из заместителей, выбранных из группы, состоящей из Н; C1-С6алкила; С1-С6алкила, замещенного одной, двумя или тремя группами, выбранными из галогена, C1-С6алкокси или гидроксила; C2-С6алкенила; С3-С6алкинила; С3-С6циклоалкила; С3-С6циклоалкила, замещенного одной, двумя или тремя группами, выбранными из галогена, C1-С6алкокси или гидроксила; арила; бензила; фурила; пиранила; тиенила; пирролила; 2-, 3- или 4-пиридила; арила, замещенного одной, двумя или тремя группами, выбранными из С1-С4алкила, нитро, карбоксила, альдегида, алкокси, амино, амидо, карбамида, меркапто, метилтио, этилтио; 2-, 3- или 4-пиридила, замещенного одной, двумя или тремя группами, выбранными из С1-С4алкила, нитро, карбоксила, альдегида, алкокси, амино, амидо, карбамида, меркапто, метилтио, этилтио; фурила, замещенного одной, двумя или тремя группами, выбранными из С1-С4алкила, нитро, карбоксила, альдегида, алкокси, амино, амидо, карбамида, меркапто, метилтио, этилтио; пиранила, замещенного одной, двумя или тремя группами, выбранными из С1-С4алкила, нитро, карбоксила, альдегида, алкокси, амино, амидо, карбамида, меркапто, метилтио, этилтио; тиенила, замещенного одной, двумя или тремя группами, выбранными из С1-С4алкила, нитро, карбоксила, альдегида, алкокси, амино, амидо, карбамида, меркапто, метилтио, этилтио; пирролила, замещенного одной, двумя или тремя группами, выбранными из С1-С4алкила, нитро, карбоксила, альдегида, алкокси, амино, амидо, карбамида, меркапто, метилтио, этилтио; С1-С6алканоила, замещенного одной, двумя или тремя группами, выбранными из галогена, C1-С6алкокси или гидроксила; С2-С6алкеноила; С2-С6алкиноила; С3-С6циклоалканоила; С3-С6циклоалканоила, замещенного одной, двумя или тремя группами, выбранными из галогена, С2-С6алкокси или гидроксила; адамантилформила; замещенного адамантилформила; ароила; бензоила; фуроила, пираноила; теноила; пирроила;
X1 представляет собой О, S или NH; Х2 представляет собой О, S или NH.
Кроме того, предпочтительно, соединение или его фармацевтически приемлемые соли поставляют в форме фармацевтической композиции либо как такового, либо в комбинации с фармацевтически приемлемыми носителями или эксципиентами. Настоящее изобретение предлагает также лекарственное средство, включающее в себя указанное выше соединение, пригодное для профилактики или лечения метаболических нарушений (включающих, но не ограничивающихся перечисленным, диабет, инсулинорезистентность и ожирение и так далее).
С другой стороны, изобретение относится к способу профилактики или лечения метаболических нарушений, включающих в себя, но не ограничивающихся перечисленным, диабет, инсулинорезистентность и ожирение и так далее. Способ включает в себя введение субъекту, который нуждается в лечении или профилактике или которого следует подобным образом подвергнуть такой профилактике или лечению, эффективной дозы соединения, которое селективно регулирует активность рецептора подобного глюкагону пептида-1, или его фармацевтически приемлемых солей, чтобы тем самым лечить или предотвращать такие заболевания или их симптомы. Вышеуказанные метаболические нарушения, предпочтительно, предотвращают или лечат введением эффективной дозы соединения нижеследующей общей формулы I или II или его фармацевтически приемлемых солей и всех его стереоизомеров и оптических изомеров или его пролекарств, обладающих одинаковыми с ним фармакологическим действием, сложных эфиров, сольватов или комплексов металлов,
 
где n равно любому числу в диапазоне 0-3, Х и Y независимо представляет собой О, S или N;
где R1 и R2 независимо представляют собой один из заместителей, выбранных из группы, состоящей из водорода, галогена, алкана, циклоалкана, гидроксила, нитро, карбоксила, альдегида, алкокси, амино, алкиламино, амидо, карбамида, меркапто, алкилтио, простого эфира, простого тиоэфира, арила, 2-, 3- или 4-пиридила, фурила, пиранила, тиенила, пирролила; арила, замещенного одной, двумя или тремя группами, выбранными из С1-С4алкила, нитро, карбоксила, альдегида, алкокси, амино, амидо, карбамида, меркапто, метилтио, этилтио; 2-, 3- или 4-пиридила, замещенного одной, двумя или тремя группами, выбранными из С1-С4алкила, нитро, карбоксила, альдегида, алкокси, амино, амидо, карбамида, меркапто, метилтио, этилтио; фурила, замещенного одной, двумя или тремя группами, выбранными из С1-С4алкила, нитро, карбоксила, альдегида, алкокси, амино, амидо, карбамида, меркапто, метилтио, этилтио; пиранила, замещенного одной, двумя или тремя группами, выбранными из С1-С4алкила, нитро, карбоксила, альдегида, алкокси, амино, амидо, карбамида, меркапто, метилтио, этилтио; тиенила, замещенного одной, двумя или тремя группами, выбранными из С1-С4алкила, нитро, карбоксила, альдегида, алкокси, амино, амидо, карбамида, меркапто, метилтио, этилтио; пирролила, замещенного одной, двумя или тремя группами, выбранными из С1-С4алкила, нитро, карбоксила, альдегида, алкокси, амино, амидо, карбамида, меркапто, метилтио, этилтио; R3 и R4 независимо представляют собой один из заместителей, выбранных из группы, состоящей из водорода, алкана, циклоалкана, алкокси, амино, алкиламино, амидо, карбамида, алкилтио, арила, 2-, 3- или 4-пиридила, фурила, пиранила, тиенила, пирролила; арила, замещенного одной, двумя или тремя группами, выбранными из С1-С4алкила, нитро, карбоксила, альдегида, алкокси, амино, амидо, карбамида, меркапто, метилтио, этилтио; 2-, 3- или 4-пиридила, замещенного одной, двумя или тремя группами, выбранными из С1-С4алкила, нитро, карбоксила, альдегида, алкокси, амино, амидо, карбамида, меркапто, метилтио, этилтио; фурила, замещенного одной, двумя или тремя группами, выбранными из С1-С4алкила, нитро, карбоксила, альдегида, алкокси, амино, амидо, карбамида, меркапто, метилтио, этилтио; пиранила, замещенного одной, двумя или тремя группами, выбранными из С1-С4алкила, нитро, карбоксила, альдегида, алкокси, амино, амидо, карбамида, меркапто, метилтио, этилтио; тиенила, замещенного одной, двумя или тремя группами, выбранными из С1-С4алкила, нитро, карбоксила, альдегида, алкокси, амино, амидо, карбамида, меркапто, метилтио, этилтио; пирролила, замещенного одной, двумя или тремя группами, выбранными из С1-С4алкила, нитро, карбоксила, альдегида, алкокси, амино, амидо, карбамида, меркапто, метилтио, этилтио.
С другой стороны, настоящее изобретение относится к комбинированному препарату, который включает в себя присутствующий как таковой или в комбинации с фармацевтически приемлемыми носителями или эксципиентами соединение, способное селективно регулировать рецептор подобного глюкагону пептида-1, особенно активирующую функцию рецептора, или его фармацевтически приемлемые соли и все его стереоизомеры и оптические изомеры или его пролекарства, обладающие одинаковыми с ним фармакологическим действием, сложные эфиры, сольваты или комплексы металлов.
Соединение характеризуется следующей формулой I или II:
 
где n равно любому числу в диапазоне 0-3, Х и Y независимо представляет собой О, S или N;
где R1 и R2 независимо представляют собой один из заместителей, выбранных из группы, состоящей из водорода, галогена, алкана, циклоалкана, гидроксила, нитро, карбоксила, альдегида, алкокси, амино, алкиламино, амидо, карбамида, меркапто, алкилтио, простого эфира, простого тиоэфира, арила, 2-, 3- или 4-пиридила, фурила, пиранила, тиенила, пирролила; арила, замещенного одной, двумя или тремя группами, выбранными из С1-С4алкила, нитро, карбоксила, альдегида, алкокси, амино, амидо, карбамида, меркапто, метилтио, этилтио; 2-, 3- или 4-пиридила, замещенного одной, двумя или тремя группами, выбранными из С1-С4алкила, нитро, карбоксила, альдегида, алкокси, амино, амидо, карбамида, меркапто, метилтио, этилтио; фурила, замещенного одной, двумя или тремя группами, выбранными из С1-С4алкила, нитро, карбоксила, альдегида, алкокси, амино, амидо, карбамида, меркапто, метилтио, этилтио; пиранила, замещенного одной, двумя или тремя группами, выбранными из С1-С4алкила, нитро, карбоксила, альдегида, алкокси, амино, амидо, карбамида, меркапто, метилтио, этилтио; тиенила, замещенного одной, двумя или тремя группами, выбранными из С1-С4алкила, нитро, карбоксила, альдегида, алкокси, амино, амидо, карбамида, меркапто, метилтио, этилтио; пирролила, замещенного одной, двумя или тремя группами, выбранными из С1-С4алкила, нитро, карбоксила, альдегида, алкокси, амино, амидо, карбамида, меркапто, метилтио, этилтио;
R3 и R4 независимо представляют собой один из заместителей, выбранных из группы, состоящей из водорода, алкана, циклоалкана, алкокси, амино, алкиламино, амидо, карбамида, алкилтио, арила, 2-, 3- или 4-пиридила, фурила, пиранила, тиенила, пирролила; арила, замещенного одной, двумя или тремя группами, выбранными из С1-С4алкила, нитро, карбоксила, альдегида, алкокси, амино, амидо, карбамида, меркапто, метилтио, этилтио; 2-, 3- или 4-пиридила, замещенного одной, двумя или тремя группами, выбранными из С1-С4алкила, нитро, карбоксила, альдегида, алкокси, амино, амидо, карбамида, меркапто, метилтио, этилтио; фурила, замещенного одной, двумя или тремя группами, выбранными из С1-С4алкила, нитро, карбоксила, альдегида, алкокси, амино, амидо, карбамида, меркапто, метилтио, этилтио; пиранила, замещенного одной, двумя или тремя группами, выбранными из С1-С4алкила, нитро, карбоксила, альдегида, алкокси, амино, амидо, карбамида, меркапто, метилтио, этилтио; тиенила, замещенного одной, двумя или тремя группами, выбранными из С1-С4алкила, нитро, карбоксила, альдегида, алкокси, амино, амидо, карбамида, меркапто, метилтио, этилтио; пирролила, замещенного одной, двумя или тремя группами, выбранными из С1-С4алкила, нитро, карбоксила, альдегида, алкокси, амино, амидо, карбамида, меркапто, метилтио, этилтио.
Настоящее изобретение предлагает набор, содержащий указанный выше комбинированный препарат. Изобретение далее предлагает применять указанный выше комбинированный препарат для профилактики или лечения метаболических нарушений (включающих, но не ограничивающихся перечисленным, диабет, инсулинорезистентность и ожирение и так далее), чтобы тем самым достичь терапевтического действия в отношении селективной активации рецептора подобного глюкагону пептида-1 и улучшить симптомы диабета и качество жизни пациентов с таким заболеванием.
Чтобы сделать более ясным содержание описания, которое не ограничивает изобретение, настоящее изобретение подробно описывается в следующих разделах.
А. Определения
Если не оговорено особо, технические и научные термины, применяемые здесь, имеют значения, обычно понимаемые специалистом в данной области. Все патенты, заявки, опубликованные заявки и другие публикации и последовательности, которые получены из банка генов и других баз данных, включены здесь во всей их полноте в качестве ссылок. Когда имеется любое противоречие или различие между определениями в этом разделе и определениями, включенными или цитированными в любом из патентов, заявок, опубликованных заявок и других публикациях и последовательностях, которые получены из банка генов и других баз данных, определения в этом разделе являются обоснованными.
Артикль единственного числа или слово один, применяемое здесь, относится к термину «по меньшей мере, один» или «один или несколько».
Термин «метаболические нарушения», применяемый здесь, относится к соответствующим симптомам и/или заболеваниям в результате метаболического нарушения обмена сахарида, жира или белка и так далее, вызванного различными факторами.
Термин «диабет», применяемый здесь, относится к полипатогенному метаболическому заболеванию, которое характеризуется хронической гипергликемией, которая сопровождается метаболическим нарушением обмена сахарида, жира или белка и т.д., вызванным дефектом секреции и/или функции инсулина. С продлением времени заболевания диабетом, если метаболические нарушения в организме не могут быть в достаточной степени устранены, это может привести к хроническим осложнениям в тканях/органах, таких как глаза, почки, нервы, кровеносный сосуд и сердце, что в конце концов вызовет слепоту, гангрену нижних конечностей, уремию, церебральное кровоизлияние или инфаркт миокарда и даже будет опасным для жизни.
Термин «инсулинорезистентность», применяемый здесь, относится к тому факту, что чувствительность периферических тканей в теле человека к инсулину понижается, и ткани-мишени, такие как мышцы и жир, препятствуют действию инсулина, стимулирующего потребление глюкозы. Инсулинорезистентность широко наблюдается при сахарном диабете типа II почти у более чем 90% таких пациентов и является одним из основных факторов, вызывающих сахарный диабет типа II.
Термин «ожирение», применяемый здесь, относится к феномену, при котором количество жира в теле человека является излишним, причем масса тела мужчины превышает более чем на 25% стандартную массу или масса тела женщины более чем на 30% превышает стандартную массу. Факторы, вызывающие ожирение, включают в себя наследственность, нарушение гипоталамуса, эндокринное нарушение, гиперфагию и недостаток физической нагрузки.
«Эффективная доза» соединения для лечения определенного заболевания относится к дозе, которая является достаточной для устранения или ослабления до некоторой степени симптомов, сопровождающих заболевание. Дозу можно вводить в виде одинарной дозы, также вводимой согласно схеме лечения. Доза может вылечить заболевание, но обычно ее вводят для ослабления симптомов. Для ослабления симптомов может быть необходимо периодически повторять введение лекарственного средства.
Термин «фармацевтически приемлемые соли, сложные эфиры и другие производные», применяемый здесь, включает в себя любые соли, сложные эфиры или другие производные, которые легко получают при помощи метода, известного специалисту в данной области. Соединения, таким образом выделенные или полученные, можно вводить в качестве лекарственных средств животному или человеку без вирулентного действия. Соединения либо обладают активностью лекарственного средства, либо являются пролекарствами.
Термин «лечение», применяемый здесь, относится к лечению, при котором так или иначе патологические состояния при заболеваниях улучшаются или симптомы ослабляются или которое приводит в другим полезным изменениям. Лечение включает в себя также фармацевтические применения соединений настоящего изобретения.
Термин «ослабление» симптомов определенного заболевания введением определенной фармацевтической композиции относится к любым ослаблениям, независимо от того, являются ли они постоянными, временными, длительными или короткими, может быть отнесено к применению фармацевтической композиции или связано с таким применением.
Термин «по существу чистый», применяемый здесь, относится к достаточно однородному (чистому) соединению, так что специалист в данной области не может обнаружить никакую примесь с применением стандартного аналитического метода, который применяют для оценки чистоты. Указанный стандартный аналитический метод включает в себя, например, тонкослойную хроматографию (ТСХ), гель-электрофорез и высокоэффективную жидкостную хроматографию (ВЭЖХ). Или же термин «достаточно чистый» относится также к чистоте, при которой, даже при дополнительной очистке, поддающиеся измерению физико-химические свойства, например активность в отношении ферментов и биологическая активность, вещества не изменятся. Методы очистки для получения по существу чистого соединения хорошо известны специалисту в данной области. Однако по существу химически чистым соединением может быть смесь стереоизомеров или изомеров. В этом случае дополнительная очистка может повысить специфическую активность соединения.
Термин «пролекарство», применяемый здесь, относится к соединению, которое вводят in vivo, которое может метаболизироваться или превращаться в активную форму в терминах биологии, фармакологии или терапии. Для получения пролекарства фармацевтически активное соединение нужно модифицировать так, чтобы активное соединение могло быть репродуцировано посредством процесса метаболизма. Пролекарство можно определить как предшественник, имеющий измененную метаболическую стабильность или свойства переноса, так чтобы маскировалось побочное действие или токсичность лекарственного средства и улучшался вкус лекарственного средства или изменялись другие его свойства. В том случае, если фармацевтически активное соединение является известным, специалист в данной области может разработать схему применения пролекарства этого соединения на основе знаний фармакокинетики и метаболизма лекарственного средства in vivo. [См. Medicinal Chemistry A Biochemical Approach, Oxford University Press, New York, 1985, pages 388-292]
Применяемый здесь термин «по существу» идентичный, или одинаковый, или аналогичный способ, который может быть в некоторой степени изменен в контексте согласно пониманию специалистов в данной области относительно соответствующих способов, является обычно, по меньшей мере, на 70%, предпочтительно, по меньшей мере, на 80%, более предпочтительно, по меньшей мере, на 90% и наиболее предпочтительно, по меньшей мере, на 95% идентичным.
Термин «композиция», применяемый здесь, относится к любой смеси, которая может быть раствором, суспензией, жидкостью, порошком, мазью, водной, неводной или любой их смесью.
Термин «комбинация», применяемый здесь, относится к любой комбинации двух или более компонентов.
Термин «субъект», применяемый здесь, включает в себя человека и животных, таких как собака, кошка, корова, свинья, грызуны и так далее. Квалифицированные исполнители должны понимать данный термин как субъект, который является подходящим и который можно подобным образом подвергнуть профилактике и лечению диабета и его осложнений.
Если не оговорено особо, любые аббревиатуры защитных групп, аминокислот и других соединений, применяемые здесь, являются одинаковыми с их обычными, признанными аббревиатурами или их биологическими названиями, опубликованными IUPAC-IUB Committee.
В. Регулятор рецептора подобного глюкагону пептида-1
Настоящее изобретение предлагает регулятор рецептора подобного глюкагону пептида-1, таким образом добавляя члены в группу лекарственных средств для профилактики и лечения диабета. Изобретение относится к соединению нижеследующей общей формулы I или II или его фармацевтически приемлемым солям и всем его стереоизомерам и оптическим изомерам или пролекарствам, имеющим такое же, как у него, фармакологическое действие, его сложным эфирам, сольватам или комплексам металлов
 
где n равен любому числу в диапазоне 0-3 и Х и Y независимо представляют собой О, S или N;
где R1 и R2 независимо представляют собой один из заместителей, выбранных из группы, состоящей из водорода, галогена, алкана, циклоалкана, гидроксила, нитро, карбоксила, альдегида, алкокси, амино, алкиламино, амидо, карбамида, меркапто, алкилтио, простого эфира, простого тиоэфира, арила, 2-, 3- или 4-пиридила, фурила, пиранила, тиенила, пирролила; арила, замещенного одной, двумя или тремя группами, выбранными из С1-С4алкила, нитро, карбоксила, альдегида, алкокси, амино, амидо, карбамида, меркапто, метилтио, этилтио; 2-, 3- или 4-пиридила, замещенного одной, двумя или тремя группами, выбранными из С1-С4алкила, нитро, карбоксила, альдегида, алкокси, амино, амидо, карбамида, меркапто, метилтио, этилтио; фурила, замещенного одной, двумя или тремя группами, выбранными из С1-С4алкила, нитро, карбоксила, альдегида, алкокси, амино, амидо, карбамида, меркапто, метилтио, этилтио; пиранила, замещенного одной, двумя или тремя группами, выбранными из С1-С4алкила, нитро, карбоксила, альдегида, алкокси, амино, амидо, карбамида, меркапто, метилтио, этилтио; тиенила, замещенного одной, двумя или тремя группами, выбранными из С1-С4алкила, нитро, карбоксила, альдегида, алкокси, амино, амидо, карбамида, меркапто, метилтио, этилтио; пирролила, замещенного одной, двумя или тремя группами, выбранными из С1-С4алкила, нитро, карбоксила, альдегида, алкокси, амино, амидо, карбамида, меркапто, метилтио, этилтио;
R3 и R4 независимо представляют собой один из заместителей, выбранных из группы, состоящей из водорода, алкана, циклоалкана, алкокси, амино, алкиламино, амидо, карбамида, алкилтио, арила, 2-, 3- или 4-пиридила, фурила, пиранила, тиенила, пирролила; арила, замещенного одной, двумя или тремя группами, выбранными из С1-С4алкила, нитро, карбоксила, альдегида, алкокси, амино, амидо, карбамида, меркапто, метилтио, этилтио; 2-, 3- или 4-пиридила, замещенного одной, двумя или тремя группами, выбранными из С1-С4алкила, нитро, карбоксила, альдегида, алкокси, амино, амидо, карбамида, меркапто, метилтио, этилтио; фурила, замещенного одной, двумя или тремя группами, выбранными из С1-С4алкила, нитро, карбоксила, альдегида, алкокси, амино, амидо, карбамида, меркапто, метилтио, этилтио; пиранила, замещенного одной, двумя или тремя группами, выбранными из С1-С4алкила, нитро, карбоксила, альдегида, алкокси, амино, амидо, карбамида, меркапто, метилтио, этилтио; тиенила, замещенного одной, двумя или тремя группами, выбранными из C1-С4алкила, нитро, карбоксила, альдегида, алкокси, амино, амидо, карбамида, меркапто, метилтио, этилтио; пирролила, замещенного одной, двумя или тремя группами, выбранными из С1-С4алкила, нитро, карбоксила, альдегида, алкокси, амино, амидо, карбамида, меркапто, метилтио, этилтио.
Соединение настоящего изобретения может быть определенным стереоизомером, таким как R-изомер или S-изомер, или их смесью, например рацемической смесью. Соединения, рассматриваемые здесь, включают в себя все типы соединений, обладающих фармацевтической активностью, или их растворы или смеси. Включены также гидратированные формы, такие как водные растворы, гидролизаты или ионизированные продукты соединений. Кроме того, эти соединения могут иметь разное число молекул воды.
Соединение настоящего изобретения можно получить или синтезировать согласно любым подходящим методам. Предпочтительно соединение получают согласно синтетическому методу, как указано в нижеследующем разделе F.
Кроме того, соединение или его фармацевтически приемлемые соли предпочтительно поставляют в форме фармацевтической композиции, содержащей такое соединение либо как таковое, либо в комбинации с фармацевтически приемлемыми носителями или эксципиентами.
Соединение настоящего изобретения можно получить в форме его фармацевтически приемлемых солей с применением любых подходящих кислот. Можно применять, например, неорганические кислоты, такие как хлористоводородная кислота, бромистоводородная кислота, азотная кислота, серная кислота, фосфорная кислота и так далее; органические кислоты, такие как муравьиная кислота, уксусная кислота, пропионовая кислота, бензойная кислота, малеиновая кислота, фумаровая кислота, янтарная кислота, винная кислота, лимонная кислота и так далее; алкилсульфоновые кислоты, такие как метансульфоновая кислота, этансульфоновая кислота и так далее, и арилсульфоновые кислоты, такие как бензолсульфоновая кислота, п-толуолсульфоновая кислота и так далее.
С. Способ профилактики и лечения
Настоящее изобретение относится к способу профилактики или лечения метаболических нарушений (включающих, но не ограничивающихся перечисленным, диабет, инсулинорезистентность и ожирение и так далее). Способ включает в себя введение субъекту, который нуждается в лечении или профилактике или которого можно подобным образом подвергнуть лечению и профилактике, эффективной дозы соединения, которое селективно возбуждает рецептор подобного глюкагону пептида-1, или его фармацевтически приемлемых солей, чтобы тем самым осуществить лечение или профилактику заболеваний или симптомов.
Указанные выше метаболические нарушения предпочтительно предотвращают или лечат введением эффективной дозы соединения нижеследующей общей формулы I или II или его фармацевтически приемлемых солей и всех его стереоизомеров и оптических изомеров или его пролекарств, имеющих такое же, как у него, фармакологическое действие, его сложных эфиров, сольватов или комплексов металлов
 
где n равен любому числу в диапазоне 0-3 и Х и Y независимо представляют собой О, S или N;
где R1 и R2 независимо представляют собой один из заместителей, выбранных из группы, состоящей из водорода, галогена, алкана, циклоалкана, гидроксила, нитро, карбоксила, альдегида, алкокси, амино, алкиламино, амидо, карбамида, меркапто, алкилтио, простого эфира, простого тиоэфира, арила, 2-, 3- или 4-пиридила, фурила, пиранила, тиенила, пирролила; арила, замещенного одной, двумя или тремя группами, выбранными из С1-С4алкила, нитро, карбоксила, альдегида, алкокси, амино, амидо, карбамида, меркапто, метилтио, этилтио; 2-, 3- или 4-пиридила, замещенного одной, двумя или тремя группами, выбранными из С1-С4алкила, нитро, карбоксила, альдегида, алкокси, амино, амидо, карбамида, меркапто, метилтио, этилтио; фурила, замещенного одной, двумя или тремя группами, выбранными из С1-С4алкила, нитро, карбоксила, альдегида, алкокси, амино, амидо, карбамида, меркапто, метилтио, этилтио; пиранила, замещенного одной, двумя или тремя группами, выбранными из С1-С4алкила, нитро, карбоксила, альдегида, алкокси, амино, амидо, карбамида, меркапто, метилтио, этилтио; тиенила, замещенного одной, двумя или тремя группами, выбранными из С1-С4алкила, нитро, карбоксила, альдегида, алкокси, амино, амидо, карбамида, меркапто, метилтио, этилтио; пирролила, замещенного одной, двумя или тремя группами, выбранными из С1-С4алкила, нитро, карбоксила, альдегида, алкокси, амино, амидо, карбамида, меркапто, метилтио, этилтио;
R3 и R4 независимо представляют собой один из заместителей, выбранных из группы, состоящей из водорода, алкана, циклоалкана, алкокси, амино, алкиламино, амидо, карбамида, алкилтио, арила, 2-, 3- или 4-пиридила, фурила, пиранила, тиенила, пирролила; арила, замещенного одной, двумя или тремя группами, выбранными из С1-С4алкила, нитро, карбоксила, альдегида, алкокси, амино, амидо, карбамида, меркапто, метилтио, этилтио; 2-, 3- или 4-пиридила, замещенного одной, двумя или тремя группами, выбранными из С1-С4алкила, нитро, карбоксила, альдегида, алкокси, амино, амидо, карбамида, меркапто, метилтио, этилтио; фурила, замещенного одной, двумя или тремя группами, выбранными из С1-С4алкила, нитро, карбоксила, альдегида, алкокси, амино, амидо, карбамида, меркапто, метилтио, этилтио; пиранила, замещенного одной, двумя или тремя группами, выбранными из С1-С4алкила, нитро, карбоксила, альдегида, алкокси, амино, амидо, карбамида, меркапто, метилтио, этилтио; тиенила, замещенного одной, двумя или тремя группами, выбранными из С1-С4алкила, нитро, карбоксила, альдегида, алкокси, амино, амидо, карбамида, меркапто, метилтио, этилтио; пирролила, замещенного одной, двумя или тремя группами, выбранными из С1-С4алкила, нитро, карбоксила, альдегида, алкокси, амино, амидо, карбамида, меркапто, метилтио, этилтио.
Способ можно применять для профилактики и лечения любого субъекта, предпочтительно, млекопитающего, более предпочтительно, человека.
Способ можно применять для профилактики любых заболеваний или симптомов, вызванных или сопровождаемых нарушением секреции и/или функции инсулина. Предпочтительные заболевания или симптомы включают в себя диабет, инсулинорезистентность и ожирение и так далее.
При профилактике или лечении вышеуказанных заболеваний и симптомов соединение изобретения можно применять как таковое или в комбинации с другими лекарственными средствами для лечения диабета, включающими в себя сенсибилизирующие инсулин вещества, которые имеются в продаже или поступят в продажу. Любые подходящие лекарственные средства для лечения диабета можно применять в комбинации с соединением настоящего изобретения. Здесь типичные сенсибилизирующие инсулин вещества включают в себя розиглитазон и пиоглитазон и так далее.
В одном предпочтительном варианте осуществления соединение изобретения применяют без сочетания с указанными выше сенсибилизирующими инсулин веществами. Более предпочтительно, соединение изобретения является пригодным для лечения или профилактики заболеваний или симптомов, являющихся результатом резистентности к лекарственному средству или вирулентного побочного действия, индуцированного введением лекарственных средств для лечения диабета (включающих в себя сенсибилизирующие инсулин вещества), которые имеются в продаже или будут в продаже в будущем.
Соединение изобретения можно вводить либо как таковое, либо в комбинации с другими подходящими лекарственными средствами для лечения диабета, включающими в себя сенсибилизирующие инсулин вещества, посредством любых подходящих путей. Например, соединение изобретения или его фармацевтически приемлемые соли можно вводить путем внутриполостной инъекции, подкожной инъекции, внутривенной инъекции, внутримышечной инъекции или внутрикожной инъекции, путем перорального или местного применения.
Кроме того, в одном специфическом варианте осуществления изобретения способ дополнительно включает в себя диагностическую и прогнозирующую оценку заболеваний или симптомов субъекта, которому вводят лекарственное средство. Для установления диагноза и оценки соответствующих заболеваний или симптомов и прогноза можно применять любые подходящие методы. Диагноз и прогноз может быть основан на детектировании и/или идентификации любого или всех веществ в организме, таких как гликозилированный гемоглобин, фермент, антиген, антитело, нуклеиновая кислота или другие патологические и клинические маркеры, и соответствующих симптомов. Можно применять, например, методы диагноза и прогноза, описанные в Международном патенте WO 01/44815 и патенте США 5571674.
D. Комбинированный препарат, набор и метод сочетания лекарственных средств
С другой стороны, настоящее изобретение относится также к комбинированному препарату, который включает в себя соединение, которое селективно регулирует функцию рецептора подобного глюкагону пептида-1, или его фармацевтически приемлемые соли и одно или несколько лекарственных средств для лечения диабета, включающих в себя сенсибилизирующие инсулин вещества.
Комбинированный препарат предпочтительно включает в себя соединение нижеследующей общей формулы I или II изобретения или его фармацевтически приемлемые соли и все его стереоизомеры и оптические изомеры или его пролекарства, имеющие такое же, как у него, фармакологическое действие, его сложные эфиры, сольваты или комплексы металлов и одно или несколько лекарственных средств для лечения диабета, включающих в себя сенсибилизирующие инсулин вещества,
 
где n равен любому числу в диапазоне 0-3 и Х и Y независимо представляют собой О, S или N;
где R1 и R2 независимо представляют собой один из заместителей, выбранных из группы, состоящей из водорода, галогена, алкана, циклоалкана, гидроксила, нитро, карбоксила, альдегида, алкокси, амино, алкиламино, амидо, карбамида, меркапто, алкилтио, простого эфира, простого тиоэфира, арила, 2-, 3- или 4-пиридила, фурила, пиранила, тиенила, пирролила; арила, замещенного одной, двумя или тремя группами, выбранными из С1-С4алкила, нитро, карбоксила, альдегида, алкокси, амино, амидо, карбамида, меркапто, метилтио, этилтио; 2-, 3- или 4-пиридила, замещенного одной, двумя или тремя группами, выбранными из С1-С4алкила, нитро, карбоксила, альдегида, алкокси, амино, амидо, карбамида, меркапто, метилтио, этилтио; фурила, замещенного одной, двумя или тремя группами, выбранными из С1-С4алкила, нитро, карбоксила, альдегида, алкокси, амино, амидо, карбамида, меркапто, метилтио, этилтио; пиранила, замещенного одной, двумя или тремя группами, выбранными из С1-С4алкила, нитро, карбоксила, альдегида, алкокси, амино, амидо, карбамида, меркапто, метилтио, этилтио; тиенила, замещенного одной, двумя или тремя группами, выбранными из С1-С4алкила, нитро, карбоксила, альдегида, алкокси, амино, амидо, карбамида, меркапто, метилтио, зтилтио; пирролила, замещенного одной, двумя или тремя группами, выбранными из С1-С4алкила, нитро, карбоксила, альдегида, алкокси, амино, амидо, карбамида, меркапто, метилтио, этилтио;
R3 и R4 независимо представляют собой один из заместителей, выбранных из группы, состоящей из водорода, алкана, циклоалкана, алкокси, амино, алкиламино, амидо, карбамида, алкилтио, арила, 2-, 3- или 4-пиридила, фурила, пиранила, тиенила, пирролила; арила, замещенного одной, двумя или тремя группами, выбранными из С1-С4алкила, нитро. карбоксила, альдегида, алкокси, амино, амидо, карбамида, меркапто, метилтио, этилтио; 2-, 3- или 4-пиридила, замещенного одной, двумя или тремя группами, выбранными из С1-С4алкила, нитро, карбоксила, альдегида, алкокси, амино, амидо, карбамида, меркапто, метилтио, этилтио; фурила, замещенного одной, двумя или тремя группами, выбранными из С1-С4алкила, нитро, карбоксила, альдегида, алкокси, амино, амидо, карбамида, меркапто, метилтио, этилтио; пиранила, замещенного одной, двумя или тремя группами, выбранными из С1-С4алкила, нитро, карбоксила, альдегида, алкокси, амино, амидо, карбамида, меркапто, метилтио, этилтио; тиенила, замещенного одной, двумя или тремя группами, выбранными из С1-С4алкила, нитро, карбоксила, альдегида, алкокси, амино, амидо, карбамида, меркапто, метилтио, этилтио; пирролила, замещенного одной, двумя или тремя группами, выбранными из С1-С4алкила, нитро, карбоксила, альдегида, алкокси, амино, амидо, карбамида, меркапто, метилтио, этилтио.
В комбинированном препарате изобретения можно применять любые подходящие для лечения диабета лекарственные средства, включающие в себя сенсибилизирующие инсулин вещества. В одном конкретном варианте осуществления лекарственные средства, применяемые в комбинированном препарате, могут включать в себя одно или несколько указанных выше лекарственных средств для лечения диабета, включающие в себя сенсибилизирующие инсулин вещества.
В другом конкретном варианте осуществления предложен способ профилактики и/или лечения заболеваний или симптомов, вызванных или сопровождаемых нарушением секреции и/или функции инсулина, который включает в себя введение субъекту, который нуждается в лечении или профилактике или который можно подобным образом подвергнуть лечению и профилактике, эффективной дозы указанного выше комбинированного препарата или препарата, содержащего фармацевтически приемлемые соли указанного выше соединения, чтобы таким образом осуществить лечение или профилактику заболеваний или симптомов.
Еще в одном конкретном варианте осуществления предложен набор, который включает в себя соединение изобретения или его фармацевтически приемлемые соли и описание применения указанного соединения или его фармацевтически приемлемых солей для лечения или профилактики заболеваний или симптомов, вызванных или сопровождаемых нарушением секреции и/или функции инсулина.
Еще в одном варианте осуществления предложен набор, который включает в себя указанный выше комбинированный препарат и описание применения указанного комбинированного препарата для лечения или профилактики заболеваний или симптомов, вызванных или сопровождаемых нарушением секреции и/или функции инсулина.
Е. Препарат и дозирование
Согласно изобретению соединение изобретения, как таковое или в комбинации с другими лекарственными средствами, носителями или эксципиентами, вводят в состав препаратов для любых подходящих путей введения, таких как внутриполостная инъекция, подкожная инъекция, внутривенная инъекция, внутримышечная инъекция или внутрикожная инъекция, пероральное или местное применение. Метод изобретения включает в себя доставку препарата лекарственного средства инъекцией, которую вводят из ампулы для разовой дозы или сосуда для многократных доз вместе с добавленным буфером. Препарат может присутствовать в форме, например, суспензии, раствора или эмульсии в масляной или водной среде. Препарат может содержать придающий форму агент, такой как суспендирующий агент, стабилизирующий агент и/или диспергирующий агент. Помимо этого перед применением активный ингредиент в форме порошка можно превратить вместе с подходящим носителем, стерильной и апирогенной водой или другими растворителями в лекарственную форму. Для местного применения препарат изобретения можно применять в форме пены, геля, мази, чрескожного пластыря или крема.
Фармацевтическая композиция и метод введения, которые являются пригодными для настоящего изобретения, включены, но не ограничиваются ими, в содержание патентов США 5736154, 6197801 В1, 5741511, 5886039, 5941868, 6258374 В1 и 5686102.
Дозировку для лечения или профилактики можно изменять в зависимости от тяжести заболевания и пути введения. Доза и частота введения изменяются в зависимости от изменения в терминах возраста, массы тела, состояния здоровья и индивидуальной реакции пациентов.
Следует указать (врач также должен знать это для установления диагноза/назначения лечения), что должны быть выбраны необходимые критерии для прекращения, прерывания введения дозы или снижения дозы при лечении в зависимости от вирулентности и побочных реакций. И наоборот, если клиническая реакция не является очевидной (включая вирулентность и побочную реакцию), врач должен подходящим образом изменить лечебную схему и повысить дозу.
Можно применять любые подходящие пути введения. Лекарственная форма включает в себя таблетку, лепешку, желатиновую капсулу, дисперсию, суспензию, раствор, капсулу, пластырь и аналогичные формы и так далее.
В практике применения соединение изобретения, которое применяют как таковое или в комбинации с другим лекарственным средством(ами), можно тесно смешать согласно общим методикам фармацевтического смешивания с фармацевтическими носителями или эксципиентами, такими как -циклодекстрин и 2-гидроксипропил- -циклодекстрин. Согласно требованиям введения лекарственных средств можно применять обычные носители, специальные носители для местного или парентерального введения. Для получения парентеральных лекарственных форм, таких как композиции для внутривенной инъекции или инфузии, можно применять подобные фармацевтические среды, включающие в себя воду, этиленгликоль, масло, буфер, сахар, антисептик, липосомы и т.д., которые известны специалистам в данной области. Примеры этих сред для парентеральных композиций включают в себя, но не ограничиваются перечисленным, 5 мас./мас.% декстрозу, физиологический солевой раствор или другие растворы. Соединение изобретения, как таковое или в комбинации с другим лекарственным средством(ами), можно вводить с помощью ампулы для внутривенной инъекции с общей объемной дозой 1-2000 мл. Количество разбавляющего раствора можно изменять в соответствии с общей дозой лекарственного средства для введения.
Изобретение предлагает также набор, обеспечивающий схему лечения. Набор содержит в одном или нескольких сосудах эффективную дозу соединения изобретения в фармацевтически приемлемой форме, которое применяют как таковое или в комбинации с другим препаратом(ами). Лекарственное средство предпочтительно вводят вместе со стерильным солевым раствором, раствором декстрозы, буферным раствором или другими фармацевтически приемлемыми стерильными жидкостями. Или же композицию можно лиофилизовать или высушить; в этом случае набор необязательно дополнительно содержит в сосуде фармацевтически приемлемый раствор, предпочтительно стерильный раствор, посредством которого композицию пересоздают для получения раствора для цели инъекции. Типичным фармацевтически приемлемым раствором является физиологический солевой раствор и раствор декстрозы.
В другом варианте осуществления набор изобретения дополнительно содержит иглы или шприцы для инъекции композиции, которые предпочтительно упакованы в стерильной форме и/или упакованы в пропитанных спиртом прокладках. Набор необязательно включает в себя описание, предназначенное для врачей или пациентов.
F. Способы получения
Все исходные вещества, применяемые в изобретении, синтезируют по методу, описанному в патенте Китая (заявка 200310109331.0). Синтез соединений изобретение выполняют посредством следующих стадий:

Соединение 1 (1 экв.) и соединение 2 (1 экв.) растворяют в подходящем количестве дихлорметана, воды, дихлорэтана, ДМСО, диоксана или их смеси (к которым необязательно добавляют каталитическое количество дифенилкетона). Реакцию проводят при регулировании температуры в диапазоне 0-60°С и при освещении ртутной лампой высокого давления на 150 Вт или естественным светом в течение от 1 дня до 2 месяцев. Во время реакции мониторинг хода реакции проводят детектированием ВЭЖХ. После завершения реакции реакционный раствор лиофилизуют для удаления растворителя и затем оставшуюся часть разделяют колоночной хроматографией для получения продукта.
Описание графических материалов
Фигура 1: показано активирующее действие GLP-1 на GLP-1R, стимулируемое S4P.
Фигура 2: показано активирующее действие S3-20-32, S3-11-14, S6-14 и S8 на GLP-1R.
Фигура 3: показано влияние S4P, S3-20-32 и S3-11-14 на концентрацию внутриклеточного цАМФ.
Фигура 4: показано влияние S8 и S6-14 на концентрацию внутриклеточного цАМФ.
Фигура 5: показан доза-зависимый профиль экзогенного цАМФ.
Фигура 6: показано ингибирующее действие антагониста экстендина9-39 GLP-1R на биологическую активность S4P.
Способ осуществления изобретения
Экспериментальные инструменты и реагенты
Применяют систему ВЭЖХ HP 1100, снабженную бинарным градиентным насосом, последовательно расположенными вакуумными устройствами для дегазации, автоматическим пробоотборником, термостатированной камерой для колонки и фотоэлектрическим диодным матричным детектором. Применяют хроматографическую колонку ZORBAX SB-C18 (2,1×150 мм, 3,5 мкм), подвижной фазой является смесь ацетонитрил/вода в отношении 65:35, скорость потока 0,2 мл/мин и длина волны для детектирования была 254 нм. Точку плавления определяют с применением прибора для определения точки плавления типа IA6304; спектры ЯМР снимали с применением инструментов ядерного магнитного резонанса типа Varian Mercury-300 и Varian Mercury plus 400 (в качестве растворителе применяют CDCl3, CD3OD или ДМСО-d6); спектры ESI-MC снимали с применением масс-спектрометра типа АВ Mariner и масс-спектры с ионизацией электрораспылением (EI) снимали с применением масс-спектрометра типа Finnigan MAT95. Все исходные вещества, применяемые в синтезе, являются коммерчески доступными продуктами, если не указано иначе.
Нижеследующие конкретные примеры циклических соединений дополнительно описывают изобретение, но не служат для ограничения изобретения.
Пример 1: получение соединения S4P и его производных
Калибровка ЯМР: Н/С 7,26/77,0 м.д. (CDCl3); Н/С 2,60/39,51 м.д. (ДМСО-d6).

Соединение Wang516 (1 г) растворяют в подходящем количестве ДМСО и освещают ртутной лампой высокого давления на 150 Вт в течение 3 дней. После добавления 1 мл воды освещение продолжают в течение 7-10 дней. В течение этого времени мониторинг реакции проводят детектированием смеси ВЭЖХ. После завершения реакции реакционный раствор лиофилизуют для удаления растворителе и оставшуюся часть разделяют колоночной хроматографией, получая при этом соединение S4P в виде тускло-желтого порошкообразного твердого вещества.
1Н ЯМР (300 МГц, ДМСО-d6) 10,053 (4Н, ушир. с), 8,630 (2Н, ушир. с), 8,090 (2Н, дд, J1=4,8 Гц, J2=1,2 Гц), 8,029 (2Н, дд, J1=3,6 Гц, J2=1,2 Гц), 7,605 (4Н, д, J1=8,4 Гц), 7,395 (4Н, д, J=8,1 Гц), 7,31 (2Н, м), 7,280 (2Н, ушир. с), 7,260 (2Н, м), 7,206 (2Н, ушир. д, J=8,1 Гц), 4,987 (2Н, ушир. с), 3,244 (6Н, с), 2,740 (2Н, м), 1,815 (4Н, м), 1,703 (4Н, м), 1,652 (4Н, м), 1,526 (4Н, м).
13С ЯМР (75 МГц, ДМСО-d6) 174,7, 172,8, 166,8, 159,4, 150,1, 142,1, 137,7, 135,2, 133,6, 131,6, 129,1, 128,7, 128,1, 122,5, 122,1, 118,1, 112,5, 63,2, 54,9, 48,4, 45,3, 30,0, 25,7.
Следующие продукты получают таким же путем:

1H ЯМР (300 МГц, ДМСО-d6) 9,571 (2Н, ушир. с), 8,607 (2Н, ушир. 6с), 8,078 (2Н, д, J=4,8 Гц), 8,035 (2Н, д, J=3,3 Гц), 7,464 (4Н, д, J=8,4 Гц), 7,363 (4Н, д, J=8,1 Гц), 7,31 (2Н, м), 7,30, (2Н, м), 7,260 (2Н, м) 7,216 (2Н, ушир. д, J=8,1 Гц), 4,991 (2Н, ушир. с), 3,270 (6Н, с), 1,444 (18Н, с).
13С ЯМР (75 МГц, ДМСО-d6) 172,8, 166,9, 159,5, 152,6, 150,2, 142,4, 137,8, 135,2, 133,6, 131,7, 128,8, 128,4, 128,2, 122, 117,1, 112, 79,6, 63,2, 54,9, 48, 28,1.

1Н ЯМР (300 МГц, ДМСО-d6) 10,118 (2Н, ушир. с), 8,615 (2Н, ушир. с), 8,095 (2Н, дд, J1=4,8 Гц, J2=1,2 Гц), 8,027 (2Н, дд, J1=3,9 Гц, J2=1,5 Гц), 7,569 (4Н, д, J=8,4 Гц), 7,365 (4Н, д, J=8,7 Гц), 7,318 (2Н, дд, J1=3,9 Гц. J2=1,5 Гц), 7,280 (2Н, м), 7,260 (2Н, м), 7,203 (2Н, ушир. д, J=8,1 Гц), 4,981 (2Н, ушир. с), 3,228 (6Н, с), 2,015 (6Н, с).
Пример 2: получение соединения S4P и его изомеров

Соединение Wang516 (10 г) растворяют в подходящем количестве ДМСО и освещают естественным светом при комнатной температуре в течение 30-90 дней. После завершения реакции реакционный раствор лиофилизуют для удаления растворителя и оставшуюся часть разделяют ВЭЖХ, получая при этом некоторое количество региоизомера соединения S4P и S4P в виде тускло-желтого порошкообразного твердого вещества.
1Н ЯМР (300 МГц, ДМСО-d6) 10,125 (2Н, ушир. с), 8,025 (2Н, д, J=4,8 Гц), 7,921 (2Н, д, J=2,9 Гц,), 7,667 (4Н, ушир, с), 7,251 (2Н, м), 7,220 (2Н, ушир. с), 6,983 (2Н, Д, J=7,7 Гц), 6,908 (2Н, д, J=7,7 Гц), 5,269 (2Н, ушир. с), 3,335 (6Н, с), 2,779 (2Н, м), 1,832 (4Н, м), 1,715 (4Н, м), 1,677 (4Н, м), 1,527 (4Н, м).
13С ЯМР (75 МГц, ДМСО-d6) 174,8, 174,7, 164,7, 159,5, 149,9, 142,1, 136,5, 135,0, 131,7, 129,3, 128,7, 127,6, 121,8, 120,1, 118,4, 112,0, 64,7, 55,1, 51,8, 45,3, 30,1, 25,7.
Данные ЯМР для S4P были такими, как данные в примере 1.
Пример 3: получение соединения S4P в присутствии катализатора

Соединение Wang516 (20 мг) растворяют в подходящем количестве ДМСО, к которому добавляют 25 мг дифенилкетона. После освещения ртутной лампой высокого давления на 150 Вт в течение 1 дня реакционный раствор лиофилизуют для удаления растворителя и оставшуюся часть разделяют ВЭЖХ, получая при этом соединение S4P в виде тускло-желтого порошкообразного твердого вещества.
Пример 4: эксперименты по испытанию на биологическую активность
1. Испытание на экспрессию репортерного гена
GLP-1R является рецептором, сочетающимся с G-белком. Когда GLP-1R связывается с агонистом, субъединица Ga белка G активируется для стимуляции аденилатциклазы, что приводит к повышению концентрации внутриклеточного цАМФ. Поскольку стимуляторная область гена проинсулина имеет цАМФ-восприимчивый элемент, цАМФ стимулирует, после связывания с этим восприимчивым элементом, транскрипцию гена проинсулина, тем самым стимулируя экспрессию и секрецию инсулина (Diabetes, 2000, Vol.49: 1156-1164). В этом экспериментальном методе применяют штамм эмбриональных нефритных клеток человека (НЕК 293), который стабильно трансфицируют вектором экспрессии гена GLP-1R и вектором экспрессии репортерного гена люциферазы при регуляции цАМФ-восприимчивого элемента для детектирования его восприимчивости к соединению-кандидату (Cell Biology, 1992, Vol.89: 8641-8645; Proc. Natl. Acad. Sci. USA, 1987, Vol.84: 3434-3438). При скрининге соединений-кандидатов соединения, которые могут индуцировать экспрессию репортерного гена люциферазы, считают как обладающие активностью активации GLP-1R.
1.1. Экспериментальные материалы и инструменты
Штамм клеток: штамм клеток НЕК 293/GLP-1R+Luc, в котором стабильно экспрессируются GLP-1R и люцифераза (получен National New Drugs Screening Center);
фетальная бычья сыворотка (GIBCO Co.);
культуральная среда DMEM (GIBCO Со);
аналитическая система для люциферазы Steady-Glo (Promega Co.);
стандарт GLP-1 (Sigma Co.);
G418 (Invitrogen Co.);
инкубатор с диоксидом углерода Forma (Forma Co.);
устройство для считывания данных планшета Victor2 (Wallac Co.);
соединение-кандидат: S4P, S3-20-32, 83-11-14, S6-14 и S8.
1.2. Экспериментальный метод
Клетки НЕК 293/GLP-1R + Luc инокулировали в количестве 20000/100 мкл/лунку в 96-луночном культуральном планшете и культивировали при 37°C на протяжении ночи с культуральной средой DMEM, содержащей 10% фетальную бычью сыворотку и 500 мкг/мл G418. Стандарт GLP-1 и соединения-кандидаты S4P, S3-20-32, S3-11-14, S6-14 и S8 разводили соответственно до определенного градиента концентрации, продукты разведения затем добавляли в количестве 1 мкл/лунку в указанный выше 96-луночный культуральный планшет. Культивирование проводили в условиях 37°C, 5% CO2 в течение 6 час. После этого активность люциферазы детектировали согласно описанию в наборе аналитической системы для люциферазы Steady-Glo и прочтение данных проводили с применением устройства для прочтения данных планшета Victor2.
1.3. Экспериментальные результаты
Результаты (таблица 1) показали, что соединение S3-11-14 при конечной концентрации 0,03 мг/мл имело наилучшую относительную активирующую активность (86%) в отношении GLP-1R. Кроме того, все соединения-кандидаты имели доза-зависимый профиль их активирующей активности в отношении GLP-1R (фигура 1, фигура 2).

2. Определение концентрации внутриклеточного цАМФ
Поскольку концентрацию внутриклеточного цАМФ можно оценить только опосредованно согласно указанному выше методу для детектирования активации репортерного гена, необходимо определить влияние активных соединений на концентрацию внутриклеточного цАМФ с применением набора для определения цАМФ, т.е. функциональным рескринингом.
2.1. Экспериментальные материалы и инструменты
Набор для определения цАМФ (Molecular Devices Co., CatchPointD Cyclic AMP kit);
инкубатор с диоксидом углерода Forma (Forma Co.);
устройство для считывания данных планшета FlexStation (Molecular Devices Co.);
штамм клеток НЕК 293/GLP-1R+Luc, в котором стабильно экспрессируются GLP-1R и люцифераза (получен National New Drugs Screening Center);
соединения-кандидаты S4P, S3-20-32, S3-11-14, S6-14, S8;
стандарт цАМФ (поставляется в наборе).
2.2. Экспериментальный метод
Клетки НЕК 293/GLP-1R + Luc инокулировали в количестве 20000/100 мкл/лунку в 96-луночном культуральном планшете и культивировали при 37°C на протяжении ночи. Соединения-кандидаты S4P, S3-20-32, S3-11-14, S6-14 и S8 разводили соответственно до определенного градиента концентрации, продукты разведения затем добавляли в количестве 1 мкл/лунку в указанный выше 96-луночный культуральный планшет. Культивирование проводили в условиях 37°C, 5% CO2 в течение 10 мин. После этого концентрацию внутриклеточного цАМФ определяли согласно описанию в наборе CatchPointD Cyclic AMP.
2.3. Экспериментальные результаты
Результаты определения концентрации внутриклеточного цАМФ показаны в таблице 2. Чем ниже было показание, тем выше была концентрация внутриклеточного цАМФ. С повышением концентрации соединения-кандидата концентрация цАМФ, который продуцировался при его стимуляции, показывала экспонентальное повышение (фигура 3, фигура 4). Это демонстрировало, что все соединения-кандидаты проявляли активность в качестве агонистов GLP-1R. На фигуре 5 показана стандартная кривая цАМФ.

3. Антагонистический эксперимент с эксендином9-39
Для подтверждения того, что активные соединения обладают специфичностью рецептора по отношению к их активирующим действиям на рецепторный ген и внутриклеточный цАМФ, применяли экстендин9-39 (Eur. J. Pharmacol, 1994, 269: 183-191; Metabolism 2004, 53:252-259), специфический антагонист GLP-1R, для подтверждения истинности того, может ли он создавать антагонизм агонистической активности указанных выше репрезентативных соединений для GLP-1R.
3.1. Экспериментальные материалы и инструменты
Штамм клеток: штамм клеток НЕК 293/GLP-1R + Luc, в котором стабильно экспрессируются GLP-1R и люцифераза (получен National New Drugs Screening Center);
фетальная бычья сыворотка (GIBCO Co.);
культуральная среда DMEM (GIBCO Со);
эксендин 9-39 (AnaSpec Co.);
аналитическая система для люциферазы Steady-Glo (Promega Co.);
G418 (Invitrogen Co.);
инкубатор с диоксидом углерода Forma (Forma Co.);
устройство для считывания данных планшета Victor2 (Wallac Co.);
соединение-кандидат: S4P.
3.2. Экспериментальный метод
Клетки НЕК 293/GLP-1R + Luc инокулировали в количестве 20000/100 мкл/лунку в 96-луночном культуральном планшете и культивировали при 37°С на протяжении ночи с культуральной средой DMEM, содержащей 10% бычью фетальную сыворотку и 500 мкг/мл G418. Эксендин9-39 разводили до определенного градиента концентрации, продукт разведения затем добавляли в количестве 1 мкл/лунку в указанный выше 96-луночный культуральный планшет. Культивирование проводили в условиях 37°C, 5% CO2 в течение 6 час. После этого активность люциферазы детектировали согласно описанию в наборе аналитической системы для люциферазы Steady-Glo и прочтение проводили с применением устройства для прочтения планшета Victor2.
3.3. Экспериментальные результаты
Эксендин9-39 может ингибировать доза-зависимым образом экспрессию гепортерного гена, индуцированную S4P (см. таблицу 3, фигуру 6), которая демонстрирует, что биологическая активность S4P опосредуется GLP-1R.

Формула изобретения
1. Замещенное циклическое соединение нижеследующей общей формулы I или II или его фармацевтически приемлемые соли и все его стереоизомеры и оптические изомеры:
или  где n равно 1, Х и Y представляют собой NH; R1 и R2 независимо представляют собой один из заместителей, выбранных из группы, состоящей из арила; 2-, 3- или 4-пиридила; арила, замещенного одной, двумя или тремя группами, выбранными из С1-С4алкила, нитро, карбоксила, альдегида, алкокси, амино, амидо, карбамида, меркапто, метилтио, этилтио; 2-, 3- или 4-пиридила, замещенного одной, двумя или тремя группами, выбранными из С1-С4алкила, нитро, карбоксила, альдегида, алкокси, амино, амидо, карбамида, меркапто, метилтио, этилтио; R3 и R4 независимо представляют собой один из заместителей, выбранных из группы, состоящей из арила; 2-, 3- или 4-пиридила; арила, замещенного одной, двумя или тремя группами, выбранными из С1-С4алкила, нитро, карбоксила, альдегида, алкокси, амино, амидо, карбамида, меркапто, метилтио, этилтио; 2-, 3- или 4-пиридила, замещенного одной, двумя или тремя группами, выбранными из С1-С4алкила, нитро, карбоксила, альдегида, алкокси, амино, амидо, карбамида, меркапто, метилтио, этилтио.
2. Замещенное циклическое соединение по п.1, характеризующееся тем, что: R1 и R2 независимо представляют собой
 где R5 представляет собой один из заместителей, выбранных из группы, состоящей из Н; C1-С6алкила; C1-С6алкила, замещенного одной, двумя или тремя группами, выбранными из галогена, C1-С6алкокси или гидроксила; C2-С6алкенила; С2-С6алкинила; С3-С6циклоалкила; С3-С6циклоалкила, замещенного одной, двумя или тремя группами, выбранными из галогена, C1-С6алкокси или гидроксила; C1-С6алканоила, замещенного одним, двумя или тремя группами, выбранными из галогена, C1-С6алкокси или гидроксила; С2-С6алкеноила; С2-С6алкиноила; С3-С6циклоалканоила; С3-С6циклоалканоила, замещенного одной, двумя или тремя группами, выбранными из галогена, C1-С6алкокси или гидроксила; адамантилформила; замещенного адамантилформила; ароила; бензоила; фуроила; пираноила; теноила; пирроила; X1 представляет собой О; R3 и R4 независимо представляют собой
 где R6 представляет собой один из заместителей, выбранных из группы, состоящей из Н; C1-С6алкила; C1-С6алкила, замещенного одной, двумя или тремя группами, выбранными из галогена, C1-С6алкокси или гидроксила; C2-С6алкенила; С2-С6алкинила; С3-С6циклоалкила; С3-С6циклоалкила, замещенного одной, двумя или тремя группами, выбранными из галогена, C1-С6алкокси или гидроксила; C1-С6алканоила, замещенного одним, двумя или тремя группами, выбранными из галогена, C1-С6алкокси или гидроксила; С2-С6алкеноила; C2-С6алкиноила; С3-С6циклоалканоила; С3-С6циклоалканоила, замещенного одной, двумя или тремя группами, выбранными из галогена, C1-С6алкокси или гидроксила; адамантилформила; замещенного адамантилформила; ароила; бензоила; фуроила, пираноила; теноила; пирроила; X2 представляет собой NH; когда R1 и R2 независимо представляют собой
 где R12 и R13 независимо представляют собой один из заместителей, выбранных из группы, состоящей из Н; C1-С6алкила; C1-С6алкила, замещенного одной, двумя или тремя группами, выбранными из галогена, C1-С6алкокси или гидроксила; С2-С6алкенила; С2-С6алкинила; С3-С6циклоалкила; С3-С6циклоалкила, замещенного одной, двумя или тремя группами, выбранными из галогена, C1-С6алкокси или гидроксила; C1-С6алканоила, замещенного одним, двумя или тремя группами, выбранными из галогена, C1-С6алкокси или гидроксила; С2-С6алкеноила; С2-С6алкиноила; С3-С6циклоалканоила; С3-С6циклоалканоила, замещенного одной, двумя или тремя группами, выбранными из галогена, C1-С6алкокси или гидроксила; адамантилформила; замещенного адамантилформила; ароила; бензоила; фуроила, пираноила; теноила; пирроила; X1 представляет собой О; Х2 представляет собой О; R3 и R4 независимо представляют собой
 где R6 представляет собой один из заместителей, выбранных из группы, состоящей из Н; C1-С6алкила; C1-С6алкила, замещенного одной, двумя или тремя группами, выбранными из галогена, C1-С6алкокси или гидроксила; С2-С6алкенила; С3-С6алкинила; С3-С6циклоалкила; С3-С6циклоалкила, замещенного одной, двумя или тремя группами, выбранными из галогена, C1-С6алкокси или гидроксила; C1-С6алканоила, замещенного одним, двумя или тремя группами, выбранными из галогена, C1-С6алкокси или гидроксила; С2-С6алкеноила; С2-С6алкиноила; С3-С6циклоалканоила; С3-С6циклоалканоила, замещенного одной, двумя или тремя группами, выбранными из галогена, C1-С6алкокси или гидроксила; адамантилформила; замещенного адамантилформила; ароила; бензоила; фуроила, пираноила; теноила; пирроила; Х2 представляет собой NH.
3. Замещенное циклическое соединение по п.1 или 2, которое характеризуется тем, что когда в молекуле присутствуют геометрические изомеры, указанное соединение является любым индивидуальным геометрическим изомером или их смесью.
4. Замещенное циклическое соединение по п.1 или 2, которое характеризуется тем, что когда в молекуле присутствует хиральный атом углерода, соединение является рацемическим или оптически активным.
5. Способ получения ряда замещенных циклических соединений и их солей по любому из пп.1-4 по следующей схеме,
 где соединение 1 и соединение 2 растворяют в растворителе, где растворитель выбирается из группы, состоящей из дихлорметана, воды, дихлорэтана, DMSO, диоксана или любой их смеси; реакция освещается при обычном освещении или при свете ртутной лампы высокого давления при температуре 0-60°С нужное количество воды или катализатора дифенил кетона добавляется во время реакции для довершения ускорения реакции, после того как реакция завершена раствор лиофилизируется для удаления растворителя, и остаток разделяется с помощью ВЭЖХ с получением продукта.
6. Применение соединения или его фармацевтически приемлемых солей по любому из пп.1-4 при изготовлении лекарственного средства для профилактики и/или лечения заболеваний или симптомов, вызванных или сопровождаемых нарушением секреции и/или функции инсулина.
7. Фармацевтическая композиция для лечения или профилактики заболеваний или симптомов, вызванных или сопровождаемых нарушением секреции и/или функции инсулина, включающая в себя в качестве активного ингредиента соединение по любому из пп.1-4 и его фармацевтически приемлемые соли и к тому же конъюгаты других молекул или носители.
8. Фармацевтическая композиция по п.7, которая дополнительно включает в себя фармацевтически приемлемые носители и эксципиенты.
9. Фармацевтическая композиция по п.7, где заболевания или симптомы вызываются или сопровождаются нарушением секреции и/или функции инсулина.
10. Фармацевтическая композиция по п.7, где заболевания или симптомы, вызываемые или сопровождаемые нарушением секреции и/или функции инсулина, включают в себя, но не ограничиваются перечисленным, метаболические нарушения, такие как диабет, инсулинорезистентность и ожирение и так далее.
11. Фармацевтическая композиция по п.7, где заболевания или симптомы могут быть результатом резистентности к лекарственному средству или верулентного побочного действия, вызванного коммерчески доступными лекарственными средствами для лечения диабета, включающими в себя сенсибилизирующие инсулин вещества.
12. Способ лечения или профилактики заболеваний или симптомов, вызываемых или сопровождаемых нарушением секреции и/или функции инсулина, включающий в себя введение субъекту, который нуждается в лечении или профилактике или которого следует подобным образом подвергнуть лечению и профилактике, эффективной дозы фармацевтической композиции по п.7, чтобы тем самым проводить лечение или профилактику указанных заболеваний или симптомов.
13. Набор, включающий в себя соединение по любому из пп.1-4 или его фармацевтически приемлемые соли и описание по применению соединения или его фармацевтически приемлемых солей для лечения или профилактики заболеваний или симптомов, вызываемых или сопровождаемых нарушением секреции и/или функции инсулина.
РИСУНКИ
|
|