|
|
(21), (22) Заявка: 2006138613/04, 23.03.2005
(24) Дата начала отсчета срока действия патента:
23.03.2005
(30) Конвенционный приоритет:
02.04.2004 US 60/558,546
(43) Дата публикации заявки: 10.05.2008
(46) Опубликовано: 10.01.2010
(56) Список документов, цитированных в отчете о поиске:
(85) Дата перевода заявки PCT на национальную фазу:
02.11.2006
(86) Заявка PCT:
DK 2005/000203 20050323
(87) Публикация PCT:
WO 2005/095336 20051013
Адрес для переписки:
129090, Москва, ул. Б.Спасская, 25, стр.3, ООО “Юридическая фирма Городисский и Партнеры”, пат.пов. Е.Е.Назиной
|
(72) Автор(ы):
ХАНСЕН Эрик Торнгард (DK), САБРО Томас Петер (DK), КЕЛВЕРЛИ Мартин Джон (DK), ПЕДЕРСЕН Хенрик (DK), ДЮССЕН Хайнц-Йозеф Вильгельм (DK)
(73) Патентообладатель(и):
ЛЕО ФАРМА А/С (DK)
|
(54) НОВЫЙ СПОСОБ ПОЛУЧЕНИЯ ПРОМЕЖУТОЧНЫХ СОЕДИНЕНИЙ, ПРИМЕНЯЕМЫХ ДЛЯ СИНТЕЗА АНАЛОГОВ ВИТАМИНА D
(57) Реферат:
Настоящее изобретение относится к новым способам получения промежуточных соединений, которые являются применимыми в синтезе кальципотриола. Кроме того, настоящее изобретение относится к применению промежуточных соединений, полученных указанными способами для получения кальципотриола или моногидрата кальципотриола. 5 н. и 10 з.п.ф-лы.
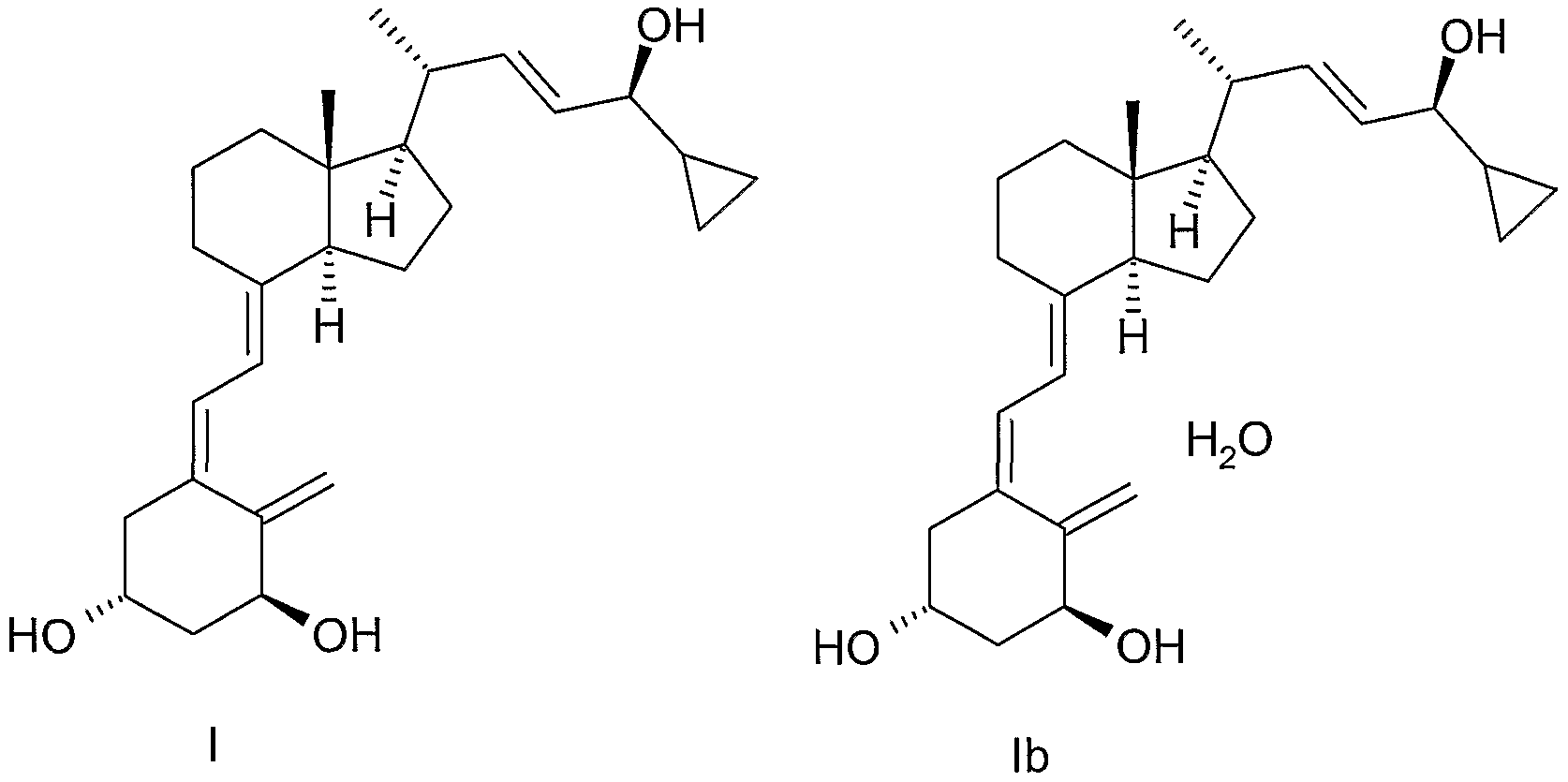
Настоящее изобретение относится к новым промежуточным соединениям, которые являются применимыми в синтезе кальципотриола {(5Z, 7E, 22E, 24S)-24-циклопропил-9,10-секохола-5,7,10(19),22-тетраен-1 -3 -24-триол} и способам его получения. Кроме того, настоящее изобретение относится к применению промежуточных соединений, полученных указанными способами для получения кальципотриола или моногидрата кальципотриола.
Кальципотриол или кальципотриен (структура I) [CAS 112965-21-6] демонстрирует высокую активность при ингибировании нежелательной пролиферации эпидермальных кератиноцитов [F.A.C.M. Castelijins, M.J. Gerritsen, I.M.J.J. van Vlijmen-Willems, P.J. van Erp, P.C.M. van de Kerkhof; Acta Derm. Venereol. 79, 11, 1999]. Эффективность кальципотриола (Ia) и моногидрата кальципотриола (Ib) при лечении псориаза была показана в ряде клинических испытаний [D.M. Ashcroft et al.; Brit. Med. J. 320, 963-67, 2000] и кальципотриол в настоящее время применяется в некоторых промышленных лекарственных готовых формах.

Ключевой стадией в синтезе кальципотриола или промежуточных соединений, применимых для синтеза кальципотриола, является присоединение боковой цепи циклопропиленона к CD-циклу подходящих предшественников, которые были описаны, с помощью реагента Виттига IV. Например, в промышленном синтезе кальципотриола циклопропил, содержащий боковую цепь фосфорана IV, взаимодействует с альдегидом IIIa в реакции Виттига с получением енона Va, где R1 и R2 представляют собой трет-бутилдиметилсилил (смотрите, например, WO 87/00834 или M.J. Calverley; Tetrahedron, 43 (20), 4609-19, 1987). Затем кальципотриол получают из ключевого промежуточного соединения Va восстановлением С-24 спирта с последующими фотоизомеризацией и удалением силильных защитных групп.

Способы Виттига с использованием фосфорана IV имеют ряд недостатков, особенно при крупномасштабном синтезе: а) Во время реакции образования С=С-связи в качестве побочного продукта образуется трифенилфосфиноксид, который трудно удалить из реакционной смеси. Образование трифенилфосфиноксида в настоящее время включает дополнительную хроматографическую стадию к способу, изложенному выше. b) Кроме того, для реакции Виттига необходимы температуры реакции свыше 95ºС вследствие низкой реакционной способности фосфорана IV. Более низкие температуры реакции были бы преимущественными при промышленном способе.
Задачей данного изобретения является разработка альтернативного способа, который мог бы преодолеть одну или несколько из различных проблем и недостатков, описанных выше. Настоящее изобретение, таким образом, относится к новому способу, который можно проводить при более низкой температуре и который позволяет избежать трудоемкое хроматографическое удаление трифенилфосфиноксида для получения промежуточных соединений, применимых для синтеза кальципотриола, таких как енон общей структуры Va.
СУЩНОСТЬ ИЗОБРЕТЕНИЯ
Неожиданно было обнаружено, что соединение общей структуры IIa,

в которой атом углерода, помеченный звездочкой, или соединен одинарной связью с атомом углерода фрагмента аналога витамина D при С-17, или с фрагментом предшественника для синтеза аналога витамина D при аналогичном положении С-17,
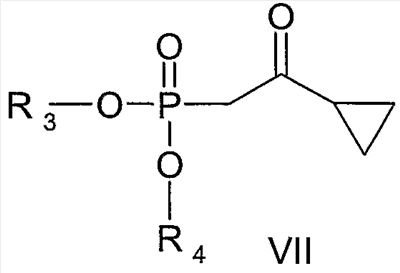
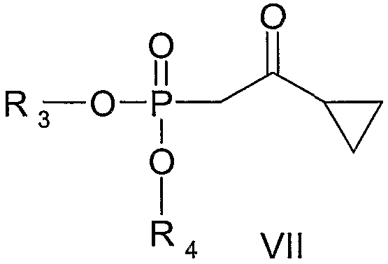
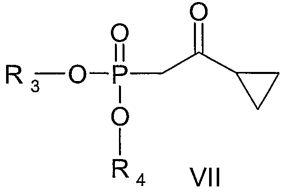
может взаимодействовать с фосфонатом общей структуры VII,

в которой R3 и R4 являются одинаковыми или различными и представляют собой алкил, галогеналкил, гидроксиалкил, алкенил, алкинил, аралкил, аралкенил, аралкинил или арил, каждый из которых является необязательно замещенным одним или более заместителями, выбранными из группы, состоящей из алкила, аралкила, циклоалкила, циклоалкенила, галогеналкила, гидроксиалкила, алкенила, алкинила, аралкила, аралкенила, аралкинила, арила, оксо, алкоксикарбонила, алкилкарбонилокси, галогена, алкокси, карбокси, сульфо или гидрокси,
в присутствии основания,
с получением соединения общей структуры II

в которой атом углерода, помеченный звездочкой, или соединен одинарной связью с атомом углерода фрагмента аналога витамина D при С-17, или с фрагментом предшественника для синтеза аналога витамина D при аналогичном положении С-17.
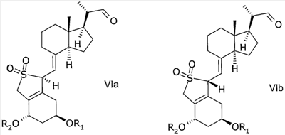
Соответственно, соединение общей структуры IIIa, IIIb, VIa, VIb, XIIIa, XIIIb, XVa, XVb или IXX,




где R1 и R2 являются одинаковыми или различными и представляют собой водород или защитную гидроксигруппу, и где R5 представляет собой водород или защитную гидроксигруппу,
может взаимодействовать с фосфонатом общей структуры VII,

в которой R3 и R4 являются одинаковыми или различными и представляют собой алкил, галогеналкил, гидроксиалкил, алкенил, алкинил, аралкил, аралкенил, аралкинил или арил, каждый из которых является необязательно замещенным одним или более заместителями, выбранными из группы, состоящей из алкила, аралкила, циклоалкила, циклоалкенила, галогеналкила, гидроксиалкила, алкенила, алкинила, аралкила, аралкенила, аралкинила, арила, оксо, алкоксикарбонила, алкилкарбонилокси, галогена, алкокси, карбокси, сульфо или гидрокси,
в присутствии основания, с получением соединения общей структуры Va, Vb, VIIIa, VIIIb, XIVa, XIVb, XVIa, XVIb или XX, соответственно,




где R1, R2 и R5 такие, как описано выше.
Данный способ, также называемый реакцией Вадсворта-Эммонса, Виттига-Хорнера или Хорнера-Эммонса-Вадсворта, имеет несколько преимуществ по сравнению с применением фосфоранового реагента IV: a) Реагент общей структуры VII является более реакционно-способным, чем соответствующий фосфоран, позволяющий осуществить применение мягких условий реакции, таких как низкая температура, обычно ниже 35ºС. b) Фосфорсодержащий продукт реакции представляет собой фосфатный сложный эфир и, следовательно, растворимый в воде, в отличие от трифенилфосфиноксида, который упрощает его отделение от енонов Va, Vb, VIIIa, VIIIb, XIVa, XIVb, XVIa, XVIb или XX. c) Реакция Виттига-Хорнера является более транс-селективной, что приводит к лучшему выходу и улучшенной чистоте требуемых продуктов Va, Vb, VIIIa, VIIIb, XIVa, XIVb, XVIa, XVIb или XX.
В первом аспекте данное изобретение относится к способу, включающему взаимодействие соединения общей структуры IIIa, IIIb, VIa, VIb, XIIIa, XIIIb, XVa, XVb или IXX, как указано выше, с фосфонатом общей структуры VII с получением соединения общей структуры Va, Vb, VIIIa, VIIIb, XIVa, XIVb, XVIa, XVIb или XX, как указано выше.
В одном другом аспекте данное изобретение относится к соединению общей структуры Vb, в котором R1 и R2 являются одинаковыми или различными и каждый представляет собой защитную гидроксигруппу, или R1 представляет собой водород, а R2 представляет собой защитную гидроксигруппу, или R2 представляет собой водород, а R1 представляет собой защитную гидроксигруппу.
В еще одном аспекте данное изобретение относится к 20(R),1(S),3(R)-бис(трет-бутилдиметилсилилокси)-20-(3′-циклопропил-3′-оксопроп-1′(E)-енил)-9,10-секопрегна-5(Z),7(E),10(19)-триену.
В еще одном аспекте данное изобретение относится к соединению общей структуры XIVa, в котором R1 представляет собой водород или защитную гидроксигруппу, при условии, что R1 не может являться трет-бутилдиметилсилилом.
В еще одном аспекте данное изобретение относится к соединению общей структуры XIVb, в котором R1 представляет собой водород или защитную гидроксигруппу.
В еще одном аспекте данное изобретение относится к соединению общей структуры VII, в которой R3 и R4 являются одинаковыми или различными и представляют собой алкил, галогеналкил, гидроксиалкил, алкенил, алкинил, аралкил, аралкенил, аралкинил или арил, каждый из которых является необязательно замещенным одним или более заместителями, выбранными из группы, состоящей из алкила, аралкила, циклоалкила, циклоалкенила, галогеналкила, гидроксиалкила, алкенила, алкинила, аралкила, аралкенила, аралкинила, арила, оксо, алкоксикарбонила, алкилкарбонилокси, галогена, алкокси, карбокси, сульфо или гидрокси, при условии, что это соединение не является диэтиловым сложным эфиром (2-циклопропил-2-оксоэтил)фосфоновой кислоты.
В еще одном аспекте данное изобретение относится к соединению общей структуры IIIa, в которой R1 и R2 являются одинаковыми или различными и каждый представляет собой водород или защитную гидроксигруппу, при условиях, что R1 и R2 не могут оба являться трет-бутилдиметилсилилом, трет-бутилдифенилсилилом или триизопропилсилилом; при дополнительном условии, что, когда R2 представляет собой трет-бутилдиметилсилил, R1 не может являться трет-бутилдифенилсилилом.
В еще одном аспекте данное изобретение относится к соединению общей структуры IIIb, в которой R1 представляет собой защитную гидроксигруппу, а R2 представляет собой водород или защитную гидроксигруппу; или R1 представляет собой водород или защитную гидроксигруппу, а R2 представляет собой защитную гидроксигруппу, исключая ацетил; при условии, что R1 и R2 не могут оба являться трет-бутилдиметилсилилом.
В еще одном аспекте данное изобретение относится к соединению общей структуры VIa или VIb, в которых R1 и R2 являются одинаковыми или различными и представляют собой водород или защитную гидроксигруппу, при условии, что R1 и R2 не могут оба являться трет-бутилдиметилсилилом.
В еще одном аспекте данное изобретение относится к соединению общей структуры XIIIa, в которой R1 представляет собой водород или защитную гидроксигруппу, исключая трет-бутилдиметилсилил.
В еще одном аспекте данное изобретение относится к соединению общей структуры XIIIb, в которой R1 представляет собой защитную гидроксигруппу, исключая трет-бутилдиметилсилил.
В еще одном аспекте данное изобретение относится к соединению общей структуры XVa или XVb, в которых R1 представляет собой защитную гидроксигруппу, исключая трет-бутилдиметилсилил, триизопропилсилил, ацетил или триэтилсилил.
В еще одном аспекте данное изобретение относится к соединению общей структуры XX, в которой R5 представляет собой водород или защитную гидроксигруппу.
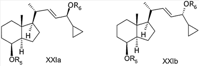
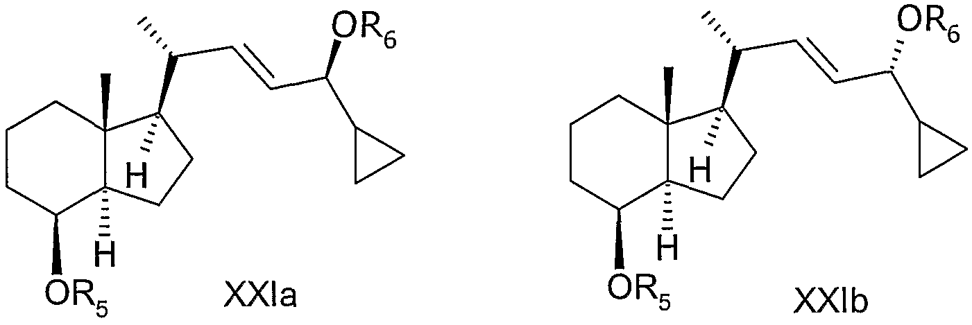
В еще одном аспекте данное изобретение относится к соединению общей структуры XXIa,

где R5 и R6 являются одинаковыми или различными и представляют собой водород или защитную гидроксигруппу, при условии, что, когда R5 является водородом, R6 не является трет-бутилдиметилсилилом, и, когда R5 является бензоатом, R6 не является трет-бутилдиметилсилилом или водородом.
В еще одном аспекте данное изобретение относится к соединению общей структуры XXII,

где R6 представляет собой водород или защитную гидроксигруппу, исключая трет-бутилдиметилсилил.
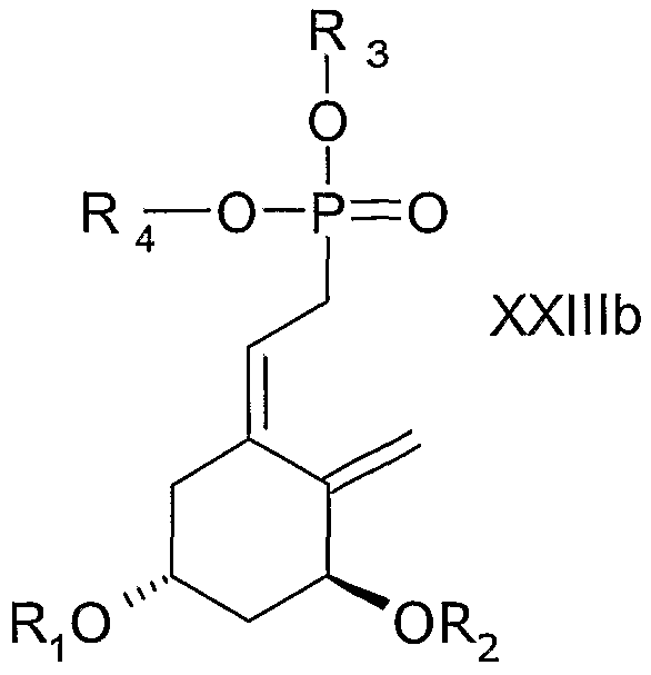
В еще одном аспекте данное изобретение относится к соединению общей структуры XXIIIb,

где R1 и R2 являются одинаковыми или различными и представляют собой водород или защитную гидроксигруппу и где R3 и R4 являются одинаковыми или различными и представляют собой алкил, галогеналкил, гидроксиалкил, алкенил, алкинил, аралкил, аралкенил, аралкинил или арил, каждый из которых является необязательно замещенным одним или более заместителями, выбранными из группы, состоящей из алкила, аралкила, циклоалкила, циклоалкенила, галогеналкила, гидроксиалкила, алкенила, алкинила, аралкила, аралкенила, аралкинила, арила, оксо, алкоксикарбонила, алкилкарбонилокси, галогена, алкокси, карбокси, сульфо или гидрокси.
В еще одном аспекте данное изобретение относится к соединению общей структуры XVIa или XVIb,

где R1 представляет собой водород или защитную гидроксигруппу.
В еще одном дополнительном аспекте данное изобретение относится к применению соединения, такого как соединение общей формулы Vb, XIVa, XIVb, VII, IIIa, IIIb, VIa, VIb, XIIIa, XIIIb, XVa, XVb, XX, XXIa, XXII, XXIIIb или Va, как определено выше, в качестве промежуточного продукта в производстве кальципотриола или моногидрата кальципотриола.
В дополнительном аспекте данное изобретение относится к способу получения кальципотриола или моногидрата кальципотриола, причем способ включает стадии:
(i) взаимодействие соединения общей структуры IIIa,
где R1 и R2 являются одинаковыми или различными и представляют собой водород или защитную гидроксигруппу,
с фосфонатом общей структуры VII, где R3 и R4 являются одинаковыми или различными и представляют собой алкил, галогеналкил, гидроксиалкил, алкенил, алкинил, аралкил, аралкенил, аралкинил или арил, каждый из которых является необязательно замещенным одним или более заместителями, выбранными из группы, состоящей из алкила, аралкила, циклоалкила, циклоалкенила, галогеналкила, гидроксиалкила, алкенила, алкинила, аралкила, аралкенила, аралкинила, арила, оксо, алкоксикарбонила, алкилкарбонилокси, галогена, алкокси, карбокси, сульфо или гидрокси,
в присутствии основания,
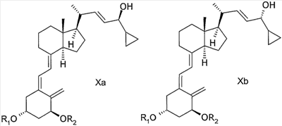
с получением соединения общей структуры Va, где R1 и R2 такие, как определено выше;
(ii) восстановление соединения общей структуры Va подходящим восстанавливающим средством с получением соединения общей структуры IXa или смеси соединений общей структуры IХа и IXb,

где R1 и R2 такие, как определено выше;
(iii) необязательное отделение соединения общей структуры IХа из смеси соединений общей структуры IХа и IXb;
(iv) фотоизомеризация соединения общей структуры IХа в соединение общей структуры Ха,

где R1 и R2 такие, как определено выше;
(v) когда R1 и/или R2 не являются водородом, удаление защитной гидроксигруппы (групп) R1 и/или R2 соединения общей структуры Xa с получением кальципотриола; и
(vi) необязательная кристаллизация кальципотриола из смеси органического растворителя и воды с получением моногидрата кальципотриола.
В еще одном дополнительном аспекте данное изобретение относится к способу получения кальципотриола или моногидрата кальципотриола, причем способ включает стадии:
(i) взаимодействие соединения общей структуры IIIb,
где R1 и R2 являются одинаковыми или различными и представляют собой водород или защитную гидроксигруппу,
с фосфонатом общей структуры VII, где R3 и R4 являются одинаковыми или различными и представляют собой алкил, галогеналкил, гидроксиалкил, алкенил, алкинил, аралкил, аралкенил, аралкинил или арил, каждый из которых является необязательно замещенным одним или более заместителями, выбранными из группы, состоящей из алкила, аралкила, циклоалкила, циклоалкенила, галогеналкила, гидроксиалкила, алкенила, алкинила, аралкила, аралкенила, аралкинила, арила, оксо, алкоксикарбонила, алкилкарбонилокси, галогена, алкокси, карбокси, сульфо или гидрокси,
в присутствии основания с получением соединения общей структуры Vb, где R1 и R2 такие, как определено выше;
(ii) восстановление соединения общей структуры Vb подходящим восстанавливающим средством с получением соединения общей структуры Xa или смеси соединений общей структуры Ха и Xb,

где R1 и R2 такие, как определено выше;
(iii) необязательное отделение соединения общей структуры Ха из смеси соединений общей структуры Ха и Xb;
(iv) когда R1 и/или R2 не являются водородом, удаление защитной гидроксигруппы (групп) R1 и/или R2 соединения общей структуры Xa с получением кальципотриола; и
(v) необязательная кристаллизация кальципотриола из смеси органического растворителя и воды с получением моногидрата кальципотриола.
В еще одном дополнительном аспекте данное изобретение относится к способу получения кальципотриола или моногидрата кальципотриола, причем способ включает стадии:
(i) взаимодействие соединения общей структуры VIa и/или VIb,
где R1 и R2 являются одинаковыми или различными и представляют собой водород или защитную гидроксигруппу,
с фосфонатом общей структуры VII, где R3 и R4 являются одинаковыми или различными и представляют собой алкил, галогеналкил, гидроксиалкил, алкенил, алкинил, аралкил, аралкенил, аралкинил или арил, каждый из которых является необязательно замещенным одним или более заместителями, выбранными из группы, состоящей из алкила, аралкила, циклоалкила, циклоалкенила, галогеналкила, гидроксиалкила, алкенила, алкинила, аралкила, аралкенила, аралкинила, арила, оксо, алкоксикарбонила, алкилкарбонилокси, галогена, алкокси, карбокси, сульфо или гидрокси,
в присутствии основания с получением соединения общей структуры VIIIa и/или VIIIb, где R1 и R2 такие, как определено выше;
(ii) нагрев соединений общей структуры VIIIa и/или VIIIb выше 60ºС в присутствии основания с получением соединения общей структуры Va,
где R1 и R2 такие, как определено выше;
(iii) восстановление соединения общей структуры Va подходящим восстанавливающим средством с получением соединения общей структуры IXa или смеси соединений общей структуры IХа и IXb,
где R1 и R2 такие, как определено выше;
(iv) необязательное отделение соединения общей структуры IХа из смеси соединений общей структуры IХа и IXb;
(v) фотоизомеризация соединения общей структуры IХа в соединение общей структуры Ха,
где R1 и R2 такие, как определено выше;
(vi) когда R1 и/или R2 не являются водородом, удаление защитной гидроксигруппы (групп) R1 и/или R2 соединения общей структуры Xa с получением кальципотриола; и
(vii) необязательная кристаллизация кальципотриола из смеси органического растворителя и воды с получением моногидрата кальципотриола.
В еще одном дополнительном аспекте данное изобретение относится к способу получения кальципотриола или моногидрата кальципотриола, причем способ включает стадии:
(i) взаимодействие соединения общей структуры VIa и/или VIb,
где R1 и R2 являются одинаковыми или различными и представляют собой водород или защитную гидроксигруппу,
с фосфонатом общей структуры VII, где R3 и R4 являются одинаковыми или различными и представляют собой алкил, галогеналкил, гидроксиалкил, алкенил, алкинил, аралкил, аралкенил, аралкинил или арил, каждый из которых является необязательно замещенным одним или более заместителями, выбранными из группы, состоящей из алкила, аралкила, циклоалкила, циклоалкенила, галогеналкила, гидроксиалкила, алкенила, алкинила, аралкила, аралкенила, аралкинила, арила, оксо, алкоксикарбонила, алкилкарбонилокси, галогена, алкокси, карбокси, сульфо или гидрокси, в присутствии основания,
с получением соединения общей структуры VIIIa и/или VIIIb, где R1 и R2 такие, как определено выше;
(ii) восстановление соединений общей структуры VIIIa и/или VIIIb подходящим восстанавливающим средством в инертном растворителе с получением соединений общей структуры XIaа и/или XIba или смеси соединений общей структуры XIaa и/или XIba и XIаb и/или XIbb,


где R1 и R2 такие, как определено выше;
(iii) необязательное отделение соединений общей структуры ХIaа и/или XIba из реакционной смеси;
(iv) нагрев соединений общей структуры ХIaа и/или XIba выше 60ºС в присутствии основания с получением соединения общей структуры IXa,
где R1 и R2 такие, как определено выше;
(v) необязательное отделение соединения общей структуры IХа из реакционной смеси;
(vi) фотоизомеризация соединения общей структуры IХа в соединение общей структуры Ха,
где R1 и R2 такие, как определено выше;
(vii) когда R1 и/или R2 не являются водородом, удаление защитной гидроксигруппы (групп) R1 и/или R2 соединения общей структуры Xa с получением кальципотриола; и
(viii) необязательная кристаллизация кальципотриола из смеси органического растворителя и воды с получением моногидрата кальципотриола;
где стадии (vi) и (vii) могут осуществляться в обратном порядке.
В еще одном дополнительном аспекте данное изобретение относится к способу получения кальципотриола или моногидрата кальципотриола, причем способ включает стадии:
(i) взаимодействие соединения общей структуры ХIIIa,
где R1 представляет собой водород или защитную гидроксигруппу,
с фосфонатом общей структуры VII, где R3 и R4 являются одинаковыми или различными и представляют собой алкил, галогеналкил, гидроксиалкил, алкенил, алкинил, аралкил, аралкенил, аралкинил или арил, каждый из которых является необязательно замещенным одним или более заместителями, выбранными из группы, состоящей из алкила, аралкила, циклоалкила, циклоалкенила, галогеналкила, гидроксиалкила, алкенила, алкинила, аралкила, аралкенила, аралкинила, арила, оксо, алкоксикарбонила, алкилкарбонилокси, галогена, алкокси, карбокси, сульфо или гидрокси,
в присутствии основания с получением соединения общей структуры XIVa, где R1 такой, как определено выше;
(ii) гидроксилирование соединения общей структуры XIVa подходящим гидроксилирующим средством с получением соединения общей структуры Va,
где R1 представляет собой водород или защитную гидроксигруппу, а R2 представляет собой водород;
(iii) необязательное взаимодействие соединения общей структуры Va, где R1 представляет собой водород или защитную гидроксигруппу, а R2 представляет собой водород с подходящим защитным средством с получением соединения общей структуры Va, где R1 и R2 являются одинаковыми или различными и представляют собой защитную гидроксигруппу;
(iv) восстановление соединения общей структуры Va подходящим восстанавливающим средством с получением соединения общей структуры IXa или смеси соединений общей структуры IXa и IXb,
где R1 и R2 такие, как определено выше;
(v) необязательное отделение соединения общей структуры IХа из смеси соединений общей структуры IXa и IXb;
(vi) фотоизомеризация соединения общей структуры IХа в соединение общей структуры Ха,
где R1 и R2 такие, как определено выше;
(vii) когда R1 и/или R2 не являются водородом, удаление защитной гидроксигруппы (групп) R1 и/или R2 соединения общей структуры Xa с получением кальципотриола; и
(viii) необязательная кристаллизация кальципотриола из смеси органического растворителя и воды с получением моногидрата кальципотриола.
В еще одном дополнительном аспекте данное изобретение относится к способу получения кальципотриола или моногидрата кальципотриола, причем способ включает стадии:
(i) взаимодействие соединения общей структуры ХIIIb,
где R1 представляет собой водород или защитную гидроксигруппу,
с фосфонатом общей структуры VII, где R3 и R4 являются одинаковыми или различными и представляют собой алкил, галогеналкил, гидроксиалкил, алкенил, алкинил, аралкил, аралкенил, аралкинил или арил, каждый из которых является необязательно замещенным одним или более заместителями, выбранными из группы, состоящей из алкила, аралкила, циклоалкила, циклоалкенила, галогеналкила, гидроксиалкила, алкенила, алкинила, аралкила, аралкенила, аралкинила, арила, оксо, алкоксикарбонила, алкилкарбонилокси, галогена, алкокси, карбокси, сульфо или гидрокси,
в присутствии основания с получением соединения общей структуры XIVb, где R1 такой, как определено выше;
(ii) фотоизомеризация соединения общей структуры XIVb в соединение общей структуры XIVа,
где R1 такой, как определено выше;
(iii) гидроксилирование соединения общей структуры XIVa подходящим гидроксилирующим средством с получением соединения общей структуры Va,
где R1 представляет собой водород или защитную гидроксигруппу, а R2 представляет собой водород;
(iv) необязательное взаимодействие соединения общей структуры Va, где R1 представляет собой водород или защитную гидроксигруппу, а R2 представляет собой водород, с подходящим защитным средством с получением соединения общей структуры Va, где R1 и R2 являются одинаковыми или различными и представляют собой защитную гидроксигруппу;
(v) восстановление соединения общей структуры Va подходящим восстанавливающим средством с получением соединения общей структуры IXa или смеси соединений общей структуры IXa и IXb;
где R1 и R2 такие, как определено выше;
(vi) необязательное отделение соединения общей структуры IХа из смеси соединений общей структуры IXa и IXb;
(vii) фотоизомеризация соединения общей структуры IХа в соединение общей структуры Ха,
где R1 и R2 такие, как определено выше;
(viii) когда R1 и/или R2 не являются водородом, удаление защитной гидроксигруппы (групп) R1 и/или R2 соединения общей структуры Xa с получением кальципотриола; и
(iх) необязательная кристаллизация кальципотриола из смеси органического растворителя и воды с получением моногидрата кальципотриола.
В еще одном дополнительном аспекте данное изобретение относится к способу получения кальципотриола или моногидрата кальципотриола, причем способ включает стадии:
(i) взаимодействие соединения общей структуры XVa и/или XVb,
где R1 представляет собой водород или защитную гидроксигруппу,
с фосфонатом общей структуры VII, где R3 и R4 являются одинаковыми или различными и представляют собой алкил, галогеналкил, гидроксиалкил, алкенил, алкинил, аралкил, аралкенил, аралкинил или арил, каждый из которых является необязательно замещенным одним или более заместителями, выбранными из группы, состоящей из алкила, аралкила, циклоалкила, циклоалкенила, галогеналкила, гидроксиалкила, алкенила, алкинила, аралкила, аралкенила, аралкинила, арила, оксо, алкоксикарбонила, алкилкарбонилокси, галогена, алкокси, карбокси, сульфо или гидрокси,
в присутствии основания с получением соединения общей структуры ХVIa и/или XVIb,
где R1 такой, как определено выше;
(ii) нагрев соединений общей структуры ХVIa и/или ХVIb выше 60ºС в присутствии основания с получением соединения общей структуры ХIVa,
где R1 такой, как определено выше;
(iii) гидроксилирование соединения общей структуры XIVa подходящим гидроксилирующим средством с получением соединения общей структуры Va,
где R1 представляет собой водород или защитную гидроксигруппу, а R2 представляет собой водород;
(iv) необязательное взаимодействие соединения общей структуры Va, где R1 представляет собой водород или защитную гидроксигруппу, а R2 представляет собой водород, с подходящим защитным средством с получением соединения общей структуры Va, где R1 и R2 являются одинаковыми или различными и представляют собой защитную гидроксигруппу;
(v) восстановление соединения общей структуры Va подходящим восстанавливающим средством с получением соединения общей структуры IXa или смеси соединений общей структуры IХа и IXb,
где R1 и R2 такие, как определено выше;
(vi) необязательное отделение соединения общей структуры IХа из смеси соединений общей структуры IХа и IXb;
(vii) фотоизомеризация соединения общей структуры IХа в соединение общей структуры Ха,
где R1 и R2 такие, как определено выше;
(viii) когда R1 и/или R2 не являются водородом, удаление защитной гидроксигруппы (групп) R1 и/или R2 соединения общей структуры Xa с получением кальципотриола; и
(ix) необязательная кристаллизация кальципотриола из смеси органического растворителя и воды с получением моногидрата кальципотриола.
В еще одном дополнительном аспекте данное изобретение относится к способу получения кальципотриола или моногидрата кальципотриола, причем способ включает стадии:
(i) взаимодействие соединения общей структуры IXX,
где R5 представляет собой водород или защитную гидроксигруппу,
с фосфонатом общей структуры VII,
где R3 и R4 являются одинаковыми или различными и представляют собой алкил, галогеналкил, гидроксиалкил, алкенил, алкинил, аралкил, аралкенил, аралкинил или арил, каждый из которых является необязательно замещенным одним или более заместителями, выбранными из группы, состоящей из алкила, аралкила, циклоалкила, циклоалкенила, галогеналкила, гидроксиалкила, алкенила, алкинила, аралкила, аралкенила, аралкинила, арила, оксо, алкоксикарбонила, алкилкарбонилокси, галогена, алкокси, карбокси, сульфо или гидрокси,
в присутствии основания с получением соединения общей структуры ХX, где R5 такой, как определено выше;
(ii) восстановление соединения общей структуры XX подходящим восстанавливающим средством с получением соединения общей структуры XXIa или смеси соединений общей структуры XХIа и XXIb,
где R5 такой, как определено выше, а R6 представляет собой водород;

(iii) необязательное отделение соединения общей структуры ХХIа из смеси соединений общей структуры ХХIа и ХХIb;
(iv) защита аллильной гидроксигруппы соединения общей структуры ХХIа с подходящим защитным гидроксиреагентом с получением общей структуры ХХIа,
где R6 представляет собой защитную гидроксигруппу, а R5 такой, как определено выше;
(v) когда R5 не является водородом, удаление защитной гидроксигруппы R5 соединения общей структуры XXIa, с получением соединения общей структуры XXIa, где R5 представляет собой водород;
(vi) окисление гидроксигруппы соединения общей структуры XXIa подходящим окисляющим средством с получением соединения общей структуры XXII, где R6 такой, как определено выше;
(vii) сочетание соединения общей структуры XXII с реагентом Виттига XXIIIa или реагентом Виттига Хорнера XXIIIb, где R1 и R2 представляют собой водород или защитную гидроксигруппу, и где R3 и R4 такие, как определено выше;

в присутствии основания с получением соединения общей структуры XXIVa,

где R1 и R2 являются одинаковыми или различными и представляют собой водород или защитную гидроксигруппу и где R6 такой, как определено выше;
(viii) когда R6 не является водородом, удаление защитной гидроксигруппы R6 соединения общей структуры XXIVa;
(ix) необязательное отделение соединения общей структуры XXIVa;
(x) когда R1 и R2 не являются водородом, удаление защитной гидроксигруппы (групп) R1 и R2 соединения общей структуры XXIVa с получением кальципотриола; и
(xi) необязательная кристаллизация кальципотриола из смеси органического растворителя и воды с получением моногидрата кальципотриола.
ПОДРОБНОЕ ОПИСАНИЕ ИЗОБРЕТЕНИЯ
Определения
Как использован в настоящем документе, аналог витамина D означает любое производное витамина D2 или D3, такое как 1 ,25-дигидроксивитамин D2 или 1 ,25-дигидроксивитамин D3, включая производные, в которых одно или более из колец A, C или D модифицированы или/и где боковая цепь, присоединенная к С-17, отличается от природного витамина D2 или D3. Примеры аналогов витамина D можно найти, например, в [ Vitamin D , D. Feldman, Ed., Academic Press, San Diego, USA, 1997] и [G.-D. Zhu et al., Chem. Rev. 1995, 95, 1877-1952] и ссылках, приведенных в этих документах, и включают защищенный или незащищенный гидроксикальципотриол и изомеры и производные кальципотриола.
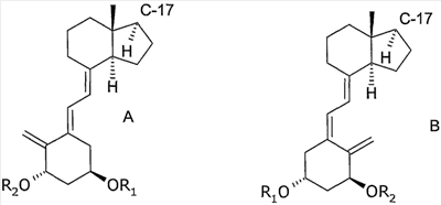
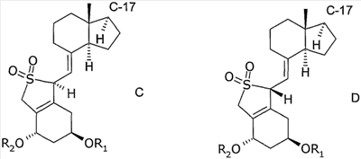
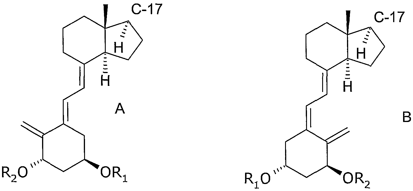
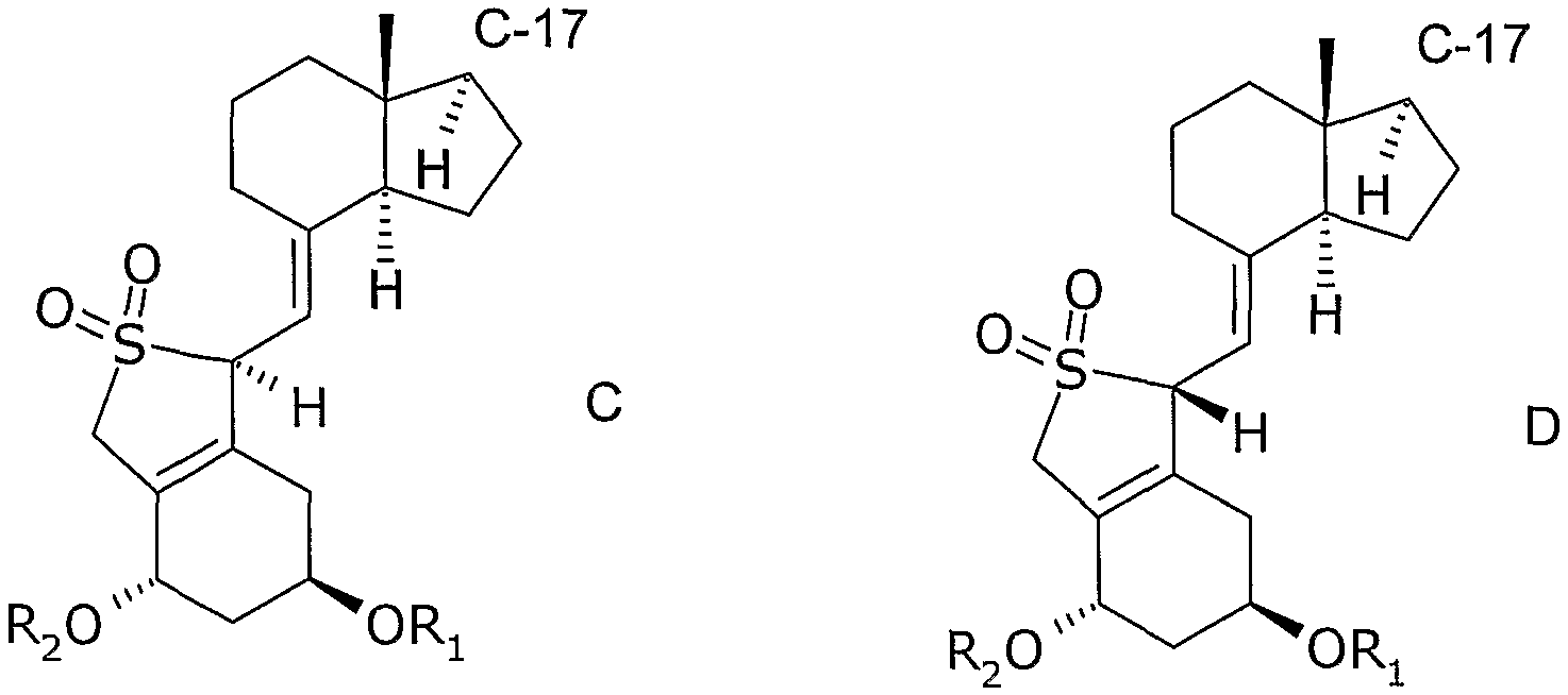
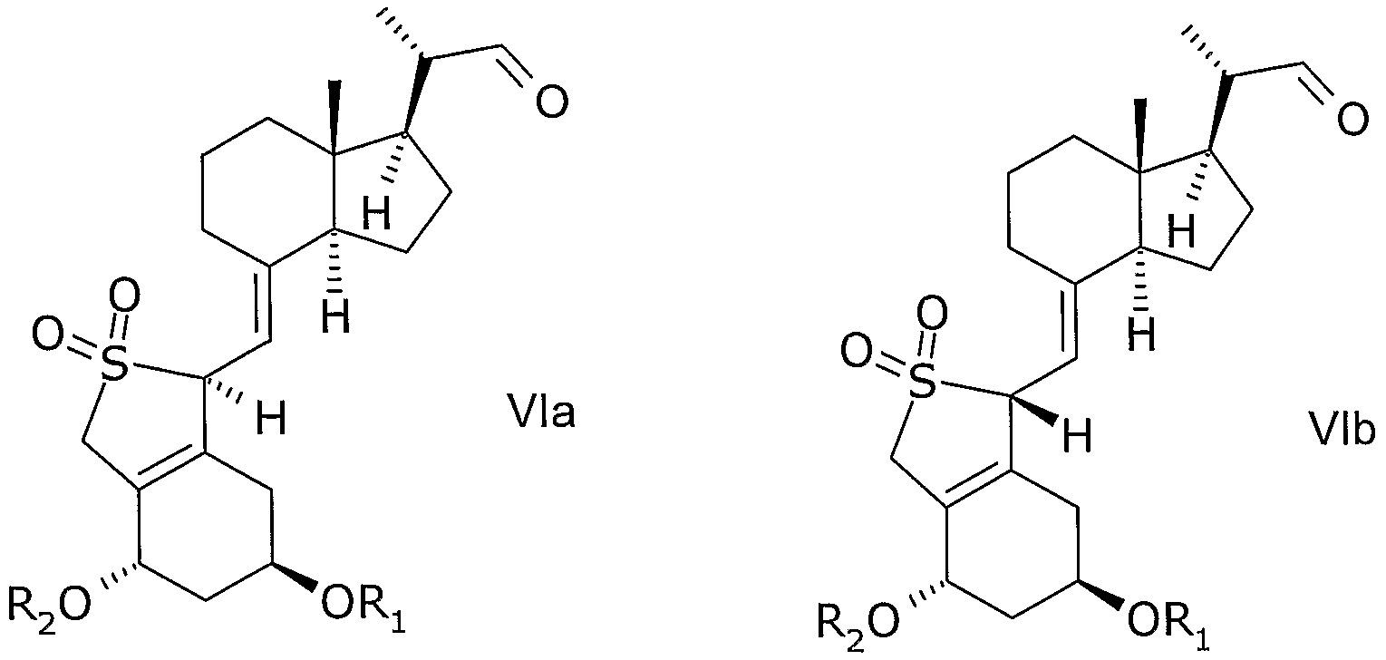
Как использован в настоящем документе, аналог фрагмента витамина D означает С-17 радикал аналога витамина D, как определено выше, без боковой цепи, обычно присоединенной по С-17. Примеры аналогов фрагментов витамина D представлены структурами A, B, C, D, E, F, G, H; где С-17 аналогичные положения в смысле настоящего изобретения указаны ниже; и где R1 и R2 являются одинаковыми или различными и представляют собой водород или защитную гидроксигруппу.



Как использован в настоящем документе, предшественник для синтеза аналога витамина D означает любую молекулу, применимую в синтезе производного витамина D, как определено выше, такую как исходное вещество или промежуточный продукт, где часть молекулы-прешественника становится включенной в конечный аналог витамина D. Примеры включают, но не ограничиваясь, стероидные циклические системы, такие как эргостерин, холестерин или 7-дегидрохолестерин, или производные СD-циклов стероидов, такие как кетон Грюндмана или производные кетона Грюндмана. Примеры предшественников для синтеза аналога витамина D можно найти, например, в [G.-D. Zhu et al., Chem. Rev. 1995, 95, 1877-1952] и ссылках, приведенных в этом документе. Примеры конкретных производных СD-циклов стероидов, которые являются особенно применимыми, представляют собой циклические структуры M и N, приведенные ниже, в которых PG представляет собой водород или защитную группу водорода, как определено ниже.

Подразумевают, что С-17 аналогичное положение такого предшественника означает атом углерода указанного предшественника, который будет соответствовать С-17 углеродному атому в конечном аналоге витамина D или кальципотриоле.
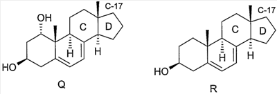
Как использован в настоящем документе, фрагмент предшественника для синтеза аналога витамина D означает радикал предшественника для синтеза аналога витамина D, как определено выше. Например, фрагмент прешественника для синтеза аналога витамина D может представлять собой фрагмент циклической системы стероида, который может быть представлен структурой Q или R, в которой С-17 аналогичные положения в отношении соединений настоящего изобретения указаны ниже.

Другие примеры фрагментов прешественника для синтеза аналога витамина D представляют собой фрагменты производных CD-циклов стероидов, которые могут, например, быть представлены структурой О или Р, в которой указаны С-17 аналогичные положения в отношении соединений настоящего изобретения, и где PG такое, как определено выше.

Как использовано в настоящем документе, защитная гидроксигруппа представляет собой любую группу, которая образует производное, являющееся стабильным в условиях планируемых реакций, где указанная защитная гидроксигруппа может быть селективно удалена реагентами, которые не атакуют регенерированную гидроксигруппу. Указанное производное может быть получено селективной реакцией защитного гидроксисредства с гидроксигруппой. Силильные производные, например триалкилсилил, такие как трет-бутилдиметилсилил, триметилсилил, триэтилсилил, дифенилметилсилил, триизопропилсилил, трет-бутилдифенилсилил, образующие силиловые эфиры, являются примерами защитных гидроксигрупп. Силилхлориды, такие как трет-бутилдиметилсилилхлорид (TBSCl), триметилсилилхлорид, триэтилсилилхлорид, дифенилметилсилилхлорид, триизопропилсилилхлорид и трет-бутилдифенилсилилхлорид, представляют собой примеры защитных гидроксисредств. Силилхлориды, например, взаимодействуют с гидроксигруппой (группами) в присутствии основания, такого как имидазол. Фторид водорода, такой как водный HF в ацетонитриле или фторид тетра-н-бутиламмония, является примером реагентов, которые могут удалять силильные группы. Другие защитные гидроксигруппы включают простые эфиры, такие как тетрагидропиранильный (ТГП) эфир, бензиловый эфир, трет-бутиловый эфир, включая алкоксиалкиловые эфиры (ацетали), такие как метоксиметиловый (МОМ) эфир, или сложные эфиры, такие как хлорацетатный эфир, триметилацетат, ацетат или бензоатный эфир. Неограничивающие примеры защитных гидроксигрупп и способы защиты и удаления, все включенные в объем притязаний данной заявки, можно, например, найти в Protective Groups in Organic Synthesis , 3rd ed., T. W. Greene & P. G. M. Wuts eds., John Wiley 1999, и в Protecting Groups , 1st ed., P. J. Kocienski, G. Thieme 2000, Jarowicki, K., Kocienski, P., J. Chem. Soc., Perkin Trans. 1, 2000, 2495-2527, все из которых включены в данное описание в качестве ссылки.
Как использовано в данном описании, подразумевают, что алкил означает линейную или разветвленную алкильную группу, которая может быть циклической или ациклической, имеющую от одного до двадцати атомов углерода, например 1-12, например 1-7, например 1-4 атома углерода. Термин включает подклассы нормального алкила (н-алкила), вторичного и третичного алкила, такие как метил, этил, н-пропил, изопропил, н-бутил, изобутил, втор-бутил, трет-бутил, пентил, изопентил, гексил, изогексил и трет-бутилдиметильную группу.
Подразумевают, что термин галоген указывает на заместитель из 7-ой основной группы периодической таблицы, предпочтительно фтор, хлор и бром.
Подразумевают, что термин алкенил указывает на моно-, ди-, три-, тетра- или пентаненасыщенный углеводородный радикал, содержащий 2-10 атомов углерода, предпочтительно 2-6 атомов углерода, например 2-4 атома углерода, например, этенил, пропенил, бутенил, пентенил или гексенил.
Подразумевают, что термин алкинил указывает на углеводородный радикал, содержащий 1-5 тройных С-С связей и 2-20 атомов углерода, алкановая цепь обычно содержит 2-10 атомов углерода, предпочтительно 2-6 атомов углерода, например 2-4 атома углерода, например, этинил, пропинил, бутинил, пентинил или гексинил.
Подразумевают, что термин галогеналкил указывает на алкильную группу, как определено выше, замещенную одним или более атомами галогена, как определено выше.
Подразумевают, что термин гидроксиалкил указывает на алкильную группу, как определено выше, замещенную одной или более гидроксигруппами.
Подразумевают, что термин алкокси указывает на радикал формулы -OR’, где R’ представляет собой алкил, как определено выше, например, метокси, этокси, н-пропокси, изопропокси, бутокси и т.д.
Подразумевают, что термин алкоксикарбонил указывает на радикал формулы -С(О)-О-R’, где R’ представляет собой алкил, как указано выше, например, метоксикарбонил, этоксикарбонил, н-пропоксикарбонил, изопропоксикарбонил и т.д.
Подразумевают, что термин алкилкарбонилокси указывает на радикал формулы -О-С(О)-R’, где R’ представляет собой алкил, как указано выше.
Подразумевают, что термин циклоалкил указывает на насыщенный циклоалкановый радикал, содержащий 3-20 атомов углерода, предпочтительно 3-10 атомов углерода, предпочтительно 3-8 атомов углерода, например 3-6 атомов углерода, например, циклопропил, циклобутил, циклопентил или циклогексил.
Подразумевают, что термин циклоалкенил указывает на моно-, ди-, три- или тетраненасыщенный неароматический циклический углеводородный радикал, содержащий 3-20 атомов углерода, обычно содержащий 3-10 атомов углерода, например 3-6 атомов углерода, например, циклопропенил, циклобутенил, циклопентенил или циклогексенил.
Подразумевают, что термин арил указывает на радикал ароматических карбоциклических циклов, содержащих 6-20 атомов углерода, например 6-14 атомов углерода, предпочтительно 6-10 атомов углерода, предпочтительно 5- или 6-членных циклов, необязательно сопряженных карбоциклических циклов с, по меньшей мере, одним ароматическим циклом, таких как фенил, нафтил, инденил и инданил.
Подразумевают, что термин аралкил указывает на алкильную группу, как указано выше, замещенную одним или более арильными радикалами, как определено выше.
Подразумевают, что термин аралкенил указывает на алкенильную группу, как указано выше, замещенную одним или более арильными радикалами, как определено выше.
Подразумевают, что термин аралкинил указывает на алкинильную группу, как указано выше, замещенную одним или более арильными радикалами, как определено выше.
Как использовано в настоящем описании, подразумевают, что подходящее восстанавливающее средство означает любое средство, способное к восстановлению, предпочтительно энантиоселективному или диастереоселективному восстановлению С-24 кетогруппы соединения общей структуры XX, Va, Vb, VIIIa или VIIIb с получением предпочтительно соединения общей структуры XXIa (R6=водород), IXa, Xa, XIaa или XIba, соответственно. Примеры восстанавливающих средств включают, но не ограничены, борановыми восстанавливающими средствами, гидридами металлов, таких как литийалюминийгидрид, боргидрид натрия или AlH3, необязательно в присутствии лантанидных солей (например, LaCl3, CeBr3, CeCl3) или NaBH3(OAc), Zn(BH4)2 и Et3SiH. Борановые восстанавливающие средства включают боран, боргидриды и комплексы борана с аминами или эфирами. Неограничивающие примеры борановых восстанавливающих средств, например, включают N,N-диэтиланилинборан, боран-тетрагидрофуран, 9-борабициклононан (9-BBN) или диметилсульфид борана. Другие восстанавливающие средства включают, но не ограничены ими, водород в присутствии катализатора, такого как платина или рутений, натрий в этаноле, изопропиловый спирт и изопропоксид алюминия, и порошок цинка в воде или спирте.
При восстановлении С-24 кетогруппы соединения общей структуры XX, XVIa, XVIb, VIIIa или VIIIb термин подходящее восстанавливающее средство включает хиральные восстанавливающие средства или комплексы хиральный лиганд-восстанавливающее средство, такие как комплекс LiAlH4 и 2,2′-дигидрокси-1,1′-бинафтила. Другие примеры представляют собой водород в присутствии бинафтильных производных, таких как 2,2′-дигидрокси-1,1′-бинафтильных производных, например, ацетата (R)-2,2′-бис(дифенилфосфино)-1,1′-бинафтилрутения.
Хиральные восстанавливающие средства или хиральный лиганд-восстанавливающие средства включают восстанавливающие средства, в которых хиральное вспомогательное средство взаимодействует с восстанавливающим средством перед восстановлением in situ с образованием хирального восстанавливающего средства, или где хиральное вспомогательное средство может, например, служить в качестве хирального лиганда в комплексе с восстанавливающим средством, т.е., например, давать хиральное восстанавливающее средство. Настоящее изобретение включает применение таких хиральных восстанавливающих средств или комплексов хиральный лиганд-восстанавливающее средство, которые были получены и выделены отдельно перед использованием для восстановления.
Например, хиральное вспомогательное средство может взаимодействовать с борановым восстанавливающим средством перед восстановлением in situ с образованием хирального боранового восстанавливающего средства или хиральное вспомогательное средство может служить в качестве хирального лиганда в борановом комплексе. Примеры таких хиральных борановых восстанавливающих средств представляют собой хиральные оксаборолидины или оксазаборолидины, такие как оксазаборолидиновые реагенты, являющиеся производными (1R,2S)-цис-1-амино-2-инданола, (1S,2R)-цис-1-амино-2-инданола, (S)-пролинола, (R)-пролинола или В-(3-пинанил)-9-борабицикло[3.3.2]нонана (альпин-борана) или, например, 5,5-дифенил-2-метил-3,4-пропано-1,3,2-оксазаборолидина, (S)-2-метил-CBS-оксазаборолидина, (R)-2-метил-CBS-оксазаборолидина. Настоящее изобретение, следовательно, включает применение таких хиральных восстанавливающих средств, как хиральные борановые восстанавливающие средства, или комплексы хиральный лиганд-восстанавливающее средство, такие как комплексы хиральный лиганд-боран, которые были получены и выделены перед применением для восстановления.
Еще одним примером хирального лиганда в комплексе с восстанавливающим средством является комплекс LiAlH4 и 2,2′-дигидрокси-1,1′-бинафтила.
Восстановление соединения общей структуры XX, XVIa, XVIb, VIIIa или VIIIb может осуществляться в присутствии хирального вспомогательного средства, такого как инертный растворитель. Неограничивающие примеры хиральных вспомогательных средств включают 1,2-аминоспирты, такие как производные хирального цис-1-амино-2-инданола, такого как (1S,2R)-(-)-цис-1-амино-2-инданол или цис-1-амино-1,2,3,4-тетрагидронафталин-2-ол, такого как (1S,2R)-цис-1-амино-1,2,3,4-тетрагидронафталин-2-ол. Другими примерами являются бинафтильные производные, такие как 2,2′-дигидрокси-1,1′-бинафтильные производные ацетата (R)-2,2′-бис(дифенилфосфино)-1,1′-бинафтилрутения. Дополнительные примеры включают, но без ограничений, (R)-(+)- , -дифенил-2-пирролидинметанол, (R)-(+)-2-амино-4-метил-1,1-дифенил-1-пентанол, (R)-(-)-2-амино-3-метил-1,1-дифенил-1-бутанол, (R)-(+)-2-амино-1,1,3-трифенил-1-пропанол и (1R,2S)-(-)-2-амино-1,2-дифенилэтанол.
Как использовано в настоящем описании, отделение соединения включает очистку и/или выделение соединения, например, до чистоты, по меньшей мере, 90%, например, по меньшей мере, 95% чистоты, например, 97% чистоты, 98% чистоты или 99% чистоты. Термин отделение соединения также включает значение увеличения концентрации соединения в смеси таких соединений, необязательно содержащей растворители, так, что затем смесь обогащается требуемым или предпочтительным соединением или изомером, таким как эпимер, после указанного отделения. Наиболее предпочтительно R1 и/или R2 представляют собой алкилсилил, такой как трет-бутилдиметилсилил, и наиболее предпочтительно R1 и R2 являются одинаковыми, а R6 является водородом, когда соединения настоящего изобретения отделяются хроматографией.
Как использовано в настоящем описании, инертный растворитель означает любой органический растворитель, совместимый с указанным подходящим восстанавливающим средством при используемых условиях реакции, или смеси таких растворителей. Выбор такого растворителя будет зависеть от конкретного используемого восстанавливающего средства. Неограничивающие примеры инертных растворителей включают углеводороды, такие как толуол и эфиры, такие как трет-бутилметиловый эфир или тетрагидрофуран.
Предпочтительные варианты осуществления
В еще одном аспекте данное изобретение относится к 20(R),1(S),3(R)-бис(трет-бутилдиметилсилилокси)-20-(3′-циклопропил-3′-оксопроп-1′(E)-енил)-9,10-секопрегна-5(Е),7(E),10(19)-триену, полученному способом, включающим в себя способ взаимодействия соединения общей структуры IIIa с фосфонатом общей структуры VII.
В дополнительном аспекте данное изобретение относится к 20(R),1(S),3(R)-бис(трет-бутилдиметилсилилокси)-20-(3′-циклопропил-3′-оксопроп-1′(E)-енил)-9,10-секопрегна-5(Z),7(E),10(19)-триену, полученному способом, включающим в себя способ взаимодействия соединения общей структуры IIIb с фосфонатом общей структуры VII.
В еще дополнительном аспекте данное изобретение относится к SO2 аддуктам 20(R),1(S),3(R)-бис(трет-бутилдиметилсилилокси)-20-(3′-циклопропил-3′-оксопроп-1′(E)-енил)-9,10-секопрегна-5(Е),7(E),10(19)-триена, полученным способом, включающим в себя способ взаимодействия соединения общей структуры VIa или VIb с фосфонатом общей структуры VII.
В используемом в настоящее время предпочтительном варианте осуществления настоящего изобретения R1 и/или R2 представляют собой алкилсилил, такой как трет-бутилдиметилсилил, наиболее предпочтительно R1 и R2 являются одинаковыми. В еще одном варианте осуществления настоящего изобретения R1 и/или R2 представляют собой водород, наиболее предпочтительно R1 и R2 являются одинаковыми.
В используемом в настоящее время предпочтительном варианте осуществления настоящего изобретения R3 и/или R4 представляют собой алкил, такой как (С1-С6)алкил, такой как метил, этил или 1-пропил, наиболее предпочтительно R3 и R4 являются одинаковыми.
В одном варианте осуществления настоящего изобретения защитная гидроксигруппа R5 представляет собой алкилсилил, такой как триэтилсилил, а защитная гидроксигруппа R6 представляет собой алкилсилил, такой как трет-бутилдиметилсилил.
Соединения и промежуточные продукты настоящего изобретения могут содержать асимметрически замещенные (хиральные) углеродные атомы и углерод-углеродные двойные связи, которые могут служить причиной существования изомерных форм, например энантиомеров, диастереомеров и геометрических изомеров. Эпимеры известны как диастереомеры, которые имеют противоположную конфигурацию (R или S) только по одному из многих тетраэдрических стереогенных центров в молекулах, имеющих множественные стереогенные центры, такие как аналоги витамина D, на которые направлено настоящее изобретение. Обозначение, например, С-24 как эпимерного центра пары энантиомеров, следовательно, указывает на то, что конфигурации по другим стереогенным центрам пары являются идентичными. Настоящее изобретение относится ко всем изомерным формам, таким как эпимеры, либо в чистом виде, или в виде смесей. Чистые стереоизомерные формы соединений и промежуточных продуктов настоящего изобретения могут быть получены посредством применения методик, известных в данной области, таких как хроматография или кристаллизация, или стереоселективным синтезом.
Указание конкретной конформации или конфигурации в формулах или названиях соединений или промежуточных продуктов настоящего изобретения будет указывать на то, что данная конкретная конформация или конфигурация является предпочтительным вариантом осуществления изобретения. Указание конкретной конформации или конфигурации в формулах или названиях соединений или промежуточных продуктов настоящего изобретения будет включать любой другой изомер, в отличие от конкретно указанного, или в чистом виде, или в виде их смесей, в качестве дополнительного варианта осуществления настоящего изобретения.
Способы получения
Соединения общей структуры IIIa могут быть, например, синтезированы в соответствии со способами, раскрытыми, например, M.J. Calverley, Tetrahedron, Vol. 43, 20, pp. 4609-4619, 1987, или в WO 87/00834. Например, с соединения IIIa, в котором оба, R1 и R2, представляют собой трет-бутилдиметилсилил, получение которого описано в приведенных ссылках, могут быть удалены защитные группы с помощью водной фтористо-водородной кислоты в ацетонитриле или фторида тетрабутиламмония с получением смеси соединений, в которых R1 или R2 представляют собой водород, или с получением соединения, в котором R1 и R2 представляют собой водород. Данная смесь соединений может, например, быть разделена хроматографией или кристаллизована, как в общем виде описано в данном описании. Посредством реакции указанных соединений общей структуры IIIa, в котором R1 и/или R2 представляют собой водород с подходящим защитным средством, могут быть внедрены новые группы R1 и/или R2. В зависимости от стехиометрии используемого защитного средства и условий реакции могут быть получены смеси незащищенных, монозащищенных и соединений с удаленной защитой. Любое промежуточное соединение смеси, в которой один из R1 и R2 является водородом, затем может быть выделено хроматографией и взаимодействовать с подходящим защитным средством, отличным от первого использованного средства, с получением соединений общей структуры IIIa, в которых R1 отличается от R2.
Соединения общей структуры IIIb могут быть получены из соединений общей структуры IIIa фотоизомеризацией, такой как с УФ-светом в присутствии триплетного сенсибилизатора, такого как антрацен или 9-ацетилантрацен. Такие способы хорошо известны специалисту в области синтеза производных витамина D и, например, описаны M.J. Calverley, Tetrahedron, Vol. 43, 20, pp. 4609-4619, 1987 или в WO 87/00834, которые включены в данное описание в качестве ссылки.
Соединения общей структуры VIa и/или VIb могут быть получены из соединений общей структуры IIIa или IIIb посредством обработки соединений общей структуры IIIa или IIIb диоксидом серы. Диоксид серы может быть жидким, газообразным или растворен в подходящем растворителе. Подходящие растворители для данной реакции типа Дильса-Альдера все представляют собой растворители, которые являются совместимыми с условиями реакции, такие как алканы, такие как гексан или гептан, углеводороды, такие как ксилены, толуол, простые эфиры, такие как диэтиловый эфир или метил-трет-бутиловый эфир (МТВЕ), ацетаты, такие как этилацетат или 2-пропилацетат, галогенированные растворители, такие как дихлорметан, или смеси указанных растворителей, такие как смесь несмешивающегося с водой растворителя и воды, например толуола и воды. Реакцию можно также осуществлять в чистом диоксиде серы без растворителя. Подходящей температурой реакции способа является интервал от -50 до 60ºС, например, от -30 до 50ºС, например, от -15 до 40ºС, например, от -5 до 30ºС, например, от 0 до 35ºС, например, от 5 до 30ºС, предпочтительно, например, от 10 до 25ºС, например, от 15 до 20ºС. Предпочтительно диоксид серы используют в избытке (моль/моль), например, 5-100-молярном избытке, например, 7-30-молярном избытке, например, 10-15-молярном избытке. Любой избыток непрореагировавшего диоксида серы может быть удален из реакционной смеси посредством, например, промывки водным основанием, таким как водный гидроксид натрия, или отгонкой диоксида серы, необязательно вместе с растворителем, необязательно при пониженном давлении. Взаимодействие соединений общей структуры IIIа с диоксидом серы обычно приводит к смесям двух эпимеров VIa и VIb. Молярное отношение VIa/VIb смеси эпимеров, полученных в реакции Дильса-Альдера, будет зависеть от групп R1 и R2 и используемых условий реакции.
Соединения общей структуры XVa и XVb могут, например, быть синтезированы, как ранее описано в ЕР 0078704 для R1 = трет-бутилдиметилсилилокси (пример 11(с)). Соединения XVa и XVb, в которых R1 представляет собой трет-бутилдиметилсилил, могут, например, быть подвергнуты процедуре снятия защитных групп с помощью подходящего реагента для снятия защиты, такого как водная фтористо-водородная кислота в ацетонитриле или с помощью фторида тетрабутиламмония с получением соединений, в которых R1 представляет собой водород, которые затем могут взаимодействовать с подходящим защитным средством с получением соединений общей структуры XVa и XVb с группой R1, отличной от исходного соединения. Кроме того, соединения общей структуры XVa и XVb могут быть синтезированы озонолизом соединений 6а, 6b, 7a или 7b, раскрытых в Tetrahedron, Vol. 43, 20, pp. 4609-4619, 1987.
Соединения общей структуры ХIIIa могут быть синтезированы, например, исходя из аддуктов XVa и XVb с диоксидом серы посредством реакции типа ретро Дильс-Альдера с основанием так, как описано ниже. Различные группы R1 могут быть внедрены перед или после реакции ретро Дильс-Альдера способами, хорошо известными специалисту в области органической химии и, например, описанными выше для соединений общей структуры IIIa.
Соединения общей структуры XIIIb могут быть получены из соединений общей структуры XIIIa и, наоборот, фотоизомеризацией, как описано выше.
С,D-кольцевые билдинг-блоки общей структуры IXX могут, например, быть получены из витамина D2 (эргокальциферола) способами, раскрытыми в Eur. J. Org. Chem, 2003, 3889-3895; J. Med. Chem. 2000, 43, 3581-3586; J. Med. Chem. 1995, 38, 4529-4537, Chemical Reviews, 1995, Vol. 95, 6 и J. Org. Chem. 1992, 57, 3173-3178. Различные группы R5 могут быть внедрены с использованием стандартной химии защитных групп, такой как описано в данном документе.
Аддукты с диоксидом серы настоящего изобретения предпочтительно преобразуют в незащищенные триеновые производные в присутствии основания в реакции ретро Дильса-Альдера. Реакцию можно осуществлять во всех растворителях, которые являются совместимыми с реакционными условиями, таких как алканы, например, гексан или гептан, углеводороды, например, ксилены, толуол, простые эфиры, такие как диэтиловый эфир или метил-трет-бутиловый эфир (МТВЕ), ацетаты, например, этилацетат или 2-пропилацетат, галогенированные растворители, например, дихлорметан, вода или смеси указанных растворителей. Способы данной реакции типа ретро Дильса-Альдера являются хорошо известными специалисту в области синтеза витамина D (смотрите, например, M.J. Calverley в Tetrahedron, Vol. 43, 20, pp. 4609-19, 1987 или в WO 87/00834). Предпочтительными растворителями являются толуол, трет-бутилметиловый эфир, вода или их смеси. Подходящие основания для использования в реакции ретро Дильса-Альдера включают, но не ограничены, NaHCO3, KHCO3, Na2CO3 или K2CO3. В предпочтительном варианте осуществления настоящего изобретения основание представляет собой водный раствор NaHCO3, и/или реакцию ретро Дильса-Альдера проводят при температуре выше 60ºС, например, в интервале между 60 и 120ºС, наиболее предпочтительно выше 70ºС, например, в интервале между 74 и 79ºС, обычно в течение приблизительно одного-двух часов.
Соединения общей структуры VIa и/или VIb могут быть дополнительно получены озонолизом SO2 аддуктов 1(S),3(R)-бис(трет-бутилдиметилсилилокси)-9,10-секопрегна-5,7(Е),10(19),22(Е)-тетраена, как, например, описано в Tetrahedron, Vol. 43, 20, pp. 4609-4619, 1987, необязательно с последующим снятием защиты и защитой гидроксигрупп, как описано выше для соединений общей структуры IIIa и/или IIIb.
Синтетические способы, используемые в настоящем изобретении, являются хорошо известными специалисту в области синтеза витамина D или органической химии. Подходящие условия реакции могут, например, быть найдены в Tetrahedron, Vol. 43, 20, pp. 4609-4619, 1987, в WO 87/00834, в WO 94/15912, в патенте США 69553962 и в Chemical Reviews, 1995, Vol. 95, 6; и ссылках, цитируемых в этих документах, все из которых включены в качестве ссылки.
Восстановление соединений общей структуры VIIIa и/или VIIIb или XVIa и/или XVIb, соответственно, или XX предпочтительно осуществляют взаимодействием с хиральным борановым восстанавливающим средством, таким как хиральные оксаборолидины или оксазаборолидины, такие как хиральные оксазаборолидиновые реагенты, являющиеся производными N,N-диэтиланилинборана и (1S,2R)-цис-1-амино-2-инданола, (1R,2S)-цис-1-амино-2-инданола, (1S,2R)-цис-1-амино-2-инданола, (S)-пролинола, (R)-пролинола или В-(3-пинанил)-9-борабицикло[3.3.2]нонана (альпинборана) или, например, 5,5-дифенил-2-метил-3,4-пропано-1,3,2-оксазаборолидина, (S)-2-метил-СBS-оксазаборолидина, (R)-2-метил-СBS-оксазаборолидина. Эти способы восстановления и способы получения соединений общей структуры VIIIa и/или VIIIb детально описаны в заявке на патент США 60/553962. Молярное соотношение хирального вспомогательного/восстанавливающего средства предпочтительно находится в интервале 2,3-2,7. Реакцию восстановления обычно осуществляют в температурном интервале от 5 до 35ºС, предпочтительно от 10 до 30ºС, предпочтительно от 15 до 25ºС, наиболее предпочтительно от 15 до 20ºС. Восстанавливающее средство предпочтительно применяют в эквимолярном количестве или в молярном избытке по отношению к соединению общей структуры VIIIa и/или VIIIb или XVIa и/или XVIb, соответственно, или ХХ, таком как молярный избыток в интервале 2,5-3,0.
Способ приводит к энантиоселективному/диастереоселективному восстановлению прохирального кетона общей структуры VIIIa и/или VIIIb или XVIa и/или XVIb, соответственно, или ХХ, такого как С-24 эпимеры XIa и/или XIb или XVIa и/или XVIb, соответственно, или XXIa (R6=водород), которые образуются предпочтительно. Обзор таких боран-катализируемых реакций приведен, например, Deloux и Srebnik [Chem. Rev. 93, 763, 1993]. Примеры эффективных катализаторов на основе хирального модифицированного борана можно найти, например, в [A. Hirao, J. Chem. Soc. Chem. Commun. 315, 1981; E.J. Corey, J. Am. Chem. Soc. 109, 7925, 1987]. Примеры синтеза и/или применения, например, 1,2- или 1,3-аминоспиртов в стереоселективном восстановлении с помощью борана, можно, например, найти в [E. Didier et al.; Tetrahedron 47, 4941-4958, 1991; C.H. Senanayake et al. Tetrahedron Letters, 36(42), 7615-18, 1995, EP 0698028, EP 0640089, EP 0305180, WO 93/23408, WO 94/26751]. Синтез и/или применение хиральных производных цис-1-амино-2-инданола в восстановлении бораном, можно, например, найти в [C.H. Senanayake, Aldtichimica Acta, 31 (1), 1-15, 1998; A.K. Ghosh et al., Synthesis, 937-961, 1998; Y. Hong et al. Tetrahedron Letters, 35(36), 6631-34, 1994; B. Di Simone, Tetrahedron Asymmetry, 6(1) 301-06, 1995; Y. Hong et al., Tetrahedron Letters, 36(36), 6631-34, 1994; R. Hett et al., Org. Process Res. & Dev., 2, 96-99, 1998; или ЕР 0763005] и ссылках, приведенных в этих документах.
Способ получения кальципотриола, как описан в данном документе, может быть модифицирован по отношению к порядку стадий реакции, с исключением одной или более стадий реакции или посредством включения дополнительных стадий очистки или реакциии на любой стадии последовательности реакций. Настоящее изобретение включает все такие модификации. Квалифицированный специалист в области химиии витамина D или органической химии знает, где такие модификации можно сделать.
Способ получения кальципотриола, как описан в данном документе, включает дополнительно все варианты, в которых защитные гидроксигруппы R1 и/или R2 для соединений или промежуточных продуктов, где R1 и/или R2 не являются водородом, удаляют на любой стадии последовательности реакции. Соединения или промежуточные продукты, в которых R1 и/или R2 являются водородом, могут быть защищены защитными средствами на любой стадии последовательности реакции, включая защитные средства, которые вводят другие защитные группы, чем те, которые удаляют ранее в последовательности реакции.
Восстановление соединений общей формулы XIVa, XIVb, XVIa, XVIb, XX, Va, Vb, VIIIa и/или VIIIb подходящим восстанавливающим средством в инертном растворителе будет, в зависимости от восстанавливающего средства и используемых условий реакций, приводить к смеси С-24 эпимеров соответствующих образованных спиртов, таких как соединения общей структуры IXa и IXb или таких как соединения общей структуры Xa и Xb, или таких как соединения общей структуры XIaa и XIab или XIba и XIbb, или таких как XXIa и XXIb. В зависимости от состава смеси, желательные эпимеры XXIa, IXa, Xa, XIaа или XIba преимущественно разделяют общепринятыми способами очистки, известными специалисту в данной области, перед включением в последовательность реакции.
Способы разделения, выделения и очистки настоящего изобретения включают, но не ограничены, хроматографию, такую как адсорбционная хроматография (включая колоночную хроматографию и симулированный подвижный слой (SMB)), кристаллизацию или перегонку. Способы разделения, выделения и очистки можно использовать последовательно или в сочетании. Колоночная хроматография, применимая для разделения аналогов витамина D настоящего изобретения, является хорошо известной специалистам в области фармацевтической химии. В методе используется колонка, заполненная стационарной фазой, например оксидом кремния, таким как предварительно обработанный оксид кремния, на который загружают образец, подлежащий разделению. Затем образец элюируют подходящим элюентом. Элюирование может быть изократическим или так называемым программируемым растворителем (градиентным), в которым состав элюента варьирует постоянно (например, линейно) или нерегулярно (т.е. ступенчато в течение времени). Предварительно обработанный силикагель, хорошо известный специалисту в области хроматографии, является подходящей стационарной фазой. Элюирование 5% (об./об.) этилацетатом в гексане или гептаном с последующим элюированием чистым этилацетатом представляет собой всего один пример программы элюирования, которая проводит требуемое разделение. Другие подходящие элюенты будут дедуктивно подобраны квалифицированным специалистом посредством рутинных способов разработки, например, при использовании смесей гептана и этилацетата с подходящей полярностью.
Для стадий хроматографии может применяться любое сочетание стационарной фазы (упаковки) и элюента, которое способно к разделению смесей, например С-24 эпимеров. Такие сочетания могут быть легко определены квалифицированным специалистом путем рутинного экспериментирования.
Реагенты Хорнера-Эммонса общей структуры VII могут быть синтезированы посредством различных синтетических подходов, в диапазоне от прямой реакции Арбузова тризамещенных фосфитов, например, триалкилфосфитов, таких как триэтилфосфит или триметилфосфит, с 2-галоген-1-циклопропилэтаноном, таким как 2-хлор-1-циклопропилэтанон или 2-бром-1-циклопропилэтанон [B.A. Arbuzov, Pure Appl. Chem. 1964, 9, 307] до способов с использованием металлоорганических реагентов (смотрите, например, ссылки 5 (а)-(k) в [B. Corbel et al., Synth. Communications, 1996, 26(13), 2561-2568]). Другие способы получения включают способ Микаэлис-Беккера [G. Sturtz, Bull. Soc. Chim. Fr., 1964, 2333] и применение маскированных карбонильных соединений (смотрите, например, ссылки 8 (а)-(k) в [B. Corbel et al., Synth. Communications, 1996, 26(13), 2561-2568]). Безопасная и экономичная методика получения -кетофосфонатов основана на ацилировании магнийенолятного производного триалкилфосфоноацетата с использованием магний хлорид-триэтиламина с последующим декарбоксилированием [D.Y. Kim, Synth. Commun. 1996, 26(13), 2487-2496; B. Corbel et al., Synth. Commun., 1996, 26(13), 2561-2568]. Еще один подход основан на реакциях -галогенфосфонатов со сложными эфирами, инициированных растворимым комплексом Со(0) или металлическим магнием [F. Orsini, Synthesis, 2002, 12, 1683-1688]. Многие другие методики описаны в литературе и могут, например, быть найдены в ссылках, приведенных в вышеуказанных статьях, например, D.Y. Kim et al. и F. Orsini et al.
Реакцию Виттига-Хорнера обычно осуществляют посредством смешивания соединения общей структуры IXX, XXII, IIIa, IIIb, VIa и/или VIb, XIIIa, XIIIb, XVa и/или XVb с фосфонатом и основанием в соответствующем растворителе. Добавление реагентов можно проводить в любом порядке, хотя добавление основания в качестве последнего реагента к перемешиваемой смеси может быть преимущественным в зависимости от используемого основания.
Предпочтительно, фосфонаты общей структуры VII включают группы R3 и/или R4, которые придают соответствующим фосфатным сложным эфирам XII водорастворимость, так как это позволяет осуществить удаление фосфатных сложных эфиров XII водной экстракцией из реакционной смеси.

Например, эти группы R3 и/или R4 соединений VII или XII являются преимущественными, что приводит к водорастворимости соединений общей структуры XII, равной, по меньшей мере, 0,1 мг/мл при рН 9,5 и 20ºС, например, по меньшей мере, 0,5 мг/мл при рН 9,5 и 20ºС, например, по меньшей мере, 1 мг/мл при рН 9,5 и 20ºС, например, по меньшей мере, 5 мг/мл при рН 9,5 и 20ºС, например, по меньшей мере, 10 мг/мл при рН 9,5 и 20ºС.
В еще одном варианте осуществления изобретения фосфонаты общей структуры VII являются предпочтительными, где растворимость в воде соответствующей фосфоновой кислоты XII равна или более высокая по сравнению с растворимостью фосфоновой кислоты XII, где R3 и R4 являются этилом. Соответствующие растворители для реакции Виттига-Хорнера включают углеводороды, такие как ксилены, толуол, гексаны, гептаны, циклогексан и простые эфиры, такие как трет-бутилметиловый эфир, диэтиловый эфир, 1,4-диоксан, диэтоксиметан, 1,2-диметоксиэтан или тетрагидрофуран и другие растворители, такие как ацетонитрил, 2-метилтетрагидрофуран, диглим, моноглим, NMP, ДМФА, ДМСО, или ацетаты, такие как этилацетат или 2-пропилацетат, или галогенированные растворители, такие как дихлорметан, хлорбензол, или вода, или смеси указанных растворителей.
В предпочтительном варианте осуществления изобретения реакцию осуществляют в условиях фазового переноса, используя смесь воды и не смешивающегося с водой растворителя, такого как толуол или ксилол, с подходящим катализатором фазового переноса, таким как соль тетраалкиламмония, например, гидроксид, галогенид или гидросульфат тетрабутиламмония, например, бромид или хлорид тетрабутиламмония или гидросульфат тетрабутиламмония.
Подходящие основания для реакции Виттига-Хорнера включают гидроксиды, такие как гидроксиды тетраалкиламмония, например, гидроксид тетрабутиламмония или гидроксиды щелочных металлов, такие как гидроксид натрия, гидроксид калия, или гидроксиды элементов 2-ой группы, такие как Mg(OH)2, включая водные растворы таких гидроксидов. Другие подходящие основания включают, в зависимости от условий реакции и используемых растворителей, гексаметилдисилазан натрия (NaHMDS) или гидриды, такие как гидрид натрия или кальция, или алкоксиды, такие как этоксид натрия, трет-бутоксид калия или трет-бутоксид лития.
Температура реакции для реакций Виттига-Хорнера будет зависеть от условий реакции и используемых растворителей. В типичном случае для реакции соединений общей структуры VIa и/или VIb или XVa и/или XVb следует избегать температур реакции свыше 50ºС. Подходящая температура реакции для реакции Виттига-Хорнера VIa и/или VIb или XVa и/или XVb находится в интервале от -80 до 50ºС, например, от -50 до 50ºС, например, от -30 до 50ºС, например, от -15 до 40ºС, например, от -5 до 35ºС, например, от 0 до 35ºС, например, от 5 до 30ºС, например, от 10 до 30ºС, например, от 15 до 30ºС, например, от 10 до 25ºС, например, от 5 до 20ºС. Подходящая температура реакции для реакции Виттига-Хорнера IXX, XXII, IIIa, IIIb, XIIIa или XIIIb находится в интервале от -80 до 150ºС, например, от -50 до 150ºС, например, от -40 до 120ºС, например, от -30 до 100ºС, например, -20 до 80ºС, например, от -15 до 60ºС, например, от -10 до 50ºС, например, от -5 до 40ºС, например, от 0 до 35ºС, например, от 5 до 30ºС, например, от 10 до 30ºС, например, от 15 до 30ºС, например, от 10 до 25ºС, например, от 5 до 20ºС.
Фосфонат VII или XXIIIb обычно используют в эквимолярном количестве или молярном избытке по отношению к альдегидам, таком как 10% избыток или 30% избыток, или 50% избыток, или 65% избыток, или 70% избыток, или 80% избыток, или 90% избыток, или 100% избыток, или 150% избыток, или 200% избыток, или 300% избыток.
Основание обычно используют в эквимолярном количестве или молярном избытке по отношению к фосфонатам VII или XXIIIb, таком как 10% избыток или 30% избыток, или 50% избыток, или 65% избыток, или 70% избыток, или 80% избыток, или 90% избыток, или 100% избыток, или 150% избыток, или 200% избыток, или 300% избыток, или 350% избыток, или 400% избыток, или 425% избыток, или 450% избыток, или 500% избыток.
Оптимальные условия реакции для реакции Виттига-Хорнера, такие как растворители, основания, температура, методики обработки, стехиометрии или время реакции будут зависеть от исходных соединений, например, групп R1 и/или R2 в альдегидах общей структуры IIIa, IIIb, VIa, VIb, XIIIa, XIIIb, XVa или XVb, и группы R6 альдегидов XXII и фосфонатов VII и XXIIIb, например, групп R3 и R4. Стереоселективность (транс-селективность) реакции можно контролировать условиями реакции и выбором фосфоната VII и XXIIIb (группы R3 и R4).
Окисление соединений общей структуры XXIa, где R5 является водородом и R6 является водородом или предпочтительно защитной гидроксигруппой, такой как трет-бутилдиметилсилил, в соединение общей структуры XXII может, например, осуществляться дихроматом пиридиния (PDC), реагентом Десса-Мартина, хлорхроматом пиридиния (PCC), N-оксидом N-метилморфолина (NMO), таким как N-оксид N-метилморфолина на оксиде кремния, перрутенатом тетрапропиламмония, например в дихлорметане.
Реагент Виттига XXIIIa может быть получен в соответствии со способами, описанными в Chemical Reviews, 1995, Vol. 95, 6 и J. Org. Chem. 2002, 67, 1580-1887. Реагент Виттига-Хорнера XXIIIb может, например, быть получен из соединения 6, раскрытого в J. Org. Chem. 2002, 67, 1580-1887, с последующей реакцией с подходящим галогенирующим средством, таким как тионилхлорид, и реакцией полученного в результате галогенида или хлорида с триэтилфосфатом в реакции Микаэлиса-Арбузова, такой как нагрев с триэтилфосфитом.
Реакции сочетания сочетающегося соединения XXII с XXIIIa или XXIIIb могут также быть обнаружены в Chemical Reviews, 1995, Vol. 95, 6 или J. Org. Chem. 2002, 67, 1580-1887 и ссылках, приведенных в этих документах. Подходящим основанием, например, является литийалкильное производное, такое как втор-бутиллитий или н-бутиллитий.
Гидроксилирование, такое как гидроксилирование соединения общей структуры XIVa, может быть достигнуто с помощью подходящего гидроксилирующего средства, например, посредством опосредованного селенитом аллильного гидроксилирования, такого как в условиях, разработанных Гессе, например, с диоксидом селена (SeO2), например, с SeO2 и N-оксидом N-метилморфолина в кипящем с обратным холодильником метаноле и/или дихлорметане [J. Org. Chem. 1986, 51, 1637] или, как описано в Tetrahedron Vol. 43. 20, 4609-4619, 1987 или в WO87/00834. Нежелательный гидроксиэпимер, образованный в процессе гидроксилирования, может быть удален общепринятыми способами разделения и хроматографии, описанными в данном описании.
Гидрат кальципотриола может быть получен кристаллизацией кальципотриола из водных растворителей, например, такими способами, которые описаны в WO 94/15912.
ПРИМЕРЫ
Общая часть
Все химические реагенты, если не указано иначе, получены из промышленных источников. Для спектров 1Н-магнитного резонанса (ЯМР) (300 МГц) и 13С-ЯМР (75,6 МГц) приведены значения химических сдвигов ( ) в (миллионных долях (м.д.)), если не указано иначе; для растворов дейтерохлороформа относительно внутреннего стандарта тетраметилсилана ( = 0,00) или хлороформа ( = 7,26) или дейтериохлороформа ( = 76,81 для 13С-ЯМР). Значение мультиплета или определено (дублет (д), триплет (т), квартет (кв)), или нет (м) и приводится в приблизительной средней точке, если приведен интервал. Все используемые органические растворители имеют техническую степень чистоты. Хроматографию осуществляют на силикагеле, необязательно применяя флэш-метод. Предпочтительно, оксид кремния получен от Merck KGaA Germany: LiChroprep® Si60 (15-25 мкм). В качестве элюентов применяют соответствующие смеси этилацетата, дихлорметана, метанола, гексана и петролейного эфира (40-60) или гептана, если не указано иначе. Экспериментальные условия, касающиеся температур плавления, элементного анализа, УФ-видимого поглощения, 1Н-ЯМР были такими же, если не указано иначе, как описано M.J. Calverley в Tetrahedron, Vol. 43, 20, pp. 4614-15, 1987.
Получение 1
Диэтиловый сложный эфир (2-циклопропил-2-оксоэтил)фосфоновой кислоты
Соединение VII (R3, R4 = этил)
Циклопропанкарбонилхлорид (ALDRICH) (125 г) медленно добавляют к смеси безводного хлорида магния (102 г), триэтилфосфоноацетата (219 г) и триэтиламина (310 г) в толуоле (1600 мл) при перемешивании, поддерживая температуру ниже 25ºС. Смесь перемешивают в течение дополнительных 30 минут с последующим осторожным добавлением первоначальной порции воды (950 мл), затем смеси концентрированной хлористо-водородной кислоты (250 мл) и воды (350 мл), поддерживая температуру ниже 25ºС. Органическую фазу отделяют, промывают водным раствором хлорида натрия (400 г NaCl в 1200 мл воды) и затем промывают водой (1600 мл). Затем органическую фазу концентрируют в вакууме до минимально возможного объема с получением этилового сложного эфира 3-циклопропил-2-(диэтоксифосфорил)-3-оксопропионовой кислоты в виде масла. К маслу добавляют воду (40 мл) и данную смесь кипятят с обратным холодильником в течение приблизительно 3 часов. К реакционной смеси добавляют больше воды (2000 мл) и соединение, название которого приводится в заголовке, экстрагируют метиленхлоридом. Растворители удаляют в вакууме с получением соединения, название которого приводится в заголовке, в виде масла. Обнаружено, что данные 31Р-ЯМР и масс-спектрометрии находятся в полном соответствии со структурой. 1Н-ЯМР (CDCl3): 4,16 (м, 4Н), 3,21 (д, 2Н), 2,20 (м, 1Н), 1,34 (т, 6Н), 1,11 (м, 2Н), 0,98 (м, 2Н) м.д.
Получение 2
Диметиловый сложный эфир (2-циклопропил-2-оксоэтил)фосфоновой кислоты
Соединение VII (R3, R4 = метил)
Может быть использована такая же методика, что и в получении 1, но с применением триметилфосфоноацетата вместо триэтилфосфоноацетата. Обнаружено, что данные 31Р-ЯМР и масс-спектрометрии находятся в полном соответствии со структурой. 1Н-ЯМР (CDCl3): 3,80 (д, 6Н), 3,22 (д, 2Н), 2,17 (м, 1Н), 1,11 (м, 2Н), 0,98 (м, 2Н) м.д.
Пример 1
20(R),1(S),3(R)-бис(трет-бутилдиметилсилилокси)-20-(3′-циклопропил-3′-оксопроп-1′(E)-енил)-9,10-секопрегна-5(Е),7(Е),10(19)-триен
Соединение Va (R1, R2 = трет-бутилдиметилсилил)
Смесь диэтилового сложного эфира (2-циклопропил-2-оксоэтил)фосфоновой кислоты (соединение VII/R3, R4 = этил) (46,0 г, 209 ммоль), 1(S),3(R)-бис(трет-бутилдиметилсилилокси)-20(S)-формил-9,10-секопрегна-5(Е),7(Е),10(19)-триена (соединение IIIa/R1, R2 = трет-бутилдиметилсилил), полученного в соответствии с M.J. Calverley в Tetrahedron, Vol. 43, 20, pp. 4609-19, 1987, (72,2 г, 126 ммоль), толуола (1100 мл), воды (122 мл), бромида тетрабутиламмония (3,13 г) и 27,7% раствора гидроксида натрия (128,0 г) перемешивают при 30ºС в течение приблизительно одного часа с последующим перемешиванием при температуре окружающей среды (15-25ºС) в течение ночи. Когда считают, что реакция завершена, что проверяют ВЭЖХ [Колонка LiChrosorb Si 60 5 мкм 250×4 мм от Merck, скорость потока 1,5 мл/мин, детектирование при 270 нм, гексан/этилацетат 100:2 (об./об.)], добавляют воду (500 мл). рН реакционной смеси доводят до рН 8,5-9,5 добавлением раствора фосфорной кислоты (приблизительно 20%), поддерживая температуру в интервале 20-25ºС. Органическую фазу отделяют с последующим добавлением гексана (200 мл) и метанола (170 мл). Органическую фазу однократно промывают смесью воды (670 мл), насыщенного водного раствора хлорида натрия (120 мл) и насыщенного водного раствора гидрокарбоната натрия (20 мл). Органические растворители удаляют в вакууме и остаток растворяют в смеси метанола (500 мл) и гексана (580 мл) и затем раствор промывают водой (400 мл). Органические растворители повторно удаляют в вакууме и остаток кристаллизуют из смеси трет-бутилметилового эфира/метанола. Кристаллы отфильтровывают, дважды промывают метанолом и сушат в вакууме с получением соединения, указанного в заголовке, 20(R),1(S),3(R)-бис(трет-бутилдиметилсилилокси)-20-(3′-циклопропил-3′-оксопроп-1′(E)-енил)-9,10-секопрегна-5(Е),7(Е),10(19)-триена (65,2 г, 102 ммоль). Обнаружено, что данные по температуре плавления, элементному анализу, поглощению в УФ-видимой области и масс-спектрометрии находятся в полном соответствии со структурой, как описано ранее M.J. Calverley в Tetrahedron, Vol. 43, 20, p. 4616, 1987 для соединения 17. 13С-ЯМР (CDCl3): 200,4, 153,4, 151,8, 142,5, 135,5, 128,1, 121,4, 116,5, 106,5, 70,0, 67,0, 56,0, 55,3, 46,0, 43,7, 40,2, 40,1, 36,4, 28,7, 27,4, 25,7, 25,6, 23,2, 22,1, 19,3, 18,5, 18,1, 17,9, 12,1, 10,7, 10,7, -5,0, -5,0, -5,1, -5,1 м.д.
Пример 1А
20(R),1(S),3(R)-бис(трет-бутилдиметилсилилокси)-20-(3′-циклопропил-3′-оксопроп-1′(E)-енил)-9,10-секопрегна-5(Е),7(Е),10(19)-триен
Соединение Va (R1, R2 = трет-бутилдиметилсилил)
К раствору диэтилового сложного эфира (2-циклопропил-2-оксоэтил)фосфоновой кислоты (соединение VII/R3, R4 = этил) (1,51 г) и ТГФ (16 мл) добавляют NaHMDS (гексаметилдисилазана натрия) (3,2 мл, 2 М в ТГФ) в течение 10 минут при температуре ниже -50ºС и затем перемешивают в течение 3-4 часов с последующим добавлением раствора 1(S),3(R)-бис(трет-бутилдиметилсилилокси)-20(S)-формил-9,10-секопрегна-5(Е),7(Е),10(19)-триена (соединение IIIa/R1, R2 = трет-бутилдиметилсилил) (2 г) в ТГФ (3 мл) при температуре ниже -50ºС. Реакционную смесь дополнительно перемешивают в течение 2 часов при температуре ниже -50ºС и затем в течение 2 часов при -25ºС перед повышением температуры до комнатной температуры в течение ночи. Степень завершения реакции проверяют с помощью ВЭЖХ [Колонка LiChrosorb Si 60 5 мкм 250×4 мм от Merck, скорость потока 1,5 мл/мин, детектирование при 270 нм, гексан/этилацетат 100:2 (об./об.)].
Пример 1В
20(R),1(S),3(R)-бис(трет-бутилдиметилсилилокси)-20-(3′-циклопропил-3′-оксопроп-1′(E)-енил)-9,10-секопрегна-5(Е),7(Е),10(19)-триен
Соединение Va (R1, R2 = трет-бутилдиметилсилил)
К раствору диэтилового сложного эфира (2-циклопропил-2-оксоэтил)фосфоновой кислоты (соединение VII/R3, R4 = этил) (1,51 г) и ТГФ (16 мл) добавляют NaH (265 мг) в течение 3 минут при температуре ниже -50ºС и затем перемешивают в течение 2-3 часов с последующим добавлением раствора 1(S),3(R)-бис(трет-бутилдиметилсилилокси)-20(S)-формил-9,10-секопрегна-5(Е),7(Е),10(19)-триена (соединение IIIa/R1, R2 = трет-бутилдиметилсилил) (2,1 г) в ТГФ (3 мл) при температуре ниже -50ºС. Реакционную смесь дополнительно перемешивают в течение 2 часов при температуре ниже -50ºС и затем 3,5 часа при -25ºС перед повышением температуры до комнатной температуры в течение ночи. Степень завершения реакции проверяют с помощью ВЭЖХ [Колонка LiChrosorb Si 60 5 мкм 250×4 мм от Merck, скорость потока 1,5 мл/мин, детектирование при 270 нм, гексан/этилацетат 100:2 (об./об.)].
Пример 1С
20(R),1(S),3(R)-бис(трет-бутилдиметилсилилокси)-20-(3′-циклопропил-3′-оксопроп-1′(E)-енил)-9,10-секопрегна-5(Е),7(Е),10(19)-триен
Соединение Va (R1, R2 = трет-бутилдиметилсилил)
К раствору диэтилового сложного эфира (2-циклопропил-2-оксоэтил)фосфоновой кислоты (соединение VII/R3, R4 = метил) (1,51 г) и ТГФ (16 мл) добавляют NaHMDS (3,2 мл, 2 М в ТГФ) в течение 10 минут при температуре ниже -50ºС и затем перемешивают в течение 4 часов с последующим добавлением раствора 1(S),3(R)-бис(трет-бутилдиметилсилилокси)-20(S)-формил-9,10-секопрегна-5(Е),7(Е),10(19)-триена (соединение IIIa/R1, R2 = трет-бутилдиметилсилил) (2 г) в ТГФ (3 мл). Реакционную смесь дополнительно перемешивают в течение 2 часов при температуре ниже -50ºС и затем 2 часа при -25ºС перед повышением температуры до комнатной температуры в течение ночи. Степень завершения реакции проверяют с помощью ВЭЖХ [Колонка LiChrosorb Si 60 5 мкм 250×4 мм от Merck, скорость потока 1,5 мл/мин, детектирование при 270 нм, гексан/этилацетат 100:2 (об./об.)].
Пример 1D
20(R),1(S),3(R)-бис(трет-бутилдиметилсилилокси)-20-(3′-циклопропил-3′-оксопроп-1′(E)-енил)-9,10-секопрегна-5(Е),7(Е),10(19)-триен
Соединение Va (R1, R2 = трет-бутилдиметилсилил)
Смесь диметилового сложного эфира (2-циклопропил-2-оксоэтил)фосфоновой кислоты (соединение VII/R3, R4 = метил) (1,08 г), 1(S),3(R)-бис(трет-бутилдиметилсилилокси)-20(S)-формил-9,10-секопрегна-5(Е),7(Е),10(19)-триена (соединение IIIa/R1, R2 = трет-бутилдиметилсилил) (1,28 г), толуола (15 мл), воды (1,2 мл), бромида тетрабутиламмония (49 мг) и 27,7% раствора гидроксида натрия в ТГФ (1,54 мл) перемешивают при 33ºС в течение ночи. Степень завершения реакции проверяют с помощью ВЭЖХ [Колонка LiChrosorb Si 60 5 мкм 250×4 мм от Merck, скорость потока 1,5 мл/мин, детектирование при 270 нм, гексан/этилацетат 100:2 (об./об.)].
Получение 3
1(S),3(R)-бис(трет-бутилдиметилсилилокси)-20(S)-формил-9,10-секопрегна-5(Z),7(Е),10(19)-триен
Cоединение IIIb (R1, R2 = трет-бутилдиметилсилил)
1(S),3(R)-бис(трет-бутилдиметилсилилокси)-20(S)-формил-9,10-секопрегна-5(Е),7(Е), 10(19)-триен (соединение IIIa/R1, R2 = трет-бутилдиметилсилил) может быть подвергнуто фотоизомеризации в толуоле с использованием антрацена в качестве триплетного сенсибилизатора с последующей хроматографией неочищенного продукта с получением соединения, указанного в заголовке. 13С-ЯМР (CDCl3): 204,8, 148,1, 139,7, 135,4, 122,7, 118,2, 111,1, 71,9, 67,3, 55,4, 51,3, 49,6, 46,0, 45,9, 44,6, 40,1, 28,6, 26,3, 25,7, 25,6, 23,1, 22,3, 18,0, 18,0, 13,4, 12,2, -4,9, -5,0, -5,3 м.д.
Пример 2
20(R),1(S),3(R)-бис(трет-бутилдиметилсилилокси)-20-(3′-циклопропил-3′-оксопроп-1′(E)-енил)-9,10-секопрегна-5(Z),7(Е),10(19)-триен
Соединение Vb (R1, R2 = трет-бутилдиметилсилил)
Может быть использована такая же методика, как и в примере 1, применяя 1(S),3(R)-бис(трет-бутилдиметилсилилокси)-20(S)-формил-9,10-секопрегна-5(Z),7(Е),10(19)-триена (соединение IIIb/R1, R2 = трет-бутилдиметилсилил) в качестве исходного вещества, за исключением того, что продукт может быть очищен хроматографией вместо кристаллизации с получением соединения, указанного в заголовке. 1Н-ЯМР (CDCl3): 6,78 (дд, 1H), 6,24 (д, 1H), 6,16 (д, 1H), 6,02 (д, 1H), 5,19 (д, 1H), 4,87 (д, 1H), 4,38 (м, 1H), 4,20 (м, 1H), 2,85 (дд, 1H), 2,46 (дд, 1H), 2,38-1,20 (м, 16H), 1,13 (д, 3H), 1,08 (м, 2H), 0,91 (м, 2H), 0,89 (с, 18H), 0,59 (с, 3H), 0,07 (м, 12H) м.д.
Получение 4
1(S),3(R)-дигидрокси-20(S)-формил-9,10-секопрегна-5(Z),7(Е),10(19)-триен
IIIb (R1, R2 = водород)
1(S),3(R)-бис(трет-бутилдиметилсилилокси)-20(S)-формил-9,10-секопрегна-5(Z),7(Е),10(19)-триен (соединение IIIb/R1, R2 = трет-бутилдиметилсилил) из получения 3 может быть подвергнут снятию защитных групп водной фтористо-водородной кислотой (40%) с получением соединения заголовка IIIb (R1, R2 = водород). 1Н-ЯМР (CDCl3): 9,58 (д, 1H), 6,37 (д, 1H), 6,04 (д, 1H), 5,33 (с, 1H), 4,99 (с, 1H), 4,43 (м, 1H), 4,23 (м, 1H), 2,85 (дд, 1H), 2,60 (дд, 2H), 2,44-2,26 (м, 2H), 2,10-1,30 (м, 14H), 1,14 (д, 3H), 0,60 (с, 3H) м.д.
Пример 4
1(S),3(R)-дигидрокси-20(R)-(3′-циклопропил-3′-оксопроп-1′(E)-енил)-9,10-секопрегна-5(Z),7(Е),10(19)-триен
Соединение Vb (R1, R2 = водород)
Может быть использована такая же методика, как и в примере 1, применяя 1(S),3(R)-дигидрокси-20(S)-формил-9,10-секопрегна-5(Z),7(Е),10(19)-триена (соединение IIIb/R1, R2 = водород) из получения IV в качестве исходного вещества, за исключением того, что продукт может быть очищен хроматографией вместо кристаллизации с получением соединения, указанного в заголовке. 13C-ЯМР (CDCl3): 200,8, 152,1, 147,7, 142,2, 133,5, 128,3, 124,7, 117,4, 111,8, 70,7, 66,8, 56,1, 55,5, 46,1, 45,2, 42,8, 40,3, 40,2, 29,0, 27,4, 23,5, 22,3, 19,5, 18,7, 12,3, 11,0 м.д.
Получение 5
1(S),3(R)-бис(триметилсилилокси)-20(S)-формил-9,10-секопрегна-5(Z),7(Е),10(19)-триен
Соединение IIIb (R1, R2 = триметилсилил)
1(S),3(R)-дигидрокси-20(S)-формил-9,10-секопрегна-5(Z),7(Е),10(19)-триен (соединение IIIb/R1, R2 = водород) из получения IV может взаимодействовать с триметилсилилхлоридом в присутствии триэтиламина в дихлорметане. Полученный неочищенный продукт может быть очищен хроматографией с получением чистого соединения, указанного в заголовке. 13C-ЯМР (CDCl3): 204,7, 147,8, 140,1, 135,2, 122,9, 118,1, 111,4, 71,4, 67,0, 55,4, 51,3, 49,5, 46,0, 45,7, 44,6, 40,1, 28,7, 26,3, 23,2, 22,3, 13,4, 12,2, 0,0, -0,1 м.д.
Получение 6
1(S)-трет-бутилдиметилсилилокси-3(R)-гидрокси-20(S)-формил-9,10-секопрегна-
5(Е),7(Е),10(19)-триен
IIIа (R1 = водород, R2 = трет-бутилдиметилсилил) и
1(S)-гидрокси-3(R)-трет-бутилдиметилсилилокси-20(S)-формил-9,10-секопрегна-
5(Е),7(Е),10(19)-триен
IIIа (R1 = трет-бутилдиметилсилил, R2 = водород)
С 1(S),3(R)-бис(трет-бутилдиметилсилилокси)-
20(S)-формил-9,10-секопрегна-5(Е),7(Е),10(19)-триена (соединение IIIа/R1, R2 = трет-бутилдиметилсилил) может быть частично удалена защитная группа с помощью тетрабутиламмонийфторида с получением смеси соединений, указанных в заголовке, и незащищенного производного IIIa (R1, R2 = водород). Соединения смеси могут быть разделены колоночной хроматографией с получением чистых фракций соединений IIIa (R1 = водород, R2 = трет-бутилдиметилсилил), 1Н-ЯМР (CDCl3): 9,59 (д, 1H), 6,50 (д, 1H), 5,86 (д, 1H), 5,01 (с, 1H), 4,94 (с, 1H), 4,48 (т, 1H), 4,24 (м, 1H), 2,88 (дд, 1H), 2,62 (дд, 1H), 2,50-2,30 (м, 2H), 2,11-1,30 (м, 14H), 1,13 (д, 3H), 0,88 (с, 9H), 0,60 (с, 3H), 0,06 (с, 3H), 0,04 (с, 3H) м.д.; и IIIa (R1 = трет-бутилдиметилсилил, R2 = водород), 1Н-ЯМР (CDCl3): 9,59 (д, 1H), 6,49 (д, 1H), 5,86 (д, 1H), 5,07 (с, 1H), 4,95 (с, 1H), 4,49 (м, 1H), 4,20 (м, 1H), 2,87 (дд, 1H), 2,52 (дд, 1H), 2,45-2,30 (м, 2H), 2,12-1,31 (м, 14H), 1,13 (д, 3H), 0,86 (с, 9H), 0,59 (с, 3H), 0,06 (с, 6H) м.д.
Пример 5
1(S)-трет-бутилдиметилсилил-3(R)-гидрокси-20(R)-(3′-циклопропил-3′-оксопроп-1′(E)-енил)-9,10-секопрегна-5(Е),7(Е),10(19)-триен
Соединение Va (R1 = водород, R2 = трет-бутилдиметилсилил)
Может применяться такая же методика, что и в примере 1, с использованием 1(S)-трет-бутилдиметилсилил-3(R)-гидрокси-20(S)-формил-9,10-секопрегна-5(Е),
7(Е),10(19)-триена (соединение IIIа/R1 = водород, R2 = трет-бутилдиметилсилил) из получения 6 в качестве исходного вещества, за исключением того, что продукт может быть очищен хроматографией вместо кристаллизации с получением соединения, указанного в заголовке. 1Н-ЯМР (CDCl3): 6,75 (дд, 1H), 6,50 (д, 1H), 6,14 (д, 1H), 5,84 (д, 1H), 5,00 (с, 1H), 4,92 (с, 1H), 4,47 (т, 1H), 4,22 (м, 1H), 2,85 (дд, 1H), 2,62 (дд, 1H), 2,43 (дд, 1H), 2,29 (м, 1H), 2,15-1,15 (м, 15H), 1,11 (д, 3H), 1,06 (м, 2H), 0,87 (с, 9H), 0,86 (м, 2H), 0,59 (с, 3H), 0,06 (с, 3H), 0,04 (с, 3H) м.д.
Пример 6
1(S)-гидрокси-3(R)-трет-бутилдиметилсилил-20(R)-(3′-циклопропил-3′-оксопроп-1′(E)-енил)-9,10-секопрегна-5(Е),7(Е),10(19)-триен
Соединение Va (R1 = трет-бутилдиметилсилил, R2 = водород)
Может применяться такая же методика, что и в примере 1, с использованием 1(S)-гидрокси-3(R)-трет-бутилдиметилсилил-20(S)-формил-9,10-секопрегна-5(Е),7(Е),10(19)-триена (соединение IIIа/R1 = трет-бутилдиметилсилил, R2 = водород) из получения 6 в качестве исходного вещества, за исключением того, что продукт может быть очищен хроматографией вместо кристаллизации с получением соединения, указанного в заголовке. 1Н-ЯМР (CDCl3): 6,76 (дд, 1H), 6,49 (д, 1H), 6,14 (д, 1H), 5,85 (д, 1H), 5,06 (с, 1H), 4,95 (с, 1H), 4,49 (м, 1H), 4,19 (м, 1H), 2,86 (дд, 1H), 2,52 (дд, 1H), 2,45-1,20 (м, 17H), 1,12 (д, 3H), 1,07 (м, 2H), 0,88 (м, 2H), 0,86 (с, 9H), 0,59 (с, 3H), 0,06 (с, 6H) м.д.
Пример 7
SO2-аддукты 20(R),1(S),3(R)-бис(трет-бутилдиметилсилилокси)-20-(3′-циклопропил-3′-оксопроп-1′(E)-енил)-9,10-секопрегна-5(Е),7(Е),10(19)-триена
Соединения VIIIa и VIIIb (R1, R2 = трет-бутилдиметилсилил)
Смесь диэтилового сложного эфира (2-циклопропил-2-оксоэтил)фосфоновой кислоты (соединение VII/R3, R4 = этил) (30 г), SO2-аддуктов 1(S),3(R)-бис(трет-бутилдиметилсилилокси)-20(S)-формил-9,10-секопрегна-5(Е),7(Е),10(19)-триена (соединения VIa и VIb/R1, R2 = трет-бутилдиметилсилил) (34,8 г) (соединения 14а и 14b, описанные в M.J. Calverley, Tetrahedron, Vol. 43, 20, pp. 4609-19, 1987), толуола (350 мл), воды (35 мл), тетрабутиламмонийбромида (1,01 г) и 27,7% раствора гидроксида натрия (35 мл) перемешивают при 33ºС в течение приблизительно 1,5 часа. Когда считают, что реакция завершена, что проверяют ВЭЖХ [Колонка LiChrosorb Si 60 5 мкм 250×4 мм от Merck, скорость потока 1,5 мл/мин, детектирование МС, гексан/этилацетат 100:2 (об./об.)], добавляют воду (160 мл). рН реакционной смеси доводят до рН 8,5-9,5 добавлением раствора фосфорной кислоты (приблизительно 20%), поддерживая температуру в интервале 20-25ºС. Органическую фазу отделяют с последующим добавлением MTBE (90 мл), воды (600 мл), насыщенного водного раствора хлорида натрия (60 мл) и насыщенного водного раствора гидрокарбоната натрия (10 мл). Толуольную фазу отделяют и растворитель удаляют в вакууме без нагрева (предпочтительно ниже 30ºС) с получением двух эпимерных SO2-аддуктов VIIIa и VIIIb/R1, R2 = трет-бутилдиметилсилил в виде твердой смеси, прежде всего содержащей VIIIa, как проверено ТСХ. Два эпимерных SO2-аддукта VIIIa и VIIIb могут быть разделены хроматографией. Кристаллический VIIIa может, кроме того, быть получен растиранием твердой смеси с метанолом. 1Н-ЯМР (CDCl3) VIIIa/R1, R2 = трет-бутилдиметилсилил: 6,73 (дд, 1H), 6,14 (д, 1H), 4,69 (д, 1H), 4,62 (д, 1H), 4,35 (с, 1H), 4,17 (м, 1H), 3,92 (д, 1H), 3,58 (д, 1H), 2,61 (м, 1H), 2,29 (м, 1H), 2,2-1,2 (м, 16H), 1,11 (д, 3H), 1,05 (м, 2H), 0,90 (м, 2H), 0,87 (с, 9H), 0,85 (с, 9H), 0,68 (с, 3H), 0,06 (с, 3H), 0,05 (с, 3H), 0,04 (с, 3H), 0,02 (с, 3H) м.д.
Пример 8
SO2-аддукты 20(R),3(R)-(трет-бутилдиметилсилилокси)-20-(3′-циклопропил-3′-оксопроп-1′(E)-енил)-9,10-секопрегна-5(Е),7(Е),10(19)-триена
Соединения XVIa и XVIb (R1 = трет-бутилдиметилсилил)
Такая же методика, что и в примере 7, с использованием SO2-аддуктов 3(R)-(трет-бутилдиметилсилилокси)-20(S)-формил-9,10-секопрегна-5(Е),7(Е),10(19)-триена (смесь двух эпимерных SO2-аддуктов XVa и соединения XVb) в качестве исходного вещества, дает два эпимерных аддукта XVIa и XVIb/R1 = трет-бутилдиметилсилил в виде твердой смеси в основном содержащей XVIa, как проверено ТСХ. Два эпимерных SO2-аддукта ХVIa и ХVIb могут быть разделены хроматографией. Кристаллический ХVIa может, кроме того, быть получен растиранием твердой смеси с метанолом. 13C-ЯМР (CDCl3) (смесь двух эпимерных SO2-аддуктов ХVIa и ХVIb/R1 = трет-бутилдиметилсилил): 200,3, 151,6, 151,4, 149,8, 149,2, 130,5, 130,1, 128,3, 128,1, 126,6, 126,3, 110,5, 110,0, 67,4, 66,7, 66,6, 66,3, 58,0, 57,9, 55,8, 55,6, 55,3, 55,2, 46,3, 45,5, 39,9, 39,7, 34,4, 34,1, 33,9, 31,4, 30,8, 30,5, 29,6, 29,1, 27,3, 27,1, 26,7, 25,6, 25,1, 24,4, 24,1, 23,6, 23,2, 22,4, 21,9, 21,9, 19,4, 19,3, 18,6, 18,4, 17,9, 17,9, 13,9, 12,2, 11,9, 10,8, -5,0 м.д.
Пример 9
20(R),3(R)-(трет-бутилдиметилсилилокси)-20-(3′-циклопропил-3′-оксопроп-1′(E)-енил)-9,10-секопрегна-5(Е),7(Е),10(19)-триен
Соединение XIVa (R1 = трет-бутилдиметилсилил)
Смесь ЕТН655 диэтилового сложного эфира (2-циклопропил-2-оксоэтил)фосфоновой кислоты (соединение VII/R3, R4 = этил) (22,4 г), 3(R)-(трет-бутилдиметилсилилокси)-20(S)-формил-9,10-секопрегна-5(Е),7(Е),10(19)-триена (соединение XIIIa/R1 = трет-бутилдиметилсилил) (27 г), полученные в соответствии с M.J. Calverley, Tetrahedron, Vol. 43, 20, pp. 4609-19, 1987), толуола (328 мл), воды (35 мл), тетрабутиламмонийбромида (0,93 г) и 27,7% раствора гидроксида натрия (38 г) перемешивают при 33ºС в течение приблизительно 1 часа. Когда считают, что реакция завершена, что проверяют ВЭЖХ [Колонка LiChrosorb Si 60 5 мкм 250×4 мм от Merck, скорость потока 1,5 мл/мин, детектирование при 270 нм, гексан/этилацетат 100:2 (об./об.)], добавляют воду (150 мл). рН реакционной смеси доводят до рН 7,8 добавлением раствора фосфорной кислоты (приблизительно 20%), поддерживая температуру в интервале 20-25ºС. Органическую фазу отделяют с последующим добавлением воды (2000 мл), насыщенного водного раствора хлорида натрия (36 мл) и насыщенного водного раствора гидрокарбоната натрия (6 мл). Органические растворители удаляют в вакууме. 13С-ЯМР (CDCl3) (соединение XIVa/R1 = трет-бутилдиметилсилил): 200,3, 151,8, 149,8, 142,8, 136,4, 128,1, 119,7, 116,1, 107,4, 69,2, 56,1, 55,3, 45,9, 40,2, 40,0, 37,3, 35,0, 30,9, 28,7, 27,3, 25,7, 23,2, 22,0, 19,3, 18,5, 18,0, 12,2, 10,7, -4,9 м.д.
Пример 10
1-циклопропил-4-(4-триэтилсиланилокси-7а-метил-октагидроинден-1-ил)-пент-2-ен-1-он
Соединение ХХ (R5 = триэтилсилил)
2-(7а-метил-4-триэтилсиланилокси-октагидроинден-1-ил)пропиональдегид IX (R5 = триэтилсилил), который был синтезирован, как описано в Eur. J. Org. Chem. 2003, pp. 3889-3895, (2 г) добавляют к смеси Li-трет-бутоксида (0,6 г) и диэтилового сложного эфира (2-циклопропил-2-оксоэтил)фосфоновой кислоты (соединение VII/R3, R4 = этил) (1,62 г) в ТГФ (50 мл) при -50ºС. После завершения реакции реакцию гасят водой (50 мл) и экстрагируют гексаном (100 мл). Органическую фазу фильтруют через силикагель и концентрируют в вакууме с получением соединения ХХ (R5 = триэтилсилил) в виде прозрачного масла (2 г). 1Н-ЯМР (CDCl3): 6,74 (дд, 1H), 6,12 (д, 1H), 4,03 (м, 1H), 2,40 0,80 (м, 21H), 1,06 (д, 3H), 0,94 (т, 9H), 0,54 (кв., 6H) м.д.
Получение 7
1-циклопропил-4-(4-триэтилсиланилокси-7а-метил-октагидроинден-1-ил)-пент-2-ен-1-(S)-ол
Соединение ХХIa (R5 = триэтилсилил)
(1S,2R)-(-)-цис-1-амино-2-инданола (6,33 г, 0,87 экв.) смешивают с МТВЕ (100 мл) в атмосфере азота при 15-25ºС с последующим добавлением N,N-диэтиланилинборана (16,0 мл, 1,85 экв.) при этой температуре. Смесь перемешивают до тех пор, пока не могут более наблюдать выделение водорода. 1-циклопропил-4-(4-триэтилсиланилокси-7а-метил-октагидроинден-1-ил)-пент-2-ен-1-он (соединение ХХ/R5 = триэтилсилил) из примера 10 (19,0 г) растворяют в МТВЕ (80 мл) при комнатной температуре и затем добавляют по каплям к указанной смеси при 15-25ºС в течение 2 часов. Смесь перемешивают в течение приблизительно 10 минут после полного добавления и затем гасят насыщенным водным NaHCO3 (100 мл) и экстрагируют гексаном (200 мл). Органическую фазу отделяют и промывают 1 М хлористо-водородной кислоты (4×120 мл) при 0-10ºС с последующей промывкой насыщенным водным NaHCO3 (100 мл) и водой (50 мл) с получением смеси соединений ХХIa и XXIb (R5 = триэтилсилил) при молярном соотношении 87:13, как проверено анализом ВЭЖХ. {Колонка LiChrosorb Si 60 5 мкм 250×4 мм от Merck, скорость потока 1 мл/мин, МС-детектирование, гексан/этилацетат 90:10 (об.:об.): RT XXIa = приблизительно 9,9 минуты, RT XXIb = приблизительно 8,4 минуты}. 1Н-ЯМР (CDCl3) XXIa/R5 = триэтилсилил: 138,0, 128,3, 76,6, 69,1, 56,2, 41,9, 40,5, 39,0, 34,4, 30,1, 27,4, 22,8, 20,0, 17,5, 17,3, 13,5, 6,7, 4,7 м.д.; XXIb/R5 = триэтилсилил: 138,2, 128,4, 77,1, 69,2, 56,1, 53,0, 41,9, 40,5, 39,1, 34,4, 27,5, 22,8, 20,0, 17,5, 17,4, 13,5, 6,7, 4,8 м.д.
Формула изобретения
1. Способ получения соединения общей структуры Va, Vb, VIIIa, VIIIb, XIVa, XIVb, XVIa, XVIb или XX, соответственно,
 
 
 
 
 где R1 и R2 являются одинаковыми или различными и представляют собой водород или гидроксизащитную группу, и где R5 представляет собой водород или гидроксизащитную группу; причем способ включает в себя взаимодействие соединения общей структуры IIIa, IIIb, VIa, VIb, XIIIa, XIIIb, XVa, XVb или IXX, соответственно,
 
 
 
 
 где R1, R2 и R5 такие, как указано выше, с фосфонатом общей структуры VII,
 где R3 и R4 являются одинаковыми или различными и представляют собой C1-6алкил, в присутствии основания.
2. Способ по п.1 получения соединения общей структуры Va,
 где R1 и R2 являются одинаковыми или различными и представляют собой водород или гидроксизащитную группу; причем способ включает в себя взаимодействие соединения общей структуры IIIa,
 где R1 и R2 такие, как указано выше, с фосфонатом общей структуры VII,
 где R3 и R4 являются одинаковыми или различными и представляют собой C1-6алкил, в присутствии основания.
3. Способ по п.1 получения соединения общей структуры VIIIa или VIIIb, соответственно,
  где R1 и R2 являются одинаковыми или различными и каждый представляет собой водород или защитную гидроксигруппу; причем способ включает в себя взаимодействие соединения общей структуры VIa или VIb, соответственно,
  где R1 и R2 такие, как указано выше, с фосфонатом общей структуры VII,
 где R3 и R4 являются одинаковыми или различными и представляют собой С1-6 алкил, в присутствии основания.
4. Способ получения кальципотриола или моногидрата кальципотриола, включающий стадии: (i) взаимодействие соединения общей структуры IIIa,
 где R1 и R2 являются одинаковыми или различными и представляют собой водород или гидроксизащитную группу, с фосфонатом общей структуры VII,
 где R3 и R4 являются одинаковыми или различными и представляют собой C1-6алкил, в присутствии основания, с получением соединения общей структуры Va,
 где R1 и R2 такие, как определено выше; (ii) восстановление соединения общей структуры Va подходящим восстанавливающим средством с получением соединения общей структуры IXa или смеси соединений общей структуры IXa и IXb,
  где R1 и R2 такие, как определено выше; (iii) необязательное отделение соединения общей структуры IXa из смеси соединений общей структуры IXa и IXb; (iv) фотоизомеризацию соединения общей структуры IXa в соединение общей структуры Ха,
 где R1 и R2 такие, как определено выше; (v) когда R1 и/или R2 не являются водородом, удаление гидроксизащитной группы(групп) R1 и/или R2 соединения общей структуры Ха, с получением кальципотриола; и (vi) необязательная кристаллизация кальципотриола из смеси органического растворителя и воды с получением моногидрата кальципотриола.
5. Способ получения кальципотриола или моногидрата кальципотриола, включающий стадии: (i) взаимодействие соединения общей структуры VIa и/или VIb,
  где R1 и R2 являются одинаковыми или различными и представляют собой водород или гидроксизащитную группу, с фосфонатом общей структуры VII,
 где R3 и R4 являются одинаковыми или различными и представляют собой C1-6алкил, в присутствии основания, с получением соединения общей структуры VIIIa и/или VIIIb,
  где R1 и R2 такие, как определено выше; (ii) восстановление соединения общей структуры VIIIa и/или VIIIb подходящим восстанавливающим средством в инертном растворителе, с получением соединений общей структуры XIaa и/или XIba или смеси соединений общей структуры XIaa и/или XIba и XIab и/или XIbb,
 
  где R1 и R2 такие, как определено выше; (iii) необязательное отделение соединения общей структуры XIaa и/или XIba из реакционной смеси; (iv) надевание соединений общей структуры XIaa и/или XIba выше 60°С в присутствии основания, с получением соединения общей структуры IXa,
 где R1 и R2 такие, как определено выше; (v) необязательное отделение соединения общей структуры IXa из реакционной смеси; (vi) фотоизомеризация соединения общей структуры IXa в соединение общей структуры Ха,
 где R1 и R2 такие, как определено выше; (vii) когда R1 и/или R2 не являются водородом, удаление гидроксизащитной группы (групп) R1 и/или R2 соединения общей структуры Ха с получением кальципотриола; и (viii) необязательная кристаллизация кальципотриола из смеси органического растворителя и воды с получением моногидрата кальципотриола, где стадии (vi) и (vii) могут осуществляться в обратном порядке.
6. Способ по п.5, где R3 и R4 представляют собой метил или этил.
7. Способ по п.5, где R1 и R2 представляют собой водород или алкилсилил.
8. Способ по п.5, где R1 и R2 представляют собой водород или трет-бутилдиметилсилил.
9. Способ по п.1, где R5 представляет собой триэтилсилил, а R3 и R4 представляют собой метил или этил.
10. Способ по любому из пп.1-5, где реакцию с фосфонатом общей структуры VII осуществляют в условиях фазового переноса.
11. Способ по любому из пп.1-5, где реакцию с фосфонатом общей структуры VII осуществляют в условиях фазового переноса в смеси толуола или ксилола и воды с галогенидом тетраалкиламмония или гидросульфатом тетраалкиламмония в качестве катализатора фазового переноса и с гидроксидом щелочного металла и/или гидроксидом тетраалкиламмония в качестве основания.
12. Способ по любому из пп.1-5, где реакцию с фосфонатом общей структуры VII осуществляют при температуре в интервале 10-50°С.
13. Соединение общей структуры VII,
 где R3 и R4 являются одинаковыми или различными и представляют собой C1-6алкил, при условии, что соединение не является диэтиловым эфиром (2-циклопропил-2-оксоэтил)фосфоновой кислоты.
14. Применение диэтилового эфира (2-циклопропил-2-оксоэтил)фосфоновой кислоты в производстве кальципотриола или моногидрата кальципотриола.
15. Применение соединения по п.14 в производстве кальципотриола или моногидрата кальципотриола.
|
|