|
|
(21), (22) Заявка: 2007143633/04, 26.05.2006
(24) Дата начала отсчета срока действия патента:
26.05.2006
(30) Конвенционный приоритет:
27.05.2005 CN 200510026252.2
(43) Дата публикации заявки: 10.07.2009
(46) Опубликовано: 10.01.2010
(56) Список документов, цитированных в отчете о поиске:
US 4277474 А, 07.07.1981. WO 2004112690 A2, 29.12.2004. EP 0869121 A1, 07.10.1998. Yang Dacheng et al, Geodeng Xuexiao Huaxue Xuebao, 2000,21(11), p.1694-1696. STN on the Web. БД СА 63:97916. STN on the Web. БД СА 56:12802. STN on the Web. БД СА 55:76166. DE 1617683 A, 27.08.1970. SU 162127 A, 19.08.1964.
(85) Дата перевода заявки PCT на национальную фазу:
27.12.2007
(86) Заявка PCT:
CN 2006/001106 20060526
(87) Публикация PCT:
WO 2006/125397 20061130
Адрес для переписки:
107061, Москва, Преображенская пл., 6, ООО Фирма патентных поверенных “ИННОТЭК”, пат.пов. О.Д.Запаре, рег. 735
|
(72) Автор(ы):
ВАН Мингвей (CN), ШОУ Кайхон (CN), ХОЙ Синь (CN), СУ Хаорань (CN), ГАО Цзань (CN), ДЭН Ён (CN), ЯН Дачен (CN)
(73) Патентообладатель(и):
ШАНХАЙ ИНСТИТЬЮТ ОФ МАТЕРИА МЕДИКА, ЧАЙНИЗ АКЭДЕМИ ОФ САЙЕНСИЗ (CN)
|
(54) НЕСТЕРОИДНЫЕ МОДУЛЯТОРЫ АНДРОГЕННОГО РЕЦЕПТОРА, СПОСОБ ПОЛУЧЕНИЯ, ИХ ФАРМАЦЕВТИЧЕСКАЯ КОМПОЗИЦИЯ И ПРИМЕНЕНИЕ
(57) Реферат:
Изобретение относится к новым нестероидным производным класса синтетических производных, имеющих следующие структуры, или их фармацевтически приемлемым солям:
, , ,
, 
или 
которые обладают способностью модулировать андрогенный рецептор, а также изобретение относится к фармацевтическим композициям, содержащим указанные производные, и использованию их для получения нестероидных лекарственных средств для лечения и/или предупреждения состояний или заболеваний, таких как гиперплазия простаты, рак предстательной железы, гирсутизм, тяжелая гормонозависимая алопеция или акне и т.д. в результате антагонистических активностей по отношению к андрогенному рецептору. 3 н. и 3 з.п. ф-лы., 5 ил., 3 табл.
Область изобретения
Изобретение относится к области фармацевтической химии и относится к нестероидным модуляторам андрогенного рецептора, способу их получения, фармацевтической композиции, содержащей нестероидные модуляторы андрогенного рецептора, и применению нестероидных модуляторов андрогенного рецептора для приготовления лекарственных средств для предупреждения и/или лечения симптомов или заболеваний, таких как гиперплазия простаты, рак предстательной железы, гирсутизм, тяжелая андрогензависимая алопеция и угревая сыпь и т.д.
Предпосылки изобретения
Андрогены представляют собой категорию важных гонадных стероидных гормонов в организме человека. Они стимулируют дифференцировку клеток и рост ткани путем связывания с соответствующими специфическими рецепторами, тем самым принимая участие во многих важных физиологических функциях, таких как формирование половых органов у плода мужского пола (таких как предстательная железа, семенной пузырек, придаток яичка и т.д.), развитие и поддержание вторичного полового признака и образование сперматозоидов. И у мужчин, и у женщин существует определенная пропорция андрогенов, таких как андростерон, андростендиол и адреностерон и т.д. Андрогены проявляют важные физиологические эффекты путем связывания с андрогенными рецепторами (AR). Метаболическое нарушение и функциональное нарушение андрогенов или их рецепторов может индуцировать различные заболевания или активизировать течение болезни, в том числе гиперплазию простаты, рак предстательной железы, мужское бесплодие, гирсутизм, тяжелую андрогензависимую алопецию и акне (угревую сыпь) и т.д. Эти заболевания очень сильно влияют на физическое и ментальное здоровье пациентов, а также существенно снижают качество их жизни.
Доброкачественная гиперплазия (аденома) предстательной железы является доброкачественной аденоматозной гиперплазией клеток в области простаты вокруг мочеиспускательного канала, но не является раком. Аденома растет медленно и не будет распространяться в другие части тела. Доброкачественная гиперплазия простаты является одним из наиболее часто встречающихся заболеваний хирургии мочевых путей и стала “невидимым убийцей”, угрожающим здоровью мужчин. Клиническая статистика показала, что заболеваемость доброкачественной гиперплазией простаты составляет приблизительно 50% среди мужчин в возрасте 40-79 лет и может доходить до 80% в возрасте после 80 лет. Вместе с растущим напряжением современного образа жизни постепенно увеличивается число пациентов с доброкачественной гиперплазией простаты, и возраст появления болезни имеет тенденцию становиться моложе. Доброкачественная гиперплазия простаты нарушает повседневную жизнь пациентов, и она, вероятно, способна вызывать много видов скрытых осложнений, таких как острая задержка мочи, инфекция мочевыводящих путей, макроскопическая гематурия, дивертикул (выпячивание) мочевого пузыря, камни, гидронефроз и почечная недостаточность, и т.д. Клинические исследования в литературных данных указывают на то, что дигидротестостерон в теле пациента является основным стимулом доброкачественной гиперплазии простаты.
Рак предстательной железы является тяжелым заболеванием пожилых мужчин, заболеваемость и смертность которых является очень высокой на Западе и занимает первое место среди злокачественных опухолей у мужчин [Landis SH, Murray Т, 1998. СА Cancer J. Glin. 48. 6-29]. Несмотря на то что частота заболеваемости раком предстательной железы в Китае ниже, чем на Западе, вместе с увеличением доли стареющего населения, изменениями традиционного режима питания и усовершенствованием диагностики этого заболевания в последние годы частота заболеваемости существенно повысилась. Клинические исследования показали, что возраст пациентов стремится к более молодому, особенно среди населения, которому требуется длительное пребывание в сидячем положении, например, среди программистов, и водителей такси, и т.д. Изучение этиологиии методов клинического лечения гиперплазии простаты/рака предстательной железы привлекли широкое внимание в фармацевтической промышленности во всем мире.
Белок AR является членом суперсемейства ядерных рецепторов и функционирует в виде лиганд-активируемого фактора транскрипции. Как показывают на фиг.1, белок AR имеет три структурных домена: N-концевой домен (NTD), ДНК-связывающий домен (DBD) и лиганд-связывающий домен (LBD) [Не В. Kemppainen JA. 1999, J. Bio). Chem. 274(52), 37219-25]. Андроген образует комплекс с LBD андогенного рецептора (AR) и связывается с элементом «отклика» к андрогену (ARE), локализованным в промоторной области гена-мишени AR, для обнаружения функции активации или ингибирования экспрессии генов-мишеней, таким образом регулируя физиологические функции ткани-мишени. Предстательная железа является важным органом-мишенью для андрогена. В эмбриональный период андроген связывается с AR, распределенным в эндодерме мочеполового синуса, вызывая фенотипическую дифференциацию эпидермальных клеток предстательной железы и индуцируя образование специфических белков простаты. В зрелых железистых органах андроген активирует митоз и пролиферацию эпидермальных клеток предстательной железы для поддержания морфологии и функции органа [Waller AS, Sharrard RM, 2000. J. Mol. Endocrinol. 24(3), 339-351]. Кроме того, андроген также регулирует метаболическую активность клеток предстательной железы, например биосинтез липидов, и контролирует образование некоторых специфичных для предстательной железы экспрессируемых белков (таких как простатоспецифичный антиген, PSA) и тому подобное.
Механизм действия андрогенов и АR включает в себя систему сложных и точных процессов передачи (пер., трансдукции) сигнала, и специфическое связывание андрогена играет незаменимую роль. Многие заболевания, ассоциированные с, AR, возникают в результате дисбаланса во взаимодействии между андрогеном и обусловленными аномальными уровнями гормона или дисфункцией рецептора. У индивидуумов, страдающих от таких заболеваний, лекарственные средства обеспечивают терапевтические эффекты посредством повышения или ингибирования активности. Таким образом, при наличии в виде мишени обнаружение химических соединений с активностью модулирования функций андрогенных рецепторов (AR) стало центром внимания глобальных исследований. В соответствии с фармакологическими свойствами модуляторы AR могут быть классифицированы в виде агонистов AR и антагонистов AR. Антагонист AR является важным средством для лечения гиперплазии предстательной железы/рака предстательной железы (особенно для поздних стадий), и он конкурентно связывается с AR в области злокачественной опухоли, блокирует поглощение андрогена клетками и ингибирует эффекты андрогена на органы-мишени, таким образом подавляя рост раковых клеток, уменьшая объем опухоли и отдаляя развитие болезни [Leewansangtong S, 1998, Endocrine-rented Cancer 5, 325-339]. По сравнению с другими способами лечения, ингибирующими активность андрогена, например, орхиэктомией, введением аналогов лютеинизирующего гормона рилизинг-гормона или ингибиторов тестостерон-синтетазы (например, 5 -редуктазы), антагонист AR может блокировать связывание андрогена с AR [Hong-Chiang. С.Hiroshi M. 1999. Proc. Natl Acad. Sci. USA 96. 11173-11177] и преодолевать недостатки антиандрогенной терапии. Кроме того, антагонист AR также может быть использован для лечения некоторых распространенных заболеваний, таких как гирсутизм, тяжелая андрогензависимая алопеция (облысение) и акне, и т.д. В настоящее время широко используемые антагонисты андрогена могут быть разделены на две группы: стероидные и нестероидные. Стероидные лекарственные препараты включают в себя ципротеронацетат (СРА), и нестероидные лекарственные препараты включают в себя флютамид, нилютамид и бикалютамид (касодекс) и т.д.
Нестероидные антагонисты AR обладают высокой селективностью к AR и не вызывают гормоноподобные или антигормональные эффекты в отношении других стероидных рецепторов, таким образом они широко распространены в клиниках. Однако все коммерчески доступные антиандрогены имеют много проблем, которые необходимо решить. Во-первых, после введения антиандрогенов пациенты могут страдать от различных побочных эффектов, таких как дискомфорт в желудочно-кишечном тракте, тошнота, рвота, бессонница, гиподинамия, головная боль, страх, затуманенное зрение и гипосексуальность, и т.д. Во-вторых, при монотерапии с помощью антиандрогена для лечения гиперплазии предстательной железы/рака предстательной железы у пациентов будет развиваться «синдром отмены» антиандрогенов (AWS). Синдром обнаруживает быстрое повышение ранее ингибированных уровней PSA и увеличенный объем опухоли за период времени после введения. Лечение должно быть прекращено или должны быть использованы другие антиандрогенные препарты [Dicker АР, 2003, Lancet Oncol 4(1), 30-36; Laufer M, Sinibaldi VJ, 1999, Urology 54(4). 745]. Молекулярный механизм AWS до сих пор неизвестен, но в целом считается, что вследствие мутации гена AR в клетках предстательной железы лекарственные препараты, которые первоначально имеют антагонистическое действие в отношении AR, могут вызывать агонистическую активность в отношении AR. Таким образом, существует неудовлетворенная медицинская потребность в модуляторах AR с новыми химическими структурами.
Описание изобретения
С помощью рандомизированного высокопроизводительного скрининга и последующего изучения зависимости активности от структуры авторы изобретения синтезировали и оптимизировали класс низкомолекулярных нестероидных соединений, которые могут быть разделены на три класса. Результаты экспериментов по конкурентному связыванию с рецептором указывают на то, что аффинности репрезентативных производных с AR составляют менее чем 0,2 мкМ, и в эксперименте по трансфекции гена AR вместе с репортерным геном люциферазы производные проявляют антагонистические активности по отношению к AR с активностью, указывающей на новые модуляторы андрогенных рецепторов.
Таким образом, целью настоящего изобретения является предоставление класса нестероидных производных, регуляторов андрогенных рецепторов, или их фармацевтически приемлемых солей, имеющих базовую структуру нижеследующей общей формулы I.
Другой целью изобретения является предоставление способа приготовления указанных производных общей формулы I.
Еще одной целью изобретения является предоставление фармацевтических композиций, содержащих производные общей формулы I, или их фармацевтически приемлемых солей.
Дополнительной целью изобретения является предоставление применения производных общей формулы I или их фармацевтически приемлемых солей для приготовления лекарственных препаратов для предупреждения и/или лечения симптомов или заболеваний, связанных с андрогенным рецептором, таких как гиперплазия предстательной железы, рак предстательной железы, гирсутизм, тяжелая андрогензависимая алопеция или акне и т.д.
Нестероидные модуляторы андрогенных рецепторов или их фармацевтически приемлемые соли, представленные в изобретении, имеют структуру следующей общей формулы I:

где X1 представляет N, СН, О или S; и в тех случаях, когда X1 означает О или S, R4 не существует;
Х2 представляет О, NH или CHR, где R представляет собой Н, С1-6 алкил, CF3, ароматическое кольцо или ароматическое гетероциклическое кольцо;
Каждый из R1 и R2 представляет Н, С1~6 алкил, бензил, галоген, OR, SR, NR2, NO2, CN, СF3, COOR, CONR2, CONHR или COR, где определение R означает то же самое, что и выше;
Каждый из R3 и R4 представляет Н, С1~6 алкил бензил, С3-7 циклоалкил, произвольно замещенные R7, R8 и R9, ароматическое кольцо, произвольно замещенное R7, R8 и R9, ароматическое гетероциклическое кольцо, произвольно замещенное R7, R8 и R9, или (CHR)n, где n представляет собой целое число 1-3 и определение R является тем же самым, что и выше;
R5 представляет Н, С1-18 алкил, бензил, галоген, OR, SR, NR2, NO2, CN, СF3, С3-7 циклоалкил, произвольно замещенный R7, R8 и R9, ароматическое кольцо, произвольно замещенное R7, R8 и R9, или ароматическое гетероциклическое кольцо, произвольно замещенное R7, R8 и R9, где определение R является тем же самым, что и выше; или R5 может образовывать кольцо, слитое с R3;
R6 представляет Н, С1-18 алкил, бензил, галоген, OR, SR, NR2, NO2, CN, СF3, ароматическое кольцо произвольно замещено R7, R8 и R9, или ароматическое гетероциклическое кольцо, произвольно замещенное R7, R8 и R9, где определение R является тем же самым, что и выше;
где каждый из R7, R8 и R9 представляет Н, С1-18 алкил, бензил, галоген, OR, SR, NR2, NO2, CN, СF3, COOR. CONR2. CONHR или СОR, где определение R является тем же самым, что и выше; и
R10 представляет С=O, СНОН или СН=.
В соответствии с определением R10, где X1 представляет N, производные изобретения являются следующими тремя рядами:
  
В производных общей формулы I, представленных изобретением, предпочтительно Х1 представляет N, R10 означает С=O, R4 означает Н, Х2 не существует; структурная формула производных является следующей:

При существовании в молекуле хирального углерода производные, представленные общей формулой I изобретения, являются рацемическими или оптически активными производными.
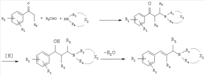
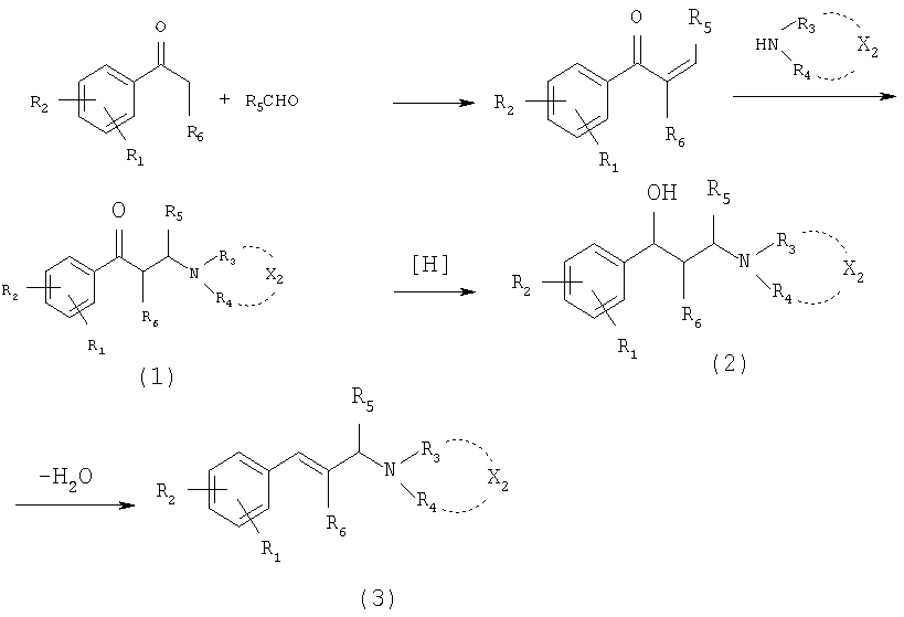
При существовании X1 в виде N производные общей формулы I, представленной изобретением, могут быть получены следующими двумя способами, где:
Способ приготовления 1, который включает в себя следующие стадии:
Производные ацетофенона, ароматический альдегид или масляный альдегид и органический амин использовали в качестве исходных веществ для проведения реакции Манниха в присутствии полярного растворителя (например, этанола, метанола, изопропанола и т.д.) и каталитического количества концентрированной соляной кислоты для получения щелочного гидрохлорида Манниха, который нейтрализовали с помощью подходящего количества основания для получения основания Манниха (1); в полученном основании Манниха карбонильную группу редуцировали каталитической гидрогенизацией (например, Ni/H2 Ренея) или химическим восстановлением (например, NaBH4, LiAlH4 и т.д.) для получения производного (2); производное (2) дегидратировали при кислотных каталитических условиях (при катализе серной кислотой, пара-толуолсульфоновой кислотой и т.д.; с бензолом или толуолом в качестве растворителя, реакция по принципу противотока) для получения производного (3); и ход реакции демонстрируют следующим образом:

где определения Х2, R1, R2, R3, R4, R5 и R6 являются теми же самыми, что и выше.
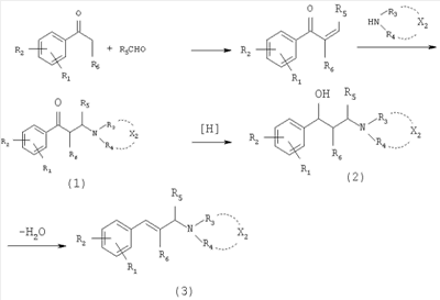
Способ приготовления 2, который включает в себя следующие стадии:
Производные ацетофенона, ароматический альдегид или масляный альдегид, органический первичный амин/вторичный амин использовали в качестве исходных веществ и в кислых или щелочных условиях (таких как серная кислота, соляная кислота, пара-толуолсульфоновая кислота, неорганический гидроксид, алкоголят натрия и т.д.), производное ацетофенона конденсировали с ароматическим альдегидом или масляным альдегидом для получения , -ненасыщенного карбонильного производного, затем под действием каталитического количества щелочи подвергали реакции Майкла, присоединения органического первичного амина/вторичного амина для получения производного (1); В полученном в результате реакции производного (1) карбонильную группу редуцировали каталитической гидрогенизацией или химическим восстановлением для получения производного (2); производное (2) дегидратировали при каталитических условиях в кислой среде для получения производного (3)

Производные общей формулы I изобретения могут быть подвергнуты взаимодействию с любой подходящей кислотой обычными солеобразующими методами для получения химическим способом их фармацевтически приемлемых солей. Например, указанная кислота означает неорганическую кислоту, такую как соляная кислота, бромистоводородная кислота, азотная кислота, серная кислота, ортофосфорная кислота и т.д.; органическую кислоту, такую как муравьиная кислота, уксусная кислота, пропионовая кислота, бензойная кислота, малеиновая кислота, фумаровая кислота, янтарная кислота, винная кислота, лимонная кислота и т.д.; алкилсульфуновую кислоту, такую как метилсульфоновая кислота, этилсульфоновая кислота и т.д.; арилсульфоновую кислоту, такую как бензолсульфоновая кислота, пара-толуолсульфоновая кислота и т.д.
Фармацевтическая композиция, представленная изобретением, включает в себя одну или несколько терапевтически эффективных доз производных общей формулы I или их фармацевтически пригодных солей и дополнительно может включать в себя один или несколько фармацевтически пригодных носителей или наполнителей.
Идеальным соотношением фармацевтической композиции, представленной изобретением, является такое соотношение, при котором производные общей формулы I или их фармацевтически приемлемые соли в виде активных компонентов составляют 50%-99.5% от общей массы, другое соотношение составляет не более чем 50%.
Производные общей формулы I или их фармацевтически приемлемые соли обладают антагонистической активностью в отношении AR, также могут быть использованы для получения нестероидных лекарственных средств для предупреждения и/или лечения симптомов или заболеваний, таких как гиперплазия предстательной железы, рак предстательной железы, гирсутизм, тяжелая андрогензависимая алопеция или акне и т.д.
Описание чертежей
Фиг.1 является схематическим изображением, иллюстрирующим три структурных домена белка AR.
Фиг.2 демонстрирует сопоставление активностей производного MWW6032 и бикалютамида в клетках MDA-MB-453, трансфецированных репортерным геном. Дигидротестостерон (DHT) индуцирует экспрессию люциферазы в клетках, так что возрастает счет при регистрации хемилюминесценции и снижение хемилюминесценции, индуцированной DHT, указывает на антагонистический эффект производного на андрогенный рецептор.
Фиг.3 демонстрирует влияние производного MWW6032 и бикалютамида на пролиферацию клеток LNCaP, индуцированную DHT. Результаты показывают, что пpoизвoднoe MWW6032 обладает определенными ингибирующими действиями на пролиферацию клеток LNCaP, индуцированную DHT, значение IC50 производного составляет 2.28 мкМ.
Фиг.4 и фиг.5 демонстрируют соответственно влияние производного MWW6032 и бикалютамида на сырую массу и на сухую массу предстательной железы и тканей семенных пузырьков кастрированных крыс с добавлением андрогена. Казодекс обладает существенными ингибиторными эффектами на рост предстательной железы и семенных пузырьков, индуцированный экзогенным тестостероном, и производное MWW6032 обнаруживает определенное ингибирующее действие на рост вышеуказанных тканей при стимуляции тестостероном.
Лучший способ изобретения
Изобретение описывают подробно в следующих частях, но оно не должно быть ограничено ими.
Определение
Если не определено иначе, специальные и научные термины, используемые в изобретении, имеют те же самые значения в соответствии с общепринятым пониманием в соответствии с областью изобретения. Все патенты, заявки, выложенные патентные заявки и другие публикации и последовательности библиотек генов и другие базы данных, упомянутые здесь, включены путем ссылок. Если определения, интерпретируемые в данном разделе, являются противоположными или противоречат определениям, включенным в патенты или ссылки, патентные заявки, выложенные патентные заявки и другие публикации и последовательности библиотек генов и других баз данных, указанных в патенте, то выбирают определения, освещенные в данном разделе.
Используемые в настоящем описании “а” или “один” относят “по меньшей мере к одному” или “одному или нескольким”.
Используемый в настоящем описании термин “гиперплазия простаты” относится к доброкачественной аденоматозной гиперплазии простаты вокруг уретры, которая может вызывать различные уровни обструктивных заболеваний, нарушающих отток из мочевого пузыря, или симптомы, называемые также “доброкачественная гипертрофия простаты”.
Используемый в настоящем описании термин “рак предстательной железы” относится также к распространенной злокачественной опухоли половых органов у мужчин, главным образом к аденокарциноме.
Используемый в настоящем описании термин “гирсутизм” относится к симптомам избыточного оволосения у женщин, возникающего в результате заболеваний, приводящих к увеличению секреции андрогена. То есть, много длинных, толстых и темных волос пробивается на частях тела, где волосы не должны расти, или волосы распределены по мужскому типу, например, феномен широкой, густой и темной брови, лобковые волосы, растущие по животу или даже до пупочной области.
Используемый в настоящем описании термин “тяжелая андрогензависимая алопеция” относится к тяжелой себорейной плешивости, называемой также алопецией по «мужскому типу».
Используемый в настоящем описании термин “акне” относится к хроническому воспалению сальных желез, которое часто возникает на лице или груди-спине и может возникать в виде поражений, таких как акне, папула, пустула, туберкул и киста и т.д., также называемых юношеские угри.
“Эффективная доза” соединения для лечения конкретного специфического заболевания, как используют здесь, относится к дозе, которая может полностью улучшить, или до некоторой степени облегчить симптомы, сопровождающие данное заболевание. Эта доза может быть введена в виде однократной дозы, также может быть введена в соответствии со схемой лечения. Эта доза может излечивать заболевания или типично вводиться для улучшения симптомов. Для улучшения симптомов может быть необходимо повторное введение.
Используемый в настоящем описании термин “фармацевтически приемлемые соли, сложные эфиры или другие производные” включают в себя любые соли, сложные эфиры или производные, которые могут быть легко приготовлены специалистом в данной области с помощью известных способов. Производные, полученные и произведенные таким образом, могут быть использованы на животных и на людях без какого бы то ни было токсического действия. Производные обладают активностью лекарственного вещества или являются пролекарствами.
Используемый в настоящем описании термин “лечение” означает улучшение состояния или другое благоприятное изменение заболевания и симптомов при любом методе. “Лечение” также включает в себя применение производных данного изобретения в медицине.
Используемый в настоящем описании термин “улучшение” симптомов определенного конкретного заболевания путем введения определенной конкретной фармацевтической композиции означает любое облегчение, независимо от постоянного, временного, хронического или временного, может быть связано или ассоциировано с введением композиции.
Используемый в настоящем описании термин “существенно чистые” означает достаточную однородность, и примесные соединения не могут быть обнаружены стандартными аналитическими методами, используемыми специалистами в данной области для оценки чистоты. Указанные стандартные аналитические методы включают в себя, например, тонкослойную хроматографию (ТСХ), гель-электрофорез и высокоэффективную жидкостную хроматографию (ВЭЖХ). Или достаточная чистота также означает детектируемые физико-химические характеристики субстанции, такие как ферментативная активность и биологическая активность, не может быть изменена даже при дальнейшей очистке субстанции. Способы очистки композиций для приготовления существенно химически чистых композиций являются хорошо известными специалистам в данной области. Однако существенно химически чистые производные могут быть смесью стереоизомеров или изомеров. В этом случае, дальнейшая очистка может повысить специфическую активность производных.
Используемый в настоящем описании термин “пролекарство” относится к производному, введенному in vivo, которое может быть метаболизировано или превращено в биологически, фармацевтически или терапевтически активную форму. Для производства пролекарства фармацевтически активное производное будет модифицировано так, чтобы в результате метаболических процессов образовалось активное производное. Пролекарство может быть сконструировано в виде предшественника, который изменяет метаболическую стабильность или свойства переноса для защиты от побочного эффекта или токсичности, улучшения вкуса лекарства или изменения других свойств. Раз фармацевтически активное соединение является известным, то специалист в данной области может сконструровать пролекарство соединения на основе знания фармакокинетики и метаболизма лекарства in vivo [Смотри Medicinal Chemistry A Biochemical Approach, Oxford University Press, New York. 1985, страницы 388-392].
Термин “существенно” одинаковый или равносилен или сходный может иметь некоторое изменение в контексте в соответствии с пониманием специалиста в данной области подходящего способа и вообще имеет сходство по меньшей мере на 70%, предпочтительно по меньшей мере на 80%, более предпочтительно по меньшей мере на 90% и наиболее предпочтительно по меньшей мере на 95%.
Термин “композиция”, используемый здесь, относится к любой смеси, которая может быть раствором, суспензией, жидкостью, порошком, мазью, водной, неводной или любой их комбинацией.
Термин “комбинация”, используемый здесь, означает любую комбинацию из двух или нескольких.
Термин “субъект”, используемый здесь, включает в себя людей и животных, таких как собаки, кошки, крупный рогатый скот, свиньи, грызуны и так далее. Квалифицированный специалист должен понимать, что субъект подходит и хотел бы лечиться и быть предотвращенным от заболеваний или симптомов, обусловленных или сопровождаемых функциональным нарушением андрогена и/или андрогенного рецептора, таких как гиперплазия простаты, рак предстательной железы, гирсутизм, тяжелая андрогензависимая алопеция и акне, и т.д.
Сокращения любых защитных групп, аминокислот и других соединений, используемых здесь, находятся в соответствии с общепринятыми их известными сокращениями или биохимическим наименованием, опубликованными органом IUPAC-IUB (nep., ИЮПАК (IUPAC) (“Международный союз тeopeтической и прикладной химии), IUB – Международный биохимический союз), если только не дано специальное определение.
Композиция и дозировка
В соответствии с изобретением производные изобретения могут быть применены в чистом виде или совместно с другими лекарственными препаратами, носителями или наполнителями и могут быть приготовлены в виде препаратов для любого рода подходящих путей введения, таких как внутриполостное введение, подкожное введение, внутривенное введение, внутримышечное введение, трансдермальное введение, пероральное или местное введение. Данный способ может применять инъекционный препарат, который может быть введен в форме однократной дозы в ампуле или в упаковке лекарственного средства для многократного приема с добавлением буфера. Препарат может принимать нижеперечисленные формы, например форма суспензии, раствора или эмульсии в масляной или водной среде. Препарат может содержать вещества для приготовления композиций, например суспендирующее вещество, стабилизирующее и/или диспергирующее вещество. Дополнительно активные компоненты в форме порошка могут составлять лекарственную форму с подходящими носителями, стерильной апирогенной водой или другими растворителями. Местное введение в соответствии с данным изобретением может принимать форму пены, геля, пасты, мази, трансдермального пластыря или крема.
Фармацевтические композиции и способы введения, использованные в изобретении, могут иметь отношение, но не ограничиваться, к составам, описанным патентами США  5736154; 6197801 В; 5741511; 5886039; 5941868; 6258374 В и 5686102.
Доза для лечения или профилактики может варьировать в зависимости от тяжести состояния заболевания и способа введения препарата. И доза, и частота введения являются различными в зависимости от возраста, массы тела, состояния здоровья и индивидуальных ответов пациентов.
Необходимо подчеркнуть (врач также должен знать), что терапевтическая доза должна быть ограничена, прервана или снижена в зависимости от токсичности и побочного эффекта. Напротив, при отсутствии очевидного клинического ответа (без токсичности и побочных эффектов) врач должен соответствующим образом отрегулировать схему лечения увеличением дозы.
Любые подходящие способы введения могут быть приняты. Лекарственные формы включают в себя таблетку, пастилку, капсулу в форме горошины, дисперсию, суспензию, раствор, капсулу, пленку и их аналоги, и т.д.
В практическом применении производные изобретения, в чистом виде или в сочетании с другими препаратами, могут быть точно смешаны с носителями лекарственных средств или наполнителями, такими как -циклодекстрин и 2-гидроксипропил- -циклодекстрин, в соответствии с общепринятой фармацевтической технологией смешивания. В соответствии с требованием к введению могут быть использованы стандартные носители или специальные носители для местного или парентерального пути. Аналогичные носители лекарственного препарата, такие как вода, этиленгликоль. масло, буфер, сахар, консервант, липосома и т.д., которые являются хорошо известными специалистам в данной области, могут быть использованы для приготовления парентеральных лекарственных форм, например композиций для внутривенного введения или перфузии. Примеры таких парентеральных композиций включают в себя, но не ограничиваются, 5% (мас./об.) декстрозы, обычный физиологический раствор или другие растворы. Суммарная доза производных изобретения в чистом виде или в сочетании с другими препаратами может быть введена путем внутривенной инъекции с использованием ампулы объемом от 1 мл до 2000 мл. Степень разведения колеблется в зависимости от суммарной дозы, которая вводится.
Изобретение также предоставляет набор для обеспечения схемы лечения. Набор содержит эффективную дозу производного изобретения в чистом виде или в сочетании с другими реагентами в фармацевтически приемлемой форме в одной или нескольких емкостях. Предпочтительными лекарственными формами является комбинирование со стерильным физиологическим раствором, раствором декстрозы, забуференным раствором или другими фармацевтически приемлемыми стерильными жидкостями. В качестве альтернативы композиции могут быть лиофилизированы или высушены. В таком случае набор содержит избирательно один фармацевтически приемлемый раствор, предпочтительный стерильный раствор в одном контейнере для образования композиции, для того, чтобы восстановить раствор для объекта инъекции. Типичными фармацевтически приемлемыми растворами являются физиологический раствор и раствор декстрозы.
В другом варианте воплощения изобретения набор изобретения дополнительно содержит иглу или шприц, предпочтительно упакованными в стерильном виде, для введения композиции и/или упакованный спиртовый тампон. Набор может произвольно содержать подробное описание для врачей или пациентов.
Следующее, изобретение дополнительно объясняют совместно со специфическими примерами, но они не ограничивают данное изобретение.
Пример 1
Синтез 3-фенил-3-(4-хлоранилин)-1-(4-метилфенил)-1-ацетона

10.60 г (0,1 моль) бензальдегида, 12,76 г (0,1 моль) 4-хлоранилина, 150 мл абсолютного спирта вносили в реакционный сосуд. После перемешивания смеси в течение 10 минут при комнатной температуре в смесь прибавляли 13,42 г (0,1 моль) 4-метилацетофенона и каталитическое количество концентрированной соляной кислоты, затем реакцию проводили в течение 20 часов при перемешивании при комнатной температуре. После завершения реакции реакционный раствор охлаждали в течение ночи, отделившийся твердый осадок отфильтровывали и промывали с помощью абсолютного спирта. Образующееся в результате реакции твердое вещество суспендировали в 150 мл 95% спирта и перемешивали в течение 2 часов при комнатной температуре. Полученный раствор нейтрализовали с помощью насыщенного NaHCO3 до щелочного значения. Перемешивание продолжали в течение 1 часа. Раствор отфильтровывали и осадок на фильтре промывали с помощью небольшого количества абсолютного спирта. Неочищенный продукт перекристаллизовывали из смешанного растворителя спирт/вода (объемное соотношение 1:1) для получения 25,61 г игловидных кристаллов, и выход составил 73,2%.
mp (пер., температура плавления)152-154°С: 1Н-ЯМР (в СDCl3) (пер., 1Н-ЯМР спектр, ЯМР анализ по атомарному водороду в растворителе CDCl3: 7,79 (2Н, d, J=8,2 Hz, Ar-H), 7,12~7,42 (7H, m, Ar-H), 7,02 (2Н, d, J=8,8 Hz, Ar-H), 6,50 (2H, d, J=8,8 Hz, Ar-H), 4,92 (1H, dd, J=7,4 Hz, CH), 3,45 (2Н, t, J=7,4Hz, CH2), 2,40 (3H, s, СН3); MS(FAB): 350(M+H) (пep., MS(FAB) – FAB-масс-спектрометрия, масс-спектрометрия с бомбардировкой ускоренными атомами.
Пример 2
Синтез 3-фенил-3-(4-броманилин)-1-(4-метилфенил)-1-ацетона

10,60 г (0,1 моль) бензальдегида, 17,20 г (0,1 моль) 4-броманилина, 150 мл абсолютного спирта вносили в реакционный сосуд. После перемешивания смеси в течение 10 минут при комнатной температуре в смесь прибавляли 13,42 г (0,1 моль) 4-метилацетофенона и каталитическое количество концентрированной соляной кислоты, затем реакцию проводили в течение 24 часов при перемешивании при комнатной температуре. После завершения реакции реакционный раствор охлаждали в течение ночи, отделившийся твердый осадок отфильтровывали и промывали с помощью абсолютного спирта. Образующееся в результате реакции твердое вещество суспендировали в 180 мл 95% спирта и перемешивали в течение 1,5 часов при комнатной температуре. Полученный раствор нейтрализовали с помощью насыщенного NaHCO3 до щелочного значения, отфильтровывали и осадок на фильтре промывали с помощью небольшого количества абсолютного спирта. Неочищенный продукт перекристаллизовывали из смешанного растворителя спирт/вода (объемное соотношение 1:1) для получения 28,04 г игловидных кристаллов, и выход составил 71,1%.
mp (пер., температура плавления)147-149°С; 1Н-ЯМР (в СDCl3): 7,79 (2Н, d, J=8,2 Hz, Ar-H), 7,12~7,42 (7H, m, Ar-H), 6,79 (2Н, d, J=8,1 Hz, Ar-H), 6,42 (2H, d, J=8,1 Hz, Ar-H), 4,91 (1H, dd, J=7,4 Hz, CH), 3,49 (1H, d, J=7,4 Hz, CH2), 3,42 (1H, d, J=7,4 Hz, CH2), 2,40 (3H, s, СН3); MS(FAB): 395(M+H).
Пример 3
Синтез 3-фенил-3-(4-нитроанилин)-1-(4-метилфенил)-1-ацетона

10,60 г (0,1 моль) бензальдегида, 13,82 г (0,1 моль) 4-нитроанилина, 150 мл абсолютного спирта вносили в реакционный сосуд. После перемешивания смеси в течение 10 минут при комнатной температуре в смесь прибавляли 13,42 г (0,1 моль) 4-метилацетофенона и каталитическое количество концентрированной соляной кислоты, затем реакцию проводили в течение 24 часов при перемешивании при 32°С. После завершения реакции реакционный раствор охлаждали в течение ночи, отделившийся твердый осадок отфильтровывали и промывали с помощью абсолютного спирта. Образующееся в результате реакции твердое вещество суспендировали в 160 мл 95% спирта и перемешивали в течение 1,5 часов при комнатной температуре. Полученный раствор нейтрализовали с помощью насыщенного NaHCO3 дo щелочного значения, отфильтровывали и осадок на фильтре промывали с помощью небольшого количества абсолютного спирта. Неочищенный продукт перекристаллизовывали из смешанного растворителя спирт/вода (объемное соотношение 1:1) для получения 32,04 г кристаллов, и выход составил 88,9%.
mp (пер., температура плавления)157-159°С; 1Н-ЯМР (в СDCl3): 7,79 (2Н, d, J=9,1 Hz, Ar-H), 7,78 (2Н, d, J=8,4Hz, Ar-H), 7,22-7,40 (7H, m, Ar-H), 6,50 (2H, d, J=9,1 Hz, p-NO2C6H4NH-), 5,58 (1H, brs, NH), 5,07 (1H, t, J=5,8 Hz, CH), 3,48 (2Н, d, J=5,8 Hz, CH2), 2,40 (3H, s, СН3); MS (FAB): 361 (M+H).
Пример 4
Синтез 3-фенил-3-(4-карбоксианилин)-1-(4-метилфенил)-1-ацетона

10,60 г (0,1 моль) бензальдегида, 13,72 г (0,1 моль) 4-аминобензойной кислоты, 140 мл абсолютного спирта вносили в реакционный сосуд. После перемешивания смеси в течение 5 минут при комнатной температуре в смесь прибавляли 13,42 г (0,1 моль) 4-метилацетофенона и каталитическое количество концентрированной соляной кислоты, затем реакцию проводили в течение 20 часов при перемешивании при 32°С. После завершения реакции реакционный раствор охлаждали в течение ночи, отделившийся твердый осадок отфильтровывали и промывали с помощью абсолютного спирта. Образующееся в результате реакции твердое вещество суспендировали в 170 мл 95% спирта и перемешивали в течение 1,5 часов при комнатной температуре. Полученный раствор нейтрализовали с помощью насыщенного NaHCO3 до щелочного значения, отфильтровывали и осадок на фильтре промывали с помощью небольшого количества абсолютного спирта. Неочищенный продукт перекристаллизовывали из спирта для получения 30,59 г кристаллов, и выход составил 85,1%.
mp (пep., температура плавления)208-210°С; 1Н-ЯМР (в DMSO-d6): 7,86 (2Н, d, J=8,2 Hz, Ar-H), 7,58 (2Н, d, J=8,6 Hz. Ar-H), 6,98~7,46 (7H, m, Ar-H), 6,51 (2Н, d, J=8,6 Hz, Ar-H), 5,06 (1H, m, CH), 3.24-3,35 (2Н, m, CHz), 2,37 (3H, s, СН3); MS (FAB): 360(M+H).
Пример 5
Синтез 3-(4-метилфенил)-3-анилино-1-(4-метилфенил)-1-ацетона

12,02 г (0,1 моль) 4-метилбензальдегида, 9,31 г (0,1 моль) анилина, 150 мл абсолютного спирта вносили в реакционный сосуд. После перемешивания смеси в течение 10 минут при комнатной температуре в смесь прибавляли 13,42 г (0,1 моль) 4-метилацетофенона и каталитическое количество концентрированной соляной кислоты, затем реакцию проводили в течение 21 часа при перемешивании при 32°С. После завершения реакции реакционный раствор охлаждали в течение ночи, отделившийся твердый осадок отфильтровывали и промывали с помощью абсолютного спирта. Образующееся в результате реакции твердое вещество суспендировали в 160 мл 95% спирта и перемешивали в течение 2 часов при комнатной температуре. Полученный раствор нейтрализовали с помощью насыщенного NaНСО3 до щелочного значения, отфильтровывали и осадок на фильтре промывали с помощью небольшого количества абсолютного спирта. Неочищенный продукт перекристаллизовывали из смешанного растворителя спирт/вода (объемное соотношение 1:1) для получения 24,05 г кристаллов, и выход составил 88,9%.
mp (пep., температура плавления)131-132°С; 1Н-ЯМР (в СDСl3): 7,81 (2Н, d, J=8,1Hz, Ar-H), 7,04-7,34 (9Н, m, Ar-H), 6,55 (2Н, d, J=7,8 Hz, Ar-H), 4,95 (1H, dd, J=6,4 Hz, 8,0 Hz, CH), 3,43 (1H, d, J=6,4 Hz, CH2), 3,41 (1H, d, J=8,0 Hz, CH2), 2,40 (3H, s, СН3), 2,30 (3H, s, СН3); MS(FAB): 330(M+H).
Пример 6
Синтез 3-фенил-3-(4-хлоранилин)-1-{4-нитрофенил)-1-ацетона

10,60 г (0,1 моль) бензальдегида, 12,76 г (0,1 моль) 4-хлоранилина, 180 мл абсолютного спирта вносили в реакционный сосуд. После перемешивания смеси в течение 10 минут при комнатной температуре в смесь прибавляли 16,52 г (0,1 моль) 4-нитроацетофенона и каталитическое количество концентрированной соляной кислоты, затем реакцию проводили в течение 26 часов при перемешивании при комнатной температуре. После завершения реакции реакционный раствор охлаждали в течение ночи, отделившийся твердый осадок отфильтровывали и промывали с помощью абсолютного спирта. Образующееся в результате реакции твердое вещество суспендировали в 200 мл 95% спирта и перемешивали в течение 1 часа при комнатной температуре. Полученный раствор нейтрализовали с помощью насыщенного NaHCO3 до щелочного значения, отфильтровывали и осадок на фильтре промывали с помощью небольшого количества абсолютного спирта. Неочищенный продукт перекристаллизовывали из смешанного растворителя спирт/вода (объемное соотношение 1:1) для получения 31,23 г кристаллов, и выход составил 82,0%.
1Н-ЯМР (в CDCl3): 8,26 (2Н, d, J=8,6 Hz, Ar-H), 7,99 (2H, d, J=8,6 Hz, Ar-H), 7,23-7,52 (5H, m, Ar-H), 7,04 (2H, d, J=6,4 Hz, Ar-H), 6,52 (2H, d, J=6,4 Hz, Ar-H), 4,97 (1H, t, J=6,2 Hz, CH), 3,54 (2H, d, J=6,0 Hz, CH2); MS (FAB): 382(M+H).
Пример 7
Синтез 3-фенил-3-(4-хлоранилино)-1-(4-метилфенил)-1-пропанол

6,98 г (0,02 моль) 3-фенил-3-(4-хлоранилино)-1-(4-метилфенил)-1-ацетона и 120 мл метанола вносили в реакционный сосуд. После перемешивания смеси при комнатной температуре до полного растворения твердого вещества в смеси прибавляли каталитическое количество никелевого катализатора Ренея. Реакционный сосуд три раза продували водородом, после этого сосуд плотно закрывали, затем проводили восстановление в течение 12 часов введением водорода при 60-70°С. После завершения реакции реакционный раствор охлаждали до комнатной температуры и отфильтровывали, осадок на фильтре промывали с помощью небольшого количества метанола. Фильтрат подвергали перегонке при пониженном давлении для удаления растворителя, таким образом получали твердое вещество в виде порошка. Образовавшееся твердое вещество перекристаллизовывали из смеси спирт/вода (объемное соотношение 1:1) для получения 5,80 г кристаллов. Выход составлял 82,6%.
1Н-ЯМР (в CDCl3): 7,81 (2Н, d, J=8,4 Hz, Ar-H), 7,11-7,40 (7H, m, Ar-H), 7,03 (2H, d, J=8,2Hz, Ar-H), 6.49 (2H, d, J=8,2Hz, Ar-H). 5,05 (1H, t, J=7,1 Hz, CHOH), 4,94 (1H, dd, J=7,4 Hz, CH), 3,51 (2H, m, CH2), 2,41 (3H, s, СН3); MS (FAB): 351(M+).
Пример 8
Синтез 3-фенил-3-(4-хлоранилино)-1-(4-метилфенил)-1-пропилена

3,51 г (0,01 моль) 3-фенил-3-(4-хлоранилино)-1-(4-метилфенил)-1-пропанола, каталитическое количество пара-толуолсульфоновой кислоты и 80 мл толуола вносили в реакционный сосуд. Реакцию проводили в течение 3 часов с обратным холодильником при перемешивании. После завершения реакции реакционный раствор охлаждали до комнатной температуры. Толуоловый слой промывали с помощью насыщенного раствора NaHCO3 и последовательно насыщенным раствором соли. Органический слой высушивали над безводным Na2SO4 и растворитель удаляли перегонкой при пониженном давлении. Осадок перекристаллизовывали из абсолютного спирта для получения 2,50 г белого твердого вещества. Выход составлял 75,1%.
1Н-ЯМР (в СDCl3): 7,82 (2H, d, J=8,4 Hz, Ar-H), 7,16-7.42 (7H, m, Ar-H), 7,01 (2H, d, J=8,2 Hz, Ar-H), 6,63 (1H, dd, J=16,2 Hz. 7,4 Hz, CH), 6,46 (2H, d, J=8,2 Hz, Ar-H), 6,32 (1H, d, J=16,2 Hz, CH), 4,94 (1H, d, J=7,4 Hz, CH), 2,45 (3H, s, СН3); MS (FAB): 334(M+H).
Пример 9
Синтез 3-фенил-3-(1-пиперидино)-1-(4-метилфенил)-1-ацетона

10,60 г (0,1 моль) бензальдегида, 8,52 г (0,1 моль) пиперидина, 150 мл абсолютного спирта вносили в реакционный сосуд. После перемешивания смеси при комнатной температуре в течение 10 минут в реакционный сосуд вносили 13,42 г (0,1 моль) 4-метилацетофенона и каталитическое количество концентрированной соляной кислоты, затем реакцию проводили в течение 18 часов при перемешивании при 45°С. После завершения реакции реакционный раствор охлаждали в течение ночи, отделившийся осадок отфильтровывали и промывали абсолютным спиртом. Образовавшийся осадок суспендировали в 150 мл 95% спирта и перемешивали в течение 2 часов при комнатной температуре. Раствор нейтрализовали с помощью насыщенного NaHCO3 до щелочного значения и продолжали перемешивание в течение 1 часа. Раствор фильтровали и осадок на фильтре промывали с помощью небольшого количества абсолютного спирта. Неочищенный продукт перекристаллизовывали из абсолютного спирта для получения 23,37 г твердого вещества в виде порошка. Выход составил 76,0%.
1Н-ЯМР (в СDСl3): 7,76 (2Н, d, J=7,6 Hz, Ar-H), 7,12~7,42 (7H, m, Ar-H), 4,92 (1H, dd, J=7,4Hz, CH), 3,45 (2Н, t, J=7,4 Hz, CH2), 2,78 (4H, m, CH2), 1,55 (6H, m, CH2); MS (FAB): 307(M+).
Пример 10
Синтез 3-фенил-3-(1-пиперидино)-1-(4-нитрофенил)-1-ацетона

10,60 г (0,1 моль) бензальдегида, 8,52 г (0,1 моль) пиперидина, 180 мл абсолютного спирта вносили в реакционный сосуд. После перемешивания смеси при комнатной температуре в течение 10 минут в реакционный сосуд вносили 16,52 г (0,1 моль) 4-нитроацетофенона и каталитическое количество концентрированной соляной кислоты, затем реакцию проводили в течение 18 часов при перемешивании при 45°С. После завершения реакции реакционный раствор охлаждали в течение ночи, отделившийся осадок отфильтровывали и промывали абсолютным спиртом. Образовавшийся осадок суспендировали в 150 мл 95% спирта и перемешивали в течение 2 часов при комнатной температуре. Раствор нейтрализовали с помощью насыщенного NаНСО3 до щелочного значения и продолжали перемешивание в течение 1 часа. Раствор фильтровали и осадок на фильтре промывали с помощью небольшого количества абсолютного спирта. Неочищенный продукт перекристаллизовывали из абсолютного спирта для получения 20,31 г твердого вещества в виде порошка. Выход составил 60,0%.
1Н-ЯМР (в СDCl3): 8,27 (2Н, d, J=8,4 Hz, Ar-H), 7,96 (2Н, d, J=8,4 Hz, Ar-H), 7,18-7,49 (5H, m, Ar-H), 4,89 (1H, t, J=6,2 Hz, CH), 3,54 (2Н, d, J=6,2 Hz, CH2), 2,75 (4H, m, CH2), 1,58 (6H, m, CH2); MS (FAB): 338(M+).
Пример 11
Синтез 3-метил-3-(4-хлоранилино)-1-(4-метилфенил)-1-ацетона

4,84 г (0,11 моль) ацетальдегида, 12,76 г (0,1 моль) 4-хлоранилина, 150 мл абсолютного спирта вносили в реакционный сосуд. После перемешивания смеси при комнатной температуре в течение 5 минут в реакционный сосуд вносили 13,42 г (0,1 моль) 4-метилацетофенона и каталитическое количество концентрированной соляной кислоты, затем реакцию проводили в течение 16 часов при перемешивании при комнатной температуре. После завершения реакции отделившийся осадок отфильтровывали и промывали абсолютным спиртом. Образовавшийся твердый осадок суспендировали в 120 мл абсолютного спирта и перемешивали в течение 1 часа при комнатной температуре. Раствор нейтрализовали с помощью насыщенного NaHCO3 до щелочного значения, отфильтровывали и осадок на фильтре промывали с помощью небольшого количества абсолютного спирта. Неочищенный продукт перекристаллизовывали из абсолютного спирта для получения 22,45 г твердого вещества в виде порошка. Выход составил 78,0%.
1Н-ЯМР (в СDCl3): 7,81 (2Н, d, J=8,4 Hz, Ar-H), 7,30 (2H, d, J=8,4 Hz, Ar-H), 7,05 (2H, d, J=8,6 Hz, Ar-H), 6,47 (2H, d, J=8,6 Hz, Ar-H), 4,75 (1H, m, CH), 3,43 (2H, t, J=7,4 Hz, CH2), 2.40 (3H, s, СН3), 2,26 (3H, d, J=6,4 Hz, СН3); MS (FAB): 288(M+H).
Пример 12
Синтез 3-изопропил-3-(4-хлоранилино)-1-(4-метилфенип)-1-ацетона

7,30 г (0,1 моль) изобутиральдегида, 12,76 г (0,1 моль) 4-хлоранилина, 150 мл абсолютного спирта вносили в реакционный сосуд. После перемешивания смеси при комнатной температуре в течение 5 минут в реакционный сосуд вносили 13,42 г (0,1 моль) 4-метилацетофенона и каталитическое количество концентрированной соляной кислоты, затем реакцию проводили в течение 20 часов при перемешивании при комнатной температуре. После завершения реакции отделившийся осадок отфильтровывали и промывали абсолютным спиртом. Образовавшийся твердый осадок суспендировали в 150 мл абсолютного спирта и перемешивали в течение 1 часа при комнатной температуре. Раствор нейтрализовали с помощью насыщенного NaHCO3 до щелочного значения, отфильтровывали и осадок на фильтре промывали с помощью небольшого количества абсолютного спирта. Неочищенный продукт перекристаллизовывали из абсолютного спирта для получения 22,11 г твердого вещества в виде порошка. Выход составил 70,0%.
1Н-ЯМР (в СDСl3): 7,82 (2H, d, J=8,4 Hz, Ar-H), 7,28 (2H, d, J=8,4 Hz, Ar-H), 7,02 (2H. d, J=8,8 Hz, Ar-H), 6,51 (2H, d, J=8,8 Hz, Ar-H), 4,75 (1H, m, CH), 3,43 (2H, m, CH2), 2,34 (3Н, s, СН3), 1,81 (1Н, m, CH), 0,98 (6Н, d, J=6,4 Hz, 2СН3); MS (FAB): 316(M+H).
Тестирование биологической активности
1. Материалы и оборудование
1.1 Плазмида и клеточные линии: плазмиду, экспрессирующую андрогенный рецептор, и плазмиду, экспрессирующую репортерный ген люциферазы, конструировали в Национальном центре Китая по скринингу лекарственных препаратов; клеточные линии рака молочной железы человека MDA-MB-453 и клеточные линии рака предстательной железы человека LNCaP приобретали у АТСС, США (пер., ATCC – Американская коллекция типовых культур).
1.2 Реагенты: эмбриональная бычья сыворотка (FBS, GIBCO/BRL, США); эмбриональная бычья сыворотка, обработанная активированным углем, покрытым декстраном (CD-FBS. Hydone, США): среды DMEM и RPMI1640 (GIBCO/BRL, США); среда IМЕМ (Bioresource, США), набор для люциферазного репортерного анализа (Promega Corporation, США); реактив Fugene6 (Rocheltd., США); [3H]-дигидротестостерон (DHT, Amersham, Великобритания); сцинтилляционная жидкость (SuperMix , PerkinElmer, США); белок-рецептор андрогенов представлял собой продукт экспрессии гена андрогенного рецептора человека, экспрессированного в бакуловирусной системе экспрессии в клетках насекомых.
1.3. Оборудование: Многофункциональный ридер Envision2101 Multilabel Reader PerkinElmer, США); СО2-инкубатор (Forma, США); мульти-детектор Wallac MicroBeta® TriLux 1450 (PerkinElmer, USA); ридер для микропланшет VERSAmax Microplate Reader (Molecular Devices, США).
2. Экспериментальные методы и результаты
2.1 Тестирование рецептор-связывающей активности
Растворы дигидротестостерона (DHT) и каждого производного изобретения, представленные в табл.1, готовили с ДМСО, и градиент концентраций DHT составлял последовательно 0; 0,3; 1; 3; 10; 30; 100 нМ, и градиент концентраций производных составлял 0: 0,128; 0,64; 3,2; 16; 80; 400; 2000 нМ в серийном порядке. Пять мкл из каждого разведения DHT и тестируемого производного в различных концентрациях вносили соответственно в каждую лунку планшетов для микротитрования. Белок-рецептор андрогенов добавляли к буферу для анализа (25 мМ NaH2PO4, 10% глицерин, 10 мМ NaMoO4, 10 мМ KF, pH 7,5) снабженным ингибитором протеаз, например 1 мкг/мкл апротинина и леупептина, и т.д, [3Н]DНТ добавляли до получения конечной концентрации 5 нМ. Затем полученную смесь вносили в планшеты в объеме 195 мкл на каждую лунку немедленно после тщательного перемешивания и инкубировали в течение ночи при 4°С. После окончания инкубирования 50 мкл раствора гидроксиапатита (НА) (25% НА, мМ Na3PO4, pH,4) прибавляли в каждую лунку каландра, перемешивали постоянным встряхиванием и инкубировали в течение 10 минут, в течение периода смесь встряхивали один раз каждые 3 минуты. Центрифугирование проводили при 2500 об/мин в течение 3 минут, супернатант отсасывали, а осадок оставляли. Двести мкл буфера для анализа добавляли в каждую лунку, осадку предоставляли возможность встряхивания как можно дольше и снова проводили центрифугирование в течение 3 минут. Супернатант отсасывали, а осадок оставляли. Центрифугирование повторяли еще раз, супернатант отсасывали, а осадок оставляли. 300 мкл сцинтилляционной жидкости прибавляли в каждую лунку. Смесь перемешивали постоянным встряхиваниеми, просчитывали с помощью Wallac MicroBeta® TriLux 1450. В результате девять производных имели сходные аффинности к андрогенному рецептору в виде положительного контроля DHT, и их значения IC50 находились ниже 10 нМ (смотри Таблицу 1).
2.2 Тестирование экспрессии репортерного гена
Клетки MDA-MB-453 культивировали в среде IМЕМ, содержащей 10% FBS и 2 мМ L-глутамина. Вышеуказанную среду заменяли средой IМЕМ, содержащей 5% CD-FBS (пep., CD-FBS – эмбриональная бычья сыворотка, обработанная активированным углем, покрытым декстраном), за день до трансфекции, и реагент Fugene6 использовали для трансфекции. Векторы с репортерным геном и Fugene6 равномерно смешивали в соотношении 1:3 и прибавляли по каплям к клеткам. Клетки культивировали при 37°С в 5% СО2 в течение 6 часов. После диссоциации клеток их высевали в 96-луночный планшет в составе 20000 клеток/мкл/лунку и культивировали при 37°С в течение 2 часов вместе со средой IМЕМ, содержащей 5% CD-FBS. К клеткам прибавляли тестируемые производные, концентрации бикалютамида составляли 0; 0,256; 1,28; 6,4; 32: 160; 800; 4000 нМ в серийном порядке, и концентрации производного MWW6032 составляли 0; 2,56; 12.8; 64; 320; 1600; 8000; 40000 нМ в серийном разведении. После культивирования клеток в течение 24 часов использовали набор для люциферазного репортерного анализа для обнаружения ферментативной активности, для оценки фармакологической активности производных по отношению к андрогенному рецептору. Данные демонстрируют на фиг.2, и производное MWW6032 обнаруживало достоверную антагонистическую активность по отношению к андрогенному рецептору.
2.3 Тестирование пролиферации клеток рака предстательной железы
Клетки LNCaP культивировали в среде RPMI1640, содержащей 10% FBS и 2 мМ L-глутамин. Вышеуказанную среду заменяли средой RPMI1640, содержащей 5% CD-FBS за день до эксперимента. Как только рост клеток достигал конфлюентности 90%, клетки вносили в 96-луночный планшет в составе 4000 клеток/90 мкп/лунку после диссоциации клеток трипсином и культивировали при 37°С в течение ночи. Тестируемые производные прибавляли к клеткам при 10 мкл/клетку после разведения до определенных концентраций. Концентрации бикалютамида составляли 0; 0,64; 3,2; 16; 80; 400; 2000 нМ в серийной последовательности, и концентрации производного MWW6032 составляли 0; 5,12; 25,6; 128; 640; 3200; 16000 нМв серийной последовательности. DHT (5 нМ конечная концентрация) прибавляли к клеткам в виде агониста после инкубации клеток в течение 30 минут. Клетки культивировали при 37°С в течение 6 дней и среду, содержащую производные и DHT, меняли один раз на третий день. Раствор МТТ (5 мг/мл) прибавляли в количестве 20 мкл/лунку до завершения культивирования. Значения абсорбции света при 560 нм измеряли при референсной длине волны 690 нм. Экспериментальные данные демонстрируют на фиг.3. Производное обладает достоверным ингибирующим эффектом на пролиферацию клеток LNCaP, стимулированных DHT, и значение IC50 составляло 2,28 мкМ.
2.4. Обнаружение антагонистической активности производного по отношению к андрогенному рецептору с использованием крыс
24 самца SD-крыс (пер., крысы породы Спраг Доули) 3-недельного возраста случайным образом делили на 6 групп, в которых были: контрольная группа (группа 1), группа тестостерон (группа 2), группа тестостерон (Т) + бикалютамид (касодекс) 25 (группа 3), группа тестостерон (Т) + бикалютамид (касодекс) 50 (группа 4), группа тестостерон (Т) + MWW6032 (группа 5), группа Sham (пер., контрольная группа с “ложным воздействием”) (группа 6) соответственно. Затем крыс подвергали аккомодации в течение 1 недели, группе Sham проводили ложную операцию, в остальных пяти группах у крыс иссекали яички (кастрированные). Через восемь недель после операции крыс группы с тестостерономинъецировали подкожно с помощью 0,25 мг/кг тестостерона пропионата ежедневно; группу тестостерон + Касодекс 25 инъецировали подкожно (s.c.) с помощью 0,25 мг/кг тестостерона пропионата и внутрижелудочно (р.о.) вводили 25 мг/кг Касодекс ежедневно; группе тестостерон + Касодекс 50 вводили подкожно 0,25 мг/кг тестостерона пропионата (s.c.) и 50 мг/кг Касодекса внутрижелудочно (р.о.) ежедневно; группе тестостерон+MWW6032 подкожно вводили 0,25 мг/кг тестостерона пропионата и интраперитонеально инъецировали 250 мг/кг производного MWW6032 ежедневно. Крысам последовательно вводили препараты в течение 10 дней. Через двадцать четыре часа после последнего введения крыс скарифицировали, извлекали их предстательные железы и семенные пузырьки для измерения сырого веса и сухого веса. Различия между различными группами сравнивали после поправки на массу тела (BW). Результаты экспериментов приводят в табл.2 и 3 на фиг.4 и 5. Подкожно введенный тестостерона пропионат (0,25 мг/кг) мог производить видимую агонистическую активность у кастрированных крыс 11-недельного возраста; мг/кг Касодекса могли существенно противодействовать действию тестостерона пропионата; все массы предстательных желез (PW) и массы семенных пузырьков (SVW) крыс в группе с производным MWW6032 были ниже, чем в группе с тестостерона пропионатом, указывающие на его антагонистическую активность по отношению к АR in vivo.
Таблица 2 Сырой вес предстательной железы и семенного пузырька у кастрированных крыс после антиандрогенной терапии
группы группы |
Наименование группы |
Масса простаты/масса тела × 100 |
Масса семенного пузырька/масса тела × 100 |
| 1 |
Контроль |
0,14±0,03 |
0,06±0,03 |
| 2 |
Тестостерон |
1,49±0,28 |
0,97±0,54 |
| 3 |
Тестостерон + Касодекс 25 |
0,30±0,04 |
0,11±0,03 |
| 4 |
Тестостерон + Касодекс 50 |
0,22±0,03 |
0,07±0,04 |
| 5 |
Тестостерон + MWW6032 |
1,12±0,30 |
0,69±0,22 |
| 6 |
Контрольная группа с “ложным воздействием” |
3,03±0,56 |
2,52±0,34 |
 |
Таблица 3 Сухой вес предстательной железы и семенного пузырька у кастрированных крыс после антиандрогенной терапии |
группы |
Наименование группы |
Масса простаты/масса тела × 1000 |
Масса семенного пузырька/ масса тела × 1000 |
| 1 |
Контроль |
0,0048±0,026 |
0,016±0,006 |
| 2 |
Тестостерон |
0,307±0,065 |
0,212±0,121 |
| 3 |
Тестостерон + Касодекс 25 |
0,073±0,009 |
0,022±0,005 |
| 4 |
Тестостерон + Касодекс 50 |
0,055±0,006 |
0,020±0,006 |
| 5 |
Тестостерон + MWW6032 |
0,217±0,055 |
0,127±0,040 |
| 6 |
Контрольная группа с “ложным воздействием” |
0,717±0,188 |
0,623±0,102 |
3. Заключение экспериментов
(1) Производные WMW6003, 6015, 6016, 6021, 6022, 6030, 6031, 6032, 6033 демонстрировали высокие аффинности связывания с андрогенным рецептором со значениями IC50 ниже 10 нМ, аналогичные значениям для DHT.
(2) Вышеуказанные производные (например, MWW6003 и MWW6032) обнаруживали антагонистические активности по отношению к андрогенному рецептору со значениями IC50, близкими к значениями для антагониста андрогенного рецептора бикалютамида.
(3) Производное MWW6032 обнаруживало ингибиторные эффекты на андрогензависимую пролиферацию клеточных линий рака предстательной железы LNCaP, и значение IC50 составляло 2,28 мкМ, давая возможность предположить его потенциальное применение при лечении рака предстательной железы.
(4) В модели животных кастрированных крыс производное MWW6032 демонстрировало ингибирующий профиль подавления роста предстательной железы и семенных пузырьков, индуцированного добавлением экзогенного тестостерона пропионата.
Формула изобретения
1. Класс синтетических производных, имеющих следующую структуру или их фармацевтически приемлемые соли:
, , ,
, 
или 
2. Производные или их фармацевтически приемлемые соли по п.1, отличающиеся тем, что фармацевтически приемлемые соли являются солями производных с соляной кислотой, бромистоводородной кислотой, азотной кислотой, серной кислотой, фосфорной кислотой, муравьиной кислотой, уксусной кислотой, пропионовой кислотой, бензойной кислотой, малеиновой кислотой, фумаровой кислотой, янтарной кислотой, винной кислотой, лимонной кислотой, алкилсульфоновой кислотой или арилсульфоновой кислотой.
3. Фармацевтическая композиция, обладающая способностью модулятора андрогенного рецептора, содержащая одно или несколько терапевтически эффективных количеств производных или их фармацевтически приемлемых солей по п.1.
4. Фармацевтическая композиция по п. 3, отличающаяся тем, что дополнительно содержит один или несколько фармацевтически приемлемых носителей или наполнителей.
5. Фармацевтическая композиция по п.3 или 4, отличающаяся тем, что производные или их фармацевтически приемлемые соли в виде активного компонента составляют 50-99,5% от общей массы.
6. Применение класса производных, имеющих следующую структуру или их фармацевтически приемлемые соли для приготовления лекарственных средств, модулирующих нестероидный андрогенный рецептор, для предотвращения и/или лечения симптомов или заболеваний, таких как гиперплазия простаты, рак предстательной железы, гирсутизм, тяжелая андрогензависимая алопеция или акне:
,  ,
, , ,
, или .
РИСУНКИ
|
|