|
|
(21), (22) Заявка: 2007114915/09, 20.04.2007
(24) Дата начала отсчета срока действия патента:
20.04.2007
(43) Дата публикации заявки: 27.10.2008
(46) Опубликовано: 27.12.2009
(56) Список документов, цитированных в отчете о поиске:
WO 2007024118 A1, 01.03.2007. RU 2260829 C2, 20.09.2005. RU 2097940 C1, 27.11.1997. RU 2221350 C2, 10.01.2004. US 5969850 A, 19.10.1999. JP 7236164, 05.09.1995. WO 205069269 A1, 28.07.2005.
Адрес для переписки:
117461, Москва, Новые Черемушки, 32А-4-80, В.А. Ежову
|
(72) Автор(ы):
Ежов Василий Александрович (RU)
(73) Патентообладатель(и):
Ежов Василий Александрович (RU)
|
(54) СПОСОБ НАБЛЮДЕНИЯ СТЕРЕОИЗОБРАЖЕНИЙ С ПОЛНЫМ РАЗРЕШЕНИЕМ ДЛЯ КАЖДОГО РАКУРСА И УСТРОЙСТВО ДЛЯ ЕГО РЕАЛИЗАЦИИ
(57) Реферат:
Изобретение относится к стереоскопической видеотехнике и может быть использовано для создания стереоскопических телевизоров и мониторов с наблюдением стереоизображения как без очков с сохранением возможности наблюдения моноскопических изображений. Технический результат заключается в расширении функциональных возможностей за счет реализации безочкового наблюдения стереоизображения. Технический результат достигается тем, что в способе и устройстве используются формирователи эллиптической поляризации светового потока с пространственно-периодической поляризационной модуляцией, параметры которой определяются обратными тригонометрическими функциями вида arctg, arcctg, arccos, arcsin (либо их комбинаций) от алгебраических соотношений между квадратами амплитуд сигналов временной развертки изображений, что позволяет с помощью пространственно-периодического поляризационного селектора выделить изображения левого и правого ракурсов в левой и правой зонах наблюдения. 2 н. и 6 з.п. ф-лы, 28 ил.
Изобретение относится к технике наблюдения объемных изображений, точнее, к стереоскопической видеотехнике, и может быть использовано для создания стереоскопических телевизоров и компьютерных мониторов с возможностью наблюдения стереоизображения как без очков, так и с помощью пассивных (некоммутируемых) стереоочков с сохранением возможности наблюдения моноскопических изображений.
Известен способ [1] безочкового наблюдения стереоизображений, заключающийся в том, что в группах нечетных и четных столбцов матрично-адресуемого оптического модулятора или генератора формируют световой поток с модулированной интенсивностью света, прямо пропорциональной величинам  интегральной яркости соответственно левого L и правого R ракурсов стереоизображения, с помощью пространственно-периодической модуляции длины оптического пути света, создаваемой растром цилиндрических линз, отклоняют парциальные световые потоки, соответствующие группам нечетных и четных столбцов поперечного сечения, в левую и правую зоны наблюдения, где m=1, 2, , М, n=1, 2, , N, а М и N – число строк и столбцов в матричном оптическом модуляторе (генераторе).
Достоинством известного способа является возможность просмотра стереоизображения без применения очков, что обеспечивает комфорт для наблюдателя. Основным недостатком известного способа является сниженное в 2 раза, до величины , пространственное разрешение в каждом из ракурсов относительно полного разрешения М×N оптического модулятора. При этом снижение числа элементов в воспроизводимом изображении происходит только вдоль одной из координат изображения, поскольку изображению каждого ракурса отводится столбцов при неизменном числе М строк в воспроизводимом изображении, что создает дополнительно проблему соблюдения требуемого соотношения сторон для изображения. Например, данным способом невозможно организовать с помощью ЖК дисплея с разрешением N×M=720×576 элементов (для систем PAL, SECAM) воспроизведение стереоизображения с тем разрешением 720×576 элементов, поскольку при этом разрешение упадет вдвое до для каждого ракурса, но также невозможно сохранить в каждом ракурсе требуемое исходным соотношением 4:3 сторон изображения, поскольку для изображения с 360×576 элементами это соотношение равно 2:3. Если же специально изготавливать матрично-адресуемые оптические модуляторы с нестандартным соотношением сторон 8:3 для параллельного воспроизведения двух ракурсов с соотношением 4:3 данным способом, то такой путь приведет к проблеме воспроизведения стандартных моноскопических (одноракурсных) изображений из-за несоблюдения уже для них требуемого соотношения 4:3 сторон. Эта проблема в совокупности с невозможностью электрического отключения действия растра обычных цилиндрических линз ведет к практической невозможности при использовании известного способа обеспечить совместимость с моноскопическим отображением, если к тому же учесть, что практически невозможно с целью просмотра моноскопического изображения временно удалять линзовый растр механическим путем (выполнять его съемным), поскольку каждый раз после такого удаления потребовалось бы выполнить точную юстировку пространственного положения линзового растра.
Известен способ [2] наблюдения стереоизображений с полным разрешением для каждого ракурса, заключающийся в том, что формируют световой поток с комплексной модуляцией амплитуды, за счет которой в mn-м элементе поперечного сечения светового потока совместно представлены интегральные яркости и mn-х элементов изображений левого L и правого R ракурсов трехмерной сцены, при этом параметры кодирующей эллиптической модуляции поляризации света заданы в виде обратных тригонометрических функций от алгебраических соотношений между и , где m=1, 2, , М, n=1, 2, , N, a M×N – число строк и столбцов в поляризационно-кодирующем оптическом модуляторе, и с помощью поляризационных фильтров, выполненных в форме пассивных стереоочков, сепарируют парциальные световые потоки изображений левого и правого ракурсов, направляя их в левую и правую зоны наблюдения.
Известно устройство [2] для наблюдения многоракурсных изображений с удвоенным разрешением в каждом ракурсе и возможностью моноскопического отображения, содержащее источник многоракурсного видеосигнала, электронный функциональный блок и расположенные последовательно на одной оптической оси электрически управляемый матрично-адресуемый поляризационно-кодирующий оптический модулятор и поляризационный селектор, выполненный в виде пассивных стереоочков, два окна которых содержат два поляризационных фильтра со взаимно ортогональными состояниями поляризации, при этом для mn-го элемента поляризационно-кодирующего оптического модулятора его передаточная характеристика определяется обратными тригонометрическими функциями от отношения линейных комбинаций и , где и – сигналы, квадраты амплитуд которых соответствуют величинам и mn-х элементов изображений левого и правого ракурсов, причем выход источника стереовидеосигнала подключен к электрическим входам поляризационно-кодирующего оптического модулятора и электронного функционального блока, выход которого подключен к входу поляризационного селектора, где m=1, 2, , М, n=1, 2, , N, a M×N – число строк и столбцов в поляризационно-кодирующем оптическом модуляторе.
Достоинством известных способа и устройства является использование полного пространственного разрешения M×N поляризационно-кодирующего оптического модулятора (генератора) для каждого из двух ракурсов стереоизображения, предъявляемых наблюдателю, несмотря на то, что оба ракурса воспроизводятся совместно (одновременно) на одном и том же экране. При этом для перехода к наблюдению моноскопического изображения достаточно снять стереоочки и переключить устройство в режим формирования моноскопического изображения.
Хотя использование стереоочков ведет к большой свободе перемещения наблюдателя (вследствие того, что зоны наблюдения, определяемые положениями окон стереоочков в этом случае, автоматически перемещаются вместе с наблюдателем), однако обязательное наличие стереоочков снижает комфортность наблюдения стереоизображения в известных способе и устройстве.
Целью изобретения является расширение функциональных возможностей способа и устройства за счет реализации безочкового наблюдения стереоизображения.
Поставленная цель в способе, заключающемся в том, что с помощью матрично-адресуемого поляризационно-кодирующего оптического модулятора или генератора формируют световой поток с комплексной модуляцией амплитуды, за счет которой в mn-м элементе поперечного сечения светового потока совместно представлены интегральные яркости и mn-х элементов изображений левого L и правого R ракурсов трехмерной сцены, при этом параметры кодирующей эллиптической модуляции поляризации света заданы в виде обратных тригонометрических функций от алгебраических соотношений между и , где m=1, 2, , М, n=1, 2, , N, а М×N – число строк и столбцов в поляризационно-кодирующем оптическом модуляторе, и с помощью фазового и/или поляризационного селектора сепарируют парциальные световые потоки, соответствующие левому и правому ракурсам, направляя их в левую и правую зоны наблюдения, достигается тем, что формируют на n-м столбце поляризационно-кодирующего оптического модулятора n-ю группу из первого и второго парциальных световых потоков, несущих информацию о n-х столбцах изображений соответственно левого и правого ракурсов, при этом параметры кодирующей эллиптической модуляции поляризации задают взаимно ортогональными как между двумя парциальными световыми потоками в n-й группе, так и между n-й и (n+1)-й группами парциальных световых потоков, с помощью фазового и/или поляризационного селектора осуществляют декодирование ракурсов в плоскости декодирования и последующую поляризационную фильтрацию светового потока, при этом плоскость декодирования разбивают на столбцы, оси симметрии которых расположены на пересечениях центральных осей парциальных световых потоков с одинаковыми параметрами кодирующей эллиптической модуляции поляризации, и в каждой паре смежных столбцов сдвигают фазу световой волны на разностную величину между смежными i и (i+1) столбцами плоскости декодирования, либо изменяют состояние поляризации световой волны с реализацией двух взаимно ортогональных изменений состояния поляризации для смежных i и (i+1) столбцов плоскости декодирования (g=1, 2 , i=1, 2, ).
Поставленная цель в устройстве, содержащем источник стереовидеосигнала, электронный функциональный блок и расположенные последовательно на одной оптической оси электрически управляемый матрично-адресуемый поляризационно-кодирующий оптический модулятор и поляризационный селектор, выходы которого оптически связаны с левой и правой зонами наблюдения, при этом для mn-го элемента поляризационно-кодирующего оптического модулятора его передаточная характеристика определяется обратными тригонометрическими функциями от отношения линейных комбинаций и , где и – сигналы, квадраты амплитуд которых соответствуют величинам и mn-х элементов изображений левого и правого ракурсов, причем выход источника стереовидеосигнала подключен к электрическим входам поляризационно-кодирующего оптического модулятора и электронного функционального блока, выход которого подключен к входу поляризационного селектора, где m=1, 2, , М, n=1, 2, , N, a M×N – число строк и столбцов в поляризационно-кодирующем оптическом модуляторе, достигается тем, что поляризационно-кодирующий оптический модулятор выполнен с возможностью реализации для каждой пары n-го и (n+1)-го столбцов двух взаимно ортогональных направлений оптической анизотропии рабочего вещества, а поляризационный селектор выполнен с столбцовой электрической адресацией слоя рабочего вещества с одинаковым начальным направлением оптической анизотропии для всего слоя при возможности реализации в каждой смежной паре столбцов двух взаимно ортогональных направлений оптической анизотропии рабочего вещества либо с столбцовой организацией слоя рабочего вещества, где смежным столбцам соответствуют взаимно ортогональные начальные направления оптической анизотропии вещества, а плоскость слоя рабочего вещества поляризационного селектора расположена на расстоянии d от плоскости слоя рабочего вещества поляризационно-кодирующего оптического модулятора, где , D – расстояние от поляризационно-кодирующего оптического модулятора до зон наблюдения, р – период расположения N столбцов поляризационно-кодирующего оптического модулятора, b – расстояние между центральными точками любых двух смежных зон наблюдения.
Реализация безочкового наблюдения стереоизображения в способе и устройстве обусловлена наличием пространственно периодической модуляции поляризации и/или фазы света (реализуемой с помощью поляризационного и/или фазового селектора с периодической структурой), ведущей к сепарации парциальных световых потоков, несущих изображения левого и правого ракурсов, в левую и правую зоны наблюдения.
Достоинством способа и устройства является полное разрешение стереоизображения в каждом ракурсе, равное полному разрешению M×N дисплея.
Достоинством первого частного варианта способа и устройства для его реализации является технологичность конструкции вследствие возможности использования трех одинаковых по структуре рабочего слоя оптических модуляторов на основе закрученной на 90° градусов ЖК структуры (twist-структуры) в нематическом жидком кристалле (ЖК) соответственно в качестве модулятора интенсивности света, формирователя эллиптической поляризации света и селектора поляризации. Дополнительным достоинством является улучшение качества изображения из-за возможности взаимной компенсации оптической дисперсии в формирователе эллиптической поляризации света и селекторе поляризации вследствие разного знака углов начального поворота плоскости поляризации (разного знака направления закрутки ЖК молекул в двух ЖК слоях).
Достоинством второго частного варианта способа и устройства для его реализации является улучшение качества изображения за счет взаимной компенсации оптической дисперсии в формирователе эллиптической поляризации света и селекторе поляризации вследствие оптического сопряжения необыкновенного луча, распространяющегося в слое рабочего вещества одного из них, с обыкновенным лучом, распространяющимся в слое рабочего вещества другого (из-за взаимной ортогональности директоров ориентации нематического ЖК в двух слоях рабочего вещества).
Достоинством третьего, четвертого и пятого частных вариантов устройства является повышенная оптическая эффективность, обусловленная использованием чисто фазовых кодирующих и декодирующих слоев рабочего вещества поляризационно-кодирующего оптического модулятора и фазового селектора, что ведет к достаточности использования всего двух поляризаторов для всей оптической схемы устройства – для начальной поляризации входного светового потока и анализа состояния поляризации выходного.
Сущность изобретения поясняется чертежами, на которых представлено:
Фиг.1-4 – иллюстрация осуществления способа.
Фиг.5 – первый частный вариант устройства и способа с поляризационно-кодирующим оптическим модулятором и декодирующим поляризационным селектором на эффекте управляемого поворота угла плоскости поляризации.
Фиг.6 – второй частный вариант устройства и способа с поляризационно-кодирующим модулятором и поляризационным селектором на эффекте управляемого двулучепреломления.
Фиг.7 – состояния поляризации на столбцах поляризационного кодирующего оптического модулятора для первого частного варианта устройства.
Фиг.8 – фрагмент фронтального изображения строки поляризационно-кодирующего оптического модулятора для первого частного варианта устройства.
Фиг.9 – фрагмент структурной схемы первого частного варианта устройства с иллюстрацией поляризационной селекции ракурсов.
Фиг.10 – пример конкретного выполнения поляризационного селектора в виде совокупности полосчатых линейных поляризаторов со взаимно ортогональными направлениями поляризации.
Фиг.11 – состояния поляризации на столбцах поляризационного кодирующего оптического модулятора для второго частного варианта устройства.
Фиг.12 – фрагмент фронтального изображения строки поляризационно-кодирующего оптического модулятора для второго частного варианта устройства.
Фиг.13 – фрагмент структурной схемы второго частного варианта устройства с иллюстрацией поляризационной селекции ракурсов.
Фиг.14-16 – пример конкретного выполнения поляризационного селектора в виде электрически адресуемого по столбцам слоя нематического жидкого кристалла (ЖК) с различными видами ЖК структуры.
Фиг.17 – состояния поляризации на столбцах поляризационного кодирующего оптического модулятора для третьего частного варианта устройства.
Фиг.18 – фрагмент фронтального изображения строк поляризационно-кодирующего оптического модулятора и структурной схемы для третьего частного варианта устройства.
Фиг.19 – пример конкретного выполнения поляризационно-кодирующего модулятора в виде поляризатора и двух ЖК слоев – с эффектом управляемого поворота плоскости поляризации и с эффектом управляемого двулучепреломления.
Фиг.20 – состояния поляризации на столбцах поляризационного кодирующего оптического модулятора для четвертого частного варианта устройства.
Фиг.21 – фрагмент фронтального изображения строк поляризационно-кодирующего оптического модулятора и структурной схемы для четвертого частного варианта устройства.
Фиг.22 – пример конкретного выполнения поляризационно-кодирующего модулятора в виде поляризатора и двух ЖК слоев с эффектом управляемого поворота плоскости поляризации.
Фиг.23 – противоположные направления закрутки ЖК молекул в двух смежных ЖК слоях поляризационно-кодирующего оптического модулятора.
Фиг.24 – расположение цветных элементов в элементе поляризационно-кодирующего оптического модулятора.
Фиг.25 – состояния поляризации на столбцах поляризационного кодирующего оптического модулятора для пятого частного варианта устройства.
Фиг.26 – фрагмент фронтального изображения строк поляризационно-кодирующего оптического модулятора и структурной схемы для пятого частного варианта устройства.
Фиг.27 – пример конкретного выполнения поляризационно-кодирующего модулятора в виде поляризатора и двух ЖК слоев с эффектом управляемого двулучепреломления.
Фиг.28 – взаимно ортогональные направления ориентации ЖК молекул в двух смежных ЖК слоях поляризационно-кодирующего оптического модулятора.
Способ наблюдения стереоизображений (фиг.1) заключается в том, что с помощью матрично-адресуемого поляризационно-кодирующего оптического модулятора (генератора) 1 формируют световой поток с комплексной модуляцией амплитуды, при которой в mn-м элементе поперечного сечения светового потока совместно представлены интегральные яркости и mn-х элементов изображений левого L и правого R ракурсов трехмерной сцены, при этом параметры кодирующей эллиптической модуляции поляризации света заданы в виде обратных тригонометрических функций от алгебраических соотношений между и , где m=1, 2, , М, n=1, 2, , N, а М×N – число строк и столбцов в поляризационно-кодирующем оптическом модуляторе, на n-м столбце которого формируют n-ю группу из первого и второго парциальных световых потоков, несущих информацию о n-х столбцах изображений соответственно левого и правого ракурсов, при этом параметры кодирующей эллиптической модуляции поляризации задают взаимно ортогональными как между двумя парциальными световыми потоками в n-й группе, так и между n-й и (n+1)-й группами парциальных световых потоков, с помощью фазового и/или поляризационного декодера 2 осуществляют декодирование ракурсов в плоскости Р-Р’ декодирования, а с помощью поляризационного фильтра 2P – поляризационную фильтрацию светового потока, при этом плоскость декодирования разбивают на столбцы, оси симметрии которых расположены на пересечениях центральных осей парциальных световых потоков с одинаковыми параметрами кодирующей эллиптической модуляции поляризации, и в каждой паре смежных столбцов сдвигают фазу световой волны на разностную величину между смежными i и (i+1) столбцами плоскости декодирования, либо изменяют состояние поляризации световой волны с реализацией двух взаимно ортогональных изменений состояния поляризации для смежных i и (i+1) столбцов плоскости декодирования (g=1, 2 , i=1, 2, ).
Левый EL и правый ER глаза наблюдателя расположены соответственно в левой SL и правой SR зонах наблюдения.
С помощью первого столбца поляризационно-кодирующего оптического модулятора 1 получают модулированный световой поток , состоящий из двух парциальных световых потоков 1(R) и 1(L) (фиг.2), первый из которых, соответствующий изображению первого столбца правого ракурса, поляризован в вертикальном направлении (ортогонально плоскости чертежа), чему соответствует условное обозначение верхним регистром (R), а второй, соответствующий изображению первого столбца левого ракурса, поляризован в горизонтальном направлении (в плоскости чертежа), чему соответствует условное обозначение нижним регистром (L). Аналогично, с помощью второго столбца получают модулированный световой поток , состоящий из двух парциальных световых потоков 2(L) и 2(R), первый из которых, соответствующий изображению второго столбца левого ракурса, полязован в вертикальном направлении, а второй, соответствующий изображению второго столбца правого ракурса, поляризован в горизонтальном направлении. Парциальные световые потоки 1(L), 3(L) и 2(R), 4(R) попадают соответственно в левую SL и правую SR зоны наблюдения без изменения первоначального горизонтального направления поляризации, поскольку эти световые потоки проходят столбцы плоскости декодирования, которые не оказывают влияния на поляризацию. Парциальные световые потоки 1(R), 3(R), и 2(L), 4(L), попадают соответственно в левую SL и правую SR зоны наблюдения за счет изменения первоначального направления поляризации с вертикального на горизонтальное под действием 90°-х ротаторов поляризации, показанных условно в виде элементов поляризационного декодера 2 и установленных на пересечениях осей данных световых потоков в плоскости Р-Р’ пространственного декодирования. Функция поляризационного фильтра 2P (показанного для определенности в виде линейного поляризатора с горизонтальным направлением поляризации) состоит в пропускании парциальных световых потоков только с горизонтальным направлением поляризации и в задержке всех перекрестных световых потоков с вертикальным направлением поляризации после прохождения элементов поляризационного селектора 2. Подробнее фильтрация перекрестных световых потоков иллюстрирована фиг.3 – в увеличенном масштабе показана режекция парциальных световых потоков , и , вследствие их вертикальной (относительно плоскости чертежа) ориентации линейной поляризации при падении на линейный поляризатор 2Р, что не позволяет им распространяться в направлении правой SR (левой SL) зоны наблюдения.
Геометрия пространственной фильтрации для полной апертуры парциальных световых потоков представлена на фиг.4.
Устройство (фиг.5, 6) содержит источник 3 стереовидеосигнала, электронный функциональный блок 4 и расположенные последовательно на одной оптической оси электрически управляемый матрично-адресуемый поляризационно-кодирующий оптический модулятор 1 и поляризационный селектор 2, выходы которого оптически связаны с левой SL и правой SR зонами наблюдения, при этом выход источника 3 двухракурсного видеосигнала подключен к электрическим входам поляризационно-кодирующего оптического модулятора 1 и электронного функционального блока 4, выход которого подключен к электрическим входам поляризационного селектора 2, а для mn-го элемента поляризационно-кодирующего оптического модулятора его передаточная характеристика определяется обратными тригонометрическими функциями от отношения линейных комбинаций и , где и – сигналы, квадраты амплитуд которых соответствуют величинам и mn-х элементов изображений левого и правого ракурсов, где m=1, 2, , М, n=1, 2,.., N, a M×N – число строк и столбцов в поляризационно-кодирующем оптическом модуляторе 1, который выполнен с возможностью реализации для каждой пары n-го и (n+1)-го столбцов двух взаимно ортогональных направлений оптической анизотропии рабочего вещества. Поляризационный селектор 2 (фиг.6) выполнен в виде последовательно оптически связанных фазового и/или поляризационного декодера 2F и поляризационного фильтра 2Р. Поляризационный декодер 2F выполнен с столбцовой электрической адресацией слоя рабочего вещества с одинаковым начальным направлением оптической анизотропии для всего слоя при возможности реализации в каждой смежной паре столбцов двух взаимно ортогональных направлений оптической анизотропии рабочего вещества либо с столбцовой организацией слоя рабочего вещества, где смежным столбцам соответствуют взаимно ортогональные начальные направления оптической анизотропии вещества. Плоскость слоя рабочего вещества поляризационного декодера 2F расположена на расстоянии d от плоскости слоя рабочего вещества поляризационно-кодирующего оптического модулятора, где , D – расстояние от поляризационно-кодирующего оптического модулятора до зон наблюдения, р – период расположения N столбцов поляризационно-кодирующего оптического модулятора, b – расстояние между центральными точками любых двух смежных зон наблюдения.
В первом частном варианте устройства (фиг.5) поляризационно-кодирующий оптический модулятор 1 выполнен в виде последовательно расположенных модулятора 1J интенсивности света и поляризационно-кодирующего модулятора 1 элиптической поляризации света, который включает в себя по крайней мере один слой рабочего вещества с эффектом управляемого поворота плоскости поляризации на угол , а поляризационный селектор 2 выполнен в виде управляемого линейного поляризатора с эффектом управляемого поворота плоскости поляризации на угол . Любой mn-й элемент модулятора 1J интенсивности света оптически связан с соответствующим mn-м элементом кодирующего модулятора 1 элиптической поляризации света. Коэффициент Тmn оптического пропускания модулятора lJ интенсивности света для его mn-го элемента определяется выражением

где и – среднеквадратичные значения сигналов, соответствующие яркостям и mn-х элементов изображений левого и правого ракурсов, т.е.

где с’ – константа пропорциональности. Сигналы и получают, например, посредством фотоэлектрической регистрации интегральной яркости mn-то элемента левого ракурса и интегральной яркости mn-го элемента правого ракурса (например, с помощью соответствующих фоточувствительных элементов в апертурах двух видеокамер, установленных в двух разных точках съема информации для получения изображений двух – левого и правого – ракурсов трехмерной сцены). При условии (2) результирующие световые потоки и , исходящие от соответствующих элементов поляризационно-кодирующего оптического модулятора 1, линейно связаны со значениями яркостей и соответствующих изображений mn-х элементов левого и правого ракурсов отображаемой трехмерной сцены.
Поляризационная характеристика  mn модулятора 1 элиптической поляризации света для его нечетных (1, 2, , 2n-1, ) столбцов определяется выражением

а для четных (1, 2, , 2n, ) столбцов – выражением

Поляризационная характеристика mn определяет значение угла , на который поворачивается плоскость поляризации света после прохождения mn-го элемента модулятора 1 элиптической поляризации света.
Во втором частном варианте устройства (фиг.6) кодирующий модулятор 1 элиптической поляризации света включает в себя по крайней мере один слой слой рабочего вещества с эффектом управляемого двулучепреломления с возможностью создания фазового сдвига между обыкновенным и необыкновенным лучами, а поляризационный селектор 2 выполнен виде последовательно расположенных фазового декодера 2F с эффектом управляемого двулучепреломления и линейного поляризатора 2P, при этом фазовый декодер 2F выполнен с возможностью создания фазового сдвига величиной в его нечетных столбцах и с нулевым значением фазового сдвига в четных столбцах. Коэффициент Tmn оптического пропускания модулятора 1J интенсивности света определяется выражением (1), а поляризационная характеристика модулятора 1 элиптической поляризации света для его нечетных столбцов определяется выражением

а для четных столбцов – выражением

Для первого частного варианта устройства на фиг.5 стрелками условно показаны взаимно ортогональные направления линейной поляризации, соответствующие выражениям (3) и (4), вдоль одной строки поляризационно-кодирующего модулятора 1 эллиптической поляризации, каждый адресуемый элемент которого выполнен с эффектом поворота плоскости поляризации. Фиг.6 иллюстрирует для второго частного варианта устройства взаимно ортогональные состояния эллиптической поляризации для одной строки поляризационно-кодирующего модулятора 1 , каждый адресуемый элемент которого выполнен с эффектом управляемого двулучепреломления. На фиг.7 показана карта направлений линейной поляризации для всей апертуры поляризационно-кодирующего модулятора 1 в первом частном варианте устройства, а на фиг.8 и 9 – состояния поляризации на одной строке поляризационно-кодирующего модулятора 1 и соответствующее сечение компонентов первого частного варианта устройства плоскостью, параллельной оптической оси устройства и проходящей через данную строку. Конкретный пример выполнения поляризационного селектора 2 – в виде полосчатой (параллельной столбцам) структуры 2S линейных поляризаторов со взаимно ортогональными направлениями поляризации в смежных столбцах (фиг.10).
Для второго частного варианта устройства на фиг.11 показано состояние поляризации в апертуре поляризационно-кодирующего оптического модулятора 1 , соответствующее выражениям (5), (6), фиг.12 иллюстрирует ориентацию эллиптической поляризации на одной строке последнего, на фиг.13 показано сечение компонентов второго частного варианта устройства плоскостью, параллельной оптической оси устройства и проходящей через указанную строку. Примеры конкретного выполнения слоя рабочего вещества кодирующего модулятора 1 эллиптической поляризации света с эффектом управляемого двулучепреломления – на основе ЖК слоя 5 (фиг.14), расположенного между стеклянными подложками 6, 7 и электрически адресуемого по столбцам за счет приложения разности потенциалов
Е=Е0 между полосчатым электродом 8 и общим электродом 9, потенциал которого равен 0, при этом конкретно ЖК слой 7 выполнен в виде слоя нематического ЖК с гомогенной структурой (фиг.14) для ЖК с отрицательной диэлектрической анизотропией, либо со сверхзакрученной (supertwist) структурой (фиг.15), либо с гомеотропной структурой (фиг.16) для ЖК с отрицательной диэлектрической анизотропией. Пример конкретного выполнения слоя рабочего вещества поляризационно-кодирующего модулятора 1 элиптической поляризации света с эффектом управляемого поворота плоскости поляризации – в виде электрически адресуемого по столбцам слоя нематического ЖК с закрученной на 90° (twist) структурой (фиг.15).
В третьем частном варианте устройства (фиг.17-19) поляризационно-кодирующий оптический модулятор 1 выполнен в виде последовательно оптически связанных оптического модулятора 1 с эффектом управляемого поворота плоскости поляризации и фазового оптического модулятора 1 с эффектом управляемого двулучепреломления (фиг.18), которые расположены между двумя линейными поляризаторами 10 и 2P. Конкретно поляризационно-кодирующий оптический модулятор 1 и фазовый оптический модулятор 1 выполнены соответственно в виде электрически матрично-адресуемых слоев 11 и 12 нематического ЖК с положительной диэлектрической анизотропией (фиг.19), первый из которых представляет из себя закрученную (twist) структуру, а второй – гомогенно ориентированную структуру.
В четвертом частном варианте устройства (фиг.20-22) поляризационно-кодирующий оптический модулятор 1 выполнен в виде двух последовательно оптически связанных оптических модуляторов и (фиг.21) с эффектом управляемого поворота плоскости поляризации, которые расположены между двумя линейными поляризаторами 8 и 2P. В конкретном примере оптические модуляторы и выполнены соответственно в виде электрически матрично-адресуемых слоев 13 и 14 нематического ЖК с положительной диэлектрической анизотропией (фиг.22), представленных закрученными (twist) структурами, характеризующимися взаимно противоположными направлениями закрутки ЖК молекул (фиг.23).
В случае цветного отображения поляризационно-кодирующий оптический модулятор 1 содержит в каждом своем mn-м элементе группу из трех цветных элементов-фильтров Rmn, Gmn, Bmn (фиг.24), которые имеют индивидуальную электрическую адресацию по строкам или столбцам соответственно при вертикальном или горизонтальном мультиплексировании цветных элементов.
В пятом частном варианте устройства (фиг.25-28) поляризационно-кодирующий оптический модулятор 1 выполнен в виде двух последовательно оптически связанных оптических модуляторов и (фиг.26) с эффектом управляемого двулучепреломления, которые расположены между двумя линейными поляризаторами 10 и 2P. Конкретно оптические модуляторы и выполнены соответственно в виде электрически матрично-адресуемых слоев 15 и 16 нематического ЖК с положительной диэлектрической анизотропией (фиг.27), представленных гомеотропно ориентированными структурами, характеризующимися взаимно ортогональной начальной ориентацией ЖК молекул (фиг.28), что соответствует взаимной компенсации частотной дисперсии величины фазовых сдвигов 1 и 2 (показателей преломления и ) первого и второго ЖК слоев 15 и 16 вследствие того, что направления распространения необыкновенных лучей e1 и е2, отвечающих за создание фазовых сдвигов 1 и 2, пространственно разделены между собой (совпадают с направлениями распространения обыкновенных лучей о2 и о1 другого ЖК слоя), и разница между их начальными фазовыми сдвигами уже не содержит зависимости от длины волны света. Диэлектрическая анизотропия  ЖК слоя, определяемая условием , может быть как положительной  >0, так и отрицательной  <0 в зависимости от материала ЖК. ЖК молекулы с отрицательной  всегда ориентируются длинной осью вдоль приложенного электрического поля Е=Е0, а с положительной  – поперек поля, поэтому для реализации поворота ЖК молекул под действием внешнего электрического поля, ведущего к реализации электрического управления двулучепреломлением слоя ЖК, начальную ориентацию ЖК слоя в первом случае выбирают гомогенной (длинные оси ЖК молекул ориентированы в одном направлении параллельно стеклянным подложкам), во втором случае – гомеотропной (длинные оси ЖК молекул ориентированы ортогонально стеклянным подложкам). Одноименными осями эллипсоидов показателей преломления двух ЖК слоев являются оси, соответствующие одноименным показателям преломления (одноименными являются оси эллипсоидов двух ЖК слоев, соответствующие показателю ne преломления для необыкновенного луча или показателю no преломления для обыкновенного луча).
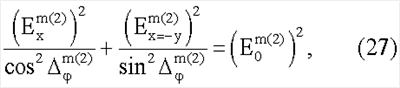
Устройство работает следующим образом. Работа первого частного варианта устройства и реализация первого частного варианта способа (фиг.5) рассматривается на примере выделения в левом SL и правом SR окнах наблюдения парциальных световых потоков от mn-го элемента второго столбца изображения, в котором совместно закодированы (в параметрах эллиптической модуляции) m-е элементы сигналов и левого и правого ракурсов в соответствии с выражением

определяющим угол поворота линейной поляризации в общем (для обоих и ) световом потоке, что соответствует частному случаю выражения (3). Параметры поляризационной модуляции, определяемой выражением (6), задаются поляризационно-кодирующим модулятором 1 эллиптической поляризации (фиг.5, 7, 8). При этом интенсивность указанного общего (суммарного) светового потока определяется выражением

и задается модулятором 1J интенсивности света.
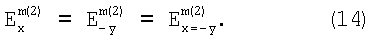
Поляризационный столбцовый элемент поляризационного декодера 2 , расположенный на пути следования светового потока от второго столбца поляризационно-кодирующего оптического модулятора 1 к правой зоне SR, характеризуется направлением поляризации вдоль оси Х (фиг.9), а поляризационный столбцовый элемент , расположенный на пути следования светового потока от второго столбца поляризационно-кодирующего оптического модулятора 1 к левой зоне SL, характеризуется направлением поляризации вдоль оси Y. Угол m(2) наклона линейной поляризации по отношению к осям Х и Y определяет соотношения между интенсивностями и света

Величины и интенсивности определяют величины интенсивностей парциальных световых потоков, поступающих от второго столбца поляризационно-кодирующего модулятора 1 соответственно в правую SR и левую SL зоны наблюдения. Из (7), (8) и (9) следует система уравнений

Из (10) следует, что и , что является доказательством того, что в левое и правое окна наблюдения поступают световые потоки с интенсивностями и , равными яркостям соответственно левого и правого ракурсов изображения, предъявляемых совместно на втором столбце поляризационно-кодирующего модулятора 1. Такой ход рассуждений справедлив для каждой из М строк изображения.
Работа второго частного варианта устройства и реализация второго частного варианта способа (фиг.6, 11-13) рассматривается для аналогичной первому частному варианту топологии распространения парциальной световых потоков от второго столбца поляризационно-кодирующего оптического модулятора 1 в левую SL и правую SR зоны наблюдения. При этом соблюдается соотношение (8), поскольку модулятор интенсивности 1J такой же, что и в первом частном варианте устройства. Кодирующая эллиптическая модуляция, формируемая фазовым оптическим модулятором 1 за счет создания фазового сдвига  m(2) между необыкновенным о обыкновенным лучами, определяется выражением

Для определения интенсивностей светового потока, попадающего в зоны наблюдения, применяется общее уравнение эллиптической поляризации

где и есть х- и y-компоненты электрического вектора световой волны,
E0 – амплитуда световой волны,  m(2) – сдвиг фазы между х- и y-компонентами электрического вектора световой волны, создаваемый управляемой задержкой между обыкновенным и необыкновенным лучами. Наличие линейного поляризатора 2P с ориентацией оси поляризации вдоль направления y=x (фиг.10, 11) создает для парциального светового потока, идущего от второго столбца поляризационно-кодирующего оптического модулятора 1 в правую SR зону наблюдения, следующее первое условие поляризационного анализа

Наличие дополнительной фазовой задержки величиной на пути парциального потока от того же столбца в левую зону наблюдения эквивалентно использованию для него вертикально оринтированного линейного поляризатора, т.е. создающее второе условие поляризационного анализа

Подстановка (13) и (14) в уравнение (12) и взятие отношения между результатами подстановки дает

где , Подстановка (11) в (15) дает результат , что с учeтoм (8) приводит к соотношениям и , что является доказательством, что в левое SL и правое SR окна наблюдения поступают световые потоки с интенсивностями и , равными яркостям соответственно левого и правого ракурсов изображения, предъявляемых совместно на втором столбце поляризационно-кодирующего модулятора 1, что справедливо для каждой из М строк изображения.
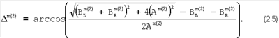
Работа третьего варианта устройства (фиг.6, 17-19) рассматривается для того же второго столбца изображения (n=2), что и в первом и втором частных вариантах устройства, при этом уравнение элиптической поляризации имеет вид

решения которого выводятся при условиях (13) и (14), что определяет величины интенсивностей световых потоков и , для левой SL и правой SR указанных зон наблюдения. Подстановка (13) в (16) дает следующее выражение

где величина определяется выражением

Подстановка (14) в (16) дает выражение

где величина определяется как

Отношение между (17) и (19) с учетом (10) дает

откуда искомое значение для
 m(2)

Суммирование (17) и (19) приводит к

где Am(2) определяется выражением

Из (23) находится значение m(2) фазового сдвига, которое с учетом (10) имеет вид

Значение угла m(2) поворота плоскости поляризации, определяемое из (22) и реализуемое с помощью оптического модулятора 1 (фиг.18), в совокупности со значением фазовой задержки m(2), определяемым из (25) и реализуемым с помощью оптического модулятора 1 , обеспечивает формирование соответствующих парциальных световых потоков (с интенсивностями, определяемыми значениями яркостей элементов второго столбца изображения левого и правого ракурсов) в левой SL и правой SR зонах наблюдения.
Работа четвертого варианта устройства (фиг.6, 20-23) описывается следующим видом уравнения эллиптической поляризации

где есть разность между углами поворота плоскости поляризации, реализуемыми первым и вторым оптическими модуляторами . Решение данного уравнения с учетом соотношений (10) дает искомые значения углов и (передаточных функций оптических модуляторов и ).
Работе пятого варианта устройства (фиг.6, 25-28) отвечает следующий вид уравнения эллиптической поляризации

где есть разность между величинами фазовых задержек соответственно в первом и втором оптических модуляторах с управляемым двулучепреломлением. Решение данного уравнения с учетом соотношений (10) дает искомые значения фазовых задержек и (передаточных функций оптических модуляторов и ).
Во всех частных вариантах устройства поляризационно-кодирующий оптический модулятор 1 может быть выполнен на основе как стандартных современных жидкокристаллических матриц (подавляющее большинство которых основано на использовании нематических ЖК структур с 90° – закруткой), так и с использованием разрабатываемых ЖК матриц на гомеотропных структурах с положительной диэлектрической анизотропией (VA-vertical alignment дисплеи) [3]. В качестве матрично-адресуемого генератора интенсивности света 1J могут быть использованы любые светодиодные дисплеи (в том числе на органических светодиодах – OLED), плазменные дисплеи.
В третьем, четвертом и пятом вариантах устройства в качестве поляризатора 8 возможно использование не только традиционных линейных поляризаторов, но циркулярных поляризаторов на основе холестерических пленок, позволяющих теоретически получить близкую к предельной оптическую эффективность преобразования неполяризованного света [4] (при действии линейного поляризатора на неполяризованный световой поток результирующая потеря интенсивности составляет около 50%), что ведет к максимизации оптической эффективности устройства в целом, поскольку все компоненты (кроме конечного поляризатора) в указанных частных вариантах устройства оказываются чисто фазовыми или оптически активными по действию на ориентацию плоскости поляризации, т.е. выполняют свою функцию без принципиального поглощения интенсивности поляризованного светового потока.
В качестве фазовых оптических модуляторов 1 целесообразно использовать, например, статические ЖК панели на основе -ячеек [5] или ячеек с поверхностной модой (surface mode) [6].
Изобретение является универсальным относительно вариантов наблюдения изображения. Возможно наблюдение стереоскопических изображений не только безочковым методом, но и при необходимости (если требуется наблюдение без ограничения положения пользователя в рамках допустимой угловой апертуры дисплея) с использованием пассивных поляризационных стереоочков (со взаимно ортогональными поляризационными фильтрами в окнах последних). Для этого электрически выключают фазовые или поляризационные неоднородности в поляризационном селекторе 2 и исключают действие поляризационного фильтра 2P (если не предусмотрена возможность электрического выключения его действия) механическим удалением этого фильтра (выполняемого в таком случае съемным), при этом не требуется его пространственная юстировка при обратной установке, поскольку он является пространственно однородным.
К моноскопическому отображению (без очков) переходят за счет электрического выключения фазовых или поляризационных неоднородностей в поляризационном селекторе 2 и подачей моноскопического изображения на поляризационно-кодирующий модулятор 1.
Возможно наблюдение двух совершенно различных моноскопических изображений двумя наблюдателями одновременно на одном дисплее с полным разрешением для каждого изображения (равным разрешению экрана дисплея), если вместо левого и правого ракурсов подавать указанные два изображения.
ЛИТЕРАТУРА
[1] Surman Ph. et al. The construction and performance of a multiviewer 3-D television display. – Journal of tht SID, 2005, v.13. 4, p.329.
[2] Gaudreau E.J., Bechamp M., MacNaughton В., Power V. Innovative stereoscopic display using variable polarized angle. – Proc. SPIE, 2006, v.6055, pp.605518-01-605518-12.
[3] Amimori I. et al. Deformed nanostructure of photo-induced biaxial cholesteric films and their application in VA-mode LCDs – Journal of the SID, 2005, v.13. 9, p.799.
[4] Lung-Shiang Luh L. et al. A broadband circularly polarized film. – Journal of the SID, 2003, v.11. 3, p.457.
[5] Ezhov V.A., Studentsov S.A. Volume (or stereoscopic) images on the screens of standard computer and television displays. – Proc. SPIE, 2005, v.5821, p.105.
[6] Lipton L., Berman A., Meyer L. Achromatic liquid crystal shutter for stereoscopic and other applications. – Патент США 4884876, опублик. 05.12.89.
Формула изобретения
1. Способ наблюдения стереоизображений с полным разрешением для каждого ракурса, заключающийся в том, что с помощью электрически управляемого матрично-адресуемого поляризационно-кодирующего оптического модулятора формируют световой поток с комплексной модуляцией амплитуды и поляризации, при которой в mn-м элементе поперечного сечения светового потока совместно представляют интегральные яркости и mn-х элементов изображений левого L и правого R ракурсов трехмерной сцены, а параметры кодирующей эллиптической модуляции поляризации света задают в виде обратных тригонометрических функций от алгебраических соотношений между и , где m=1, 2, , М, п=1, 2, , N, a M×N – число строк и столбцов в электрически управляемом матрично-адресуемом поляризационно-кодирующем оптическом модуляторе, и с помощью фазового и/или поляризационного селектора сепарируют парциальные световые потоки, соответствующие левому и правому ракурсу, направляя их в левую и правую зоны наблюдения, отличающийся тем, что формируют на n-м столбце электрически управляемого матрично-адресуемого поляризационно-кодирующего оптического модулятора n-ю группу из первого и второго парциальных световых потоков, несущих информацию о n-х столбцах изображений соответственно левого и правого ракурсов, при этом параметры кодирующей эллиптической модуляции поляризации задают взаимно ортогональными как между двумя парциальными световыми потоками в n-й группе, так и между n-й и (n+1)-й группами парциальных световых потоков, с помощью фазового и/или поляризационного декодера осуществляют декодирование ракурсов в плоскости декодирования и с помощью поляризационного фильтра – поляризационную фильтрацию светового потока, при этом плоскость декодирования разбивают на столбцы, оси симметрии которых расположены на пересечениях центральных осей парциальных световых потоков с одинаковыми параметрами кодирующей эллиптической модуляции поляризации, и сдвигают фазу световой волны на разностную величину между смежными i и (i+1) столбцами плоскости декодирования, либо изменяют состояние поляризации световой волны с реализацией двух взаимно ортогональных изменений состояния поляризации для смежных i и (i+1) столбцов плоскости декодирования (g=1, 2 , i=1,2, ).
2. Способ по п.1, отличающийся тем, что комплексную модуляцию амплитуды и поляризации светового потока осуществляют за счет модуляции интенсивности света с помощью электрически управляемого матрично-адресуемого оптического модулятора и за счет кодирующей эллиптической модуляции поляризации света с помощью электрически управляемого матрично-адресуемого оптического модулятора с эффектом управляемого поворота плоскости поляризации, при этом в n-м столбце электрически управляемого матрично-адресуемого оптического модулятора интенсивность света задают в соответствии с суммой и , а в нечетных 2n-1 и четных 2n столбцах электрически управляемого матрично-адресуемого оптического модулятора с эффектом управляемого поворота плоскости поляризации осуществляют поворот плоскости поляризации света на угол и угол , соответственно, а декодирование ракурсов осуществляют с помощью электрически управляемого адресуемого по столбцам оптического модулятора с эффектом управляемого поворота плоскости поляризации, задавая для каждой пары его смежных i и (i+1) столбцов (i=1, 2, ) взаимно ортогональные значения угла i поворота плоскости поляризации.
3. Способ по п.1, отличающийся тем, что комплексную модуляцию амплитуды и поляризации светового потока осуществляют за счет модуляции интенсивности света с помощью электрически управляемого матрично-адресуемого оптического модулятора интенсивности света и за счет кодирующей эллиптической модуляции поляризации света с помощью электрически управляемого матрично-адресуемого оптического модулятора с эффектом управляемого двулучепреломления, при этом в n-м столбце электрически управляемого матрично-адресуемого оптического модулятора интенсивность света задают в соответствии с суммой и , а в нечетных 2n-1 и четных 2n столбцах электрически управляемого матрично-адресуемого оптического модулятора с эффектом управляемого двулучепреломления осуществляют фазовый сдвиг  между обыкновенным и необыкновенным лучами в соответствии с выражениями и , где дополнительный фазовый сдвиг 0 равен при =1, 2, 3, , и осуществляют фазовое декодирование с помощью электрически управляемого адресуемого по столбцам оптического модулятора с эффектом управляемого двулучепреломления, задавая между его смежными i и (i+1) столбцами фазовый сдвиг величиной , между обыкновенным и необыкновенным лучами (g=1, 2 , i=1, 2, ).
4. Способ по п.1, отличающийся тем, что комплексную модуляцию амплитуды и поляризации света осуществляют с помощью последовательно оптически связанных поляризатора и двух электрически управляемых матрично-адресуемых фазовых и/или поляризационных оптических модуляторов, причем при использовании электрически управляемых матрично-адресуемых оптических модуляторов с эффектом управляемого двулучепреломления с помощью первого из них задают фазовый сдвиг величиной  1 между обыкновенным и необыкновенным лучами, а с помощью второго – фазовый сдвиг величиной  2, при этом разность  1– 2 выбирается в нечетных 2n-1 и четных 2n столбцах обоих электрически управляемых матрично-адресуемых оптических модуляторов в соответствии с выражениями и , где дополнительный фазовый сдвиг 0 равен , где =1, 2, 3, , при использовании двух электрически управляемых матрично-адресуемых оптических модуляторов с эффектом управляемого поворота плоскости поляризации с помощью первого из них задают угол поворота 1 плоскости поляризации света, а с помощью второго – угол поворота 2; при этом разность 1– 2 выбирается в нечетных 2n-1 и четных 2n столбцах обоих электрически управляемых матрично-адресуемых оптических модуляторов в соответствии с выражениями и , а при использовании одного из электрически управляемых матрично-адресуемых оптических модуляторов с эффектом управляемого двулучепреломления, а другого – с эффектом управляемого поворота плоскости поляризации, с помощью первого из них осуществляют фазовый сдвиг между обыкновенным и необыкновенным лучами величиной  1 в нечетных 2n-1 и четных 2n столбцах в соответствии с выражениями либо , а с помощью второго осуществляют поворот плоскости поляризации на угол 2 в нечетных 2n-1 и четных 2n столбцах в соответствии с выражениями либо .
5. Способ по п.1, отличающийся тем, что поляризационное декодирование и поляризационную фильтрацию выполняют совместно с помощью управляемого или статического поляризационного фильтра, создающего взаимно ортогональные состояния линейной или циркулярной поляризации между смежными i и (i+1) столбцами (i=1, 2, ) плоскости декодирования.
6. Устройство для наблюдения стереоизображений с полным разрешением для каждого ракурса, содержащее источник стереовидеосигнала, электронный функциональный блок и расположенные последовательно на одной оптической оси электрически управляемый матрично-адресуемый поляризационно-кодирующий оптический модулятор и поляризационный селектор, выходы которого оптически связаны с левой и правой зонами наблюдения, при этом для mn-го элемента электрически управляемого матрично-адресуемого поляризационно-кодирующего оптического модулятора его передаточная характеристика определяется обратными тригонометрическими функциями от отношения линейных комбинаций и , где и – сигналы, квадраты амплитуд которых соответствуют величинам и mn-х элементов изображений левого и правого ракурсов, причем выход источника стереовидеосигнала подключен к электрическим входам электрически управляемого матрично-адресуемого поляризационно-кодирующего оптического модулятора и электронного функционального блока, выход которого подключен к электрическому входу поляризационного селектора, где m=1, 2, , М, n=1, 2, , N, a M×N – число строк и столбцов в электрически управляемом матрично-адресуемом поляризационно-кодирующем оптическом модуляторе, отличающееся тем, что электрически управляемый матрично-адресуемый поляризационно-кодирующий оптический модулятор выполнен с возможностью реализации для каждой пары n-го и (n+1)-го столбцов двух взаимно ортогональных направлений оптической анизотропии рабочего вещества, а поляризационный селектор выполнен в виде последовательно оптически связанных фазового и/или поляризационного декодера и поляризационного фильтра, при этом поляризационный декодер выполнен с столбцовой электрической адресацией слоя рабочего вещества с одинаковым начальным направлением оптической анизотропии для всего слоя при возможности реализации в каждой смежной паре столбцов двух взаимно ортогональных направлений оптической анизотропии рабочего вещества либо с столбцовой организацией слоя рабочего вещества, где смежным столбцам соответствуют взаимно ортогональные начальные направления оптической анизотропии вещества, а плоскость слоя рабочего вещества поляризационного декодера расположена на расстоянии d от плоскости слоя рабочего вещества электрически управляемого матрично-адресуемого поляризационно-кодирующего оптического модулятора, где , D – расстояние от электрически управляемого матрично-адресуемого поляризационно-кодирующего оптического модулятора до зон наблюдения, р – период расположения N столбцов электрически управляемого матрично-адресуемого поляризационно-кодирующего оптического модулятора, b – расстояние между центральными точками любых двух смежных зон наблюдения.
7. Устройство по п.6, отличающееся тем, что электрически управляемый матрично-адресуемый поляризационно-кодирующий оптический модулятор выполнен в виде последовательно расположенных электрически управляемого матрично-адресуемого модулятора интенсивности света и электрически управляемого матрично-адресуемого формирователя эллиптической поляризации света, включающего в себя по крайней мере один слой жидкого кристалла с эффектом управляемого поворота плоскости поляризации либо с эффектом управляемого двулучепреломления, а поляризационный декодер выполнен на электрически адресуемом по столбцам слое жидкого кристалла с эффектом управляемого поворота плоскости поляризации либо с эффектом управляемого двулучепреломления, при этом в случае выполнения слоев жидкого кристалла электрически управляемого матрично-адресуемого модулятора эллиптической поляризации света и поляризационного декодера с эффектом управляемого поворота плоскости поляризации направления начальной закрутки жидкокристаллических молекул в этих слоях взаимно противоположны, а в случае выполнения слоев жидкого кристалла электрически управляемого матрично-адресуемого модулятора эллиптической поляризации света и поляризационого декодера на эффекте управляемого двулучепреломления начальные направления одноименных осей эллипсоидов показателей преломления этих слоев взаимно ортогональны.
8. Устройство по п.6, отличающееся тем, что электрически управляемый матрично-адресуемый поляризационно-кодирующий оптический модулятор выполнен в виде последовательно расположенных линейного либо циркулярного поляризатора и двух жидкокристаллических электрически управляемых матрично-адресуемых фазовых модуляторов, оба из которых выполнены с эффектом управляемого поворота плоскости поляризации либо с эффектом управляемого двулучепреломления, причем в случае выполнения с эффектом управляемого поворота плоскости поляризации первый и второй электрически управляемые матрично-адресуемые фазовые модуляторы характеризуются взаимно противоположными направлениями закрутки жидкокристаллических молекул, а в случае выполнения с эффектом управляемого двулучепреломления первый и второй электрически управляемые матрично-адресуемые фазовые модуляторы характеризуются взаимно ортогональными направлениями одноименных осей эллипсоидов показателей преломления, а поляризационный декодер выполнен на электрически адресуемом по столбцам слое жидкого кристалла с эффектом управляемого двулучепреломления либо с эффектом управляемого поворота плоскости поляризации.
РИСУНКИ
|
|