|
|
(21), (22) Заявка: 2008138374/28, 26.09.2008
(24) Дата начала отсчета срока действия патента:
26.09.2008
(46) Опубликовано: 27.12.2009
(56) Список документов, цитированных в отчете о поиске:
RU 2233461 С2, 27.07.2004. RU 2254599 C1, 20.06.2005. RU 2295141 C1, 10.03.2007. SU 1778316 A1, 30.11.1992. US 4768175 A, 30.08.1988. PL 256322 A1, 15.06.1987. US 3220504 A, 30.11.1965.
Адрес для переписки:
105064, Москва, Гороховский пер., 4, Закрытое акционерное общество Научно-производственная организация “Информационные системы и наукоемкие технологии” – ЗАО НПО “ИСИНТЕК”
|
(72) Автор(ы):
Бондур Валерий Григорьевич (RU), Пулинец Сергей Александрович (RU), Давыдов Вячеслав Федорович (RU), Корольков Анатолий Владимирович (RU), Ветошкин Александр Михайлович (RU)
(73) Патентообладатель(и):
Закрытое акционерное общество Научно-производственная организация “Информационные системы и наукоемкие технологии” – ЗАО НПО “ИСИНТЕК” (RU), Государственное образовательное учреждение высшего профессионального образования Московский государственный университет леса (ГОУ ВПО МГУЛ) (RU)
|
(54) СПОСОБ ОПРЕДЕЛЕНИЯ ПАРАМЕТРОВ СЕЙСМИЧЕСКОГО УДАРА
(57) Реферат:
Предложенное изобретение относится к сейсмологии и может найти применение при создании систем геофизических наблюдений в сейсмоопасных регионах планеты. Данное изобретение направлено на обеспечение возможности более раннего оповещения о предстоящем землетрясении, повышение достоверности и точности расчета прогнозируемых параметров сейсмического удара. Способ определения параметров сейсмического удара включает в себя измерение сигнала предвестника в двух разнесенных по пространству пунктах и двух взаимно ортогональных плоскостях посредством датчиков, опущенных на основание глубоких обсадных скважин, обработку регистрируемого сигнала и вычисление фазового центра источника сигнала как точки пересечения радиус-векторов переноса энергии сигнала в пространстве. При этом регистрируют акустический шум Земли посредством геофонов, визуализируют регистрируемую последовательность данных в виде диаграмм Пуанкаре, фиксируют момент времени, при котором отношение математического ожидания к среднеквадратичному отклонению больше двух, и принимают его за начало сейсмического процесса, получают отрезок функции переходного процесса, по которому рассчитывают скорость изменения периода сигнала, и отождествляют его со скоростью изменения консолидированной массы очага землетрясения, прогнозируют время ожидаемого удара и магнитуду удара из соотношений Гутенберга-Рихтера. 8 ил.
Изобретение относится к сейсмологии и может найти применение при создании систем геофизических наблюдений в сейсмоопасных регионах планеты.
Достоверный прогноз землетрясений возможен при установлении первопричин сейсмических процессов и измерении сопутствующих им признаков-предвестников.
В настоящее время существует несколько моделей, претендующих на объяснение первопричин землетрясений. [См., например, «Разработка моделей подготовки сильных землетрясений и стратегия прогноза». Доклады конференции, ОИФЗ им. О.Ю.Шмидта, РАН, М., 1998 г., стр.14-18].
Одной из альтернативных и перспективных первопричин землетрясений рассматривается общепланетарная дегазация земной коры и ядра планеты [см., например, Гуфельд И.Л. «Сейсмический процесс. Физико-химические аспекты», ОИФЗ им. О.Ю.Шмидта, РАН, М., 2007 г., стр.10-18].
Факт эманации газов из земной коры в атмосферу накануне удара (см. Патенты RU 2204852, 2003 г.; 2275659, 2006 г.; 2302020, 2007 г.
Известен «Способ предсказания землетрясений» – Патент RU 2170446, 2001 г. – аналог.
В способе-аналоге размещают в сейсмоопасном районе приемные станции космической навигационной системы, разнесенные на протяженной измерительной базе, осуществляют непрерывное высокоточное измерение координат (x, y, z) точек размещения приемных станций, регистрируют момент появления периодических отклонений x, у, z координат точек и отслеживают изменение этих отклонений во времени, вычисляют гипотетический фазовый центр волн как точку пересечения радиус-векторов в пространстве, длины и направляющие косинусы которых определяют из соотношений

  
и отождествляют его с центром очага, а время удара tx отсчитывают от момента появления периодических отклонений координат точек и магнитуду М ожидаемого землетрясения определяют на основе регрессионных зависимостей:
tx=T· /dek , M=d/lgT+l
где Т – период отклонений координат двух смежных периодов; dek – натуральный логарифм отношения двух смежных периодов; d, l – коэффициенты регрессии.
К недостаткам аналога можно отнести:
– ограниченность участка упреждающего прогноза (7-12 ч) достижимой точностью измерений координат системой GPS;
– неточность регрессионных зависимостей при неизвестных значениях коэффициентов d, ;
– зависимость периода колебаний Т от времени.
Ближайшим аналогом к заявленному способу является «Система измерений предвестника землетрясений». Патент RU 2329525, 2008 г.
Система измерений ближайшего аналога включает измерители наблюдаемого параметра, разнесенные на измерительной базе полигона, каждый из которых содержит глубокую обсадную скважину, скважины пробурены до коренной породы геолого-структурного образования, в каждую из скважин на твердое основание опущена инерционная масса с прикрепленными к ее граням датчиками сейсмического фона, расположенными во взаимно ортогональных плоскостях по координатам x, у, причем плоскость грани x совпадает с направлением измерительной базы, каждый из датчиков подключен на вход тракта обработки, состоящего последовательно из усилителя, анализатора спектра, детекторной секции, аналого-цифрового преобразователя и ПЭВМ.
Недостатками ближайшего аналога являются:
– неизвестность функциональных зависимостей между числовыми характеристиками регистрируемого сигнала и параметрами сейсмического удара;
– отсутствие методов выявления и идентификации устойчивого признака предвестника в регистрируемом сигнале.
Задача, решаемая заявленным изобретением, состоит в расширении интервала времени упреждающего оповещения о предстоящем землетрясении, повышении достоверности и точности расчета прогнозируемых параметров сейсмического удара.
Технический результат достигается тем, что в способе определения параметров сейсмического удара, включающем измерение сигнала предвестника в двух разнесенных по пространству пунктах и двух взаимно ортогональных плоскостях (х, у) посредством датчиков, опущенных на основание глубоких обсадных скважин, обработку регистрируемого сигнала и вычисление фазового центра источника сигнала, как точки пересечения радиус-векторов переноса энергии сигнала в пространстве, дополнительно регистрируют акустический шум Земли посредством геофонов, визуализируют регистрируемую последовательность данных в виде диаграмм Пуанкаре, фиксируют момент времени, при котором отношение математического ожидания (m) к среднеквадратичному отклонению ( ) больше двух, и принимают его за начало сейсмического процесса, получают отрезок функции переходного процесса, по которому рассчитывают скорость изменения ( T/ t) периода сигнала (Т), и отождествляют его со скоростью изменения консолидированной массы очага землетрясения, прогнозируют время ожидаемого удара (tу) по зависимости tу=Tmax/( T/ t) и магнитуду удара из соотношений Гутенберга-Рихтера lgtу[сут]=0.54M-3,37, где Тmax период колебаний в конце сейсмического процесса, при котором земная кора терпит разрыв.
Изобретение поясняется чертежами,
где фиг.1 – одно из решений системы уравнений модели консолидации блоков земной коры;
фиг.2 – литосферные волны раскачки очага землетрясения способа-аналога, зарегистрированные средствами GPS;
фиг.3 – геоакустограмма шума Земли и регулярной составляющей раскачки очага;
фиг.4 – плотность распределения вероятностей амплитуды результирующего сейсмического сигнала;
фиг.5 – визуализация результирующего сигнала в виде диаграмм Пуанкаре в плоскостях (x, у);
фиг.6 – плотность распределения вероятностей разрывных относительных деформаций земной коры;
фиг.7 – плотность распределения вероятностей землетрясения от относительного изменения периода колебаний;
фиг.8 – функциональная схема устройства, реализующего способ.
Техническая сущность способа состоит в следующем.
Накануне сейсмического удара, из-за насыщения земной коры газовой компонентой, происходят взаимное зацепление блоков, их консолидация и образование крупномасштабной зоны неустойчивого состояния. В результате накачки земной коры дополнительной упругой энергией восходящего потока газов происходит раскачка зоны неустойчивого состояния с распространением от нее сверхнизких литосферных волн. Решение системы нелинейных дифференциальных уравнений консолидации блоков и раскачки зоны неустойчивого состояния иллюстрируется графиком фиг.1.
Литосферные волны раскачки очага землетрясения, зарегистрированные средствами GPS системы NAVSTAR способа-аналога, иллюстрируются графиком фиг.2.
Среднеквадратичная ошибка измерений координат средствами GPS составляет несколько сантиметров, что ограничивает интервал времени обнаружения сейсмического процесса (график фиг.2) – 7-9 часами, при общем времени сейсмического процесса (график фиг.1) несколько суток. Для расширения интервала времени упреждающего прогнозирования в заявленном способе используют измерение сигнала акустического шума Земли посредством геофонов, опущенных в скважины на глубину приблизительно один километр.
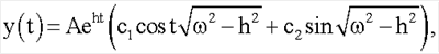
Процесс механических колебаний в среде с сопротивлением описывается дифференциальным уравнением второго порядка [см., например, Пискунов Н.С. Дифференциальное и интегральное исчисление для ВТУЗов, учебник, 5-е изд. – М.: Наука, 1964, стр.524-530»] общим решением которого является функция вида:

где с1, с2 определяются начальными условиями; – частота свободных колебаний в среде без сопротивления; с – жесткость упругого элемента; m – колебательная масса; b – сопротивление среды;
Поскольку в процессе консолидации блоков общая колебательная масса (m) непрерывно возрастает, то частота возникающих механических колебаний уменьшается во времени, что и отражает график функции фиг.1. Объем колебательной массы определяет энергию сейсмического процесса и магнитуду предстоящего удара. Следовательно, закономерность изменения частоты возникающих колебании содержит информацию о параметрах сейсмического удара.
Для выявления закономерности изменения частоты возникающих колебаний и ее связи с параметрами сейсмического удара проведена апостериорная обработка регистрируемого сигнала (графики функций фиг.2, 3).
В исходном состоянии измеренный акустический шум Земли занимает спектр 180-200 Гц. Известно, что плотность распределения вероятностей W(u) амплитуды огибающей случайного шума подчиняется закону Рэлея. [См., например, Заездный A.M. «Основы расчетов по статистической радиотехнике», Связьиздат, Наука, М., 1964, стр.420-425]:

Отношение математического ожидания (m) к среднеквадратичному отклонению ( ) случайной величины, подчиняющейся закону Рэлея, составляет m/ =1.93.
Появление в случайном шуме регулярной составляющей из литосферной волны раскачки очага землетрясения изменяет статистические характеристики результирующего сигнала. Плотность распределения вероятностей амплитуды результирующего сигнала последовательно изменяется от обобщенного закона Рэлея до нормального. Изменение статистических характеристик результирующего сигнала иллюстрируется графиками фиг.4. За начало сейсмического процесса принимают момент времени, для которого отношение m/ >2. Достоверное обнаружение момента начала процесса осуществляют визуализацией результирующего сигнала в виде диаграмм Пуанкаре. Диаграмма Пуанкаре представляет собой точечное графическое отображение N значений последовательности, например хk при k=1, 2, N на двумерном поле, в котором ординатой точки является значение хk+1, а абсциссой – предшествующее значение хk. Нанося поочередно точки k=1, 2, N на график, получают точечное множество xk+1(xk), образующее фигуру. По фигуре можно судить о типе последовательности (образе объекта). [См., например, Пуанкаре А. избранные труды в 3 томах, перевод с французского под редакцией Н.Н. Боголюбова. – М.: Наука, 1974 г.]. Визуализация осуществлялась по специальной математической программе. Диаграммы Пуанкаре визуализации результирующего сигнала во взаимно ортогональных плоскостях (Х, У) иллюстрируются на фиг.5 (а, б). Изменение длины вектора сигнала xk, хk+1 принимают за момент начала сейсмического процесса.
На графиках фиг.3 иллюстрируется фрагмент геоакустограммы сейсмического процесса, полученный за несколько суток до состоявшегося землетрясения. Скорость изменения консолидированной массы очага землетрясения зависит от скорости дегазации, характеристик разломной зоны, структуры земной коры, в общем является величиной не измеряемой. Измеряемой величиной является период колебаний Т изменения амплитуды результирующего сигнала во времени. В первом приближении закономерность изменения периода Т во времени как функции T(t) определялась через производную Производная рассчитывалась численным методом через приращения по графикам фиг.2, 3, откуда время существования сейсмического процесса

где Tmax – максимальный период колебаний сигнала (консолидированной массы очага землетрясения в конце сейсмического процесса) при котором происходит разрыв земной коры, вследствие динамического напора колеблющейся массы.
Земная кора терпит разрыв при относительных деформациях ( = x/x) порядка 10-5-10-4 [см., например, Т.Рикитаке «Предсказание землетрясений», перев. с англ., М.: Мир, 1979 г., стр.306-309]. Плотность распределения вероятностей разрывных относительных деформаций ( ) земной коры иллюстрируется графиком фиг.6. Если динамический напор колебательной массы (F=ma) превосходит силу упругости породы (F=-kx), то происходит разрыв.
Из законов Ньютона и Гука, приравняв силы (ma=-kx) и с учетом того, что ( m/m· а/а х/х) для углового ускорения 2, равного получено m/m=2 T/T; а/а= 2/ 2, или = x/х=2( T/T)3.
По полученной зависимости рассчитана плотность распределения вероятности землетрясения от относительного изменения периода колебаний Т/Т. График зависимости иллюстрируется фиг.7. Из графика фиг.7 следует, что вероятность землетрясения быстро возрастает при увеличении относительной величины Т/Т.
Пример реализации способа
Функциональная схема устройства, реализующего способ, фиг.8, содержит оборудованный на соответствующем геолого-структурном образовании полигон 1 с пробуренными обсадными скважинами 2, разнесенными на измерительной базе 3. В каждую из скважин на твердое основание коренной породы 4 опущены геофоны 5, 6 (типа МАГ-3 С), осуществляющие преобразование акустического шума Земли в электрический сигнал во взаимно ортогональных плоскостях X,Y. Выходы геофонов через измерительные усилители 7, 8 (модель 2635 фирмы Bruel&Kjair) подключены к тракту обработки 9, из последовательно подключенных многофункционального блока 10 (модель 3560L фирмы Bruel&Kjair)) в составе канального коммутатора 11, спектроанализатора 12, аналого-цифрового преобразователя 13, устройства ввода данных 14, компьютера 15 в стандартном наборе элементов: процессора 16, оперативно запоминающего устройства 17, винчестера 18, дисплея 19, принтера 20, клавиатуры 21.
Взаимодействие элементов устройства при прогнозе землетрясений состоит в следующем. В исходном не возмущенном состоянии за счет форшоков в литосфере распространяются сейсмические волны, создающие естественный акустический фон Земли в звуковом диапазоне. Для исключения влияния наземных источников на характеристики естественного шума измерение проводят в толще земной коры, в специально пробуренных обсадных скважинах с глубиной более 1 км. Накануне удара, при насыщении земной коры газовой компонентой, эстафетный механизм передачи упругой энергии легкими газами (водород, гелий) снизу вверх приводит к установлению периодических колебаний консолидированных блоков. Как и при модуляции, мощность сейсмического шума при этом переносится из одной области частот в другую, в данном случае из звукового диапазона в инфразвуковой.
Геофоны (5, 6) внутри обсадных скважин (2) ориентированны так, чтобы плоскость X совпадала с направлением базы (3).
Координаты очага землетрясения определяют методами аналитической геометрии.
Известно, что направление переноса энергии волновым процессом совпадает с фазовым фронтом волны в данной точке. Направление вектора переноса энергии (мощности) в местах расположения обсадных скважин задают направляющие косинусы, вычисляемые относительно измерительной базы. Полная длина векторов в каждой из точек расположения обсадных скважин составляет

где мощность сигналов в трактах измерений по координатам X, У соответственно равна сумме мощностей постоянной составляющей (m2) и дисперсии 2. Направляющие косинусов на очаг землетрясения относительно измерительной базы для первой и второй скважин соответственно составят

Нанося на карту местности направление измерительной базы и направления косинусов, находят точку пересечения лучей.
Проводился апостериорный анализ массива зарегистрированных данных геоакустограмм на камчатском геофизическом полигоне после состоявшегося 16.11.02 землетрясения с магнитудой 7,3 балла. Одна из реализаций результирующего сигнала иллюстрируется графиком фиг.3.
Средняя величина производной T/ t (графики фиг.2, 3) 1/16; максимальный период Tmax (график фиг.2) 4,7 часа. Отсюда . Ожидаемая магнитуда удара М 7,2 балла.
Априорная вероятность землетрясения по параметру Т/Т=0,25 (график фиг.7) составила 0,95. Расчетная величина магнитуды совпала с фактической величиной с точностью до второго знака.
Эффективность способа характеризуется расширением интервала упреждающего прогноза по сравнению с аналогом на 65 часо, или на 2,5 суток.
Формула изобретения
Способ определения параметров сейсмического удара, включающий измерение сигнала предвестника в двух разнесенных по пространству пунктах и двух взаимно ортогональных плоскостях (х, у) посредством датчиков, опущенных на основание глубоких обсадных скважин, обработку регистрируемого сигнала и вычисление фазового центра источника сигнала, как точки пересечения радиус-векторов переноса энергии сигнала в пространстве, отличающийся тем, что регистрируют акустический шум Земли посредством геофонов, визуализируют регистрируемую последовательность данных в виде диаграмм Пуанкаре, фиксируют момент времени, при котором отношение математического ожидания (m) к среднеквадратичному отклонению ( ) больше двух, и принимают его за начало сейсмического процесса, получают отрезок функции переходного процесса, по которому рассчитывают скорость изменения ( T/ t) периода сигнала (Т), и отождествляют его со скоростью изменения консолидированной массы очага землетрясения, прогнозируют время ожидаемого удара (ty) по зависимости ty=Tmax/( T/ t) и магнитуду удара из соотношений Гутенберга-Рихтера lgty[сут]=0,54M-3,37, где Тmax – период колебаний в конце сейсмического процесса, при котором земная кора терпит разрыв.
РИСУНКИ
|
|